Le Informazioni Presenti Sul Sito Non Costituiscono Consulenza Medica. Non Vendiamo Nulla. L'Accuratezza Della Traduzione Non È Garantita. Disclaimer
Medicamenti
Vayarin
Riepilogo della droga
Cos'è Vayarin?
Vayaria (Pilipinen) è un cibo medico per lipidico squilibri associati ADHD .
Quali sono gli effetti collaterali di Vayarin?
Gli effetti collaterali comuni di vayaarin includono:
- Dolore addominale
- pelle secca e pruriginosa
- tics
- nausea
- iperattività
- hentro
- mal di testa e
- insonnia
Dosaggio per vayarin
La solita dose di vayarin è 2 capsule al giorno o come diretto da un medico.
Quali sostanze o integratori di farmaci interagiscono con il vayarin?
Vayarin può interperarsi anticolinergico e farmaci colinergici. Dì al medico tutti i farmaci e gli integratori che usi.
Vayarin durante la gravidanza o l'allattamento
Il vayarin non è raccomandato per l'uso durante la gravidanza o l'allattamento al seno in quanto non è noto come influirebbe su una gravidanza o un bambino infermieristico.
Ulteriori informazioni
Il nostro Centro farmacologico a effetti collaterali Vayarin (Lipirinen) fornisce una visione completa delle informazioni disponibili sui farmaci sui potenziali effetti collaterali quando si assume questo farmaco.
Informazioni sui farmaci FDA
- Descrizione del farmaco
- Indicazioni
- Effetti collaterali
- Avvertimenti
- Overdose
- Farmacologia clinica
- Guida ai farmaci
Descrizione per vayarin
Vayarin® è un cibo medico prescritto per orale per la gestione dietetica clinica di complessi squilibri lipidici associati ADHD . Vayarin® è una composizione appositamente formulata e trasformata progettata per affrontare i distinti requisiti nutrizionali lipidici determinati dal punto di vista medico dei bambini con ADHD, la cui gestione dietetica non può essere raggiunta mediante modifica della dieta normale o uso di integratori alimentari.
Ogni capsula Vayarin® fornisce:
Lipirinen® ...... 75 mg
Lipirinen® è una composizione proprietaria contenente fosfatidilserina (PS) coniugata a Acidi grassi omega-3 arricchito con acido eicosapentaenoico (EPA).
Squilibri di lipidi nell'ADHD
C'è un corpus crescente di prove scientifiche che dimostrano bassi livelli di certi lipidicos sono associati al disturbo da deficit di attenzione iperattività (ADHD). Mentre l'ADHD è un disturbo complesso, la cui eziologia è multi-fattoriale ADHD ha dimostrato di essere associato a disturbi metabolici come il metabolismo lipidico e del glucosio [1 2]. Le anomalie nel metabolismo lipidico che possono verificarsi nell'ADHD sono associate ad un aumento dell'ossidativa stress tassi più elevati di degradazione lipidica e ridotta sintesi di fosfolipidi contenenti omega-3 acidi grassi . I livelli ridotti di fosfatidilserina contenenti acidi grassi omega-3 (PS-Omega-3) hanno implicazioni nella struttura e nella funzione della membrana in cui si ritiene che svolgano un ruolo importante nei percorsi di trasduzione del segnale di rilascio di vescicole secretoria e regolazione della crescita cellulare [3 4].
Rispetto ai bambini sani della stessa età, i bambini con ADHD hanno livelli ematici più bassi di Omega-3 LC-PUFA [5-13]. Questi lipidi trovati anche nel cervello svolgono un ruolo essenziale nello sviluppo e nella funzione del cervello. A sua volta è stato riportato che la carenza di acidi grassi omega-3 è correlato alla riduzione della fosfatidilserina cerebrale che è principalmente sotto forma di PS-Omega-3 [14 15].
PS-Omega-3 svolge un ruolo importante nel funzionamento delle membrane neuronali come la comunicazione di tocel di tocell cellulare e la regolamentazione della crescita cellulare del rilascio di vescicole di trasduzione del segnale [4]. Pertanto, i livelli ridotti di PS-Omega-3 e Omega-3 possono rappresentare uno squilibrio lipidico complesso che gioca un ruolo nell'eziologia/patogenesi dell'ADHD e di altri disturbi neuronali. Vayarin® è una composizione lipidica proprietaria di fosfatidilserina-omega-3 (PS-omega-3) arricchita con EPA. Questa forma è stata appositamente progettata per fornire questi lipidi essenziali al cervello per supportare e mantenere una corretta funzione cerebrale. Inoltre, l'arricchimento dell'EPA nel prodotto Vayarin® consente una migliore regolazione dei lipidi e bersaglio gli squilibri specifici che sembrano essere associati all'ADHD [16].
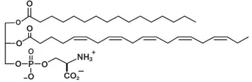
Figura 1: struttura schematica della fosfatidilserina coniugata all'EPA.
Struttura chimica
|
Ingredienti
La biossido di silicio silicio di fosfatidilserina (PS) idrossipropil metilcellulosa contiene meno dell'1% di tocoferoli misti (d-alfa-tocoferolo d-betatocoferolo d-gamma-tocopherol d-detocopherol) olio solare ascormati di rosimario di rosimario di rosimario di rosimario di rosimario di rosatolo elaborato Monogliceridi) (conservante) caramello (colore) biossido di titanio (colore). Le capsule Vayarin® contengono crostacei (Krill).
Può contenere soia e pesce.
Le capsule Vayarin® non contengono lievito di lattosio o glutine di zucchero.
Riferimenti
3. Mozzi R. S. Buratta e G. Goracci Metabolismo e funzioni della fosfatidilserina nel cervello dei mammiferi. Neurochem Res 2003. 28 (2): p. 195-214.
4. Vance J.E. e R. Steenbergen Metabolismo e funzioni della fosfatidilserina. Prog Lipid Res 2005. 44 (4): p. 207-34.
14. Hamilton L. et al. La carenza di acido grasso N-3 riduce selettivamente l'accumulo di fosfatidilserina nei tessuti neuronali. Lipidi 2000. 35 (8): p. 863-9.
15. Murthy M. et al. Effetti differenziali della carenza di acido grasso N-3 sulla composizione delle specie molecolari fosfolipidiche nell'ippocampo di ratto. J Lipid Res 2002. 43 (4): p. 611-7.
Usi per vayarin
Supervisione del medico
Vayarin® è un prodotto alimentare medico erogato dalla prescrizione e deve essere utilizzato sotto la supervisione del medico.
Dosaggio per vayarin
La dose abituale è di 2 capsule al giorno o come diretto da un medico.
Come fornito
Disponibile come capsule.
| Prodotto commerciale (60 capsule) | 75959-233-60* | Utilizzare sotto la supervisione medica/ medica. |
| Prodotto campione (4 capsule) | 75959-233-04* | Campioni professionali: non in vendita. |
| * Vaya Pharma ™ non rappresenta questi codici di prodotto come reali codici nazionali di droga (NDC). I codici in formato NDC sono codici di prodotto adeguati in base alla pratica del settore standard per soddisfare i requisiti di formattazione dei sistemi informatici di farmacia e assicurazione sanitaria. |
Magazzinaggio
Distribuire e tenere in bottiglia originale.
Conservare fino a 77 ° F (25 ° C). Proteggere dalla luce e dall'umidità.
Avvertimento
Tieni questo prodotto fuori dalla portata dei bambini.
Vayarin® è composto da Lipiinen ™ una composizione proprietaria contenente Phospliatidyiseme-Omega-3 EPA arricchita.
Distribuito da: Vaya Pharma ™ Inc. Revisionato: gennaio 2014
Effetti collaterali per vayarin
Eventi avversi
Gli eventi avversi di Vayarin® sono stati valutati in uno studio randomizzato a doppio cieco controllato con placebo di 15 settimane seguita da un'estensione a etichetta aperta di altre 15 settimane [38].
Eventi avversi riportati nel corso della fase in doppio cieco (Tabella 2): 12 partecipanti del gruppo Vayarin® e 5 partecipanti del gruppo placebo sono stati classificati dai medici dello studio come sofferenti di eventi avversi correlati o probabilmente correlati (rispettivamente 13 e 5 eventi avversi). Non ci sono state differenze significative tra i gruppi di studio nell'incidenza o nel numero di eventi avversi registrati (p = 0,848 e p = 0,982 rispettivamente).
Eventi avversi riportati nel corso dell'estensione in aperto (Tabella 2): 5 partecipanti hanno riportato 7 eventi avversi classificati dai medici di studio come correlati o probabilmente correlati al trattamento dello studio.
Tabella 2
Possibili effetti collaterali del vaccino contro la polmonite
| Progettazione dello studio | Studio in doppio cieco (4 capsule/giorno) | Estensione in aperto (2 capsule/giorno) | |
| Evento avverso del gruppo di trattamento* | Vayarin® (n = 137) | Placebo (n = 63) | Vayarin® (n = 150) |
| Disagio gastrointestinale | 6 | 4 | 4 |
| Dermatite atopica | 1 | 0 | 0 |
| Valore SGOT | 1 | 0 | 0 |
| Mal di testa | 0 | 1 | 1 |
| Insonnia | 0 | 0 | 1 |
| Tics | 1 | 0 | 0 |
| Trigliceridi elevati | 0 | 1 | 1 |
| Nausea | 1 | 0 | 0 |
| Iperattività | 1 | 0 | 0 |
| Tantrnm | 2 | 0 | 0 |
Tabella 2. Adverse events reported during the course of the double-blind and the open label phase.
*Giudicato dai medici di studio come correlati o probabilmente correlati al trattamento dello studio
Abuso di droghe
Vayarin® does not have any known drug abuse or withdrawal effects.
Interazioni farmacologiche per vayarin
Nessuna informazione fornita.
Riferimenti
38. Manor I. et al. Sicurezza dei fosfatidilserine contenenti acidi grassi omega3 nei bambini ADHD: uno studio in doppio cieco controllato con placebo seguito da un'estensione in aperto. Eur Psychiatry 2013. 28 (6): p. 386-91.
Avvertimentos for Vayarin
Nessuna informazione fornita.
Precauzioni per Vayarin
- Non sono state stabilite sicurezza ed efficacia di Vayarin® nei pazienti pediatrici o in gravidanza o in lattante. Pertanto Vayarin® non è raccomandato per queste popolazioni.
- Vayarin® contains shellfish (krill) and should be used with caution in patients with known hypersensitivity to shellfish.
Informazioni per overdose per vayarin
Nessuna informazione fornita.
Controindicazioni per vayarin
Vayarin® is contraindicated in patients with known hypersensitivity (e.g. anaphylactic reaction) to Vayarin® or any of its components.
Farmacologia clinica for Vayarin
Meccanismo d'azione
Gli acidi grassi polinsaturi di Omega-3 a catena lunga (LC-PUFA) hanno un ruolo importante nello sviluppo e nel funzionamento del sistema nervoso cerebrale e centrale 1-4 . La riduzione dei livelli di acidi grassi omega-3 principalmente DHA e EPA sono associati al verificarsi di disturbi neurodegenerativi e altri disturbi da sviluppo neurocale 5 La malattia di Alzheimer 6 e ADHD 3 La somministrazione di fosfatidilserina {PS} arricchita con acidi grassi omega-3 è stato scoperto che aumenta significativamente il livello di DHA nel cervello di ratto 7 .
Mentre l'esatto meccanismo attraverso il quale Vayarin® esercita i suoi effetti non è pienamente compreso PS presente nel sistema nervoso dei mammiferi, che è charactenzed dai suoi livelli sostanziali di acidi grassi omega-3 è stato implicato in numerose funzioni correlate alla membrana come il mantenimento dell'integrità delle membrane cellulari per l'eccitabilità cellulare e la comunicazione 8 . È stato scoperto che PS regola le proteine chiave nelle membrane neuronali tra cui sodio/calcio ATPase 9 e proteina chinasi C 10 che intraprendono funzioni cruciali in diverse vie di trasduzione del segnale. Allo stesso modo PS interagisce con la proteina chinasi RAF-1 per promuovere una cascata di reazioni che si ritiene siano coinvolte nella sopravvivenza cellulare 11 . Inoltre, è stato scoperto che PS influenza l'attività dei neurotrasmettitori come il rilascio di acetilcolina dopamina e noradrenalina 1213 e per aumentare i livelli di glucosio cerebrale.
Assorbimento e metabolismo
L'ingestione dietetica incolta di fosfolipidi enzimi digestivi pancreatici scinde gli acidi grassi specifici che portano alla formazione di lisofosfclipidi che vengono assorbiti dalle cellule della mucosa dell'intest e potrebbero essere riacilati nei fosfolipidi 14 . Gli acidi grassi rilasciati possono essere usati per la sintesi dei trigliceridi. A causa dell'elevata attività delle decarbossilasi nelle cellule della mucosa, la maggior parte del PS viene convertita in altri fosfolipidi principalmente in fosfatidiletanolamina 15 . La fosfatidiletanolamina PS reacilata e altri fosfolipidi entrano nel LYMPN e la circolazione e vengono ridistribuiti.
Interazioni farmacologiche
PS può potenzialmente interagire con alcuni farmaci anticolinergici e colinergici. Si consiglia di consultare un medico sulle interazioni Vayarin® che possono applicarsi a condizioni mediche specifiche.
Tossicità
Vayarin® similar to phosphatidylserine extracted from bovine cortex (BC-PS) contains saturated and monounsaturated acidi grassi as well as ornega-3 LC-PUFA. The safety profile of BC-PS was determined in several non-clinical studies. Repeat-dose safety studies in rats and dogs show that oral administration of BC-PS at doses up to 1000 mg/kg/day for up to 6 months was without any significant adverse effects of toxicological concern 16 . I risultati degli studi di teratogenicità nei ratti a dosi fino a 16 . In un test di micronucleo, BC-PS è stato somministrato a topi a dosaggi totali di 30150 e 300 mg/kg in due dosi uguali separate da 24 ore. I risultati dello studio diu non rivelano alcuna evidenza di potenziale mutagenico o tossicità del midollo osseo 16 .
Esperienza clinica 1718
Studio in doppio cieco
Metodo
È stato condotto uno studio clinico a doppio cieco di 15 settimane a blinding controllato con placebo con 200 bambini ADHD randomizzati a ricevere Vayarin® o Placebo (4 capsule/giorno). L'effetto di Vayarin® è stato valutato mediante scale e questionari di valutazione tra cui le scale di valutazione dei genitori (CRS-P) e degli insegnanti (CRS-T) di Conners e il questionario sulla salute dei bambini (CHQ).
Risultati
162 partecipanti hanno completato lo studio di cui 147 sono stati inclusi nell'analisi di efficacia. Una significativa riduzione dei punteggi ADHD è stata rilevata nella valutazione CRS-P. Inoltre, è stato osservato un significativo effetto benefico nel questionario sulla qualità della vita {CHQ). L'analisi dei sottogruppi di bambini con un comportamento iperattivo/impulsivo, nonché l'umore e la disregolazione del benevior hanno rivelato una riduzione più pronunciata dei punteggi ADHD.
Estensione in aperto
Metodo
È stata condotta un'estensione in aperto di 15 settimane in 150 bambini con ADHD che ha completato lo studio in doppio cieco precedentemente riportato. Vayarin® (2 capsule) è stato somministrato quotidianamente. L'effetto di Vayarin® è stato valutato da CRS-PT e dal CHQ.
Risultati
Dei 140 partecipanti che hanno completato lo studio 127 sono stati inclusi nell'analisi di efficacia. I bambini che passavano a Vayarin® (2 capsule/giorno) dal trattamento con placebo durante la fase in doppio cieco hanno mostrato una riduzione significativa dei punteggi ADHD rispetto ai punteggi di base nei CRS-T e CRS-P.
Valutazione della sicurezza
Il trattamento era generalmente ben tollerato. Non ci sono state differenze clinicamente significative tra i gruppi di trattamento sui parametri del sangue testati nello studio in doppio cieco e all'interno del gruppo di trattamento nell'estensione in aperto. Inoltre, durante gli esami fisici sono stati osservati risultati clinicamente significativi durante le fasi di studio di entrambe le fasi di studio (ulteriori informazioni sulla sicurezza sono dettagliate nella sezione Eventi avversi).
Riferimenti
1. Richardson A.J. 0Meqa-3 Acidi grassi in ADHD e relativi disturbi mentali di NEU Rod I op. Irrt Rev Psychiatry 2006. 13 (2): p. 15w2.
2. Sangiovanni J.P. et al. Meta-analisi di acidi grassi essenziali dietetici e acidi grassi polinsaturi a catena lunga che si riferiscono all'acuità di risoluzione visiva nei neonati pretermine sani. Pediatrics 2000.105 (6): p. 1292-8.
3. Schuchardt J.P. et al. Significato degli acidi grassi polinsaturi a catena lunga (PUFA) per lo sviluppo e il comportamento dei bambini. Eur J Pediatr 2010.169 (2): p. 149-64.
4. Kawashima A. et al. Effetti dell'acido eicosapentaenoico sulla plasticità sinaptica. Profilo acido grasso e segnalazione di fosfoiinositide 3-chinasi nell'ippocampo di ratto e cellule PC12 differenziate. J Nutr Biochen 2010.21 (4): p. 268-77.
5. Martinez M. grave carenza di acido docosaesaenoico nei disturbi beroxisomiali: un difetto della desaturazione delta 4? Eurology 1990. 40 (8): p. 1292-8.
6. Soderberg M. et al. Composizione degli acidi grassi dei fosfolipidi cerebrali in Aqinq e nella malattia di Alzheimer. Lipidi 1991.26 (6): p. 421-5.
7. Vaisman N. Pelled D. N-3 fosfatidil serina attenuata Scopolamina -Amnesia indotta nei ratti di mezza età. Prog Neuropsychopharmacol Biol Psychiatry 2009.33 (6): p. 952-9 ..
8. Mozzi R. Buratta S. Goracci G. Metabolismo e funzioni della fosfatidilserina nel cervello dei mammiferi. Neurochem Res 2003. 28 (2): p. 195-214.
9. Wheeler R.P.W. R. Attività ATPasi della pompa del sodio esigenze di fosfatidilserina. Nature 1970. 225 (5231): p. 449-450.
10. BitTova L. Stahelin R.V. Cho W. Ruoli dei residui ionici del dominio C1 nell'attivazione della proteina chinasi C-alfa e l'origine della specificità della fosfatidilserina. J Biol Ghem. 2001. 276 (6): p. 4218-26.
11. Vance J.E. fosfatidilserina e fosfatidiletanolamina nelle cellule di mammifero: due aminofosfolipidi correlati metabolicamente. ASBMB 2008: p. 1-48.
12. Pepeu G. Pepeu I.M.AMADUCCI L. Una revisione degli effetti farmacologici e clinici della fosfatidilserina. La fosfatidilserina è un farmaco per l'invecchiamento del cervello? Pharmacol Res 1996.33 (2): p. 73-80.
13. Mazzari S. e A. Battistella Fosfatidilserina Effetti su dopamina Rilascio da sinaptosomi di striatum. In: Approccio multidisciplinare allo sviluppo del cervello. Elsevier North Holland Amsterdam 1980: p. 569-570.
14. Tso P. Assorbimento lipidico intestinale. Fisiologia del tratto gastrointestinale ed. L.R. Johnson. Vol. 56.1994 New York: Raven Press.
15. Wise E.M. Elwyn D. Tassi di reazioni coinvolte nella sintesi del fosfatide nel fegato e nell'intestino tenue dei ratti intatti. Journal of Biological Chemistry 1965. 240: p. 1537-1548.
16. Heywood R. Cozens D. Richold M. Tossicologia di una preparazione di fosfatidilserina dal cervello bovino. C. Trials Journal 1987.24 (1): p. 25-32.
17. Manor I. et al. L'effetto della fosfatidilserina contenente i grassi omega-3-acidi sui sintomi del disturbo iperattività con deficit di attentione nei bambini: uno studio in doppio cieco controllato con placebo seguito da un'estensione di etichetta aperta. Eur Psychiatry 2012.27 (5): p.335-42.
18. Manor I. et al. Sicurezza dei fosfatidilserine contenenti acidi grassi omega-3 nei bambini ADHD: uno studio in doppio cieco controllato con placebo seguito da un'estensione in aperto. Eur Psychiatry 2013. Eur Psychiatry 2013. 28 (6): p. 386-91.
Informazioni sul paziente per vayarin
Nessuna informazione fornita. Please refer to the Avvertimenti e PRECAUZIONI sezione.