Le Informazioni Presenti Sul Sito Non Costituiscono Consulenza Medica. Non Vendiamo Nulla. L'Accuratezza Della Traduzione Non È Garantita. Disclaimer
Antifungini, altri
Ambisome
Riepilogo della droga
Cos'è l'ambisoma?
Il liposoma ambisoma (amfotericina B) per iniezione è un antibiotico antifungino usato per trattare le infezioni fungine potenzialmente letali per la vita, tra cui una certa forma di meningite nelle persone infetta dall'HIV (virus dell'immunodeficienza umana) e di solito viene somministrata dopo altri antibiotici antifungini non sono stati provati senza un trattamento di successo.
Quali sono gli effetti collaterali dell'ambisoma?
Gli effetti collaterali comuni dell'ambisoma includono:
- febbre
- tremante
- brividi
- Flushing (arrossamento del calore o sensazione di forking)
- perdita di appetito
- vertigini
- nausea
- vomito
- dolori di stomaco
- diarrea
- mal di testa
- fiato corto
- respirazione rapida da 1 a 2 ore dopo l'inizio dell'infusione
- problemi di sonno (insonnia) o
- eruzione cutanea.
Dì al tuo medico se hai gravi effetti collaterali di Ambisome, incluso:
- gonfiore o dolore nel sito di iniezione
- dolori muscolari o articolari
- stanchezza insolita
- debolezza
- Crampi muscolari
- cambiamenti nella quantità di urina
- minzione dolorosa
- intorpidimento o formicolio di braccia o gambe
- Cambiamenti della visione
- Cambiamenti dell'udito (ad es. Ringing nelle orecchie)
- urina scura
- Forte stomaco o dolore addominale
- occhi ingialliti o pelle
- caviglie o piedi gonfiore
- battito cardiaco veloce/lento/irregolare
- sudore freddo
- labbra blu
- Facile lividi o sanguinanti
- Altri segni di infezione (ad es. Dolore persistente alla febbre)
- Cambiamenti mentali/dell'umore
- convulsioni
- sgabelli neri o
- vomito che assomiglia a fondi di caffè.
Cerca cure mediche o chiama il 911 contemporaneamente se hai i seguenti gravi effetti collaterali:
- Sintomi di occhiali gravi come la perdita di visione improvvisa del tunnel della visione sfocata Dolore alla visione o gonfiore o vedere aloni attorno alle luci;
- Sintomi cardiaci gravi come battiti cardiaci irregolari o martellanti veloci; svolazzando nel petto; fiato corto; e improvviso vertigini giuria o svenuta;
- Grave mal di testa confusione Il braccio del linguaggio bloccato o la debolezza delle gambe problemi perdite perdita di coordinamento sentendoti instabili muscoli molto rigidi ad alta febbre abbondante sudorazione o tremori.
Questo documento non contiene tutti i possibili effetti collaterali e altri possono verificarsi. Verificare con il tuo medico ulteriori informazioni sugli effetti collaterali.
Dosaggio per ambisoma
L'ambisoma viene somministrato mediante infusione endovenosa usando un dispositivo di infusione controllato per un periodo di circa 2 ore. La dose si basa sul peso del paziente.
Quali sostanze o integratori di farmaci interagiscono con l'ambisoma?
L'ambisoma può interagire con la flucidosina digossina pentamidina tacrolimus muscolare rilassante steroidi antibiotici antibiotici antibiotici antibiotici antivirali o medicinali di cancro. Di 'al medico tutti i farmaci che usi.
Ambisoma durante la gravidanza e l'allattamento
Durante la gravidanza l'ambisoma dovrebbe essere usato solo quando prescritto. Non è noto se questo farmaco passi nel latte materno. Consulta il medico prima dell'allattamento al seno.
Ulteriori informazioni
Il nostro centro farmacologico ambisoma (anfotericina B) fornisce una visione completa delle informazioni disponibili sui farmaci sui potenziali effetti collaterali durante l'assunzione di questo farmaco.
Informazioni sui farmaci FDA
- Descrizione del farmaco
- Indicazioni
- Effetti collaterali
- Interazioni farmacologiche
- Avvertimenti
- Overdose
- Farmacologia clinica
- Guida ai farmaci
Descrizione per ambisoma
L'ambisoma per iniezione è un prodotto liofilizzato non pirogenico sterile per l'infusione endovenosa. Ogni fiala contiene 50 mg di amfotericina B USP intercalati in una membrana liposomiale costituita da circa 213 mg di fosfatidilcolina di soia idrogenata; 52 mg di colesterolo NF; 84 mg di detearoilfosfatidilglicerolo; 0,64 mg alfa tocopherol USP; insieme a 900 mg di saccarosio NF; e 27 mg di disodio succinavano esaidrato come tampone. Dopo la ricostituzione con acqua sterile per l'iniezione USP, il pH risultante della sospensione è compreso tra 5-6.
L'ambisoma è un vero sistema di rilascio di farmaci liposomiali a doppio strato. I liposomi sono vescicole sferiche chiuse create mescolando proporzioni specifiche di sostanze anfofile come fosfolipidi e colesterolo in modo che si organizzino in membrane a doppio strato concentriche multiple se idratate in soluzioni acquose. I liposomi a doppio strato vengono quindi formati mediante microemulsificazione delle vescicole multilamellari usando un omogeneizzatore. L'ambisoma è costituito da questi liposomi unilamellari a doppio strato con anfotericina B intercalati all'interno della membrana. A causa della natura e della quantità di sostanze anfofili utilizzate e della porzione lipofila nella molecola di anfotericina B, il farmaco è parte integrante della struttura generale dei liposomi ambisomi. L'ambisoma contiene veri liposomi che hanno un diametro inferiore a 100 nm. Di seguito è presentata una rappresentazione schematica del liposoma.
|
Nota: l'incapsulamento liposomiale o l'incorporazione in un complesso lipidico possono influenzare sostanzialmente le proprietà funzionali di un farmaco rispetto a quelle del farmaco non incapsulato o del farmaco associato non lipido. Inoltre, diversi prodotti liposomiali o lipidici con un ingrediente attivo comune possono variare l'uno dall'altro nella composizione chimica e nella forma fisica del componente lipidico. Tali differenze possono influire sulle proprietà funzionali di questi prodotti farmaceutici.
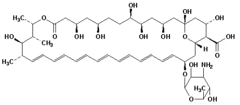
L'anfotericina B è un antibiotico antifungino macrociclico prodotto da un ceppo di ceppo di Streptomyces nodosus . L'anfotericina B è designata chimicamente come: [1r- (1r*3s*5r*6r*9r*11r*15s*16r*17r*18s*19e.21 E23e25e27e29e31 E33R*35S*36R*37S*)]-33-(3-Amino-36- dideoxy-β-d-mannopyranosil) oxy] -13569111737-octaidrossy-151618- trimetil-13-oxo-1439-dioxabiciclo [33.3.1] NONATRIA-19212325272931- heptaene-36666666 66666666666666666666660 carbossiclo (COM n. 1397-89-89-3).
L'anfotericina B ha una formula molecolare di C 47 H 73 NO 17 e un peso molecolare di 924,09.
La struttura dell'anfotericina B è mostrata di seguito:
|
Usi per ambisoma
L'ambisoma è indicato per quanto segue:
- Terapia empirica per presunta infezione fungina nei pazienti neutropenici febbrili.
- Trattamento della meningite criptococcica nei pazienti con infezione da HIV (vedi Descrizione degli studi clinici ).
- Trattamento dei pazienti con Aspergillus specie Candida specie E/or Cryptococcus specie infections (see sopra per il trattamento della meningite criptococcica ) refrattario all'anfotericina B il desossicolato o in pazienti in cui la compromissione renale o la tossicità inaccettabile precludono l'uso del desossicholato di anforicina B.
- Trattamento della leishmaniosi viscerale. Nei pazienti immunocompromessi con leishmaniosi viscerale trattati con i tassi di ricaduta ambisoma erano alti in seguito al gioco iniziale dei parassiti (vedi Descrizione degli studi clinici ).
Vedere Dosaggio e amministrazione per dosi raccomandate per indicazione.
Dosaggio per ambisoma
L'ambisoma non è intercambiabile o sostituibile su una base mg per mg con altri prodotti anfotericina B. Diversi prodotti di anfotericina B non sono equivalenti in termini di farmacokinetica e dosaggio.
L'ambisoma deve essere somministrato mediante infusione endovenosa usando un dispositivo di infusione controllato per un periodo di circa 120 minuti.
Un filtro a membrana in linea può essere utilizzato per l'infusione endovenosa di ambisoma fornita Il diametro medio dei pori del filtro non è inferiore a 1,0 micron.
è cortizone 10 buono per eruzioni cutanee
NOTE: An existing intravenous line must be flushed with 5% Dextrose Injection prior to infusion of AmBisome. If this is not feasible AmBisome must be administered through a separate line.
Il tempo di infusione può essere ridotto a circa 60 minuti nei pazienti in cui il trattamento è ben tollerato. Se il paziente subisce disagio durante l'infusione, la durata dell'infusione può essere aumentata.
La dose iniziale raccomandata di ambisoma per ciascuna indicazione per i pazienti adulti e pediatrici è la seguente:
| Indicazione | Dose (mg/kg/giorno) |
| Terapia empirica | 3 |
| Infezioni fungine sistemiche: Aspergillus Candida Cryptococcus | 3 - 5 |
| Meningite criptococcica nei pazienti con infezione da HIV (vedi Descrizione degli studi clinici ) | 6 |
Il dosaggio e il tasso di infusione devono essere individualizzati alle esigenze del paziente specifico per garantire la massima efficacia minimizzando le tossicità sistemiche o gli eventi avversi.
Di seguito sono presentate dosi raccomandate per la leishmaniosi viscerale:
| Leishmaniosi viscerale | Dose (mg/kg/giorno) |
| Pazienti immunocompetenti | 3 (giorni 1 - 5) e 3 nei giorni 14 21 |
| Pazienti immunocompromessi | 4 (giorni 1 - 5) e 4 nei giorni 10 17 24 31 38 |
Per pazienti immunocompetenti che non ottengono l'autorizzazione parassita con la dose raccomandata può essere utile un corso ripetuto di terapia.
Per i pazienti immunocompromessi che non chiariscono i parassiti o che si verifichino recidivando la consulenza di esperti in merito a ulteriori trattamenti. Per ulteriori informazioni, consultare Descrizione degli studi clinici .
Istruzioni per la filtrazione e la diluizione per la ricostituzione
Leggi attentamente l'intera sezione prima di iniziare la ricostituzione
L'ambisoma deve essere ricostituito usando acqua sterile per l'iniezione USP (senza un agente batteriostatico). Viale di ambisoma contenenti 50 mg di anfotericina B sono preparate come segue:
Ricostituzione
- Aggiungere asetticamente 12 ml di acqua sterile per l'iniezione USP a ciascuna fiala ambisoma per produrre una preparazione contenente 4 mg di amfotericina b/mL. ATTENZIONE: non ricostituire con soluzione salina o aggiungere soluzione salina alla concentrazione ricostituita o mescolare con altri farmaci. L'uso di qualsiasi soluzione diversa da quella raccomandata o la presenza di un agente batteriostatico nella soluzione può causare precipitazione dell'ambisoma.
- Immediatamente dopo l'aggiunta di acqua scuotono vigorosamente la fiala per 30 secondi per disperdere completamente l'ambisoma. L'ambisoma forma una sospensione traslucida gialla. Ispezionare visivamente la fiala per il particolato e continuare a scuotere fino a quando non si dispersano.
Filtrazione e diluizione
- Calcola la quantità di ambisoma ricostituito (4 mg/mL) per essere ulteriormente diluita.
- Prelevare questo importo di ambisoma ricostituito in una siringa sterile.
- Collegare il filtro da 5 micron fornito alla siringa. Iniettare il contenuto della siringa attraverso il filtro nella quantità appropriata di iniezione di destrosio al 5% (utilizzare solo un filtro per fiala di ambisoma).
- L'ambisoma deve essere diluito con iniezione di destrosio al 5% a una concentrazione finale da 1 a 2 mg/mL prima della somministrazione. Concentrazioni più basse (da 0,2 a 0,5 mg/mL) possono essere appropriate per i neonati e i bambini piccoli per fornire un volume sufficiente per l'infusione. Scartare fiale parzialmente usate.
Archiviazione di ambisoma
Le fiale non aperte di materiale liofilizzato devono essere conservate a temperature fino a 25 ° C (77 ° F).
Archiviazione del concentrato di prodotto ricostituito
Il concentrato di prodotto ricostituito può essere conservato fino a 24 ore a 2 ° -8 ° C (36 ° -46 ° F) dopo la ricostituzione con acqua sterile per l'iniezione USP. Non congelare.
Archiviazione del prodotto diluito
L'iniezione di ambisoma dovrebbe iniziare entro 6 ore dalla diluizione con iniezione di destrosio al 5%.
Come per tutti i prodotti farmaceutici parenterale, l'ambisoma ricostituito dovrebbe essere ispezionato visivamente per il particolato e lo scolorimento prima della somministrazione ogni volta che la soluzione e il consumo del contenitore. Non utilizzare materiale se ci sono prove di precipitazioni o materia straniera. La tecnica asettica deve essere rigorosamente osservata in tutta la maneggevolezza poiché non è presente alcun agente conservativo o batteriostatico in ambisoma o nei materiali specificati per la ricostituzione e la diluizione.
Come fornito
L'ambisoma per l'iniezione è disponibile come singolo cartone ( Ndc 0469-3051-30).
Ogni cartone contiene un filtro a 5 micron sterili usa e getta preconfezionato.
Commercializzato da: Astellas Pharma US Inc. Northbrook IL 60062. Prodotto da: Gilead Sciences Inc. Foster City CA 94404. Revisionato: nov 2024
Effetti collaterali for Ambisome
I seguenti eventi avversi si basano sull'esperienza di 592 pazienti adulti (295 trattati con ambisoma e 297 trattati con deossicolato di anfotericina B) e 95 pazienti pediatrici (48 trattati con ambisoma e 47 trattati con deossicolato di anfotericina B) nello studio 94-00-002 A randomizzato a doppio blind-blind. Ambisoma e amfotericina B sono stati infusi per due ore.
L'incidenza di eventi avversi comuni (incidenza del 10% o superiore) che si verificano con l'ambisoma rispetto al deossicolato dell'anfotericina B indipendentemente dalla relazione con lo studio del farmaco è mostrata nella tabella seguente:
Studio di terapia empirica 94-0-002 Eventi avversi comuni
| Evento avverso per sistema corporeo | AmBisome N = 343 % | Amfotericina b N = 344 % |
| Corpo nel suo insieme | ||
| Dolore addominale | 19.8 | 21.8 |
| Astenia | 13.1 | 10.8 |
| Mal di schiena | 12 | 7.3 |
| Reazione trasfusionale del prodotto nel sangue | 18.4 | 18.6 |
| Brividi | 47.5 | 75.9 |
| Infezione | 11.1 | 9.3 |
| Dolore | 14 | 12.8 |
| Sepsi | 14 | 11.3 |
| Sistema cardiovascolare | ||
| Dolore al petto | 12 | 11.6 |
| Ipertensione | 7.9 | 16.3 |
| Ipotensione | 14.3 | 21.5 |
| Tachicardia | 13.4 | 20.9 |
| Sistema digestivo | ||
| Diarrea | 30.3 | 27.3 |
| Emorragia gastrointestinale | 9.9 | 11.3 |
| Nausea | 39.7 | 38.7 |
| Vomito | 31.8 | 43.9 |
| Disturbi metabolici e nutrizionali | ||
| La fosfatasi alcalina è aumentata | 22.2 | 19.2 |
| Alt (SGPT) è aumentato | 14.6 | 14 |
| AST (SGOT) è aumentato | 12.8 | 12.8 |
| Bilirubinemia | 18.1 | 19.2 |
| Il panino è aumentato | 21 | 31.1 |
| La creatinina è aumentata | 22.4 | 42.2 |
| Edema | 14.3 | 14.8 |
| Iperglicemia | 23 | 27.9 |
| Ipernatriemia | 4.1 | 11 |
| Ipervolemia | 12.2 | 15.4 |
| Ipocalcemia | 18.4 | 20.9 |
| Iponokalemia | 42.9 | 50.6 |
| Ipomagnesemia | 20.4 | 25.6 |
| Edema periferico | 14.6 | 17.2 |
| Sistema nervoso | ||
| Ansia | 13.7 | 11 |
| Confusione | 11.4 | 13.4 |
| Mal di testa | 19.8 | 20.9 |
| Insonnia | 17.2 | 14.2 |
| Sistema respiratorio | ||
| La tosse aumentata | 17.8 | 21.8 |
| Dispnea | 23 | 29.1 |
| Epistassi | 14.9 | 20.1 |
| Ipossia | 7.6 | 14.8 |
| Disturbo polmonare | 17.8 | 17.4 |
| Versamento pleurico | 12.5 | 9.6 |
| Rinite | 11.1 | 11 |
| Pelle e appendici | ||
| Prurito | 10.8 | 10.2 |
| Eruzione cutanea | 24.8 | 24.4 |
| Sudorazione | 7 | 10.8 |
| Sistema urogenitale | ||
| Ematuria | 14 | 14 |
AmBisome was well tolerated. AmBisome had a lower incidence of brividi hypertension hypotension tachycardia hypoxia hypokalemia E various events related to decreased kidney function as compared to amphotericin B deoxycholate.
Nei pazienti pediatrici (16 anni o meno) in questo ambisoma di studio in doppio cieco rispetto all'anfotericina B il deossicolato aveva un'incidenza inferiore di ipokalemia (37% contro 55%) brividi (29% contro 68%) vomito (27% contro 55%) e ipertensione (10% rispetto al 21%). Tendenze simili sebbene con un'incidenza leggermente inferiore sia stata osservata nello studio randomizzato in aperto 104-14 che coinvolge 205 pazienti pediatrici neutropenici febbrili (141 trattati con ambisoma e 64 trattati con deossicolato di anfotericina B). I pazienti pediatrici sembrano avere più tolleranza rispetto agli individui più anziani per gli effetti nefrotossici del deossicolato dell'anfotericina B.
I seguenti eventi avversi si basano sull'esperienza di 244 pazienti (202 pazienti per adulti e 42 pediatrici) di cui 85 pazienti sono stati trattati con ambisoma 3 mg/kg 81 pazienti sono stati trattati con ambisoma 5 mg/kg e 78 pazienti sono stati trattati con i pazienti di febbraio a blustrici di febbraio. Il complesso lipidico Ambisoma e Ampfotericina B è stato infuso per due ore. L'incidenza di eventi avversi che si verificano in oltre il 10% dei soggetti in uno o più armi indipendentemente dalla relazione con lo studio del farmaco è riassunta nella seguente tabella:
Studio di terapia empirica 97-0-034 Eventi avversi comuni
| Evento avverso per sistema corporeo | AmBisome 3 mg/kg/giorno N = 85 % | AmBisome 5 mg/kg/giorno N = 81 % | Amfotericina b Lipid Complex 5 mg/kg/giorno N = 78 % |
| Corpo nel suo insieme | |||
| Dolore addominale | 12.9 | 9.9 | 11.5 |
| Astenia | 8.2 | 6.2 | 11.5 |
| Brividi/rigors | 40 | 48.1 | 89.7 |
| Sepsi | 12.9 | 7.4 | 11.5 |
| Reazione trasfusionale | 10.6 | 8.6 | 5.1 |
| Sistema cardiovascolare | |||
| Dolore al petto | 8.2 | 11.1 | 6.4 |
| Ipertensione | 10.6 | 19.8 | 23.1 |
| Ipotensione | 10.6 | 7.4 | 19.2 |
| Tachicardia | 9.4 | 18.5 | 23.1 |
| Sistema digestivo | |||
| Diarrea | 15.3 | 17.3 | 14.1 |
| Nausea | 25.9 | 29.6 | 37.2 |
| Vomito | 22.4 | 25.9 | 30.8 |
| Disturbi metabolici e nutrizionali | |||
| La fosfatasi alcalina è aumentata | 7.1 | 8.6 | 12.8 |
| Bilirubinemia | 16.5 | 11.1 | 11.5 |
| Il panino è aumentato | 20 | 18.5 | 28.2 |
| La creatinina è aumentata | 20 | 18.5 | 48.7 |
| Edema | 12.9 | 12.3 | 12.8 |
| Iperglicemia | 8.2 | 8.6 | 14.1 |
| Ipervolemia | 8.2 | 11.1 | 14.1 |
| Ipocalcemia | 10.6 | 4.9 | 5.1 |
| Iponokalemia | 37.6 | 43.2 | 39.7 |
| Ipomagnesemia | 15.3 | 25.9 | 15.4 |
| Test di funzionalità epatica anormale | 10.6 | 7.4 | 11.5 |
| Sistema nervoso | |||
| Ansia | 10.6 | 7.4 | 9 |
| Confusione | 12.9 | 8.6 | 3.8 |
| Mal di testa | 9.4 | 17.3 | 10.3 |
| Sistema respiratorio | |||
| Dispnea | 17.6 | 22.2 | 23.1 |
| Epistassi | 10.6 | 8.6 | 14.1 |
| Ipossia | 7.1 | 6.2 | 20.5 |
| Disturbo polmonare | 14.1 | 13.6 | 15.4 |
| Pelle e appendici | |||
| Eruzione cutanea | 23.5 | 22.2 | 14.1 |
I seguenti eventi avversi si basano sull'esperienza di 267 pazienti (266 pazienti adulti e 1 paziente pediatrico) di cui 86 pazienti sono stati trattati con ambisoma 3 mg/kg 94 pazienti sono stati trattati con ambisoma 6 mg/kg e 87 pazienti con deossicolato di deossicolato di anfoterico B-deossicolato di deossicolato di anfoterico. meningite criptococcica nei pazienti sieropositivi. L'incidenza di eventi avversi che si verificano in oltre il 10% dei soggetti in uno o più armi indipendentemente dalla relazione con lo studio del farmaco è riassunta nella seguente tabella:
Studio di terapia della meningite criptococcica 94-0-013 Eventi avversi comuni
| Evento avverso per sistema corporeo | AmBisome 3 mg/kg/giorno N = 86 % | AmBisome 6 mg/kg/day N = 94 % | Amfotericina b 0.7 mg/kg/day N = 87 % |
| Corpo nel suo insieme | |||
| Dolore addominale | 7 | 7.4 | 10.3 |
| Infezione | 12.8 | 11.7 | 6.9 |
| Complicazione procedurale | 8.1 | 9.6 | 10.3 |
| Sistema cardiovascolare | |||
| Flebite | 9.3 | 10.6 | 25.3 |
| Sistema digestivo | |||
| Anoressia | 14 | 9.6 | 11.5 |
| Stipsi | 15.1 | 14.9 | 20.7 |
| Diarrea | 10.5 | 16 | 10.3 |
| Nausea | 16.3 | 21.3 | 25.3 |
| Vomito | 10.5 | 21.3 | 20.7 |
| Sistema emico e linfatico | |||
| Anemia | 26.7 | 47.9 | 43.7 |
| Leucopenia | 15.1 | 17 | 17.2 |
| Trombocitopenia | 5.8 | 12.8 | 6.9 |
| Disturbi metabolici e nutrizionali | |||
| Bilirubinemia | 0 | 8.5 | 12.6 |
| Il panino è aumentato | 9.3 | 7.4 | 10.3 |
| La creatinina è aumentata | 18.6 | 39.4 | 43.7 |
| Iperglicemia | 9.3 | 12.8 | 17.2 |
| Ipocalcemia | 12.8 | 17 | 13.8 |
| Iponokalemia | 31.4 | 51.1 | 48.3 |
| Ipomagnesemia | 29.1 | 48.9 | 40.2 |
| Iponatriemia | 11.6 | 8.5 | 9.2 |
| Test di funzionalità epatica anormale | 12.8 | 4.3 | 9.2 |
| Sistema nervoso | |||
| Vertigini | 7 | 8.5 | 10.3 |
| Insonnia | 22.1 | 17 | 20.7 |
| Sistema respiratorio | |||
| La tosse aumentata | 8.1 | 2.1 | 10.3 |
| Pelle e appendici | |||
| Eruzione cutanea | 4.7 | 11.7 | 4.6 |
Reazioni correlate all'infusione
Nello studio 94-0-002 L'ampio studio in doppio cieco sui pazienti neutropenici febbrili pediatrici e adulti non è stata somministrata premedicazione per prevenire la reazione correlata all'infusione prima della prima dose di farmaco di studio (giorno 1). I pazienti trattati con ambisomi avevano un'incidenza inferiore di febbre correlata all'infusione (17% contro 44%) brividi/rigori (18% contro 54%) e vomito (6% contro 8%) sul giorno 1 rispetto ai pazienti trattati con anfotericina B sul desossicolato.
L'incidenza delle reazioni correlate all'infusione il giorno 1 nei pazienti pediatrici e adulti è riassunta nella tabella seguente:
Incidenza delle reazioni legate all'infusione del giorno 1 (IRR) per età del paziente
| Pazienti pediatrici (≤ 16 anni di età) | Pazienti adulti (> 16 anni di età) | |||
| AmBisome 3 mg/kg/giorno | Amfotericina b 0.6 mg/kg/day | AmBisome 3 mg/kg/giorno | Amfotericina b 0.6 mg/kg/day | |
| Numero totale di pazienti che hanno ricevuto almeno una dose di farmaco di studio | 48 | 47 | 295 | 297 |
| I pazienti con febbre* aumentano ≥ 1,0 ° C | 6 (13%) | 22 (47%) | 52 (18%) | 128 (43%) |
| Pazienti con brividi/rigori | 4 (8%) | 22 (47%) | 59 (20%) | 165 (56%) |
| Pazienti con nausea | 4 (8%) | 4 (9%) | 38 (13%) | 31 (10%) |
| Pazienti con vomito | 2 (4%) | 7 (15%) | 19 (6%) | 21 (7%) |
| Pazienti con altre reazioni | 10 (21%) | 13 (28%) | 47 (16%) | 69 (23%) |
| * La temperatura corporea del giorno 1 è aumentata al di sopra della temperatura presa entro 1 ora prima dell'infusione (temperatura di preinfusione) o al di sopra del valore di infusione più basso (nessuna temperatura di preinfusione registrata). |
Gli eventi cardiorespiratori ad eccezione del vasodilatazione (lavaggio) durante tutte le infusioni di farmaci in studio erano più frequenti nei pazienti trattati con anfotericina B come riassunto nella tabella seguente:
Incidenza di eventi cardiorespiratorici correlati all'infusione
| Evento | AmBisome 3 mg/kg/giorno N = 343 | Amfotericina b 0.6 mg/kg/day N = 344 |
| Ipotensione | 12 (NULL,5%) | 28 (NULL,1%) |
| Tachicardia | 8 (NULL,3%) | 43 (NULL,5%) |
| Ipertensione | 8 (NULL,3%) | 39 (NULL,3%) |
| Vasodilatazione | 18 (NULL,2%) | 2 (NULL,6%) |
| Dispnea | 16 (NULL,7%) | 25 (NULL,3%) |
| Iperventilazione | 4 (NULL,2%) | 17 (NULL,9%) |
| Ipossia | 1 (NULL,3%) | 22 (NULL,4%) |
La percentuale di pazienti che hanno ricevuto farmaci per il trattamento o la prevenzione delle reazioni correlate all'infusione (ad esempio acetaminofene difenidramina meperidina e idrocortisone) era inferiore nei pazienti trattati con ambisoma rispetto ai pazienti trattati con anfotericina B sul desossicholato.
Nello studio di terapia empirica 97-0-034 il giorno 1 in cui non è stata somministrata alcuna premedicazione l'incidenza complessiva di eventi correlati all'infusione di chills/rigori era significativamente inferiore per i pazienti somministrati ambisoma rispetto al complesso lipidico anfoterico B. I brividi/rigide di febbre e ipossia erano significativamente più bassi per ciascun gruppo ambisoma rispetto al gruppo complesso lipidico di anfotericina B. L'ipossia dell'evento correlato all'infusione è stata riportata per l'11,5% dei pazienti trattati con il complesso lipidico dell'anfotericina B rispetto allo 0% dei pazienti somministrati 3 mg/kg al giorno ambisoma e l'1,2% dei pazienti trattati con 5 mg/kg al giorno ambisoma.
Incidenza delle reazioni relative all'infusione del giorno 1 (IRR) Studio di terapia empirica 97-0-034
| AmBisome | Amfotericina b lipid complex 5 mg/kg/giorno | |||
| 3 mg/kg/giorno | 5 mg/kg/giorno | ENTRAMBI | ||
| Numero totale di pazienti | 85 | 81 | 166 | 78 |
| Pazienti con brividi/rigori (giorno 1) | 16 (NULL,8%) | 19 (NULL,5%) | 35 (NULL,1%) | 62 (NULL,5%) |
| Pazienti con altre reazioni notevoli: | ||||
| Febbre (aumento di temperatura ≥1,0 ° C) | 20 (NULL,5%) | 16 (NULL,8%) | 36 (NULL,7%) | 45 (NULL,7%) |
| Nausea | 9 (NULL,6%) | 7 (NULL,6%) | 16 (NULL,6%) | 9 (NULL,5%) |
| Vomito | 5 (NULL,9%) | 5 (NULL,2%) | 10 (6%) | 11 (NULL,1%) |
| Ipertensione | 4 (NULL,7%) | 7 (NULL,6%) | 11 (NULL,6%) | 12 (NULL,4%) |
| Tachicardia | 2 (NULL,4%) | 8 (NULL,9%) | 10 (6%) | 14 (NULL,9%) |
| Dispnea | 4 (NULL,7%) | 8 (NULL,9%) | 12 (NULL,2%) | 8 (NULL,3%) |
| Ipossia | 0 | 1 (NULL,2%) | 1 ( <1%) | 9 (NULL,5%) |
La temperatura corporea del giorno 1 è aumentata al di sopra della temperatura assunta entro 1 ora prima dell'infusione (temperatura di preinfusione) o al di sopra del valore di infusione più basso (nessuna temperatura di preinfusione registrata). I pazienti non sono stati somministrati premedicazioni per prevenire le reazioni correlate all'infusione prima dell'infusione di farmaci di studio del giorno 1.
Nello studio 94-0-013 uno studio multicentrico in doppio cieco randomizzato che confrontava il deossicolato dell'ambisoma e dell'anfotericina B come terapia iniziale per premedicazioni di meningite criptococcica per prevenire le reazioni correlate all'infusione. I pazienti trattati con ambisomi avevano una minore incidenza di brividi/rigori di febbre e eventi avversi respiratori come riassunto nella tabella seguente:
Incidenza dello studio delle reazioni correlate all'infusione 94-0-013
| AmBisome 3 mg/kg/giorno | AmBisome 6 mg/kg/day | Amfotericina b 0.7 mg/kg/day | |
| Numero totale di pazienti che hanno ricevuto almeno una dose di farmaco di studio | 86 | 94 | 87 |
| Pazienti con aumento della febbre di> 1 ° C | 6 (7%) | 8 (9%) | 24 (28%) |
| Pazienti con brividi/rigori | 5 (6%) | 8 (9%) | 42 (48%) |
| Pazienti con nausea | 11 (13%) | 13 (14%) | 18 (20%) |
| Pazienti con vomito | 14 (16%) | 13 (14%) | 16 (18%) |
| Eventi avversi respiratori | 0 | 1 (1%) | 8 (9%) |
Ci sono stati alcuni segnalazioni di dolori alla schiena a filo con o senza tenuta toracica e dolore toracico associati alla somministrazione di ambisomi; A volte questo è stato grave. Laddove questi sintomi sono stati notati, la reazione si è sviluppata entro pochi minuti dall'inizio dell'infusione e è scomparsa rapidamente quando l'infusione è stata fermata. I sintomi non si verificano con ogni dose e di solito non si ripresentano sulle successive amministrazioni quando il tasso di infusione viene rallentato.
Tossicità e interruzione del dosaggio
Nello studio 94-0-002 è stata osservata un'incidenza significativamente più bassa di tossicità di grado 3 o 4 nel gruppo ambisoma rispetto al gruppo di amfotericina B. Inoltre, quasi tre volte più pazienti somministrati amfotericina B richiedeva una riduzione della dose a causa della tossicità o dell'interruzione del farmaco di studio a causa di una reazione correlata all'infusione rispetto a quelle ambientate somministrate.
Nello studio di terapia empirica 97-0-034 una percentuale maggiore di pazienti nel gruppo del complesso lipidico dell'anfotericina B ha interrotto il farmaco di studio a causa di un evento avverso rispetto ai gruppi ambisomi.
Eventi avversi meno comuni
I seguenti eventi avversi sono stati anche riportati dal 2% al 10% dei pazienti trattati con ambisoma che hanno ricevuto chemioterapia o trapianto di midollo osseo o che hanno avuto una malattia da HIV in sei studi clinici comparativi:
Corpo nel suo insieme
Addome ingrandito la reazione allergica alla cellulite della cellulite immunologica mediata dalle cellule edema facciale edema contro la malattia anteriore del male del male del male e complicanze procedurali.
Sistema cardiovascolare
Aritmia fibrillazione atriale bradicardia arresto cardiaco emorragia emorragia posturale ipotensione del disturbo vascolare della malattia vascolare e vasodilatazione (lavaggio).
Sistema digestivo
Anoressia constipation dry mouth/nose dyspepsia dysphagia eructation fecal incontinence flatulence hemorrhoids gum/oral hemorrhage hematemesis hepatocellular damage hepatomegaly liver function test abnormal ileus mucositis rectal disorder stomatitis ulcerative stomatitis E veno-occlusive liver disease.
Hemic
Anemia coagulation disorder ecchymosis fluid overload petechia prothrombin decreased prothrombin increased E thrombocytopenia.
Metabolico
L'acidosi amilasi ha aumentato l'ipercoremia iperkaliemia ipermagnesemia iperfosfatemia iponatriemia ipofosfatemia ipoproteinemia lattata deidrogenasi ha aumentato l'azoto non proteica (NPN) aumentata e alcalosi respiratoria.
Sistema muscoloscheletrico
Artralgia Bone Pain Dystonia Myalgia e rigore.
Sistema nervoso
Agitazione coma convulsione tosse la depressione disestesia vertigini allucinazioni nervosismo parestesia della sonnolenza pensando anomalia e tremore.
Sistema respiratorio
Asma atelectasias emoptysi Hiccup Iperventilazione Iperventilazione simile a sintomi di influente edema polmonare Faringite polmonite insufficienza respiratoria insufficienza respiratoria e sinusite.
Pelle
Alopecia secca secca herpes simplex Site di iniezione infiammazione maculopapolare eruzione maculopapolare Purpura scolorimento del disturbo della pelle Disturbo cutaneo Ulcera Urticaria ed eruzione vescicolobulosa.
Sensi speciali
Congiuntivite Occhi secchi ed emorragia degli occhi.
Sistema urogenitale
Funzione renale anormale insufficienza renale acuta insufficienza renale acuta Disuria insufficienza renale di nefropatia tossica Incontinenza urinaria ed emorragia vaginale.
Quanto phentermine è in qsymia
Esperienza post-marketing
Sono state riportate le seguenti esperienze avverse rari nella sorveglianza post-marketing oltre a quelle sopra menzionate: l'angiedema eritema orticaria broncospasmo cianosi/ipoventilazione edema polmonare agranulocitosi emorragica cistite emorragica e rabdomiolisi.
Valori di laboratorio clinico
L'effetto dell'ambisoma sulla funzione renale ed epatica e sugli elettroliti sierici è stato valutato dai valori di laboratorio misurati ripetutamente nello studio 94-0-002. La frequenza e l'entità delle anomalie del test epatico erano simili nei gruppi ambisomi e anfotericina B. La nefrotossicità è stata definita come valori di creatinina che aumentano del 100% o più rispetto ai livelli di pretrattamento nei pazienti pediatrici e i valori della creatinina che aumentano del 100% o più rispetto ai livelli di pretrattamento nei pazienti adulti hanno fornito che il picco della concentrazione di creatinina era> 1,2 mg/dl. L'ipokalemia è stata definita come livelli di potassio ≤ 2,5 mmol/L in qualsiasi momento durante il trattamento.
L'incidenza della nefrotossicità medio di picco di concentrazione sierica di creatinina media variabile dal basale nella creatinina sierica e l'incidenza di ipyemia nello studio randomizzato in doppio cieco era inferiore nel gruppo ambisoma come riassunto nella tabella seguente:
Studio 94-0-002 Prove di laboratorio di nefrotossicità
| AmBisome 3 mg/kg/giorno | Amfotericina b 0.6 mg/kg/day | |
| Numero totale di pazienti che hanno ricevuto almeno una dose di farmaco di studio | 343 | 344 |
| Nefrotossicità | 64 (NULL,7%) | 116 (NULL,7%) |
| Creatinina di picco medio | 1,24 mg/dl | 1,52 mg/dl |
| Cambiamento medio dal basale nella creatinina | 0,48 mg/dl | 0,77 mg/dl |
| Iponokalemia | 23 (NULL,7%) | 40 (NULL,6%) |
L'effetto dell'ambisoma (3 mg/kg/giorno) rispetto all'amfotericina B (NULL,6 mg/kg/giorno) sulla funzione renale nei pazienti adulti arruolati in questo studio è illustrato nella seguente figura:
Nello studio di terapia empirica 97-0-034 L'incidenza della nefrotossicità misurata dagli aumenti della creatinina sierica dal basale era significativamente inferiore per i pazienti somministrati ambisomi (gruppi di dose individuali e combinati) rispetto al complesso lipidico dell'anfotericina B.
Incidenza della nefrotossicità Studio di terapia empirica 97-0-034
| AmBisome | Amfotericina b lipid complex 5 mg/kg/giorno | |||
| 3 mg/kg/giorno | 5 mg/kg/giorno | ENTRAMBI | ||
| Numero totale di pazienti | 85 | 81 | 166 | 78 |
| Numero con nefrotossicità | ||||
| 1.5x Valore sierico di siero di base | 25 (NULL,4%) | 21 (NULL,9%) | 46 (NULL,7%) | 49 (NULL,8%) |
| 2x valore di creatinina sierica basale | 12 (NULL,1%) | 12 (NULL,8%) | 24 (NULL,5%) | 33 (NULL,3%) |
Il grafico seguente mostra le concentrazioni sieriche di creatinina sierica nello studio di uso compassionevole e mostra che c'è un calo dalle concentrazioni di pretrattamento per tutti i pazienti, in particolare quelli con concentrazioni di creatinina elevate (superiori a 1,7 mg/dl).
L'incidenza della nefrotossicità nello studio 94-0-013 Studio comparativo nella meningite criptococcica era inferiore nei gruppi ambisomi, come mostrato nella tabella seguente:
Prove di laboratorio dello studio di nefrotossicità 94-0-013
| AmBisome 3 mg/kg/giorno | AmBisome 6 mg/kg/day | Amfotericina b 0.7 mg/kg/day | |
| Numero totale di pazienti che hanno ricevuto almeno una dose di farmaco di studio | 86 | 94 | 87 |
| Numero con nefrotossicità (%) | |||
| 1,5x creatinina sierica di base | 30 (35%) | 44 (47%) | 52 (60%) |
| 2x creatinina sierica basale | 12 (14%) | 20 (21%) | 29 (33%) |
Interazioni farmacologiche for Ambisome
Non sono stati condotti studi clinici formali sulle interazioni farmacologiche con ambisoma; Tuttavia, è noto che i seguenti farmaci interagiscono con l'anfotericina B e possono interagire con l'ambisoma:
Agenti antineoplastici
L'uso concomitante di agenti antineoplastici può migliorare il potenziale di broncospasmo e ipotensione di tossicità renale. Gli agenti antineoplastici dovrebbero essere somministrati in concomitanza con cautela.
Corticosteroidi e corticotropina (ACTH)
L'uso concomitante di corticosteroidi e ACTH può potenziare l'iponokalemia che potrebbe predisporre il paziente alla disfunzione cardiaca. Se utilizzati in concomitanza di elettroliti sierici e funzionalità cardiaca devono essere attentamente monitorati.
Digitalis Glycosides
L'uso simultaneo può indurre l'iponokalemia e può potenziare la tossicità della digitale. Quando somministrati, i livelli di potassio in concomitanza devono essere attentamente monitorati.
Flucidosina
L'uso concomitante della flucidosina può aumentare la tossicità della flucidosina aumentando eventualmente la sua assorbimento cellulare e/o compromettendo la sua escrezione renale.
Azoli
(ad esempio ketoconazolo miconazolo clotrimazole fluconazole ecc.)
Studi sugli animali in vitro e in vivo sulla combinazione di amfotericina B e imidazoli suggeriscono che gli imidazoli possono indurre resistenza fungina all'anfotericina B. La terapia di combinazione dovrebbe essere somministrata con cautela, specialmente nei pazienti immunocompromessi.
Trasfusioni di leucociti
La tossicità polmonare acuta è stata riportata in pazienti che ricevono simultaneamente trasfusioni di amfotericina B e leucociti endovenose.
Altri farmaci nefrotossici
L'uso concomitante di amfotericina B e altri farmaci nefrotossici può migliorare il potenziale per la tossicità renale indotta da farmaci. Il monitoraggio intensivo della funzione renale è raccomandato nei pazienti che richiedono qualsiasi combinazione di farmaci nefrotossici.
Rilassanti muscolari scheletrici
Amfotericina b-induced hypokalemia may enhance the curariform effect of skeletal muscle relaxants (e.g. tubocurarine) due to hypokalemia. When administered concomitantly serum potassium levels should be closely monitored.
Avvertimenti per ambisoma
L'anafilassi è stata segnalata con deossicolato di anfotericina B e altri farmaci contenenti anfotericina B, tra cui l'ambisoma. Se si verifica una grave reazione anafilattica, l'infusione deve essere immediatamente sospesa e il paziente non deve ricevere ulteriori infusioni di ambisoma.
Precauzioni per ambisoma
Generale
Come con qualsiasi prodotto contenente anfotericina B il farmaco dovrebbe essere somministrato dal personale addestrato dal punto di vista medico. Durante il periodo di dosaggio iniziale, i pazienti devono essere sottoposti a una stretta osservazione clinica. L'ambisoma ha dimostrato di essere significativamente meno tossico dell'anfotericina B desossicholato; Tuttavia, possono ancora verificarsi eventi avversi.
Test di laboratorio
La gestione dei pazienti dovrebbe includere la valutazione di laboratorio della funzione epatica e ematopoietica renale e degli elettroliti sierici (in particolare magnesio e potassio).
Interazioni farmaco-laboratorie: falsa elevazione del fosfato sierico
Falsi elevazioni del fosfato sierico possono verificarsi quando i campioni di pazienti che ricevono ambisomi vengono analizzati utilizzando il test del phosm (ad es. Utilizzato negli analizzatori di Beckman Coulter tra cui Synchron LX20). Questo test è destinato alla determinazione quantitativa del fosforo inorganico nei campioni di plasma sierico o urina umano.
Tossicologia non clinica
Mutagenesi della carcinogenesi compromissione della fertilità
Non sono stati condotti studi a lungo termine sugli animali per valutare il potenziale cancerogeno dell'ambisoma. L'ambisoma non è stato testato per determinarne il potenziale mutagenico. Uno studio riproduttivo del segmento I sui ratti ha trovato un ciclo estro anormale (diestrus prolungato) e una riduzione del numero di corpora lutea nei gruppi ad alte dosi (10 e 15 mg/kg dosi equivalenti a dosi umane di 1,6 e 2,4 mg/kg in base alle considerazioni sulla superficie corporea). L'ambisoma non ha influenzato la fertilità o i giorni alla copulazione. Non ci sono stati effetti sulla funzione riproduttiva maschile.
Gravidanza
Non ci sono stati studi adeguati e ben controllati sull'ambisoma nelle donne in gravidanza. Le infezioni fungine sistemiche sono state trattate con successo in donne in gravidanza con deossicolato di anfotericina B, ma il numero di casi riportati è stato piccolo.
Studi del segmento II in ratti e conigli hanno concluso che l'ambisoma non aveva un potenziale teratogenico in queste specie. Nei ratti la dose materna non tossica di ambisoma è stata stimata in 5 mg/kg (equivalente a 0,16 a 0,8 volte la gamma di dose clinica umana raccomandata da 1 a 5 mg/kg) e in conigli 3 mg/kg (equivalente a 0,2 a 1 volte la dose clinica umana raccomandata basata sulla superficie del corpo. I conigli che ricevono le dosi più elevate (equivalenti a 0,5 a 2 volte la dose umana raccomandata) di ambisoma hanno sperimentato un tasso più elevato di aborti spontanei rispetto ai gruppi di controllo. L'ambisoma dovrebbe essere utilizzato durante la gravidanza solo se i possibili benefici da derivare superano i potenziali rischi coinvolti.
Madri infermieristiche
Molti farmaci sono escreti nel latte umano; Tuttavia non è noto se l'ambisoma sia escreto nel latte umano. A causa del potenziale di gravi reazioni avverse nei neonati allattati, dovrebbe essere presa una decisione se interrompere l'assistenza infermieristica o se interrompere il farmaco tenendo conto dell'importanza del farmaco per la madre.
Uso pediatrico
I pazienti pediatrici di età compresa tra 1 mese a 16 anni con presunta infezione fungina (terapia empirica) ha confermato infezioni fungine sistemiche o con la leishmaniosi viscerale sono state trattate con successo con ambisoma. Negli studi che includevano 302 pazienti pediatrici somministrati in ambisoma non vi era alcuna evidenza di differenze di efficacia o sicurezza dell'ambisoma rispetto agli adulti. Poiché i pazienti pediatrici hanno ricevuto ambisoma a dosi paragonabili a quelle utilizzate negli adulti su base corporeo per chilogrammo non è richiesto un regolazione del dosaggio in questa popolazione. La sicurezza ed efficacia nei pazienti pediatrici di età inferiore all'età di un mese non sono stati stabiliti (vedi Descrizione degli studi clinici - Terapia empirica in pazienti neutropenici febbrili e dosaggio e somministrazione ).
Pazienti anziani
L'esperienza con l'ambisoma negli anziani (65 anni o più) comprendeva 72 pazienti. Non è stato necessario alterare la dose di ambisoma per questa popolazione. Come per la maggior parte degli altri farmaci che i pazienti anziani che ricevono ambisomi dovrebbero essere attentamente monitorati.
Informazioni per overdose per ambisoma
La tossicità dell'ambisoma a causa del sovradosaggio non è stata definita. Dosi giornaliere ripetute fino a 10 mg/kg in pazienti pediatrici e 15 mg/kg in pazienti adulti sono state somministrate negli studi clinici senza tossicità da dose segnalata.
Gestione
Se il sovradosaggio dovrebbe verificarsi immediatamente la somministrazione. Dovrebbero essere istituite misure di supporto sintomatico. Particolare attenzione dovrebbe essere prestata al monitoraggio della funzione renale. L'emodialisi o la dialisi peritoneale non sembrano influenzare significativamente l'eliminazione dell'ambisoma.
Che tipo di farmaco è aloperidol
Controindicazioni per ambisoma
AmBisome is contraindicated in those patients who have demonstrated or have a known hypersensitivity to amphotericin B deoxycholate or any other constituents of the product unless in the opinion of the treating physician the benefit of therapy outweighs the risk.
Farmacologia clinica for Ambisome
Microbiologia
Meccanismo d'azione
Amfotericina b the active ingredient of AmBisome acts by binding to the sterol component ergosterol of the cell membrane of susceptible fungi. It forms transmembrane channels leading to alterations in cell permeability through which monovalent ions (NA+ K+ H+ E Cl-) leak out of the cell resulting in cell death. While amphotericin B has a higher affinity for the ergosterol component of the fungal cell membrane it can also bind to the cholesterol component of the mammalian cell leading to cytotoxicity. AmBisome the liposomal preparation of amphotericin B has been shown to penetrate the cell wall of both extracellular E intracellular forms of susceptible fungi.
Resistenza
I mutanti con riduzione della suscettibilità all'anfotericina B sono stati isolati da diverse specie fungine dopo il passaggio seriale in terreni di coltura contenenti il farmaco e da alcuni pazienti che hanno ricevuto terapia prolungata. Studi di combinazione di farmaci in vitro e in vivo suggeriscono che gli imidazoli possono indurre resistenza all'amfotericina B; Tuttavia, la rilevanza clinica della resistenza ai farmaci non è stata stabilita.
Attività antimicrobica
AmBisome has shown in vitro activity comparable to amphotericin B against the following organisms: Aspergillus fumigatus Aspergillus flavus Candida albicans Candida krusei Candida lusitaniae Candida parapsilosis Candida tropicalis Cryptococcus neoformans E Blastomyces dermatitidis.
Test di suscettibilità
Per informazioni specifiche relative ai criteri interpretativi di test di suscettibilità e ai metodi di test associati e agli standard di controllo della qualità riconosciuti dalla FDA per questo farmaco, consultare: https://www.fda.gov/stic.
Farmacocinetica
Il dosaggio usato per misurare l'anfotericina B nel siero dopo la somministrazione di ambisoma non distingue l'amfotericina B che è complessata con i fosfolipidi dell'ambisoma dall'amfotericina B che non è implesa. Il profilo farmacocinetico dell'anfotericina B dopo la somministrazione di ambisoma si basa su concentrazioni sieriche totali di amfotericina B. Il profilo farmacocinetico dell'anfotericina B è stato determinato nel carcinoma neutropenico febbrile e nei pazienti con trapianto di midollo osseo che hanno ricevuto infusioni di 1-2 ore da 1-2 ore.
La farmacocinetica dell'anfotericina B dopo la somministrazione di ambisoma è non lineare in modo tale che vi sia un aumento proporzionale di concentrazioni sieriche con un aumento della dose da 1 a 5 mg/kg/giorno. I parametri farmacocinetici dell'amfotericina totale B (media ± DS) dopo la prima dose e allo stato stazionario sono mostrati nella tabella seguente.
Parametri farmacocinetici di ambisoma
| Dose | 1 mg/kg/giorno | 2,5 mg/kg/giorno | 5 mg/kg/giorno | |||
| Giorno | 1 n = 8 | Scorso n = 7 | 1 n = 7 | Scorso n = 7 | 1 n = 12 | Scorso n = 9 |
| Parametri | ||||||
| CMAX (MCG/ML) | 7.3 3.8 | 12.2 4.9 | 17.2 7.1 | 31.4 17.8 | 57,6 21 | 83 35.2 |
| AUC0-24 (MCGHR/ML) | 27 14 | 60 20 | 65 33 | 197 183 | 269 96 | 555 311 |
| T½ (HR) | 10.7 6.4 | 7 2.1 | 8.1 2.3 | 6.3 2 | 6.4 2.1 | 6.8 2.1 |
| VSS (l/kg) | 0,44 0,27 | 0,14 0,05 | 0,40 0,37 | 0,16 0,09 | 0,16 0,10 | 0,10 0,07 |
| CL (ML/HR/KG) | 39 22 | 17 6 | 51 44 | 22 15 | 21 14 | 11 6 |
Distribuzione
Sulla base delle concentrazioni totali dell'anfotericina B misurate entro un intervallo di dosaggio (24 ore) dopo la somministrazione di ambisoma, l'emivita media era di 7-10 ore. Tuttavia, sulla base della concentrazione totale di anfotericina B misurata fino a 49 giorni dopo il dosaggio di ambisoma, l'emivita media era di 100-153 ore. L'emivita di eliminazione del terminale lungo è probabilmente una lenta ridistribuzione dai tessuti. Le concentrazioni di stato stazionario sono state generalmente raggiunte entro 4 giorni dal dosaggio.
Sebbene le concentrazioni di depressione medie variabili di amfotericina B siano rimaste relativamente costanti con una somministrazione ripetuta della stessa dose nell'intervallo compreso tra 1 e 5 mg/kg/giorno che indica alcun accumulo significativo di farmaci nel siero.
Metabolismo
Le vie metaboliche dell'amfotericina B dopo la somministrazione di ambisoma non sono note.
Escrezione
La clearance media allo stato stazionario era indipendente dalla dose. L'escrezione di amfotericina B dopo la somministrazione di ambisoma non è stata studiata.
Farmacocinetica In Special Populations
Compromissione renale
L'effetto della compromissione renale sulla disposizione dell'anfotericina B dopo la somministrazione di ambisoma non è stato studiato. Tuttavia, l'ambisoma è stato somministrato con successo a pazienti con compromissione renale preesistente (vedi Descrizione degli studi clinici ).
Compromissione epatica
Non è noto l'effetto della compromissione epatica sulla disposizione dell'anfotericina B dopo la somministrazione di ambisoma.
Pazienti pediatrici e anziani
La farmacocinetica dell'anfotericina B dopo la somministrazione di ambisoma nei pazienti pediatrici e anziani non è stata studiata; Tuttavia, l'ambisoma è stato utilizzato nei pazienti pediatrici e anziani (vedi Descrizione degli studi clinici ).
Genere ed etnia
L'effetto del genere o dell'etnia sulla farmacocinetica dell'anfotericina B dopo la somministrazione di ambisoma non è noto.
Descrizione degli studi clinici
Sono stati condotti undici studi clinici a sostegno dell'efficacia e della sicurezza dell'ambisoma. Questo programma clinico includeva studi sia controllati che non controllati.
Questi studi che hanno coinvolto 2171 pazienti hanno incluso pazienti con micosi empiriche sistemiche confermate e la leishmaniosi viscerale.
Diciattecentoquarantasei (1946) episodi erano valutabili per l'efficacia di cui 1280 (302 adulti pediatrici e 978) furono trattati con ambisoma.
Tre studi controllati di terapia empirica hanno confrontato l'efficacia e la sicurezza dell'ambisoma con l'amfotericina B. Uno di questi studi è stato condotto in una popolazione pediatrica uno negli adulti e un terzo in pazienti di età pari o superiore a 2 anni. Inoltre, è stato condotto uno studio controllato di terapia empirica che confronta la sicurezza dell'ambisoma con ABELCET® (complesso lipidico di anfotericina B) in pazienti di età o più.
Uno studio controllato ha confrontato l'efficacia e la sicurezza dell'ambisoma con l'amfotericina B nei pazienti con HIV con meningite criptococcica.
Uno studio di uso compassionevole ha arruolato i pazienti che avevano fallito la terapia con deossicolato di anfotericina B o che non erano in grado di ricevere deossicolato di anfotericina B a causa dell'insufficienza renale.
Terapia empirica in pazienti neutropenici febbrili
Studio 94-0-002 Uno studio multi-center comparativo in doppio cieco randomizzato ha valutato l'efficacia dell'ambisoma (NULL,5-6 mg/kg/giorno) rispetto al deossicolato anfotetrico B (deossicolato anfoterico B (NULL,3-1,2 mg/kg/kg di ampio giorno di ambientale) nel trattamento empirico di 687. Il successo terapeutico ha richiesto (a) la risoluzione della febbre durante il periodo neutropenico (b) Assenza di un'infezione fungina emergente (C) Sopravvivenza del paziente per almeno 7 giorni dopo la terapia (D) Nessuna interruzione della terapia a causa della tossicità o della mancanza di efficacia e della (E) risoluzione di qualsiasi infezione fungina di studio.
I tassi di successo terapeutici complessivi per l'ambisoma e il deossicolato dell'anfotericina B erano equivalenti. I risultati sono riassunti nella tabella seguente. Nota: le categorie presentate di seguito non si escludono a vicenda.
Terapia empirica in pazienti neutropenici febbrili: studio randomizzato in doppio cieco in 687 pazienti
| AmBisome 3 mg/kg/giorno | Amfotericina b 0.6 mg/kg/day | |
| Numero di pazienti che hanno ricevuto almeno una dose di farmaco di studio | 343 | 344 |
| Successo complessivo | 171 (NULL,9%) | 169 (NULL,1%) |
| Risoluzione della febbre durante il periodo neutropenico | 199 (58%) | 200 (NULL,1%) |
| Nessuna infezione fungina emergente | 300 (NULL,5%) | 301 (NULL,7%) |
| Sopravvivenza attraverso 7 giorni dopo lo studio farmaco | 318 (NULL,7%) | 308 (NULL,5%) |
| Studiare il farmaco non interrotto prematuramente a causa della tossicità o della mancanza di efficacia* | 294 (NULL,7%) | 280 (NULL,4%) |
| * 8 e 10 pazienti sono stati trattati rispettivamente come fallimenti a causa della sola sospensione prematura. |
Questa equivalenza terapeutica non aveva alcuna relazione apparente con l'uso della profilassi antifungina di prestigio o dei fattori concomitanti di stimolazione delle colonie granulocitiche.
L'incidenza di infezioni fungine emergenti emergenti confermate e clinicamente diagnosticate micologicamente sono presentate nella tabella seguente. Ambisoma e amfotericina B sono risultati equivalenti rispetto al numero totale di infezioni fungine emergenti.
Terapia empirica in pazienti neutropenici febbrili: infezioni fungine emergenti
| AmBisome 3 mg/kg/giorno | Amfotericina b 0.6 mg/kg/day | |
| Numero di pazienti che hanno ricevuto almeno una dose di farmaco di studio | 343 | 344 |
| Infezione fungina confermata micologicamente | 11 (NULL,2%) | 27 (NULL,8%) |
| Infezione fungina clinicamente diagnosticata | 32 (NULL,3%) | 16 (NULL,7%) |
| Infezioni fungine emergenti totali | 43 (NULL,5%) | 43 (NULL,5%) |
Infezione fungina confermata micologicamentes at study entry were cured in 8 of 11 patients in the AmBisome group E 7 of 10 in the amphotericin B group.
Studio 97-0-034 Uno studio multi-centro comparativo in doppio cieco randomizzato ha valutato la sicurezza dell'ambisoma (3 e 5 mg/kg/giorno) rispetto al complesso lipidico anfotericina B (5 mg/kg/giorno) nel trattamento empirico di 202 pazienti neutropenici pediatrici e 42 pediatrici. Centosessantasei (166) pazienti hanno ricevuto ambisoma (85 pazienti hanno ricevuto 3 mg/kg/giorno e 81 hanno ricevuto 5 mg/kg/giorno) e 78 pazienti hanno ricevuto complesso lipidico anfotericina B. I pazienti in studio erano febbrili nonostante avessero ricevuto almeno 72 ore di terapia antibatterica ad ampio spettro. L'endpoint primario di questo studio era la sicurezza. Lo studio non è stato progettato per trarre conclusioni statisticamente significative relative all'efficacia comparativa e in effetti Abelcet non è etichettato per questa indicazione.
Due studi multicentrici comparativi di etichetta open emergenti di supporto hanno esaminato l'efficacia di due dosaggi di ambisoma (1 e 3 mg/kg/giorno) rispetto al deossicolato di anfotericina B (1 mg/kg/giorno) nel trattamento di pazienti neutropenici con infezioni funginose presunte. Questi pazienti erano sottoposti a chemioterapia come parte di un trapianto di midollo osseo o avevano malattie ematologiche. Studio 104-10 pazienti adulti arruolati (n = 134). Studio 104-14 pazienti pediatrici arruolati (n = 214). Entrambi gli studi supportano l'equivalenza di efficacia di ambisoma e amfotericina B come terapia empirica nei pazienti neutropenici febbrili.
Trattamento della meningite criptococcica nei pazienti con infezione da HIV
Studio 94-0-013 Uno studio multi-center comparativo in doppio blind-blind randomizzato ha valutato l'efficacia dell'ambisoma a dosi (3 e 6 mg/kg/giorno) rispetto al deossicolato di anfotericina B (pazienti con i pazienti con la meningite Cryptococcica BEDATRICA. deossicolato). Dei 267 pazienti trattati 86 hanno ricevuto ambisoma 3 mg/kg/giorno 94 hanno ricevuto 6 mg/kg/giorno e 87 hanno ricevuto deossicolato anfotericina B; La meningite criptococcica è stata documentata da una coltura CSF positiva al basale rispettivamente in 73 85 e 76 pazienti. I pazienti hanno ricevuto un farmaco di studio una volta al giorno per un periodo di induzione da 11 a 21 giorni. Dopo l'induzione tutti i pazienti sono stati passati al fluconazolo orale a 400 mg/die per gli adulti e 200 mg/die per i pazienti di età inferiore a 13 anni per completare 10 settimane di terapia diretta dal protocollo. Per i pazienti micologicamente valutabili definiti come tutti i pazienti randomizzati che hanno ricevuto almeno una dose di farmaco in studio avevano una cultura del CSF di base positiva e avevano almeno una coltura di follow-up che il successo è stato valutato alla settimana 2 (cioè 14 ± 4 giorni) ed è stato definito come conversione della coltura del CSF. I tassi di successo a 2 settimane per l'ambisoma e l'anfotericina B il deossicolato sono riassunti nella tabella seguente:
Tassi di successo a 2 settimane (conversione della cultura CSF) Studio 94-0-013
| AmBisome 3 mg/kg/giorno | AmBisome 6 mg/kg/day | Amfotericina b 0.7 mg/kg/day | |
| Successo alla settimana 2 | 35/60 (NULL,3%) 97.5% CI* = -9.4% 31% | 36/75 (48%) 97.5% CI* = -18.8% 19.8% | 29/61 (NULL,5%) |
| * Intervallo di confidenza del 97,5% per la differenza tra tassi di successo ambisoma e anfotericina B. Un valore negativo è a favore dell'amfotericina B. Un valore positivo è a favore dell'ambisoma. |
Il successo a 10 settimane è stato definito come successo clinico alla settimana 10 più la conversione della coltura del CSF alla o prima della settimana 10. I tassi di successo a 10 settimane in pazienti con coltura di base positivi per le specie di criptococco sono riassunte nella tabella seguente e mostrano che l'efficacia dell'ambisoma 6 mg/kg/giorno si avvicina all'efficacia del reggimen di deoxycholato amicolato. Questi dati non supportano la conclusione che l'ambisoma 3 mg/kg/giorno è comparabile nell'efficacia con il deossicolato dell'anfotericina B. La tabella presenta anche tassi di sopravvivenza di 10 settimane per i pazienti trattati in questo studio.
Tassi di successo e tassi di sopravvivenza alla settimana 10 Studio 94-0-013 (vedi testo per le definizioni)
| AmBisome 3 mg/kg/giorno | AmBisome 6 mg/kg/day | Amfotericina b 0.7 mg/kg/day | |
| Successo nei pazienti con meningite criptococcica documentata | 27/73 (37%) 97.5% CI* = -33.7% 2.4% | 42/85 (49%) 97.5% CI* = -20.9% 14.5% | 40/76 (53%) |
| Tassi di sopravvivenza | 74/86 (86%) 97.5% CI* = -13.8% 8.9% | 85/94 (90%) 97.5% CI* = -8.3% 12.2% | 77/87 (89%) |
| * Intervallo di confidenza del 97,5% per la differenza tra i tassi di ambisoma e amfotericina B. Un valore negativo è a favore dell'amfotericina B. Un valore positivo è a favore dell'ambisoma. |
L'incidenza di eventi cardiovascolari e renali correlati all'infusione è stata inferiore nei pazienti che ricevevano ambisoma rispetto al deossicolato dell'anfotericina B (vedi Reazioni avverse sezione per i dettagli); Pertanto, i rischi e i benefici (vantaggi e svantaggi) delle diverse formulazioni di anfotericina B devono essere presi in considerazione quando si seleziona un regime di trattamento del paziente.
Trattamento dei pazienti con Aspergillus Specie Candida Specie E/or Cryptococcus Specie Infeziones Refractory to Amfotericina b Deoxycholate or in Patients Where Compromissione renale or Unacceptable Toxicity Precludes the Use of Amfotericina b Deoxycholate
AmBisome was evaluated in a compassionate use study in hospitalized patients with systemic fungal infections. These patients either had fungal infections refractory to amphotericin B deoxycholate were intolerant to the use of amphotericin B deoxycholate or had pre-existing renal insufficiency. Patient recruitment involved 140 infectious episodes in 133 patients with 53 episodes evaluable for mycological response E 91 episodes evaluable for clinical outcome. Clinical success E mycological eradication occurred in some patients with documented aspergillosis cEidiasis E cryptococcosis.
Trattamento della leishmanizzasi viscerale
AmBisome was studied in patients with visceral leishmaniasis who were infected in the Mediterranean basin with documented or presumed Leishmania infantum. Clinical studies have not provided conclusive data regarding efficacy against L. donovani or L. chagasi.
AmBisome achieved high rates of acute parasite clearance in immunocompetent patients when total doses of 12-30 mg/kg were administered. Most of these immunocompetent patients remained relapse-free during follow-up periods of 6 months or longer. While acute parasite clearance was achieved in most of the immunocompromised patients who received total doses of 30-40 mg/kg the majority of these patients were observed to relapse in the 6 months following the completion of therapy. Of the 21 immunocompromised patients studied 17 were coinfected with HIV; approximately half of the HIV-infected patients had AIDS. The following table presents a comparison of efficacy rates among immunocompetent E immunocompromised patients infected in the Mediterranean basin who had no prior treatment or remote prior treatment for visceral leishmaniasis. Efficacy is expressed as both acute parasite clearance at the end of therapy (EOT) E as overall success (clearance with no relapse) during the follow-up period (F/U) of greater than 6 months for immunocompetent E immunocompromised patients:
AmBisome Efficacy in Leishmaniosi viscerale
| Pazienti immunocompetenti | |||
| No. di pazienti | Spazio del parassita (%) presso EOT | Successo complessivo (%) at F/U | |
| 87 | 86/87 (98.9) | 83/86 (96.5) | |
| Pazienti immunocompromessi | |||
| Regime | Dose totale | Spazio del parassita (%) presso EOT | Successo complessivo (%) at F/U |
| 100 mg/giorno x 21 giorni | 29-38,9 mg/kg | 10/10 (100) | 2/10 (20) |
| 4 mg/kg/giorno giorni 1-5 e 10 17 24 31 38 | 40 mg/kg | 8/9 (88.9) | 0/7 (0) |
| TOTALE | 18/19 (94.7) | 2/17 (11.8) |
Se seguito per 6 mesi o più dopo il trattamento, il tasso di successo complessivo tra i pazienti immunocompetenti era del 96,5% e il tasso di successo complessivo tra i pazienti immunocompromessi era dell'11,8% a causa della ricaduta nella maggior parte dei pazienti. Mentre i casi clinici hanno suggerito che potrebbe esserci un ruolo per la terapia a lungo termine per prevenire le recidive nei pazienti con coinfezione da HIV (Lopez-Dupla et al. J Antimicrob Chemother 1993; 32: 657-659) non ci sono dati fino ad oggi che documentano l'efficacia o la sicurezza dei corsi di ripetizione di ambisogio o
Informazioni sul paziente per ambisoma
Nessuna informazione fornita. Si prega di fare riferimento a Avvertimenti E PRECAUZIONI sezioni.