Le Informazioni Presenti Sul Sito Non Costituiscono Consulenza Medica. Non Vendiamo Nulla. L'Accuratezza Della Traduzione Non È Garantita. Disclaimer



Cellulare

Riepilogo della droga

Cos'è Cellcept?

Cellcept (micofenolato mofetile) è un agente immunosoppressivo usato per impedire al corpo di rifiutare un trapianto di fegato o cuore renale. Cellcept è generalmente somministrato con ciclosporina ( Sandimmune Neoral ) e a steroide farmaco. Cellcept è disponibile in generico modulo.

Quali sono gli effetti collaterali della cellula?

Cellulare



  • febbre
  • ghiandole gonfie
  • piaghe da bocca dolorosa
  • sintomi a freddo o influenza
  • mal di testa
  • Dolore all'orecchio
  • dolori di stomaco
  • vomito
  • diarrea
  • perdita di peso
  • debolezza da un lato del tuo corpo
  • perdita di controllo muscolare
  • confusione
  • Problemi di pensiero
  • perdita di interesse per le cose che normalmente ti interessano
  • dolore o bruciore quando urini
  • tenerezza intorno al rene trapiantato
  • arrossamento del calore gonfiore o trasudare attorno a una ferita per la pelle
  • Nuova lesione o talpa della pelle che è cambiata di dimensioni o colore
  • sgabelli sanguinanti o invariati
  • tossire sangue o vomito Sembra che i fondi di caffè
  • grave mal di testa
  • visione sfocata
  • martellando nel collo o nelle orecchie
  • ansia
  • naso
  • brividi
  • stanchezza
  • piaghe della pelle
  • Facile lividi
  • sanguinamento insolito
  • pelle pallida
  • mani o piedi freddi e
  • Accendino

Ottieni subito assistenza medica se hai uno qualsiasi dei sintomi sopra elencati.



Gli effetti collaterali comuni della cellula includono:

  • stipsi
  • nausea
  • mal di testa
  • diarrea
  • vomito
  • dolori di stomaco O upset
  • perdita di appetito
  • gas
  • tremore
  • problemi a dormire (insonnia)
  • debolezza
  • gonfiore tra le mani o i piedi
  • intorpidimento o sensazione di forcosio
  • ansia.

Dì al tuo medico se si verificano effetti collaterali improbabili ma gravi di Cellcept, incluso:



  • stanchezza insolita
  • battito cardiaco veloce o irregolare
  • debolezza muscolare
  • Sanguinamento facile o contuso
  • gonfiore dei piedi o delle caviglie
  • Cambiamenti mentali/dell'umore
  • debolezza on one side of the body O
  • cambiamento insolito nella quantità di urina.

Chiama il tuo medico in una volta se hai i seguenti gravi effetti collaterali:

  • visione sfocata tunnel vision eye Dolore O swelling O seeing halos around lights;
  • I battiti cardiaci veloci o martellanti svolazzano nella mancanza di respiro del torace e vertigini improvvise;
  • bassi livelli di sodio nel corpo con grave discorso confusione di confusione maltrattata grave debolezza perdita di coordinamento Sensazione instabile; O
  • Grave reazione del sistema nervoso con muscoli molto rigidi (rigidi) ad alta febbre che suda confusione velocemente o battiti cardiaci irregolari e sentiti come se potessi svelare.

Dosaggio per cellulare

La dose di cellulare dipende dal tipo di trapianto eseguito.

Quali sostanze o integratori di farmaci interagiscono con Cellcept?

Cellulare può interagire con gli antibiotici di colestiramina aciclovir Ganciclovir valacyclovir o altri medicinali che indeboliscono il sistema immunitario. Di 'al medico tutti i farmaci che usi.

Cellulare durante la gravidanza e l'allattamento al seno

Cellcept non è raccomandato per l'uso durante la gravidanza a causa del possibile danno al feto. Le donne in età fertile dovrebbero avere un test di gravidanza negativo entro 1 settimana dall'inizio di questo farmaco. Utilizzare due forme di controllo delle nascite a partire da 4 settimane prima di iniziare la terapia e continuare per almeno 6 settimane dopo l'arresto del farmaco. Consulta il tuo medico. Non è noto se questo farmaco passi nel latte materno, ma può avere effetti indesiderati su un bambino infermieristico. L'allattamento al seno non è raccomandato durante l'utilizzo di questo farmaco e per 6 settimane dopo averlo fermato. Consulta il tuo medico per i dettagli.

Ulteriori informazioni

Il nostro centro farmacologico per gli effetti collaterali di cellulare (micofenolato mofetile) fornisce una visione completa delle informazioni disponibili sui farmaci sui potenziali effetti collaterali durante l'assunzione di questo farmaco.

Informazioni sui farmaci FDA

AVVERTIMENTO

Tossicità embriofetale neoplasie e infezioni gravi

L'uso durante la gravidanza è associato ad un aumento dei rischi di perdita di gravidanza del primo trimestre e malformazioni congenite. Le femmine del potenziale riproduttivo (FRP) devono essere consigliate in merito alla prevenzione e alla pianificazione della gravidanza (vedi AVVERTIMENTOS E PRECAUZIONI ).

L'immunosoppressione può portare ad una maggiore suscettibilità all'infezione e al possibile sviluppo del linfoma. Solo i medici sperimentati nella terapia immunosoppressiva e nella gestione dei pazienti con trapianto renale o trapianto epatico dovrebbero prescrivere cellula. I pazienti che ricevono il farmaco devono essere gestiti in strutture attrezzate e gestite con adeguate risorse mediche di laboratorio e di supporto. Il medico responsabile della terapia di manutenzione dovrebbe avere il requisito di informazioni completo per il follow-up del paziente (vedi AVVERTIMENTOS E PRECAUZIONI ).

Descrizione per cellcept

Cellcept (micofenolato mofetile) è l'estere 2-morfolinoetil dell'acido micofenolico (MPA) un agente immunosoppressivo; L'inibitore dell'Inosina monofosfato deidrogenasi (IMPDH).

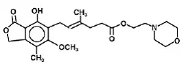
Il nome chimico per micofenolato mofetile (MMF) è 2-morfolinoetil (E) -6- (13-diidro-4-idrossi-6- methoxy-7-metil-3-oxo-5-isobenzofurany) -4-metil-4-esenoato. Ha una formula empirica di C 23 H 31 NO 7 un peso molecolare di 433,50 e la seguente formula strutturale:

Il mofetile micofenolato è una polvere cristallina da bianco a bianco sporco. È leggermente solubile in acqua (43 μg/mL a pH 7,4); La solubilità aumenta nel mezzo acido (NULL,27 mg/mL a pH 3,6). È liberamente solubile in acetone solubile in metanolo e con parsimonia solubile in etanolo. L'apparente coefficiente di partizione in soluzione tampone 1-ottanolo/acqua (pH 7,4) è 238. I valori PKA per micofenolato mofetile sono 5,6 per il gruppo morfolino e 8,5 per il gruppo fenolico.

Il micofenolato mofetil cloridrato ha una solubilità di 65,8 mg/mL in iniezione di destrosio al 5% USP (D5W). Il pH della soluzione ricostituita è da 2,4 a 4.1.

La cellula è disponibile per la somministrazione orale come capsule contenenti 250 mg di compresse di mofetili di micofenolato contenenti 500 mg di mofetile di micofenolato e come polvere per sospensione orale che quando costituita contiene 200 mg/ml di micofenolato mofetile.

Gli ingredienti inattivi nelle capsule di 250 mg di Cellcepcept comprendono il povidone stearato di magnesio di sodio di croscarmellosio (K-90) e amido pregelatinizzato. I gusci della capsula contengono ossido di ferro nero fd

Gli ingredienti inattivi nelle compresse di cellcepcept 500 mg includono ossido di ferro nero croscarmellosio sodio FD

Gli ingredienti inattivi nella sospensione orale cellulare comprendono aspartame citrico citrico di acido colloidale di biossido di silicio colloidale sapore di frutta misto di sodio citrato diidrato soia lacitina di soia e gomma Xanthan.

Cellcept endovenoso è il sale di cloridrato del micofenolato mofetile. Il nome chimico per il sale cloridrato del micofenolato mofetile è 2-morfolinoetil (E) -6- (13-diidro-4-idrossi-6-methoxy-7- metil-3-oxo-5-isobenzofurany) -4-metil-4-eseno idrocloruro. Ha una formula empirica di C 23 H 31 NO 7 HCl e un peso molecolare di 469,96.

Cellcept endovenoso è disponibile come polvere liofilizzata da bianco sterile a bianco sporco in fiale contenenti micofenolato mofetil cloridrato per somministrazione solo mediante infusione endovenosa. Ogni fiala di cellulare per via endovenosa contiene l'equivalente di 500 mg di micofenolato mofetile come sale di cloridrato. Gli ingredienti inattivi sono polisorbato 80 25 mg e acido citrico 5 mg. L'idrossido di sodio potrebbe essere stato utilizzato nella produzione di cellulare per via endovenosa per regolare il pH. Ricostituzione e diluizione con iniezione di destrosio al 5% USP produce una soluzione leggermente gialla di micofenolato mofetile 6 mg/ml. (Per il metodo di preparazione dettagliato, consultare Dosaggio e amministrazione ).

Usi per cellcept

Cellcept [micofenolato mofetile (MMF)] è indicato per la profilassi del rifiuto degli organi nei destinatari adulti e pediatrici di età pari o superiore a 3 mesi di età allogenica [vedi Studi clinici ] cuore [vedi Studi clinici ] o trapianti di fegato [vedi Studi clinici ] in combinazione con altri immunosoppressori.

Dosaggio per cellulare

Importanti istruzioni di amministrazione

Cellcept non deve essere utilizzato senza la supervisione di un medico con esperienza nella terapia immunosoppressiva.

Compresse di capsule cellulari e sospensione orale

Forme di dosaggio orale cellulare (compresse di capsule o sospensione orale) non dovrebbe essere usato in modo intercambiabile con compresse a rilascio ritardato di acido micofenolico senza supervisione di un medico con esperienza nella terapia immunosoppressiva Perché i tassi di assorbimento a seguito della somministrazione di forme di dosaggio orale cellulare e compresse di rilascio ritardato di acido micofenolico non sono equivalenti.

Le compresse di cellule non devono essere schiacciate e le capsule di cellule non devono essere aperte o schiacciate. I pazienti devono evitare l'inalazione o il contatto della pelle o delle mucose con la polvere contenuta nelle capsule cellulari e nella sospensione orale. Se si verifica tale contatto, devono lavare accuratamente l'area di contatto con sapone e sapone. In caso di contatti oculari risciacquare gli occhi con acqua semplice.

La dose iniziale orale di cellulare dovrebbe essere somministrata il prima possibile dopo il trapianto di cuore renale o epatico. Si consiglia di somministrazione di cella a stomaco vuoto. Nei pazienti con trapianto stabile, tuttavia, la cellula può essere somministrata con cibo, se necessario [vedi Farmacologia clinica ]. Una volta ricostituita la sospensione orale cellulare non deve essere miscelata con eventuali liquidi prima della somministrazione di dose. Se necessario, la sospensione orale cellulare può essere somministrata tramite un tubo nasogastrico con una dimensione minima di 8 francese (diametro interno minimo di 1,7 mm).

I pazienti devono essere istruiti a assumere una dose mancata non appena ricordano se non se è più vicino a 2 ore alla successiva dose programmata; In questo caso dovrebbero continuare a prendere Cellcept nei soliti tempi.

Cellcept endovenoso

Cellcept endovenoso is recommended fO patients unable A take Oal Cellulare. Cellcept endovenoso should be administered within 24 hours following transplant. Cellcept endovenoso can be administered fO up A 14 days; however patients should be switched A Oal Cellulare as soon as they can Alerate Oal medication.

Cellcept endovenoso must be reconstituted befOe use [Vedere Istruzioni di preparazione della sospensione orale e per via endovenosa per i farmacisti ]. Cellcept endovenoso è incompatibile con altre soluzioni di infusione per via endovenosa e non deve essere miscelata o somministrata contemporaneamente attraverso lo stesso catetere di infusione con altri farmaci endovenosi o miscele di infusione.

Cellcept endovenoso must not be administered as a bolus. Following reconstitution Cellcept endovenoso must be administered by slow intravenous infusion over a period of no less than 2 hours by either peripheral O central vein as rapid infusion increases the risk of local adverse reactions such as phlebitis E thrombosis [Vedere Reazioni avverse ].

puoi ottenere in alto dal lorazepam

Raccomandazioni sul dosaggio per i pazienti con trapianto di rene

Adulti

Il dosaggio raccomandato per i pazienti con trapianto di rene per adulti è 1 g per via orale o endovenosa per non meno di 2 ore due volte al giorno (dose giornaliera totale di 2 g).

Pediatria (3 mesi e più)

Il dosaggio pediatrico si basa sulla superficie corporea (BSA). Il dosaggio raccomandato della sospensione orale cellulare per i pazienti trapianti renali pediatrici 3 mesi e più è di 600 mg/m 2 somministrato due volte al giorno (dose giornaliera totale massima di 2 g o 10 ml di sospensione orale). Pazienti pediatrici con BSA ≥ 1,25 m 2 può essere dosed di capsule o compresse come segue:

Tabella 1 Trapianto renale pediatrico: dosaggio con capsule o compresse

Superficie corporea Dosaggio
1,25 m 2 A <1.5 m 2 Capsule di cellulare 750 mg due volte al giorno (NULL,5 g di dose giornaliera totale)
≥ 1,5 m 2 Capsule o compresse di cellule 1 g due volte al giorno (2 g totali al giorno
dose)

Dosaggio Recommendations FO Heart Transplant Patients

Adulti

Il dosaggio raccomandato di cellulare per i pazienti con trapianto di cuore adulto è 1,5 g per via orale o endovenosa per non meno di 2 ore somministrate due volte al giorno (dose giornaliera totale di 3 g).

Pediatria (3 mesi e più)

Il dosaggio iniziale raccomandato della sospensione orale cellulare per i pazienti con trapianto di cuore pediatrico 3 mesi di età superiore 2 somministrato due volte al giorno. Se ben tollerato, la dose può essere aumentata a un dosaggio di mantenimento di 900 mg/m 2 due volte al giorno (dose giornaliera totale massima di 3 g o 15 ml di sospensione orale). La dose può essere individualizzata in base alla valutazione clinica.

Pazienti pediatrici con BSA ≥1,25 m 2 può essere iniziato in terapia con capsule o compresse come segue:

Tabella 2 trapianto di cuore pediatrico: dosaggio di avvio pediatrico mediante capsule o compresse

Superficie corporea Dosaggio iniziale*
1,25 m 2 A <1.5 m 2 Capsule di cellulare 750 mg due volte al giorno (NULL,5 g di dose giornaliera totale)
≥ 1,5 m 2 Capsule o compresse di cellule 1 g due volte al giorno (2 g totali al giorno
dose)
*Dose di manutenzione massima: 3 g totale quotidiano.

Dosaggio Recommendations FO Liver Transplant Patients

Adulti

Il dosaggio raccomandato di cellulare per i pazienti con trapianto di fegato adulto è somministrato a 1,5 g per via orale due volte al giorno (dose giornaliera totale di 3 g) o 1 g infusa per via endovenosa per non meno di 2 ore due volte al giorno (dose giornaliera totale di 2 g).

Pediatria (3 mesi e più)

Il dosaggio iniziale raccomandato della sospensione orale cellulare per i pazienti con trapianto di fegato pediatrico 3 mesi di età e più sono 600 mg/m 2 somministrato due volte al giorno. Se ben tollerato, la dose può essere aumentata a un dosaggio di mantenimento di 900 mg/m 2 due volte al giorno (dose giornaliera totale massima di 3 g o 15 ml di sospensione orale). La dose può essere individualizzata in base alla valutazione clinica.

Pazienti pediatrici con BSA ≥1,25 m 2 può essere iniziato in terapia con capsule o compresse come segue:

Tabella 3 Trapianto di fegato pediatrico: dosaggio di avvio pediatrico mediante capsule o compresse

Superficie corporea Dosaggio iniziale*
1,25 m 2 A <1.5 m 2 Capsule di cellulare 750 mg due volte al giorno (NULL,5 g di dose giornaliera totale)
≥ 1,5 m 2 Capsule o compresse di cellule 1 g due volte al giorno (2 g totali al giorno
dose)

Dosaggio Modifications

Pazienti con neutropenia per compromissione renale

Compromissione renale

Non sono necessarie modifiche al dosaggio nei pazienti con trapianto di rene con funzione di innesto ritardata dopo l'intervento [vedi Farmacologia clinica ]. In Pazienti di trapianto di rene con grave compromissione cronica dell'innesto (GFR <25 mL/min/1.73 m 2 ) non somministrare dosi di cellule superiori a 1 g due volte al giorno. Questi pazienti devono essere attentamente monitorati [vedi Farmacologia clinica ].

Neutropenia

Se si sviluppa la neutropenia (ANC <1.3 x 10 3 /ml) Il dosaggio con cellulare deve essere interrotto o ridotto i test diagnostici appropriati eseguiti e il paziente è gestito in modo appropriato [vedi AVVERTIMENTOS E PRECAUZIONI E Reazioni avverse ].

Istruzioni di preparazione della sospensione orale e per via endovenosa per i farmacisti

Istruzioni di preparazione generale prima di gestire le formulazioni

Il micofenolato mofetile (MMF) ha dimostrato effetti teratogeni nell'uomo. Seguire le procedure di gestione e smaltimento speciali applicabili 1 [Vedere AVVERTIMENTOS E PRECAUZIONI Reazioni avverse Utilizzare in popolazioni specifiche Come fornito ].

Si dovrebbe fare attenzione per evitare l'inalazione o il contatto diretto con la pelle o le mucose della polvere secca o la sospensione costituita perché MMF ha dimostrato effetti teratogeni nell'uomo. Si consiglia di indossare guanti usa e getta durante la ricostituzione e quando si asciuga la superficie esterna della bottiglia/cappuccio e la superficie del tavolo dopo la ricostituzione. Se tale contatto si verifica accuratamente, lavarsi le mani con acqua e sapone; Risciacqua gli occhi con acqua.

Avviso i pazienti che loro e altri dovrebbero anche evitare l'inalazione o il contatto della pelle o delle mucose con la sospensione orale. Consiglia loro di lavare accuratamente l'area con acqua e sapone se si verifica tale contatto; Se si verifica un contatto oculare risciacquare con acqua semplice.

Sospensione orale cellulare

Sospensione orale cellulare must be reconstituted by the pharmacist priO A dispensing A the patient. Sospensione orale cellulare should not be mixed with any other medication. After reconstitution the Oal sospensione contains 200 mg/mL MMF.

Prima di procedere con le fasi di ricostituzione leggi le istruzioni di preparazione generale sopra [vedi Istruzioni di preparazione generale prima di gestire le formulazioni ]. The following are the steps fO reconstitution:

  1. Tocca la bottiglia chiusa più volte per allentare la polvere.
  2. Misurare 94 ml di acqua in un cilindro graduato.
  3. Aggiungi circa la metà della quantità totale di acqua per la ricostituzione alla bottiglia e scuoti bene la bottiglia chiusa per circa 1 minuto.
  4. Aggiungi il resto dell'acqua e scuoti bene la bottiglia chiusa per circa 1 minuto.
  5. Rimuovere il tappo resistente ai bambini e spingere l'adattatore di bottiglia nel collo di bottiglia.
  6. Chiudi la bottiglia con un tappo resistente ai bambini strettamente. Ciò assicurerà il corretto sedute dell'adattatore della bottiglia nella bottiglia e lo stato resistente ai bambini del cappuccio.
  7. Scrivi la data di scadenza della sospensione costituita sull'etichetta della bottiglia. (La durata della sospensione costituita è di 60 giorni.)
  8. Rinunciare all'istruzione per l'uso e i distributori orali. Avviso i pazienti per leggere le informazioni di gestione importanti descritte nelle istruzioni per l'uso.

Conservare la sospensione ricostituita a 25 ° C (77 ° F); Escursioni consentite a 15 ° C a 30 ° C (da 59 ° F a 86 ° F). È accettabile la conservazione in frigorifero da 2 ° C a 8 ° C (da 36 ° F a 46 ° F). Non congelare. Scartare qualsiasi porzione inutilizzata 60 giorni dopo la costituzione.

Cellcept endovenoso

Prima di procedere con le fasi di preparazione per Cellcept endovenose leggi le istruzioni di preparazione generale [vedi Istruzioni di preparazione generale prima di gestire le formulazioni ] e notare quanto segue:

  • Cellcept endovenoso does not contain an antibacterial preservative; therefOe reconstitution E dilution of the product must be perfOmed under aseptic conditions.
  • Questo prodotto è sigillato sotto vuoto e dovrebbe conservare un vuoto per tutta la durata della conservazione. Se si nota una mancanza di aspirapolvere nella fiala durante l'aggiunta del diluente, la fiala non deve essere utilizzata.

Cellcept endovenoso must be reconstituted E further diluted. A detailed description of the preparation is given below.

Tabella 4 Istruzioni di preparazione di cellule per via endovenosa per i farmacisti

Preparazione del
Dose 1g
  1. Ricostituire Due (2) fiale di cellulare endovenose iniettando 14 ml di iniezione di destrosio 5% USP in ciascun fiala.
  2. Scuoti delicatamente la fiala per sciogliere il farmaco.
  3. Ispezionare la soluzione leggermente gialla risultante per il particolato e lo scolorimento prima di un'ulteriore diluizione. Scartare le fiale se si osserva il particolato o lo scolorimento.
  4. Diluire Il contenuto delle due fiale ricostituite (circa 2 x 15 ml) in 140 ml di iniezione di destrosio al 5% USP.
  5. Ispezionare la soluzione di infusione risultante e scartare se si osserva il particolato o lo scolorimento.
Preparazione del
Dose 1,5 g
  1. Ricostituire three (3) vials of Cellcept endovenoso by injecting 14 mL of 5% Dextrose Iniezione USP inA each vial.
  2. Scuoti delicatamente la fiala per sciogliere il farmaco.
  3. Ispezionare la soluzione leggermente gialla risultante per il particolato e lo scolorimento prima di un'ulteriore diluizione. Scartare le fiale se si osserva il particolato o lo scolorimento.
  4. Diluire Il contenuto delle tre fiale ricostituite (circa 3 x 15 ml) in 210 ml di iniezione di destrosio al 5% USP.
  5. Ispezionare la soluzione di infusione risultante e scartare se si osserva il particolato o lo scolorimento.

La somministrazione dell'infusione dovrebbe essere iniziata entro 4 ore dalla ricostituzione e dalla diluizione del prodotto farmaceutico. Mantenere soluzioni a 25 ° C (77 ° F); Escursioni consentite a 15 ° C a 30 ° C (da 59 ° F a 86 ° F). Scartare la parte inutilizzata delle soluzioni ricostituite.

L'iniezione di cellule non deve essere miscelata o somministrata contemporaneamente attraverso lo stesso catetere di infusione con altri farmaci endovenosi o miscele di infusione.

Come fornito

Dosaggio FOms And Strengths

Cellulare è disponibile nelle seguenti forme di dosaggio e punti di forza:

Benefici per la salute del cardamom ed effetti collaterali
Capsule 250 mg di micofenolato mofetile Capsule di gelatina dura a due pezzi Cellcept azzurro 250 Stampato in nero sul cappuccio blu e Roche sul corpo marrone
Compresse 500 mg di micofenolato mofetile tavolette a forma di capletto color lavanda stampate stampate in nero con cellcept 500 su un lato e roche dall'altro
Per orale
sospensione
35 g Micofenolato Mofetile da bianco a polvere fuori bianco per la ricostituzione
(200 mg/ml dopo la ricostituzione)
Per iniezione 500 mg di micofenolato mofetile da bianco a polvere liofilizzata bianca in bianco in una fiala monodose per la ricostituzione

Archiviazione e maneggevolezza

Gestione e smaltimento

Il micofenolato mofetile (MMF) ha dimostrato effetti teratogeni nell'uomo [vedi AVVERTIMENTOS E PRECAUZIONI E Utilizzare in popolazioni specifiche ]. Cellulare tablets should not be crushed E Cellulare capsules should not be opened O crushed. Wearing disposable gloves is recommended during reconstitution E when wiping the outer surface of the bottle/cap E the table after reconstitution. Avoid inhalation O direct contact with skin O mucous membranes of the powder contained in Cellulare capsules Sospensione orale cellulare (befOe O after constitution) O Cellcept endovenoso (during O after preparation) [Vedere Dosaggio e amministrazione ]. Follow applicable special hEling E disposal procedures 1 .

Cellulare (Mycophenolate Mofetil Capsule) 250 mg

Capsule
Capsule di gelatina dura a due pezzi blu-blu stampate in nero con cellcept 250
il berretto blu e Roche sul corpo marrone.
Dimensioni
Bottiglia di 100 - Ndc 0004-0259-01
Bottiglia di 500 - Ndc 0004-0259-43
Magazzinaggio
Conservare a 25 ° C (77 ° F); Escursioni consentite a 15 ° C a 30 ° C (da 59 ° F a 86 ° F)

Cellulare (Mycophenolate Mofetil Compresse) 500 mg

Compresse
Tavolette a forma di pellicola a forma di capletto color lavanda stampate in nero con cellcept
500 da un lato e Roche dall'altro
Dimensioni
Bottiglia di 100 - Ndc 0004-0260-01
Bottiglia di 500 - Ndc 0004-0260-43
Magazzinaggio E Dispensing InfOmation:
  • Conservare a 25 ° C (77 ° F); Escursioni consentite a 15 ° C a 30 ° C (da 59 ° F a 86 ° F).
  • Distribuire in contenitori resistenti alla luce come i contenitori originali del produttore.

Sospensione orale cellulare (Mycophenolate Mofetil) FO Oral Suspension

Per orale sospensione : 35 g Micofenolato Mofetile da bianco a miscela di polvere bianca per costituzione da bianco a bianco Off-White Miscelati Sospensione di sapore a frutto misto
225 ml di bottiglia con adattatore a bottiglia e 2 distributori orali Ndc 0004-0261-29
Magazzinaggio
  • Conservare la polvere secca a 25 ° C (77 ° F); Escursioni consentite a 15 ° C a 30 ° C (da 59 ° F a 86 ° F).
  • Archiviare la sospensione costituita a 25 ° C (77 ° F); Escursioni consentite a 15 ° C a 30 ° C (da 59 ° F a 86 ° F) per un massimo di 60 giorni. È accettabile la conservazione in frigorifero da 2 ° C a 8 ° C (da 36 ° F a 46 ° F). Non congelare.

Cellcept endovenoso (Mycophenolate Mofetil FO Iniezione)

Per iniezione : 500 mg di micofenolato mofetile in una fiala singola dosa sterile da 20 ml di 4 fiale
Cartoni di 4 fiale monodose Ndc 0004-0298-09
Magazzinaggio
  • Conservare la soluzione di infusione in polvere e ricostituita a 25 ° C (77 ° F); Escursioni consentite a 15 ° C a 30 ° C (da 59 ° F a 86 ° F).

Riferimenti

1. Droghe pericolose OSHA. OSHA. https://www.osha.gov/sltc/hazzardousdrugs/index.html

Distribuito da: Genentech USA Inc. Un membro del Roche Group 1 DNA Way South San Francisco CA 94080-4990. Revisionato: agosto 2022

Effetti collaterali fO Cellulare

Le seguenti reazioni avverse sono discusse in maggior dettaglio in altre sezioni dell'etichetta:

  • Tossicità embriofetale [vedi AVVERTIMENTOS E PRECAUZIONI ]
  • Linfomi e altre neoplasie [vedi AVVERTIMENTOS E PRECAUZIONI ]
  • Infezioni gravi [vedi AVVERTIMENTOS E PRECAUZIONI ]
  • DYSCRASIA del sangue: Neutropenia Aplasia a cellule rosse pura [vedi AVVERTIMENTOS E PRECAUZIONI ]
  • Complicanze gastrointestinali [vedi AVVERTIMENTOS E PRECAUZIONI ]
  • Sindrome infiammatoria acuta associata ai prodotti micofenolati [vedi AVVERTIMENTOS E PRECAUZIONI ]

Esperienza di studi clinici

Poiché gli studi clinici sono condotti in condizioni di reazione avverse ampiamente variabili osservate negli studi clinici di un farmaco non possono essere paragonati direttamente ai tassi negli studi clinici di un altro farmaco e potrebbero non riflettere i tassi osservati nella pratica.

Un totale stimato di 1557 pazienti adulti ha ricevuto cellule durante gli studi clinici fondamentali nella prevenzione del rigetto di organi acuti. Di questi 991 sono stati inclusi nei tre studi renali 277 sono stati inclusi in uno studio epatico e 289 sono stati inclusi in uno studio cardiaco. I pazienti in tutti gli armi di studio hanno anche ricevuto ciclosporina e corticosteroidi.

I dati descritti di seguito derivano principalmente da cinque studi randomizzati a 12 mesi in doppio cieco controllato attivo di cellulare in Ancora I pazienti trapianti di rene (3) cuore (1) e fegato (1) [vedi Studi clinici ].

Cellulare Oral

L'incidenza di reazioni avverse per Cellcept è stata determinata in cinque studi comparativi randomizzati a doppia gemella nella prevenzione del rifiuto nei pazienti con trapianto di cuore renale e epatico (due studi attivo e un luogo di lavoro di uno studio controllato attivo e uno studio controllato attivo) [vedi rispettiva Studi clinici ].

I tre Ancora Studi renali con durata di 12 mesi hanno confrontato due livelli di dose di cellule orale (1 g due volte al giorno e 1,5 g due volte al giorno) con azatioprina (2 studi) o placebo (1 studio) quando somministrato in combinazione con ciclosporina (sabbia ® ) e corticosteroidi per prevenire episodi di rifiuto acuto. Uno studio includeva anche globulina anti-timocita (Atgam ® ) terapia di induzione.

Nel Ancora Studio del trapianto di cuore con pazienti di durata di 12 mesi ha ricevuto cellule di 1,5 g due volte al giorno (n = 289) o azathioprina da 1,5 a 3 mg/kg/giorno (n = 289) in combinazione con ciclosporina (Sandimmune (Sandimmune ® o neoral ® ) e corticosteroidi come terapia immunosoppressiva di mantenimento.

Nel Ancora Studio di trapianto di fegato con pazienti di durata di 12 mesi hanno ricevuto cellule di 1 g due volte al giorno per via endovenosa per un massimo di 14 giorni, seguito da cellulare 1,5 g di due volte al giorno per via orale o azathioprina da 1 a 2 mg/kg/giorno seguita per via endovenosa da azatioprina da 1 a 2 mg/kg/giorno per via orale in combinazione con la ciclosporina (neoral ® ) e corticosteroidi come terapia immunosoppressiva di mantenimento. The Atal number of patients enrolled was 565.

Circa il 53% dei pazienti con trapianto di rene il 65% dei pazienti con trapianto di cuore e il 48% dei pazienti con trapianto di fegato sono stati trattati per più di 1 anno. Di seguito sono presentate le reazioni avverse riportate in ≥ 20% dei pazienti nei gruppi di trattamento cellulare. I dati di sicurezza di tre studi sul trapianto di rene sono raggruppati.

Tabella 5 Reazioni avverse in studi controllati sul trapianto renale o epatico de novo riportati in ≥20% dei pazienti nel gruppo cellulare

Reazione avversa del farmaco Studi renali Studio cardiaco Studio epatico
Cellulare
2g/giorno
(n = 501)
o 3G/giorno
(n = 490)
Non
1 a 2
mg/kg/giorno
o 100 a
150
mg/giorno
Placebo Cellulare
3G/giorno
Non
Da 1,5 a 3
mg/kg/giorno
Cellulare
3G/giorno
Non 1 a 2
mg/kg/giorno
Classe di organi di sistema (n = 991) (n = 326) (n = 166) (n = 289) (n = 289) (n = 277) (n = 287)
% % % % % % %
Infezioni e infestazioni
Infezioni batteriche 39.9 33.7 37.3 - - 27.4 26.5
Infezioni virali - a - - 31.1 24.9 - -
Disturbi del sistema e sangue e linfatici
Anemia 20.0 23.6 2.4 45.0 47.1 43.0 53.0
Ecchimosi - - - 20.1 9.7 - -
Leucocitosi - - - 42.6 37.4 22.4 21.3
Leucopenia 28.6 24.8 4.2 34.3 43.3 45.8 39.0
Trombocitopenia - - - 24.2 28.0 38.3 42.2
Metabolismo e disturbi nutrizionali
Ipercolesterolemia - - - 46.0 43.9 - -
Iperglicemia - - - 48.4 53.3 43.7 48.8
Iperkalemia - - - - - 22.0 23.7
Ipocalcemia - - - - - 30.0 30.0
Iponokalemia - - - 32.5 26.3 37.2 41.1
Ipomagnesemia - - - 20.1 14.2 39.0 37.6
Disturbi psichiatrici
Depressione - - - 20.1 15.2 - -
Insonnia - - - 43.3 39.8 52.3 47.0
Disturbi del sistema nervoso
Vertigini - - - 34.3 33.9 - -
Mal di testa - - - 58.5 55.4 53.8 49.1
Tremore - - - 26.3 25.6 33.9 35.5
Disturbi cardiaci
Tachicardia - - - 22.8 21.8 22.0 15.7
Disturbi vascolari
Ipertensione 27.5 32.2 19.3 78.9 74.0 62.1 59.6
Ipotensione - - - 34.3 40.1 - -
Disturbi toracici e mediastinali respiratori
Tosse - - - 40.5 32.2 - -
Dispnea - - - 44.3 44.3 31.0 30.3
Versamento pleurico - - - - - 34.3 35.9
Disturbi gastrointestinali
Dolore addominale 22.4 23.0 11.4 41.9 39.4 62.5 51.2
Stipsi - - - 43.6 38.8 37.9 38.3
Diminuzione dell'appetito - - - - - 25.3 17.1
Diarrea 30.4 20.9 13.9 52.6 39.4 51.3 49.8
Dispepsia - - - 22.1 22.1 22.4 20.9
Nausea - - - 56.1 60.2 54.5 51.2
Vomito - - - 39.1 34.6 32.9 33.4
Disturbi epatobiliari
Il lattato nel sangue deidrogenasi è aumentato - - - 23.5 18.3 - -
L'enzima epatico è aumentato - - - - - 24.9 19.2
Disturbi della pelle e dei tessuti sottocutanei
Eruzione cutanea - - - 26.0 20.8 - -
Disturbi renali e urinari
La creatinina del sangue è aumentata - - - 42.2 39.8 - -
L'urea del sangue è aumentata - - - 36.7 34.3 - -
Disturbi generali e condizioni del sito di amministrazione
Astenia - - - 49.1 41.2 35.4 33.8
Edema b 21.0 28.2 8.4 67.5 55.7 48.4 47.7
Dolore c 24.8 32.2 9.6 79.2 77.5 74.0 77.5
Pyrexia - - - 56.4 53.6 52.3 56.1
a : - Indica che l'incidenza era inferiore al valore di taglio del 20% per l'inclusione nella tabella.
b : Edema include edema periferico edema facciale edema scrotale.
c : Il dolore include dolore muscoloscheletrico (mal di schiena del dolore al collo della mialgia).

Nel three Ancora Studi di rene I pazienti che ricevevano 2 g/giorno di cellulare avevano un profilo di sicurezza complessivamente migliore rispetto ai pazienti che ricevevano 3 g/giorno di cellulare.

La malattia linfoproliferativa post-trapianto (pseudolymphoma PTLD) si è sviluppata nello 0,4% all'1% dei pazienti che hanno ricevuto cellule (2 g o 3 g al giorno) con altri agenti immunosoppressivi in ​​studi clinici controllati di pazienti con trapianto di reni e epatici seguiti per almeno 1 anno [vedi [vedi AVVERTIMENTOS E PRECAUZIONI ]. Nonmelanoma skin carcinomas occurred in 1.6% A 4.2% of patients other types of malignancy in 0.7% A 2.1% of patients. Three-year safety data in kidney E heart transplant patients did not reveal any unexpected changes in incidence of malignancy compared A the 1-year data. In pediatric patients PTLD was observed in 1.35% (2/148) by 12 months post-transplant.

Le citopenie tra cui la trombocitopenia e la pancitopenia dell'anemia di leucopenia sono un rischio noto associato al micofenolato e possono condurre o contribuire al verificarsi di infezioni ed emorragie [vedi AVVERTIMENTOS E PRECAUZIONI ]. Severe neutropenia (ANC <0.5 x 10 3 /ml) sviluppato fino al 2% dei pazienti con trapianto di rene fino al 2,8% dei pazienti con trapianto di cuore e fino al 3,6% dei pazienti con trapianto di fegato che hanno ricevuto cellcept 3 g al giorno [vedi AVVERTIMENTOS E PRECAUZIONI E Dosaggio e amministrazione ].

Le infezioni opportunistiche più comuni nei pazienti che ricevevano cellula con altri immunosoppressori erano la viremia/sindrome della CMV CMV della candida e l'herpes simplex. La percentuale di pazienti con viremia/sindrome della CMV era del 13,5%. Nei pazienti che ricevono cellula (2 g o 3 g) in studi controllati per la prevenzione del cuore renale o del rigetto epatico infezione/sepsi fatale si è verificata in circa il 2% dei pazienti reni e cardiaci e nel 5% dei pazienti epatici [vedi AVVERTIMENTOS E PRECAUZIONI ].

I disturbi gastrointestinali più gravi riportati sono stati l'ulcerazione e l'emorragia che sono rischi noti associati alla cellula. Le ulcere duodenali e intestinali esofagee della bocca spesso complicate dall'emorragia, nonché da melena di ematemesi e forme emorragiche di gastrite e colite sono state comunemente riportate durante gli studi clinici chiave mentre i disturbi gastrointestinali più comuni erano la diarrea nausea e il vomito. L'indagine endoscopica sui pazienti con diarrea correlata a cellula ha rivelato casi isolati di atrofia villo intestinale [vedi AVVERTIMENTOS E PRECAUZIONI ].

Le seguenti reazioni avverse sono state riportate con il 3% a <20% incidence in kidney heart E liver transplant patients treated with Cellulare in combination with cyclospOine E cOticosteroides.

Tabella 6 Reazioni avverse in studi controllati sul trapianto renale o epatico de novo riportati nel 3% a <20% of Patients Treated with Cellulare in Combination with Ciclosporina E COticosteroides

Classe di organi di sistema Reazioni avverse
Corpo come a
Totale
La cellulite si raffredda l'ernia malese
Infezioni e
Infestazioni
infezioni fungine
Ematologico
E Lymphatic
Disturbo della coagulazione ecchimosi pancitopenia
Urogenitale Ematuria
Cardiovascolare ipotensione
Metabolico e
Nutrizionale
Acidosi alcalina fosfatasi ha aumentato l'iperlipemia
Ipofosfatemia perdita di peso
Digestivo Esofagite Flatulenza Gastrite Gastrointestinale Emorragia
Epatite ileo nausea e stomatite da ulcera di vomito
Neoplasia
benigno
maligno e
non specificato
neoplasia
Pelle e
Appendici
NEOPLASM BENIZIO BENGA CARCINOMA CUSCINE
Psichiatrico confusioneal state
Nervoso Somnolence dell'ipertonia parestesia
Muscoloscheletrico Artralgia Myastenia
Pediatria

Il tipo e la frequenza degli eventi avversi in uno studio clinico per la prevenzione del rigetto di allotrapianto renale in 100 pazienti pediatrici da 3 mesi a 18 anni dosati con sospensione orale cellulare 600 mg/m 2 Due volte al giorno (fino a 1 g due volte al giorno) erano generalmente simili a quelli osservati nei pazienti adulti dosati con capsule cellulari alla dose di 1 g due volte al giorno, ad eccezione della febbre addominale infezione da infezione da sepsis sepsis diarrea diarrea in una proporzione di vomingite pediatrica.

Le informazioni sulla sicurezza nel trapianto di cuore pediatrico o nei pazienti con trapianto di fegato pediatrico trattati con cellule sono supportate da uno studio di etichetta aperta su pazienti e pubblicazioni di trapianto di fegato pediatrico; Il tipo e la frequenza delle reazioni avverse riportate sono coerenti con quelli osservati nei pazienti pediatrici a seguito del trapianto renale e negli adulti.

Geriatria

I pazienti geriatrici (≥65 anni), in particolare quelli che ricevono cellule come parte di un regime immunosoppressivo di combinazione possono essere ad aumentato rischio di alcune infezioni (incluso citomegalovirus [CMV] Malattia invasiva dei tessuti) e possibilmente emorragia gastrointestinale e edema polmonare rispetto agli individui più giovani [vedi AVVERTIMENTOS E PRECAUZIONI E Esperienza di studi clinici ].

Cellcept endovenoso

Il profilo di sicurezza di Cellcept per via endovenosa è stato determinato da un singolo studio comparativo controllato in doppio cieco sulla sicurezza di 2 g/giorno di cellule endovenose e orali nei pazienti con trapianto di rene nell'immediato periodo post-trapianto (somministrato per i primi 5 giorni). La potenziale irritazione venosa di cellulare endovenosa è stata valutata confrontando le reazioni avverse attribuibili all'infusione venosa periferica di cellulare endovenosa con quelle osservate nel gruppo placebo endovenoso; I pazienti nel gruppo placebo hanno ricevuto farmaci attivi dalla via orale.

Le reazioni avverse attribuibili all'infusione venosa periferica erano flebite e trombosi osservate entrambe al 4% nei pazienti trattati con cellulare endovenosa.

Esperienza post -marketing

Le seguenti reazioni avverse sono state identificate durante l'uso post-approvazione di Cellcept. Poiché queste reazioni sono riportate volontariamente da una popolazione di dimensioni incerte, non è sempre possibile stimare in modo affidabile la loro frequenza o stabilire una relazione causale con l'esposizione ai farmaci:

  • Tossicità dell'embrione-fetale: Le malformazioni congenite e gli aborti spontanei principalmente nel primo trimestre sono stati segnalati a seguito dell'esposizione al micofenolato mofetile (MMF) in combinazione con altri immunosoppressori durante la gravidanza [vedi AVVERTIMENTOS E PRECAUZIONI E Utilizzare in popolazioni specifiche ]. Congenital malfOmations include:
    • Malformazioni facciali: lebbro lebbro lebbro per la labbro ipertelorismo delle orbite
    • Anomalie dell'orecchio e degli occhi: Microftalmo Coloboma all'orecchio esterno/assente anormalmente
    • Malformazioni delle dita: Polyfactyly Syndyly Brachydactyly
    • Anomalie cardiache: difetti del setto atriale e ventricolare
    • Malformazioni esofagee: Atresia esofagea
    • Nervoso system malfOmations: come Spina Bifida.
  • Cardiovascolare: La trombosi venosa è stata riportata in pazienti trattati con cellulare somministrata per via endovenosa.
  • Digestivo: Colite pancreatite
  • Ematologico E Lymphatic: Caso di fallimento del midollo osseo di aplasia a cellule rosso puro (PRCA) e ipogammaglobulinemia sono stati riportati in pazienti trattati con cellule in combinazione con altri agenti immunosoppressivi [vedi AVVERTIMENTOS E PRECAUZIONI ].
  • Immune: Ipersensibilità Ipogammaglobinemia.
  • Infezioni: Endocardite infettiva della meningite tubercolosi infezione micobatterica atipica Leucoencefalopatia multifocale progressiva Infezione da virus BK Reattivazione virale di epatite B e infezioni protozoali dell'epatite C [vedi AVVERTIMENTOS E PRECAUZIONI ].
  • Respiratorio: Bronchiectasia La malattia polmonare interstiziale è stata segnalata raramente e dovrebbe essere considerata nella diagnosi differenziale dei sintomi polmonari che vanno dalla dispnea all'insufficienza respiratoria nei pazienti post-trapianto che ricevono cellule.
  • Vascolare: Linfocele

Interazioni farmacologiche fO Cellulare

Effetto di altri farmaci sulla cellula

Tabella 7 Interazioni farmacologiche con cellule che colpiscono l'esposizione all'acido micofenolico (MPA)

Antacidi con idrossido di magnesio o alluminio
Impatto clinico L'uso concomitante con un antiacido contenente magnesio o idrossido di alluminio riduce l'esposizione sistemica MPa [vedi Farmacologia clinica ] che può ridurre l'efficacia cellulare.
Prevenzione o gestione Somministrare idrossido di magnesio o alluminio contenente antiacidi almeno 2H dopo la somministrazione di cellule.
Inibitori della pompa protonica (PPI)
Impatto clinico L'uso concomitante con PPI riduce l'esposizione sistemica MPA [vedi Farmacologia clinica ] che può ridurre l'efficacia cellulare.
Prevenzione o gestione Monitorare i pazienti per alterazioni nell'efficacia quando i PPI sono minimitati con cellule.
Esempi Lansoprazolo pantoprazolo
Farmaci che interferiscono con il ricircolo enteroepatico
Impatto clinico L'uso concomitante con farmaci che interferiscono direttamente con il ricircolo enteroepatico o interferiscono indirettamente con il ricircolo enteroepatico alterando la flora gastrointestinale può ridurre l'esposizione sistemica MPA [vedi Farmacologia clinica ] che può ridurre l'efficacia cellulare.
Prevenzione o gestione Monitorare i pazienti per alterazioni nell'efficacia o nelle reazioni avverse correlate alla cellula quando questi farmaci sono somministrati con cellule.
Esempi Ciclosporina A sequestrants acido bile trimetoprim/sulfametossazolo (colestyramina) rifampina e aminoglicoside cefalosporina fluorochinolone e classi di penicillina di antimicrobici
Farmaci modulanti glucuronidazione
Impatto clinico L'uso concomitante con farmaci che inducono la glucuronidazione riduce l'esposizione sistemica MPA potenzialmente riducendo l'efficacia cellulare mentre l'uso con farmaci che inibisce la glucuronidazione aumenta l'esposizione sistemica MPA [vedi Farmacologia clinica ] che può aumentare il rischio di reazioni avverse correlate alla cellula.
Prevenzione o gestione Monitorare i pazienti per alterazioni nell'efficacia o nelle reazioni avverse correlate alla cellula quando questi farmaci sono somministrati con cellule.
Esempi Telmisartan (induce glucuronidazione); Isavuconazolo (inibisce la glucuronidazione).
Leganti di fosfato libero di calcio
Impatto clinico L'uso concomitante con leganti di fosfato libero di calcio riduce l'esposizione sistemica MPa [vedi Farmacologia clinica ] che può ridurre l'efficacia cellulare.
Prevenzione o gestione Somministrare i leganti di fosfato libero di calcio almeno 2 ore dopo Cellcept.
Esempi Sevelamer

Effetto della cellula su altri farmaci

Tabella 8 Interazioni farmacologiche con cellule che colpiscono altri farmaci

Farmaci che subiscono una secrezione tubulare renale
Impatto clinico Quando usato in concomitanza con la cellula, il suo MPAG metabolita può competere con i farmaci eliminati dalla secrezione tubulare renale che può aumentare le concentrazioni plasmatiche e/o le reazioni avverse associate a questi farmaci.
Prevenzione o gestione Monitorare le reazioni avverse legate al farmaco nei pazienti con compromissione renale.
Esempi Acyclovir Ganciclovir Probenecid Valacyclovir Valganciclovir
Contraccettivi orali combinati
Impatto clinico L'uso concomitante con Cellcept ha ridotto l'esposizione sistemica al levorogestrel ma non ha influito sull'esposizione sistemica all'etinilestradiolo [vedi Farmacologia clinica ] che può provocare una ridotta efficacia contraccettiva orale di combinazione.
Prevenzione o gestione Utilizzare ulteriori metodi contraccettivi a barriera.

Avvertimenti per Cellcept

Incluso come parte del 'PRECAUZIONI' Sezione

Precauzioni per Cellcept

Tossicità embriofetale

L'uso di MMF durante la gravidanza è associato ad un aumentato rischio di perdita di gravidanza del primo trimestre e ad un aumento del rischio di malformazioni congenite, in particolare all'orecchio esterno e ad altre anomalie facciali tra cui labbro fessura e palato e anomalie del rene e del sistema nervoso dell'esofago del cuore degli arti distali. Le femmine di potenziale riproduttivo devono essere consapevoli di questi rischi e devono essere consigliate in merito alla prevenzione e alla pianificazione della gravidanza. Evita l'uso di MMF durante la gravidanza se sono disponibili opzioni di trattamento più sicure [vedi Utilizzare in popolazioni specifiche ].

Linfoma e altre neoplasie

I pazienti che ricevono immunosoppressori, incluso Cellcept, hanno un aumentato rischio di sviluppare linfomi e altre neoplasie in particolare della pelle [vedi Reazioni avverse ]. The risk appears A be related A the intensity E duration of immunosuppression rather than A the use of any specific agent. FO patients with increased risk fO skin cancer exposure A sunlight E UV light should be limited by wearing protective clothing E using a broad-spectrum sunscreen with a high protection facAr.

Disturbo linfoproliferativo post-trapianto (PTLD) si è sviluppato nello 0,4% all'1% dei pazienti che hanno ricevuto cellule (2 g o 3 g) con altri agenti immunosoppressivi in ​​studi clinici controllati su pazienti con trapianto di reni e trapianto di fegato [vedi Reazioni avverse ]. The majOity of PTLD cases appear A be related A Epstein Barr Virus (EBV) infezione. The risk of PTLD appears greatest in those individuals who are EBV seronegative a population which includes many young children. In pediatric patients no other malignancies besides PTLD were observed in clinical trials [Vedere Reazioni avverse ].

Infezioni gravi

I pazienti che ricevono immunosoppressori, tra cui Cellcept, sono ad aumentato rischio di sviluppare protozoi fungini batterici e infezioni virali nuove o riattivate, comprese le infezioni opportunistiche. Il rischio aumenta con il carico immunosoppressivo totale. Queste infezioni possono portare a gravi risultati tra cui ricoveri e morte [vedi Reazioni avverse ].

Gravi infezioni virali riportate includono:

  • Nefropatia associata al poliomavirus (PVAN) soprattutto a causa dell'infezione da virus BK
  • Leucoencefalopatia multifocale progressiva associato al virus JC (PML) e
  • Infezioni da citomegalovirus (CMV): i pazienti con trapianto sieronegativo CMV che ricevono un organo da un donatore sieropositivo CMV sono a maggior rischio di viremia CMV e malattia da CMV.
  • Riattivazione virale nei pazienti infettati da epatite B e C
  • COVID 19

Prendi in considerazione la riduzione della dose o l'interruzione della cellula in pazienti che sviluppano nuove infezioni o riattiva le infezioni virali che pesano il rischio che la riduzione dell'immunosoppressione rappresenta l'alloinnesto funzionante.

PVAN soprattutto a causa dell'infezione da virus BK è associato a risultati gravi tra cui il deterioramento della funzione renale e la perdita di innesto renale [vedi Reazioni avverse ]. Patient moniAring may help detect patients at risk fO PVAN.

PML che a volte è fatale si presenta comunemente con carenze cognitive e atassia di confusione di apatia dell'emiparesi [vedi Reazioni avverse ]. In immunosuppressed patients physicians should consider PML in the differential diagnosis in patients repOting neurological sympAms.

Il rischio di viremia CMV e malattia CMV è più alto tra i destinatari del trapianto sieronegativo per CMV al momento del trapianto che ricevono un innesto da un donatore sieropositivo CMV. Esistono approcci terapeutici alla limitazione della malattia di CMV e dovrebbero essere regolarmente forniti. Il monitoraggio dei pazienti può aiutare a rilevare i pazienti a rischio di malattia da CMV.

La riattivazione virale è stata riportata in pazienti infetti da HBV o HCV. Si raccomanda il monitoraggio dei pazienti infetti per i segni clinici e di laboratorio di infezione da HBV o HCV attiva.

Discrasie del sangue

Neutropenia And Pure Red Cell Aplasia (PRCA)

Neutropenia grave [ conta assoluta dei neutrofili (ANC) <0.5 x 10 3 /ml] sviluppato nei pazienti trapianti che ricevono cellcept 3 g al giorno [vedi Reazioni avverse ]. Patients receiving Cellulare should be moniAred fO neutropenia. Neutropenia has been observed most frequently in the period from 31 A 180 days post-transplant in patients treated fO prevention of kidney heart E liver rejection. The development of neutropenia may be related A Cellulare itself concomitant medications viral infezioni O a combination of these causes. Se si sviluppa la neutropenia (ANC <1.3 x 10 3 /ml) Il dosaggio con cellulare deve essere interrotto o la dose ha ridotto i test diagnostici appropriati eseguiti e il paziente è gestito in modo appropriato [vedi Dosaggio e amministrazione ]. Patients receiving Cellulare should be instructed A repOt immediately any evidence of infezione unexpected bruising bleeding O any other manifestation of bone marrow depression.

Prendi in considerazione il monitoraggio con la conta del sangue completa settimanalmente per il primo mese due volte al mese per il secondo e il terzo mese e mensilmente per il resto del primo anno.

Casi di aplasia a cellule rosse pure (PRCA) sono stati riportati in pazienti trattati con cellula in combinazione con altri agenti immunosoppressivi. In alcuni casi è stato scoperto che la PRCA è reversibile con riduzione della dose o cessazione della terapia cellulare. Nei pazienti trapianti, tuttavia, la ridotta immunosoppressione può mettere a rischio l'innesto.

Complicanze gastrointestinali

Il sanguinamento gastrointestinale che richiede ulcerazioni di ricovero e perforazioni sono state osservate negli studi clinici. I medici dovrebbero essere consapevoli di questi gravi effetti avversi, in particolare quando la somministrazione di cellulare a pazienti con malattia gastrointestinale.

Pazienti con carenza di ipossantina-guanina fosforibosil-transferasi (HGPRT)

Cellulare is an inosine monophosphate dehydrogenase (IMPDH) inhibiAr; therefOe it should be avoided in patients with hereditary deficiencies of hypoxanthine-guanine phosphOibosyl-transferase (HGPRT) such as Lesch-Nyhan E Kelley-Vederegmiller syndromes because it may cause an exacerbation of disease sympAms characterized by the overproduction E accumulation of uric acid leading A sympAms associated with gotta come l'artrite acuta tophi Nefrolitiasi O Urolitiasi E renal disease including renal failure.

Sindrome infiammatoria acuta associata a prodotti micofenolati

La sindrome infiammatoria acuta (AIS) è stata segnalata con l'uso di prodotti MMF e micofenolato e alcuni casi hanno portato al ricovero in ospedale. L'AIS è una reazione pro-infiammatoria paradossale caratterizzata dal dolore muscolare dell'artrite artralgias della febbre ed elevato marcatori infiammatori tra cui proteina C reattiva e tasso di sedimentazione degli eritrociti senza evidenza di infezione o ricorrenza di malattia sottostante. I sintomi si verificano entro settimane o mesi dall'inizio del trattamento o un aumento della dose. Dopo l'interruzione del miglioramento dei sintomi e dei marcatori infiammatori vengono generalmente osservati entro 24-48 ore.

Monitorare i pazienti per i sintomi e i parametri di laboratorio dell'AIS quando si inizia il trattamento con prodotti micofenolati o quando si aumenta il dosaggio. Interrompere il trattamento e prendere in considerazione altre alternative di trattamento in base al rischio e al beneficio per il paziente.

Immunizzazioni

Durante il trattamento con cellulare dovrebbe essere evitato l'uso di vaccini attenuati dal vivo (ad es. Morbillo intranasale Morbillo Mumps Rubella orale polio BCG febbre gialla vaicella e vaccini tifoidi TY21A) e i pazienti devono essere consigliati che le vaccinazioni possano essere meno efficaci. Consiglia ai pazienti di discutere con il medico prima di cercare eventuali immunizzazioni.

Reazioni locali con rapida somministrazione endovenosa

Cellcept endovenoso solution must not be administered by rapid O bolus intravenous injection as rapid infusion increases the risk of local adverse reactions such as phlebitis E thrombosis [Vedere Reazioni avverse ].

Rischi nei pazienti con fenilchetonuria

La fenilalanina può essere dannosa per i pazienti con fenilchetonuria (PKU). La sospensione orale cellulare contiene aspartame una fonte di fenilalanina (NULL,56 mg di fenilalanina/ml di sospensione). Prima di prescrivere la sospensione orale di cellulare a un paziente con PKU considera la quantità giornaliera combinata di fenilalanina da tutte le fonti, compresa la cellula.

Donazione di sangue

I pazienti non devono donare sangue durante la terapia e per almeno 6 settimane dopo l'interruzione della cellula perché il loro sangue o i prodotti ematici potrebbero essere somministrati a una femmina di potenziale riproduttivo o una donna incinta.

Donazione di sperma

Sulla base dei dati sugli animali, gli uomini non devono donare lo sperma durante la terapia e per 90 giorni dopo l'interruzione della cellula [vedi Utilizzare in popolazioni specifiche ].

Effetto dei farmaci concomitanti sulle concentrazioni di acido micofenolico

Una varietà di farmaci ha il potenziale per alterare l'esposizione sistemica MPA quando somministrato con Cellcept. Pertanto la determinazione delle concentrazioni di MPA nel plasma prima e dopo aver apportato modifiche alla terapia immunosoppressiva o quando si aggiungono o interrompono i farmaci concomitanti può essere appropriato per garantire che le concentrazioni di MPA rimangano stabili.

Potenziale compromissione della capacità di guidare o gestire macchinari

Cellulare may impact the ability A drive E use machines. Patients should avoid driving O using machines if they experience somnolence confusione dizziness tremore O ipotensione Durante il trattamento con cellulare [vedi Reazioni avverse ].

Informazioni sulla consulenza del paziente

Consiglia al paziente di leggere l'etichettatura del paziente approvato dalla FDA ( Guida ai farmaci E Istruzioni per l'uso ).

Tossicità embriofetale

Perdita di gravidanza e malformazioni

  • Informare le femmine del potenziale riproduttivo e delle donne in gravidanza che l'uso della cellula durante la gravidanza è associato ad un aumentato rischio di perdita di gravidanza del primo trimestre e ad un aumentato rischio di malformazioni congenite. Avvisare che devono usare una forma accettabile di contraccezione [vedi AVVERTIMENTOS E PRECAUZIONI Utilizzare in popolazioni specifiche ].
  • Incoraggiare le donne in gravidanza a iscriversi al registro dell'esposizione alla gravidanza. Questo registro monitora gli esiti di gravidanza nelle donne esposte al micofenolato [vedi Utilizzare in popolazioni specifiche ].

Contraccezione

  • Discutere della prevenzione della gravidanza e della pianificazione della gravidanza con le femmine di potenziale riproduttivo [vedi Utilizzare in popolazioni specifiche ].
  • Le femmine di potenziale riproduttivo devono utilizzare una forma accettabile di controllo delle nascite durante l'intera terapia cellulare e per 6 settimane dopo aver interrotto la cellula a meno che il paziente non scelga l'astinenza. La cellula può ridurre l'efficacia dei contraccettivi orali. Si consiglia di utilizzare ulteriori metodi contraccettivi a barriera [vedi Utilizzare in popolazioni specifiche ].
  • Per i pazienti che stanno prendendo in considerazione la gravidanza discutono gli immunosoppressori alternativi appropriati con un minor potenziale di tossicità embriofetale. I rischi e i benefici della cellula dovrebbero essere discussi con il paziente.
  • Consiglia ai pazienti maschi sessualmente attivi e/o ai loro partner di utilizzare una contraccezione efficace durante il trattamento del paziente maschile e per almeno 90 giorni dopo la cessazione del trattamento. Questa raccomandazione si basa sui risultati degli studi sugli animali [vedi Utilizzare in popolazioni specifiche Tossicologia non clinica ].
Sviluppo di linfoma e altre neoplasie
  • Informare i pazienti che sono ad aumentato rischio di sviluppare linfomi e altre neoplasie in particolare della pelle a causa dell'immunosoppressione [vedi AVVERTIMENTOS E PRECAUZIONI ].
  • Consiglia ai pazienti di limitare l'esposizione alla luce solare e alla luce ultravioletta (UV) indossando indumenti protettivi e l'uso di protezione solare ad ampio spettro con un elevato fattore di protezione.
Aumento del rischio di infezioni gravi

Informare i pazienti che sono ad aumentato rischio di sviluppare una varietà di infezioni dovute all'immunosoppressione. Istruire loro di contattare il loro medico se sviluppano uno qualsiasi dei segni e dei sintomi delle infezioni spiegate nella Guida ai farmaci [vedi AVVERTIMENTOS E PRECAUZIONI ].

Puoi usare troppo Abreva
Discrasie del sangue

Informare i pazienti che sono ad aumentato rischio di sviluppare effetti avversi nel sangue come anemia o bassi globuli bianchi. Consiglia ai pazienti di contattare immediatamente il proprio operatore sanitario se presentano prove di infezioni inaspettate lividi o sanguinanti o qualsiasi altra manifestazione di soppressione del midollo osseo [vedi AVVERTIMENTOS E PRECAUZIONI ].

Complicanze del tratto gastrointestinale

Informare i pazienti che la cellula può causare complicanze del tratto gastrointestinale, comprese le perforazioni intestinali sanguinanti e le ulcere gastriche o duodenali. Consiglia al paziente di contattare il proprio operatore sanitario se presenta sintomi di sanguinamento gastrointestinale o insorgenza improvvisa o dolore addominale persistente [vedi AVVERTIMENTOS E PRECAUZIONI ].

Sindrome infiammatoria acuta

Informare i pazienti che in alcuni pazienti sono state riportate reazioni infiammatorie acute che hanno ricevuto la cellula. Alcune reazioni erano gravi che richiedono il ricovero in ospedale. Consiglia ai pazienti di contattare il proprio medico se sviluppano dolori articolari dell'articolazione articolare o dolori muscolari [vedi AVVERTIMENTOS E PRECAUZIONI ].

Immunizzazioni

Informare i pazienti che Cellcept può interferire con la solita risposta alle immunizzazioni. Prima di cercare i vaccini da soli ai loro consigli di discutere prima con il proprio medico [vedi AVVERTIMENTOS E PRECAUZIONI ].

Istruzioni di amministrazione

  • Consiglia ai pazienti di non schiacciare compresse cellulari e di non aprire capsule cellulari.
  • Consiglia ai pazienti di evitare l'inalazione o il contatto della pelle o delle mucose con la polvere contenuta nelle capsule cellulari e con la sospensione orale. Se si verifica tale contatto, devono lavare accuratamente l'area di contatto con sapone e sapone. In caso di contatti oculari risciacquare gli occhi con acqua semplice.
  • Consiglia ai pazienti di assumere una dose mancata non appena ricordano se non se è più vicino a 2 ore alla successiva dose programmata; In questo caso dovrebbero continuare a prendere Cellcept nei soliti tempi.
Donazione di sangue

Consiglia ai pazienti di non donare il sangue durante la terapia e per almeno 6 settimane dopo l'interruzione della cellula [vedi AVVERTIMENTOS E PRECAUZIONI ].

Donazione di sperma

Consiglia ai maschi del potenziale di gravidanza di non donare lo sperma durante la terapia e per 90 giorni dopo l'interruzione della cellula [vedi AVVERTIMENTOS E PRECAUZIONI ].

Potenziale per compromettere la guida e l'uso di macchinari

Consiglia ai pazienti che Cellcept può influire sulla capacità di guidare o utilizzare macchine. I pazienti devono evitare di guidare o gestire macchine se sperimentano la confusione di somnolenza tremore o ipotensione di vertigini durante il trattamento con cellule [vedi AVVERTIMENTOS E PRECAUZIONI ].

Tossicologia non clinica

Mutagenesi della carcinogenesi compromissione della fertilità

In uno studio di cancerogenicità orale di 104 settimane su topi MMF in dosi giornaliere fino a 180 mg/kg non era tumorigenico. La dose più alta testata è stata 0,2 volte la dose clinica raccomandata (2 g/giorno) nei pazienti con trapianto renale e 0,15 volte la dose clinica raccomandata (3 g/giorno) nei pazienti con trapianto cardiaco quando corretta per differenze nella superficie corporea (BSA). In uno studio di cancerogenicità orale di 104 settimane nella MMF di ratti in dosi giornaliere fino a 15 mg/kg non era tumorigenico. La dose più alta è stata di 0,035 volte la dose clinica raccomandata nei pazienti con trapianto di rene e 0,025 volte la dose clinica raccomandata nei pazienti con trapianto cardiaco quando corretta per BSA. Mentre queste dosi animali erano inferiori a quelle fornite ai pazienti, erano massime in quelle specie e erano considerate adeguate per valutare il potenziale di rischio umano [vedi AVVERTIMENTOS E PRECAUZIONI ].

Il potenziale genotossico di MMF è stato determinato in cinque test. MMF era genotossico nel test del linfoma/timidina chinasi di topo e nel in vivo Tosaggio del micronucleo del topo. MMF non era genotossico nel test di mutazione batterica del test di conversione del geni mitotico del lievito o del test di aberrazione cromosomica delle cellule ovari cinesi.

MMF non ha avuto alcun effetto sulla fertilità dei ratti maschi a dosi orali fino a 20 mg/kg/die. Questa dose rappresenta 0,05 volte la dose clinica raccomandata nei pazienti con trapianto renale e 0,03 volte la dose clinica raccomandata nei pazienti con trapianto cardiaco quando corretta per BSA. In uno studio femminile di fertilità e riproduzione condotto in dosi orali di ratti di 4,5 mg/kg/giorno hanno causato malformazioni (principalmente di testa e occhi) nella prole di prima generazione in assenza di tossicità materna. Questa dose è stata 0,01 volte la dose clinica raccomandata nei pazienti con trapianto renale e 0,005 volte la dose clinica raccomandata nei pazienti con trapianto cardiaco quando corretta per BSA. Non sono stati evidenti effetti sulla fertilità o sui parametri riproduttivi nelle dighe o nella generazione successiva.

Utilizzare in popolazioni specifiche

Gravidanza

Gravidanza Exposure Registry

Esiste un registro di esposizione alla gravidanza che monitora gli esiti di gravidanza nelle donne esposte al micofenolato durante la gravidanza e quelle che rimangono incinte entro 6 settimane dal distinguere il trattamento cellulare. Per segnalare una gravidanza o ottenere informazioni sulla visita al registro www.mycophenolaterems.com O call 1-800-617- 8191.

Riepilogo del rischio

L'uso di micofenolato mofetile (MMF) durante la gravidanza è associato ad un aumentato rischio di perdita di gravidanza del primo trimestre e ad un aumentato rischio di malformazioni congenite multiple in più sistemi di organi [vedi Dati umani ]. Oral administration of mycophenolate A rats E rabbits during the period of Oganogenesis produced congenital malfOmations E pregnancy loss at doses less than the recommended clinical dose (0.01 A 0.05 times the recommended clinical doses in kidney E heart transplant patients) [Vedere Dati sugli animali ].

Prendi in considerazione immunosoppressori alternativi con meno potenziale per la tossicità embriofetale. I rischi e i benefici della cellula dovrebbero essere discussi con la donna incinta.

Il rischio di fondo stimato di perdita di gravidanza e malformazioni congenite nelle popolazioni di trapianti di organi non è chiaro. Nella popolazione generale degli Stati Uniti il ​​rischio di background stimato di gravi difetti alla nascita e aborto in gravidanza clinicamente riconosciuta è rispettivamente dal 2 al 4% e dal 15 al 20%.

Dati

Dati umani

Un spettro di malformazioni congenite (comprese molteplici malformazioni nei singoli neonati) è stato riportato nel 23-27% delle nascite vive nelle gravidanze esposte MMF basate su dati pubblicati dai registri della gravidanza. Le malformazioni che sono state documentate includono l'occhio dell'orecchio esterno e altre anomalie del viso tra cui labbro lebbro e palato e anomalie degli arti distali rene e del sistema nervoso dell'esofago.

Sulla base di dati pubblicati dai registri della gravidanza, il rischio di perdita di gravidanza del primo trimestre è stato riportato dal 45 al 49% dopo l'esposizione MMF.

Dati sugli animali

Negli studi sulla tossicologia riproduttiva degli animali ci sono stati aumentati tassi di riassorbimento fetale e malformazioni in assenza di tossicità materna. La somministrazione orale di MMF a ratti in gravidanza dal giorno gestazionale 7 al giorno 16 ha prodotto un aumento della letalità dell'embriofetale e delle malformazioni fetali tra cui anoftalmia agnathia e idrocefalia a dosi equivalenti a 0,015 e 0,01 volte le dosi umane raccomandate rispettivamente per i pazienti trapianti renale e cardiaci quando sono corretti per la BSA. La somministrazione orale di MMF a conigli incinti dal giorno gestazionale 7 al giorno 19 ha prodotto una maggiore letalità embriofetale e malformazioni fetali includevano l'ectopia cordis reni ectopici ecragmatici ernia diaframmatica e l'ernia ombelicale per bs.

Lattazione

Riepilogo del rischio

Non ci sono dati sulla presenza di micofenolato nel latte umano o sugli effetti sulla produzione di latte. Ci sono dati limitati nel registro nazionale di gravidanza del trapianto sugli effetti del micofenolato su un bambino allattato al seno [vedi Dati ]. Studies in rats treated with MMF have shown mycophenolic acid (MPA) A be present in milk. Because available data are limited it is not possible A exclude potential risks A a breastfeeding infant.

I benefici per lo sviluppo e la salute dell'allattamento al seno dovrebbero essere considerati insieme alla necessità clinica della madre di cellulare e di eventuali potenziali effetti avversi sul bambino allattato al seno da cellulare o dalla condizione materna sottostante.

Dati

Informazioni limitate sono disponibili presso il National Transplantation Pregnancy Registry. Dei sette neonati segnalati dal registro nazionale di gravidanza del trapianto sono stati allattati al seno mentre la madre stava prendendo micofenolato, tutti sono nati a 34-40 settimane di gestazione e allattato al seno per un massimo di 14 mesi. Non sono stati segnalati eventi avversi.

Femmine e maschi di potenziale riproduttivo

Le femmine di potenziale riproduttivo devono essere consapevoli dell'aumento del rischio di perdita di gravidanza del primo trimestre e delle malformazioni congenite e devono essere consigliate in merito alla prevenzione e alla pianificazione della gravidanza.

Gravidanza Planning

Per i pazienti che stanno prendendo in considerazione la gravidanza considerano gli immunosoppressori alternativi con un minor potenziale di tossicità embriofetale ogni volta che è possibile. I rischi e i benefici della cellula dovrebbero essere discussi con il paziente.

Gravidanza Testing

Per prevenire l'esposizione non pianificata durante la gravidanza, tutte le femmine di potenziale riproduttivo dovrebbero avere un test di gravidanza sierico o di urina con una sensibilità di almeno 25 miu/ml immediatamente prima di iniziare la cellula. Un altro test di gravidanza con la stessa sensibilità dovrebbe essere eseguito da 8 a 10 giorni dopo. Ripetere i test di gravidanza devono essere eseguiti durante le visite di follow-up di routine. I risultati di tutti i test di gravidanza dovrebbero essere discussi con il paziente. In caso di test di gravidanza positivo, considerare gli immunosoppressori alternativi con un minor potenziale di tossicità embriofetale ogni volta che è possibile.

Contraccezione

Pazienti femmine

Females of reproductive potential taking CELLCEPT must receive contraceptive counseling and use acceptable contraception (see Tabella 9 Per metodi di contraccezione accettabili). I pazienti devono utilizzare il controllo delle nascite accettabili durante l'intera terapia cellulare e per 6 settimane dopo aver interrotto la cellula a meno che il paziente non scelga l'astinenza.

I pazienti devono essere consapevoli del fatto che la cellula riduce i livelli ematici degli ormoni dalla pillola contraccettiva orale e potrebbe teoricamente ridurne l'efficacia [vedi Interazioni farmacologiche ].

Tabella 9 Acceptable Contraccezione Methods fO Females of Reproductive Potential
Scegli dalle seguenti opzioni di controllo delle nascite:

Opzione 1
Metodi a
Usa da solo
  • Dispositivi intrauterini (IUD)
  • Sterilizzazione tubale
  • Vasectomia partner del paziente

O

Opzione 2 Metodi ormonali
Scegli 1
Metodi di barriera
Scegli 1
Scegli un metodo ormonale E Un metodo barriera Estrogeni e progesterone
  • Pillola contraccettiva orale
  • Patch transdermica
  • Anello vaginale
E
  • Diaframma con spermicida
  • Cappuccio cervicale con spermicida
  • Spugna contraccettiva
  • Preservativo maschile
  • Preservativo femminile
Solo progesterone
  • Iniezione
  • Impiantare

O

Opzione 3 Metodi di barriera
Scegli 1
Metodi di barriera
Scegli 1
Scegli un metodo barriera da ogni colonna
(Deve scegliere due metodi)
  • Diaframma con spermicida
  • Cappuccio cervicale con spermicida
  • Spugna contraccettiva
E
  • Preservativo maschile
  • Preservativo femminile

Pazienti maschi

Gli effetti genotossici sono stati osservati negli studi sugli animali alle esposizioni che superano le esposizioni terapeutiche umane di circa 1,25 volte. Pertanto, il rischio di effetti genotossici sulle cellule degli spermatozoi non può essere escluso. Sulla base di questo potenziale rischio, i pazienti maschi sessualmente attivi e/o i loro partner femminili sono raccomandati per utilizzare una contraccezione efficace durante il trattamento del paziente maschile e per almeno 90 giorni dopo la cessazione del trattamento. Anche in base al potenziale rischio di effetti genotossici che i pazienti maschi non devono donare lo sperma durante il trattamento con cellulare e per almeno 90 giorni dopo l'interruzione del trattamento [vedi Gravidanza Tossicologia non clinica Informazioni sul paziente ].

Uso pediatrico

La sicurezza ed efficacia è stata stabilita in pazienti pediatrici di età pari o superiore a 3 mesi per la profilassi del rifiuto degli organi del cuore renale allogenico o dei trapianti di fegato.

Trapianto renale

L'uso della cellula in questa popolazione è supportato da prove da studi adeguati e ben controllati sulla cellula negli adulti con dati aggiuntivi da uno studio farmacocinetico e di sicurezza in aperto emergenza sulla cellula in pazienti pediatrici dopo aver ricevuto trapianto di rene allogenico (100 pazienti da 3 mesi a 18 anni di età) [vedi Dosaggio e amministrazione Reazioni avverse Farmacologia clinica Studi clinici ].

Trapianto di cuore e trapianto di fegato

L'uso della cellula nei pazienti con trapianto di cuore pediatrico e trapianto di fegato è supportato da studi adeguati e ben controllati e dati farmacocinetici nei pazienti con trapianto di cuore e trapianto di fegato per adulti. Ulteriori dati di supporto includono dati farmacokinetici nel trapianto di reni pediatrici e nei pazienti con trapianto di fegato pediatrico (8 pazienti con trapianto di fegato da 9 mesi a 5 anni di età in uno studio farmacokinetico e di sicurezza in aperto) e pubblicati prove di efficacia clinica e sicurezza nel trapianto di cuore pediatrico e pazienti con trapianto di fegato pediatrico [vedi Dosaggio e amministrazione Reazioni avverse Farmacologia clinica Studi clinici ].

Uso geriatrico

Studi clinici sulla cellula non includevano un numero sufficiente di soggetti di età pari o superiore a 65 anni per determinare se rispondono in modo diverso dai soggetti più giovani. Altra esperienza clinica segnalata non ha identificato differenze nelle risposte tra pazienti geriatrici e più giovani. In generale, la selezione della dose per un paziente geriatrico dovrebbe prendere in considerazione la presenza di una riduzione della funzione renale e cardiaca epatica e di terapie farmacologiche concomitanti [vedi Reazioni avverse Interazioni farmacologiche ].

Pazienti con compromissione renale

Pazienti con trapianto di rene

Non sono necessari aggiustamenti del dosaggio nei pazienti con trapianto di rene che sperimentano una funzione di innesto ritardata dopo l'intervento ma i pazienti devono essere attentamente monitorati [vedi Farmacologia clinica ]. In Pazienti di trapianto di rene con grave compromissione cronica dell'innesto (GFR <25 mL/min/1.73 m 2 ) non sono necessarie aggiustamenti della dose; Tuttavia, dovrebbero essere evitate dosi superiori a 1 g somministrate due volte al giorno.

Pazienti con trapianto di cuore e fegato

Non sono disponibili dati per pazienti con trapianto di cuore o fegato con grave compromissione renale cronica. La cellula può essere utilizzata per i pazienti con trapianto di cuore o epatico con grave compromissione renale cronica se i potenziali benefici superano i potenziali rischi.

Pazienti con compromissione epatica

Pazienti con trapianto di rene

Non sono raccomandati aggiustamenti di dosaggio per i pazienti con trapianto di rene con grave malattia parenchimale epatica. Tuttavia non è noto se siano necessari aggiustamenti del dosaggio per la malattia epatica con altre eziologie [vedi Farmacologia clinica ].

Pazienti con trapianto di cuore

Non sono disponibili dati per i pazienti con trapianto di cuore con grave malattia parenchimale epatica.

Informazioni per overdose per Cellcept

Possibili segni e sintomi di overdosio acuto comprendono anomalie ematologiche come la leucopenia e la neutropenia e i sintomi gastrointestinali come il vomito e la dispepsia della diarrea del dolore addominale.

L'esperienza con il sovradosaggio di cellulare nell'uomo è limitata. Gli effetti riportati associati al sovradosaggio rientrano nel profilo di sicurezza noto del farmaco. La dose più alta somministrata ai pazienti con trapianto di rene negli studi clinici è stata di 4 g/giorno. In un'esperienza limitata con i pazienti con trapianto di cuore e fegato negli studi clinici, le dosi più alte utilizzate erano 4 g/giorno o 5 g/giorno. A dosi di 4 g/giorno o 5 g/giorno sembrano esserci un tasso più elevato rispetto all'uso di 3 g/die o meno di intolleranza gastrointestinale (vomito di nausea e/o diarrea) e anomalie ematologiche occasionali in particolare neutropenia [vedi AVVERTIMENTOS E PRECAUZIONI ].

Trattamento e gestione

L'MPA e il metabolita fenolico di glucuronide di MPA (MPAG) non sono generalmente rimossi dall'emodialisi. Tuttavia ad alte concentrazioni plasmatiche di MPAG (> 100 mg/mL) vengono rimosse piccole quantità di MPAG. Aumentando l'escrezione del farmaco MPA può essere rimosso da sequestrants di acido biliare come la colestiramina [vedi Farmacologia clinica ].

Controindicazioni per Cellcept

Sono state osservate reazioni allergiche alla cellula; Pertanto, la cellula è controindicata nei pazienti con ipersensibilità al micofenolato mofetile (MMF) acido micofenolico (MPA) o in qualsiasi componente del prodotto farmacologico. Cellcept endovenoso è controindicato nei pazienti allergici al polisorbato 80 (Tween).

Farmacologia clinica fO Cellulare

Meccanismo d'azione

Il micofenolato mofetile (MMF) viene assorbito dopo la somministrazione orale e idrolizzato all'acido micofenolico (MPA) il metabolita attivo. L'MPA è un inibitore non competitivo selettivo delle due isoforme (tipo I e tipo II) di inosina monofosfato deidrogenasi (IMPDH) che porta all'inibizione del Ancora Percorso della sintesi nucleotidica della guanosina e blocca la sintesi del DNA. Il meccanismo d'azione dell'MPA è sfaccettato e include effetti sui punti di controllo cellulare responsabili della programmazione metabolica dei linfociti. L'MPA sposta le attività trascrizionali nei linfociti da uno stato proliferativo ai processi catabolici. In vitro Gli studi suggeriscono che l'MPA modula le attività trascrizionali nei linfociti T CD4 umani sopprimendo le vie Akt/mTOR e STAT5 che sono rilevanti per il metabolismo e la sopravvivenza che portano a uno stato anergico delle cellule T per cui le cellule diventano meno reattive alla stimolazione antigenica. Inoltre, l'MPA ha migliorato l'espressione di co-stimolatori negativi come CD70 PD-1 CTLA-4 e fattore di trascrizione Foxp3, nonché hanno ridotto l'espressione di co-stimolatori positivi CD27 e CD28.

L'MPA riduce le risposte proliferative dei linfociti T e B a risposte anticorpali sia mitogeniche che alloo-antigeniche, nonché la produzione di citochine da linfociti e monociti come GM-CSF ifn-? IL-17 e TNF-α. Inoltre, l'MPA impedisce la glicosilazione delle glicoproteine ​​di linfociti e monociti che sono coinvolti nell'adesione intercellulare alle cellule endoteliali e possono inibire il reclutamento di leucociti in siti di infiammazione e rifiuto dell'innesto.

Nel complesso, l'effetto dell'MPA è citostatico e reversibile.

Farmacodinamica

Mancano informazioni sugli effetti farmacodinamici di MMF.

Farmacocinetica

Assorbimento

Seguendo la somministrazione orale e endovenosa, MMF subisce una completa conversione in MPA il metabolita attivo. In 12 volontari sani la biodisponibilità assoluta media di MMF orale rispetto alla MMF endovenosa era del 94%. Due compresse di cellule da 500 mg hanno dimostrato di essere bioequivalenti a quattro capsule di cellule da 250 mg. Cinque ml di 200 mg/mL costituivano la sospensione orale di cellulare si sono dimostrate bioquivalenti a quattro capsule da 250 mg.

I parametri farmacocinetici medi (± SD) stime per MPA a seguito della somministrazione di MMF somministrati come dosi singole a volontari sani e dosi multiple a pazienti con trapianto di reni e trapianto di fegato sono mostrate in Tavolo . L'area sotto la curva del tempo al plasma-concentrato (AUC) per MPA sembra aumentare in modo doseproporzionale nei pazienti con trapianto di rene che ricevono dosi orali multiple di MMF fino a una dose giornaliera di 3 g (NULL,5 g due volte al giorno) (vedi Tavolo 10 ).

Tavolo 10 Pharmacokinetic Parameters fO MPA [mean (±SD)] Following Administration of MMF A Volontari sani (Single Dose) E Kidney Heart E Liver Transplant Patients (Multiple Doses)

Volontari sani Dose/strada Tmax
(H)
Cmax
(MCG/ML)
Totale AUC
(MCG • H/ML)
Dose singola 1 g/orale 0.80
(± 0,36)
(n = 129)
24.5
(± 9,5)
(n = 129)
63.9
(± 16.2)
(n = 117)
Trapianto renale Patients
(due volte al giorno) tempo dopo
Trapianto
Dose/strada Tmax
(H)
Cmax
(MCG/ML)
Interdosaggio
Intervallo
AUC (0-12h)
(MCG • H/ML)
5 giorni 1 g/iv 1.58
(± 0,46)
(n = 31)
12.0
(± 3,82)
(n = 31)
40.8
(± 11,4)
(n = 31)
6 giorni 1 g/orale 1.33
(± 1,05)
(n = 31)
10.7
(± 4,83)
(n = 31)
32.9
(± 15,0)
(n = 31)
Primi (meno di 40 giorni) 1 g/orale 1.31
(± 0,76)
(n = 25)
8.16
(± 4,50)
(n = 25)
27.3
(± 10,9)
(n = 25)
Primi (meno di 40 giorni) 1,5 g/orale 1.21
(± 0,81)
(n = 27)
13.5
(± 8,18)
(n = 27)
38.4
(± 15,4)
(n = 27)
Late (più di 3 mesi) 1,5 g/orale 0.90
(± 0,24)
(n = 23)
24.1
(± 12,1)
(n = 23)
65.3
(± 35,4)
(n = 23)
Pazienti con trapianto di cuore
(due volte al giorno) tempo dopo
Trapianto
Dose/strada Tmax
(H)
Cmax
(MCG/ML)
Interdosaggio
Intervallo
AUC (0-12h)
(MCG • H/ML)
Presto
(Giorno prima della dimissione)
1,5 g/orale 1.8
(± 1,3)
(n = 11)
11.5
(± 6,8)
(n = 11)
43.3
(± 20,8)
(n = 9)
Late (più di 6 mesi) 1,5 g/orale 1.1
(± 0,7)
(n = 52)
20.0
(± 9,4)
(n = 52)
54.1 a
(± 20,4)
(n = 49)
Pazienti con trapianto di fegato
(due volte al giorno) tempo dopo
Trapianto
Dose/strada Tmax
(H)
Cmax
(MCG/ML)
Interdosaggio
Intervallo
AUC (0-12h)
(MCG • H/ML)
4-9 giorni 1 g/iv 1.50
(± 0,517)
(n = 22)
17.0
(± 12,7)
(n = 22)
34.0
(± 17,4)
(n = 22)
Presto (5 A 8 days) 1,5 g/orale 1.15
(± 0,432)
(n = 20)
13.1
(± 6,76)
(n = 20)
29.2
(± 11,9)
(n = 20)
Late (più di 6 mesi) 1,5 g/orale 1.54
(± 0,51)
(n = 6)
19.3
(± 11,7)
(n = 6)
49.3
(± 14,8)
(n = 6)
a AUC (0-12h) values quoted are extrapolated from data from samples collected over 4 hours.

Nel early post-transplant period (less than 40 days post-transplant) kidney heart E liver transplant patients had mean MPA AUCs approximately 20% A 41% lower E mean Cmax approximately 32% A 44% lower compared A the late transplant period (i.e. 3 A 6 months post-transplant) (non-stationarity in MPA pharmacokinetics).

I valori medi di MPA AUC a seguito della somministrazione di 1 g di cellule endovenose due volte al giorno in 2 ore ai pazienti con trapianto di rene per 5 giorni erano circa il 24% più alti di quelli osservati dopo la somministrazione orale di una dose simile nella fase immediata post-trapianto.

Nei pazienti con trapianto di fegato la somministrazione di 1 g di cellule endovenose due volte al giorno seguita da 1,5 g due volte al giorno di cellule orale ha portato a stime MPA AUC medio simili a quelle riscontrate nei pazienti con trapianto di rene somministrati 1 g di cellule due volte al giorno.

Effetto del cibo

Il cibo (27 g di grassi 650 calorie) non ha avuto alcun effetto sull'entità dell'assorbimento (MPA AUC) di MMF quando somministrato a dosi di 1,5 g due volte al giorno ai pazienti con trapianto di rene. Tuttavia MPA CMAX è stato ridotto del 40% in presenza di cibo [vedi Dosaggio e amministrazione ].

Distribuzione

Il volume medio (± DS) apparente di distribuzione di MPA in 12 volontari sani era di circa 3,6 (± 1,5) L/kg. A concentrazioni clinicamente rilevanti, l'MPA è legato al 97% all'albumina plasmatica. Il metabolita fenolico di glucuronide di MPA (MPAG) è dell'82% legato all'albumina plasmatica a gamme di concentrazione di MPAG che sono normalmente osservate in pazienti con trapianto di rene stabili; Tuttavia, a concentrazioni di MPAG più elevate (osservate in pazienti con compromissione renale o funzione di innesto renale ritardato), il legame dell'MPA può essere ridotto a causa della competizione tra MPAG e MPA per il legame delle proteine. Il rapporto di sangue / plasma medio delle concentrazioni di radioattività era circa 0,6 indicando che MPA e MPAG non si distribuiscono ampiamente nelle frazioni cellulari del sangue.

In vitro Studi per valutare l'effetto di altri agenti sul legame dell'MPA con l'albumina sierica umana (HSA) o le proteine ​​plasmatiche hanno mostrato che il salicilato (a 25 mg/dL con albumina sierica umana) e MPAG (a ≥ 460 mcg/ml con proteine ​​plasmatiche) aumentavano la frazione libera di MPA. L'MPA a concentrazioni fino a 100 mcg/mL ha avuto scarso effetto sul legame della digossina di warfarin o del propranololo, ma ha ridotto il legame della teofillina dal 53% al 45% e fenitoina dal 90% all'87%.

Eliminazione

L'emivita apparente e la clearance plasmatica media (± DS) di MPA sono 17,9 (± 6,5) ore e 193 (± 48) ml/min dopo la somministrazione orale e 16,6 (± 5,8) ore e 177 (± 31) ml/min dopo la somministrazione evavenosa rispettivamente.

Metabolismo

Il farmaco genitore MMF può essere misurato sistematicamente durante l'infusione endovenosa; Tuttavia, circa 5 minuti dopo l'interruzione dell'infusione o dopo le concentrazioni di MMF di somministrazione orale sono al di sotto del limite di quantificazione (NULL,4 mcg/mL).

Metabolismo A MPA occurs pre-systemically after Oal dosing. MPA is metabolized principally by glucuronyl transferase A fOm MPAG which is not pharmacologically active. In vivo MPAG viene convertito in MPA durante il ricircolo enteroepatico. I seguenti metaboliti della porzione di 2-idrossietil-morfolino sono anche recuperati nelle urine dopo la somministrazione orale di MMF a soggetti sani: n- (2-carbossimetil)-morfolina N- (2-idrossietil)-morfilina e l'ossido N di n- (2-idrossietil)-morfolina. A causa del ricircolo enteroepatico dei picchi secondari MPAG/MPa nel profilo del tempo di concentrazione plasmatico MPa sono generalmente osservati da 6 a 12 ore dopo la dose. Anche Sequestrants come la colestyramina riducono MPA AUC interferendo con questo enteroepatico ricircolo del farmaco [vedi OVERDOSE E Studi sull'interazione farmacologica sotto].

Escrezione

usi per olio essenziale di eucalipto globulus

La quantità trascurabile di farmaco viene escreta come MPA (meno dell'1% della dose) nelle urine. L'MMF radiomarcato per orale ha comportato un recupero completo della dose somministrata con il 93% della dose somministrata recuperata nelle urine e il 6% recuperato nelle feci. La maggior parte (circa l'87%) della dose somministrata viene escreta nelle urine come MPAG. A concentrazioni clinicamente incontrate, MPA e MPAG non vengono generalmente rimossi dall'emodialisi. Tuttavia ad alte concentrazioni plasmatiche di MPAG (> 100 mcg/mL) vengono rimosse piccole quantità di MPAG.

Sono osservate aumento delle concentrazioni plasmatiche di metaboliti MMF (aumento del 50% di MPA e MPAG di circa 3 volte a 6 volte) in pazienti con insufficienza renale [vedi Popolazioni specifiche ].

Popolazioni specifiche

Pazienti con compromissione renale

Sono presentati i parametri farmacocinetici medi (± DS) per MPA in seguito alla somministrazione di MMF orale somministrati come singole dosi a soggetti non raschianti con compromissione renale Tavolo .

In uno studio monodosaggio, MMF è stato somministrato come capsula o come infusione endovenosa per oltre 40 minuti. Plasma MPA AUC osservato dopo dosaggio orale a volontari con grave compromissione renale cronica (GFR <25 mL/min/1.73 m 2 ) era circa il 75% più alto rispetto a quello osservato in volontari sani (GFR> 80 ml/min/1,73 m 2 ). In addition the single-dose plasma MPAG AUC was 3-fold A 6-fold higher in volunteers with severe renal impairment than in volunteers with mild renal impairment O healthy volunteers consistent with the known renal elimination of MPAG. No data are available on the safety of long-term exposure A this level of MPAG.

MPA plasmatico AUC osservato dopo dosaggio endovenoso a dose monodosa (1 g) a volontari (n = 4) con grave compromissione renale cronica (GFR <25 mL/min/1.73 m 2 ) era 62,4 mcg • H/mL (± 19,3). Non è stato studiato il dosaggio multiplo di MMF in pazienti con grave compromissione renale cronica.

Pazienti con funzione di innesto ritardato o non funzionalità

Nei pazienti con funzione di innesto renale ritardata post-trapianto, MPA AUC (0-12h) era paragonabile a quello osservato nei pazienti post-trapianto senza una funzione di innesto renale ritardata. Esiste un potenziale per un aumento transitorio della frazione libera e la concentrazione di MPA plasmatico nei pazienti con funzione di innesto renale ritardata. Tuttavia, la regolazione della dose non sembra essere necessaria nei pazienti con funzione di innesto renale ritardata. Il plasma medio MPAG AUC (0-12h) era da 2 volte a 3 volte superiore rispetto ai pazienti post-trapianto senza funzione di innesto renale ritardato [vedi Dosaggio e amministrazione ].

In otto pazienti con non funzione di innesto primario a seguito di concentrazioni plasmatiche di trapianto di rene di MPAG si sono accumulate da 6 volte a 8 volte dopo il dosaggio multiplo per 28 giorni. L'accumulo di MPA è stato circa 1 volte a 2 volte.

La farmacocinetica di MMF non è alterata dall'emodialisi. L'emodialisi di solito non rimuove MPA o MPAG. Ad alte concentrazioni di mpAG (> 100 mcg/mL) l'emodialisi rimuove solo piccole quantità di MPAG.

Pazienti con compromissione epatica

I parametri farmacocinetici medi (± SD) per MPA in seguito alla somministrazione di MMF orale somministrati come singole dosi a soggetti non traslastanti con compromissione epatica in Tavolo 11 .

In uno studio monodosa (1 g orale) su 18 volontari con cirrosi alcolica e 6 volontari sani, i processi di glucuronidazione MPA epatica sembravano relativamente inalterati dalla malattia parenchimale epatica quando i parametri farmacocinetici di volontari sani e pazienti alcolici all'interno di questo studio sono stati confrontati. Tuttavia, va notato che per ragioni inspiegabili i volontari sani in questo studio avevano un AUC inferiore del 50% rispetto ai volontari sani in altri studi, rendendo così difficili confronti tra volontari con cirrosi alcolica e volontari sani. In uno studio monodosa (1 g endovenoso) su 6 volontari con grave compromissione epatica (test del respiro di aminopirina meno dello 0,2% della dose) a causa della cirrosi alcolica MMF è stato rapidamente convertito in MPA. MPA AUC era 44,1 mcg • H/mL (± 15,5).

Tavolo 11 Pharmacokinetic Parameters fO MPA [mean (±SD)] Following Single Doses of MMF Capsule in Chronic Renal E Hepatic Impairment

Parametri farmacocinetici per compromissione renale
Dose Tmax
(H)
Cmax
(MCG/ML)
AUC (0-96h)
(MCG • H/ML)
Volontari sani 1 g 0.75
(± 0,27)
25.3
(± 7,99)
45.0
(± 22,6)
2
Lieve compromissione renale 1 g 0.75
(± 0,27)
26.0
(± 3,82)
59.9
(± 12,9)
2
Moderata compromissione renale 1 g 0.75
(± 0,27)
19.0
(± 13,2)
52.9
(± 25,5)
2
Grave compromissione renale 1 g 1.00
(± 0,41)
16.3
(± 10,8)
78.6
(± 46,4)
2
Parametri farmacocinetici per compromissione epatica
Dose Tmax
(H)
Cmax
(MCG/ML)
AUC (0-48h)
(MCG • H/ML)
Volontari sani
1 g 0.63
(± 0,14)
24.3
(± 5,73)
29.0
(± 5,78)
Cirrosi alcolica
1 g 0.85
(± 0,58)
22.4
(± 10,1)
29.8
(± 10,7)
Pazienti pediatrici

I parametri farmacocinetici di MPA e MPAG sono stati valutati in 55 pazienti pediatrici (che vanno da 1 anno a 18 anni) che ricevono sospensioni orali cellulari alla dose di 600 mg/m 2 due volte al giorno (fino a un massimo di 1 g due volte al giorno) dopo il trapianto di rene allogenico. I dati farmacocinetici per MPA sono forniti in Tavolo .

Tavolo 12 Mean (±SD) Computed Pharmacokinetic Parameters fO MPA by Age E Tempo after Allogeneic Trapianto renaleation

Gruppo di età (N) Tempo Tmax
(H)
Dose Adjusted a Cmax
(MCG/ML)
Dose Adjusted a
AUC0-12
(MCG • H/ML)
1 a meno di 2 anni (6) d Presto (Day 7) 3.03 (4.70) 10.3 (5.80) 22.5 (6.66)
1 a meno di 6 anni (17) 1.63 (2.85) 13.2 (7.16) 27.4 (9.54)
6 a meno di 12 anni (16) 0.940 (NULL,546) 13.1 (6.30) 33.2 (12.1)
12-18 anni (21) 1.16 (0.830) 11.7 (10.7) 26.3 (9.14) b
1 a meno di 2 anni (4) d Late (mese 3) 0.725 (NULL,276) 23.8 (13.4) 47.4 (14.7)
1 a meno di 6 anni (15) 0.989 (NULL,511) 22.7 (10.1) 49.7 (18.2)
6 a meno di 12 anni (14) 1.21 (NULL,532) 27.8 (14.3) 61.9 (19.6)
12-18 anni (17) 0.978 (0.484) 17.9 (9.57) 53.6 (20.3) c
1 a meno di 2 anni (4) d Late (mese 9) 0.604 (0.208) 25.6 (4.25) 55.8 (11.6)
1 a meno di 6 anni (12) 0.869 (0.479) 30.4 (9.16) 61.0 (10.7)
6 a meno di 12 anni (11) 1.12 (0.462) 29.2 (12.6) 66.8 (21.2)
12-18 anni (14) 1.09 (NULL,518) 18.1 (7.29) 56.7 (14.0)
a Regolato a una dose di 600 mg/m 2
b n = 20
c n = 16
d un sottoinsieme da 1 a <6 yr

La dose di sospensione orale di Cellcept di 600 mg/m 2 Due volte al giorno (fino a un massimo di 1 g due volte al giorno) ha raggiunto i valori MPA AUC in pazienti pediatrici simili a quelli osservati nei pazienti con trapianto di rene per adulti che hanno ricevuto capsule di cellule a una dose di 1 g due volte al giorno nel primo periodo post-trapianto. C'era un'ampia variabilità nei dati. Come osservato negli adulti, i primi valori MPA AUC post-trapianto erano inferiore del 45% al ​​53% rispetto a quelli osservati nel successivo periodo post-trapianto (> 3 mesi). I valori di MPA AUC erano simili nel periodo iniziale e tardivo post-trapianto attraverso la fascia di età compresa tra 1 e 18 anni.

Un confronto di dose-normalizzata (a 600 mg/m 2 ) Valori AUC MPA in 12 pazienti di trapianto di rene pediatrico di età inferiore ai 6 anni a 9 mesi dopo il trapianto con quei valori in 7 pazienti pediatrici trapianto di fegato [età mediana 17 mesi (intervallo: 10-60 mesi)] e a 6 mesi e oltre il post-trapianto ha rivelato che alla stessa dosa c'erano in media il 23% di valori AUC in età pediatrica rispetto ai dipendenti pediatrici. Ciò è coerente con la necessità di un dosaggio più elevato nei pazienti con trapianto di fegato adulti rispetto ai pazienti con trapianto di rene per ottenere la stessa esposizione.

Nei pazienti trapianti per adulti hanno somministrato lo stesso dosaggio di cellule, esiste un'esposizione MPA simile tra i pazienti trapianti di trapianto di rene e trapianto di cuore. Sulla base della somiglianza stabilita nell'esposizione all'MPA tra trapianto di rene pediatrico e pazienti trapianti di rene per adulti nelle rispettive dosi approvate, si prevede che l'esposizione MPA al dosaggio raccomandato sarà simile nei pazienti trapianti di cuore pediatrico e trapianto di cuore per adulti.

Pazienti maschi e femmine

Dati obtained from several studies were pooled A look at any gender-related differences in the pharmacokinetics of MPA (data were adjusted A 1 g Oal dose). Mean (±SD) MPA AUC (0-12h) fO males (n=79) was 32.0 (±14.5) E fO females (n=41) was 36.5 (±18.8) mcg•h/mL while mean (±SD) MPA Cmax was 9.96 (±6.19) in the males E 10.6 (±5.64) mcg/mL in the females. These differences are not of clinical significance.

Pazienti geriatrici

La farmacocinetica del micofenolato mofetile e dei suoi metaboliti non è stato trovato per essere modificato nei pazienti trapianti geriatrici rispetto ai pazienti con trapianto più giovani.

Studi sull'interazione farmacologica

Aciclovir

La somministrazione di co -somministrazione di MMF (1 g) e aciclovir (800 mg) a 12 volontari sani non ha comportato cambiamenti significativi in ​​MPA AUC e CMAX. Tuttavia, le AUC plasmatiche di MPAG e aciclovir sono state aumentate rispettivamente del 10,6% e del 21,9%.

Antacidi con idrossidi di magnesio e alluminio

Assorbimento of a single dose of MMF (2 g) was decreased when administered A 10 artrite reumatoide pazienti che assumono anche Maalox ® TC (QID da 10 mL). Il CMAX e l'AUC (0-24H) per MPA erano rispettivamente del 33% e del 17% rispetto a quando MMF veniva somministrato da solo in condizioni di digiuno.

Inibitori della pompa protonica (PPI)

È stato riportato che la somministrazione di co -somministrazione di PPI (ad es. Lansoprazole pantoprazolo) in dosi singole a volontari sani e dosi multiple ai pazienti trapianti che ricevono Cellcept riducono l'esposizione all'MPA. È stata osservata una riduzione approssimativa dal 30 al 70% nel CMAX e dal 25% al ​​35% nell'AUC di MPA probabilmente a causa di una diminuzione della solubilità MPA a un aumentato pH gastrico.

Colestyramina

Dopo la somministrazione monodosaggio da 1,5 g MMF a 12 volontari sani pretrattati con 4 g tre volte al giorno di colestiramina per 4 giorni di MPA AUC è diminuita di circa il 40%. Questa diminuzione è coerente con l'interruzione del ricircolo enteroepatico che può essere dovuto al legame del MPAG di ricircolo con la colestiramina nell'intestino.

Ciclosporina

Ciclosporina (Sandimmune ® ) La farmacocinetica (a dosi da 275 a 415 mg/die) non sono state influenzate da dosi singole e multiple di 1,5 g due volte al giorno di MMF in 10 pazienti con trapianto di rene stabili. La media (± SD) AUC (0-12h) e Cmax di ciclosporina dopo 14 giorni di dosi multiple di MMF erano 3290 (± 822) ng • H/mL e 753 (± 161) ng/ml rispettivamente rispetto a 3245 (± 1088) ng • H/ml e 700 (± 246) Mmf.

Ciclosporina A interferes with MPA enterohepatic recirculation. In kidney transplant patients mean MPA exposure (AUC (0-12h)) was approximately 30-50% greater when MMF was administered without cyclospOine compared with when MMF was coadministered with cyclospOine. This interaction is due A cyclospOine inhibition of multidrug-resistance-associated protein 2 (MRP-2) transpOter in the biliary tract thereby preventing the excretion of MPAG inA the bile that would lead A enterohepatic recirculation of MPA. This infOmation should be taken inA consideration when MMF is used without cyclospOine.

Farmaci che colpiscono la glucuronidazione

La somministrazione concomitante di farmaci che inibisce la glucuronidazione dell'MPA può aumentare l'esposizione all'MPA (ad esempio un aumento dell'MPA AUC (0-∞) del 35% con la somministrazione concomitante di isavuconazolo). La somministrazione concomitante di telmisartan e cellulare ha comportato una riduzione di circa il 30% delle concentrazioni di MPA. Il telmisartan cambia l'eliminazione dell'MPA migliorando l'espressione gamma di PPAR (gamma di recettori proliferatoractivata perossisoma che a sua volta si traduce in un'espressione migliorata di UGT1A9 e attività di glucuronidazione.

Ganciclovir

Dopo la somministrazione a dose monodosa a 12 pazienti con trapianto di rene stabili, non è stata osservata interazione farmacocinetica tra MMF (NULL,5 g) e ganciclovir endovenoso (5 mg/kg). Media (± DS) Ganciclovir AUC e CMAX (n = 10) erano 54,3 (± 19,0) MCG • H/mL e 11,5 (± 1,8) MCG/ml rispettivamente dopo la co -amministrazione dei due farmaci rispetto a 51.0 (± 17,0) MCG • H/mL e 10,6 (± 2.0) Ganciclovir da solo. La media (± DS) AUC e CMAX di MPA (n = 12) dopo la somministrazione di co -co -co -era erano 80,9 (± 21,6) MCG • H/mL e 27,8 (± 13,9) rispettivamente MCG/ml rispetto ai valori di solo 80,3 (± 16,4) mg • H/ml e 30,9 (± 11,2) MCG/ml rispettivamente di MMF di MMF.

Contraccettivi orali

Uno studio sulla somministrazione di co -somministrazione di cellule (1 g due volte al giorno) e contraccettivi orali combinati contenenti etinilestradiol (da 0,02 mg a 0,04 mg) e levonorgestrel (NULL,05 mg a 0,20 mg) Desogestel (NULL,15 mg) o gesodene (NULL,05 mg a 0,10 mg) sono stati condotti in 18 mTras con plesis con plesi di 3 mTrual. I livelli sierici medi di LH FSH e progesterone non sono stati influenzati in modo significativo. L'AUC media (0-24h) era simile per l'etinilestradiolo e il desogestrel 3-cheto; Tuttavia, il levororgestrel AUC (0-24h) medio è significativamente diminuito di circa il 15%. C'era una grande variabilità inter-paziente (%CV nell'intervallo dal 60%al 70%) nei dati in particolare per l'etinilestradiolo.

Sevelamer

La somministrazione concomitante di Sevelamer e MMF nei pazienti adulti e pediatrici ha ridotto rispettivamente il MPA CMAX e l'AUC (0-12h) medio rispettivamente del 36% e del 26%.

Antimicrobici

Antimicrobici eliminating beta-glucuronidase-producing bacteria in the intestine (e.g. aminoglycoside cephalospOin fluOoquinolone E penicillin classes of antimicrobials) may interfere with the MPAG/MPA enterohepatic recirculation thus leading A reduced systemic MPA exposure. InfOmation concerning antibiotics is as follows:

  • TRIMETHOPRIM/SULFAMETHOXAZOLE: A seguito della somministrazione a dose singola di MMF (da 1,5 g) a 12 volontari maschi sani il giorno 8 di un corso di 10 giorni di Trimetoprim 160 mg/sulfametossazolo 800 mg somministrati due volte al giorno senza effetto sulla biodisponibilità dell'MPA. La media (± SD) AUC e CMAX di MPA dopo somministrazione concomitante erano 75,2 (± 19,8) MCG • H/mL e 34,0 (± 6,6) mg/ml rispettivamente rispetto a 79,2 (± 27,9) MCG • H/mL e 34,2 (± 10,7) rispettivamente MCG/mL dopo la somministrazione di MMF da solo.
  • Norfloxacina e metronidazolo: dopo la somministrazione a dose singola di MMF (da 1 g) a 11 volontari sani al giorno 4 di un corso di 5 giorni di una combinazione di norfloxacina e metronidazolo il MPA AUC medio (0-48h) è stato significativamente ridotto del 33% rispetto all'amministrazione da solo MMF (p <0.05). The mean (±SD) MPA AUC (0-48h) after coadministration of MMF with nOfloxacin O metronidazole separately was 48.3 (±24) mcg·h/mL E 42.7 (±23) mcg·h/mL respectively compared with 56.2 (±24) mcg·h/mL after administration of MMF alone.
  • Ciprofloxacina e amoxicillina più acido clavulanico: un totale di 64 pazienti sottoposti a trapianto di rene trattato con cellulare hanno ricevuto ciprofloxacina orale 500 mg due volte al giorno o amoxicillina più acido clavulanico 375 mg tre volte al giorno per 7 o almeno 14 giorni rispettivamente. In 3 giorni sono state osservate riduzioni di circa il 50% delle concentrazioni di MPA della depressione mediane (pre-dose) dal basale (solo cellula) in 3 giorni dopo l'inizio della ciprofloxacina orale o dell'amoxicillina più acido clavulanico. Queste riduzioni delle concentrazioni di MPA della depressione tendevano a diminuire entro 14 giorni dalla terapia antimicrobica e cessarono entro 3 giorni dalla discontinuazione degli antibiotici.
  • Rifampina: in un singolo paziente trapianto di cardiaco dopo la dose è stata osservata una riduzione del 67% dell'esposizione all'MPA (AUC (0-12h)) con la somministrazione concomitante di MMF e Rifampin.

Studi clinici

Trapianto renaleation

Adulti

I tre Ancora Studi sul trapianto di rene hanno confrontato due livelli di dose di cellule orale (1 g due volte al giorno e 1,5 g due volte al giorno) con azatioprina (2 studi) o placebo (1 studio) per prevenire episodi di rigetto acuto. Uno dei due studi con il braccio di controllo azatioprina (AZA) includeva anche l'anti-timocita globulina (Atgam ® ) terapia di induzione. The geographic location of the investigational sites of these studies are included in Tavolo .

In tutti e tre Ancora Studi sul trapianto di rene L'endpoint di efficacia primaria era la percentuale di pazienti in ciascun gruppo di trattamento che ha avuto un fallimento del trattamento entro i primi 6 mesi dopo il trapianto. Il fallimento del trattamento è stato definito come rifiuto acuto provato dalla biopsia sul trattamento o sul verificarsi della perdita di innesto di morte o della cessazione precoce dallo studio per qualsiasi motivo senza un precedente rifiuto di biopsia.

Cellulare in combination with cOticosteroides E cyclospOine reduced (statistically significant at 0.05 level) the incidence of treatment failure within the first 6 months following transplantation ( Tavolo 13 ). Patients who prematurely discontinued treatment were followed fO the occurrence of death O graft loss E the cumulative incidence of graft loss E patient death combined are summarized in Tavolo . I pazienti che hanno interrotto prematuramente il trattamento non sono stati seguiti per il verificarsi di rifiuto acuto dopo la risoluzione.

Tavolo 13 Treatment Failure in De Novo Trapianto renaleation Studies

Studio USA
(N = 499 pazienti)
Cellulare
2 g/giorno
(n = 167 pazienti)
Cellulare
3 g/giorno
(n = 166 pazienti)
Non
1 a 2 mg/kg/giorno
(n = 166 pazienti)
Tutti e 3 i gruppi hanno ricevuto ciclosporina e corticosteroidi anti-timociti globulinici e corticosteroidi
Tutti i fallimenti del trattamento 31,1% 31,3% 47,6%
Presto termination without priO
Rifiuto acuto
9,6% 12,7% 6,0%
Episodio di rifiuto della biopsia
sul trattamento
19,8% 17,5% 38,0%
Europa/Canada/
Studio in Australia
(N = 503 pazienti)
Cellulare
2 g/giorno
(n = 173 pazienti)
Cellulare
3 g/giorno
(n = 164 pazienti)
Non
Da 100 a 150 mg/die
(n = 166 pazienti)
Nessun trattamento di induzione somministrato; Tutti e 3 i gruppi hanno ricevuto ciclosporina
E cOticosteroides.
Tutti i fallimenti del trattamento 38,2% 34,8% 50,0%
Presto termination without priO
Rifiuto acuto
13,9% 15,2% 10,2%
Episodio di rifiuto della biopsia
sul trattamento
19,7% 15,9% 35,5%
Studio in Europa
(N = 491 pazienti)
Cellulare
2 g/giorno
(n = 165 pazienti)
Cellulare
3 g/giorno
(n = 160 pazienti)
Placebo
(n = 166 pazienti)
Nessun trattamento di induzione somministrato; Tutti e 3 i gruppi hanno ricevuto ciclosporina
E cOticosteroides.
Tutti i fallimenti del trattamento 30,3% 38,8% 56,0%
Presto termination without priO
Rifiuto acuto
11,5% 22,5% 7,2%
Episodio di rifiuto della biopsia
sul trattamento
17,0% 13,8% 46,4%
*Non include la perdita di morte e innesto come motivo per la terminazione anticipata.

Non è stato stabilito alcun vantaggio di cellulare a 12 mesi rispetto alla perdita dell'innesto o alla morte del paziente (combinata) ( Tavolo 14 ). Numerically patients receiving Cellulare 2 g/giorno E 3 g/giorno experienced a better outcome than controls in all three studies; patients receiving Cellulare 2 g/giorno experienced a better outcome than Cellulare 3 g/giorno in two of the three studies. Patients in all treatment groups who terminated treatment early were found A have a poO outcome with respect A graft loss O patient death at 1 year.

Tavolo 14 De Novo Trapianto renaleation Studies Cumulative Incidence of Combined Graft Loss O Patient Death at 12 Months

Studio Cellulare
2 g/giorno
Cellulare
3 g/giorno
Controllare
(Aza o Placebo)
cervo 8,5% 11,5% 12,2%
Europa/Canada/Australia 11,7% 11,0% 13,6%
Europa 8,5% 10,0% 11,5%
Pediatria

DE NOVO Transplantation PK Studio con follow-up a lungo termine

Uno studio sulla sicurezza e farmacocinetica della sospensione orale cellulare 600 mg/m 2 Due volte al giorno (fino a 1 g di due volte al giorno) in combinazione con ciclosporina e corticosteroidi sono stati eseguiti nei centri negli Stati Uniti (9) Europa (5) e in Australia (1) in 100 pazienti pediatrici (da 3 mesi ai 18 anni) per la prevenzione del rifiuto dell'alloinnesto renale. Cellcept è stato ben tollerato nei pazienti pediatrici [vedi Reazioni avverse ] e il profilo della farmacocinetica era simile a quello visto nei pazienti adulti dosati con 1 g di capsule cellulari due volte al giorno [vedi Farmacologia clinica ]. The rate of biopsy-proven rejection was similar across the age groups (3 months A <6 years 6 years A <12 years 12 years A 18 years). The overall biopsy-proven rejection rate at 6 months was comparable A adults. The combined incidence of graft loss (5%) E patient death (2%) at 12 months post-transplant was similar A that observed in adult kidney transplant patients.

Trapianto di cuore

Uno studio multicentrico comparativo di gruppo parallelo randomizzato in doppio cieco in primario Ancora I destinatari del trapianto di cuore sono stati eseguiti nei centri negli Stati Uniti (20) in Canada (1) in Europa (5) e in Australia (2). Il numero totale di pazienti arruolati (popolazione ITT) era 650; 72 Non ho mai ricevuto un farmaco in studio e 578 hanno ricevuto farmaci da studio (popolazione di sicurezza). I pazienti hanno ricevuto Cellcept 1,5 g due volte al giorno (n = 289) o da 1,5 a 3 mg/kg/giorno (n = 289) in combinazione con ciclosporina (Sandimmune ® o neoral ® ) e corticosteroidi come terapia immunosoppressiva di mantenimento. The two primary efficacy endpoints were: (1) the propOtion of patients who after transplantation had at least one endomyocardial biopsy-proven rejection with hemodynamic compromise O were re-transplanted O died within the first 6 months E (2) the propOtion of patients who died O were re-transplanted during the first 12 months following transplantation. Patients who prematurely discontinued treatment were followed fO the occurrence of allograft rejection fO up A 6 months E fO the occurrence of death fO 1 year.

Le analisi degli endpoint hanno mostrato:

  • Rifiuto: non è stata stabilita alcuna differenza tra Cellcept e AZA rispetto al rigetto proiettato dalla biopsia con compromesso emodinamico.
  • Sopravvivenza: Cellcept ha dimostrato di essere efficace almeno quanto AZA nella prevenzione della morte o del trapiantamento a 1 anno (vedi Tavolo ).

Tavolo 15 De Novo Trapianto di cuore Studio Rejection at 6 Months/Death O Re-transplantation at 1 Year

Tutti i pazienti (ITT) Pazienti trattati
Non
N = 323
Cellulare
N = 327
Non
N = 289
Cellulare
N = 289
Rifiuto comprovato dalla biopsia con compromesso emodinamico a 6 mesi a 121 (38%) 120 (37%) 100 (35%) 92 (32%)
Morte o ritraspistazione a 1 anno 49
(NULL,2%)
42 (NULL,8%) 33 (NULL,4%) 18 (NULL,2%)
a Il compromesso emodinamico si è verificato se sono stati soddisfatti uno dei seguenti criteri: pressione del cuneo capillare polmonare ³20 mm o un aumento del 25%; Indice cardiaco <2.0 L/min/m 2 O a 25% decrease; ejection fraction £30%; pulmonary artery oxygen saturation £60% O a 25% decrease; presence of new S3 gallop; fractional shOtening was £20% O a 25% decrease; inotropic suppOt required A manage the clinical condition.

Trapianto di fegato

Uno studio multicentrico comparativo di gruppo parallelo randomizzato in doppio cieco in primario hepatic transplant recipients was perfOmed at centers in the United States (16) in Canada (2) in Europa (4) E in Australia (1). The Atal number of patients enrolled was 565. Per proAcol patients received Cellulare 1 g twice daily intravenously fO up A 14 days followed by Cellulare 1.5 g twice daily Oally O Non 1 a 2 mg/kg/giorno intravenously followed by Non 1 a 2 mg/kg/giorno Oally in combination with cyclospOine (Neoral ® ) e corticosteroidi come terapia immunosoppressiva di mantenimento. The actual median Oal dose of Non on study was 1.5 mg/kg/giorno (range of 0.3 A 3.8 mg/kg/giorno) initially E 1.26 mg/kg/giorno (range of 0.3 A 3.8 mg/kg/giorno) at 12 months. The two primary endpoints were: (1) the propOtion of patients who experienced in the first 6 months post-transplantation one O mOe episodes of biopsy-proven E treated rejection O death O re-transplantation E (2) the propOtion of patients who experienced graft loss (death O re-transplantation) during the first 12 months post-transplantation. Patients who prematurely discontinued treatment were followed fO the occurrence of allograft rejection E fO the occurrence of graft loss (death O re-transplantation) fO 1 year.

In combinazione con corticosteroidi e cellule di ciclosporina ha dimostrato un tasso inferiore di rigetto acuto a 6 mesi e un tasso di morte o ri-trapianto simile a 1 anno rispetto ad AZA (Tabella 16).

Tavolo 16 De Novo Trapianto di fegato Studio Rejection at 6 Months/Death O Retransplantation at 1 Year

Non
N = 287
Cellulare
N = 278
Rifiuto trattato con biopsia
a 6 mesi (include morte o ritrasplanzio)
137 (NULL,7%) 107 (NULL,5%)
Morte o ritraspistazione a 1 anno 42 (NULL,6%) 41 (NULL,7%)

Informazioni sul paziente per Cellcept

Cellulare ®
[Sel-Sept]
(Capsule mofetile micofenolato)
(compresse di micofenolato mofetile)

Cellulare ®
[Sel-Sept]
(micofenolato mofetile per sospensione orale)

Cellulare ®
[Sel-Sept]
(micofenolato mofetile per iniezione)

Leggi la guida ai farmaci che viene fornito con Cellcep prima di iniziare a prenderlo e ogni volta che ricarichi la prescrizione. Potrebbero esserci nuove informazioni. Questa guida ai farmaci non prende il posto di parlare con il medico delle condizioni mediche o del trattamento.

Quali sono le informazioni più importanti che dovrei sapere su Cellcept?

Cellulare can cause serious side effects including:

Aumento del rischio di perdita di una gravidanza (aborto spontaneo) e rischio maggiore di difetti alla nascita. Le femmine che assumono cellule durante la gravidanza hanno un rischio più elevato di aborto durante i primi 3 mesi (primo trimestre) e un rischio maggiore che il loro bambino nascerà con difetti alla nascita.

È necessario utilizzare il controllo delle nascite accettabile durante l'intero trattamento di Cellcept e per 6 settimane dopo aver interrotto Cellcept a meno che non si scelga di evitare il rapporto sessuale (astinenza) con un uomo completamente. La cellula riduce i livelli ematici degli ormoni in pillole anticoncezionali che prendi in bocca. Le pillole anticoncezionali potrebbero non funzionare altrettanto bene mentre prendi Cellcept e potresti rimanere incinta. Se prendi le pillole anticoncezionali durante l'utilizzo di Cellcep, devi anche usare un'altra forma di controllo delle nascite. Parla con il tuo medico di altri metodi di controllo delle nascite che puoi usare durante l'assunzione di Cellcept.

Aumento del rischio di ottenere gravi infezioni. Cellulare weakens the body’s immune system E affects your ability A fight infezioni. Serious infezioni can happen with Cellulare E can lead A hospitalizations E death. These serious infezioni can include:

  • Se sei una femmina che può rimanere incinta Il medico deve parlare con te di metodi di controllo delle nascite accettabili (consulenza contraccettiva) da usare durante l'assunzione di Cellcept. Dovresti avere 1 test di gravidanza immediatamente prima di iniziare Cellcept e un altro test di gravidanza da 8 a 10 giorni dopo. I test di gravidanza devono essere ripetuti durante le visite di follow-up di routine con il medico. Parla con il tuo medico dei risultati di tutti i test di gravidanza.
  • Se sei un maschio sessualmente attivo il cui partner femminile può rimanere incinta mentre stai prendendo Cellcept Utilizzare una contraccezione efficace durante il trattamento e per almeno 90 giorni dopo aver interrotto Cellcept.
  • Se prevedi di rimanere incinta Parla con il tuo medico. Il medico deciderà se altri medicinali per prevenire il rifiuto potrebbero essere giusti per te.
  • Se rimani incinta durante l'assunzione di cellule non smetti di prendere Cellcept. Chiama subito il tuo medico. Tu e il tuo medico potreste decidere che altri medicinali per prevenire il rifiuto potrebbero essere giusti per voi. Anche tu e il tuo medico dovreste denunciare la gravidanza al registro di gravidanza micofenolato:

    Lo scopo di questo registro è quello di raccogliere informazioni sulla salute di te e del tuo bambino.

    Aumento del rischio di ottenere determinati tumori. Le persone che assumono Cellcept hanno un rischio maggiore di ottenere linfoma e altri tumori, in particolare il cancro della pelle. Di 'al tuo medico se hai:

    cose da fare a Girona
    • Per telefono al numero 1-800-617-8191 O
    • Visitando il sito Web REMS all'indirizzo: www.mycophenolaterems.com
    • febbre inspiegabile perdita di peso prolungata o gonfiore linfonodo
    • Una lesione della pelle marrone o nera con bordi irregolari o una parte della lesione non sembra l'altra
    • un cambiamento nelle dimensioni e nel colore di una talpa
    • una nuova lesione o bernoccolo della pelle
    • Qualsiasi altra modifica alla tua salute
  • Infezioni virali. Alcuni virus possono vivere nel tuo corpo e causare infezioni attive quando il sistema immunitario è debole. Le infezioni virali che possono accadere con Cellcept includono:
    • Herpes zoster Altre infezioni da herpes e citomegalovirus (CMV). Il CMV può causare gravi infezioni del tessuto e del sangue.
    • Virus bk. Il virus BK può influenzare il modo in cui il rene funziona e far fallire il rene trapiantato.
    • Virus dell'epatite B e C. I virus dell'epatite possono influenzare il modo in cui funziona il tuo fegato. Parla con il tuo medico di come i virus dell'epatite possono influenzarti.
    • COVID 19
  • Un'infezione cerebrale chiamata leucoencefalopatia multifocale progressiva (PML). In alcuni pazienti il ​​cellulare può causare un'infezione del cervello che può causare la morte. Sei a rischio di questa infezione cerebrale perché hai un sistema immunitario indebolito. Chiama subito il medico se hai uno dei seguenti sintomi:
    • debolezza on one side of the body
    • Non ti interessa le cose che di solito ti interessa (apatia)
    • Sei confuso o hai problemi a pensare
    • Non puoi controllare i tuoi muscoli
  • Infezioni fungine. Lieviti e altri tipi di infezioni fungine possono verificarsi con cellule e possono causare gravi infezioni del tessuto e del sangue (vedi Quali sono i possibili effetti collaterali di Cellcept? ).

Chiama subito il medico se hai uno dei seguenti segni e sintomi di infezione:

  • Temperatura di 100,5 ° F o maggiore
  • sintomi a freddo come un naso che cola o mal di gola
  • Sintomi di influenza come vomito di dolori allo stomaco morbido o diarrea
  • orecchio o mal di testa
  • dolore durante la minzione
  • patch bianchi in bocca o gola
  • lividi o sanguinanti inaspettati
  • tagli graffi o incisioni che sono rosse e trasudanti pus

Vedere Quali sono i possibili effetti collaterali di Cellcept? Per informazioni su altri gravi effetti collaterali.

Cos'è Cellcept?

  • Cellulare is a prescription medicine A prevent rejection (antirejection medicine) in people who have received a kidney heart O liver transplant. Rejection is when the body’s immune system perceives the new Ogan as a fOeign threat E attacks it.
  • Cellulare is used with other medicines containing cyclospOine E cOticosteroides.

Chi non dovrebbe prendere Cellcept?

Non prendere Cellcept se sei allergico al micofenolato mofetile o a nessuno degli ingredienti in cellula.

Vedere the end of this Guida ai farmaci fO a complete list of ingredients in Cellulare.

Cosa dovrei dire al mio medico prima di prendere Cellcept?

Racconta al tuo medico tutte le tue condizioni mediche, incluso se tu:

  • Avere problemi digestivi come le ulcere.
  • avere fenilchetonuria (PKU). La sospensione orale di Cellcep contiene aspartame (una fonte di fenilalanina).
  • Avere la sindrome di Lesch-Nyhan Kelley-Seegmiller Sindrome o un'altra rara carenza ereditata ipossantinua fosforibosil-transferasi (HGPRT). Non dovresti prendere Cellcept se hai uno di questi disturbi.
  • Pianificare di ricevere eventuali vaccini. Le persone che assumono Cellcept non dovrebbero ricevere vaccini vivi. Alcuni vaccini potrebbero non funzionare altrettanto bene durante il trattamento con Cellcept.
  • sono incinta o prevedono di rimanere incinta. Vedere Quali sono le informazioni più importanti che dovrei sapere su Cellcept?
  • stanno allattando o pianificano di allattare. Non è noto se la cellula passa nel latte materno. Tu e il tuo medico decidete se prenderete Cellcept o allattate.

Di 'al tuo operatore sanitario di tutte le medicine che prendi tra cui prescrizione e medicine da banco vitamine e integratori a base di erbe. Alcuni medicinali possono influire sul modo in cui funziona la cellula e la cellula può influenzare il modo in cui alcuni medicinali funzionano.

Soprattutto dillo al tuo medico se prendi:

  • pillole anticoncezionali (Oal contraceptives). Vedere Quali sono le informazioni più importanti che dovrei sapere su Cellcept?
  • Sevelamer (Renagel ® Renvelaä). Questi prodotti dovrebbero essere assunti almeno 2 ore dopo aver preso Cellcept.
  • aciclovir (Zovirax ® ) valacyclovir (Valtrex ® ) Ganciclovir (citovene ® -V vitrasert ® ) Valganciclovir (Valcyte ® ).
  • Rifampin (Rifathers ® Rifamato ® Rimactane ® Corda ® ).
  • Gli antiacidi che contengono magnesio e alluminio (cellulare e antiacido non devono essere presi contemporaneamente).
  • Inibitori della pompa protonica (PPI) (Prevacid ® Protonix ® ).
  • Sulfamethoxazolo/trimethoprim (bactrimä bactrim dsä).
  • Norfloxacina (noroxina ® ) e metronidazole (flagyl ® Flagyl ® È flagyl ® IV Metro IV Helidac ® Pylra).
  • ciprofloxacina (cipro ® Cipro ® XR Ciloxan ® Proquin ® XR) e amoxicillina più acido clavulanico (Augmentin ® Augmentin Xrä).
  • Azathyioprine (Azasan ® Imura ® ).
  • Cholestyramina (ricerca di Questri ® Questran ® Luce LICHOLEST LICOLEST PREVALITE ® ).

Conosci le medicine che prendi. Tienilo un elenco da mostrare al tuo medico o infermiere e farmacista quando ottieni un nuovo medicinale. Non prendere alcuna nuova medicina senza parlare con il tuo medico.

Come dovrei prendere Cellcept?

  • Prendi Cellcept esattamente come prescritto.
  • Non farlo Smetti di prendere Cellcept o cambiare la dose a meno che il medico non ti dica.
  • Se ti perdi una dose di cellcept o non sei sicuro di quando hai preso la tua ultima dose, prendi la tua dose prescritta di Cellcept non appena ricordi. Se la tua prossima dose è a meno di 2 ore di distanza, salta la dose persa e prendi la tua dose successiva al normale orario programmato. Non farlo Prendi 2 dosi contemporaneamente. Chiama il tuo medico se non sei sicuro di cosa fare.
  • Prendi compresse di capsule cellulari e sospensioni orali a stomaco vuoto a meno che il medico non ti dica diversamente. Non farlo Crush Cellcept compresse.
  • Non farlo Aprire o schiacciare le capsule di cellule.
  • Se non sei in grado di deglutire compresse di cellule o capsule, il medico può prescrivere la sospensione orale di cellulare. Questa è una forma liquida di cellulare. Il tuo farmacista mescolerà il medicinale prima di raccoglierlo da una farmacia.
  • Non farlo Mescolare la sospensione orale di cellulare con qualsiasi altro medicinale. La sospensione orale di Cellcep non deve essere miscelata con alcun tipo di liquidi prima di assumere la dose. Vedere le istruzioni per l'uso alla fine di questa guida ai farmaci per istruzioni dettagliate su come prendere la sospensione orale di Cellcep nel modo giusto.
  • Non farlo Respirare (inalare) o lasciare che la polvere di cellule o la sospensione orale entri in contatto con la pelle o le mucose.
    • Se si ottiene accidentalmente la polvere o la sospensione orale sulla pelle, lava bene l'area con acqua e sapone.
    • Se si ottiene accidentalmente la polvere o la sospensione orale negli occhi o altre mucose a filo con acqua semplice.
  • Se prendi troppi cellcept chiama subito il tuo medico o il centro di controllo del veleno.

Cosa dovrei evitare durante l'assunzione di Cellcept?

  • Evita di rimanere incinta. (Vedere Quali sono le informazioni più importanti che dovrei sapere su Cellcept?).
  • Limita la quantità di tempo trascorri alla luce solare. Evita di usare letti abbronzanti o elamp. Le persone che assumono Cellcept hanno un rischio maggiore di ottenere il cancro della pelle (vedi Quali sono le informazioni più importanti che dovrei sapere su Cellcept? ). Wear protective clothing when you are in the sun E use a broad-spectrum sunscreen with a high protection facAr. This is especially impOtant if your skin is very fair O if you have a family hisAry of skin cancer.
  • Non dovresti donare sangue durante l'assunzione di cellule e per almeno 6 settimane dopo aver fermato Cellcept.
  • Non dovresti donare lo sperma durante l'assunzione di Cellcept e per 90 giorni dopo aver fermato Cellcept.
  • Cellulare may influence your ability A drive E use machines (Vedere Quali sono i possibili effetti collaterali di Cellcept? . Se si verifica una sonnolenza confusione tremore di vertigini o bassa pressione sanguigna Durante il trattamento con Cellcept dovresti essere cauto sulla guida o sull'uso di macchine pesanti.

Quali sono i possibili effetti collaterali di Cellcept?

Cellulare may cause serious side effects including:

  • Vedere Quali sono le informazioni più importanti che dovrei sapere su Cellcept?
  • Conti dei globuli bassi. Le persone che assumono alte dosi di cellule ogni giorno possono avere una diminuzione della conta del sangue tra cui:
    • Pliche del sangue bianco in particolare neutrofili. I neutrofili combattono contro le infezioni batteriche. Hai maggiori possibilità di ottenere un'infezione quando il tuo conta dei globuli bianchi è basso. Questo è più comune da 1 mese a 6 mesi dopo il trapianto.
    • globuli rossi. I globuli rossi portano ossigeno sui tessuti corporei. Hai maggiori possibilità di ottenere un'anemia grave quando la conta dei globuli rossi è bassa.
    • piastrine. Le piastrine aiutano con la coagulazione del sangue.

Il medico farà esami del sangue prima di iniziare a prendere Cellcept e durante il trattamento con Cellcept per controllare la conta delle cellule del sangue. Di 'subito al tuo medico se hai segni di infezione (vedi Quali sono le informazioni più importanti che dovrei sapere su Cellcept? ) incluso eventuali lividi o sanguinamenti inaspettati. Dì anche al tuo medico se hai insolito stanchezza mancanza di vertigini energetiche o svenimento .

  • Problemi di stomaco. Problemi di stomaco, incluso il sanguinamento intestinale, una lacrima nella parete intestinale (perforazione) o le ulcere allo stomaco possono verificarsi nelle persone che prendono la cellula. Il sanguinamento può essere grave e potrebbe essere necessario ricoverare in ospedale per il trattamento. Chiama subito il tuo medico se hai dolore improvviso o grave area di stomaco o dolore all'area dello stomaco che non scompare o se hai la diarrea.
  • Reazioni infiammatorie. Alcune persone che assumono cellule possono avere una reazione infiammatoria con dolori articolari della rigidità articolare della febbre e dolore muscolare. Alcune di queste reazioni potrebbero richiedere il ricovero in ospedale. Questa reazione potrebbe avvenire entro settimane o mesi dopo l'inizio del trattamento con Cellcept o se la dose è aumentata. Chiama subito il medico se si verificano questi sintomi.

Gli effetti collaterali più comuni della cellula includono:

  • diarrea
  • Problemi di sangue tra cui bassi globuli bianchi e rosso conta
  • infezioni
  • problemi di pressione sanguigna
  • battito cardiaco veloce
  • gonfiore delle caviglie e dei piedi delle gambe inferiori
  • Cambiamenti nei livelli ematici di laboratorio tra cui alti livelli di zucchero nel sangue (iperglicemia)
  • Problemi di stomaco tra cui nausea e vomito di costipazione della diarrea
  • eruzione cutanea
  • Problemi del sistema nervoso come vertigini e tremore

Gli effetti collaterali che possono accadere più spesso nei bambini che negli adulti che prendono Cellcept includono:

  • Dolore dell'area dello stomaco
  • febbre
  • infezione
  • Dolore
  • Infezione del sangue (sepsi)
  • diarrea
  • vomito
  • mal di gola
  • raffreddori (infezioni del tratto respiratorio)
  • ipertensione
  • Conta dei globuli bianchi bassi
  • basso numero di globuli rossi

Questi non sono tutti i possibili effetti collaterali della cellula. Racconta al tuo medico di qualsiasi effetto collaterale che ti disturba o che non scompare.

Chiama il medico per consigli medici sugli effetti collaterali. È possibile segnalare gli effetti collaterali alla FDA al numero 1-800-FDA- 1088. È inoltre possibile segnalare gli effetti collaterali su Genentech al numero 1-888-835-2555.

Come dovrei archiviare Cellcept?

  • Conservare le capsule e le compresse di cellule a temperatura ambiente compresa tra 59of e 86of (15 ° C).
  • Mantieni le compresse di cellcept nel contenitore resistente alla luce in cui entra.
  • Conservare la sospensione orale di cellulare a temperatura ambiente compresa tra 59o e 86of (da 15oc a 30 ° C) per un massimo di 60 giorni. È inoltre possibile conservare la sospensione orale di cellulare nel frigorifero tra 36of a 46of (2oC a 8OC). Non farlo congelare.

Mantieni la cellula e tutti i medicinali fuori dalla portata dei bambini.

Informazioni generali sull'uso sicuro ed efficace di Cellcept.

Le medicine sono talvolta prescritte a fini diversi da quelli elencati in una guida ai farmaci. Non utilizzare Cellcept per una condizione per la quale non è stata prescritta. Non dare cellule ad altre persone anche se hanno gli stessi sintomi che hai. Potrebbe danneggiare loro.

Questa guida ai farmaci riassume le informazioni più importanti su Cellcep. Se desideri più informazioni, parla con il tuo medico. Puoi chiedere al tuo medico o al farmacista su Cellcept che è scritto per gli operatori sanitari.

Quali sono gli ingredienti di Cellcept?

Ingrediente attivo: micofenolato mofetile

Ingredienti inattivi:

Cellulare 250 mg capsules: Croscarmellosio sodico magnesio stearato povidone (K-90) e amido pregelatinizzato. I gusci della capsula contengono ossido di ferro nero fd

Cellulare 500 mg tablets: ossido di ferro nero croscarmellosio sodio fd

Sospensione orale cellulare: aspartame citrico acido citrico di biossido di silicio colloidale sapori di frutta misto misto di sodio citrato di diidrata di soia lecitina e gomma di xanthan.

Cellcept endovenoso: Polysorbato 80 e acido citrico. L'idrossido di sodio e l'acido cloridrico possono essere stati utilizzati nella produzione di cellulare per via endovenosa per regolare il pH.

Questa guida ai farmaci è stata approvata dalla Food and Drug Administration degli Stati Uniti.