Le Informazioni Presenti Sul Sito Non Costituiscono Consulenza Medica. Non Vendiamo Nulla. L'Accuratezza Della Traduzione Non È Garantita. Disclaimer
Derivati del bisfosfonato
Fosamax
Riepilogo della droga
Cos'è Fosamax?
Fosamax (sodio alendronato) è un bisfosfonato Questo è un inibitore specifico del riassorbimento osseo mediato da osteoclasti utilizzato sia per trattare che prevenire osteoporosi e per curare la malattia di Paget. Fosamax è disponibile in generico modulo.
Quali sono gli effetti collaterali di Fosamax?
Fosamax
- dolore al petto
- nuovo o peggioramento bruciore di stomaco
- dolore o bruciore sotto le costole o nella parte posteriore
- grave bruciore di stomaco
- bruciare dolore allo stomaco superiore o tossire sangue
- Dolore nuovo o insolito nella coscia o all'anca
- Dolore della mascella
- intorpidimento
- rigonfiamento
- grave osso articolare o dolore muscolare
- Spasmi muscolari o crampi
- intorpidimento O tingly feeling around your mouth O in your fingers O toes
Ottieni subito assistenza medica se hai uno qualsiasi dei sintomi sopra elencati.
Gli effetti collaterali comuni di Fosamax includono
- gas
- stipsi
- bruciore di stomaco
- diarrea
- gonfiore
- nausea
- vomito
- dolori di stomaco
- dolori articolari o gonfiore
- rigonfiamento in your hEs O feet
- vertigini
- mal di testa
- Dolore agli occhi
- mal di schiena O
- debolezza.
Gli effetti collaterali gravi di Fosamax includono
- Dolore grave (articolazioni della mascella del muscolo osseo o bruciore di stomaco)
- dolore al petto difficulty swallowing
- feci sanguinanti
- Dolore agli occhi
- vesciche per la pelle e
- rigonfiamento of the face tongue O throat.
Cerca cure mediche o chiama il 911 contemporaneamente se hai i seguenti gravi effetti collaterali:
- Sintomi di occhiali gravi come la perdita di visione improvvisa del tunnel della visione sfocata Dolore alla visione o gonfiore o vedere aloni attorno alle luci;
- Sintomi cardiaci gravi come battiti cardiaci irregolari o martellanti veloci; svolazzando nel petto; fiato corto; e vertigini improvvise Accendino O passing out;
- Grave mal di testa confusione Il braccio del linguaggio bloccato o la debolezza delle gambe problemi perdite perdita di coordinamento sentendoti instabili muscoli molto rigidi ad alta febbre abbondante sudorazione o tremori.
Questo documento non contiene tutti i possibili effetti collaterali e altri possono verificarsi. Verificare con il tuo medico ulteriori informazioni sugli effetti collaterali.
Dosaggio per fosamax
Fosamax è disponibile in una compressa o in forma liquida orale. Ogni bottiglia della soluzione orale contiene 91,35 mg di triidrato di sale monosodio di alendronato che è il molare equivalente a 70 mg del farmaco. Il dosaggio iniziale consigliato è una compressa equivalente molare da 70 mg o una bottiglia liquida orale una volta settimanale o una compressa equivalente molare da 10 mg al giorno. Fosamax deve essere assunto almeno mezza ora prima della prima bevanda alimentare o dei farmaci della giornata con acqua semplice solo per evitare qualsiasi riduzione in gastrointestinal adsorbimento.
Quali sostanze o integratori di farmaci interagiscono con Fosamax?
Fosamax può interagire con aspirina o altri FANS (farmaci antinfiammatori non steroidei). Dì al medico tutti i farmaci e gli integratori che usi.
Fosamax durante la gravidanza e l'allattamento
Non ci sono studi sulle donne in gravidanza o in cura. Fosamax non è indicato per l'uso nella popolazione pediatrica.
Ulteriori informazioni
Il nostro Centro farmacologico FOSAMAX offre una visione completa delle informazioni disponibili sui farmaci, nonché i relativi revisioni degli utenti di farmaci, le malattie e le condizioni.
Informazioni sui farmaci FDA
- Descrizione del farmaco
- Indicazioni
- Dosaggio
- Effetti collaterali
- Interazioni farmacologiche
- Avvertimenti
- Overdose
- Farmacologia clinica
- Guida ai farmaci
Descrizione per Fosamax
FOSAMAX (sodio alendronato) è un bifosfonato che funge da specifico inibitore del riassorbimento osseo osteoclastato. I bifosfonati sono analoghi sintetici del pirofosfato che si legano all'idrossiapatite presente nell'osso.
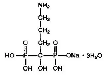
Il sodio alendronato è descritto chimicamente come (4-ammino-1-idrossibutilidene) acido bisfosfonico di sale monosodico triidrato.
Effetti collaterali Bi-Flex Osteo
La formula empirica di sodio alendronato è c 4 H 12 Nnao 7 P 2 • 3h 2 O e il suo peso della formula è 325.12. La formula strutturale è:
|
Il sodio alendronato è una polvere non idroscopica cristallina bianca. È solubile in acqua leggermente solubile in alcol e praticamente insolubile in cloroformio.
Le compresse di Fosamax per somministrazione orale contengono 91,37 mg di triidrato di sale monosodico di alendronato che è l'equivalente molare di 70 mg di acido libero e i seguenti ingredienti inattivi: microcristallino cellulosa anidro di lattosio di lattosio con sodio e magneo.
Usi per fosamax
Trattamento dell'osteoporosi nelle donne in postmenopausa
Fosamax ® è indicato per il trattamento dell'osteoporosi nelle donne in postmenopausa. Nelle donne in postmenopausa fosamax aumenta la massa ossea e riduce l'incidenza di fratture, comprese quelle delle anne e della colonna vertebrale (fratture di compressione vertebrale). [Vedere Studi clinici ]
Prevenzione dell'osteoporosi nelle donne in postmenopausa
Fosamax is indicated fO the prevention of postmenopausal osteoporosi [see Studi clinici ].
Trattamento per aumentare la massa ossea negli uomini con osteoporosi
Fosamax is indicated fO treatment to increase bone mass in men with osteoporosi [see Studi clinici ].
Trattamento dell'osteoporosi indotta da glucocorticoidi
Fosamax is indicated fO the treatment of glucocOticoid-induced osteoporosi in men E women receiving glucocOticoids in a daily dosage equivalent to 7.5 mg O greater of prednisone E who have low bone mineral density [see Studi clinici ].
Trattamento della malattia dell'osso di Paget
Fosamax is indicated fO the treatment of Paget’s disease of bone in men E women. Treatment is indicated in patients with Paget's disease of bone who have alkaline phosphatase at least two times the upper limit of nOmal O those who are symptomatic O those at risk fO future complications from their disease. [see Studi clinici ]
Importanti limiti di utilizzo
La durata ottimale dell'uso non è stata determinata. La sicurezza e l'efficacia di Fosamax per il trattamento dell'osteoporosi si basano su dati clinici di durata di quattro anni. Tutti i pazienti in terapia con bifosfonato dovrebbero avere la necessità di una terapia continua rivalutata su base periodica. I pazienti a basso rischio per frattura devono essere considerati per l'interruzione del farmaco dopo 3-5 anni di utilizzo. I pazienti che interrompono la terapia dovrebbero avere il rischio di rivalutazione della frattura periodicamente.
Dosaggio per fosamax
Sebbene le compresse di alendronato 5 mg 10 mg 35 mg e 40 mg siano disponibili sul mercato FOSAMAX non sia più commercializzata nei punti di forza di 5 mg 10 mg 35 mg e 40 mg.
Sebbene una soluzione orale di alendronato possa essere disponibile nella soluzione orale FOSAMAX del mercato non sia più commercializzata.
Trattamento dell'osteoporosi nelle donne in postmenopausa
Il dosaggio consigliato è:
- Un tablet da 70 mg una volta alla settimana
O
- Una bottiglia di 70 mg di soluzione orale una volta alla settimana
O
- Una compressa da 10 mg una volta al giorno
Prevenzione dell'osteoporosi nelle donne in postmenopausa
- Il dosaggio consigliato è:
- Un tablet da 35 mg una volta alla settimana
O
- Una compressa da 5 mg una volta al giorno
Trattamento per aumentare gli uomini di massa ossea TN con osteoporosi
Il dosaggio consigliato è:
- Un tablet da 70 mg una volta alla settimana
O
- Una bottiglia di 70 mg di soluzione orale una volta alla settimana
O
- Una compressa da 10 mg una volta al giorno
Trattamento dell'osteoporosi indotta da glucocorticoidi
Il dosaggio raccomandato è una compressa da 5 mg una volta al giorno, tranne per le donne in postmenopausa che non ricevono estrogeni per i quali il dosaggio raccomandato è una compressa da 10 mg una volta al giorno.
Trattamento della malattia dell'osso di Paget
Il regime di trattamento raccomandato è di 40 mg una volta al giorno per sei mesi.
Re-trattamento della malattia di Paget
Il re-trattamento con FOSAMAX può essere preso in considerazione dopo un periodo di valutazione post-trattamento di sei mesi nei pazienti che sono ricaduti in base ad aumenti della fosfatasi alcalina sierica che dovrebbe essere misurata periodicamente. Il re-trattamento può anche essere considerato in coloro che non sono riusciti a normalizzare la loro fosfatasi alcalina sierica.
Importanti istruzioni di amministrazione
Istruire i pazienti a fare quanto segue:
- Prendi Fosamax almeno mezza ora prima della prima bevanda alimentare o farmaci del giorno solo con acqua semplice [vedi informazioni sulla consulenza del paziente]. Altre bevande (incluso acqua minerale) e alcuni farmaci probabilmente riducono l'assorbimento di Fosamax [vedi Interazioni farmacologiche ]. Waiting less than 30 minutes O taking Fosamax with food beverages (other than plain water) O other medications will lessen the effect of Fosamax by decreasing its absOption into the body.
- Prendi Fosamax a salire per la giornata. Per facilitare il parto allo stomaco e quindi ridurre il potenziale per l'irritazione esofagea, una compressa Fosamax dovrebbe essere inghiottita con un bicchiere d'acqua completo (6-8 once). Per facilitare la soluzione orale di svuotamento gastrico deve essere seguito da almeno 2 once (un quarto di tazza) di acqua. I pazienti non devono sdraiarsi per almeno 30 minuti e fino a dopo il loro primo cibo del giorno. Fosamax non deve essere preso prima di coricarsi o prima di derivare per il giorno. La mancata seguito di queste istruzioni può aumentare il rischio di esperienze avverse esofagee [vedi Avvertimenti e precauzioni E Informazioni sulla consulenza del paziente ].
Raccomandazioni per l'integrazione di calcio e vitamina D
Istruire i pazienti a prendere il calcio supplementare se l'assunzione dietetica è inadeguata [vedi Avvertimenti e precauzioni ]. Patients at increased risk fO Vitamina D. insufficiency (e.g. over the age of 70 years nursing home-bound O chronically ill) may need Vitamina D. supplementation. Patients with gastrointestinal malabsOption syndromes may require higher doses of Vitamina D. supplementation E measurement of 25-hydroxyVitamina D. should be considered.
I pazienti trattati con glucocorticoidi dovrebbero ricevere quantità adeguate di calcio e vitamina D.
Istruzioni di amministrazione per dosi mancate
Se una dose una volta una settimana di Fosamax è mancata, istruire i pazienti di assumere una dose il mattino dopo aver ricordato. Non dovrebbero assumere due dosi nello stesso giorno, ma dovrebbero tornare a prendere una dose una volta alla settimana, come inizialmente previsto il giorno prescelto.
Come fornito
Dosaggio FOms And Strengths
- I tablet da 70 mg sono tablet bianchi ovali non rivestiti con codice 31 su un lato e uno schema di un'immagine ossea dall'altro.
Archiviazione e maneggevolezza
Fosamax Tablets 70 mg sono tablet Oval White Oval con codice 31 su un lato e uno schema di un'immagine ossea sull'altro:
- Ndc 78206-135-01 pacchetto di blister unità di uso di 4.
Magazzinaggio
Fosamax Tablets:
Conservare in un contenitore ben chiuso a temperatura ambiente 15-30 ° C (59-86 ° F).
Distribuito da: Organon LLC Una consociata di Organon
Effetti collaterali fO Fosamax
Esperienza di studi clinici
Poiché gli studi clinici sono condotti in condizioni di reazione avverse ampiamente variabili osservate negli studi clinici di un farmaco non possono essere confrontati direttamente ai tassi negli studi clinici di un altro farmaco e potrebbero non riflettere i tassi osservati nella pratica clinica.
Trattamento dell'osteoporosi nelle donne in postmenopausa
Dosaggio quotidiano
La sicurezza di Fosamax nel trattamento dell'osteoporosi postmenopausa è stata valutata in quattro studi clinici che hanno arruolato 7453 donne di età compresa tra 44 e 84 anni. Lo studio 1 e lo studio 2 sono stati progettati in modo identico a tre anni controllati in doppio cieco studi multicentrici (Stati Uniti e multinazionale N = 994); Lo studio 3 era la coorte di frattura vertebrale a tre anni dello studio di intervento della frattura [FIT] (n = 2027) e lo studio 4 era la coorte di frattura clinica a quattro anni di adattamento (n = 4432). Complessivamente 3620 pazienti sono stati esposti al placebo e 3432 pazienti esposti a Fosamax. In questi studi clinici sono stati inclusi i pazienti con malattia gastrointestinale preesistente e l'uso concomitante di farmaci antinfiammatori non steroidei. Nello studio 1 e studio 2 Tutte le donne hanno ricevuto 500 mg di calcio elementare come carbonato. Nello studio 3 e dello studio 4 Tutte le donne con apporto di calcio dietetico inferiore a 1000 mg al giorno hanno ricevuto 500 mg di calcio e 250 unità internazionali vitamina D al giorno.
Tra i pazienti trattati con alendronato 10 mg o placebo nello Studio 1 e nello studio 2 e tutti i pazienti nello Studio 3 e nello studio 4 L'incidenza della mortalità per tutte le cause è stata dell'1,8% nel gruppo placebo e dell'1,8% nel gruppo Fosamax. L'incidenza di un evento avverso grave è stato del 30,7% nel gruppo placebo e del 30,9% nel gruppo Fosamax. La percentuale di pazienti che hanno interrotto lo studio a causa di qualsiasi evento avverso clinico è stata del 9,5% nel gruppo placebo e dell'8,9% nel gruppo Fosamax. Le reazioni avverse di questi studi considerate dagli investigatori come probabilmente o sicuramente farmaci correlati in maggiore o uguale all'1% dei pazienti trattati con Fosamax o placebo sono presentate nella Tabella 1.
Tabella 1: Studi sul trattamento dell'osteoporosi nelle reazioni avverse delle donne in postmenopausa considerate probabilmente o decisamente farmaci correlati dagli investigatori e riportati in maggiore o uguale all'1% dei pazienti
| Studi degli Stati Uniti/ multinazionali | Prova di intervento della frattura | |||
| Fosamax* % (n = 196) | Placebo % (n = 397) | Fosamax † % (n = 3236) | Placebo % (n = 3223) | |
| Gastrointestinale | ||||
| 6.6 | 4.8 | 1.5 | 1.5 | |
| 3.6 | 4.0 | 1.1 | 1.5 | |
| 3.6 | 3.5 | 1.1 | 1.2 | |
| 3.1 | 1.8 | 0.0 | 0.2 | |
| 3.1 | 1.8 | 0.6 | 0.3 | |
| 2.6 | 0.5 | 0.2 | 0.3 | |
| 2.0 | 4.3 | 1.1 | 0.9 | |
| 1.5 | 0.0 | 0.1 | 0.1 | |
| 1.0 | 1.5 | 0.2 | 0.3 | |
| 1.0 | 0.0 | 0.1 | 0.1 | |
| 1.0 | 0.8 | 0.0 | 0.0 | |
| 0.5 | 1.3 | 0.6 | 0.7 | |
| Muscoloscheletrico | ||||
| 4.1 | 2.5 | 0.4 | 0.3 | |
| 0.0 | 1.0 | 0.2 | 0.1 | |
| Nervoso | ||||
| 2.6 | 1.5 | 0.2 | 0.2 | |
| 0.0 | 1.0 | 0.0 | 0.1 | |
| Sensi speciali | ||||
| 0.5 | 1.0 | 0.1 | 0.0 | |
| * 10 mg/giorno per tre anni † 5 mg/giorno per 2 anni e 10 mg/giorno per 1 o 2 anni in più |
Si sono verificati eritema e eritema.
Gastrointestinale Adverse Reactions
Un paziente trattato con Fosamax (10 mg/die) che aveva una storia di ulcera peptica e gastrectomia e che stava assumendo aspirina concomitante ha sviluppato un'ulcera anastomotica con un lieve emorragia che era considerata legata al farmaco. L'aspirina e Fosamax sono stati interrotti e il paziente si è ripreso. Nello studio 1 e dello studio 2 popolazioni il 49-54% aveva una storia di disturbi gastrointestinali al basale e il 54-89% ha usato farmaci antinfiammatori non steroidei o aspirina in qualche momento durante gli studi. [Vedere Avvertimenti e precauzioni ]
Risultati dei test di laboratorio
Negli studi multicentrici in doppio cieco controllati multicentrici sono state osservate riduzioni asintomatiche lievi e transitorie del calcio sierico e del fosfato in circa il 18% e il 10% rispettivamente di pazienti che assumono Fosamax rispetto a circa il 12% e il 3% di quelli che assumono placebo. Tuttavia, le incidenze di diminuzione del calcio sierico a meno di 8,0 mg/dL (NULL,0 mM) e fosfato sierico a meno o uguale a 2,0 mg/dL (NULL,65 mM) erano simili in entrambi i gruppi di trattamento.
Dosaggio settimanale
La sicurezza di Fosamax 70 mg una volta settimanale per il trattamento dell'osteoporosi postmenopausa è stata valutata in uno studio multicentrico in doppio cieco di un anno che confronta Fosamax 70 mg una volta settimanale e Fosamax 10 mg al giorno. I profili complessivi di sicurezza e tollerabilità di FOSAMAX 70 mg un tempo settimanali e Fosamax 10 mg al giorno erano simili. Le reazioni avverse considerate dagli investigatori come probabilmente o decisamente legate al farmaco in maggiore o uguale all'1% dei pazienti in entrambi i gruppi di trattamento sono presentate nella Tabella 2.
Tabella 2: Studi sul trattamento dell'osteoporosi nelle reazioni avverse delle donne in postmenopausa considerate probabilmente o decisamente farmaci correlati dagli investigatori e riportati in maggiore o uguale all'1% dei pazienti
| Una volta Fosamax settimanale 70 mg % (n = 519) | Fosamax 10 mg/giorno % (n = 370) | |
| Gastrointestinale | ||
| 3.7 | 3.0 | |
| 2.7 | 2.2 | |
| 1.9 | 2.4 | |
| 1.9 | 2.4 | |
| 1.0 | 1.4 | |
| 0.8 | 1.6 | |
| 0.4 | 1.6 | |
| 0.2 | 1.1 | |
| 0.0 | 1.1 | |
| Muscoloscheletrico | ||
| 2.9 | 3.2 | |
| 0.2 | 1.1 |
Prevenzione dell'osteoporosi nelle donne in postmenopausa
Dosaggio quotidiano
La sicurezza di Fosamax 5 mg/die nelle donne in postmenopausa di 40-60 anni è stata valutata in tre studi controllati in doppio cieco controllati con placebo che coinvolgono oltre 1400 pazienti randomizzati a ricevere Fosamax per due o tre anni. In questi studi i profili di sicurezza complessivi di Fosamax 5 mg/die e placebo erano simili. L'interruzione della terapia dovuta a qualsiasi evento avverso clinico si è verificato nel 7,5% di 642 pazienti trattati con Fosamax 5 mg/die e 5,7% di 648 pazienti trattati con placebo.
Dosaggio settimanale
La sicurezza di Fosamax 35 mg una volta settimanale rispetto a Fosamax 5 mg al giorno è stata valutata in uno studio multicentrico in doppio cieco di un anno su 723 pazienti. I profili complessivi di sicurezza e tollerabilità di Fosamax 35 mg e Fosamax 5 mg un tempo settimanali erano simili.
Le reazioni avverse di questi studi considerate dagli investigatori come probabilmente o decisamente drogate in base all'1% dei pazienti trattati con FOSAMAX 35 mg una volta settimanali di FOSAMAX 5 mg/giorno o placebo sono presentate nella Tabella 3.
Tabella 3: Studi sulla prevenzione dell'osteoporosi nelle reazioni avverse delle donne in postmenopausa considerate probabilmente o sicuramente farmaci correlati dagli investigatori e riportati in maggiore o uguale all'1% dei pazienti
| Studi a due/triennali | Studio di un anno | |||
| Fosamax 5 mg/giorno % (n = 642) | Placebo % (n = 648) | Fosamax 5 mg/giorno % (n = 361) | Una volta settimanalmente Fosamax 35 mg % (n = 362) | |
| Gastrointestinale | ||||
| 1.9 | 1.4 | 2.2 | 1.7 | |
| 1.7 | 3.4 | 4.2 | 2.2 | |
| 1.4 | 2.5 | 4.2 | 4.7 | |
| 1.4 | 1.4 | 2.5 | 1.4 | |
| 1.1 | 1.7 | 1.1 | 0.6 | |
| 0.9 | 0.5 | 1.7 | 0.3 | |
| 0.2 | 0.3 | 1.4 | 1.1 | |
| Muscoloscheletrico | ||||
| 0.8 | 0.9 | 1.9 | 2.2 |
Uso concomitante con terapia sostitutiva di estrogeni/ormoni
In due studi (di una durata di uno e due anni) di donne osteoporotiche postmenopausali (totale: n = 853) il profilo di sicurezza e tollerabilità del trattamento combinato con Fosamax 10 mg una volta al giorno e estrogeno ± progestin (n = 354) era coerente con quelli dei singoli trattamenti.
Osteoporosi negli uomini
In due studi multicentrici in doppio cieco controllati con placebo negli uomini (uno studio di due anni su FOSAMAX 10 mg/giorno e uno studio di un anno di Fosamax una volta settimanali 70 mg) i tassi di interruzione della terapia a causa di un evento avverso clinico sono stati il 2,7% per FOSAMAX 10 mg/giorno vs. 10,5% per il pedebo e 6,4% per una volta a due mg di Vs. a una volta. Le reazioni avverse considerate dagli investigatori come probabilmente o decisamente legate al farmaco in maggiore o uguale al 2% dei pazienti trattati con Fosamax o placebo sono presentate nella Tabella 4.
Tabella 4: Studi sull'osteoporosi negli uomini Reazioni avverse considerate probabilmente o sicuramente farmaci correlati dagli investigatori e riportati in maggiore o uguale al 2% dei pazienti
| Studio di due anni | Studio di un anno | |||
| Fosamax 10 mg/giorno % (n = 146) | Placebo % (n = 95) | Una volta settimanalmente Fosamax 70 mg % (n = 109) | Placebo % (n = 58) | |
| Gastrointestinale | ||||
| 4.1 | 3.2 | 0.0 | 0.0 | |
| 4.1 | 1.1 | 0.0 | 0.0 | |
| 0.7 | 3.2 | 2.8 | 0.0 | |
| 3.4 | 0 | 2.8 | 1.7 | |
| 1.4 | 1.1 | 2.8 | 0.0 | |
| 2.1 | 1.1 | 0.9 | 3.4 | |
| 2.1 | 0.0 | 0.0 | 0.0 |
Osteoporosi indotta da glucocorticoidi
In due studi multicentrici in doppio cieco controllati con placebo di un anno in pazienti che ricevono il trattamento dei glucocorticoidi, i profili di sicurezza complessivi e tollerabilità di Fosamax 5 e 10 mg/giorno erano generalmente simili a quelli del placebo. Le reazioni avverse considerate dagli investigatori come probabilmente o decisamente legate al farmaco in maggiore o uguale all'1% dei pazienti trattati con Fosamax 5 o 10 mg/die o placebo sono presentate nella Tabella 5.
Tabella 5: Studi di un anno in pazienti avversi trainati da glucocorticoidi considerati probabilmente o decisamente farmaci correlati dagli investigatori e riportati in maggiore o uguale all'1% dei pazienti
| Fosamax 10 mg/giorno % (n = 157) | Fosamax 5 mg/giorno % (n = 161) | Placebo % (n = 159) | |
| Gastrointestinale | |||
| 3.2 | 1.9 | 0.0 | |
| 2.5 | 1.9 | 1.3 | |
| 1.3 | 0.6 | 0.0 | |
| 1.3 | 0.0 | 0.0 | |
| 0.6 | 1.2 | 0.6 | |
| 0.0 | 0.0 | 1.3 | |
| Nervoso System/Psychiatric | |||
| 0.6 | 0.0 | 1.3 |
Il profilo generale di sicurezza e tollerabilità nella popolazione di osteoporosi indotta da glucocorticoidi che la terapia continua per il secondo anno degli studi (FOSAMAX: n = 147) era coerente con quella osservata nel primo anno.
La malattia da osso di Paget
Negli studi clinici (osteoporosi e malattia di Paget) eventi avversi riportati in 175 pazienti che hanno assunto Fosamax 40 mg/die per 3-12 mesi erano simili a quelli delle donne postmenopausa trattate con Fosamax 10 mg/die. Tuttavia, vi è stata un'apparente aumento dell'incidenza delle reazioni avverse gastrointestinali superiori nei pazienti che assumono Fosamax 40 mg/die (NULL,7% Fosamax vs. 10,2% placebo). Un caso di esofagite e due casi di gastrite hanno comportato l'interruzione del trattamento.
Inoltre, il dolore muscoloscheletrico (muscolo osseo o articolare) che è stato descritto in pazienti con malattia di Paget trattati con altri bisfosfonati è stato considerato dagli investigatori come probabilmente o decisamente drogato in circa il 6% dei pazienti trattati con Fosamax 40 mg/giorno rispetto all'1% dei pazienti trattati con placebo ma ha portato a rari decollando la terapia. L'interruzione della terapia dovuta a eventuali eventi avversi clinici si è verificato nel 6,4% dei pazienti con malattia di Paget trattati con Fosamax 40 mg/giorno e 2,4% dei pazienti trattati con placebo.
Esperienza post-marketing
Le seguenti reazioni avverse sono state identificate durante l'uso post-approvazione di Fosamax. Poiché queste reazioni sono riportate volontariamente da una popolazione di dimensioni incerte, non è sempre possibile stimare in modo affidabile la loro frequenza o stabilire una relazione causale con l'esposizione ai farmaci.
Corpo nel suo insieme: Reazioni di ipersensibilità tra cui orticaria e angioedema. I sintomi transitori della mialgia malessere e la febbre sono stati segnalati con Fosamax in genere in associazione con l'inizio del trattamento. L'ipocalcemia sintomatica si è verificata generalmente in associazione con condizioni predisponenti. Edema periferico.
Gastrointestinale: Esofagite Erosioni esofagee Ulcere esofagee stenosi o perforazione esofagea e ulcerazione orofaringea. Ulcere gastriche o duodenali Alcuni gravi e con complicanze sono state anche riportate [vedi Dosaggio e amministrazione ; Avvertimenti e precauzioni ].
È stata segnalata l'osteonecrosi localizzata della mascella generalmente associata all'estrazione del dente e/o infezione locale con guarigione ritardata [vedi Avvertimenti e precauzioni ].
Muscoloscheletrico: L'articolazione ossea e/o il dolore muscolare occasionalmente grave e incapace [vedi Avvertimenti e precauzioni ]; gonfiore articolare; Albero femorale a bassa energia e fratture subtrocanteriche [vedi Avvertimenti e precauzioni ].
Nervoso System: vertigini E vertigo.
Polmonare: esacerbazioni acute dell'asma.
Pelle: Rash (occasionalmente con fotosensibilità) prurito alopecia grave reazioni cutanee tra cui la sindrome di Stevens-Johnson e la necrolisi epidermica tossica.
Sensi speciali: sclerite dell'uveite o epislerite. Colesteatoma del canale uditivo esterno (osteonecrosi focale).
Interazioni farmacologiche fO Fosamax
Supplementi di calcio/antiacidi
La co-somministrazione di antiacidi FOSAMAX e di calcio o farmaci orali contenenti cationi multivalenti interferirà con l'assorbimento di FOSAMAX. Pertanto, istruire i pazienti ad aspettare almeno un'ora dopo aver assunto Fosamax prima di assumere altri farmaci orali.
Aspirina
Negli studi clinici l'incidenza di eventi avversi gastrointestinali superiori è stata aumentata nei pazienti che ricevevano terapia concomitante con dosi giornaliere di fosamax superiori a 10 mg e prodotti contenenti aspirina.
Farmaci antinfiammatori non steroidei
Fosamax may be administered to patients taking nonsteroidal anti-inflammatOy drugs (NsAIDs). In a 3-year controlled clinical study (n=2027) during which a majOity of patients received concomitant NsAIDs the incidence of upper gastrointestinal adverse events was similar in patients taking Fosamax 5 O 10 mg/giorno compared to those taking placebo. However since NsAID use is associated with gastrointestinal irritation caution should be used during concomitant use with Fosamax.
Avvertimenti per Fosamax
Incluso come parte del 'PRECAUZIONI' Sezione
Precauzioni per Fosamax
Reazioni avverse gastrointestinali superiori
Fosamax like other bisfosfonatos administered Oally may cause local irritation of the upper gastrointestinal mucosa. Because of these possible irritant effects E a potential fO wOsening of the underlying disease caution should be used when Fosamax is given to patients with active upper gastrointestinal problems (such as known Barrett's esophagus dysphagia other esophageal diseases gastritis duodenitis O ulcers).
Esperienze avverse esofagee come le ulcere esofagee esofagee ed erosioni esofagee occasionalmente con sanguinamento e raramente seguite da stenosi o perforazione esofagea sono state riportate in pazienti che ricevono cure con bifosfonati orali tra cui Fosamax. In alcuni casi questi sono stati resistenti in ospedale. I medici dovrebbero quindi essere attenti a qualsiasi segnale o sintomi che segnala una possibile reazione esofagea e i pazienti dovrebbero essere istruiti a interrompere il fosamax e consultare un medico se sviluppano la disfagia odynofagia dolorosa retrosternale o nuovo o peggiorare bruciore di stomaco .
Il rischio di gravi esperienze avverse esofagee sembra essere maggiore nei pazienti che si stendono dopo aver preso bifosfonati orali tra cui Fosamax e/o che non riescono a deglutire i bifosfonati orali, incluso Fosamax con il vetro completo (6-8 once) di acqua e/o che continuano a prendere bisfosfonati orali, incluso Fosamax dopo aver sviluppato i sintomi suggestivi per esofagi. Pertanto è molto importante che le istruzioni per il dosaggio completo siano fornite e comprese dal paziente [vedi Dosaggio e amministrazione ]. In patients who cannot comply with dosing instructions due to mental disability therapy with Fosamax should be used under appropriate supervision.
Ci sono stati segnalazioni post-marketing di ulcere gastriche e duodenali con bisfosfonato orale che usano alcuni gravi e con complicanze sebbene non sia stato osservato alcun rischio aumentato negli studi clinici controllati [vedi Reazioni avverse ].
Metabolismo minerale
L'ipocalcemia deve essere corretta prima di iniziare la terapia con Fosamax [vedi Controindicazioni ]. Other disOders affecting mineral metabolism (such as Vitamina D. carenza) dovrebbe anche essere trattata efficacemente. Nei pazienti con queste condizioni il calcio sierico e i sintomi dell'ipocalcemia devono essere monitorati durante la terapia con Fosamax.
Presumibilmente a causa degli effetti di Fosamax sull'aumento del minerale osseo piccole diminuzioni asintomatiche del calcio sierico e del fosfato possono verificarsi specialmente nei pazienti con malattia di Paget in cui può essere ridotto il tasso di pretrattamento del turnover osseo e nei pazienti che ricevono glucocorticoidi in cui può essere ridotto l'assorbimento di calcio.
Garantire un'adeguata assunzione di calcio e vitamina D è particolarmente importante nei pazienti con malattia ossea di Paget e nei pazienti che hanno ricevuto glucocorticoidi.
Muscoloscheletrico Pain
Nell'esperienza post-marketing è stato riportato un dolore osseo grave e occasionalmente incapace e/o muscolo è stato riportato in pazienti che assumono bifosfonati approvati per la prevenzione e il trattamento dell'osteoporosi [vedi Reazioni avverse ]. This categOy of drugs includes Fosamax (alendronate). Most of the patients were postmenopausal women. The time to onset of symptoms varied from one day to several months after starting the drug. Discontinue use if severe symptoms develop. Most patients had relief of symptoms after stopping. A subset had recurrence of symptoms when rechallenged with the same drug O another bisfosfonato.
Negli studi clinici controllati con placebo su Fosamax le percentuali di pazienti con questi sintomi erano simili nei gruppi Fosamax e placebo.
Osteonecrosi della mascella
L'osteonecrosi della mascella (ONJ) che può verificarsi spontaneamente è generalmente associata all'estrazione del dente e/o all'infezione locale con guarigione ritardata ed è stata riportata in pazienti che assumono bifosfonati, incluso Fosamax. I fattori di rischio noti per l'osteonecrosi della mascella comprendono procedure dentali invasive (ad es. Impiarie dentali di estrazione dentale Diagnosi) Diagnosi di terapie concomitanti del cancro (ad es. chemioterapia Inibitori dell'angiogenesi dei corticosteroidi) scarsa igiene orale e disturbi comorbosi (ad es. Infezione da coagulopatia per la coagulopatia di anemia dentali parodontali e/o altrui pioli dentali preesistenti). Il rischio di ONJ può aumentare con la durata dell'esposizione ai bifosfonati.
Per i pazienti che richiedono procedure dentali invasive l'interruzione del trattamento con bifosfonato può ridurre il rischio di ONJ. Il giudizio clinico del medico curante e/o del chirurgo orale dovrebbe guidare il piano di gestione di ciascun paziente in base alla valutazione dei benefici/del rischio individuale.
I pazienti che sviluppano osteonecrosi della mascella durante la terapia con bifosfonato dovrebbero ricevere cure da un chirurgo orale. In questi pazienti una vasta chirurgia dentale per il trattamento di ONJ può esacerbare la condizione. L'interruzione della terapia del bifosfonato dovrebbe essere considerata in base alla valutazione individuale di benefici/rischio.
Fratture del femore subtrocanterico e diafisico atipico
Sono state riportate fratture atipiche a bassa energia o basse traumi dell'albero femorale nei pazienti trattati con bisfosfonati. Queste fratture possono verificarsi ovunque nell'albero femorale appena sotto il minore trocantere al di sopra del bagliore sopracondilare e sono trasversali o corti obliqui di orientamento senza evidenza di comminuzione. La causalità non è stata stabilita poiché queste fratture si verificano anche nei pazienti osteoporotici che non sono stati trattati con bifosfonati.
Le fratture del femore atipico si verificano più comunemente con traumi minimi o nulli nell'area interessata. Possono essere bilaterali e molti pazienti riportano dolore prodromico nell'area interessata che di solito si presenta come un dolore alle cosce sordo e mesi prima che si verifichi una frattura completa. Numerosi rapporti notano che anche i pazienti stavano ricevendo un trattamento con glucocorticoidi (ad esempio prednisone) al momento della frattura.
Qualsiasi paziente con una storia di esposizione al bisfosfonato che presenta un dolore alla coscia o all'inguine dovrebbe essere sospettato di avere una frattura atipica e dovrebbe essere valutato per escludere una frattura del femore incompleta. I pazienti che presentano una frattura atipica devono anche essere valutati per sintomi e segni di frattura nell'arto controlaterale. L'interruzione della terapia con bisfosfonato deve essere considerata in attesa di una valutazione del rischio/beneficio su base individuale.
Compromissione renale
Fosamax is not recommended fO patients with creatinine clearance less than 35 mL/min.
Osteoporosi indotta da glucocorticoidi
Il rischio contro il beneficio di Fosamax per il trattamento a dosaggi giornalieri di glucocorticoidi non è stato stabilito meno di 7,5 mg di prednisone o equivalente [vedi Indicazioni e utilizzo ]. BefOe initiating treatment the gonadal hOmonal status of both men E women should be ascertained E appropriate replacement considered.
Una misurazione della densità minerale ossea dovrebbe essere effettuata all'inizio della terapia e ripetuta dopo 6-12 mesi di trattamento con fosamax e glucocorticoide combinato.
Informazioni sulla consulenza del paziente
Consiglia al paziente di leggere l'etichettatura del paziente approvato dalla FDA ( Informazioni sul paziente ).
Chiedi ai pazienti di leggere la guida ai farmaci prima di iniziare la terapia con Fosamax e di rileggerla ogni volta che la prescrizione viene rinnovata.
Raccomandazioni sull'osteoporosi tra cui l'integrazione di calcio e vitamina D
Chiedere ai pazienti di assumere calcio supplementare e vitamina D se l'assunzione dietetica giornaliera è inadeguata. L'esercizio fisico deve essere considerato insieme alla modifica di alcuni fattori comportamentali come il fumo di sigaretta e/o il consumo eccessivo di alcol se esistono questi fattori.
Istruzioni per il dosaggio
Indiicare ai pazienti che i benefici previsti di Fosamax possono essere ottenuti solo quando viene preso con acqua semplice la prima cosa che sorge per la giornata almeno 30 minuti prima della prima bevanda alimentare o farmaci del giorno. Anche il dosaggio con succo d'arancia o caffè ha dimostrato di ridurre notevolmente l'assorbimento di Fosamax [vedi Farmacologia clinica ].
Inserire i pazienti a non masticare o succhiare la compressa a causa di un potenziale per l'ulcerazione orofaringea.
Chiedere ai pazienti di ingoiare ogni compressa di Fosamax con un bicchiere d'acqua completo (6-8 once) per facilitare il parto allo stomaco e quindi ridurre il potenziale di irritazione esofagea. Chiedi ai pazienti di bere almeno 2 once (un quarto di tazza) dopo aver preso una soluzione orale Fosamax per facilitare lo svuotamento gastrico.
Istruire i pazienti a non sdraiarsi per almeno 30 minuti e fino a dopo il loro primo cibo del giorno.
Istruire i pazienti a non prendere Fosamax prima di coricarsi o prima di derivare per la giornata. I pazienti devono essere informati che la mancata seguizione di queste istruzioni può aumentare il rischio di problemi esofagei.
Istruire i pazienti che se sviluppano sintomi della malattia esofagea (come difficoltà o dolore al momento della deglutizione del dolore retrosternale o del bruciore di stomaco nuovo o peggioramento), dovrebbero smettere di prendere Fosamax e consultare il proprio medico.
Se i pazienti perdono una dose di Fosamax un tempo settimanale, chiede ai pazienti di assumere una dose la mattina dopo che si ricordano. Non dovrebbero assumere due dosi nello stesso giorno, ma dovrebbero tornare a prendere una dose una volta alla settimana, come inizialmente previsto il giorno prescelto.
Tossicologia non clinica
Mutagenesi della carcinogenesi compromissione della fertilità
La ghiandola harderian (una ghiandola retro-orbitale non presente negli esseri umani) gli adenomi sono stati aumentati in topi femmine ad alte dosi (p = 0,003) in uno studio di carcinogenicità orale di 92 settimane a dosi di alendronate di 1 3 e 10 mg/kg/giorno (maschi) o 1 2 e 5 mg/kg/giorno (femmine). Queste dosi sono equivalenti a circa 0,1 a 1 volte la dose giornaliera clinica più alta di 40 mg in base alla superficie mg/m 2 . La rilevanza di questa scoperta per gli umani è sconosciuta.
Gli adenomi parafollicolari (tiroide) sono stati aumentati nei ratti maschi ad alte dosi (P = 0,003) in uno studio di cancerogenicità orale a 2 anni a dosi di 1 e 3,75 mg/kg di peso corporeo. Queste dosi sono equivalenti a circa 0,3 e 1 volte la dose giornaliera clinica da 40 mg in base alla superficie mg/m 2 . La rilevanza di questa scoperta per gli umani è sconosciuta.
Alendronato non era genotossico nel in vitro test di mutagenesi microbica con e senza attivazione metabolica in un in vitro Test di mutagenesi delle cellule dei mammiferi in un in vitro Dosaggio di eluizione alcalina negli epatociti di ratto e in un in vivo Saggio di aberrazione cromosomica nei topi. In un in vitro Saggio di aberrazione cromosomica nelle cellule di ovaio del criceto cinese, tuttavia alendronato ha dato risultati equivoci.
Alendronato non ha avuto alcun effetto sulla fertilità (maschio o femmina) nei ratti a dosi orali fino a 5 mg/kg/die (circa 1 volta la dose clinica giornaliera da 40 mg in base alla superficie Mg/m 2 ).
Utilizzare in popolazioni specifiche
Gravidanza
Riepilogo del rischio
I dati disponibili sull'uso di Fosamax nelle donne in gravidanza sono insufficienti per informare un rischio farmacologico di risultati avversi materni o fetali. Interrompere Fosamax quando viene riconosciuta la gravidanza.
Negli studi sulla riproduzione degli animali, la somministrazione giornaliera orale orale di alendronato ai ratti di prima dell'accoppiamento attraverso la fine della gestazione o l'allattamento ha mostrato una ridotta sopravvivenza post -impianto e una riduzione dell'aumento di peso corpore 2 ). Oral administration of alendronate to rats during Oganogenesis resulted in reduced fetal ossification starting at doses 3 times the 40 mg clinical daily dose. No similar fetal effects were observed in pregnant rabbits dosed Oally during Oganogenesis at doses equivalent to approximately 10 times the 40 mg clinical daily dose.
Il parto ritardato o fallito della prole ha prolungato il parto e la fine della gravidanza morti materiali e fetali dovuti all'ipocalcemia materna si sono verificate nei ratti a dosi orali a partire da un decimo la dose clinica quotidiana di 40 mg (vedi Dati ).
I bisfosfonati sono incorporati nella matrice ossea da cui vengono gradualmente rilasciati per un periodo di anni. La quantità di bisfosfonato incorporato nell'osso adulto e disponibile per il rilascio nella circolazione sistemica è direttamente correlata alla dose e alla durata dell'uso di bisfosfonato. Di conseguenza, in base al meccanismo d'azione dei bifosfonati, esiste un potenziale rischio di danno fetale prevalentemente scheletrico se una donna rimane incinta dopo aver completato un ciclo di terapia di bifosfonato. L'impatto di variabili come il tempo tra la cessazione della terapia del bifosfonato per concepimento del particolare bifosfonato utilizzato e la via di somministrazione (endovenosa contro orale) sul rischio non è stata studiata.
Il rischio di background stimato di importanti difetti alla nascita e aborto spontaneo per la popolazione / i indicata non è noto. Tutte le gravidanze hanno un rischio di fondo di perdita di difetti alla nascita o altri risultati avversi. Nella popolazione generale degli Stati Uniti i rischi di fondo stimati di importanti difetti alla nascita e aborto spontaneo nelle gravidanze clinicamente riconosciute sono rispettivamente del 2-4% e del 15-20%.
Dati
Dati sugli animali
Gli studi di riproduzione nei ratti dosati per via orale da prima dell'accoppiamento alla fine della gestazione o l'allattamento hanno mostrato una ridotta sopravvivenza postimpianto a partire da 2 mg/kg/giorno e una riduzione dell'aumento di peso corpore 2 . L'incidenza di ossificazione fetale incompleta nelle ossa del cranio vertebrale e dello sternebrale è stata aumentata nei ratti dosati per via orale durante l'organogenesi a partire da 10 mg/kg/giorno (circa 3 volte la dose clinica giornaliera clinica da 40 mg). Non sono stati osservati effetti fetali simili nei conigli in gravidanza dosati per via orale durante l'organogenesi fino a 35 mg/kg/giorno (equivalente a circa 10 volte la dose clinica da 40 mg).
Il calcio totale e ionizzato è diminuito nei ratti in gravidanza dosati per via orale con alendronato di 15 mg/kg/giorno (circa 4 volte la dose clinica giornaliera da 40 mg) con conseguenti ritardi e guasti alla consegna. La parte prolungata dovuta all'ipocalcemia materna è stata osservata quando i ratti venivano trattati prima dell'accoppiamento attraverso la gestazione a partire da 0,5 mg/kg/die (circa un decimo la dose clinica quotidiana da 40 mg). La maternetossicità (decessi in gravidanza tardiva) si è verificata anche nei ratti femminili trattati per via orale con 15 mg/kg/die (circa 4 volte la dose clinica da 40 mg) per periodi di tempo gestazionali diversi. Queste morti materne sono state ridotte ma non eliminate dalla cessazione del trattamento. L'integrazione di calcio nell'acqua potabile o mediante minipump sottocutanea ai ratti dosata per via orale con 15 mg/kg/giorno di alendronato non poteva migliorare l'ipocalcemia o prevenire le morti materne e neonatali legate alla distocia. Tuttavia, l'integrazione di calcio endovenosa ha impedito morti materne ma non neonatali.
Lattazione
Riepilogo del rischio
Non è noto se l'acendronato sia presente nel latte materno umano influisce sulla produzione di latte umano o abbia effetti sul bambino allattato al seno. I benefici per lo sviluppo e la salute dell'allattamento dovrebbero essere considerati insieme alla necessità clinica della madre di Fosamax e a potenziali effetti avversi sul bambino allattato al seno da Fosamax o dalla condizione materna sottostante.
Uso pediatrico
Fosamax is not indicated fO use in pediatric patients.
La sicurezza e l'efficacia di Fosamax sono state esaminate in uno studio di due anni randomizzato in doppio cieco bocconico su 139 pazienti pediatrici di età compresa tra 4 e 18 anni con osteogenesi grave imperfetta (OI). I pazienti di cento e nove sono stati randomizzati a 5 mg di Fosamax al giorno (peso inferiore a 40 kg) o 10 mg di Fosamax al giorno (peso maggiore o uguale a 40 kg) e 30 pazienti a placebo. Il punteggio ZD ZD medio di BMD della colonna lombare dei pazienti era -4,5. Il cambiamento medio nella ZSCORE BMD della colonna lombare dal basale al mese 24 era 1,3 nei pazienti trattati con Fosamax e 0,1 nei pazienti trattati con placebo. Il trattamento con Fosamax non ha ridotto il rischio di frattura. Il sedici percento dei pazienti con Fosamax che hanno subito una frattura confermata radiologicamente entro il mese 12 dello studio ha ritardato la guarigione della frattura (rimodellamento del callo) o la non sindacale quando valutata radiograficamente al mese 24 rispetto al 9% dei pazienti trattati con placebo. Nei pazienti trattati con FOSAMAX i dati di istomorfometria ossea ottenuti al mese 24 hanno dimostrato una riduzione del turnover osseo e un tempo ritardato di mineralizzazione; Tuttavia non ci sono stati difetti di mineralizzazione. Non ci sono state differenze statisticamente significative tra i gruppi di Fosamax e placebo nella riduzione del dolore osseo. La biodisponibilità orale nei bambini era simile a quella osservata negli adulti.
Il profilo di sicurezza complessivo di Fosamax nei pazienti con osteogenesi imperfecta trattati fino a 24 mesi era generalmente simile a quello degli adulti con osteoporosi trattati con Fosamax. Tuttavia, vi è stato un aumento della presenza di vomito nei pazienti con osteogenesi imperfecta trattati con Fosamax rispetto al placebo. Durante il periodo di trattamento di 24 mesi è stato osservato il vomito in 32 su 109 (NULL,4%) pazienti trattati con Fosamax e 3 su 30 (10%) pazienti trattati con placebo.
In uno studio farmacocinetico 6 di 24 osteogenesi pediatrica imperfecta che hanno ricevuto una singola dose orale di Fosamax 35 o 70 mg ha sviluppato sintomi di febbre e/o lieve linfocitopenia entro 24 a 48 ore dalla somministrazione. Questi eventi che durano non più di 2-3 giorni e rispondono al paracetamolo sono coerenti con una risposta in fase acuta che è stata segnalata in pazienti che ricevono bifosfonati, incluso Fosamax. [Vedere Reazioni avverse ]
Uso geriatrico
Dei pazienti che ricevevano Fosamax nello studio di intervento della frattura (FIT) il 71% (n = 2302) erano maggiori o uguali a 65 anni di età e il 17% (n = 550) erano maggiori o pari a 75 anni di età. Dei pazienti che hanno ricevuto studi di fosamax negli Stati Uniti e multinazionali per il trattamento del trattamento delle donne nelle donne studi sull'osteoporosi negli uomini studi di osteoporosi indotta da glucocorticoidi e studi sulla malattia di Paget [vedi Studi clinici (NULL,5)] 45% 54% 37% e 70% rispettivamente avevano 65 anni o più. Non è stata osservata differenze complessive nell'efficacia o nella sicurezza tra questi pazienti e i pazienti più giovani, ma non è possibile escludere una maggiore sensibilità di alcuni individui più anziani.
Compromissione renale
Fosamax is not recommended fO patients with creatinine clearance less than 35 mL/min. No dosage adjustment is necessary in patients with creatinine clearance values between 35-60 mL/min [see Farmacologia clinica ].
Compromissione epatica
In quanto vi sono prove che il alendronato non sia metabolizzato o escreto nel Anche Non sono stati condotti studi in pazienti con compromissione epatica. Non è necessario alcun regolazione del dosaggio [vedi Farmacologia clinica ].
Informazioni per overdose per Fosamax
Letalità significativa dopo singole dosi orali è stata osservata rispettivamente in ratti e topi a 552 mg/kg (3256 mg/m²) e 966 mg/kg (2898 mg/m²). Nei maschi questi valori erano leggermente più alti 626 e 1280 mg/kg rispettivamente. Non c'era letalità nei cani a dosi orali fino a 200 mg/kg (4000 mg/m²).
Non sono disponibili informazioni specifiche sul trattamento del sovradosaggio con Fosamax. L'ipofosfatemia ipocalcemia e gli eventi avversi gastrointestinali superiori come la gastrite o l'ulcera per esofagite da stomaco a stomaco disturbato possono derivare da un sovradosaggio orale. Il latte o gli antiacidi devono essere somministrati per legare alendronato. A causa del rischio di irritazione esofagea il vomito non deve essere indotto e il paziente dovrebbe rimanere completamente in posizione verticale.
La dialisi non sarebbe utile.
Controindicazioni per Fosamax
Fosamax is contraindicated in patients with the following conditions:
- Anomalie dell'esofago che ritardano lo svuotamento esofageo come stenosi o acalasia [vedi Avvertimenti e precauzioni ]
- Incapacità di stare in piedi o sedersi in posizione verticale per almeno 30 minuti [vedi Dosaggio e amministrazione ; Avvertimenti e precauzioni ]
- Non somministrare la soluzione orale Fosamax ai pazienti ad aumentato rischio di aspirazione.
- Ipocalcemia [vedi Avvertimenti e precauzioni ]
- Ipersensibilità a qualsiasi componente di questo prodotto. Sono state riportate reazioni di ipersensibilità tra cui orticaria e angioedema [vedi Reazioni avverse ].
Farmacologia clinica fO Fosamax
Meccanismo d'azione
Gli studi sugli animali hanno indicato la seguente modalità di azione. A livello cellulare, alendronato mostra la localizzazione preferenziale ai siti di riassorbimento osseo specificamente sotto gli osteoclasti. Gli osteoclasti aderiscono normalmente alla superficie ossea ma mancano del bordo arruffato che è indicativo di riassorbimento attivo. Alendronato non interferisce con il reclutamento o l'attaccamento degli osteoclasti, ma inibisce l'attività degli osteoclasti. Studi sui topi sulla localizzazione di radioattivo [ 3 H] alendronato nell'osso ha mostrato un assorbimento più alto di circa 10 volte sulle superfici osteoclasti rispetto alle superfici degli osteoblasti. Bones esaminate 6 e 49 giorni dopo [ 3 H] la somministrazione di alendronato nei ratti e nei topi ha mostrato rispettivamente che l'osso normale era formato in cima all'alendronato che era incorporato all'interno della matrice. Sebbene incorporato nella matrice ossea, alendronato non è farmacologicamente attivo. Pertanto, alendronato deve essere continuamente somministrato per sopprimere gli osteoclasti sulle superfici di riassorbimento di nuova formazione. L'istomorfometria in babbuini e ratti ha mostrato che il trattamento alendronato riduce il turnover osseo (cioè il numero di siti in cui viene rimodellato l'osso). Inoltre, la formazione ossea supera il riassorbimento osseo in questi siti di rimodellamento che portano a guadagni progressivi nella massa ossea.
Farmacodinamica
Alendronato è un bifosfonato che si lega all'idrossiapatite ossea e inibisce in modo specifico l'attività degli osteoclasti le cellule che resorgono l'osso. Alendronato riduce il riassorbimento osseo senza alcun effetto diretto sulla formazione ossea sebbene quest'ultimo processo sia in definitiva ridotto perché il riassorbimento e la formazione ossei sono accoppiati durante il turnover osseo.
Osteoporosi nelle donne in postmenopausa
L'osteoporosi è caratterizzata da una bassa massa ossea che porta ad un aumentato rischio di frattura. La diagnosi può essere confermata dalla scoperta di una bassa evidenza di massa ossea di frattura sulla radiografia di una storia di frattura osteoporotica o perdita di altezza o cifosi indicativa di frattura vertebrale (spinale). L'osteoporosi si verifica sia nei maschi che nelle femmine, ma è più comune tra le donne che seguono il menopausa Quando il turnover osseo aumenta e il tasso di riassorbimento osseo supera quello della formazione ossea. Questi cambiamenti comportano una perdita ossea progressiva e portano all'osteoporosi in una proporzione significativa di donne di età superiore ai 50 anni. Le fratture solitamente dell'anca della colonna vertebrale e del polso sono le conseguenze comuni. Dall'età di 50 all'età di 90 anni il rischio di frattura dell'anca nelle donne bianche aumenta di 50 volte e il rischio di frattura vertebrale da 15 a 30 volte. Si stima che circa il 40% delle donne di 50 anni sosterrà una o più fratture legate all'osteoporosi dell'anca della colonna vertebrale o del polso durante la vita rimanente. Le fratture dell'anca in particolare sono associate a sostanziale disabilità e mortalità per morbilità.
Dosi orali giornaliere di alendronato (5 20 e 40 mg per sei settimane) nelle donne postmenopausa prodotte Biochimico Cambiamenti indicativi dell'inibizione dose-dipendente del riassorbimento osseo, comprese le diminuzioni del calcio urinario e dei marcatori urinari della degradazione del collagene osseo (come la deossypiridinolina e i telopeptidi N reticolati del collagene di tipo I). Questi cambiamenti biochimici tendevano a tornare ai valori di base già 3 settimane dopo l'interruzione della terapia con alendronato e non differivano dal placebo dopo 7 mesi.
Trattamento a lungo termine dell'osteoporosi con Fosamax 10 mg/die (per un massimo di cinque anni) ha ridotto l'escrezione urinaria dei marcatori del riassorbimento osseo di desossypiridinolina e N-telopeptidi di tipo L di tipo L rispettivamente per raggiungere i livelli simili a quelli visti in donne sana premiopausali. Diminuzioni simili sono state osservate nei pazienti negli studi di prevenzione dell'osteoporosi che hanno ricevuto Fosamax 5 mg/die. La diminuzione del tasso di riassorbimento osseo indicato da questi marcatori era evidente già un mese e da tre a sei mesi ha raggiunto un plateau che è stato mantenuto per l'intera durata del trattamento con Fosamax. Negli studi sul trattamento con osteoporosi FOSAMAX 10 mg/die hanno ridotto i marcatori della formazione ossea l'osteocalcina e la fosfatasi alcalina specifica per l'osso di circa il 50% e la fosfatasi alcalina sierica totale di circa il 25-30% per raggiungere un plateau dopo 6-12 mesi. Negli studi di prevenzione dell'osteoporosi Fosamax 5 mg/giorno hanno ridotto l'osteocalcina e la fosfatasi alcalina sierica totale rispettivamente di circa il 40% e il 15%. Riduzioni simili nel tasso di turnover osseo sono state osservate nelle donne in postmenopausa durante studi di un anno con Fosamax 70 mg una volta settimanali per il trattamento dell'osteoporosi e una volta settimanalmente Fosamax 35 mg per la prevenzione dell'osteoporosi. Questi dati indicano che il tasso di turnover osseo ha raggiunto un nuovo stato stazionario nonostante il progressivo aumento della quantità totale di alendronato depositato all'interno dell'osso.
A seguito dell'inibizione delle riduzioni asintomatiche di riassorbimento ossee nelle concentrazioni sieriche di calcio e fosfato sono stati osservati anche dopo il trattamento con Fosamax. Negli studi a lungo termine le riduzioni del basale nel calcio sierico (circa 2%) e il fosfato (circa dal 4 al 6%) erano evidenti il primo mese dopo l'inizio di Fosamax 10 mg. Non sono state osservate ulteriori diminuzioni del calcio sierico per la durata di cinque anni del trattamento; Tuttavia, il fosfato sierico è tornato ai livelli di prestigio durante gli anni da tre a cinque. Riduzioni simili sono state osservate con Fosamax 5 mg/die. In studi di un anno con FOSAMAX 35 e 70 mg una volta settimanali sono stati osservati riduzioni simili a 6 e 12 mesi. La riduzione del fosfato sierico può riflettere non solo l'equilibrio minerale osseo positivo a causa di Fosamax, ma anche una diminuzione del riassorbimento del fosfato renale.
Osteoporosi negli uomini
Trattamento degli uomini con osteoporosi con Fosamax 10 mg/die per due anni ridotto l'escrezione urinaria di N-telopeptidi reticolati di collagene di tipo I di circa il 60% e fosfatasi alcalina specifica dell'osso di circa il 40%. Riduzioni simili sono state osservate in uno studio di un anno negli uomini con osteoporosi che ricevevano Fosamax 70 mg una volta settimanali.
Osteoporosi indotta da glucocorticoidi
L'uso sostenuto di glucocorticoidi è comunemente associato allo sviluppo dell'osteoporosi e alle fratture risultanti (in particolare all'anca e alle costole vertebrali). Si verifica sia nei maschi che nelle femmine di tutte le età. L'osteoporosi si verifica a seguito della formazione ossea inibita e dell'aumento del riassorbimento osseo con conseguente perdita ossea netta. Alendronato diminuisce il riassorbimento osseo senza inibire direttamente la formazione ossea.
Negli studi clinici fino a due anni di Fosamax 5 e 10 mg/giorno hanno ridotto N-telopeptidi di collagene di tipo I (un marcatore di riassorbimento osseo) di circa il 60% e ridotto bonespecifico alcalino fosfatasi rispettivamente. A seguito dell'inibizione del riassorbimento osseo FOSAMAX 5 e 10 mg/giorno ha indotto diminuzioni asintomatiche del calcio sierico (circa 1-2%) e fosfato sierico (circa 1-8%).
La malattia da osso di Paget
La malattia dell'osso di Paget è un disturbo scheletrico focale cronico caratterizzato da rimodellamento osseo notevolmente aumentato e disordinato. L'eccessivo riassorbimento osseo osteoclastico è seguito da una nuova formazione ossea osteoblastica che porta alla sostituzione dell'architettura ossea normale mediante struttura ossea ingrandita e indebolita disorganizzata.
Le manifestazioni cliniche della malattia di Paget non vanno da sintomi alla morbilità grave a causa delle fratture patologiche della deformità ossea del dolore osseo e delle complicanze neurologiche e di altro tipo. Fosfatasi alcalina sierica L'indice biochimico più frequentemente utilizzato dell'attività della malattia fornisce una misura obiettiva della gravità della malattia e della risposta alla terapia.
Fosamax decreases the rate of bone resOption directly which leads to an indirect decrease in bone fOmation. In clinical trials Fosamax 40 mg once daily fO six months produced significant decreases in serum alkaline phosphatase as well as in urinary markers of bone collagen degradation. As a result of the inhibition of bone resOption Fosamax induced generally mild transient E asymptomatic decreases in serum calcium E phosphate.
Farmacocinetica
Assorbimento
Rispetto a una dose di riferimento per via endovenosa, la biodisponibilità orale media di alendronato nelle donne era dello 0,64% per dosi che vanno da 5 a 70 mg quando somministrata dopo un digiuno notturno e due ore prima di una colazione standardizzata. La biodisponibilità orale della compressa da 10 mg negli uomini (NULL,59%) era simile a quella nelle donne quando somministrata dopo un digiuno durante la notte e 2 ore prima della colazione.
Fosamax 70 mg Oal solution E Fosamax 70 mg tablet are equally bioavailable.
È stato condotto uno studio che esamina l'effetto dei tempi di un pasto sulla biodisponibilità di alendronato in 49 donne in postmenopausa. La biodisponibilità è stata ridotta (di circa il 40%) quando 10 mg di alendronato venivano somministrati 0,5 o 1 ora prima di una colazione standardizzata rispetto al dosaggio 2 ore prima di mangiare. Negli studi sul trattamento e sulla prevenzione dell'osteoporosi alendronato è stato efficace quando somministrato almeno 30 minuti prima di colazione.
La biodisponibilità era trascurabile se l'alendronato fosse somministrato con o fino a due ore dopo una colazione standardizzata. La somministrazione concomitante di alendronato con caffè o succo d'arancia ha ridotto la biodisponibilità di circa il 60%.
Distribuzione
Studi preclinici (nei ratti maschi) mostrano che l'alendronato si distribuisce transitoriamente ai tessuti molli dopo 1 mg/kg di somministrazione endovenosa ma viene quindi rapidamente ridistribuita all'osso o escreto nelle urine. Il volume medio allo stato stazionario di distribuzione esclusiva dell'osso è di almeno 28 L nell'uomo. Le concentrazioni di farmaco nel plasma a seguito di dosi orali terapeutiche sono troppo basse (meno di 5 ng/mL) per il rilevamento analitico. Il legame delle proteine nel plasma umano è di circa il 78%.
Metabolismo
Non ci sono prove che l'alendronato sia metabolizzato negli animali o nell'uomo.
Escrezione
A seguito di una singola dose endovenosa di [14C] alendronato, circa il 50% della radioattività è stato escreto nelle urine entro 72 ore e nelle feci è stata recuperata poca o nessuna radioattività. A seguito di una singola dose endovenosa da 10 mg, la clearance renale di alendronato era di 71 ml/min (64 78; intervallo di confidenza al 90% [CI]) e la clearance sistemica non ha superato i 200 ml/min. Le concentrazioni plasmatiche sono diminuite di oltre il 95% entro 6 ore dopo la somministrazione endovenosa. Si stima che l'emivita terminale nell'uomo superi i 10 anni probabilmente riflettendo il rilascio di alendronato dallo scheletro. Sulla base di quanto sopra si stima che dopo 10 anni di trattamento orale con Fosamax (10 mg al giorno) la quantità di alendronato rilasciata quotidianamente dallo scheletro è circa il 25% di quella assorbita dal tratto gastrointestinale.
Popolazioni specifiche
Genere
La biodisponibilità e la frazione di una dose endovenosa escreta nelle urine erano simili negli uomini e nelle donne.
Losartan è generico per quale farmaco
Geriatrico
La biodisponibilità e la disposizione (escrezione urinaria) erano simili nei pazienti anziani e più giovani. Non è necessario alcun aggiustamento del dosaggio nei pazienti anziani.
Gara
Le differenze farmacocinetiche dovute alla razza non sono state studiate.
Compromissione renale
Studi preclinici dimostrano che nei ratti con insufficienza renale che aumentano quantità di droga sono presenti nella milza renale al plasma e nella tibia. Nei controlli sani, il farmaco non depositato nell'osso viene rapidamente escreto nelle urine. Non è stata trovata alcuna evidenza di saturazione dell'assorbimento osseo dopo 3 settimane di dosaggio con dosi cumulative endovenose di 35 mg/kg nei giovani ratti maschi. Sebbene in pazienti non sia stato condotto uno studio di farmacocinetico renale formale, come negli animali l'eliminazione di alendronato attraverso il rene sarà ridotto nei pazienti con funzionalità renale alterata. Pertanto, ci si potrebbe aspettare un accumulo leggermente maggiore di alendronato nell'osso nei pazienti con funzionalità renale alterata.
Non è necessario alcun aggiustamento del dosaggio per i pazienti con autorizzazione della creatinina da 35 a 60 ml/min.
Fosamax is not recommended fO patients with creatinine clearance less than 35 mL/min due to lack of experience with alendronate in renal failure.
Compromissione epatica
In quanto vi sono prove che il alendronato non sia metabolizzato o escreto nel Anche no studies were conducted in patients with hepatic impairment. No dosage adjustment is necessary.
Interazioni farmacologiche
La ranitidina per via endovenosa ha mostrato raddoppiare la biodisponibilità di alendronato orale. Non è noto il significato clinico di questa maggiore biodisponibilità e se si verificano aumenti simili nei pazienti dati gli antagonisti H2 orali.
Nei soggetti sani il prednisone orale (20 mg tre volte al giorno per cinque giorni) non ha prodotto un cambiamento clinicamente significativo nella biodisponibilità orale di alendronato (un aumento medio che va dal 20 al 44%).
I prodotti contenenti calcio e altri cationi multivalenti possono interferire con l'assorbimento di alendronato.
Tossicologia animale e/o farmacologia
Le attività inibitorie relative sul riassorbimento osseo e la mineralizzazione di alendronato e etidronato sono state confrontate nel test Schenk che si basa sull'esame istologico delle epifisi dei ratti in crescita. In questo dosaggio la dose più bassa di alendronato che interferiva con la mineralizzazione ossea (che portava all'osteomalacia) era di 6000 volte la dose antireorpente. Il rapporto corrispondente per l'etidronato era uno a uno. Questi dati suggeriscono che è altamente improbabile che alendronato somministrato in dosi terapeutiche inducano l'osteomalacia.
Studi clinici
Trattamento dell'osteoporosi nelle donne in postmenopausa
Dosaggio quotidiano
L'efficacia di Fosamax 10 mg al giorno è stata valutata in quattro studi clinici. Studio 1 Un studio clinico statunitense a doppio cieco multicentrico di tre anni ha controllato lo studio clinico degli Stati Uniti arruolato 478 pazienti con un punteggio T BMD a o inferiore a meno 2,5 con o senza una precedente frattura vertebrale; Studio 2 Uno studio clinico multinazionale a doppio gemello multicentrico di tre anni ha arruolato 516 pazienti con un punteggio T BMD a o inferiore a meno 2,5 con o senza una frattura vertebrale precedente; Studio 3 Lo studio triennale dello studio di intervento della frattura (FIT) Uno studio che ha arruolato i pazienti postmenopausa del 2027 con almeno una frattura vertebrale basale; e Studio 4 Lo studio di quattro anni dell'adattamento: uno studio che ha arruolato 4432 pazienti postmenopausa con massa ossea bassa ma senza una frattura vertebrale basale.
Effetto sull'incidenza della frattura
Per valutare gli effetti di Fosamax sull'incidenza delle fratture vertebrali (rilevate dalla radiografia digitalizzata; circa un terzo di questi erano clinicamente sintomatici) gli studi statunitensi e multinazionali sono stati combinati in un'analisi che ha confrontato il placebo con i gruppi di dosaggio aggregati di Fosamax (5 o 10 mg per tre anni o 20 mg per due anni seguiti da 5 mg per un anno). Vi è stata una riduzione statisticamente significativa nella proporzione di pazienti trattati con Fosamax che hanno avuto una o più nuove fratture vertebrali rispetto a quelle trattate con placebo (NULL,2% vs. 6,2%; una riduzione del rischio relativo del 48%). È stata anche osservata una riduzione del numero totale di nuove fratture vertebrali (NULL,2 contro 11,3 per 100 pazienti). Nelle analisi aggregate i pazienti che hanno ricevuto Fosamax hanno avuto una perdita di statura statisticamente significativamente inferiore a quella osservata in coloro che hanno ricevuto placebo (-3,0 mm contro -4,6 mm).
Lo studio di intervento della frattura (FIT) consisteva in due studi sulle donne in postmenopausa: lo studio di tre anni su pazienti che avevano almeno una frattura vertebrale radiografica basale e lo studio di quattro anni di pazienti con massa ossea bassa ma senza una frattura vertebrale basale. In entrambi gli studi sull'adattamento, il 96% dei pazienti randomizzati ha completato gli studi (vale a dire una visita di chiusura alla fine programmata dello studio); Circa l'80% dei pazienti stava ancora assumendo farmaci per lo studio al completamento.
Prova di intervento della frattura: Three-Year Study (patients with at least one baseline radiographic vertebral fracture)
Questo studio randomizzato in doppio cieco a doppio cieco controllato con placebo (Fosamax n = 1022; placebo n = 1005) ha dimostrato che il trattamento con Fosamax ha comportato una riduzione statisticamente significativa dell'incidenza della frattura a tre anni, come mostrato nella Tabella 6.
Tabella 6: Effetto di Fosamax sull'incidenza della frattura nello studio triennale di adattamento (pazienti con frattura vertebrale al basale)
| Percentuale dei pazienti | ||||
| Fosamax (n = 1022) | Placebo (n = 1005) | Riduzione assoluta dell'incidenza della frattura | Riduzione relativa del rischio di frattura % | |
| Pazienti con: | ||||
| Fratture vertebrali (diagnosticate da raggi X)* | ||||
| 7.9 | 15 | 7.1 | 47 † | |
| 0.5 | 4.9 | 4.4 | 90 † | |
| Fratture cliniche (sintomatiche) | ||||
| 13.8 | 18.1 | 4.3 | 26 ‡ | |
| 2.3 | 5 | 2.7 | 54 § | |
| Frattura dell'anca | 1.1 | 2.2 | 1.1 | 51 ¶ |
| Frattura da polso (avambraccio) | 2.2 | 4.1 | 1.9 | 48 ¶ |
| *Numero valutabile per fratture vertebrali: Fosamax n = 984; Placebo n = 966 † p <0.001 ‡ p = 0,007 § p <0.01 ¶ p <0.05 |
Inoltre, in questa popolazione di pazienti con trattamento di frattura vertebrale basale con Fosamax ha ridotto significativamente l'incidenza dei ricoveri (NULL,0% contro 30,7%).
Nello studio triennale sulle fratture di adattamento dell'anca si è verificato in 22 (NULL,2%) su 1005 pazienti su placebo e 11 (NULL,1%) di 1022 pazienti su Fosamax P = 0,047. La Figura 1 mostra l'incidenza cumulativa delle fratture dell'anca in questo studio.
Figura 1: incidenza cumulativa di fratture dell'anca nello studio triennale di adattamento (pazienti con frattura vertebrale radiografica al basale)
|
Prova di intervento della frattura: Four-Year Study (patients with low bone mass but without a baseline radiographic vertebral fracture)
Questo studio randomizzato in doppio cieco controllato con placebo (Fosamax n = 2214; placebo n = 2218) ha ulteriormente studiato la riduzione dell'incidenza della frattura dovuta a Fosamax. L'intento dello studio era di reclutare donne con osteoporosi definita come BMD del collo femorale basale almeno due deviazioni standard al di sotto della media per le giovani donne adulte. Tuttavia, a causa delle successive revisioni ai valori normativi per il collo femorale, il 31% dei pazienti non è stato riscontrato che non soddisfino questo criterio di ingresso e quindi questo studio includeva donne osteoporotiche e non osteoporotiche. I risultati sono mostrati nella Tabella 7 per i pazienti con osteoporosi.
Tabella 7: Effetto di Fosamax sull'incidenza della frattura nei pazienti osteoporotici* nello studio di quattro anni di adattamento (pazienti senza frattura vertebrale al basale)
| Percentuale dei pazienti | ||||
| Fosamax (n = 1545) | Placebo (n = 1521) | Riduzione assoluta dell'incidenza della frattura | Riduzione relativa del rischio di frattura (%) | |
| Pazienti con: | ||||
| Fratture vertebrali (diagnosticate da radiografia) † | ||||
| 2.5 | 4.8 | 2.3 | 48 ‡ | |
| 0.1 | 0.6 | 0.5 | 78 § | |
| Fratture cliniche (sintomatiche) | ||||
| 12.9 | 16.2 | 3.3 | 22 ¶ | |
| 1.0 | 1.6 | 0.6 | 41 (NS) # | |
| Frattura dell'anca | 1.0 | 1.4 | 0.4 | 29 (NS) # |
| Frattura da polso (avambraccio) | 3.9 | 3.8 | -0.1 | Ns # |
| *BMD del collo femorale basale almeno 2 DS al di sotto della media per le giovani donne adulte † Numero valutabile per fratture vertebrali: Fosamax n = 1426; placebo n = 1428 ‡ p <0.001 § p = 0,035 ¶ p = 0,01 # Non significativo. Questo studio non è stato alimentato per rilevare differenze in questi siti. |
Risultati della frattura attraverso gli studi
Nello studio triennale di FIT Fosamax ha ridotto la percentuale di donne che vivono almeno una nuova frattura vertebrale radiografica dal 15,0% al 7,9% (47% di riduzione del rischio relativo P <0.001); in the Four-Year Study of FIT the percentage was reduced from 3.8% to 2.1% (44% relative risk reduction p=0.001); E in the combined U.S./Multinational studies from 6.2% to 3.2% (48% relative risk reduction p=0.034).
Fosamax reduced the percentage of women experiencing multiple (two O mOe) new vertebral fractures from 4.2% to 0.6% (87% relative risk reduction p <0.001) in the combined U.S./Multinational studies E from 4.9% to 0.5% (90% relative risk reduction p <0.001) in the Three-Year Study of FIT. In the Four-Year Study of FIT Fosamax reduced the percentage of osteopOotic women experiencing multiple vertebral fractures from 0.6% to 0.1% (78% relative risk reduction p = 0,035).
Pertanto, Fosamax ha ridotto l'incidenza di fratture vertebrali radiografiche nelle donne osteoporotiche, indipendentemente dal fatto che avessero una precedente frattura vertebrale radiografica.
Effetto sulla densità minerale ossea
L'efficacia della densità minerale ossea di Fosamax 10 mg una volta al giorno nelle donne in postmenopausa da 44 a 84 anni con osteoporosi (densità minerale ossea della colonna lombare [BMD] di almeno 2 deviazioni standard al di sotto della media della pretese) è stata dimostrata in quattro studi clinici a doppia ottime.
La Figura 2 mostra gli aumenti medi della BMD del collo femorale della colonna lombare e del trocantere nei pazienti che hanno ricevuto Fosamax 10 mg/die rispetto ai pazienti trattati con placebo a tre anni per ciascuno di questi studi.
Figura 2: studi sul trattamento dell'osteoporosi nelle donne in postmenopausa aumentano in BMD FOSAMAX 10mg/giorno a tre anni
|
A tre anni sono stati osservati aumenti significativi della BMD relativa sia al basale che al placebo in ciascun sito di misurazione in ogni studio in pazienti che hanno ricevuto Fosamax 10 mg/die. Anche la BMD del corpo totale è aumentata in modo significativo in ogni studio, suggerendo che gli aumenti della massa ossea della colonna vertebrale e dell'anca non si sono verificati a spese di altri siti scheletrici. Gli aumenti della BMD erano evidenti già tre mesi e sono continuati durante i tre anni di trattamento. (Vedi la Figura 3 per i risultati della colonna lombare.) Nell'estensione di Twoyear di questi studi il trattamento di 147 pazienti con Fosamax 10 mg/giorno ha comportato continui aumenti della BMD al lombare e del trocantere (aumenti aggiuntivi assoluti tra gli anni 3 e 5: spina lombare 0,94%; trocantere 0,88%). Sono stati mantenuti BMD all'avambraccio del collo femorale e al corpo totale. FOSAMAX è stato altrettanto efficace indipendentemente dal tasso di base della razza di età del turnover osseo e dalla BMD di base nella gamma studiata (almeno 2 deviazioni standard al di sotto della media della premenopausa).
Figura 3: Studi sul trattamento dell'osteoporosi nelle donne in postmenopausale tempo del corso degli effetti di Fosamax 10 mg/die contro placebo: variazione della percentuale BMD della colonna lombare dal basale
|
Nei pazienti con osteoporosi postmenopausa trattati con Fosamax 10 mg/die per uno o due anni sono stati valutati gli effetti del ritiro del trattamento. Dopo l'interruzione non ci sono stati ulteriori aumenti della massa ossea e i tassi di perdita ossea erano simili a quelli dei gruppi placebo.
Istologia ossea
L'istologia ossea in 270 pazienti postmenopausa con osteoporosi trattati con Fosamax a dosi che vanno da 1 a 20 mg/die per uno due o tre anni hanno rivelato la normale mineralizzazione e la struttura, nonché la prevista riduzione del turnover osseo rispetto al placebo. Questi dati insieme alla normale istologia ossea e all'aumento della resistenza ossea osservati nei ratti e nei babbuini esposti al trattamento a alendronato a lungo termine supportano la conclusione che l'osso si è formato durante la terapia con Fosamax è di qualità normale.
Effetto sull'altezza
Fosamax over a three- O four-year period was associated with statistically significant reductions in loss of height vs. placebo in patients with E without baseline radiographic vertebral fractures. At the end of the FIT studies the between-treatment group differences were 3.2 mm in the Three-Year Study E 1.3 mm in the Four-Year Study.
Dosaggio settimanale
L'equivalenza terapeutica di FOSAMAX 70 mg un tempo settimana (n = 519) e Fosamax 10 mg al giorno (n = 370) è stata dimostrata in uno studio multicentrico in doppio cieco di un anno sulle donne postmenopausa con osteoporosi. Nell'analisi primaria dei completatori gli aumenti medi rispetto al basale nella BMD della colonna lombare a un anno erano del 5,1% (NULL,8 5,4%; IC 95%) nel gruppo 70 mg una volta settimane (n = 440) e 5,4% (NULL,0 5,8%; IC 95%) nel gruppo giornaliero da 10 mg (n = 330). I due gruppi di trattamento erano anche simili per quanto riguarda gli aumenti della BMD in altri siti scheletrici. I risultati dell'analisi dell'intenzione di trattamento erano coerenti con l'analisi primaria dei completatori.
Uso concomitante con terapia sostitutiva degli estrogeni/ormoni (HRT)
Gli effetti sulla BMD del trattamento con FOSAMAX 10 mg una volta al giorno e estrogeni coniugati (NULL,625 mg/die) da soli o in combinazione sono stati valutati in uno studio a due anni in doppio cieco di donne-boccontrelli di donne ostectousali postmenopausali (N = 425). A due anni gli aumenti della BMD della colonna lombare dal basale erano significativamente maggiori con la combinazione (NULL,3%) rispetto al solo estrogeno o Fosamax (entrambi i 6,0%).
Gli effetti sulla BMD quando Fosamax è stato aggiunto a dosi stabili (per almeno un anno) di HRT (estrogeni ± progestin) sono stati valutati in uno studio controllato con placebo in doppio cieco di un anno nelle donne osteoporotiche postmenopausa (n = 428). L'aggiunta di FOSAMAX 10 mg una volta al giorno a HRT ha prodotto un aumento significativamente maggiore della BMD della colonna lombare (NULL,7%) rispetto alla sola HRT (NULL,1%).
In questi studi sono stati osservati aumenti significativi o tendenze favorevoli nella BMD per la terapia combinata rispetto alla sola risorsa HRT al collo del femorale dell'anca e al trocantere. Non sono stati osservati effetti significativi per la BMD del corpo totale.
Gli studi istomorfometrici delle biopsie transiliac in 92 soggetti hanno mostrato un'architettura ossea normale.
Rispetto al placebo, c'è stata una soppressione del 98% del turnover osseo (come valutato dalla superficie di mineralizzazione) dopo 18 mesi di trattamento combinato con FOSAMAX e HRT 94% solo sulla Fosamax e il 78% sulla sola risorsa. Gli effetti a lungo termine di Fosamax e HRT combinati sul verificarsi della frattura e la guarigione della frattura non sono stati studiati.
Prevenzione dell'osteoporosi nelle donne in postmenopausa
Dosaggio quotidiano
La prevenzione della perdita ossea è stata dimostrata in due studi in doppio cieco controllati con placebo sulle donne postmenopausa di 40-60 anni. Mille seicentove pazienti (Fosamax 5 mg/die; n = 498) che erano almeno sei mesi in postmenopausa sono stati stipulati in uno studio di due anni indipendentemente dal loro BMD di base. Nell'altro studio 447 pazienti (Fosamax 5 mg/die; n = 88) che erano tra sei mesi e tre anni in postmenopausa sono stati trattati per un massimo di tre anni. Nei pazienti trattati con placebo perdite BMD di circa l'1% all'anno sono state osservate all'anca della colonna vertebrale (collo femorale e trocantere) e corpo totale. Al contrario Fosamax 5 mg/giorno ha impedito la perdita ossea nella maggior parte dei pazienti e ha indotto aumenti significativi della massa ossea media in ciascuno di questi siti (vedere la Figura 4). Inoltre, Fosamax 5 mg/giorno ha ridotto il tasso di perdita ossea all'avambraccio di circa la metà rispetto al placebo. FOSAMAX 5 mg/die è stato altrettanto efficace in questa popolazione, indipendentemente dal tempo di età dal tasso di razza della menopausa e dal tasso di base del turnover osseo.
Figura 4: studi sul trattamento dell'osteoporosi nelle donne in postmenopausa
|
Istologia ossea
L'istologia ossea era normale nei 28 pazienti biopsati alla fine di tre anni che hanno ricevuto Fosamax a dosi fino a 10 mg/die.
Dosaggio settimanale
L'equivalenza terapeutica di FOSAMAX 35 mg (n = 362) e Fosamax 5 mg una volta settimanale è stata dimostrata in uno studio multicentrico in doppio cieco di un anno di donne postmenopausa senza osteoporosi. Nell'analisi primaria dei completatori gli aumenti medi rispetto al basale nella BMD della colonna lombare a un anno erano del 2,9% (NULL,6 3,2%; IC 95%) nel gruppo 35 mg una volta settimane (n = 307) e 3,2% (NULL,9 3,5%; IC 95%) nel gruppo giornaliero da 5 mg (n = 298). I due gruppi di trattamento erano anche simili per quanto riguarda gli aumenti della BMD in altri siti scheletrici. I risultati dell'analisi dell'intenzione di trattamento erano coerenti con l'analisi primaria dei completatori.
Trattamento per aumentare la massa ossea negli uomini con osteoporosi
L'efficacia di Fosamax negli uomini con osteoporosi ipogonadica o idiopatica è stata dimostrata in due studi clinici.
Dosaggio quotidiano
Uno studio multicentrico a doppio cieco a doppio cieco a due anni su Fosamax 10 mg una volta iscritto al giorno un totale di 241 uomini di età compresa tra 31 e 87 (media 63). Tutti i pazienti nello studio avevano un punteggio T BMD inferiore o uguale a -2 al collo femorale e inferiore o uguale a -1 alla colonna lombare o una frattura osteoporotica basale e un punteggio T BMD inferiore o uguale a -1 al collo del femorale. A due anni gli aumenti medi rispetto al placebo nella BMD negli uomini che ricevevano Fosamax 10 mg/giorno erano significativi nei seguenti siti: colonna lombare del 5,3%; collo femorale 2,6%; trocantere 3,1%; e corpo totale dell'1,6%. Il trattamento con Fosamax ha anche ridotto la perdita di altezza (Fosamax -0,6 mm contro placebo -2,4 mm).
Dosaggio settimanale
Uno studio multicentrico controllato in doppio cieco di un anno di Fosamax 70 mg ha registrato un totale di 167 uomini di età compresa tra 38 e 91 (media 66). I pazienti nello studio avevano un punteggio T BMD inferiore o uguale a -2 sul collo femorale e inferiore o uguale a -1 alla colonna lombare o un punteggio T BMD inferiore o uguale a -2 a -a -a -1 a e pari a -1 a -1 a -1 a -1 a -1 a -1 a -1 a e pari a -1 a -1 a -1 a -1 a e pari a -1 a e pari a un netto. A un anno gli aumenti medi rispetto al placebo nella BMD negli uomini che ricevevano Fosamax 70 mg una volta alla settimana erano significativi nei seguenti siti: colonna lombare del 2,8%; collo femorale 1,9%; trocantere 2,0%; e corpo totale dell'1,2%. Questi aumenti della BMD erano simili a quelli visti a un anno nello studio Oncedily da 10 mg.
In entrambi gli studi le risposte BMD erano simili indipendentemente dall'età (maggiore o uguale a 65 anni rispetto a meno di 65 anni) funzione gonadica (testosterone basale inferiore a 9 ng/dl rispetto a maggiore o uguale a 9 ng/dl) o BMD basale (collo a base di spina lombare inferiore a o uguale a -2,5 vs. -2,5).
Trattamento dell'osteoporosi indotta da glucocorticoidi
L'efficacia di Fosamax 5 e 10 mg una volta al giorno negli uomini e nelle donne che ricevevano glucocorticoidi (almeno 7,5 mg/giorno di prednisone o equivalente) è stata dimostrata in due studi randomizzati in doppio piatto di un anno (che includevano anche gli studi multicentrici di Fosamax. Questi studi hanno arruolato rispettivamente 232 e 328 pazienti tra le età di 17 e 83 con una varietà di malattie che richiedono glucocorticoidi. I pazienti hanno ricevuto calcio supplementare e vitamina D. La Figura 5 mostra gli aumenti medi rispetto al placebo nella BMD del collo femorale della colonna lombare e del trocantere nei pazienti che hanno ricevuto Fosamax 5 mg/die per ogni studio.
Figura 5: Studi in glucocorticoide - I pazienti trattati aumentano in BMD FOSAMAX 5 mg/giorno a un anno
|
Dopo un anno sono stati osservati aumenti significativi rispetto al placebo nella BMD negli studi combinati in ciascuno di questi siti in pazienti che hanno ricevuto Fosamax 5 mg/die. Nei pazienti trattati con placebo si è verificata una riduzione significativa della BMD al collo del femore (-1,2%) e sono state osservate diminuzioni minori nella colonna lombare e al trocantere. Il BMD del corpo totale è stato mantenuto con Fosamax 5 mg/die. Gli aumenti della BMD con Fosamax 10 mg/die erano simili a quelli con Fosamax 5 mg/die in tutti i pazienti ad eccezione delle donne in postmenopausa che non ricevono terapia estrogenica. In queste donne gli aumenti (relativi al placebo) con Fosamax 10 mg/giorno erano maggiori di quelli con Fosamax 5 mg/die nella colonna lombare (NULL,1% vs. 1,6%) e trocantere (NULL,8% vs. 1,7%) ma non in altri siti. Fosamax era efficace indipendentemente dalla dose o dalla durata dell'uso di glucocorticoidi. Inoltre, Fosamax era allo stesso modo efficace indipendentemente dall'età (meno di 65 vs. maggiore o uguale a 65 anni) di razza (caucasica vs. altre razze) di genere sottostante il turnover osseo di base del BMD di base BMD e l'uso con una varietà di farmaci comuni.
L'istologia ossea era normale nei 49 pazienti biopsati alla fine di un anno che ha ricevuto Fosamax a dosi fino a 10 mg/die.
Dei 560 pazienti originali in questi studi 208 pazienti che sono rimasti su almeno 7,5 mg/giorno di prednisone o equivalente sono continuati in un'estensione in doppio cieco di un anno. Dopo due anni di trattamento, la BMD della colonna vertebrale è aumentata del 3,7% e del 5,0% rispetto al placebo rispettivamente con Fosamax 5 e 10 mg/die. Sono stati anche osservati aumenti significativi della BMD (rispetto al placebo) al trocantere del collo femorale e al corpo totale.
Dopo un anno il 2,3% dei pazienti trattati con FOSAMAX 5 o 10 mg/die (raggruppati) contro il 3,7% di quelli trattati con placebo ha sperimentato una nuova frattura vertebrale (non significativa). Tuttavia, nella popolazione studiata per due anni di trattamento con FOSAMAX (gruppi di dosaggio aggregati: 5 o 10 mg per due anni o 2,5 mg per un anno seguito da 10 mg per un anno) ha ridotto significativamente l'incidenza di pazienti con una nuova frattura vertebrale (Fosamax 0,7% vs. placebo 6,8%).
Trattamento della malattia dell'osso di Paget
The efficacy of FOSAMAX 40 mg once daily for six months was demonstrated in two double-blind clinical studies of male and female patients with moderate to severe Paget’s disease (alkaline phosphatase at least twice the upper limit of normal): a placebo-controlled multinational study and a U.S. comparative study with etidronate disodium 400 mg/day. La Figura 6 mostra le variazioni percentuali medie rispetto al basale nella fosfatasi alcalina sierica per un massimo di sei mesi di trattamento randomizzato.
Figura 6: Studi sulla malattia dell'effetto osseo di Paget sulla fosfatasi alcalina sierica di Fosamax 40 mg/die contro placebo o etidronato 400 mg/die
|
A sei mesi la soppressione della fosfatasi alcalina nei pazienti trattati con Fosamax era significativamente maggiore di quella ottenuta con etidronato e contrastata con la completa mancanza di risposta nei pazienti trattati con placebo. La risposta (definita come normalizzazione della fosfatasi alcalina sierica o una diminuzione dal basale maggiore o uguale al 60%) si è verificata in circa l'85% dei pazienti trattati con Fosamax negli studi combinati contro il 30% nel gruppo dell'etidronato e lo 0% nel gruppo placebo. Allo stesso modo FOSAMAX era efficace indipendentemente dall'età della razza di genere precedente di altri bifosfonati o fosfatasi alcalina basale all'interno dell'intervallo studiato (almeno il doppio del limite superiore della normale).
L'istologia ossea è stata valutata in 33 pazienti con malattia di Paget trattati con Fosamax 40 mg/die per 6 mesi. Come nei pazienti trattati per l'osteoporosi [vedi Trattamento dell'osteoporosi nelle donne in postmenopausa ] FOSAMAX non ha compromesso la mineralizzazione e è stata osservata la prevista riduzione del tasso di turnover osseo. L'osso lamellare normale è stato prodotto durante il trattamento con Fosamax anche dove l'osso preesistente è stato tessuto e disorganizzato. I dati di istologia ossea complessivi supportano la conclusione che l'osso formato durante il trattamento con Fosamax è di qualità normale.
Informazioni sul paziente per Fosamax
Nessuna informazione fornita. Si prega di fare riferimento a Avvertimenti e precauzioni sezione.