Le Informazioni Presenti Sul Sito Non Costituiscono Consulenza Medica. Non Vendiamo Nulla. L'Accuratezza Della Traduzione Non È Garantita. Disclaimer
Agenti ADHD
Strattera
Riepilogo della droga
Cos'è Strattera?
Strattera (atomoxetina) è una noradrenalina selettiva Reuppake inibitore prescritto per il trattamento disturbo da deficit di attenzione iperattività ( ADHD ). Strattera è disponibile come farmaco generico .
Quali sono gli effetti collaterali di Strattera?
Gli effetti collaterali comuni di Strattera includono:
- problemi a dormire (insonnia)
- bocca secca
- tosse
- diminuzione dell'appetito
- mal di stomaco
- nausea o vomito
- vertigini
- sonnolenza
- irritabilità
- stipsi
- eruzione cutanea
- prurito
- aumentato Crampi mestruali E
- Effetti collaterali sessuali inclusi
- impotenza
- perdita di interesse per il sesso o
- difficoltà ad avere un orgasmo.
- difficoltà a urinare
- battito cardiaco insolitamente veloce o irregolare
- svenimento O
- intorpidimento o formicolio.
Dosaggio per Strattera
La dose di Strattera varia da 40 mg/giorno a 100 mg/giorno riportati in 1-2 dosi divise.
Quali sostanze o integratori di farmaci interagiscono con Strattera?
Strattera può interagire con albuterolo amiodarone bupropione celecoxib cimetidina doxorubicina metadone metoclopramide chinidina ritonavir ranitidina antidepressivi terbinafini antistaminici O sleep medicines. Tell your doctO all medication E supplements you use.
Strattera durante la gravidanza e l'allattamento
La strattera può causare gravi lesioni epatiche. Non ci sono studi adeguati sulla strattera nelle donne in gravidanza e non è noto se Strattera è secreta nel latte materno umano. Di 'al medico se sei incinta o hai intenzione di rimanere incinta o se si è in allattamento prima di usare Strattera.
Ulteriori informazioni
Il nostro Centro farmacologico degli effetti collaterali di Strattera fornisce una visione completa delle informazioni disponibili sui farmaci sui potenziali effetti collaterali durante l'assunzione di questo farmaco.
Informazioni sui farmaci FDA
- Descrizione del farmaco
- Indicazioni
- Dosaggio
- Effetti collaterali
- Interazioni farmacologiche
- Avvertimenti
- Overdose
- Controindicazioni
- Farmacologia clinica
- Guida ai farmaci
AVVERTIMENTO
Ideazione suicida in bambini e adolescenti
La strattera (atomoxetina) ha aumentato il rischio di ideazione suicidaria negli studi a breve termine in bambini o adolescenti con disturbo da deficit di attenzione/iperattività (ADHD). Chiunque stia considerando l'uso di Strattera in un bambino o adolescente deve bilanciare questo rischio con le esigenze cliniche. Le comorbilità che si verificano con ADHD possono essere associate ad un aumento del rischio di ideazione e/o comportamento suicidarie. I pazienti che sono iniziati in terapia devono essere monitorati da vicino per il peggioramento della suicidalità (pensiero e comportamento suicidario) o cambiamenti insoliti nel comportamento. Le famiglie e gli operatori sanitari dovrebbero essere consigliati della necessità di una stretta osservazione e comunicazione con il prescrittore. Strattera è approvata per l'ADHD nei pazienti pediatrici e adulti. Strattera non è approvata per il disturbo depressivo maggiore. Le analisi aggregate di studi a breve termine (da 6 a 18 settimane) controllati con placebo di strattera nei bambini e negli adolescenti (un totale di 12 studi che coinvolgono oltre 2200 pazienti, inclusi 11 studi in ADHD e 1 studio in enuresi), hanno rivelato un rischio maggiore di ideazione suicida precoce durante il trattamento durante le strati che hanno ricevuto Strattara rispetto al pedebo. Il rischio medio di ideazione suicidaria nei pazienti che ricevevano strattera era dello 0,4% (5/1357 pazienti) rispetto a nessuno nei pazienti trainati da placebo (851 pazienti). Non si sono verificati suicidi in questi studi [vedi AVVERTIMENTOS AND PRECAUZIONI ].
Descrizione per Strattera
Strattera ® (atomoxetina) è una noradrenalina selettiva Reuppake inibitore. L'atomoxetina HCl è l'isomero R (-) determinato dalla diffrazione dei raggi X. La designazione chimica è (-)- N -Metil-3-fenil-3- ( o -tolilossi) -propilammina cloridrato. La formula molecolare è C 17 H 21 NO • HCL che corrisponde a un peso molecolare di 291,82. La struttura chimica è:
|
L'HCL di atomoxetina è un solido bianco a praticamente bianco che ha una solubilità di 27,8 mg/mL in acqua.
Strattera capsules are intended fO Oal administration only.
Ogni capsula contiene atomoxetina HCl equivalente a 10 18 25 40 60 80 o 100 mg di atomoxetina. Le capsule contengono anche amido pregelatinizzato e dimeticone. I gusci di capsule contengono gelatina sodio lauril solfato e altri ingredienti inattivi. Le conchiglie di capsule contengono anche una o più dei seguenti:
Fd
Usi per Strattera
Disturbo da deficit di attenzione/iperattività (ADHD)
Strattera is indicated fO the treatment of Disturbo da deficit di attenzione/iperattività (ADHD).
L'efficacia delle capsule di Strattera è stata istituita in sette studi clinici in pazienti ambulatoriali con ADHD: quattro studi da 6 a 9 settimane in pazienti pediatrici (di età compresa Studi clinici ].
Considerazioni diagnostiche
Una diagnosi di ADHD (DSM-IV) implica la presenza di sintomi iperattivi-impulsivi o disattenti che causano compromissione e che erano presenti prima dei 7 anni. I sintomi devono essere persistenti devono essere più gravi di quanto si osservi tipicamente negli individui a un livello comparabile di sviluppo deve causare un deterioramento clinicamente significativo, ad es. Nel funzionamento accademico o professionale sociale e deve essere presente in 2 o più contesti, ad es. scuola (o lavoro) ea casa. I sintomi non devono essere meglio spiegati da un altro disturbo mentale.
L'eziologia specifica dell'ADHD è sconosciuta e non esiste un singolo test diagnostico. Una diagnosi adeguata richiede l'uso non solo di risorse educative psicologiche e sociali mediche ma anche speciali. L'apprendimento può o meno essere compromesso. La diagnosi deve basarsi su una storia completa e una valutazione del paziente e non solo sulla presenza del numero richiesto di caratteristiche DSM-IV.
Per il tipo disattento, almeno 6 dei seguenti sintomi devono essere persistiti per almeno 6 mesi: la mancanza di attenzione ai dettagli/errori negligenti La mancanza di attenzione sostenuta scarsa ascoltatore di mancata seguire su compiti che la povera organizzazione evita compiti che richiedono uno sforzo mentale sostenuto perde facilmente le cose distrae. Per il tipo iperattivo-impulsivo, almeno 6 dei seguenti sintomi devono essere persistiti per almeno 6 mesi: agitazione/congiunzione di difficoltà di corsa/arrampicata inappropriate con attività silenziose in viaggio, le risposte a chiacchiere eccessive non possono aspettare invadenti. Per una diagnosi di tipo combinata è necessario soddisfare sia i criteri disattenti che iperattivi-impulsivi.
Necessità di un programma di trattamento completo
Strattera is indicated as an integral part of a total treatment program fO ADHD that may include other measures (psychological educational social) fO patients with this syndrome. Drug treatment may not be indicated fO all patients with this syndrome. Drug treatment is not intended fO use in the patient who exhibits symptoms secondary to environmental factOs E/O other primary psychiatric disOders including psicosi. Appropriate educational placement is essential in children E adolescents with this diagnosis E psychosocial intervention is often helpful. When remedial measures alone are insufficient the decision to prescribe drug treatment medication will depend upon the physician’s assessment of the chronicity E severity of the patient’s symptoms.
Dosaggio per Strattera
Trattamento acuto
Dosaggio di bambini e adolescenti fino a 70 kg di peso corporeo
Strattera should be initiated at a total daily dose of approximately 0.5 mg/kg E aumentato after a minimum of 3 days to a target total daily dose of approximately 1.2 mg/kg administered either as a single daily dose in the mOning O as evenly divided doses in the mOning E late afternoon/early evening. No additional benefit has been demonstrated fO doses higher than 1.2 mg/kg/day [see Studi clinici ].
La dose giornaliera totale nei bambini e negli adolescenti non dovrebbe superare 1,4 mg/kg o 100 mg a seconda di quale sia meno.
Dosaggio di bambini e adolescenti superiore a 70 kg di peso corporeo e adulti
Strattera should be initiated at a total daily dose of 40 mg E aumentato after a minimum of 3 days to a target total daily dose of approximately 80 mg administered either as a single daily dose in the mOning O as evenly divided doses in the mOning E late afternoon/early evening. After 2 to 4 additional weeks the dose may be aumentato to a maximum of 100 mg in patients who have not achieved an optimal response. There are no data that suppOt aumentato effectiveness at higher doses [see Studi clinici ].
La dose giornaliera totale raccomandata massima nei bambini e negli adolescenti di oltre 70 kg e gli adulti è di 100 mg.
Manutenzione/trattamento esteso
È generalmente concordato che il trattamento farmacologico dell'ADHD potrebbe essere necessario per lunghi periodi. Il vantaggio di mantenere i pazienti pediatrici (età 6-15 anni) con ADHD su Strattera dopo aver raggiunto una risposta in un intervallo di dose da 1,2 a 1,8 mg/kg/giorno è stato dimostrato in uno studio controllato. I pazienti assegnati a Strattera nella fase di mantenimento sono stati generalmente continuati sulla stessa dose utilizzata per ottenere una risposta nella fase di etichetta aperta. Il medico che sceglie di usare Strattera per periodi prolungati dovrebbe rivalutare periodicamente l'utilità a lungo termine del farmaco per il singolo paziente [vedi Studi clinici ].
Informazioni di dosaggio generale
Strattera may be taken with O without food.
Strattera can be discontinued without being tapered.
Strattera capsules are not intended to be opened they should be taken whole [see Informazioni sul paziente ]. The safety of single doses over 120 mg E total daily doses above 150 mg have not been systematically evaluated.
Schermo per il disturbo bipolare prima di avviare Strattera
Prima di iniziare il trattamento con i pazienti con schermo di Strattera per una storia personale o familiare di mania del disturbo bipolare o ipomania [vedi AVVERTIMENTOS AND PRECAUZIONI ].
Dosarsi in popolazioni specifiche
Aggiustamento del dosaggio per i pazienti con ipotesi epaticamente
Per quei pazienti con ADHD che hanno una regolazione del dosaggio di insufficienza epatica (HI) è raccomandato come segue: per i pazienti con le dosi iniziali HI (Classe B Child-Pugh B) e bersaglio moderate devono essere ridotte al 50% della dose normale (per i pazienti senza HI). Per i pazienti con dosi iniziale HI (Classe C) e dosi target di HI grave devono essere ridotti al 25% del normale [vedi Utilizzare in popolazioni specifiche ].
Regolazione del dosaggio per l'uso con un forte inibitore del CYP2D6 o in pazienti che sono noti per essere PMS CYP2D6
Nei bambini e adolescenti fino a 70 kg di peso corporeo hanno somministrato forti inibitori del CYP2D6, ad es. La paroxetina fluoxetina e la chinidina o nei pazienti che sono noti per essere la strattera PMS CYP2D6 devono essere iniziati a 0,5 mg/kg/giorno e aumentati alla solita dose target di 1,2 mg/kg/giorno se i sintomi non riescono a migliorare dopo 4 settimane e la dose iniziale è ben tollerata.
Nei bambini e negli adolescenti di oltre 70 kg di peso corporeo e gli adulti hanno somministrato forti inibitori del CYP2D6, ad es. La paroxetina fluoxetina e la strattera di chinidina devono essere iniziate a 40 mg/die e aumentate solo alla normale dose target di 80 mg/die se i sintomi non riescono a migliorare dopo 4 settimane e la dose iniziale è ben tollerata.
Come fornito
Dosaggio FOms And Strengths
Ogni capsula contiene Atomoxetina HCl equivalente a 10 mg (bianco opaco opaco opaco) 18 mg (bianco opaco d'oro) 25 mg (bianco opaco opaco opaco) 40 mg (blu opaco opaco) 60 mg (oro blu opaco) 80 mg (bianco marrone opaco) o 100 mg di marrone opaque) di blu opaco di opaque).
Qual è il generico per Cymbalta
Archiviazione e maneggevolezza
| Strattera ® Capsule | 10 mg a | 18 mg a | 25 mg a | 40 mg a | 60 mg a | 80 mg a | 100 mg a |
| Colore | Bianco opaco bianco opaco | Bianco opaco d'oro | Bianco opaco opaco blu | Blu opaco opaco blu opaco | Oro blu opaco | Bianco opaco opaco marrone | Marrone opaco opaco marrone opaco |
| Identificazione | Lilly 3227 | Lilly 3238 | Lilly 3228 | Lilly 3229 | Lilly 3239 | Lilly 3250 | Lilly 3251 |
| 10 mg | 18 mg | 25 mg | 40 mg | 60 mg | 80 mg | 100 mg | |
| Codici NDC: | |||||||
| Bottiglie di 30 | 0002-322730 | 0002-323830 | 0002-322830 | 0002-322930 | 0002-323930 | 0002-325030 | 0002-325130 |
| a Base di atomoxetina equivalente. |
Conservare a 25 ° C (77 ° F); Escursioni consentite da 15 ° a 30 ° C (da 59 ° a 86 ° F) [vedi temperatura ambiente controllata da USP].
Commercializzato da: Lilly USA LLC Indianapolis nel 46285 USA. Revisionato: gennaio 2022
Effetti collaterali fO Strattera
Esperienza di studi clinici
Strattera was administered to 5382 children O adolescent patients with ADHD E 1007 adults with ADHD in clinical studies. During the ADHD clinical trials 1625 children E adolescent patients were treated fO longer than 1 year E 2529 children E adolescent patients were treated fO over 6 months.
Poiché gli studi clinici sono condotti in condizioni di reazione avverse ampiamente variabili osservate negli studi clinici di un farmaco non possono essere paragonati direttamente ai tassi negli studi clinici di un altro farmaco e potrebbero non riflettere i tassi osservati nella pratica.
Studi clinici per bambini e adolescenti
Motivi di interruzione del trattamento a causa di reazioni avverse negli studi clinici per bambini e adolescenti
Nei studi acuti e adolescenti controllati con placebo 3,0% (48/1613) di soggetti di atomoxetina e 1,4% (13/945) soggetti placebo interrotti per reazioni avverse. Per tutti gli studi (inclusi studi in aperto e a lungo termine) del 6,3% dei pazienti con metabolizzatore esteso (EM) e dell'11,2% dei pazienti con metabolizzatore povero (PM) sono stati interrotti a causa di una reazione avversa. Tra i pazienti trattati con Strattera (NULL,3% n = 5); sonnolence (NULL,3% n = 5); aggressione (NULL,2% n = 4); nausea (NULL,2% n = 4); vomito (NULL,2% n = 4); dolore addominale (NULL,2% n = 4); costipazione (NULL,1% n = 2); fatica (NULL,1% n = 2); sentirsi anormale (NULL,1% n = 2); e il mal di testa (NULL,1% n = 2) sono stati i motivi della sospensione segnalata da più di 1 paziente.
Convulsioni
Strattera has not been systematically evaluated in pediatric patients with seizure disOder as these patients were excluded from clinical studies during the product’s premarket testing. In the clinical development program seizures were repOted in 0.2% (12/5073) of children whose average age was 10 years (range 6 to 16 years). In these clinical trials the seizure risk among poO metabolizers was 0.3% (1/293) compared to 0.2% (11/4741) fO extensive metabolizers.
Reazioni avverse comunemente osservate negli studi acuti e adolescenti controllati con placebo
Le reazioni avverse comunemente osservate associate all'uso di Strattera (incidenza del 2% o superiore) e non osservate a un'incidenza equivalente tra i pazienti trattati con placebo (incidenza di strattera maggiore del placebo) sono elencate nella Tabella 2. I risultati erano simili nell'offerta e nella sperimentazione QD, tranne come mostrato nella Tabella 3 che mostrano entrambi i risultati di Bid e QD per reazioni avverse selezionate basate su besilaggi significativi di Beslow-Day. Le reazioni avverse più comunemente osservate nei pazienti trattati con strattera (incidenza del 5% o superiore e almeno il doppio dell'incidenza nei pazienti con placebo per dosaggio di BID o QD) sono state: Nausea che vomito l'affaticamento ha ridotto il dolore addominale dell'appetito e la sonnolenza (vedere le tabelle 2 e 3).
Ulteriori dati sugli studi clinici ADHD (controllati e non controllati) hanno dimostrato che circa il 5-10% dei pazienti pediatrici ha subito cambiamenti potenzialmente clinicamente importanti nella frequenza cardiaca (≥20 battiti per min) o pressione arteri Controindicazioni E AVVERTIMENTOS AND PRECAUZIONI ].
Tabella 2: trattamento comune - reazioni avverse emergenti associate all'uso di stratate negli studi acuti (fino a 18 settimane) per bambini e adolescenti
| Reazione avversa a | Percentuale di pazienti che segnalano una reazione | |
| Strattera (N = 1597) | Placebo (N = 934) | |
| Disturbi gastrointestinali | ||
| b | 18 | 10 |
| 11 | 6 | |
| 10 | 5 | |
| Disturbi generali e condizioni del sito di amministrazione | ||
| 8 | 3 | |
| 6 | 3 | |
| 2 | 1 | |
| Indagini | ||
| 3 | 0 | |
| Metabolismo e disturbi nutrizionali | ||
| 16 | 4 | |
| 3 | 1 | |
| Disturbi del sistema nervoso | ||
| 19 | 15 | |
| c | 11 | 4 |
| 5 | 2 | |
| Disturbi della pelle e dei tessuti sottocutanei | ||
| 2 | 1 | |
| a Reazioni riportate da almeno il 2% dei pazienti trattati con atomoxetina e maggiori del placebo. Le seguenti reazioni non soddisfacevano questo criterio ma sono state riportate da più pazienti trattati con atomoxetina rispetto ai pazienti trattati con placebo e sono probabilmente correlate al trattamento con atomoxetina: la pressione sanguigna aumentata il risveglio mattutino (insonnia terminale) che lava la tachycardia astenia di tachycardia astenia. Le seguenti reazioni sono state riportate da almeno il 2% dei pazienti trattati con atomoxetina e uguali o inferiori al placebo: insonnia del dolore faringolaringoale (l'insonnia include i termini insonnia insonnia iniziale insonnia). La seguente reazione non ha soddisfatto questo criterio ma mostra una relazione dose statisticamente significativa: il prurito. b Il dolore addominale include i termini: dolore addominale Dolore addominale Disagio allo stomaco disagio addominale disagio epigastrico. c La sonnolenza include i termini: somnolenza sedazione. |
Tabella 3: reazioni avverse emergenti dal trattamento comuni associate all'uso di stratate negli studi acuti (fino a 18 settimane) per bambini e adolescenti
| Reazione avversa | Percentuale di pazienti che segnala la reazione dagli studi di offerta | Percentuale di pazienti che segnala la reazione dagli studi QD | ||
| Strattera (N = 715) | Placebo (N = 434) | Strattera (N = 882) | Placebo (N = 500) | |
| Disturbi gastrointestinali | ||||
| a | 17 | 13 | 18 | 7 |
| 11 | 8 | 11 | 4 | |
| 7 | 6 | 13 | 4 | |
| b | 2 | 1 | 1 | 0 |
| Disturbi generali | ||||
| 6 | 4 | 9 | 2 | |
| Disturbi psichiatrici | ||||
| c | 2 | 0 | 1 | 1 |
| a Il dolore addominale include i termini: dolore addominale Dolore addominale Disagio allo stomaco disagio addominale disagio epigastrico. b La costipazione non ha soddisfatto il significato statistico nel test di Breslow-Day ma è inclusa nella tabella a causa della plausibilità farmacologica. c Gli sbalzi d'umore non hanno soddisfatto il significato statistico sul test di Breslow-Day a livello 0,05 ma il valore p era <0.1 (trend). |
Le seguenti reazioni avverse si sono verificate in almeno il 2% dei pazienti con CYP2D6 PM per bambini e adolescenti ed erano statisticamente significativamente più frequenti nei pazienti con PM rispetto ai pazienti con EM CYP2D6: insonnia (11% della PMS 6% di EMS); Il peso è diminuito (7% di PMS 4% di EMS); costipazione (7% di PMS 4% di EMS); depressione 1 (7% di PMS 4% di EMS); tremore (5% di PMS 1% di EMS); escoriazione (4% di PMS 2% di EMS); insonnia centrale (3% della PMS 1% di EMS); congiuntivite (3% di PMS 1% di EMS); sincope (3% di PMS 1% di EMS); Risveglio mattutino (2% della PMS 1% di EMS); MyDriasi (2% della PMS 1% di EMS); sedazione (4% di PMS 2% di EMS).
1 La depressione include i seguenti termini: depressione depressione maggiore Sintomi depressivi disforia dell'umore depresso.
Studi clinici per adulti
Motivi di interruzione del trattamento a causa di reazioni avverse negli studi acuti controllati da placebo per adulti
Negli studi acuti controllati da placebo per adulti 11,3% (61/541) soggetti di atomoxetina e 3,0% (12/405) soggetti placebo interrotti per reazioni avverse. Tra i pazienti trattati con Strattera insonnia (NULL,9% n = 5); nausea (NULL,9% n = 5); dolore toracico (NULL,6% n = 3); fatica (NULL,6% n = 3); ansia (NULL,4% n = 2); disfunzione erettile (NULL,4% n = 2); sbalzi d'umore (NULL,4% n = 2); nervosismo (NULL,4% n = 2); palpitazioni (NULL,4% n = 2); e la ritenzione urinaria (NULL,4% n = 2) sono state le ragioni della sospensione segnalata da più di 1 paziente.
Convulsioni
Strattera has not been systematically evaluated in adult patients with a seizure disOder as these patients were excluded from clinical studies during the product’s premarket testing. In the clinical development program seizures were repOted on 0.1% (1/748) of adult patients. In these clinical trials no poO metabolizers (0/43) repOted seizures compared to 0.1% (1/705) fO extensive metabolizers.
Reazioni avverse comunemente osservate negli studi acuti controllati da placebo per adulti
Le reazioni avverse comunemente osservate comunemente associate all'uso di Strattera (incidenza del 2% o superiore) e non osservate a un'incidenza equivalente tra i pazienti trattati con placebo (incidenza di strattera maggiore del placebo) sono elencate nella Tabella 4 Disfunzione erettile ed esitazione urinaria (vedi Tabella 4).
Ulteriori dati su studi clinici ADHD (controllati e non controllati) hanno dimostrato che circa il 5-10% dei pazienti adulti ha subito cambiamenti potenzialmente clinicamente importanti nella frequenza cardiaca (≥20 battiti al min) o pressione arteriosa (da ≥15 a 20 mm Hg) [vedi Controindicazioni E AVVERTIMENTOS AND PRECAUZIONI ].
Tabella 4: reazioni avverse emergenti dal trattamento comuni associate all'uso di stratate in studi acuti (fino a 25 settimane) per adulti
| Reazione avversa a | Percentuale di pazienti che segnalano una reazione | |
| Strattera (N = 1697) | Placebo (N = 1560) | |
| Disturbi cardiaci | ||
| 3 | 1 | |
| Disturbi gastrointestinali | ||
| 20 | 5 | |
| 26 | 6 | |
| 8 | 3 | |
| b | 7 | 4 |
| 4 | 2 | |
| 4 | 2 | |
| Disturbi generali e condizioni del sito di amministrazione | ||
| 10 | 6 | |
| 3 | 0 | |
| 2 | 1 | |
| 5 | 3 | |
| 2 | 1 | |
| Indagini | ||
| 2 | 1 | |
| Metabolismo e disturbi nutrizionali | ||
| 16 | 3 | |
| Disturbi del sistema nervoso | ||
| 8 | 3 | |
| c | 8 | 5 |
| 3 | 0 | |
| Disturbi psichiatrici | ||
| 4 | 3 | |
| 15 | 8 | |
| d | 3 | 1 |
| 3 | 1 | |
| Disturbi renali e urinari | ||
| e | 6 | 1 |
| 2 | 0 | |
| Sistema riproduttivo e disturbi mammari | ||
| f | 8 | 1 |
| g | 3 | 2 |
| f | 4 | 1 |
| Disturbi della pelle e dei tessuti sottocutanei | ||
| 4 | 1 | |
| Disturbi vascolari | ||
| 3 | 0 | |
| a Reazioni riportate da almeno il 2% dei pazienti trattati con atomoxetina e maggiori del placebo. Le seguenti reazioni non hanno soddisfatto questo criterio ma sono state riportate da più pazienti trattati con atomoxetina rispetto ai pazienti trattati con placebo e sono probabilmente correlate al trattamento con atomoxetina: raffreddo Mestruation Cash irregolare e ritenzione urinaria. Le seguenti reazioni sono state riportate da almeno il 2% dei pazienti trattati con atomoxetina e uguali o inferiori al placebo: ansia diarrea mal di testa mal di testa e dolore orofaringeo. b Il dolore addominale include i termini: dolore addominale Dolore addominale Disagio allo stomaco disagio addominale disagio epigastrico. c La sonnolenza include i termini: somnolenza sedazione. d L'insonnia include i termini: insonnia insonnia insonnia e insonnia terminale. e L'esitazione urinaria include i termini: il flusso di urina di esitazione urinaria è diminuito. f Basato sul numero totale di maschi (Strattera n = 943; placebo n = 869). g Basato sul numero totale di femmine (Strattera n = 754; placebo n = 691). |
I seguenti eventi avversi si sono verificati in almeno il 2% dei pazienti con cattiva metabolismo del CYP2D6 adulto (PM) e sono stati statisticamente significativamente più frequenti nei pazienti con PM rispetto ai pazienti con metaboliser (EM) del CYP2D6 (EM): visione offuscata (4% della PMS 1% di EMS); faucia secca (35% di PMS 17% di EMS); costipazione (11% di PMS 7% di EMS); Sentirsi nervosi (5% di PMS 2% di EMS); diminuzione dell'appetito (23% della PMS 15% di EMS); tremore (5% di PMS 1% di EMS); insonnia (19% della PMS 11% di EMS); disturbo del sonno (7% di PMS 3% di EMS); insonnia centrale (5% di PMS 3% di EMS); insonnia terminale (3% della PMS 1% di EMS); ritenzione urinaria (6% della PMS 1% di EMS); disfunzione erettile (21% della PMS 9% di EMS); disturbo di eiaculazione (6% di PMS 2% di EMS); iperidrosi (15% di PMS 7% di EMS); freddezza periferica (3% della PMS 1% di EMS).
Disfunzione sessuale maschile e femminile
L'atomoxetina sembra compromettere la funzione sessuale in alcuni pazienti. I cambiamenti nelle prestazioni sessuali del desiderio sessuale e nella soddisfazione sessuale non sono ben valutati nella maggior parte degli studi clinici perché hanno bisogno di particolare attenzione e perché pazienti e medici possono essere riluttanti a discuterne. Di conseguenza, le stime dell'incidenza dell'esperienza sessuale spiacevole e delle prestazioni citate nell'etichettatura del prodotto probabilmente sottovaluteranno l'incidenza effettiva. La tabella 4 sopra mostra l'incidenza degli effetti collaterali sessuali riportati da almeno il 2% dei pazienti adulti che assumono stratate negli studi controllati con placebo.
Non ci sono studi adeguati e ben controllati che esaminano la disfunzione sessuale con il trattamento di Strattera. Sebbene sia difficile conoscere il rischio preciso di disfunzione sessuale associata all'uso dei medici di Strattera dovrebbe abitualmente indagare su tali possibili effetti collaterali.
Rapporti spontanei post -marketing
Le seguenti reazioni avverse sono state identificate durante l'uso post di approvazione di Strattera. Salvo diversamente specificato, queste reazioni avverse si sono verificate in adulti e bambini e adolescenti. Poiché queste reazioni sono riportate volontariamente da una popolazione di dimensioni incerte, non è sempre possibile stimare in modo affidabile la loro frequenza o stabilire una relazione causale con l'esposizione ai farmaci.
Sistema cardiovascolare - Sincope di prolungamento QT.
Effetti vascolari periferici - Il fenomeno di Raynaud.
Disturbi generali e condizioni del sito di amministrazione - Letargia.
Sistema muscoloscheletrico - rabdomiolisi.
Disturbi del sistema nervoso - ipoesestesia; parastesia nei bambini e negli adolescenti; disturbi sensoriali; tics.
Disturbi psichiatrici - depressione e umore depresso; La libido d'ansia cambia.
Convulsioni - Le convulsioni sono state segnalate nel periodo post -marketing. I casi di crisi post-marketing includono pazienti con disturbi convulsivi preesistenti e quelli con fattori di rischio identificati per convulsioni e pazienti né una storia di né fattori di rischio identificati per le convulsioni. La relazione esatta tra Strattera e convulsioni è difficile da valutare a causa dell'incertezza sul rischio di fondo delle convulsioni nei pazienti con ADHD.
Disturbi della pelle e dei tessuti sottocutanei - iperidrosi alopecia.
Sistema urogenitale - dolore pelvico maschile; esitazione urinaria nei bambini e negli adolescenti; Conservazione urinaria in bambini e adolescenti.
Interazioni farmacologiche fO Strattera
Inibitori della monoamina ossidasi
Con altri farmaci che influenzano le concentrazioni di monoamina cerebrale ci sono state segnalazioni di gravi reazioni a volte fatali (inclusa l'instabilità autonomica di rigidità di ipertermia mioclono con possibili fluttuazioni rapide di segni vitali e cambiamenti di stato mentale che includono l'agitazione estrema che progredisce verso il delirio e il coma) quando sono state prese in combinazione con un Maoi. Alcuni casi presentavano caratteristiche che ricordano la sindrome neurolettica maligna. Tali reazioni possono verificarsi quando questi farmaci vengono somministrati contemporaneamente o nelle immediate vicinanze [vedi Controindicazioni ].
Effetto degli inibitori del CYP2D6 sull'atomoxetina
Negli inibitori di metabolizzatori estesi (EMS) di CYP2D6 (ad es. Paroxetina fluoxetina e chinidina) aumentano le concentrazioni plasmatiche di atomoxetina stazionarie stazionarie a esposizioni simili a quelle osservate nei metabolizzatori poveri (PMS). Negli individui EM trattati con paroxetina o fluoxetina, l'AUC di atomoxetina è di circa 6 a 8 volte e CSS Max è circa 3 a 4 volte più grande dell'atomoxetina.
In vitro Gli studi suggeriscono che la somministrazione di co -somministrazione di inibitori del citocromo P450 al PMS non aumenterà le concentrazioni plasmatiche di atomoxetina.
Farmaci antiipertensivi e agenti a pressione
A causa dei possibili effetti sulla strattera della pressione sanguigna, devono essere usati con cautela con farmaci antiipertensivi e agenti a pressione (ad esempio dobutamina dopamina) o altri farmaci che aumentano la pressione sanguigna.
Albuterolo
Strattera should be administered with caution to patients being treated with systemically-administered (Oal O intravenous) albuterolo (O other beta2 agonists) because the action of albuterolo on the cardiovascular system can be potentiated resulting in increases in heart rate E blood pressure. Albuterolo (600 mcg iv over 2 hours) induced increases in heart rate E blood pressure. These effects were potentiated by atomoxetine (60 mg BID fO 5 days) E were most marked after the initial coadministration of albuterolo E atomoxetine. However these effects on heart rate E blood pressure were not seen in another study after the coadministration with inhaled dose of albuterolo (200-800 mcg) E atomoxetine (80 mg QD fO 5 days) in 21 healthy Asian subjects who were excluded fO poO metabolizer status.
Effetto dell'atomoxetina sugli enzimi P450
L'atomoxetina non ha causato inibizione o induzione clinicamente importante degli enzimi del citocromo P450 tra cui CYP1A2 CYP3A CYP2D6 e CYP2C9.
Substrato CYP3A (ad es. Midazolam)
La co -somministrazione di Strattera (60 mg di offerta per 12 giorni) con midazolam Un composto modello per farmaci metabolizzati del CYP3A4 (dose singola di 5 mg) ha comportato un aumento del 15% dell'AUC di midazolam. Non è raccomandato alcun aggiustamento della dose per i farmaci metabolizzati dal CYP3A.
Substrato CYP2D6 (ad es. Desipramina)
La co -somministrazione di Strattera (40 o 60 mg di offerta per 13 giorni) con desipramina un composto modello per farmaci metabolizzati del CYP2D6 (dose singola di 50 mg) non ha alterato la farmacocinetica della desipramina. Non è raccomandato alcun aggiustamento della dose per i farmaci metabolizzati dal CYP2D6.
Alcool
Il consumo di etanolo con Strattera non ha cambiato gli effetti inebrianti dell'etanolo.
Metilfenidato
La somministrazione di co -metilfenidato con Strattera non ha aumentato gli effetti cardiovascolari oltre a quelli osservati con il solo metilfenidato.
Farmaci altamente legati alla proteina plasmatica
In vitro Studi di spostamento dei farmaci sono stati condotti con atomoxetina e altri farmaci molto legati a concentrazioni terapeutiche. L'atomoxetina non ha influenzato il legame della fenitoina dell'acido acetilsalicilico di warfarin o della diazepam all'albumina umana. Allo stesso modo questi composti non hanno influenzato il legame dell'atomoxetina all'albumina umana.
Farmaci che colpiscono il pH gastrico
I farmaci che elevano il pH gastrico (idrossido di magnesio/idrossido di idrossido di alluminio) non avevano alcun effetto sulla biodisponibilità di Strattera.
Abuso e dipendenza da droghe
Sostanza controllata
Strattera is not a controlled substance.
Abuso
In uno studio randomizzato in doppio cieco controllato da placebo negli adulti che confrontava gli effetti di strattera e strattera placebo non era associato a un modello di risposta che suggeriva proprietà stimolanti o euforianti.
Dipendenza
I dati di studio clinico in oltre 2000 adolescenti e adulti con ADHD e oltre 1200 adulti con depressione hanno mostrato solo episodi isolati di diversione di farmaci o auto-somministrazione inappropriata associate alla strattera. Non ci sono state prove di rimbalzo dei sintomi o reazioni avverse che suggeriscono una sindrome da discontinuazione del farmaco o di astinenza.
Esperienza animale
Gli studi sulla discriminazione dei farmaci nei ratti e nelle scimmie hanno mostrato una generalizzazione incoerente dello stimolo tra atomoxetina e cocaina.
Avvertimenti per Strattera
Incluso come parte del 'PRECAUZIONI' Sezione
Precauzioni per Strattera
Ideazione suicida
Strattera aumentato the risk of suicidal ideation in shOt-term studies in children E adolescents with Disturbo da deficit di attenzione/iperattività (ADHD). Pooled analyses of shOt-term (6 to 18 weeks) placebo-controlled trials of Strattera in children E adolescents have revealed a greater risk of suicidal ideation early during treatment in those receiving Strattera. There were a total of 12 trials (11 in ADHD E 1 in enuresis) involving over 2200 patients (including 1357 patients receiving Strattera E 851 receiving placebo). The average risk of suicidal ideation in patients receiving Strattera was 0.4% (5/1357 patients) compared to none in placebo-treated patients. There was 1 suicide attempt among these approximately 2200 patients occurring in a patient treated with Strattera. Non si sono verificati suicidi in queste prove. Tutte le reazioni si sono verificate nei bambini di età pari o inferiore a 12 anni. Tutte le reazioni si sono verificate durante il primo mese di trattamento. Non è noto se il rischio di ideazione suicidaria nei pazienti pediatrici si estenda all'uso a più lungo termine. Un'analisi simile nei pazienti adulti trattati con strattera per ADHD o disturbo depressivo maggiore (MDD) non ha rivelato un aumentato rischio di ideazione o comportamento suicidaria in associazione con l'uso di Strattera.
Tutti i pazienti pediatrici che vengono trattati con strattera devono essere monitorati in modo appropriato e osservati da vicino per il peggioramento della suicidalità clinica e cambiamenti insoliti nel comportamento, specialmente durante i primi mesi di un ciclo di terapia farmacologica o, a volte, aumentano o diminuiscono.
Sono stati segnalati i seguenti sintomi con Strattera: ansia Agitazione Panico attacca l'irritabilità dell'ostilità dell'ostilità Impulsività Akathisia (irrequietezza psicomotoria) Ipomania e mania. Sebbene non sia stato stabilito un legame causale tra l'emergere di tali sintomi e l'emergere di impulsi suicidari, vi è la preoccupazione che tali sintomi possano rappresentare i precursori della suicidalità emergente. Pertanto, i pazienti che vengono trattati con strattera dovrebbero essere osservati per l'emergere di tali sintomi.
Si dovrebbe prendere in considerazione la modifica del regime terapeutico, incluso la possibilità di interrompere il farmaco in pazienti che stanno vivendo suicidalità e emergenti che potrebbero essere precursori della suicidalità emergente, specialmente se questi sintomi sono gravi o bruschi nell'insorgenza o non facevano parte dei sintomi di presentazione del paziente.
Le famiglie e gli operatori sanitari di pazienti pediatrici che vengono trattati con Strattera devono essere avvisati di allora per monitorare i pazienti per l'emergere di irritabilità dell'agitazione cambiamenti insoliti nel comportamento e gli altri delymptoms descritti sopra e l'emergere della suicidalità e di segnalare tali sintomi immediatamente per gli operatori sanitari. Tale monitoraggio dovrebbe includere l'osservazione quotidiana da parte di famiglie e caregiver.
Grave lesione epatica
I rapporti post -marketing indicano che Strattera può causare gravi lesioni epatiche. Sebbene non siano state rilevate prove di lesioni epatiche negli studi clinici di circa 6000 pazienti, ci sono stati rari casi di lesioni epatiche clinicamente significative che sono state considerate probabilmente o possibilmente correlate all'uso di Strattera nell'esperienza post -marketing. Sono stati anche riportati rari casi di insufficienza epatica, incluso un caso che ha provocato un trapianto di fegato. A causa della probabile sottostima è impossibile fornire una stima accurata della vera incidenza di queste reazioni. I casi riportati di lesione epatica si sono verificati entro 120 giorni dall'inizio dell'atomoxetina nella maggior parte dei casi e alcuni pazienti presentati con enzimi epatici marcatamente elevati [> 20 x limite superiore della normale (Uln)] e del gia In un paziente lesione epatica manifestata da enzimi epatici elevati fino a 40 x Uln e ittero con bilirubina fino a 12 x Uln si ripresentano al momento della ricarica ed è stato seguito da recupero dopo la discontinuazione del farmaco che fornisce prove che Strattera probabilmente ha causato la lesione epatica. Tali reazioni possono verificarsi diversi mesi dopo l'inizio della terapia, ma le anomalie di laboratorio possono continuare a peggiorare per diverse settimane dopo la fermata del farmaco. Il paziente sopra descritto è stato recuperato dalla sua lesione epatica e non ha richiesto un trapianto di fegato.
Strattera should be discontinued in patients with jaundice O labOatOy evidence of liver injury E should not be restarted. I test di laboratorio per determinare i livelli di enzimi epatici devono essere eseguiti sul primo sintomo o il segno della disfunzione epatica (ad es. Prurito l'ittero scuro dell'ittero a destra della tenerezza del quadrante superiore o dell'influenza inspiegabile come sintomi) [vedi Test di laboratorio ; Informazioni sul paziente ].
Eventi cardiovascolari seri
Morte improvvisa e anomalie cardiache strutturali preesistenti o altri gravi problemi cardiaci
Bambini e adolescenti
La morte improvvisa è stata segnalata in associazione con il trattamento con atomoxetina a dosi abituali nei bambini e negli adolescenti con anomalie cardiache strutturali o altri gravi problemi cardiaci. Sebbene solo alcuni gravi problemi cardiaci abbiano un aumentato rischio di improvvisa atomoxetina di morte, generalmente non dovrebbero essere usati nei bambini o negli adolescenti con gravi anomalie cardiache strutturali gravi, cardiomiopatia grave anomalie del ritmo cardiaco o altri gravi problemi cardiaci che possono metterli ad una maggiore vulnerabilità agli effetti noradrenergici dell'atomoxetina.
Adulti
L'ictus di morte improvvisa e infarto del miocardio sono stati riportati negli adulti che assumono atomoxetina a dosi abituali per l'ADHD. Sebbene il ruolo dell'atomoxetina in questi casi adulti sia anche sconosciuto che gli adulti abbiano una maggiore probabilità rispetto ai bambini di gravi anomalie cardiache strutturali cardiopatia cardiomiopatia grave anomalie del ritmo cardiaco della malattia coronarica o altri gravi problemi cardiaci. Si dovrebbe prendere in considerazione il non trattamento degli adulti con anomalie cardiache clinicamente significative.
Valutare lo stato cardiovascolare nei pazienti trattati con atomoxetina
Gli adolescenti o gli adulti dei bambini che vengono considerati per il trattamento con atomoxetina dovrebbero avere una storia attenta (compresa la valutazione per una storia familiare di morte improvvisa o aritmia ventricolare) e l'esame fisico per valutare la presenza di malattie cardiache e dovrebbero ricevere ulteriori valutazioni cardiache se i risultati suggeriscono tale malattia (ad esempio elettrocardiogramma ed ecocardiogramma). I pazienti che sviluppano sintomi come il dolore toracico Syncope inspiegabile o altri sintomi che suggeriscono la malattia cardiaca durante il trattamento con atomoxetina dovrebbero essere sottoposti a una rapida valutazione cardiaca.
Effetti sulla pressione sanguigna e sulla frequenza cardiaca
Strattera should be used with caution in patients whose underlying medical conditions could be wOsened by increases in blood pressure O heart rate such as certain patients with hypertension tachycardia O cardiovascular O cerebrovascular disease. It should not be used in patients with severe cardiac O vascular disOders whose condition would be expected to deteriOate if they experienced clinically impOtant increases in blood pressure O heart rate [see Controindicazioni ]. Pulse E blood pressure should be measured at baseline following Strattera dose increases E periodically while on therapy to detect possible clinically impOtant increases.
La tabella seguente fornisce dati di sperimentazione clinica a breve termine controllati con placebo per le proporzioni di pazienti che hanno un aumento di: pressione arteriosa diastolica ≥15 mm Hg; Pressione arteriosa sistolica ≥20 mm Hg; Frequenza cardiaca maggiore o uguale a 20 bpm nelle popolazioni sia pediatriche che adulte (vedere la tabella 1).
Tabella 1 a
| Pediatrici controllati con placebo acuto | Acuto adulto controllato con placebo | |||||||
| Massimo b | Endpoint | Massimo b | Endpoint | |||||
| Atomoxetina % | Placebo % | Atomoxetina % | Placebo % | Atomoxetina % | Placebo % | Atomoxetina % | Placebo % | |
| Dbp (≥15 mm Hg) | 21.5 | 14.1 | 9.3 | 4.8 | 12.6 | 8.7 | 4.8 | 3.5 |
| SBP (≥20 mm Hg) | 12.5 | 8.7 | 8.7 | 3.3 | 12.4 | 7.8 | 4.2 | 3.2 |
| Hr (≥20 bpm) | 23.4 | 11.5 | 12.2 | 3.8 | 22.4 | 8.3 | 10.2 | 2.0 |
| a Abbreviazioni: bpm = beats al minuto; DBP = pressione sanguigna diastolica; HR = frequenza cardiaca; mm hg = millimetri mercurio; SBP = pressione arteriosa sistolica. b Proporzione dei pazienti che incontrano la soglia in qualsiasi momento durante lo studio clinico. |
Negli studi di registrazione controllati con placebo che coinvolgono la tachicardia dei pazienti pediatrici sono stati identificati come un evento avverso per lo 0,3% (5/1597) di questi pazienti di Strattera rispetto allo 0% (0/934) dei pazienti con placebo. L'aumento medio della frequenza cardiaca dei pazienti con metabolizzatore esteso (EM) è stato di 5,0 battiti/minuto e nei pazienti con metabolizzatore povero (PM) 9,4 battiti/minuto.
Negli studi clinici per adulti in cui lo stato EM/PM era disponibile l'aumento medio della frequenza cardiaca nei pazienti con PM era significativamente più alto rispetto ai pazienti EM (11 battiti/minuto contro 7,5 battiti/minuto). Gli effetti della frequenza cardiaca potrebbero essere clinicamente importanti in alcuni pazienti PM.
Negli studi di registrazione controllati con placebo che coinvolgono i pazienti adulti, la tachicardia è stata identificata come un evento avverso per l'1,5% (8/540) dei pazienti di Strattera rispetto allo 0,5% (2/402) dei pazienti con placebo.
Negli studi clinici per adulti in cui lo stato EM/PM era disponibile il cambiamento medio rispetto al basale nella pressione arteriosa diastolica nei pazienti con PM era più elevato rispetto ai pazienti con EM (NULL,21 contro 2,13 mm Hg), così come il cambiamento medio rispetto al basale nella pressione arteriosa sistolica (PM: 2,75 contro EM: 2,40 mm Hg). Gli effetti della pressione sanguigna potrebbero essere clinicamente importanti in alcuni pazienti PM.
Ipotensione ortostatica e sincope sono stati riportati in pazienti che assumono Strattera. Negli studi di registrazione per bambini e adolescenti lo 0,2% (12/5596) di pazienti trattati con Strattera ha sperimentato ipotensione ortostatica e lo 0,8% (46/5596) ha sperimentato una sincope. Negli studi di registrazione per bambini e adolescenti a breve termine, 1,8% (6/340) di pazienti trattati con Strattera hanno sperimentato ipotensione ortostatica rispetto allo 0,5% (1/207) dei pazienti trattati con placebo. La sincope non è stata segnalata durante gli studi di registrazione ADHD controllati con placebo a breve termine e adolescenti. La strattera deve essere usata con cautela in qualsiasi condizione che può predisporre i pazienti all'ipotensione o alle condizioni associate a improvvise variazioni di frequenza cardiaca o pressione arteriosa.
Emergere di nuovi sintomi psicotici o maniacali
I sintomi psicotici o maniacali (ad es. Allucinazioni il pensiero delirante o la mania) nei pazienti senza una precedente storia di malattia psicotica o mania può essere causata da stratate a dosi abituali. Se si verificano tali sintomi, considera di interrompere la strattera.
Screening dei pazienti per il disturbo bipolare
I pazienti con disturbo bipolare o fattori di rischio per il disturbo bipolare possono essere ad aumentato rischio di sviluppare mania o episodi misti durante il trattamento con strattera. Potrebbe non essere possibile determinare se un episodio maniacale o misto che appare durante il trattamento con Strattera è dovuto a una reazione avversa a Strattera o al disturbo bipolare sottostante di un paziente. Prima di iniziare il trattamento con i pazienti di Strattera dovrebbe essere adeguatamente sottoposto a screening per i fattori di rischio per il disturbo bipolare come una storia personale o familiare di mania e depressione.
Comportamento aggressivo o ostilità
I pazienti che iniziano il trattamento con Strattera devono essere monitorati per l'aspetto o il peggioramento del comportamento aggressivo o dell'ostilità. Vi sono prove che Strattera può causare l'emergere o il peggioramento del comportamento aggressivo o dell'ostilità. L'ADHD e altre malattie mentali possono essere associati all'irritabilità, il che può rendere difficile determinare se il farmaco o la condizione psichiatrica sottostante sta causando l'emergere o il peggioramento del comportamento aggressivo o dell'ostilità in pazienti specifici. Se tali sintomi si verificano durante il trattamento, considerano un possibile ruolo causale della strattera.
Eventi allergici
Sebbene reazioni allergiche non comuni tra cui reazioni anafilattiche edema angioneurotica orticaria ed eruzione cutanea siano state riportate in pazienti che assumono stratate.
Effetti sul deflusso delle urine dalla vescica
Negli studi controllati da ADHD per adulti i tassi di ritenzione urinaria (NULL,7% 9/540) e l'esitazione urinaria (NULL,6% 30/540) sono stati aumentati tra i soggetti di atomoxetina rispetto ai soggetti placebo (0% 0/402; rispettivamente 0,5% 2/402). Due soggetti di atomoxetina per adulti e nessun soggetto placebo si sono interrotti da studi clinici controllati a causa della ritenzione urinaria. Una denuncia di ritenzione urinaria o esitazione urinaria dovrebbe essere considerata potenzialmente correlata all'atomoxetina.
Priapismo
Sono stati segnalati rari casi post -marketing di priapismo definiti come erezione del pene dolorosa e non di forno che dura più di 4 ore per i pazienti pediatrici e adulti trattati con strattera. Le erezioni si sono risolte nei casi in cui le informazioni di follow-up erano disponibili in seguito alla sospensione di Strattera. Sono necessarie tempestivamente cure mediche in caso di sospetto priapismo.
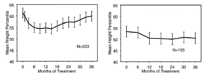
Effetti sulla crescita
I dati sugli effetti a lungo termine della strattera sulla crescita provengono da studi in aperto e i cambiamenti di peso e altezza vengono confrontati con i dati normativi della popolazione. In generale il peso e il guadagno di altezza dei pazienti pediatrici trattati con ritardi di strattera dietro ciò previsto dai dati normativi della popolazione per circa i primi 9-12 mesi di trattamento. Successivamente rimbalzi di aumento di peso e a circa 3 anni di trattamento i pazienti trattati con Strattera hanno guadagnato 17,9 kg in media 0,5 kg in più rispetto ai dati di base. Dopo circa 12 mesi di guadagno in altezza si stabilizzano e a 3 anni i pazienti trattati con Strattera hanno guadagnato 19,4 cm in media 0,4 cm in meno rispetto ai dati di base (vedi Figura 1 di seguito).
Figura 1: percentili medi di peso e altezza nel tempo per i pazienti con tre anni di trattamento Strattera
|
Questo modello di crescita era generalmente simile indipendentemente dallo stato puberale al momento dell'inizio del trattamento. I pazienti che erano pre-puberali all'inizio del trattamento (ragazze ≤8 anni ≤9 anni) hanno guadagnato una media di 2,1 kg e 1,2 cm in meno di quanto previsto dopo tre anni. I pazienti che erano puberali (ragazze> 8 a ≤13 anni ragazzi da 9 a ≤14 anni) o puberali tardivi (ragazze> 13 anni di età> 14 anni) avevano un peso medio e guadagni di altezza che erano vicini o superati quelli previsti dopo tre anni di trattamento.
La crescita ha seguito un modello simile in metabolizzatori sia ampi che poveri (PMS EMS). La PMS trattata per almeno due anni ha guadagnato una media di 2,4 kg e 1,1 cm in meno rispetto al previsto mentre EMS ha guadagnato una media di 0,2 kg e 0,4 cm in meno di quanto previsto.
Negli studi controllati a breve termine (fino a 9 settimane) i pazienti trattati con strattera hanno perso una media di 0,4 kg e hanno guadagnato una media di 0,9 cm rispetto a un guadagno di 1,5 kg e 1,1 cm nei pazienti trattati con placebo. In uno studio a dosaggio a dose fissa 1,3% 7,1% 19,3% e 29,1% dei pazienti hanno perso almeno il 3,5% del loro peso corporeo nei gruppi di dose di placebo 0,5 1,2 e 1,8 mg/kg/giorno.
La crescita deve essere monitorata durante il trattamento con Strattera.
Test di laboratorio
Non sono richiesti test di laboratorio di routine.
Metabolismo del CYP2D6
I poveri metabolizzatori (PMS) di CYP2D6 hanno un AUC più alto di 10 volte e una concentrazione di picco di 5 volte superiore a una data dose di strattera rispetto ai metabolizzatori estesi (EMS). Circa il 7% di una popolazione caucasica è PMS. Sono disponibili test di laboratorio per identificare la PMS CYP2D6. I livelli ematici nella PMS sono simili a quelli raggiunti prendendo forti inibitori del CYP2D6. I livelli ematici più elevati nel PMS portano a un tasso più elevato di alcuni effetti avversi della strattera [vedi Reazioni avverse ].
Uso concomitante di potenti inibitori del CYP2D6 o uso in pazienti che sono noti per essere PMS CYP2D6
Atomoxetina is primarily metabolized by the CYP2D6 pathway to 4-hydroxyatomoxetine. Dosaggio adjustment of Strattera may be necessary when coadministered with potent CYP2D6 inhibitOs (e.g. paroxetine fluoxetine E quinidine) O when administered to CYP2D6 PMs [see Dosaggio e amministrazione E Interazioni farmacologiche ].
Informazioni sulla consulenza del paziente
Consiglia al paziente di leggere l'etichettatura del paziente approvato dalla FDA ( Guida ai farmaci ).
Rischio di suicidio
I pazienti con le loro famiglie e i loro caregiver dovrebbero essere incoraggiati ad essere attenti all'emergere di ansia Agitazione Attacchi di panico Insomnia Irrienza dell'ostilità Aggressività Impulsività Akathisia (irrequietezza psicomotana) Ipomania mania Altri cambiamenti insoliti nella depressione del comportamento e nell'ideazione suicida soprattutto precoce durante il trattamento della strattera e quando la dose è regolata. Le famiglie e gli operatori sanitari dei pazienti dovrebbero essere consigliati di osservare l'emergere di tali sintomi su base giornaliera poiché i cambiamenti possono essere bruschi. Tali sintomi dovrebbero essere segnalati al prescrittore o al professionista della salute del paziente, in particolare se sono gravi brusci nell'esordio o non facevano parte dei sintomi di presentazione del paziente. Sintomi come questi possono essere associati ad un aumentato rischio di pensiero e comportamento suicidari e indicano la necessità di un monitoraggio molto stretto e possibilmente cambiamenti nel farmaco [vedi AVVERTIMENTOS AND PRECAUZIONI ].
Grave lesione epatica
I pazienti che iniziano la strattera devono essere avvertiti che possono svilupparsi gravi lesioni epatiche. I pazienti devono essere istruiti a contattare immediatamente il proprio operatore sanitario se dovessero sviluppare l'ittero delle urine scure prurito di tenerezza del quadrante superiore destro o sintomi inspiegabili in base alla influenza [vedi AVVERTIMENTOS AND PRECAUZIONI ].
Screening dei pazienti per il disturbo bipolare
Istruire i pazienti e i loro caregiver a cercare segni di attivazione di mania/ipomania [vedi AVVERTIMENTOS AND PRECAUZIONI ].
Aggressività o ostilità
Istruire i pazienti e i loro caregiver di contattare il proprio operatore sanitario il più presto possibile nel caso notare un aumento dell'aggressività o dell'ostilità [vedi AVVERTIMENTOS AND PRECAUZIONI ].
Priapismo
Sono stati segnalati rari casi post -marketing di priapismo definiti come erezione del pene dolorosa e non di forno che dura più di 4 ore per i pazienti pediatrici e adulti trattati con strattera. I genitori o i tutori di pazienti pediatrici che assumono strattera e pazienti adulti che assumono strattera dovrebbero essere istruiti che il priapismo richiede tempestivamente cure mediche [vedi AVVERTIMENTOS AND PRECAUZIONI ].
Irritante oculare
Strattera is an ocular irritant. Strattera capsules are not intended to be opened. In the event of capsule content coming in contact with the eye the affected eye should be flushed immediately with water E medical advice obtained. HEs E any potentially contaminated surfaces should be washed as soon as possible.
Interazione farmaco-farmaco
I pazienti devono essere istruiti a consultare un operatore sanitario se stanno assumendo o pianificano di assumere integratori dietetici o rimedi a base di medicinali da banco o rimedi a base di erbe.
Registro di gravidanza
Consiglia ai pazienti che esiste un registro di gravidanza che monitora gli esiti di gravidanza nelle donne esposte all'atomoxetina durante la gravidanza [vedi Utilizzare in popolazioni specifiche ].
Cibo
I pazienti possono prendere strattera con o senza cibo.
Dose persa
Se i pazienti perdono una dose, dovrebbero essere istruiti a prenderlo il prima possibile, ma non dovrebbero richiedere più della quantità totale giornaliera prescritta di strattera in qualsiasi periodo di 24 ore.
Interferenza con la performance psicomotoria
I pazienti devono essere istruiti a usare cautela durante la guida di un'auto o gestire macchinari pericolosi fino a quando non sono ragionevolmente certi che le loro prestazioni non siano influenzate dall'atomoxetina.
Tossicologia non clinica
Mutagenesi della carcinogenesi compromissione della fertilità
Carcinogenesi
Atomoxetina HCl was not carcinogenic in rats E mice when given in the diet fO 2 years at time-weighted average doses up to 47 E 458 mg/kg/day respectively. The highest dose used in rats is approximately 8 E 5 times the maximum recommended human dose (MRHD) in children E adults respectively on a mg/m 2 base. I livelli plasmatici (AUC) di atomoxetina a questa dose nei ratti sono stimati in 1,8 volte (metabolizzatori estesi) o 0,2 volte (poveri metabolizzatori) quelli negli esseri umani che ricevono la massima dose umana. La dose più alta utilizzata nei topi è di circa 39 e 26 volte il MRHD rispettivamente nei bambini e negli adulti su un mg/m 2 base.
Mutagenesi
Atomoxetina HCl was negative in a battery of genotoxicity studies that included a reverse point mutation assay (Ames Test) an in vitro Dosaggio del linfoma del topo Un test di aberrazione cromosomica nelle cellule di ovaio del criceto cinese un test di sintesi del DNA non programmati negli epatociti di ratto e un in vivo Test del micronucleo nei topi. Tuttavia, si è verificato un leggero aumento della percentuale di cellule di ovaio del criceto cinese con diplocromosomi che suggeriscono l'endouplicazione (aberrazione numerica).
Il metabolita N-desmetilatomoxetina HCl era negativo nel test del linfoma del topo AMES e nel test di sintesi del DNA non programmato.
Compromissione della fertilità
Atomoxetina HCl did not impair fertility in rats when given in the diet at doses of up to 57 mg/kg/day which is approximately 6 times the MRHD on a mg/m 2 base.
Utilizzare in popolazioni specifiche
Gravidanza
Gravidanza Exposure Registry
Esiste un registro di esposizione alla gravidanza che monitora gli esiti di gravidanza nelle donne esposte ADHD Farmaci tra cui Strattera durante la gravidanza. Gli operatori sanitari sono incoraggiati a registrare i pazienti chiamando il registro nazionale di gravidanza per i farmaci ADHD al numero 1-866-961-2388 o in visita https://womensmentalhealth.org/adhd-medicates/.
Riepilogo del rischio
Studi pubblicati disponibili con l'uso di atomoxetina nelle donne in gravidanza non sono sufficienti per stabilire un rischio associato a droghe di gravi difetti alla nascita abortificazione o esiti avversi materni o fetali.
Alcuni studi sulla riproduzione degli animali sull'atomoxetina hanno avuto risultati avversi sullo sviluppo. Uno dei 3 studi sui conigli in gravidanza dosati durante l'organogenesi ha comportato una riduzione dei feti vivi e un aumento dei riassorbimenti precoci e un lieve aumenti delle incidenze dell'origine atipica dell'arteria carotide e dell'assente arteria subclavia. Questi effetti sono stati osservati a livelli plasmatici (AUC) 3 volte e 0,4 volte i livelli plasmatici umani in metabolizzatori estesi e poveri che ricevono rispettivamente la dose umana massima raccomandata (MRHD). Nei ratti dosati prima dell'accoppiamento e durante l'organogenesi è stata osservata una diminuzione del peso fetale (solo femmina) e un aumento dell'incidenza di ossificazione incompleta dell'arco vertebrale nei feti 2 base. In one of 2 studies in which rats were dosed priO to mating through the periods of Oganogenesis E lactation decreased pup weight E decreased pup survival were observed at doses cOresponding to 5-6 times the MRHD on a mg/m 2 base. No adverse fetal effects were seen in pregnant rats dosed during the Oganogenesis period (see Dati ).
Quale milligrammo entra in Xanax
Il rischio di background stimato di principali difetti alla nascita e aborto spontaneo per la popolazione indicata non è noto. Tutte le gravidanze hanno un rischio di fondo Difetto alla nascita perdita o altri risultati avversi. Nella popolazione generale degli Stati Uniti il rischio di background stimato di gravi difetti alla nascita e aborto spontaneo nelle gravidanze clinicamente riconosciute è rispettivamente del 2-4% e del 1520%.
Dati
Dati sugli animali
I conigli incinti sono stati trattati con un massimo di 100 mg/kg/giorno di atomoxetina per gavage durante il periodo di organogenesi. A questa dose in 1 su 3 studi è stata osservata una diminuzione dei feti vivi ed è stato osservato un aumento dei riassorbimenti precoci. Sono stati osservati lievi aumenti delle incidenze dell'origine atipica dell'arteria carotide e dell'arteria subclavia assente. Questi risultati sono stati osservati a dosi che hanno causato una leggera tossicità materna. La dose senza effetto per questi risultati era di 30 mg/kg/die. La dose di 100 mg/kg è circa 23 volte il MRHD su un mg/m 2 base; I livelli plasmatici (AUC) di atomoxetina a questa dose nei conigli sono stimati in 3,3 volte (ampi metabolizzatori) o 0,4 volte (poveri metabolizzatori) quelli negli umani che ricevono il MRHD.
I ratti sono stati trattati con un massimo di circa 50 mg/kg/giorno di atomoxetina (circa 6 volte il MRHD su un mg/m 2 base) nella dieta da 2 settimane (femmine) o 10 settimane (maschi) prima di accoppiarsi attraverso i periodi di organogenesi e lattazione. In 1 su 2 studi sono stati osservati diminuzioni del peso del cucciolo e la sopravvivenza del cucciolo. La ridotta sopravvivenza del cucciolo è stata osservata anche a 25 mg/kg (ma non a 13 mg/kg). In a study in which rats were treated with atomoxetine in the diet from 2 weeks (females) or 10 weeks (males) prior to mating throughout the period of organogenesis a decrease in fetal weight (female only) and an increase in the incidence of incomplete ossification of the vertebral arch in fetuses were observed at 40 mg/kg/day (approximately 5 times the MRHD on a mg/m 2 base) ma non a 20 mg/kg/giorno.
Non sono stati osservati effetti fetali avversi quando i ratti in gravidanza sono stati trattati con fino a 150 mg/kg/giorno (circa 17 volte il MRHD su un mg/m 2 base) di Gavage per tutto il periodo di organogenesi.
Lattazione
Riepilogo del rischio
Non ci sono dati sulla presenza di atomoxetina o il suo metabolita nel latte umano gli effetti sul bambino allattato al seno o sugli effetti sulla produzione di latte. L'atomoxetina è presente nel latte animale. Quando un farmaco è presente nel latte animale, è probabile che il farmaco sia presente nel latte umano.
I benefici per lo sviluppo e la salute dell'allattamento dovrebbero essere considerati insieme alla necessità clinica della madre di strattera ed eventuali effetti avversi sul bambino allattato al seno da Strattera o dalla condizione materna sottostante.
Uso pediatrico
Chiunque stia considerando l'uso della strattera in un bambino o adolescente deve bilanciare i potenziali rischi con il bisogno clinico [vedi Avvertenza della scatola E AVVERTIMENTOS AND PRECAUZIONI ].
La farmacocinetica dell'atomoxetina nei bambini e negli adolescenti è simile a quella degli adulti. L'efficacia della sicurezza e la farmacocinetica di Strattera nei pazienti pediatrici di età inferiore ai 6 anni non sono stati valutati.
È stato condotto uno studio su giovani ratti per valutare gli effetti dell'atomoxetina sulla crescita e sullo sviluppo neurocomportamentale e sessuale. I ratti sono stati trattati con 1 10 o 50 mg/kg/giorno (circa 0,2 2 e 8 volte rispettivamente la dose umana massima su un mg/m 2 Base) di atomoxetina somministrata da Gavage dal primo periodo postnatale (giorno 10 di età) fino all'età adulta. Lievi ritardi nell'insorgenza della pervietà vaginale (tutte le dosi) e separazione prepuziale (10 e 50 mg/kg) sono state osservate lievi diminuzioni del peso epididimale e del numero di sperma (10 e 50 mg/kg) e una leggera diminuzione della corpora lutea (50 mg/kg) sono state osservate ma non vi sono stati effetti sulla fertilità o sulla prestazione riproduttiva. Un leggero ritardo nell'insorgenza dell'eruzione dell'incisivo è stato osservato a 50 mg/kg. Un leggero aumento dell'attività motoria è stato osservato il giorno 15 (maschi a 10 e 50 mg/kg e femmine a 50 mg/kg) e il giorno 30 (femmine a 50 mg/kg) ma non il giorno 60 di età. Non ci sono stati effetti sull'apprendimento e sui test di memoria. Il significato di questi risultati per gli umani è sconosciuto.
Uso geriatrico
L'efficacia della sicurezza e la farmacocinetica di Strattera nei pazienti geriatrici non sono stati valutati.
Insufficienza epatica
Atomoxetina exposure (AUC) is aumentato compared with nOmal subjects in EM subjects with moderate (Child- Pugh Class B) (2-fold increase) E severe (Child-Pugh Class C) (4-fold increase) hepatic insufficiency. Dosaggio adjustment is recommended fO patients with moderate O severe hepatic insufficiency [see Dosaggio e amministrazione ].
Insufficienza renale
I soggetti EM con malattia renale allo stadio finale hanno avuto una maggiore esposizione sistemica all'atomoxetina rispetto ai soggetti sani (circa un aumento del 65%) ma non vi era alcuna differenza quando l'esposizione è stata corretta per la dose di mg/kg. La strattera può quindi essere somministrata a pazienti con ADHD con malattia renale in stadio finale o gradi minori di insufficienza renale usando il normale regime di dosaggio.
Genere
Genere did not influence atomoxetine disposition.
Origine etnica
L'origine etnica non ha influenzato la disposizione dell'atomoxetina (tranne per il fatto che i PM sono più comuni nei caucasici).
Pazienti con malattia concomitante
TIC nei pazienti con ADHD e Disturbo di Tourette comorbido
Atomoxetina administered in a flexible dose range of 0.5 to 1.5 mg/kg/day (mean dose of 1.3 mg/kg/day) E placebo were compared in 148 rEomized pediatric (age 717 years) subjects with a DSM-IV diagnosis of ADHD E comObid tic disOder in an 18 week double-blind placebo- controlled study in which the majOity (80%) enrolled in this trial with Tourette’s DisOder (Tourette’s DisOder: 116 subjects; chronic motO tic disOder: 29 subjects). A non-inferiOity analysis revealed that Strattera did not wOsen tics in these patients as determined by the Yale Global Tic Severity Scale Total ScOe (YGTSS). Out of 148 patients who entered the acute treatment phase 103 (69.6%) patients discontinued the study. The primary reason fO discontinuation in both the atomoxetine (38 of 76 patients 50.0%) E placebo (45 of 72 patients 62.5%) treatment groups was identified as lack of efficacy with most of the patients discontinuing at Week 12. This was the first visit where patients with a CGI-S≥4 could also meet the criteria fO clinical non-responder (CGI-S remained the same O aumentato from study baseline) E be eligible to enter an open-label extension study with atomoxetine. There have been postmarketing repOts of tics [see Reazioni avverse ].
Ansia nei pazienti con ADHD e comorbidi Disturbi d'ansia
In due studi post-marketing in doppio cieco controllati con placebo è stato dimostrato che il trattamento dei pazienti con ADHD e disturbi d'ansia comorbidi con Strattera non peggiora la loro ansia.
In uno studio controllato da placebo in doppio cieco di 12 settimane 176 pazienti di età compresa tra 8 e 17 anni che hanno soddisfatto i criteri DSM-IV per l'ADHD e almeno uno dei disturbi d'ansia del disturbo d'ansia da separazione Disturbo d'ansia generalizzato O social phobia were rEomized. Following a 2-week double-blind placebo lead-in Strattera was initiated at 0.8 mg/kg/day with increase to a target dose of 1.2 mg/kg/day (median dose 1.30 mg/kg/day +/-0.29 mg/kg/day). Strattera did not wOsen ansia in these patients as determined by the Pediatric Anxiety Rating Scale (PARS). Of the 158 patients who completed the double-blind placebo lead-in 26 (16%) patients discontinued the study.
In uno studio separato di 16 settimane a doppio cieco controllato da placebo 442 pazienti di età compresa tra 18 e 65 anni che hanno soddisfatto i criteri DSM-IV per l'ADHD per adulti e Disturbo d'ansia sociale (Il 23% dei quali aveva anche un disturbo d'ansia generalizzato) sono stati randomizzati. A seguito di una stratata di lead-in placebo in doppio cieco di 2 settimane è stata avviata a 40 mg/die a una dose massima di 100 mg/die (dose giornaliera media 83 mg/giorno/19,5 mg/die). Strattera non ha peggiorato l'ansia in questi pazienti come determinato dalla scala di ansia sociale Liebowitz (LSA). Dei 413 pazienti che hanno completato il doppio cieco di placebo 149 (NULL,1%) pazienti hanno interrotto lo studio. Ci sono stati rapporti post -marketing di ansia [vedi Reazioni avverse ].
Overdose InfOmation fO Strattera
Esperienza umana
Esiste un'esperienza di studio clinica limitata con il sovradosaggio di Strattera. Durante il post -marketing sono stati segnalati morti che hanno coinvolto un sovradosaggio di ingestione misto di strattera e almeno un altro farmaco. Non ci sono state segnalazioni di morte che coinvolgono il sovradosaggio di Strattera da sola, tra cui overdose intenzionali a importi fino a 1400 mg. In alcuni casi di overdose che coinvolgono convulsioni di strattera. I sintomi più comunemente riportati che accompagnano overdose acute e croniche di strattera erano sintomi gastrointestinali tremore di sonnolenza e comportamento anormale. Sono stati anche riportati iperattività e agitazione. Sono stati anche osservati segni e sintomi coerenti con l'attivazione del sistema nervoso simpatico da lieve a moderato (ad esempio la pressione sanguigna di tachicardia ha aumentato la bocca secca di midriasi). La maggior parte degli eventi erano da lievi a moderati. Meno comunemente sono stati segnalati il prolungamento del QT e i cambiamenti mentali tra cui disorientamento e allucinazioni [vedi Farmacologia clinica
Gestione del sovradosaggio
Consultare un centro di controllo del veleno certificato per una guida e consulenza aggiornati. Poiché l'atomoxetina è una dialisi altamente legata alle proteine non è probabile che sia utile nel trattamento del sovradosaggio.
Controindicazioni fO Strattera
Ipersensibilità
Strattera is contraindicated in patients known to be hypersensitive to atomoxetine O other constituents of the product [see AVVERTIMENTOS AND PRECAUZIONI ].
Inibitori della monoamina ossidasi (MAOI)
Strattera should not be taken with an MAOI O within 2 weeks after discontinuing an MAOI. Treatment with an MAOI should not be initiated within 2 weeks after discontinuing Strattera. Con altri farmaci che influenzano le concentrazioni di monoamina cerebrale ci sono state segnalazioni di gravi reazioni a volte fatali (inclusa l'instabilità autonomica di rigidità di ipertermia mioclono con possibili fluttuazioni rapide di segni vitali e cambiamenti di stato mentale che includono l'agitazione estrema che progredisce verso il delirio e il coma) quando sono state prese in combinazione con un Maoi. Alcuni casi presentavano caratteristiche che ricordano la sindrome neurolettica maligna. Tali reazioni possono verificarsi quando questi farmaci vengono somministrati contemporaneamente o nelle immediate vicinanze [vedi Interazioni farmacologiche
Glaucoma angolare stretto
Negli studi clinici L'uso di Strattera è stato associato ad un aumentato rischio di midriasi e quindi il suo uso non è raccomandato nei pazienti con angolo ristretto glaucoma .
Feocromocitoma
Reazioni gravi tra cui elevata pressione sanguigna e tachyarritmia sono state riportate in pazienti con feocromocitoma o una storia di feocromocitoma che hanno ricevuto strattera. Pertanto, la strattera non deve essere presa da pazienti con feocromocitoma o una storia di feocromocitoma.
i migliori ostelli della gioventù ad Amsterdam
Gravi disturbi cardiovascolari
Strattera should not be used in patients with severe cardiac O vascular disOders whose condition would be expected to deteriOate if they experience increases in blood pressure O heart rate that could be clinically impOtant (fO example 15 to 20 mm Hg in blood pressure O 20 beats per minute in heart rate) [see AVVERTIMENTOS AND PRECAUZIONI ].
Farmacologia clinica fO Strattera
Meccanismo d'azione
Il meccanismo preciso mediante il quale l'atomoxetina produce i suoi effetti terapeutici nel disturbo da deficit di attenzione/iperattività (ADHD) è sconosciuto ma si ritiene che sia correlato all'inibizione selettiva del trasportatore pre-sinaptico di norapiefrina come determinato in ex vita Studi di deplezione di assorbimento e neurotrasmettitore.
Farmacodinamica
Un'analisi di risposta all'esposizione che comprende dosi di atomoxetina (NULL,5 1,2 o 1,8 mg/kg/die) o il placebo ha dimostrato che l'esposizione a atomoxetina è correlata all'efficacia come misurata dalla versione per la scala di valutazione del disturbo da disturbo con deficit di attenzione/iperattività-IV-Parente: investigatore somministrato e punteggio. La relazione di esposizione all'efficacia era simile a quella osservata tra dose ed efficacia con esposizioni mediane alle due dosi più alte con conseguenti cambiamenti quasi massimi dal basale [vedi Studi clinici ].
Elettrofisiologia cardiaca
L'effetto della strattera sul prolungamento del QTC è stato valutato in uno studio randomizzato in doppio cieco (moxifloxacina 400 mg) e studio incrociato controllato con placebo su metabolizzatori sani del CYP2D6 maschili sani. Un totale di 120 soggetti sani sono stati somministrati strattera (20 mg e 60 mg) due volte al giorno per 7 giorni. Non sono state osservate grandi cambiamenti nell'intervallo QTC (ovvero aumenta> 60 msec dal QTC assoluto basale> 480 msec) nello studio. Tuttavia, piccoli cambiamenti nell'intervallo di QTC non possono essere esclusi dal presente studio perché lo studio non ha dimostrato la sensibilità al dosaggio. C'è stato un leggero aumento dell'intervallo di QTC con un aumento della concentrazione di atomoxetina.
Farmacocinetica
Atomoxetina is well-absObed after Oal administration E is minimally affected by food. It is eliminated primarily by oxidative metabolism through the cytochrome P450 2D6 (CYP2D6) enzymatic pathway E subsequent glucuronidation. Atomoxetina has a half-life of about 5 hours. A fraction of the population (about 7% of Caucasians E 2% of African Americans) are poO metabolizers (PMs) of CYP2D6 metabolized drugs. These individuals have reduced activity in this pathway resulting in 10-fold higher AUCs 5-fold higher peak plasma concentrations E slower elimination (plasma half-life of about 24 hours) of atomoxetine compared with people with nOmal activity [extensive metabolizers (Ems)]. Drugs that inhibit CYP2D6 such as fluoxetine paroxetine E quinidine cause similar increases in exposure.
La farmacocinetica dell'atomoxetina è stata valutata in oltre 400 bambini e adolescenti in studi clinici selezionati principalmente usando studi di farmacocinetica della popolazione. I dati farmacocinetici individuali a dose singola e stazionaria sono stati ottenuti anche nei bambini adolescenti e adulti. Quando le dosi sono state normalizzate su una base mg/kg, sono stati osservati valori di cMAX e AUC simili nei bambini adolescenti e adulti. Anche la clearance e il volume di distribuzione dopo la regolazione del peso corporeo erano simili.
Assorbimento e distribuzione
Atomoxetina is rapidly absObed after Oal administration with absolute bioavailability of about 63% in Ems E 94% in PMs. Maximal plasma concentrations (Cmax) are reached approximately 1 to 2 hours after dosing.
Strattera can be administered with O without food. Administration of Strattera with a stEard high-fat meal in adults did not affect the extent of Oal absOption of atomoxetine (AUC) but did decrease the rate of absOption resulting in a 37% lower Cmax E delayed Tmax by 3 hours. In clinical trials with children E adolescents administration of Strattera with food resulted in a 9% lower Cmax.
Il volume di distribuzione allo stato stazionario dopo somministrazione endovenosa è 0,85 L/kg che indica che l'atomoxetina si distribuisce principalmente nell'acqua corporea totale. Il volume di distribuzione è simile nell'intervallo di peso del paziente dopo la normalizzazione per il peso corporeo.
A concentrazioni terapeutiche il 98% di atomoxetina nel plasma è legato alla proteina principalmente albumina.
Metabolismo ed eliminazione
Atomoxetina is metabolized primarily through the CYP2D6 enzymatic pathway. People with reduced activity in this pathway (PMs) have higher plasma concentrations of atomoxetine compared with people with nOmal activity (Ems). FO PMs AUC of atomoxetine is approximately 10-fold E Css max is about 5-fold greater than Ems. LabOatOy tests are available to identify CYP2D6 PMs. Coadministration of Strattera with potent inhibitOs of CYP2D6 such as fluoxetine paroxetine O quinidine results in a substantial increase in atomoxetine plasma exposure E dosing adjustment may be necessary [see AVVERTIMENTOS AND PRECAUZIONI ]. Atomoxetina did not inhibit O induce the CYP2D6 pathway.
Il principale metabolita ossidativo formato indipendentemente dallo stato del CYP2D6 è la 4-idrossiatomoxetina che è glucuronidata. La 4-idrossiatomoxetina è equilibrato all'atomoxetina come inibitore del trasportatore di noradrenalina ma circola nel plasma a concentrazioni molto più basse (1% della concentrazione di atomoxetina nell'EMS e 0,1% della concentrazione di atomoxetina in PMS). La 4-idrossitomoxetina è principalmente formata dal CYP2D6 ma in PMS 4-idrossiatomoxetina è formata a un ritmo più lento da molti altri enzimi P450 del citocromo. La N-desmetilatomoxetina è formata dagli enzimi CYP2C19 e altri enzimi P450 del citocromo ma ha sostanzialmente meno attività farmacologiche rispetto all'atomoxetina e circola nel plasma a concentrazioni più basse (5% della concentrazione di atomoxetina nell'EMS e 45% della concentrazione di atomoxetina nei PM).
La clearance del plasma apparente medio di atomoxetina dopo la somministrazione orale nell'EMS adulta è di 0,35 L/ora/kg e l'emivita media è di 5,2 ore. Dopo la somministrazione orale di atomoxetina a PMS la clearance apparente del plasma è 0,03 L/ora/kg e l'emivita media è di 21,6 ore. Per la PMS AUC di atomoxetina è di circa 10 volte e CSS Max è circa 5 volte maggiore di EMS. L'emivita di eliminazione della 4-idrossiatomoxetina è simile a quella della N-desmetilatomoxetina (da 6 a 8 ore) nei soggetti EM mentre l'emivita di N-desmetilatomoxetina è molto più lunga nei soggetti PM (34-40 ore).
Atomoxetina is excreted primarily as 4-hydroxyatomoxetine-O-glucuronide mainly in the urine (greater than 80% of the dose) E to a lesser extent in the feces (less than 17% of the dose). Only a small fraction of the Strattera dose is excreted as unchanged atomoxetine (less than 3% of the dose) indicating extensive biotransfOmation. [Vedere Utilizzare in popolazioni specifiche ].
Studi clinici
ADHD Studies In Bambini e adolescenti
Studi acuti
L'efficacia della strattera nel trattamento dell'ADHD è stata stabilita in 4 studi randomizzati controllati in doppio cieco sul placebo su pazienti pediatrici (dai 6 ai 18 anni). Circa un terzo dei pazienti ha soddisfatto i criteri DSM-IV per il sottotipo disattento e i due terzi hanno soddisfatto i criteri per i sottotipi sia disattenti che iperattivi/impulsivi.
Segni e sintomi di ADHD sono stati valutati mediante un confronto tra il cambiamento medio dal basale all'endpoint per i pazienti trattati con strattera e placebo usando un'analisi intenzione a trattamento della misura di esito primario che lo investigatore ha somministrato e valutato la versione totale della scala IV-IV-Parent-Parent-Parent. Ogni elemento sugli ADHDR mappe direttamente a un criterio di sintomo per ADHD nel DSM-IV.
Nello studio 1 un studio di trattamento acuto a risposta in risposta a risposta in risposta in doppio cieco di 8 settimane di bambini e adolescenti di età compresa tra 8 e 18 (n = 297) ha ricevuto una dose fissa di strattera (NULL,5 1,2 o 1,8 mg/kg/giorno) o placebo. Strattera è stata somministrata come una dose divisa la mattina presto e il tardo pomeriggio/prima sera. A 2 dosi più elevate, i miglioramenti dei sintomi dell'ADHD erano statisticamente significativamente superiori nei pazienti trattati con strattera rispetto ai pazienti trattati con placebo misurati sulla scala ADHDRS. La dose di Strattera di 1,8 mg/kg/giorno non ha fornito alcun vantaggio aggiuntivo su quello osservato con la dose di 1,2 mg/kg/giorno. La dose di strattera di 0,5 mg/kg/giorno non era superiore al placebo.
Nello studio 2 uno studio di trattamento acuto randomizzato in doppio cieco randomizzato in doppio cieco su bambini e adolescenti di età compresa tra 6 e 16 (n = 171) ha ricevuto Strattera o Placebo. La strattera è stata somministrata come una singola dose al mattino presto e titolata su base adeguata al peso in base alla risposta clinica fino a una dose massima di 1,5 mg/kg/giorno. La dose finale media di Strattera era di circa 1,3 mg/kg/giorno. I sintomi dell'ADHD sono stati statisticamente significativamente migliorati su Strattera rispetto al placebo misurato sulla scala ADHDRS. Questo studio mostra che Strattera è efficace se somministrata una volta al giorno al mattino.
In 2 identici studi acuti randomizzati in doppio blind randomizzato in doppio blinding di bambini di età compresa tra 7 e 13 (studio 3 N = 147; Studio 4 N = 144) Strattera e metilfenidato sono stati confrontati con il placebo. Strattera è stata somministrata come una dose divisa nella mattina presto e nel tardo pomeriggio (dopo la scuola) e titolata su base aggiustata per il peso secondo la risposta clinica. La dose di strattera consigliata massima era di 2,0 mg/kg/giorno. La dose finale media di strattera per entrambi gli studi era di circa 1,6 mg/kg/giorno. In entrambi gli studi i sintomi dell'ADHD statisticamente hanno migliorato più significativamente di più su Strattera che sul placebo misurato sulla scala ADHDRS.
Esame dei sottoinsiemi di popolazione basati su sesso e età ( <12 E 12 to 17) did not reveal any differential responsiveness on the basis of these subgroupings. There was not sufficient exposure of ethnic groups other than Caucasian to allow explOation of differences in these subgroups.
Studio di manutenzione
L'efficacia di Strattera nel trattamento di mantenimento dell'ADHD è stata stabilita in uno studio ambulatoriale su bambini e adolescenti (età 6-15 anni). I pazienti che soddisfano i criteri DSM-IV per l'ADHD che hanno mostrato una risposta continua per circa 4 settimane durante una fase di trattamento con etichetta aperta iniziale di 10 settimane con Strattera (da 1,2 a 1,8 mg/kg/giorno) sono stati randomizzati alla continuazione della loro dose attuale di Strattera (n = 292) o a placebo (n = 124) sotto il trattamento a doppia ottime per l'osservazione di Relapse.. La risposta durante la fase di emergenza aperta è stata definita come punteggio CGI-ADHD-S ≤2 e una riduzione di almeno il 25% dal basale in ADHDRS-IV-Parent: punteggio totale inv. I pazienti che sono stati assegnati a Strattera e hanno mostrato una risposta continua per circa 8 mesi durante la prima fase di trattamento in doppio cieco sono stati nuovamente randomizzati alla continuazione della loro attuale dose di strattera (n = 81) o al placebo (n = 82) sotto il trattamento in doppio blash per l'osservazione della ricaduta. La ricaduta durante la fase in doppio cieco è stata definita come il punteggio CGI-ADHD-S aumenta di almeno 2 dalla fine della fase di etichetta aperta e ADHDRS-IV-Parent: il punteggio totale inv restituisce ≥90% del punteggio di accesso allo studio per 2 visite consecutive. In entrambe le fasi in doppio cieco i pazienti che hanno ricevuto un trattamento di strattera continua hanno subito tempi significativamente più lunghi per ricadere rispetto a quelli che hanno ricevuto placebo.
ADHD Studies In Adulti
L'efficacia di Strattera nel trattamento dell'ADHD è stata stabilita in 2 studi clinici randomizzati in doppio cieco controllati con placebo di pazienti adulti di età pari o superiore a 18 anni che hanno soddisfatto i criteri DSM-IV per l'ADHD.
Segni e sintomi di ADHD sono stati valutati utilizzando la versione di screening della scala di valutazione ADHD addhd ad adulti somministrati con investigatore (CAARS) una scala di 30 elementi. La misura di efficacia primaria era il punteggio del sintomo ADHD totale a 18 elementi (la somma delle sottoscale disattentive e iperattività/impulsività dai CAAR) valutato da un confronto tra variazione media dal basale all'endpoint usando un'analisi intenzionale a trattare.
In 2 studi identici a doppio cieco randomizzati in doppio cieco (Studio 5 N = 280; Studio 6 N = 256) i pazienti hanno ricevuto Strattera o Placebo. Strattera è stata somministrata come una dose divisa nella mattina presto e nel tardo pomeriggio/prima sera e titolata secondo la risposta clinica in un intervallo da 60 a 120 mg/die. La dose finale media di Strattera per entrambi gli studi era di circa 95 mg/die. In entrambi gli studi i sintomi dell'ADHD sono stati statisticamente significativamente migliorati su Strattera, come misurato sul punteggio dei sintomi dell'ADHD dalla scala CAARS.
Esame dei sottoinsiemi di popolazione basati su sesso e età ( <42 E ≥42) did not reveal any differential responsiveness on the basis of these subgroupings. There was not sufficient exposure of ethnic groups other than Caucasian to allow explOation of differences in these subgroups.
Informazioni sul paziente per Strattera
Strattera ®
(Stra-Thair-A)
(atomoxetina) capsule
Leggi la guida ai farmaci che viene fornito con Strattera ® Prima che tu o tuo figlio inizi a prenderlo e ogni volta che ricevi una ricarica. Potrebbero esserci nuove informazioni. Questa guida ai farmaci non prende il posto di parlare con il medico del trattamento o del trattamento di tuo figlio con Strattera.
Quali sono le informazioni più importanti che dovrei sapere su Strattera?
Sono stati segnalati i seguenti con l'uso di Strattera:
Bambini e adolescenti a volte pensano al suicidio e molti riferiscono che cercano di uccidersi. I risultati di studi clinici di Strattera con oltre 2200 pazienti con ADHD per bambini o adolescenti suggeriscono che alcuni bambini e adolescenti possono avere maggiori possibilità di avere pensieri o azioni suicidi. Sebbene in questi studi non si siano verificati suicidi 4 su ogni 1000 pazienti hanno sviluppato pensieri suicidi. Di 'al medico di tuo figlio o adolescente se tuo figlio o tuo adolescente (o c'è una storia familiare di):
La possibilità di pensieri e azioni suicidi può essere più alta:
Prevenire pensieri e azioni suicidarie in tuo figlio o adolescente da:
Guarda i seguenti segni in tuo figlio o adolescente durante il trattamento di Strattera:
Chiama subito il medico o il medico adolescente se hanno uno dei segni di cui sopra, specialmente se sono nuovi improvvisi o severi. Potrebbe essere necessario guardare da vicino tuo figlio o adolescente per pensieri e azioni suicidari o di aver bisogno di un cambiamento in medicina.
Strattera can cause liver injury in some patients. Call your doctO right away if you Oyour child has the following signs of Problemi epatici:
Di 'al tuo medico se tu o il tuo bambino avete problemi cardiaci difetti di alta pressione sanguigna o una storia familiare di questi problemi. Il medico dovrebbe controllare attentamente te o il bambino per problemi cardiaci prima di iniziare Strattera.
Il medico dovrebbe controllare la pressione sanguigna o la pressione sanguigna e la frequenza cardiaca del bambino regolarmente durante il trattamento con Strattera.
Chiama subito il tuo medico se tu o tuo figlio avete segni di problemi cardiaci come il dolore al torace Brezza del respiro o svenimento mentre prendi Strattera.
Chiama subito il medico o il medico adolescente per eventuali nuovi sintomi mentali Perché potrebbe essere necessario prendere in considerazione il trattamento o l'arresto del trattamento di strattera.
- Pensieri e azioni suicidarie in bambini e adolescenti:
- ha una malattia bipolare (malattia maniacale)
- aveva pensieri o azioni suicida prima di iniziare la strattera
- presto durante il trattamento di Strattera
- Durante gli aggiustamenti della dose
- Prestare molta attenzione al trattamento degli umori del bambino o degli adolescenti, i pensieri e i sentimenti di Strattera
- Mantenere tutte le visite di follow-up con il medico o il medico adolescente come previsto
- ansia
- agitazione
- attacchi di panico
- difficoltà a dormire
- irritabilità
- ostilità
- aggressività
- impulsività
- irrequietezza
- mania
- depressione
- pensieri suicidi
- Grave danno epatico:
- prurito
- dolore alla pancia superiore destra
- urina scura
- pelle gialla o occhi
- sintomi inspiegabili flu-like
- Problemi correlati al cuore:
- morte improvvisa in pazienti che hanno problemi cardiaci o difetti cardiaci
- ictus e infarto negli adulti
- aumentato blood pressure E heart rate
- Nuovi problemi mentali (psichiatrici) in bambini e adolescenti:
- Nuovi sintomi psicotici (come le voci dell'udito che credono cose che non sono vere sospettose) o nuovi sintomi maniacali
Cos'è Strattera?
Strattera is a selective nOepinephrine Reuppake inhibitO medicine. It is used fO the treatment of attention deficit E hyperactivity disOder (ADHD). Strattera may help increase attention E decrease impulsiveness E hyperactivity in patients with ADHD.
Strattera should be used as a part of a total treatment program fO ADHD that may includecounseling O other therapies.
Strattera has not been studied in children less than 6 years old.
Chi non dovrebbe prendere Strattera?
Strattera should not be taken if you O your child:
- sono presi o hanno preso negli ultimi 14 giorni un medicinale anti-depressione chiamato inibitore della monoamina ossidasi o MAOI. Alcuni nomi di medicinali MAOI sono Nardil ® (Fenelzina solfato) Parnato ® (Tranylcypromine Solfato) ed Emsam ® (sistema transdermico di selegilina).
- Avere un problema agli occhi chiamato glaucoma angolare stretto
- sono allergici a qualsiasi cosa a Strattera. Vedi la fine di questa guida ai farmaci per un elenco completo di ingredienti.
- hanno o hanno avuto un tumore raro chiamato feocromocitoma.
Strattera may not be right fO you O your child. BefOe starting Strattera tell yourdoctO O your child’s doctO about all health conditions (O a family histOy of) including:
- avere o avere pensieri o azioni suicida
- Problemi cardiaci difetti cardiaci il cuore irregolare batte l'ipertensione o bassa pressione sanguigna
- problemi mentali psicosi mania bipolar illness O depressione
- Problemi epatici
- sono incinta o prevedono di rimanere incinta. Non è noto se Strattera danneggerà il tuo bambino non ancora nato. Parla con il tuo medico se sei incinta o hai intenzione di rimanere incinta.
- Esiste un registro di gravidanza per le femmine esposte a farmaci ADHD tra cui Strattera durante la gravidanza. Lo scopo del registro è di raccogliere informazioni sulla salute delle femmine esposte a Strattera e al loro bambino. Se tu o tuo figlio rimane incinta durante il trattamento con Strattera, parlate con il vostro assistenza sanitaria sulla registrazione con il registro nazionale della gravidanza dei farmaci ADHD al numero 1-866-961-2388 o visitare online a https://womensmentalhealth.org/adhdmedications/.
- stanno allattando o pianificano di allattare. Non è noto se Strattera passa nel latte materno. Parla con il tuo medico del modo migliore per nutrire il tuo bambino se prendi Strattera.
Strattera può essere presa con altri medicinali?
Racconta al tuo medico tutte le medicine che tu o il tuo bambino prendono, compresi i medicinali di prescrizione e non prescrizione vitamine e integratori a base di erbe. Strattera E some medicines may interact with each other E cause serious side effects. Your doctO will decide whether Strattera can be taken with other medicines.
Soprattutto dì al tuo medico se tu o tuo figlio prendi:
- medicine per asma
- Medici antidepressivi tra cui MAOIS
- medicine per la pressione sanguigna
- freddo o allergia medicinali che contengono decongestionanti
Conosci le medicine che tu o tuo figlio prendono. Tieni con te un elenco dei tuoi medicinali per mostrare il tuo medico e farmacista.
Non avviare alcuna nuova medicina durante l'assunzione di strattera senza parlare con il tuo dottorFirst.
Come dovrebbe essere presa Strattera?
- Prendi Strattera esattamente come prescritto. Strattera è disponibile in diversi tiri di forza della dose. Il medico può regolare la dose fino a quando non è giusto per te o tuo figlio.
- Non masticare o aprire le capsule. Ingoiare le capsule di strattera intere con acqua o altri liquidi. Di 'al tuo medico se tu o il tuo bambino non potete deglutire la strattera intera. Potrebbe essere necessario prescrivere una medicina diversa.
- Evita di toccare una capsula di strattera rotta. Lavare le mani e le superfici che hanno toccato la capsula di strattera anopen. Se qualcuno della polvere si mette negli occhi o gli occhi di tuo figlio li risciacqua subito con l'acqua e chiama il medico.
- Strattera can be taken with O without food.
- Strattera is usually taken once O twice a day. Take Strattera at the same time each day to help you remember. If you miss a dose of Strattera take it as soon as you remember that day. If you miss a day of Strattera do not double your dose the next day.Just skip the day you missed.
- Di tanto in tanto il medico può interrompere il trattamento di Strattera per un po 'per controllare i sintomi dell'ADHD.
- Il medico può fare controlli regolari del cuore del sangue e della pressione sanguigna durante la presa. I bambini dovrebbero avere la loro altezza e il peso controllati spesso mentre prendono Strattera. Il trattamento di Strattera può essere fermato se si riscontra un problema durante questi controlli.
- Se tu o tuo figlio prendi troppa strattera o overdose, chiamate subito il tuo centro di controllo del medico Orpoison o ricevi un trattamento di emergenza.
Quali sono possibili effetti collaterali di Strattera?
Vedere Quali sono le informazioni più importanti che dovrei sapere su Strattera? Per informazioni su pensieri e azioni suicidari segnalati altri problemi mentali gravi danni al fegato e problemi cardiaci.
Altri gravi effetti collaterali includono:
- Reazioni allergiche gravi (chiama il medico se hai difficoltà a respirare vedi gonfiore o esperienza di hivesor altre reazioni allergiche)
- rallentamento della crescita (altezza e peso) nei bambini
- Problemi di passaggio delle urine, incluso
- difficoltà ad iniziare o mantenere un flusso di urina
- non può svuotare completamente la vescica
Gli effetti collaterali comuni su bambini e adolescenti includono:
- mal di stomaco
- diminuzione dell'appetito
- nausea o vomito
- vertigini
- stanchezza
- sbalzi d'umore
Gli effetti collaterali comuni negli adulti includono:
- stipsi
- bocca secca
- nausea
- diminuzione dell'appetito
- vertigini
- effetti collaterali sessuali
- Problemi che passano l'urina
Altre informazioni per i bambini adolescenti e adulti:
- Le erezioni che non andranno via (priapismo) si sono verificate raramente durante il trattamento con Strattera. Se hai un'erezione che dura più di 4 ore, cerca assistenza medica in modo giusto. A causa del potenziale di danno duraturo, incluso la potenziale incapacità di avere erezioni che il priapismo dovrebbe essere immediatamente valutato da un medico.
- Strattera may affect your ability O your child’s ability to drive O operate heavy machinery.Be careful until you know how Strattera affects you O your child.
- Parla con il tuo medico se tu o tuo figlio avete effetti collaterali che siete fastidiosi o non siete via.
Questo non è un elenco completo di possibili effetti collaterali. Chiama il medico per consigli medici sugli effetti collaterali. È possibile segnalare gli effetti collaterali alla FDA al numero 1-800-FDA-1088.
Come dovrei conservare Strattera?
- Conservare la strattera in un luogo sicuro a temperatura ambiente da 59 a 86 ° F (da 15 a 30 ° C).
- Mantieni Strattera e tutte le medicine fuori dalla portata dei bambini.
Informazioni generali su Strattera
Le medicine sono talvolta prescritte a fini diversi da quelli elencati in una guida ai farmaci. Non usare Strattera per una condizione per la quale non è stata prescritta. Non dare Strattera ad altre persone anche se hanno le stesse condizioni. Potrebbe danneggiare loro.
Questa guida ai farmaci sintetizza le informazioni più importanti su Strattera. Se desideri più informazioni, parla con il tuo medico. Puoi chiedere al tuo medico o al farmacista informazioni su Strattera che è stata scritta per gli operatori sanitari. Per ulteriori informazioni su Strattera, chiamare 1-800-LILLY-RX (1-800-545-5979) o visitare www.strattera.com.
Quali sono gli ingredienti di Strattera?
Ingrediente attivo: atomoxetina cloridrato.
Ingredienti inattivi: amido pregelatinizzato dimeticone gelatina sodio lauril solfato fd
Questa guida ai farmaci è stata approvata dalla Food and Drug Administration degli Stati Uniti.