Le Informazioni Presenti Sul Sito Non Costituiscono Consulenza Medica. Non Vendiamo Nulla. L'Accuratezza Della Traduzione Non È Garantita. Disclaimer
Agenti antianxiety
Coppia di autobus
Riepilogo della droga
Cos'è Buspar?
Buspar (Buspirone) è un agente antianesiety prescritto per il trattamento dell'ansia. Buspar è disponibile come farmaco generico .
Quali sono gli effetti collaterali di Buspar?
Gli effetti collaterali comuni di Buspar includono:
- vertigini
- nausea
- mal di testa
- nervosismo
- Accendino
- sonnolenza
- sentirsi stanco
- visione sfocata
- irrequietezza
- bocca secca
- mal di stomaco
- naso chiuso
- mal di gola
- squillare nelle orecchie
- eccitazione e
- Problemi di sonno (insonnia o strani sogni).
Dosaggio per buspar
La dose di partenza per adulti usuale di Buspar è di 10-30 mg al giorno in 2-3 dosi divise fino a un massimo di 60 mg al giorno.
Quali sostanze o integratori di farmaci interagiscono con Buspar?
Le interazioni comuni farmacologiche di Buspar includono inibitori della monoamina ossidasi (MAO) (ad esempio isocarboxazid [ Marplan ]) trazodone ( Desyrel ) warfarin ( Coumadin ) eritromicina itraconazole ( Sportnox ) nefazodone ( Serzone ) e Rifampin.
Buspar durante la gravidanza e l'allattamento al seno
Non ci sono studi adeguati su Buspar nelle donne in gravidanza e non è noto se Buspar è secreto nel latte materno umano. L'uso durante la gravidanza non è raccomandato a meno che il potenziale beneficio non superi il potenziale rischio sconosciuto per il feto. Non è noto se Buspar passi nel latte materno o se potrebbe danneggiare un bambino che allatta. Consulta il medico prima dell'allattamento al seno.
Ulteriori informazioni
Il nostro Centro farmacologico degli effetti collaterali Buspar offre una visione completa delle informazioni disponibili sui farmaci sui potenziali effetti collaterali quando si assume questo farmaco.
Informazioni sui farmaci FDA
- Descrizione del farmaco
- Indicazioni
- Dosaggio
- Effetti collaterali
- Avvertimenti
- Overdose
- Farmacologia clinica
- Guida ai farmaci
Descrizione per Buspar
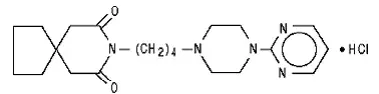
Le compresse di buspirone cloridrato USP sono un agente antianesiety che non è chimicamente o farmacologico correlato ai barbiturici delle benzodiazepine o ad altri farmaci sedativi/ansiolitici.
Buspirone cloridrato USP è una polvere cristallina bianca. È molto solubile in acqua; liberamente solubile in metanolo e nel cloruro di metilene; con parsimonia solubile in etanolo e in acetonitrile; Molto leggermente solubile in acetato di etile e praticamente insolubile negli esani. Il suo peso molecolare è 422. Chimicamente il cloridrato di bussorone è 8- [4- [4- (2-pirimidinil) -1-piperazinil] butyl] -8-azaspiro [4.5] decano-79- monoidrocloruro. La formula molecolare C 21 H 31 N 5 O 2 • HCL è rappresentato dalla seguente formula strutturale:
|
Ogni compressa di buspirone cloridrato destinata alla somministrazione orale contiene 5 mg o 10 mg o 15 mg o 30 mg di buspirone cloridrato (equivalente a 4,6 mg 9,1 mg 13,7 mg e 27,4 mg rispettivamente di base di buspirone). Inoltre, ogni compressa contiene i seguenti ingredienti inattivi: biossido di silicio colloidale lattosio monoidosato monoidrato magnesio stearato di cellulosa microcristallina e glicolato di amido di sodio. Le compresse da 5 mg e 10 mg vengono valutate in modo che possano essere bisettate. Pertanto, la compressa da 5 mg può anche fornire una dose di 2,5 mg e la compressa da 10 mg può fornire una dose di 5 mg. Le compresse da 15 mg e 30 mg vengono valutate in modo che possano essere bisettate o trisettate. Pertanto una singola compressa da 15 mg può fornire le seguenti dosi: 15 mg (compressa intera) 10 mg (due terzi di una compressa) 7,5 mg (metà di una compressa) o 5 mg (un terzo di una compressa). Una singola compressa da 30 mg può fornire le seguenti dosi: 30 mg (compressa intera) 20 mg (due terzi di una compressa) 15 mg (metà di una compressa) o 10 mg (un terzo di una compressa).
Usi per Buspar
Le compresse di buspirone cloridrato sono indicate per la gestione dei disturbi d'ansia o per il sollievo a breve termine dei sintomi dell'ansia. L'ansia o la tensione associate allo stress della vita quotidiana di solito non richiedono un trattamento con un ansiolitico.
L'efficacia delle compresse di cloridrato di buspirone è stata dimostrata in studi clinici controllati di pazienti ambulatoriali la cui diagnosi corrisponde approssimativamente al disturbo d'ansia generalizzato (GAD). Molti dei pazienti arruolati in questi studi presentavano anche sintomi depressivi coesistenti e compresse di cloridrato di buspirone alleviato in presenza di questi sintomi depressivi coesistenti. I pazienti valutati in questi studi avevano sperimentato sintomi per periodi da 1 mese a oltre 1 anno prima dello studio con una durata media dei sintomi di 6 mesi. Il disturbo d'ansia generalizzato (300.02) è descritto nel manuale diagnostico e statistico dell'Associazione psichiatrica americana III1 come segue:
L'ansia persistente generalizzata (di almeno 1 mese di durata continua) manifestata dai sintomi di tre delle quattro seguenti categorie:
Tensione motoria
Sdolcinezza jitterness saltiness tremante tensione muscolo dolori di affaticabilità per rilassare le palpebre con la fronte corrugata fatta a tesa corrificata per agitazione irregolare.
Iperattività autonoma
Sudorare il cuore che batte o racuzione a freddo mani viscide per la bocca asciutta vertigini parestesie (formicolio in mani o piedi) incantesimi di stomaco disturbabile o freddo frequenti minzione di minusa del disagio nella fossa dello stomaco nella gola che lava il pallore alto e il tasso di respirazione di riposo.
Aspettativa apprensiva
L'ansia preoccupa la paura della ruminazione e dell'anticipazione della sventura a sé o agli altri.
Vigilanza e scansione
Iperattentività con conseguente difficoltà di distrabilità a concentrare l'impazienza di irritabilità di insonnia sul bordo.
I sintomi di cui sopra non sarebbero dovuti a un altro disturbo mentale come un disturbo depressivo o una schizofrenia. Tuttavia, i sintomi depressivi lievi sono comuni in GAD.
A cosa serve la crema msm
L'efficacia delle compresse di cloridrato di buspirone nell'uso a lungo termine che è per più di 3-4 settimane non è stata dimostrata nelle prove controllate. Non sono disponibili prove che affrontano sistematicamente la durata appropriata del trattamento per GAD. Tuttavia, in uno studio sull'uso a lungo termine 264 pazienti sono stati trattati con compresse di cloridrato di buspirone per 1 anno senza cattiva effetto. Pertanto, il medico che sceglie di utilizzare le compresse di cloridrato di buspirone per periodi prolungati dovrebbe rivalutare periodicamente l'utilità del farmaco per il singolo paziente.
Dosaggio per buspar
La dose iniziale raccomandata è di 15 mg al giorno (NULL,5 mg b.i.d.). Per ottenere una risposta terapeutica ottimale a intervalli da 2 a 3 giorni il dosaggio può essere aumentato di 5 mg al giorno se necessario. Il dosaggio massimo giornaliero non deve superare i 60 mg al giorno. Negli studi clinici che consentono la titolazione della dose divise dosi di 20 mg a 30 mg al giorno sono state comunemente impiegate.
La biodisponibilità del buspirone viene aumentata quando viene data con cibo rispetto allo stato a digiuno (vedi Farmacologia clinica ). Di conseguenza i pazienti dovrebbero assumere il buspirone in modo coerente per quanto riguarda i tempi di dosaggio; O sempre con o sempre senza cibo.
Quando il buspirone deve essere somministrato con un potente inibitore del CYP3A4 le raccomandazioni di dosaggio descritte nel Interazioni farmacologiche La sezione dovrebbe essere seguita.
Come fornito
Compresse di cloridrato di buspirone USP da 5 mg sono da bianco a bianco a forma di capsula a forma di capsula compresse a bordo smussate debossi con bisetto su un lato; Un lato di Bisect è debossato con Ze e un altro è debossato con 36 e l'altra parte è semplice
Dettagli del produttore: n/a. Revisionato: maggio 2016
Effetti collaterali per Buspar
Nessuna informazione fornita.
Effetti collaterali GNC a spruzzo antler di cervo
Interazioni farmacologiche per Buspar
Agenti psicotropi
Inibitori MAO
Si raccomanda che le compresse di cloridrato di buspirone non vengano utilizzate in concomitanza con inibitori MAO (vedi Avvertimenti ).
Amitriptilina
Dopo l'aggiunta di buspirone al regime di dose di amitriptilina non sono state osservate differenze statisticamente significative nei parametri farmacocinetici a stato stazionario (CMAX AUC e CMIN) di amitriptilina o della sua nortriptilina di metabolite.
Diazepam
Dopo l'aggiunta di buspirone al regime di dose di diazepam non sono state osservate differenze statisticamente significative nei parametri farmacocinetici a stato stazionario (CMAX AUC e CMIN) per il diazepam ma sono stati osservati aumenti di circa il 15% per il Nordiazepam e gli effetti clinici avversi minori (mal di testa e nausea) sono stati osservati.
Aloperidolo
In uno studio sui normali volontari concomitanti somministrazione di buspirone e aloperidolo ha portato ad un aumento delle concentrazioni sieriche di aloperidolo. Il significato clinico di questa scoperta non è chiaro.
Nefazodone
[Vedere Inibitori e induttori del citocromo P450 3A4 (CYP3A4) ].
Trazodone
C'è un rapporto che suggerisce che l'uso concomitante di Desyrel®
Triazolam/flurazepam
La somministrazione di co -somministrazione di buspirone con triazolam o flurazepam non sembrava prolungare o intensificare gli effetti sedativi della benzodiazepina.
Altri psicotropi
Poiché gli effetti della concomitante somministrazione di buspirone con la maggior parte degli altri farmaci psicotropi non sono stati studiati con cautela, l'uso concomitante di buspirone con altri farmaci attivi del SNC.
Inibitori e induttori del citocromo P450 3A4 (CYP3A4)
Buspirone è stato mostrato in vitro essere metabolizzato dal CYP3A4. Questa scoperta è coerente con il in vivo interazioni osservate tra buspirone e le seguenti:
Diltiazem e verapamil
In uno studio di nove volontari sani in collaborazione di buspirone (10 mg come singola dose) con verapamil (80 mg t.i.d.) o diltiazem (60 mg t.i.d.) aumentavano le concentrazioni di Buspirone al plasma (verapamil aumentate AUC. Attribuibile al buspirone può essere più probabile durante la somministrazione concomitante con diltiazem o verapamil. Potrebbe essere necessario un successivo aggiustamento della dose e dovrebbe essere basato sulla valutazione clinica.
Eritromicina
In uno studio sulla somministrazione di co-somministrazione di Buspirone (10 mg in una dose) con eritromicina (NULL,5 g/giorno per 4 giorni) ha aumentato le concentrazioni plasmatiche del buspirone (aumento di 5 volte di CMAX e aumento di 6 volte dell'AUC). Queste interazioni farmacocinetiche sono state accompagnate da una maggiore incidenza di effetti collaterali attribuibili al buspirone. Se i due farmaci devono essere utilizzati in combinazione, si consiglia una bassa dose di buspirone (ad es. 2,5 mg b.i.d.). Il successivo aggiustamento della dose di entrambi i farmaci dovrebbe essere basato sulla valutazione clinica.
Succo di pompelmo
In uno studio sulla somministrazione di co-somministrazione di Buspirone (10 mg come una dose singola) con succo di pompelmo (200 ml di doppia forza T.I.D. per 2 giorni) aumento delle concentrazioni plasmatiche di buspirone (aumento di 4,3 volte di CMAX; aumento di 9,2 volte dell'AUC). I pazienti che ricevono buspirone devono essere consigliati di evitare di bere quantità così grandi di succo di pompelmo.
Itraconazolo
In uno studio sulla somministrazione di co-somministrazione di buspirone (10 mg come singola dose) con itraconazolo (200 mg/die per 4 giorni) ha aumentato le concentrazioni plasmatiche di busrone (aumento di 13 volte di CMAX e aumento di 19 volte dell'AUC). Queste interazioni farmacocinetiche sono state accompagnate da una maggiore incidenza di effetti collaterali attribuibili al buspirone. Se i due farmaci devono essere utilizzati in combinazione, si consiglia una bassa dose di buspirone (ad es. 2,5 mg Q.D.). Il successivo aggiustamento della dose di entrambi i farmaci dovrebbe essere basato sulla valutazione clinica.
Nefazodone
In uno studio sulla farmacocinetica a stato stazionario in sani volontari in co-somministrazione di buspirone (NULL,5 o 5 mg b.i.d.) con nefazodone (250 mg b.i.d.) ha provocato un aumento marcato delle concentrazioni di buspirone plasmatico (circa 50%) delle concentrazioni di Busrma al Plasone (circa 50%delle concentrazioni di Busrma per il PLASMA. Metabolite 1-pp. Con 5 mg offerta. Dosi di buspirone sono stati osservati lievi aumenti di AUC per nefazodone (23%) e i suoi metaboliti idrossynefazodone (HO-nef) (17%) e meta-clorofenilpiperazina (9%). Sono stati osservati lievi aumenti di CMAX per nefazodone (8%) e il suo metabolita HO-nef (11%).
Soggetti che ricevono buspirone 5 mg b.i.d. e nefazodone 250 mg b.i.d sperimentato vertigini dell'astenia e eventi avversi di sonnolenza osservati anche con entrambi i farmaci. Se i due farmaci devono essere utilizzati in combinazione, si consiglia una bassa dose di buspirone (ad es. 2,5 mg Q.D.). Il successivo aggiustamento della dose di entrambi i farmaci dovrebbe essere basato sulla valutazione clinica.
Rifampin
In uno studio sulla somministrazione di co -somministrazione di Buspirone (30 mg come singola dose) con rifampina (600 mg/die per 5 giorni) ha ridotto le concentrazioni plasmatiche (riduzione dell'83,7% in CMAX; riduzione dell'89,6% in AUC) e gli effetti farmacodinamici del buspirone. Se i due farmaci devono essere utilizzati in combinazione, il dosaggio del buspirone potrebbe aver bisogno di adattarsi per mantenere l'effetto ansiolitico.
Altri inibitori e induttori del CYP3A4
Le sostanze che inibiscono il CYP3A4 come il ketoconazolo o il ritonavir possono inibire il metabolismo del buspirone e aumentare le concentrazioni plasmatiche del buspirone mentre le sostanze che inducono il CYP3A4 come il desametasone o alcuni anticonvulsionanti (fenitoina fenitoin fenitoin -carbamazepina) possono aumentare la velocità del buspiroism. Se un paziente è stato titolato a un dosaggio stabile su buspirone, potrebbe essere necessario un regolazione della dose di buspirone per evitare eventi avversi attribuibili al buspirone o diminuisce l'attività ansiolitica. Di conseguenza, se somministrato con un potente inibitore del CYP3A4, si raccomanda con cautela una bassa dose di buspirone usata. Se usato in combinazione con un potente induttore di CYP3A4, il dosaggio del buspirone potrebbe aver bisogno di adattarsi per mantenere l'effetto ansiolitico.
Altre droghe
Cimetidina
È stato scoperto che la somministrazione di co -buspirone con cimetidina aumenta CMAX (40%) e TMAX (2 - volte) ma ha avuto effetti minimi sull'AUC di Buspirone.
Legame proteico
In vitro Buspirone non sposta droghe strettamente legate come il fenitoina propranololo e il warfarin dalle proteine sieriche. Tuttavia, c'è stato un rapporto sul tempo prolungato di protrombina quando il buspirone è stato aggiunto al regime di un paziente curato con warfarin. Il paziente stava anche ricevendo cronicamente la fenitoina fenobarbital digoxin e Synthroid®*. In vitro Il buspirone può spostare farmaci meno saldamente legati come la digossina. Il significato clinico di questa proprietà è sconosciuto.
I livelli terapeutici di aspirina desipramina diazepam flurazepam ibuprofene propranololo thioridazina e tolbutamide avevano solo un effetto limitato sull'entità del legame del buspirone alle proteine plasmatiche (vedi Farmacologia clinica ).
Interazioni di test di droga/laboratorio
Buspirone cloridrato può interferire con la metanephrine urinaria/ catecolamina saggio. È stato erroneamente letto come metanefrina durante i test di dosaggio di routine per il feocromocitoma con conseguente risultato di laboratorio falso positivo. Il cloridrato di buspirone dovrebbe quindi essere interrotto per almeno 48 ore prima di sottoporsi a una raccolta di urine per le catecolamine.
Abuso e dipendenza da droghe
Classe di sostanza controllata
Buspirone cloridrato non è una sostanza controllata.
Dipendenza fisica e psicologica
Negli studi umani e animali il buspirone non ha mostrato alcun potenziale di abuso o diversione e non vi è alcuna prova che provoca tolleranza o dipendenza fisica o psicologica. I volontari umani con una storia di droghe ricreative o consumo di alcol sono stati studiati in due indagini cliniche a doppio cieco. Nessuno dei soggetti era in grado di distinguere tra compresse di cloridrato di buspirone e placebo. Al contrario i soggetti hanno mostrato una preferenza statisticamente significativa per il metaqualone e il diazepam. Gli studi sui topi e i ratti delle scimmie hanno indicato che il buspirone non ha potenziale per abusi. Dopo la somministrazione cronica nel ratto brusco il ritiro del buspirone non ha comportato la perdita di peso corporeo comunemente osservato con sostanze che causano dipendenza fisica.
Tablet Parafon Forte DSC 500 mg
Sebbene non vi siano prove dirette che le compresse di cloridrato di buspirone causino dipendenza fisica o comportamento in cerca di droghe, è difficile prevedere dagli esperimenti in misura in cui un farmaco attivo del SNC verrà utilizzato in modo improprio dirottato e/o abuso una volta commercializzato. Di conseguenza, i medici dovrebbero valutare attentamente i pazienti per una storia di abuso di droghe e seguire tali pazienti osservandoli da vicino per i segni di abuso o abuso di bustirone cloridrato (ad es. Sviluppo dell'incrementazione della tolleranza del comportamento in cerca di farmaci dose).
Classe di sostanza controllata
Buspirone cloridrato non è una sostanza controllata.
Dipendenza fisica e psicologica
Negli studi umani e animali il buspirone non ha mostrato alcun potenziale di abuso o diversione e non vi è alcuna prova che provoca tolleranza o dipendenza fisica o psicologica. I volontari umani con una storia di droghe ricreative o consumo di alcol sono stati studiati in due indagini cliniche a doppio cieco. Nessuno dei soggetti era in grado di distinguere tra compresse di cloridrato di buspirone e placebo. Al contrario i soggetti hanno mostrato una preferenza statisticamente significativa per il metaqualone e il diazepam. Gli studi sui topi e i ratti delle scimmie hanno indicato che il buspirone non ha potenziale per abusi. Dopo la somministrazione cronica nel ratto brusco il ritiro del buspirone non ha comportato la perdita di peso corporeo comunemente osservato con sostanze che causano dipendenza fisica.
Sebbene non vi siano prove dirette che le compresse di cloridrato di buspirone causino dipendenza fisica o comportamento in cerca di droghe, è difficile prevedere dagli esperimenti in misura in cui un farmaco attivo del SNC verrà utilizzato in modo improprio dirottato e/o abuso una volta commercializzato. Di conseguenza, i medici dovrebbero valutare attentamente i pazienti per una storia di abuso di droghe e seguire tali pazienti osservandoli da vicino per i segni di abuso o abuso di bustirone cloridrato (ad es. Sviluppo dell'incrementazione della tolleranza del comportamento in cerca di farmaci dose).
Avvertimenti per Buspar
La somministrazione di compresse di cloridrato di buspirone a un paziente che assume un inibitore della monoamina ossidasi (MAOI) può rappresentare un pericolo. Ci sono stati segnalati del verificarsi di una pressione sanguigna elevata quando le compresse di cloridrato di buspirone sono state aggiunte a un regime che include un MAOI. Pertanto si raccomanda che le compresse di cloridrato di buspirone non vengano utilizzate in concomitanza con un MAOI.
Poiché le compresse di cloridrato di buspirone non hanno un'attività antipsicotica consolidata, non dovrebbe essere impiegata al posto del trattamento antipsicotico appropriato.
Precauzioni per Buspar
Generale
Interferenza con prestazioni cognitive e motorie
Gli studi indicano che le compresse di cloridrato di buspirone sono meno sedanti rispetto ad altri ansiolitici e che non produce una compromissione funzionale significativa. Tuttavia, i suoi effetti del SNC in ogni singolo paziente potrebbero non essere prevedibili. Pertanto, i pazienti dovrebbero essere avvertiti sull'apertura di un'automobile o sull'uso di macchinari complessi fino a quando non sono ragionevolmente certi che il trattamento del buspirone non li influisce negativamente.
Mentre gli studi formali sull'interazione del buspirone cloridrato con alcol indicano che il buspirone non aumenta la compromissione indotta dall'alcol nelle prestazioni motorie e mentali, è prudente evitare un uso concomitante di alcol e buspirone.
Potenziale per le reazioni di astinenza nei pazienti sedativi/ipnotici/ansiolitici dipendenti dal farmaco
Poiché le compresse di buspirone cloridrato non mostrano tolleranza incrociata con benzodiazepine e altri farmaci sedativi/ipnotici comuni, non bloccerà la sindrome da astinenza spesso osservata con cessazione della terapia con questi farmaci. Pertanto, prima di iniziare la terapia con compresse di cloridrato di buspirone, è consigliabile ritirare gradualmente i pazienti, in particolare i pazienti che hanno utilizzato cronicamente un farmaco depressivo del SNC dal loro trattamento precedente. I sintomi di rimbalzo o di astinenza possono verificarsi per periodi di tempo variabili a seconda del tipo di farmaco e della sua emivita efficace di eliminazione.
La sindrome del ritiro da farmaci sedativi/ipnotici/ansiolitici può apparire come qualsiasi combinazione di irritabilità dell'agitazione dell'ansia da insonnia tremore addominale Crampi muscolari crampi vomitando sintomi simpatici di influenza senza febbre e occasionalmente anche come convulsioni.
Possibili preoccupazioni relative al legame di Buspirone ai recettori della dopamina
Perché il buspirone può legarsi al centro dopamina Recettori è stata sollevata una domanda sul suo potenziale per causare cambiamenti acuti e cronici nella funzione neurologica mediata dalla dopamina (ad esempio pseudoparkinsonismo della distonia Akathisia e discinesia tardiva). L'esperienza clinica negli studi controllati non è riuscita a identificare alcuna attività significativa simile a un neurolettico; Tuttavia, una sindrome di irrequietezza che appare poco dopo l'inizio del trattamento è stata segnalata in una piccola frazione di pazienti trattati con buspirone. La sindrome può essere spiegata in diversi modi. Ad esempio, il buspirone può aumentare l'attività noradrenergica centrale; In alternativa l'effetto può essere attribuibile agli effetti dopaminergici (cioè rappresentano Akathisia). Vedere Reazioni avverse : Esperienza post -marketing .
Informazioni per i pazienti
Per assicurare un uso sicuro ed efficace delle compresse di cloridrato di buspirone, è necessario fornire ai pazienti le seguenti informazioni e istruzioni:
Informare il tuo medico su qualsiasi farmaco prescrizione o alcol non prescription o farmaci che stai prendendo o pianifichi di prendere durante il trattamento con compresse di cloridrato di buspirone.
Informa il tuo medico se sei incinta o se hai intenzione di rimanere incinta o se rimani incinta mentre prendi compresse di cloridrato di buspirone.
Informa il tuo medico se stai allattando un bambino.
Fino a quando non si verifica come questo farmaco influisce non guidare un'auto o operare macchinari potenzialmente pericolosi.
Dovresti prendere il cloridrato di buspirone costantemente o sempre o sempre senza cibo.
A cosa serve il bicarbonato di sodio
Durante il trattamento con compresse di cloridrato di buspirone evitare di bere grandi quantità di succo di pompelmo.
Test di laboratorio
Non ci sono test di laboratorio specifici raccomandati.
Mutagenesi della carcinogenesi compromissione della fertilità
Non è stata osservata alcuna evidenza di potenziale cancerogeno nei ratti durante uno studio di 24 mesi a circa 133 volte la dose orale umana raccomandata massima; o nei topi durante uno studio di 18 mesi a circa 167 volte la massima dose orale umana raccomandata.
Con o senza attivazione metabolica, il buspirone non ha indotto mutazioni punti in cinque ceppi di salmonella tifimurium (test Ames) o linfoma di topo L5178YTK colture di cellule né è stato osservato il danno al DNA con il buspirone nelle cellule umane Wi-38. Le aberrazioni cromosomiche o le anomalie non si sono verificate nelle cellule del midollo osseo dei topi somministrati una o cinque dosi giornaliere di buspirone.
Gravidanza
Effetti teratogeni
Gravidanza CategOy B
Non è stato osservato alcun danno da fertilità o danni fetali negli studi di riproduzione condotti in ratti e conigli a dosi di buspirone di circa 30 volte la massima dose umana raccomandata. Nell'uomo non sono stati condotti studi adeguati e ben controllati durante la gravidanza. Poiché gli studi sulla riproduzione degli animali non sono sempre predittivi della risposta umana, questo farmaco dovrebbe essere usato durante la gravidanza solo se chiaramente necessario.
Manodopera e consegna
L'effetto del buspirone cloridrato sul travaglio e nel parto nelle donne non è noto. Non sono stati rilevati effetti avversi negli studi di riproduzione nei ratti.
Madri infermieristiche
L'entità dell'escrezione nel latte umano del buspirone o dei suoi metaboliti non è nota. Nei ratti tuttavia il buspirone e i suoi metaboliti sono escreti nel latte. Le compresse di buspirone cloridrato somministrazione alle donne infermieristiche dovrebbero essere evitate se clinicamente possibile.
Uso pediatrico
La sicurezza e l'efficacia del buspirone sono state valutate in due studi di 6 settimane controllati con placebo che hanno coinvolto un totale di 559 pazienti pediatrici (che vanno dai 6 ai 17 anni) con GAD. Le dosi studiate erano da 7,5 mg a 30 mg b.i.d. (Da 15 a 60 mg/die). Non ci sono state differenze significative tra il buspirone e il placebo per quanto riguarda i sintomi della GAD a seguito di dosi raccomandate per il trattamento della GAD negli adulti. Studi farmacocinetici hanno dimostrato che per le dosi identiche esposizione al plasma al buspirone e il suo metabolite 1-PP attivo sono uguali o superiori nei pazienti pediatrici rispetto agli adulti. Non sono stati associati risultati inaspettati di sicurezza al buspirone in queste prove. Non ci sono dati sulla sicurezza a lungo termine o sull'efficacia in questa popolazione.
Uso geriatrico
In uno studio su 6632 pazienti che hanno ricevuto il buspirone per il trattamento dell'ansia 605 pazienti avevano ≥ 65 anni e 41 avevano ≥ 75 anni; I profili di sicurezza ed efficacia per questi 605 pazienti anziani (età media = 70,8 anni) erano simili a quelli della popolazione più giovane (età media = 43,3 anni). La revisione di eventi clinici avversi spontaneamente non ha identificato le differenze tra i pazienti anziani e più giovani, ma non è possibile escludere una maggiore sensibilità di alcuni pazienti più anziani.
Non ci sono stati effetti dell'età sulla farmacocinetica del buspirone (vedi Farmacologia clinica Popolazioni speciali ).
Utilizzare in pazienti con funzionalità epatica o renale alterata
Il buspirone è metabolizzato dal fegato e escreto dai reni. Uno studio farmacocinetico su pazienti con funzionalità epatica o renale alterata ha dimostrato un aumento dei livelli plasmatici e un'emivita allungata di buspirone. Pertanto la somministrazione di compresse di cloridrato di buspirone a pazienti con grave compromissione epatica o renale non può essere raccomandata (vedi Farmacologia clinica ).
Informazioni per overdose per Buspar
Nessuna informazione fornita.
Controindicazioni per Buspar
Le compresse di cloridrato di buspirone sono controindicate nei pazienti ipersensibili all'idrocloruro di buspirone.
Farmacologia clinica fO Buspar
Il meccanismo d'azione del buspirone è sconosciuto. Il buspirone differisce dai tipici ansiolitici della benzodiazepina in quanto non esercita effetti anticonvulsivanti o rilassanti muscolari. Manca anche il prominente effetto sedativo associato a ansiolitici più tipici. In vitro Studi preclinici hanno dimostrato che il buspirone ha un'alta affinità per i recettori della serotonina (5-HT1A). Buspirone non ha un'affinità significativa per i recettori della benzodiazepina e non influisce sul legame GABA in vitro O in vivo Se testato in modelli preclinici.
Buspirone ha un'affinità moderata per i recettori cerebrali d2-dopamina. Alcuni studi suggeriscono che il buspirone può avere effetti indiretti su altri sistemi di neurotrasmettitori.
Il cloridrato di buspirone viene rapidamente assorbito nell'uomo e subisce un ampio metabolismo di primo passaggio. In uno studio radiomarcato invariato il buspirone nel plasma rappresentava solo circa l'1% della radioattività nel plasma. Dopo la somministrazione orale le concentrazioni plasmatiche di buspirone invariate sono molto basse e variabili tra i soggetti. I livelli plasmatici di picco da 1 ng/ml a 6 ng/mL sono stati osservati da 40 a 90 minuti dopo singole dosi orali di 20 mg. La biodisponibilità monodosaggio del buspirone invariato quando assunto come compressa è in media circa il 90% di una dose equivalente di soluzione ma c'è una grande variabilità.
Gli effetti del cibo sulla biodisponibilità delle compresse di cloridrato di buspirone sono stati studiati in otto soggetti. Sono stati dati una dose di 20 mg con e senza cibo; L'area sotto la curva del tempo di concentrazione plasmatica (AUC) e la concentrazione plasmatica di picco (CMAX) di buspirone invariato sono aumentate rispettivamente dell'84% e del 116%, ma la quantità totale di materiale immunoreattivo del buspirone non è cambiata. Ciò suggerisce che il cibo può ridurre l'entità dell'autorizzazione presistemica del buspirone (vedi Dosaggio e amministrazione ).
Uno studio a dosi multipli condotto in 15 soggetti suggerisce che il buspirone ha farmacocinetica non lineare. Pertanto gli aumenti della dose e il dosaggio ripetuto possono portare a livelli ematici leggermente più elevati di buspirone invariato rispetto a quelli previsti dai risultati degli studi a dose singola.
UN in vitro Lo studio di legame delle proteine ha indicato che circa l'86% del buspirone è legato alle proteine plasmatiche. È stato anche osservato che l'aspirina ha aumentato i livelli plasmatici di buspirone libero del 23%, mentre il flurazepam ha ridotto i livelli plasmatici di buspirone libero del 20%. Tuttavia non è noto se questi farmaci causano effetti simili sui livelli plasmatici di buspirone libero in vivo O whether such changes if they do occur cause clinically significant differences in treatment outcome. UN in vitro Lo studio ha indicato che il buspirone non ha spostato farmaci altamente legati alle proteine come la warfarin e il propranololo dalla proteina plasmatica e che il buspirone può spostare la digossina.
Il buspirone è metabolizzato principalmente per ossidazione che in vitro è stato dimostrato che è mediato dal citocromo P450 3A4 (CYP3A4) (vedi Interazioni farmacologiche ). Several hydroxylated derivatives and a pharmacologically active metabolite 1-pyrimidinylpiperazine (1-PP) are produced. In animal models predictive of anxiolytic potential 1-PP has about one quarter of the activity of buspirone but is present in up to 20-fold greater amounts. However this is probably not impOtant in humans: blood samples from humans chronically exposed to buspirone hydrochlOide do not exhibit high levels of 1- PP; mean values are approximately 3 ng/mL and the highest human blood level recOded among 108 chronically dosed patients was 17 ng/mL less than 1/200th of 1-PP levels found in animals given large doses of buspirone without signs of toxicity.
In uno studio monodosaggio utilizzando il buspirone marcato con il 14C dal 29% al 63% della dose è stato escreto nelle urine entro 24 ore principalmente come metaboliti; L'escrezione fecale rappresentava il 18% al 38% della dose. L'emivita media di eliminazione del buspirone invariato dopo singole dosi da 10 mg a 40 mg è di circa 2-3 ore.
Popolazioni speciali
Età e effetti di genere
Dopo dosi singoli o multiple negli adulti non sono state osservate differenze significative nella farmacocinetica del buspirone (AUC e CMAX) tra argomenti anziani e più giovani o tra uomini e donne.
Compromissione epatica
Dopo la somministrazione di buspirone a dosi multiple ai pazienti con compromissione epatica AUC a stato stazionario di buspirone è aumentato di 13 volte rispetto ai soggetti sani (vedi PRECAUZIONI ).
Compromissione renale
Dopo la somministrazione di buspirone a dosi multiple a compromessi renamente (CLCR = da 10 a 70 ml/min/1,73 m2) AUC stazionario AUC di buspirone aumentata 4 volte rispetto ai soggetti sani (ClCR ≥ 80 ml/min/1,73 m2) (vedi soggetti (vedere PRECAUZIONI ).
Effetti della razza
Gli effetti della razza sulla farmacocinetica del buspirone non sono stati studiati.
Per cosa usate le bacche di biancospino
Informazioni sul paziente per buspar
Buspirone cloridrato
Compresse USP
Per 15 mg e 30 mg compresse
Come usare
La risposta al buspirone varia tra gli individui. Il medico potrebbe ritenere necessario regolare il dosaggio per ottenere la risposta adeguata.
Ogni tablet viene valutato e può essere rotto accuratamente.
Per rompere un tablet con precisione e facilmente tenere il tablet tra i pollici e le dita indicizzate vicino al punteggio del tablet appropriato (scanalatura). Quindi, con il punteggio del tablet che si trova ad applicare la pressione e si a parte i segmenti di tablet (i segmenti che si rompono in modo errato non dovrebbero essere utilizzati).
Chiama il medico per consigli medici sugli effetti collaterali. È possibile segnalare gli effetti collaterali alla FDA al numero 1-800- FDA-1088.