Le Informazioni Presenti Sul Sito Non Costituiscono Consulenza Medica. Non Vendiamo Nulla. L'Accuratezza Della Traduzione Non È Garantita. Disclaimer



Robaxina

Riepilogo della droga

Cos'è Robaxin?

La robaxina (metocarbamolo) è un rilassante muscolare usato insieme a riposo e terapia fisica Per trattare le condizioni del muscolo scheletrico come dolore o lesioni. Robaxin è disponibile in generico modulo.

Quali sono gli effetti collaterali della robaxina?

Gli effetti collaterali comuni della robaxina includono:



pillola bianca 3592 v altro lato
  • Sconturoso stomaco
  • nausea
  • vomito
  • Flushing (arrossamento del calore o sensazione di forking)
  • stipsi
  • mal di testa
  • confusione
  • Problemi di memoria
  • perdita di equilibrio o coordinamento
  • visione sfocata
  • doppia visione
  • arrossamento degli occhi
  • Accendino
  • vertigini
  • sensazione di rotazione
  • sonnolenza
  • Problemi di sonno (insonnia)
  • naso chiuso
  • prurito o
  • Eruzione cutanea soprattutto durante i primi giorni mentre il tuo corpo si adatta a questo farmaco.

Di 'al medico se si verificano gravi effetti collaterali della robaxina, incluso:



  • febbre
  • Accendino
  • brividi
  • sintomi dell'influenza
  • Frequenza cardiaca lenta
  • Sentendomi come se potessi svenire
  • convulsioni (convulsioni) o
  • ittero (ingiallimento della pelle o degli occhi).

Cerca cure mediche o chiama il 911 contemporaneamente se hai i seguenti gravi effetti collaterali:

  • Sintomi di occhiali gravi come la perdita di visione improvvisa del tunnel della visione sfocata Dolore alla visione o gonfiore o vedere aloni attorno alle luci;
  • Sintomi cardiaci gravi come battiti cardiaci irregolari o martellanti veloci; svolazzando nel petto; fiato corto; e improvvise vertigini spensieratezza o svenuta;
  • Grave mal di testa confusione Il braccio del linguaggio bloccato o la debolezza delle gambe problemi perdite perdita di coordinamento sentendoti instabili muscoli molto rigidi ad alta febbre abbondante sudorazione o tremori.

Questo documento non contiene tutti i possibili effetti collaterali e altri possono verificarsi. Verificare con il tuo medico ulteriori informazioni sugli effetti collaterali.



Dosaggio per robaxina

La dose iniziale raccomandata di robaxina è di sei grammi al giorno per le prime 48-72 ore di trattamento. Successivamente il dosaggio di solito può essere ridotto a circa 4 grammi al giorno.

Quali sostanze o integratori di farmaci interagiscono con la robaxina?

La robaxina può interagire con:

  • piridostigmina
  • donepezil
  • galantamina
  • rivastigmina o
  • tacrina

Dì al tuo medico tutti i farmaci e i supplementi da banco e integratori che usi.

Robaxina durante la gravidanza e l'allattamento

La robaxina dovrebbe essere usata durante la gravidanza solo quando prescritta. Non è noto se questo farmaco passa nel latte materno. Consulta il medico prima dell'allattamento al seno.

Ulteriori informazioni

Il nostro Centro farmacologico per effetti collaterali di Robaxin (Methocarbamol) fornisce una visione completa delle informazioni disponibili sui farmaci sui potenziali effetti collaterali durante l'assunzione di questo farmaco.

Informazioni sui farmaci FDA

Descrizione per Robaxin

Robaxin®/Robaxin®- 750 (compresse di metocarbamolo USP) Un derivato del carbammato della guaifenesina è un deprendente del sistema nervoso centrale (SNC) con proprietà rilassanti sedative e muscoloscheletriche.

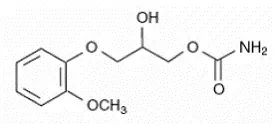
Il nome chimico di Metocarbamol è 3- (2-metossifenossi) -12propandiolo 1-carbamato e ha la formula empirica C 11 H 15 NO 5 . Il suo peso molecolare è 241,24. La formula strutturale è mostrata di seguito.

Il metocarbamolo è una polvere bianca con parsimonia solubile in acqua e cloroformio solubile nell'alcool (solo con riscaldamento) e glicole propilenico e insolubile in benzene e n-esano.

Robaxin® è disponibile come una compressa di film rivestita arancione chiaro contenente 500 mg di Methocarbamol USP per somministrazione orale. Gli ingredienti inattivi presenti sono l'amido di mais Fd

Robaxin®- 750 è disponibile come una compressa rivestita a forma di capsula arancione contenente 750 mg di Methocarbamol USP per somministrazione orale. Oltre agli ingredienti inattivi presenti in Robaxin® Robaxin® 750 contiene anche D

Usi per Robaxin

La forma iniettabile di metocarbamolo è indicata in aggiunta alla terapia fisica a riposo e ad altre misure per il sollievo del disagio associato a condizioni muscoloscheletriche dolorose acute. La modalità di azione di questo farmaco non è stata chiaramente identificata ma può essere correlata alle sue proprietà sedative. Methocarbamol non rilassa direttamente i muscoli scheletrici tesi nell'uomo.

Dosaggio per robaxina

Per Solo uso endovenoso e intramuscolare . Il dosaggio totale degli adulti non deve superare i 30 ml (3 fiale) al giorno per più di 3 giorni consecutivi, tranne nel trattamento del tetano. Se la condizione persiste, un corso simile può essere ripetuto dopo un intervallo privo di droghe di 48 ore. Il dosaggio e la frequenza dell'iniezione dovrebbero basarsi sulla gravità della condizione da trattare e la risposta terapeutica notata.

Per the relief of symptoms of moderate degree one dose of 1 gram (one 10 mL vial) may be adequate. Ordinarily this injection need not be repeated as the administration of the oral perm will usually sustain the relief initiated by the injection. Per the severest cases or in postoperative conditions in which oral administration is not feasible additional doses of 1 gram may be repeated every 8 hours up to a maximum of 3 g/day per no more than 3 consecutive days.

Indicazioni per uso endovenoso

La robaxina iniettabile può essere somministrata non diluita direttamente nella vena a Tasso massimo di tre ml al minuto . Può anche essere aggiunto a una flebo endovenosa di iniezione di cloruro di sodio (soluzione sterile di cloruro di sodio isotonico per uso parenterale) o iniezione di destrosio al cinque percento (soluzione di destrosio sterile al 5 percento); Una fiala somministrata come singola dose non deve essere diluita a più di 250 ml per i.v. infusione. Dopo aver mescolato con I.V. I fluidi di infusione non si refrigerano. Dovrebbe essere esercitata per evitare la stravaso vascolare di questa soluzione ipertonica che può provocare tromboflebite. È preferibile che il paziente sia in una posizione recumbente durante e per almeno 10-15 minuti dopo l'iniezione.

Indicazioni per uso intramuscolare

Quando la via intramuscolare è indicata non più di cinque ml (fiala della metà) devono essere iniettati in ciascuna regione glutea. Le iniezioni possono essere ripetute a intervalli di otto ore se necessario. Quando si ottiene un sollievo soddisfacente dei sintomi, di solito può essere mantenuto con compresse.

Non raccomandato per la somministrazione sottocutanea.

Indicazioni speciali per l'uso in tetano

Esistono prove cliniche che suggeriscono che il metocarbamolo può avere un effetto benefico nel controllo delle manifestazioni neuromuscolari del tetano. Non sostituisce tuttavia la consueta procedura di sbrigliamento antossina antossina penicillina tracheotomia attenzione all'equilibrio fluido e alle cure di supporto. La robaxina iniettabile dovrebbe essere aggiunta al regime il prima possibile.

Per Adults

Iniettare una o due fiale direttamente nel tubo dell'ago interno precedentemente inserito. Altri 10 ml o 20 ml possono essere aggiunti alla bottiglia di infusione in modo che un totale di 30 ml (tre fiale) sia somministrato come dose iniziale (vedi PRECAUZIONI ). Questa procedura deve essere ripetuta ogni sei ore fino a quando le condizioni consentono l'inserimento di un tubo nasogastrico. Le compresse di metocarbamolo schiacciate sospese in acqua o salina possono quindi essere somministrate attraverso questo tubo. Dosi orali giornaliere totali fino a 24 grammi possono essere richieste come giudicato dalla risposta del paziente.

Per Pediatric Patients

Si consiglia una dose iniziale minima di 15 mg/kg o 500 mg/m². Questo dosaggio può essere ripetuto ogni sei ore, se necessario. La dose totale non deve superare 1,8 g/m² per 3 giorni consecutivi. Il dosaggio di manutenzione può essere dato mediante iniezione nei tubi o da i.v. infusione con

Come fornito

Robaxina iniettabile (100 mg/ml) forniti in fiale a dose singola da 10 ml in pacchetti di 25 ( Ndc 0641-6103-25).

Conservare a 20 °- 25 ° C (68 °- 77 ° F) Ioni di Excurs consentiti a 15 °- 30 ° C (59 °- 86 ° F).

Non fatto con lattice di gomma naturale.

Per segnalare sospette reazioni avverse, contattare West-Ward Pharmaceuticals Corp. al numero 1- 877-845-0689 o la FDA al numero 1-800-FDA-1088 o www.fda.gov/medwatch.

Per Product Inquiry call 1-877-845-0689.

Prodotto da: West-Ward A Hikma Company Eatontown NJ 07724 USA. Revisionato: ottobre 2017

Effetti collaterali per la robaxina

Sono state riportate le seguenti reazioni avverse coincidenti con la somministrazione di metocarbamolo. Alcuni eventi potrebbero essere stati dovuti a un tasso eccessivamente rapido di iniezione endovenosa.

Corpo nel suo insieme: Reazione anafilattica Edema angioneurotico Mal di testa

Sistema cardiovascolare: Bradicardia Flushing ipotensione syncope tromboflebitis

Nella maggior parte dei casi di sincope c'è stato un recupero spontaneo. In altri, steroidi iniettabili di epinefrina e/o antistaminici iniettabili sono stati impiegati per accelerare il recupero.

Sistema digestivo: Dispepsia ittero (incluso l'ittero colestatico) Nausea e vomito

Sistema emico e linfatico: Leucopenia

Sistema immunitario: Reazioni di ipersensibilità

Che tipo di farmaco è l'epinefrina

Sistema nervoso: Amnesia confusione Diplopia vertigini o sonnolenza leggera insonnia lieve incoordinazione muscolare con crisi di sedazione di nistagmo (incluso Grand mal) vertigini

L'inizio delle convulsioni convulsive durante la somministrazione endovenosa di metocarbamolo è stata riportata in pazienti con disturbi convulsivi. Il trauma psichico della procedura potrebbe essere stato un fattore che contribuisce. Sebbene diversi osservatori abbiano riportato il successo nel interrompere le convulsioni epilettiformi con robaxina iniettabile la sua somministrazione ai pazienti con epilessia non è raccomandato (vedi PRECAUZIONI Generale ).

Pelle e sensi speciali: Visione sfocata congiuntivite congestione nasale gusto metallico prurito eruzione cutanea orticaria

Altro: Dolore e sloughing nel sito di iniezione

Interazioni farmacologiche per la robaxina

Vedere Avvertimenti e PRECAUZIONI per l'interazione con droghe del SNC e alcol.

Il metocarbamolo può inibire l'effetto del bromuro di piridostigmina. Pertanto il metocarbamolo dovrebbe essere usato con cautela nei pazienti con miastenia grave che ricevono agenti anticolinesterasi.

Interazioni di test di droga/laboratorio

Methocarbamol può causare un'interferenza di colore in alcuni test di screening per l'acido 5 idrossiindoleacetico (5-HIAA) usando il reagente nitrosonaphthol e nei test di screening per l'acido vanillmandelico urinario (VMA) usando il metodo Gitlow.

Avvertimenti per Robaxin

Poiché il metocarbamolo può possedere un effetto depressivo generale del SNC, i pazienti con iniettabili che ricevono robaxina devono essere avvertiti sugli effetti combinati con l'alcol e altri depressivi del SNC.

L'uso sicuro della robaxina iniettabile non è stato stabilito per quanto riguarda i possibili effetti avversi sullo sviluppo fetale. Ci sono state segnalazioni molto rare di anomalie fetali e congenite a seguito dell'esposizione utera a metocarbamolo. Pertanto la robaxina iniettabile non dovrebbe essere usata nelle donne che sono o possono rimanere incinte e in particolare durante la gravidanza precoce a meno che nel giudizio del medico i potenziali benefici superano i possibili pericoli (vedi PRECAUZIONI Gravidanza ).

Utilizzare in attività che richiedono vigilanza mentale

Methocarbamol può compromettere le capacità mentali e/o fisiche richieste per le prestazioni di compiti pericolosi come macchinari operativi o guidare un veicolo a motore. I pazienti devono essere avvertiti sui macchinari operativi, comprese le automobili fino a quando non sono ragionevolmente certi che la terapia di metocarbamolo non influisce negativamente sulla loro capacità di impegnarsi in tali attività.

Precauzioni per Robaxin

Generale

Come con gli altri agenti somministrati per via endovenosa o intramuscolare, è necessario osservare un'attenzione di dose e tasso di iniezione. Il tasso di iniezione non deve superare i 3 ml al minuto, ad es. Una fiala da 10 ml in circa tre minuti. Poiché la robaxina iniettabile è la stravaso vascolare ipertonica deve essere evitata. Una posizione sdraiata ridurrà la probabilità di reazioni laterali.

Il sangue aspirato nella siringa non si mescola con la soluzione ipertonica. Questo fenomeno si verifica con molti altri preparati per via endovenosa. Il sangue può essere iniettato con il metocarbamolo o l'iniezione può essere fermato quando lo stantuffo raggiunge il sangue qualunque sia il medico preferisce.

Il dosaggio totale non deve superare i 30 ml (tre fiale) al giorno per più di tre giorni consecutivi, tranne nel trattamento del tetano.

È necessario osservare cautela nell'uso della forma iniettabile in pazienti con disturbi convulsivi sospetti o noti.

Mutagenesi della carcinogenesi compromissione della fertilità

Non sono stati condotti studi a lungo termine per valutare il potenziale cancerogeno del metocarbamolo. Non sono stati condotti studi per valutare l'effetto del metocarbamolo sulla mutagenesi o il suo potenziale per compromettere la fertilità.

Gravidanza

Effetti teratogeni

Gravidanza Category C

Studi di riproduzione degli animali non sono stati condotti con metocarbamolo. Inoltre, non è noto se il metocarbamolo possa causare danni fetali quando somministrato a una donna incinta o può influire sulla capacità di riproduzione. La robaxina iniettabile dovrebbe essere data a una donna incinta solo se chiaramente necessario.

L'uso sicuro della robaxina iniettabile non è stato stabilito per quanto riguarda i possibili effetti avversi sullo sviluppo fetale. Sono state segnalate anomalie fetali e congenite a seguito dell'esposizione utera a metocarbamolo. Pertanto la robaxina iniettabile non dovrebbe essere usata nelle donne che sono o possono rimanere incinte e in particolare durante la gravidanza precoce a meno che nel giudizio del medico i potenziali benefici superano i possibili pericoli (vedi Avvertimenti ).

Madri infermieristiche

Methocarbamol e/o i suoi metaboliti sono escreti nel latte dei cani; Tuttavia non è noto se il metocarbamolo o i suoi metaboliti siano escreti nel latte umano. Poiché molti farmaci vengono escreti nella cautela del latte umano dovrebbe essere esercitata quando la robaxina iniettabile viene somministrata a una donna di cura.

Uso pediatrico

La sicurezza e l'efficacia della robaxina iniettabili nei pazienti pediatrici non sono state stabilite se non nel tetano. Vedere Dosaggio e amministrazione Direzioni speciali per Utilizzare in tetano Per Pediatric Patients .

Informazioni per overdose per la robaxina

Informazioni limitate sono disponibili sulla tossicità acuta di metocarbamolo. Il sovradosaggio di metocarbamolo è frequentemente in combinazione con l'alcol o altri depressivi del SNC e include i seguenti sintomi: convulsione alla sonnolenza nausea con crisi di ipotensione della visione e coma. Nell'esperienza post-marketing sono stati segnalati decessi con un sovradosaggio di metocarbamolo da solo o in presenza di altri depressivi del SNC alcol o droghe psicotropiche.

Trattamento

La gestione del sovradosaggio comprende un trattamento sintomatico e di supporto. Le misure di supporto includono il mantenimento di un'adeguata produzione urinaria di monitoraggio delle vie aeree e segni vitali e la somministrazione di fluidi endovenosi, se necessario. L'utilità dell'emodialisi nella gestione del sovradosaggio è sconosciuta.

Controindicazioni per la robaxina

La robaxina iniettabile non deve essere somministrata a pazienti con patologia renale nota o sospetta. Questa cautela è necessaria a causa della presenza di polietilenglicole 300 nel veicolo.

È noto che una quantità molto maggiore di polietilenglicole 300 di quanto presente nelle dosi raccomandate di robaxina iniettabile abbia una maggiore acidosi preesistente e urea Ritenzione nei pazienti con compromissione renale. Sebbene la quantità presente in questa preparazione sia ben nei limiti di cautela della sicurezza impone questa controindicazione.

La robaxina iniettabile è controindicata nei pazienti ipersensibili al metocarbamolo o a uno qualsiasi dei componenti di iniezione.

Farmacologia clinica per Robaxin

Il meccanismo d'azione del metocarbamolo nell'uomo non è stato stabilito ma può essere dovuto alla depressione generale del SNC. Non ha alcuna azione diretta sul meccanismo contrattile del muscolo striato la piastra di fine motore o la fibra nervosa.

Farmacocinetica

Nei volontari sani la clearance plasmatica di metocarbamolo varia tra 0,20 e 0,80 L/h/kg, l'emivita di eliminazione del plasma medio varia tra 1 e 2 ore e il legame di proteina plasmatica vanno tra il 46% e il 50%.

Il metocarbamolo viene metabolizzato tramite dealkylation e idrossilazione. È probabile anche la coniugazione di metocarbamolo. Essenzialmente tutti i metaboliti di metocarbamolo vengono eliminati nelle urine. Anche piccole quantità di metocarbamolo invariate vengono escrete nelle urine.

Popolazioni speciali

Anziano

L'emivita di eliminazione media (± DS) di metocarbamolo nei volontari sani anziani (età media (± DS) 69 anni (± 4) anni) è stata leggermente prolungata rispetto a una popolazione più giovane (media (± DS) di 53,3 (± 8,8) anni) (NULL,5 (± 0,4) ore rispettivamente). La frazione del metocarbamolo legato è stata leggermente ridotta negli anziani rispetto ai volontari più giovani (rispettivamente dal 41 al 43% contro il 46-50%).

Renamente compromesso

La clearance di metocarbamolo in 8 pazienti con problemi di renale in emodialisi di mantenimento è stata ridotta di circa il 40% rispetto ai 17 soggetti normali sebbene la media di eliminazione media (± DS) in questi due gruppi fosse simile (NULL,2 (± 0,6) contro 1,1 (± 0,3) ore rispettivamente).

Epaticamente compromesso

In 8 pazienti con cirrosi secondaria all'abuso di alcol, la clearance totale media di metocarbamolo è stata ridotta di circa il 70% rispetto a quella ottenuta in 8 soggetti normali di età e peso. L'emivita di eliminazione media (± DS) nei pazienti cirrotici e nei soggetti normali era rispettivamente di 3,38 (± 1,62) ore e 1,11 (± 0,27) ore. La percentuale di metocarbamolo legata alle proteine ​​plasmatiche è stata ridotta a circa il 40-45% rispetto al 46 al 50% nei soggetti normali.

Informazioni sul paziente per la robaxina

I pazienti devono essere avvertiti che il metocarbamolo può causare sonnolenza o vertigini che possono compromettere la loro capacità di utilizzare veicoli a motore o macchinari.

Poiché il metocarbamolo può possedere un effetto depressivo generale del SNC, i pazienti devono essere avvertiti sugli effetti combinati con l'alcol e altri depressivi del SNC.