Le Informazioni Presenti Sul Sito Non Costituiscono Consulenza Medica. Non Vendiamo Nulla. L'Accuratezza Della Traduzione Non È Garantita. Disclaimer
Tetracicline
Declomicina
Riepilogo della droga
Cos'è la declomicina?
Le compresse di declomicina (demeclociclina cloridrato) è un antibiotico Utilizzato per trattare le infezioni batteriche comprese quelle che causano l'acne.
Quali sono gli effetti collaterali della declomicina?
Declomicina
- orticaria
- Difficoltà a respirare
- gonfiore della lingua o della gola
- febbre
- brividi
- Dolori del corpo
- sintomi dell'influenza
- Facile lividi
- sanguinamento insolito (bocca del naso vagina o retto)
- I punti viola o rossi di punta sotto la pelle
- pelle pallida
- urina di colore scuro
- ingiallimento della pelle o degli occhi ( ittero )
- confusione
- Cambiamenti dell'umore
- debolezza
- Sete o minzione aumentata
- rigonfiamento
- aumento di peso
- urinare meno del solito o per niente
- dolore al petto
- sibilante
- tosse secca
- respirazione rapida
- fiato corto
- formicolio grave
- intorpidimento
- Dolore
- debolezza muscolare
- mal di testa
- squillando nelle orecchie
- vertigini
- nausea
- Problemi di visione
- Dolore behind eyes
- mal di gola e mal di testa con un grave peeling e un'eruzione cutanea rossa
- grave dolore allo stomaco superiore che si diffonde alla schiena
- nausea
- vomito e
- frequenza cardiaca veloce
Ottieni subito assistenza medica se hai uno qualsiasi dei sintomi sopra elencati.
Gli effetti collaterali comuni della declomicina includono:
- piaghe o gonfiore nella tua area rettale o genitale
- disagio rettale
- nausea
- vomito
- diarrea
- perdita di appetito
- patch o piaghe bianche in bocca o sulle labbra
- lingua gonfia
- difficoltà a deglutire
- mal di testa
- vertigini
- Accendino E
- vaginal itching O discharge .
Dì al tuo medico se hai effetti collaterali improbabili ma gravi della declomicina, incluso:
- Reazione cutanea simile a una scottatura (sensibilità al sole)
- oscuramento della pelle e di altre aree del corpo (ad esempio le labbra all'interno della bocca)
- Doloreful swallowing
- Aumento insolito della quantità di urina (ad eccezione dell'aumento atteso della minzione se si tratta di Siadh)
- Insolita riduzione della quantità di urina o nessuna urina
- Sete insolita
- debolezza
- stanchezza insolita o
- Scolorimento dei denti marroni o grigi.
Cerca cure mediche o chiama il 911 contemporaneamente se hai i seguenti gravi effetti collaterali:
- Sintomi di occhiali gravi come la perdita di visione improvvisa del tunnel della visione sfocata Dolore alla visione o gonfiore o vedere aloni attorno alle luci;
- Sintomi cardiaci gravi come battiti cardiaci irregolari o martellanti veloci; svolazzando nel petto; fiato corto; e improvviso vertigini giuria o svenuta;
- Grave mal di testa confusione Il braccio del linguaggio bloccato o la debolezza delle gambe problemi perdite perdita di coordinamento sentendoti instabili muscoli molto rigidi ad alta febbre abbondante sudorazione o tremori.
Questo documento non contiene tutti i possibili effetti collaterali e altri possono verificarsi. Verificare con il tuo medico ulteriori informazioni sugli effetti collaterali.
Dosaggio per la declomicina
La dose raccomandata di declomicina è di 600 mg divisa in due o quattro dosi al giorno.
Quali sostanze o integratori di farmaci interagiscono con la declomicina?
Colestide Trexall Accutane Vitamina A. Rinnovo antiacidi warfarin pillole anticoncezionali E penicillin antibioticos may interact with Declomycin. Tell your doctO all medications you take. Avoid exposure to sunlight O tanning beds. Do not give Declomycin to children under 8 years of age.
Declomicina durante la gravidanza o l'allattamento
Non prendere la declomicina se sei in gravidanza o l'allattamento al seno.
Ulteriori informazioni
Le nostre compresse di declomicina (demeclocicina cloridrato) Centro di farmaco a effetti collaterali forniscono una visione completa delle informazioni disponibili sui farmaci sui potenziali effetti collaterali durante l'assunzione di questo farmaco.
Informazioni sui farmaci FDA
- Descrizione del farmaco
- Indicazioni
- Dosaggio
- Effetti collaterali
- Avvertimenti
- Precauzioni
- Overdose
- Farmacologia clinica
- Guida ai farmaci
Per ridurre lo sviluppo di batteri resistenti ai farmaci e mantenere l'efficacia delle compresse di demeclocicina cloridrato e altri farmaci antibatterici che le compresse di demecliclina cloridrato devono essere utilizzate solo per trattare o prevenire infezioni che sono dimostrate fortemente sospettate dai batteri.
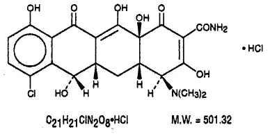
Descrizione per la declomicina
Demeclociclina cloridrato è un antibiotico isolato da un ceppo mutante di Streptomyces aureofaciens . Chimicamente è 7-cloro-4- (dimethylammino) 144A55A61112A-Octahydro-36101212a-pentaidrossi-111111-dioxo-2Naphthacenecarbossamide monoidrocloruro. La sua formula strutturale è:
|
Compresse di demeclociclina cloridrato USP per somministrazione orale contengono 150 mg o 300 mg di demeclociclina cloridrato e i seguenti ingredienti inattivi: amido di mais acido alginico D
Usi per la declomicina
La demeclociclina cloridrato USP è indicata nel trattamento delle infezioni causate da ceppi sensibili dei microrganismi designati nelle condizioni seguenti:
Rocky Mountain ha individuato la febbre della febbre e la febbre Q Fever di Typhus RickettsialPox e la febbre di zecca causate da Rickettsiae;
Infezioni del tratto respiratorio causate da Mycoplasma pneumoniae
Linfogranuloma venereum a causa di Chlamydia Trachomas
Psittacosi (ornithosi) dovuta a Chlamydia Psyttaci
Effetti collaterali della patch di estrogeni a bassa dose
Trachoma dovuto a Chlamydia Trachomas Sebbene l'agente infettivo non sia sempre eliminato come giudicato dall'immunofluorescenza
Congiuntivite di inclusione causata da Chlamydia Trachomas
Uretrite nongonococcica negli adulti causati da Ureaplasma urealyticum O Chlamydia Trachomas
Febbre recidiva a causa di Borrelia ricorrente
Chancoid causato da Haemophilus ducreyi
Peste dovuta a Yersinia pestis
Tularemia due to Francisella tularensis
Colera causato da Vibrio cholerae
Fetus Campylobacter infezioni causate da Fetus Campylobacter
Brucellosi dovuta a Brucella specie (in combinazione con streptomicina);
Bartonellosi a causa di Bartonella Bacilliformis
Granuloma inguinale causato da Calymmatobacterium granulomatis
La demeclocicina cloridrato USP è indicata per il trattamento delle infezioni dai seguenti microrganismi Gram-negativi quando i test batteriologici indicano un'adeguata suscettibilità al farmaco:
Hanno mostrato freddo
Enterobacter Aerogenes
Shigella specie
Acinetobacter specie
Infezioni del tratto respiratorio causate da Haemophilus influenzae
Tratto respiratorio e infezioni del tratto urinario causate da Klebsiella specie
La demeclocicina cloridrato USP è indicata per il trattamento delle infezioni causate dai seguenti microrganismi Gram-positivi quando i test batteriologici indicano un'adeguata suscettibilità al farmaco:
Infezioni respiratorie superiori causate da Streptococcus pneumoniae
Infezioni della struttura della pelle e della pelle causate da Staphylococcus aureus . ; stafilococco infezione).
Quando la penicillina è controindicata le tetracicline, compresa la demecliclina cloridrato, sono farmaci alternativi nel trattamento delle seguenti infezioni:
Uretrite semplice negli uomini a causa di Neisseria gonorrhoeae E fO the treatment of other uncomplicated gonococcal infections
Infezioni nelle donne causate da Neisseria gonorrhoeae
Sifilide causato da Treponema pallido sottospecie pallidum
Sudditi causati da Treponema pallido sottospecie appartenenza
Listeriosi dovuta a Listeria monocytogenes
Antrace a causa di Bacillus anthracis
L'infezione di Vincent causata da Fusobacterium fusiforme
Actinomicosi causata da Actinomyces israelii
Malattie clostridiali causate da Clostridium specie
Nell'amebiasi intestinale acuta la demeclociclina cloridrato può essere un utile aggiunta agli amebicidi.
Nella grave acne demeclociclina cloridrato può essere un'utile terapia aggiuntiva.
Per ridurre lo sviluppo di batteri resistenti ai farmaci e mantenere l'efficacia delle compresse di demeclocicina cloridrato e altri farmaci antibatterici che le compresse di demecliclina cloridrato devono essere usate solo per trattare o prevenire infezioni che sono dimostrate fortemente sospettate per essere causate da batteri suscettibili. Quando sono disponibili informazioni sulla coltura e sulla suscettibilità, dovrebbero essere considerate nella selezione o nella modifica della terapia antibatterica. In assenza di tali dati di epidemiologia locale e modelli di suscettibilità possono contribuire alla selezione empirica della terapia.
Dosaggio per la declomicina
La terapia deve essere continuata per almeno 24-48 ore dopo che i sintomi e la febbre sono diminuiti.
Terapia concomitante: l'assorbimento di tetracicline è compromesso da antiacidi contenenti calcio di alluminio o magnesio e da preparati contenenti ferro. Alimenti e alcuni prodotti lattiero -caseari interferiscono anche con l'assorbimento. Le forme orali di tetraciclina devono essere somministrate almeno 1 ora prima o 2 ore dopo i pasti.
In pazienti con compromissione renale: (vedi Avvertimenti .) Le tetracicline dovrebbero essere usate con cautela nei pazienti con funzionalità renale alterata. Il dosaggio totale deve essere ridotto mediante riduzione delle singole dosi raccomandate e/o estendendo gli intervalli di tempo tra le dosi.
Nei pazienti con compromissione del fegato: le tetracicline devono essere utilizzate con cautela nei pazienti con funzionalità epatica compromessa. Il dosaggio totale deve essere ridotto mediante riduzione delle singole dosi raccomandate e/o estendendo gli intervalli di tempo tra le dosi. Si raccomanda la somministrazione di quantità adeguate di liquido con le formulazioni orali delle tetracicline per lavare i farmaci e ridurre il rischio di irritazione e ulcerazione esofagea. (Vedere Reazioni avverse .
Adulti
Dose quotidiana normale - Quattro dosi divise di 150 mg ciascuna o due dosi divise di 300 mg ciascuna.
Per pazienti pediatrici di età superiore agli otto anni : Dose giornaliera normale da 7 a 13 mg per kg di peso corporeo al giorno a seconda della gravità della malattia divisa in due o quattro dosi non per superare il dosaggio degli adulti di 600 mg al giorno.
I pazienti con gonorrea sensibili alla penicillina possono essere trattati con demeclociclina somministrata come dose orale iniziale di 600 mg seguita da 300 mg ogni 12 ore per quattro giorni a un totale di 3 grammi.
Come fornito
Compresse di cloridrato di demecliclina USP 150 mg sono compresse rivestite con pellicola rossa convessa rotonda incise con D11 su un lato e sono fornite come segue:
Bottiglie di 100 Ndc 64720-334-10
Compresse di cloridrato di demecliclina USP 300 mg sono compresse rivestite con pellicola rossa convessa rotonda incise con D12 su un lato e sono fornite come segue:
Bottiglie di 48 Ndc 64720-335-48
Conservare da 20 ° a 25 ° C (da 68 ° a 77 ° F) [vedi A temperatura ambiente controllata da USP ].
Dispensare in un contenitore stretto come definito nell'USP.
Mantieni questo e tutte le droghe fuori dalla portata dei bambini.
Produttore: Puerto Rico 00674 USA. 08846. Agosto 2012.
Effetti collaterali per la declomicina
Sono state riportate le seguenti reazioni in pazienti che hanno ricevuto tetracicline:
Gastrointestinale: anoressia nausea vomito diarrea glossite disfagia enterocolite pancreatite e lesioni infiammatorie (con crescita eccessiva moniliale) nella regione anogenitale aumentano rari.
Raramente sono stati segnalati epatite e insufficienza epatica. Queste reazioni sono state causate sia dalla somministrazione orale che parenterale delle tetracicline.
Sono stati riportati istanze di ulcerazioni esofagee in pazienti che hanno ricevuto tetracicline orali. È stato riferito che la maggior parte dei pazienti ha assunto il farmaco immediatamente prima di sdraiarsi. (Vedere Dosaggio e amministrazione .
Pelle: Eritema multiforme maculopapolare ed eritematoso. La dermatite esfoliativa è stata segnalata ma è rara. Le eruzioni di droga fissa e la sindrome di Stevens-Johnson sono state segnalate raramente. Le lesioni che si verificano sul pene del glande hanno causato banite. È stata anche segnalata la pigmentazione della pelle e delle mucose. La fotosensibilità è discussa sopra. (Vedere Avvertimenti .
Tossicità renale: Insufficienza renale acuta . È stato segnalato un aumento del BUN ed è apparentemente correlato alla dose. Diabete nefrogenico insipido. (Vedere Avvertimenti .
Reazioni di ipersensibilità: Orticaria angioneurotico edema poliartralgia anafilassi anafilattoide purpura pericardite esacerbazione dei lupus sistemici eritematosus di lupus sindrome infiltrati polmonari con infiltrati polmonari con eosinofilia .
Ematologico: Anemia emolitica trombocitopenia Neutropenia E eosinofilia have been repOted.
CNS: Cervello di pseudotumor (ipertensione intracranica benigna) negli adulti e fontane sporgenti nei neonati (vedi PRECAUZIONI – Generale ). Sono stati segnalati vertigini acufene al mal di testa e disturbi visivi. La sindrome miastenica è stata segnalata raramente.
Altro: Se somministrati in periodi prolungati, è stato segnalato che le tetracicline producono scolorimento microscopico marrone-nero delle ghiandole tiroidee. Non sono noti anomalie degli studi sulla funzione tiroidea. Sono stati riportati casi molto rari di funzione tiroidea anormale.
Lo scolorimento dei denti si è verificato in pazienti pediatrici di età inferiore agli 8 anni (vedi Avvertimenti ) ed è stato segnalato raramente negli adulti.
Interazioni farmacologiche per la declomicina
Because tetracyclines have shown to depress plasma prothrombin activity patients who are on anticoagulant therapy may require downward adjustment of their anticoagulant dosage. Since bacteriostatic drugs may interfere with the bactericidal action of penicillins it is advisable to avoid giving tetracycline-class drugs in conjunction with penicillin.
L'uso concomitante di tetracicline con contraccettivi orali può rendere i contraccettivi orali meno efficaci.
È stato riportato che l'uso simultaneo di tetracicline e metossiflurano provoca una tossicità renale fatale.
L'assorbimento delle tetracicline è compromesso da antiacidi contenenti calcio di alluminio o magnesio e da preparati contenenti ferro.
Avvertimenti fO Declomycin
La demeclociclina cloridrato come altri antibiotici di classe tetraciclina può causare danni fetali quando somministrati a una donna incinta. Se durante la gravidanza viene utilizzata una tetraciclina o se il paziente rimane incinta durante l'assunzione di questi farmaci, il paziente dovrebbe essere informato del potenziale pericolo per il feto.
L'uso di farmaci della classe di tetraciclina durante lo sviluppo dei denti (ultima metà dell'infanzia della gravidanza e dell'infanzia fino all'età di 8 anni) può causare scolorimento permanente dei denti (marrone-grigio-giallo). Questa reazione avversa è più comune durante l'uso a lungo termine dei farmaci, ma è stata osservata a seguito di ripetuti corsi a breve termine. È stata anche segnalata l'ipoplasia dello smalto. Pertanto, i farmaci della tetraciclina non dovrebbero essere usati durante lo sviluppo del dente a meno che altri farmaci non siano probabili efficaci o contraiindicati.
Tutte le tetracicline formano un complesso di calcio stabile in qualsiasi tessuto che forma l'osso. Una diminuzione del tasso di crescita del fibula è stata osservata nei neonati umani prematuri somministrati tetraciclina orale in dosi di 25 mg/ kg/ ogni sei ore. Questa reazione ha dimostrato di essere reversibile quando il farmaco è stato sospeso.
I risultati degli studi sugli animali indicano che le tetracicline attraversano la placenta si trovano nei tessuti fetali e possono avere effetti tossici sul feto in via di sviluppo (spesso correlati al ritardo dello sviluppo scheletrico). La prova di embriotossicità è stata notata anche negli animali trattati all'inizio della gravidanza. L'azione anti-anabolica delle tetracicline può causare un aumento del BUN. Sebbene questo non sia un problema in quelli con normale funzione renale nei pazienti con una funzione significativamente compromessa livelli sierici più elevati di tetraciclina possono portare a iperfosfatemia e acidosi azotemia. Se esiste una compromissione renale anche dosi orali o parenterali abituali possono portare ad un eccessivo accumulo sistemico del farmaco e una possibile tossicità epatica. In tali condizioni inferiori al solito dosi totali sono indicate e se la terapia è prolungata a livello sierico, è consigliabile che le determinazioni del farmaco del farmaco.
La fotosensibilità manifestata da una reazione esagerata delle scottature solari è stata osservata in alcuni individui che assumono tetracicline. Le reazioni fototossiche possono verificarsi in individui che assumono demeclocicina e sono caratterizzati da gravi ustioni o superfici esposte derivanti dall'esposizione diretta dei pazienti alla luce solare durante la terapia con dosi moderate o grandi di demeclociclina. I pazienti possono essere esposti alla luce solare diretta o alla luce ultravioletta dovrebbero essere consigliati che questa reazione può verificarsi e che il trattamento deve essere sospeso alla prima evidenza di eritema della pelle.
La somministrazione di demeclociclina cloridrato ha comportato la comparsa della sindrome del diabete insipidus (Polyuria polidipsia e debolezza) in alcuni pazienti in terapia a lungo termine. La sindrome ha dimostrato di essere dose nefrogenica-dipendente e reversibile sulla sospensione della terapia. I pazienti che stanno vivendo sintomi del sistema nervoso centrale associati alla terapia di demeclociclina devono essere avvertiti sulla guida dei veicoli o l'uso di macchinari pericolosi durante la terapia con demecliclina.
Clostridium difficile Associato alla diarrea (CDAD) è stato riportato con l'uso di quasi tutti gli agenti antibatterici tra cui la demecliciclina cloridrato e può variare in gravità dalla diarrea lieve alla colite fatale. Il trattamento con agenti antibatterici altera la normale flora del colon che porta alla crescita eccessiva di C. difficile .
C. difficile produce tossine A e B che contribuiscono allo sviluppo di CDAD. Ipertoxina che produce ceppi di C. difficile causano un aumento della morbilità e della mortalità poiché queste infezioni possono essere refrattarie alla terapia antimicrobica e possono richiedere colectomia. Il CDAD deve essere considerato in tutti i pazienti che presentano diarrea a seguito di uso antibiotico. È stata necessaria un'attenta storia medica da quando è stato segnalato che il CDAD si verifica in due mesi dopo la somministrazione di agenti antibatterici.
Se il CDAD è sospettato o confermato l'uso di antibiotici in corso non diretto contro C. difficile potrebbe essere necessario interrompere. Appropriato TRATTAMENTO ANTIbiotico di integrazione di proteine per la gestione dei fluidi ed elettroliti C. difficile E surgical evaluation should be instituted as clinically indicated.
Precauzioni fO Declomycin
Generale
Cervello di pseudotumor (Ipertensione intracranica benigna) negli adulti è stato associato all'uso di tetracicline. Le solite manifestazioni cliniche sono mal di testa e visione sfocata. I fontanel sporgenti sono stati associati all'uso di tetracicline nei neonati. Mentre entrambe queste condizioni e i sintomi correlati di solito si risolvono subito dopo l'interruzione della tetraciclina, esiste la possibilità di sequele permanenti.
Come con altri preparati antibiotici, l'uso di questo farmaco può comportare una crescita eccessiva di organismi non sensibili, inclusi i funghi. Se si verifica la superinfezione, l'antibiotico deve essere sospeso e dovrebbe essere istituita una terapia appropriata. L'incisione e il drenaggio o altre procedure chirurgiche devono essere eseguiti in combinazione con terapia antibiotica quando indicato. La prescrizione di compresse di demeclociclina cloridrato in assenza di un'infezione batterica comprovata o fortemente sospetta o un'indicazione profilattica che fornisce benefici al paziente e aumenta il rischio di sviluppo di batteri resistenti ai farmaci.
Test di laboratorio
Nelle malattie veneree quando è sospettata la sifilide coesistente deve essere eseguito un esame di campo oscuro prima dell'inizio del trattamento e la sierologia del sangue si ripetono mensilmente mensilmente per almeno 4 mesi. Nella terapia a lungo termine la valutazione periodica di laboratorio di sistemi di organi, compresi i renali epatici epatici epatici. Tutti i pazienti con gonorrea dovrebbero avere un test sierologico per la sifilide al momento della diagnosi. I pazienti trattati con demeclociclina cloridrato dovrebbero avere un test sierologico di follow-up per la sifilide dopo 3 mesi.
Mutagenesi della carcinogenesi compromissione della fertilità
Non sono stati condotti studi a lungo termine sugli animali per valutare il potenziale cancerogeno della demeclociclina cloridrato. Tuttavia, ci sono state prove di attività oncogenica nei ratti negli studi con gli antibiotici correlati ossitetraciclina (tumori surrenali e ipofisari) e minociclina (tumori tiroidei).
Sebbene gli studi di mutagenicità sul cloridrato di demecliclina non siano stati condotti risultati positivi in vitro I test delle cellule di mammifero (cioè il linfoma di topo e le cellule polmonari cinesi) sono stati riportati per gli antibiotici correlati (tetracicline cloridrato e ossitetraciclina). (Vedere Avvertimenti E Farmacologia animale e tossicologia animale .
La demeclociclina cloridrato non ha avuto alcun effetto sulla fertilità quando somministrato nella dieta ai ratti maschi e femmine con un'assunzione quotidiana di 45 volte la dose umana.
Gravidanza
Effetti teratogeni
Gravidanza CategOy D
(Vedere Avvertimenti . Result of animal studies indicate that tetracyclines cross the placenta are found in fetal tissues E can have toxic effects on the developing fetus (often related to retardation of skeletal development). Evidence of embryotoxicity has been noted in animals treated early in pregnancy.
Effetti nonteratogeni
(Vedere Avvertimenti .
Manodopera e consegna
L'effetto delle tetracicline sul travaglio e sulla consegna non è noto.
Madri infermieristiche
Le tetracicline sono escrete nel latte umano. A causa del potenziale di gravi reazioni avverse nei neonati infermieristici dalle tetracicline, si dovrebbe prendere una decisione se interrompere l'assistenza infermieristica o interrompere il farmaco tenendo conto dell'importanza del farmaco per la madre (vedi Avvertimenti .
Uso pediatrico
Non per l'uso in pazienti di età inferiore agli otto anni. Vedere Avvertimenti PRECAUZIONI ( Generale subsection ) E Dosaggio e amministrazione
Informazioni per overdose per la declomicina
In caso di overdosage interrompere i farmaci trattati in modo sintomatico e istituire misure di supporto. Le tetracicline non vengono rimosse in quantità significative mediante emodialisi o dialisi peritoneale.
Controindicazioni per la declomicina
Questo farmaco è controindicato nelle persone che hanno mostrato ipersensibilità a una qualsiasi delle tetracicline o in una qualsiasi delle componenti della formulazione del prodotto.
Farmacologia clinica fO Declomycin
Farmacocinetica
L'assorbimento della demeclociclina è più lento di quello della tetraciclina. Il tempo per raggiungere la concentrazione di picco è di circa 4 ore. Dopo una dose orale di 150 mg di compresse di demeclociclina, le concentrazioni medie a 1 ora e 3 ore sono rispettivamente 0,46 e 1,22 μg/ml (n = 6). L'emivita sierica varia tra 10 e 16 ore. Quando la demeclociclina cloridrato viene somministrata in concomitanza con alcuni prodotti lattiero -caseari o antiacidi contenenti calcio di alluminio o magnesio, l'entità dell'assorbimento è ridotta di oltre il 50%. La demeclociclina cloridrato penetra bene in vari fluidi e tessuti corporei. La percentuale di demeclociclina cloridrato legata alla proteina plasmatica è di circa il 40% usando un metodo di equilibrio della dialisi e il 90% usando un metodo ultra-filtrazione. Demeclociclina cloridrato come altre tetracicline è concentrata nel fegato ed escreta nel Anche dove si trova in concentrazioni molto più elevate rispetto al sangue. Il tasso di clearance renale di demecliciclina cloridrato (35 ml/min/1,73 m²) è inferiore alla metà di quella della tetraciclina. A seguito di una singola dose di 150 mg di demeclociclina cloridrato nei volontari normali, il 44% (n = 8) è stato escreto nelle urine e il 13% e il 46% rispettivamente sono stati escreti nelle feci in due pazienti entro 96 ore come farmaco attivo.
Microbiologia
Meccanismo d'azione
Le tetracicline sono principalmente batteriostatiche e si ritiene che esercitino il loro effetto antimicrobico mediante l'inibizione della sintesi proteica. Le tetracicline tra cui la demecliciclina hanno un simile spettro antimicrobico di attività contro una vasta gamma di organismi Gram-negativi e Gram-positivi.
Meccanismo (i) di resistenza
La resistenza alle tetracicline può essere mediata dall'alterazione dell'efflusso nel sito target dell'inattivazione enzimatica della tetraciclina e una ridotta permeabilità batterica alla tetraciclina o una combinazione di questi meccanismi.
Resistenza incrociata
Si verifica resistenza crociata tra antibiotici della famiglia della tetraciclina.
La demeclocina ha dimostrato di essere attiva contro la maggior parte degli isolati dei seguenti batteri in vitro E/O in clinical infections as described in the Indicazioni e utilizzo sezione.
Batteri gram-positivi
Bacillus anthracis
Listeria monocytogenes
Staphylococcus aureus
Streptococcus pneumoniae
Batteri gram-negativi
Bartonella Bacilliformis
Brucella specie
Calymmatobacterium granulomatis
Fetus Campylobacter
Francisella tularensis
Haemophilus ducreyi
Haemophilus influenzae
Neisseria gonorrhoeae
Vibrio cholerae
Yersinia pestis
Poiché gli isolati dei seguenti gruppi di batteri Gram-negativi hanno dimostrato di essere resistenti alla coltura delle tetracicline e ai test di suscettibilità sono particolarmente raccomandati:
Acinetobacter specie
Enterobacter Aerogenes
Hanno mostrato freddo
Klebsiella specie
Shigella specie
Altri microrganismi
Actinomyces israelii
Borrelia ricorrente
Chlamydia Psyttaci
Chlamydia Trachomas
Clostridium specie
Entamoeba specie
Fusobacterium fusiforme
Mycoplasma pneumoniae
Propionibacterium acnes
Rickettsiae
Treponema pallido sottospecie pallidum
Treponema pallido sottospecie appartenenza
Ureaplasma urealyticum
Metodi di test di suscettibilità
Se disponibile, il laboratorio di microbiologia clinica dovrebbe fornire i risultati di in vitro Risultati dei test di suscettibilità per i prodotti farmaceutici antimicrobici utilizzati negli ospedali residenti al medico come segnalazioni periodiche che descrivono il profilo di suscettibilità dei patogeni consumati e acquisiti dalla comunità. Questi rapporti dovrebbero aiutare il medico a selezionare un prodotto farmacologico antibatterico per il trattamento.
Tecniche di diluizione
I metodi quantitaivi vengono utilizzati per determinare le concentrazioni minime inibitorie antimicrobiche (MIC). Questi microfoni forniscono stime della suscettibilità dei batteri ai composti antimicrobici. I microfoni devono essere determinati utilizzando un metodo di test standardizzato (brodo e/o agar) 123 . I valori del MIC dovrebbero essere interpretati in base ai criteri nella Tabella 1.
Diffusione tecnica
I metodi quantitativi che richiedono la misurazione dei diametri delle zone possono anche fornire stime riproducibili della suscettibilità dei batteri ai composti antimicrobici. La dimensione della zona fornisce una stima della suscettibilità dei batteri ai composti antimicrobici. La dimensione della zona deve essere determinata utilizzando un metodo di prova standardizzato. 24 Questa procedura utilizza dischi di carta impregnati con 30 mcg di tetraciclina per testare la suscettibilità dei microrganismi alla tetraciclina. I criteri interpretativi di diffusione del disco sono forniti nella Tabella 1.
Tabella 1: criteri interpretativi del test di suscettibilità per la tetraciclina
| Patogeno | Concentrazione inibitoria minima (MCG/ML) | Diffusione del disco (diametri della zona in mm) | ||||
| S | I | R | S | I | R | |
| Enterobacteriaceae Acinetobacter spp. | ≤ 4 | 8 | > 16 | ≥ 15 | 12 -14 | <11 |
| Haemophilus influenzae | <2 | 4 | > 8 | > 29 | 26-28 | <25 |
| Neisseria gonorrhoeae | <0.25 | 0,5-1 | > 2 | > 38 | 31-37 | <30 |
| Staphylococcus aureus | ≤ 4 | 8 | ≥ 16 | ≥ 19 | 15-18 | ≤ 14 |
| St. Pneumoniae (isolati di non meneningite) | ≤ 1 | 2 | ≥ 4 | ≥ 28 | 25-27 | ≤ 24 |
| Bacillus anthracis | <1 | - | - | - | - | - |
| Franciscella Tulrerensis | <4 | - | - | - | - | - |
Un rapporto di sensibile indica che è probabile che l'antimicrobico inibisca la crescita del patogeno se il composto antimicrobico raggiunge le concentrazioni nel sito di infezione necessarie per inibire la crescita del patogeno. Un rapporto di intermedio indica che il risultato dovrebbe essere considerato equivoco e se il microrganismo non è completamente suscettibile ai farmaci clinicamente fattibili alternativi, il test dovrebbe essere ripetuto. Questa categoria implica una possibile applicabilità clinica nei siti del corpo in cui il prodotto farmacologico è concentrato fisiologicamente o in situazioni in cui è possibile utilizzare un elevato dosaggio del prodotto farmacologico. Questa categoria fornisce anche una zona tampone che impedisce a piccoli fattori tecnici incontrollati di causare gravi discrepanze nell'interpretazione. Un rapporto di resistente indica che non è probabile che l'antimicrobico inibisca la crescita del patogeno se il composto antimicrobico raggiunge le concentrazioni di solito realizzabili nel sito di infezione; Altra terapia dovrebbe essere selezionata.
Controllo di qualità
Le procedure di test di suscettibilità standardizzate richiedono l'uso di controlli di laboratorio per monitorare e garantire l'accuratezza e la precisione di forniture e reagenti utilizzati nel test e le tecniche delle persone che eseguono il test. 1234 La polvere di tetraciclina standard dovrebbe fornire la seguente gamma di valori MIC indicati nella Tabella 2. Per la tecnica di diffusione utilizzando il disco di tetraciclina da 30 mcg I criteri nella Tabella 2 dovrebbero essere raggiunti.
Tabella 2: intervalli di controllo di qualità accettabili per la tetraciclina
| Ceppo QC | Concentrazioni inibitorie minime (MCG/ML) | Diffusione del disco (diametri della zona in mm) |
| Hanno mostrato freddo ATCC* 25922 | Da 0,5 a 2 | 18 -25 |
| Staphylococcus aureus ATCC 29213 | 0,12 a 1 | -- |
| Staphylococcus aureus ATCC 25923 | -- | 24-30 |
| Haemophilus influenzae ATCC 49247 | 4 a 32 | 14 -22 |
| Neisseria gonorrhoeae ATCC 49226 | 0,25 - 1 | 30 - 42 |
| Streptococcus pneumoniae ATCC 49619 | 0,06 - 0,5 | 27 - 31 |
| *ATCC = collezione di cultura del tipo americano |
Farmacologia animale e tossicologia animale
Hyperpigmentation of the thyroid has been produced by members of the tetracycline class in the following species: in rats by oxytetracycline doxycycline tetracycline PO4 and methacycline; in minipigs by doxycycline minocycline tetracycline PO4 and methacycline; in dogs by doxycycline and minocycline; in monkeys by minocycline.
Minociclina tetraciclina PO4 Metaciclina Doxiciclina Tetraciclina Base Oxitetraciclina HCl e la tetraciclina HCL erano goitrogeni nei ratti alimentati con una dieta a basso contenuto di iodio. Questo effetto goitrogenico è stato accompagnato da un elevato assorbimento di iodio radioattivo. La somministrazione di minociclina ha anche prodotto un grande gozzo con un elevato assorbimento di radioiodio nei ratti alimentati con una dieta di iodio relativamente elevata.
Treatment of various animal species with this class of drugs has also resulted in the induction of thyroid hyperplasia in the following: in rats and dogs (minocycline) in chickens (chlortetracycline) and in rats and mice (oxytetracycline). Adrenal gland hyperplasia has been observed in goats and rats treated with oxytetracycline.
Riferimenti
1. Metodi di standard clinici e di laboratorio (CLSI.) Per i test di suscettibilità antimicrobica di diluizione per i batteri che crescono aerobicamente. Standard approvato - 9a edizione. Documento CLSI M7-A9 950 West Valley Rd. Suite 2500.wayne PA 19087 2012.
2. Clsi. Standard di prestazione per i test di suscettibilità antimicrobica. 22 nd Supplemento informativo. Documento CLSI M100-S22. Wayne PA 2012.
3. Clsi. Metodi o diluizione antimicrobica e test di suscettibilità al disco di batteri raramente isolati o fastidiosi: linea guida approvata - 2a edizione. Documento CLSI M45-A2. Clsi Wayne PA 2011.
4. Clsi. Standard di prestazione per test di suscettibilità al disco antimicrobico. Standard approvato - 11 th Edizione. Documento CLSI M2-A11. Wayne PA 2012.
Informazioni sul paziente per la declomicina
La fotosensibilità manifestata da una reazione esagerata delle scottature solari è stata osservata in alcuni individui che assumono tetracicline. I pazienti possono essere esposti alla luce solare diretta o alla luce ultravioletta dovrebbero essere consigliati che questa reazione può verificarsi con i farmaci di tetraciclina e il trattamento deve essere sospeso alla prima evidenza di eritema cutaneo. L'uso concomitante di tetracicline con contraccettivi orali può rendere i contraccettivi orali meno efficaci. (Vedere Interazioni farmacologiche . Patients should be infOmed that demeclocycline hydrochlOide tablets should be taken at least 1 hour befOe meals O 2 hours after meals (Vedere Dosaggio e amministrazione . Unused supplies of tetracycline antibioticos should be discarded by the expiration date. Patients who are experiencing mal di testa vertigini light-headedness vertigo O blurred vision while on demeclocycline therapy should be cautioned about driving vehicles O using hazardous machinery while receiving demeclocycline therapy (Vedere Avvertimenti .
I pazienti dovrebbero essere consigliati che i farmaci antibatterici tra cui compresse di demeclociclina cloridrato dovrebbero essere usate solo per trattare le infezioni batteriche. Non trattano le infezioni virali (ad esempio il raffreddore comune). Quando le compresse di demeclociclina cloridrato sono prescritte per il trattamento di un'infezione batterica, i pazienti dovrebbero essere detto che sebbene sia comune sentirsi meglio nelle prime fasi della terapia, i farmaci dovrebbero essere presi esattamente come indicato.
Saltare le dosi o non completare l'intero corso della terapia può (1) ridurre l'efficacia del trattamento immediato e (2) aumentare la probabilità che i batteri sviluppino resistenza e non saranno curabili mediante compresse di demeclocicina cloridrato o altri farmaci antibatterici in futuro.
La diarrea è un problema comune causa degli antibiotici che di solito termina quando l'antibiotico viene interrotto. A volte dopo aver iniziato il trattamento con i pazienti con antibiotici possono sviluppare feci acquose e sanguinanti (con o senza crampi di stomaco e febbre) anche fino a due o più mesi dopo aver preso l'ultima dose dell'antibiotico. Se ciò si verifica, i pazienti devono contattare il proprio medico il più presto possibile.