Le Informazioni Presenti Sul Sito Non Costituiscono Consulenza Medica. Non Vendiamo Nulla. L'Accuratezza Della Traduzione Non È Garantita. Disclaimer



Metadone cloridrato

Riepilogo della droga

Cos'è il metadone?

Le compresse di metadone cloridrato (metadone) sono un narcotico usato come antidolorifico e come parte di programmi di disintossicazione e manutenzione della tossicodipendenza. Il metadone cloridrato è disponibile in generico modulo.

Quali sono gli effetti collaterali del metadone?

Gli effetti collaterali comuni del metadone cloridrato includono:



  • ansia
  • nervosismo
  • irrequietezza
  • Problemi di sonno (insonnia)
  • debolezza
  • sonnolenza
  • bocca secca
  • nausea
  • vomito
  • diarrea
  • stipsi
  • perdita di appetito
  • Diminuzione del desiderio sessuale
  • impotenza O
  • Difficoltà ad avere un orgasmo.

Dì al tuo medico se si verificano gravi effetti collaterali del metadone cloridrato, incluso:



  • Respirazione poco profonda
  • allucinazioni
  • confusione
  • dolore al petto
  • vertigini
  • svenimento
  • battito cardiaco veloce o martellante
  • difficoltà a respirare
  • Accendino O
  • svenimento.

Dosaggio per metadone

Il dosaggio del metadone dipende dalla condizione generale di età e dallo stato medico del paziente che altri farmaci presi e altri fattori.

Quali sostanze o integratori di farmaci interagiscono con il metadone?

Il metadone può interagire con altri farmaci narcotici farmaci sedativi tranquillanti rilassanti muscolari altri medicinali che possono farti dormire o rallentare i tuoi diuretici respiratori (pillole d'acqua) Antibiotici o farmaci per la pressione sanguigna HIV medicinali inibitori di mao rifampina o farmaco con crisi. Molti altri medicinali possono causare seri problemi medici se li porti insieme al metadone. Dì al tuo medico tutti i farmaci e i supplementi da banco e integratori che usi.



Metadone durante la gravidanza e l'allattamento

Durante la gravidanza il metadone dovrebbe essere usato solo se prescritto. Può essere dannoso per un feto. Potrebbe anche causare sintomi di dipendenza o di astinenza in un neonato se la madre prende il metadone durante la gravidanza. Il metadone può passare nel latte materno e può danneggiare un bambino che allatta. Consulta il medico prima dell'allattamento al seno. Possono verificarsi sintomi di astinenza se si smette improvvisamente di usare questo farmaco.

Ulteriori informazioni

Le nostre compresse di metadone cloridrato (metadone) Centro farmacologico degli effetti collaterali forniscono una visione completa delle informazioni disponibili sui farmaci sui potenziali effetti collaterali durante l'assunzione di questo farmaco.

Informazioni sui farmaci FDA

AVVERTIMENTO

Abuso di dipendenza e uso improprio; Depressione respiratoria potenzialmente letale; Ingestione accidentale; Prolungamento QT potenzialmente letale; Sindrome da prelievo di oppiacei neonatali; e trattamento per la dipendenza da oppiacei

Abuso e uso improprio della dipendenza

La dolofina espone pazienti e altri utenti ai rischi di abusi e abusi sulla dipendenza da oppiacei che possono portare al sovradosaggio e alla morte. Valutare il rischio di ogni paziente prima di prescrivere la dolofina e monitorare regolarmente tutti i pazienti per lo sviluppo di questi comportamenti o condizioni [vedi avvisi e avvertimenti PRECAUZIONI ].

Depressione respiratoria potenzialmente letale

La depressione respiratoria mortale grave e fatale può verificarsi con l'uso della dolofina. Monitorare la depressione respiratoria soprattutto durante l'inizio della dolofina o dopo un aumento della dose [vedi avvertimenti e PRECAUZIONI ].

Ingestione accidentale

L'ingestione accidentale anche di una dose di dolofina, specialmente da parte dei bambini, può provocare un sovradosaggio fatale di metadone [vedi avvertimenti e PRECAUZIONI ].

Prolungamento QT potenzialmente letale

Il prolungamento dell'intervallo di QT e l'aritmia grave (Torsades de Pointes) si sono verificate durante il trattamento con metadone. La maggior parte dei casi coinvolge pazienti trattati per il dolore con grandi dosi più giornaliere di metadone, sebbene siano stati riportati casi in pazienti che hanno ricevuto dosi comunemente utilizzate per il trattamento di mantenimento della dipendenza da oppioidi. Monitorare attentamente i pazienti per le variazioni del ritmo cardiaco durante l'inizio e la titolazione della dolofina [vedi avvisi e avvertimenti PRECAUZIONI ].

Sindrome da astinenza da oppiacei neonatali

L'US E di dolofina prolungata durante la gravidanza può provocare la sindrome da astinenza da oppiacei neonatali che può essere pericolosa la vita se non riconosciuta e trattata e richiede la gestione secondo i protocolli sviluppati da esperti neonatologici. Se è richiesto l'uso di oppiacei per un periodo prolungato in una donna incinta consigliare al paziente il rischio di sindrome da astinenza da oppiacei neonatali e assicurarsi che siano disponibili un trattamento adeguato [vedi avvisi e PRECAUZIONI ].

Condizioni per la distribuzione e l'uso di prodotti di metadone per il trattamento della dipendenza da oppiacei

Per la disintossicazione e il mantenimento della dipendenza da oppiacei il metadone deve essere somministrato in conformità con gli standard di trattamento citati nella sezione 8 42 CFR, comprese le limitazioni sulla somministrazione non supervisionata [vedi Indicazioni e utilizzo ].

Descrizione per la dolofina

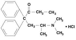
Il metadone cloridrato è chimicamente descritto come 6- (dimetilammino) -44-difenil-3-epatanone cloridrato. Il metadone cloridrato USP è un materiale cristallino bianco che è solubile in acqua. La sua formula molecolare è C 21 H 27 No • HCl e ha un peso molecolare di 345,91. Il metadone cloridrato ha un punto di fusione di 235 ° C e un PKA di 8,25 in acqua a 20 ° C. Il suo coefficiente di partizione di ottanolo/acqua a pH 7,4 è 117. Una soluzione (1: 100) in acqua ha un pH tra 4,5 e 6,5. Ha la seguente formula strutturale:

Le compresse di dolofina sono disponibili per la somministrazione orale contenente 5 mg o 10 mg di metadone cloridrato USP. Ogni compressa contiene i seguenti ingredienti inattivi: cellulosa microcristallina stearato di magnesio e amido pregelatinizzato.

AVVERTIMENTO

Abuso di dipendenza e uso improprio; Depressione respiratoria potenzialmente letale; Ingestione accidentale; Prolungamento QT potenzialmente letale; Sindrome da prelievo di oppiacei neonatali; e trattamento per la dipendenza da oppiacei

Abuso e uso improprio della dipendenza

Le compresse di metadone cloridrato USP espone pazienti e altri utenti ai rischi di abusi e uso improprio della dipendenza da oppiacei che possono portare a sovradosaggio e morte. Valutare il rischio di ogni paziente prima di prescrivere compresse di cloridrato di metadone e monitorare regolarmente tutti i pazienti per lo sviluppo di questi comportamenti o condizioni [vedi avvisi e PRECAUZIONI ].

Depressione respiratoria potenzialmente letale

La depressione respiratoria mortale o fatale potenzialmente letale o fatale può verificarsi con le compresse di metadone cloridrato. Monitorare la depressione respiratoria soprattutto durante l'inizio di compresse di metadone cloridrato o dopo un aumento della dose [vedi avvisi e avvertimenti PRECAUZIONI ].

Ingestione accidentale

L'ingestione accidentale anche di una dose di compresse di metadone cloridrato, in particolare da parte dei bambini, può provocare un sovradosaggio fatale di metadone [vedi avvertimenti e PRECAUZIONI ].

Prolungamento QT potenzialmente letale

Il prolungamento dell'intervallo di QT e l'aritmia grave (Torsades de Pointes) si sono verificate durante il trattamento con metadone. La maggior parte dei casi coinvolge pazienti trattati per il dolore con grandi dosi più giornaliere di metadone, sebbene siano stati riportati casi in pazienti che hanno ricevuto dosi comunemente utilizzate per il trattamento di mantenimento della dipendenza da oppioidi. Monitorare attentamente i pazienti per le variazioni del ritmo cardiaco durante l'inizio e la titolazione delle compresse di cloridrato di metadone [vedi avvertimenti e PRECAUZIONI ].

Sindrome da astinenza da oppiacei neonatali

L'uso prolungato di compresse di metadone cloridrato durante la gravidanza può comportare la sindrome da astinenza da oppiacei neonatali che può essere pericolosa la vita se non riconosciuta e trattata e richiede la gestione secondo i protocolli sviluppati dagli esperti neonatologici. Se è richiesto l'uso di oppiacei per un periodo prolungato in una donna incinta consigliare al paziente il rischio di sindrome da astinenza da oppiacei neonatali e assicurarsi che siano disponibili un trattamento adeguato [vedi avvisi e PRECAUZIONI ].

Condizioni per la distribuzione e l'uso di prodotti di metadone per il trattamento della dipendenza da oppiacei

Per la disintossicazione e il mantenimento della dipendenza da oppiacei il metadone deve essere somministrato in conformità con gli standard di trattamento citati nella sezione 8 42 CFR, comprese le limitazioni sulla somministrazione non supervisionata [vedi Indicazioni e utilizzo ].

Descrizione per la dolofina

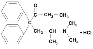
Il metadone cloridrato è chimicamente descritto come 6- (dimetilammino) -44-difenil-3-epatanone cloridrato. Il metadone cloridrato è un materiale cristallino bianco che è solubile in acqua. La sua formula molecolare è C 21 H 27 No • HCl e ha un peso molecolare di 345,91. Il metadone cloridrato ha un punto di fusione di 235 ° C e un PKA di 8,25 in acqua a 20 ° C. Il suo coefficiente di partizione di ottanolo/acqua a pH 7,4 è 117. Una soluzione (1: 100) in acqua ha un pH tra 4,5 e 6,5. Ha la seguente formula strutturale:

Ogni compressa di metadone cloridrato contiene 10 mg di metadone cloridrato USP e i seguenti ingredienti inattivi: cellulosa microcristallina di magnesio stearato e amido.

Usi per la città

Compresse di metadone cloridrato USP è indicato per:

  • Gestione del dolore abbastanza grave da richiedere un trattamento con oppioidi a lungo termine quotidiano a lungo termine e per il quale le opzioni di trattamento alternative sono inadeguate.

Limiti di utilizzo

    • A causa dei rischi di abuso di dipendenza e uso improprio con gli oppioidi anche a dosi raccomandate e a causa dei maggiori rischi di sovradosaggio e morte con oppioidi ad azione prolungata riservano le compresse di cloruro di metadone di metadone per l'uso in pazienti per il fatto che non sono in grado di fornire analgesici alternativi.
    • Le compresse di metadone cloridrato USP non sono indicate come analgesico per bisogni (PRN).
  • Trattamento di disintossicazione della dipendenza da oppiacei (eroina o altri farmaci simili alla morfina).
  • Trattamento di manutenzione della dipendenza da oppiacei (eroina o altri farmaci simili alla morfina) in combinazione con adeguati servizi sociali e medici.

Condizioni per la distribuzione e l'uso di prodotti di metadone per il trattamento della dipendenza da oppiacei

Codice dei regolamenti federali Titolo 42 sec 8

I prodotti di metadone se utilizzati per il trattamento della dipendenza da oppiacei nei programmi di disintossicazione o manutenzione devono essere erogati solo da programmi di trattamento degli oppiacei (e agenzie professionisti o istituzioni mediante accordo formale con lo sponsor del programma) certificato dall'amministrazione dei servizi di abuso di sostanze e della salute mentale e approvati dall'autorità statale designata. I programmi di trattamento certificati devono dispensare e utilizzare il metadone solo in forma orale e secondo i requisiti di trattamento stabiliti negli standard federali di trattamento degli oppiacei (42 CFR 8.12). Vedi di seguito per importanti eccezioni normative al requisito generale per la certificazione per fornire un trattamento agonista da oppiacei.

La mancata osservanza dei requisiti in questi regolamenti può comportare sequestri penali per la revoca dell'approvvigionamento della droga dell'approvazione del programma e dell'ingiunzione che preclude il funzionamento del programma.

Eccezioni normative al requisito generale per la certificazione per fornire un trattamento agonista degli oppiacei: durante l'assistenza ospedaliera quando il paziente è stato ammesso per qualsiasi condizione diversa dalla dipendenza da oppiacei simultanei (ai sensi del 21CFR 1306.07 (c)) per facilitare il trattamento della diagnosi di ammissione primaria).

Durante un periodo di emergenza non più lungo di 3 giorni, mentre le cure definitive per la dipendenza vengono ricercate in una struttura adeguatamente autorizzata (ai sensi del 21CFR 1306.07 (b)).

Dosaggio fO Dolophine

Informazioni generali importanti

  • L'effetto depressivo respiratorio di picco del metadone si verifica più tardi e persiste più a lungo del suo effetto terapeutico di picco.
  • Un alto grado di tolleranza agli oppioidi non elimina la possibilità di overdose di metadone iatrogeno o altro. I decessi sono stati segnalati durante la conversione in metadone dal trattamento cronico ad alte dosi con altri agonisti degli oppioidi e durante l'inizio del trattamento con metadone della dipendenza in soggetti in precedenza abusando di alte dosi di altri agonisti.
  • Con il ripetuto metadone di dosaggio viene trattenuto nel fegato e quindi rilasciato lentamente prolungando la durata della potenziale tossicità.
  • Il metadone ha uno stretto indice terapeutico soprattutto se combinato con altri farmaci.

Dosaggio iniziale per la gestione del dolore

Le compresse di metadone cloridrato USP dovrebbero essere prescritte solo da operatori sanitari che sono ben informati nell'uso di potenti oppioidi per la gestione del dolore cronico.

Considera i seguenti importanti fattori che differenziano il metadone dagli altri analgesici degli oppioidi:

  • Vi è un'elevata variabilità interpaziente nel metabolismo dell'assorbimento e sulla potenza analgesica relativa. I rapporti di conversione equianalgesica basati sulla popolazione tra metadone e altri oppioidi non sono accurati se applicati agli individui.
  • La durata dell'azione analgesica del metadone è da 4 a 8 ore (basata su studi a dosi monodose) ma l'emivita di eliminazione del plasma è dalle 8 alle 59 ore.
  • Le concentrazioni plasmatiche allo stato stazionario e gli effetti analgesici completi non sono raggiunti fino a 3-5 giorni su una dose e possono richiedere più tempo in alcuni pazienti.

Avvia il regime di dosaggio per ciascun paziente tenendo conto individuale della precedente esperienza di trattamento analgesico del paziente e dei fattori di rischio per l'abuso e l'abuso di dipendenza [vedi AVVERTIMENTOS AND PRECAUZIONI ]. MoniAr patients closely fO respiraAry depression especially within the first 24-72 hours of initiating therapy with methadone hydrochlOide tablets [see AVVERTIMENTOS AND PRECAUZIONI ].

Uso di compresse di metadone cloridrato USP come primo analgesico oppioide

Iniziare il trattamento con compresse di cloridrato di metadone con 2,5 mg per via orale ogni 8-12 ore.

Conversione da altri oppioidi orali a compresse di cloridrato di metadone USP

Interrompere tutti gli altri farmaci oppioidi in crisi quando viene iniziata la terapia con compresse di cloridrato di metadone. I decessi si sono verificati nei pazienti tolleranti agli oppiacei durante la conversazione in metadone.

Mentre ci sono utili tabelle di equivalenti oppioidi prontamente disponibili, esiste una sostanziale variabilità inter-paziente nella potenza relativa di diversi farmaci e prodotti oppioidi. In quanto tale, è più sicuro sottovalutare i requisiti di metadone orale di un paziente e fornire farmaci per il salvataggio (ad esempio oppioidi a rilascio immediato) che sopravvalutare i requisiti di metadone orale 24 ore su 24 che potrebbero causare reazioni avverse. Con il dosaggio ripetuto, la potenza del metadone aumenta a causa dell'accumulo sistemico.

Considera quanto segue quando si utilizza le informazioni nella Tabella 1:

  • Questa non è una tabella di dosi equianalgesiche.
  • I fattori di conversione in questa tabella sono solo per la conversione da un altro analgesico oppioide orale alle compresse di cloridrato di metadone.
  • La tabella non può essere utilizzata per convertire da compresse di cloridrato di metadone in un altro oppioide. Ciò comporterà una sopravvalutazione della dose del nuovo oppioide e può provocare un sovradosaggio fatale.

Tabella 1: fattori di ioni di conversazione per le compresse di cloridrato di metadone

Dose equivalente totale di morfina orale di base giornaliera Requisito di metadone orale dailv stimato come percentuale della dose equivalente totale della morfina giornaliera
<100 mg 20% al 30%
Da 100 a 300 rrg Dal 10% al 20%
Da 300 a 600 IRG Dall'8% al 12%
600 mg a 1000 mg Dal 5% al ​​10%
> 1000 mg <5%

Per calcolare la dose stimata di idrocloruro di metadone usando la Tabella 1:

  • Per i pazienti con una singola somma di oppioidi l'attuale dose giornaliera totale della oppioide lo convertono in una dose equivalente di morfina in base al fattore di conversione specifico per quell'oppioide specifico quindi moltiplica la dose equivalente alla morfina per la percentuale corrispondente nella tabella precedente per calcolare la dose giornaliera del metadone orale approssimativo. Dividi la dose totale di metadone giornaliero derivato dalla tabella sopra per riflettere il programma di dosaggio previsto (cioè per la somministrazione ogni 8 ore Dividi la dose totale di metadone giornaliero di 3).
  • Per i pazienti su un regime di più di un oppioide calcola la dose approssimativa del metadone orale per ciascun oppioide e somma i totali per ottenere la dose giornaliera di metadone totale approssimativa. Dividi la dose totale di metadone giornaliero derivato dalla tabella sopra per riflettere il programma di dosaggio previsto (cioè per la somministrazione ogni 8 ore Dividi la dose totale di metadone giornaliero di 3).
  • Per i pazienti su un regime di prodotti analgesici oppioidi/non oppioidi a rapporto fisso, utilizzare solo il componente oppioide di questi prodotti nella conversione.

Ridurre sempre la dose, se necessario, per le compresse di cloridrato di metadone appropriate disponibili. Esempio di conversione da un singolo oppioide a compresse di cloridrato di metadone:

Passaggio 1 : Somma la dose giornaliera totale dell'oppioide (in questo caso Morfina estese compresse di rilascio 50 mg due volte al giorno)

Compresse di rilascio esteso da 50 mg di morfina 2 volte al giorno = 100 mg di dose giornaliera totale di morfina

Passaggio 2 : Calcola la dose approssimativa equivalente di compresse di cloridrato di metadone in base alla dose giornaliera totale di morfina usando la Tabella 1.

100 mg di dose giornaliera totale di morfina x 15% (dal 10% al 20% per tabella 1) = 15 mg di idrocloruro di metadone ogni giorno

Passaggio 3 : Calcola la dose di partenza approssimativa del metadone cloridrato da somministrazione ogni 12 ore. Arrotonda se necessario per le forze di perforazione di cloridrato di metadone appropriate disponibili.

15 mg al giorno / 2 = 7,5 mg di metadone cloridrato ogni 12 ore

Quindi 7,5 mg vengono arrotondati a 5 mg di metadone cloridrato ogni 12 ore

La stretta osservazione e la frequente titolazione sono garantite fino a quando la gestione del dolore è stabile sul nuovo oppioide. Monitorare i pazienti per segni e sintomi di ritiro degli oppiacei o per segni di sovra-sedazione/tossicità dopo aver convertito i pazienti in compresse di cloridrato di metadone.

Conversione dal metadone parenterale a compresse di cloridrato di metadone

Utilizzare un rapporto di conversione di 1: 2 mg per metadone parenterale a quello orale (ad es. 5 mg di metadone parenterale a 10 mg di metadone orale).

Titolazione e mantenimento della terapia per il dolore

Titolo individuale delle compresse di cloridrato di metadone a una dose che fornisce un'analgesia adeguata e minimizza le reazioni avverse. Rivalutano continuamente i pazienti che ricevono compresse di metadone cloridrato per valutare il mantenimento del controllo del dolore e l'incidenza relativa delle reazioni avverse e il monitoraggio per lo sviluppo di abusi o uso improprio della dipendenza. La comunicazione frequente è importante tra il prescrittore altri membri del team sanitario, il paziente e il caregiver/famiglia durante i periodi di cambiamento dei requisiti analgesici, incluso la titolazione iniziale. Durante la terapia cronica rivaluta periodicamente la continua necessità dell'uso di analgesici oppioidi.

A causa della variabilità individuale nel profilo farmacocinetico (ovvero l'emivita terminale (T½) da 8 a 59 ore in diversi studi [vedi Farmacologia clinica ]) Le compresse di cloruro di metadone titolato con dose aumentano non più frequenti di ogni 3-5 giorni. Tuttavia, a causa di questa elevata variabilità, alcuni pazienti possono richiedere periodi sostanzialmente più lunghi tra aumenti della dose (fino a 12 giorni). Monitorare attentamente i pazienti per lo sviluppo di reazioni avverse potenzialmente potenzialmente letali (ad es. SNC e depressione respiratoria).

I pazienti che soffrono di dolore innovativo possono richiedere un aumento della dose di compresse di metadone cloridrato o possono aver bisogno di farmaci per il salvataggio con una dose appropriata di un farmaco a rilascio immediato. Se il livello di dolore aumenta dopo la stabilizzazione della dose, tenta di identificare il credito di un aumento del dolore prima di aumentare la dose di compresse di cloridrato di metadone.

theanine serene con interazioni farmacologiche di Relora

Se si osservano reazioni avverse correlate agli oppiacei inaccettabili, le dosi successive possono essere ridotte e/o l'intervallo di dosaggio regolato (cioè ogni 8 ore o ogni 12 ore). Regolare la dose per ottenere un adeguato equilibrio tra la gestione del dolore e le reazioni avverse correlate agli oppioidi.

Interruzione delle compresse di cloridrato di metadone USP per il dolore

Quando un paziente non richiede più terapia con compresse di metadone cloridrato per il dolore usa una titolazione graduale verso il basso della dose ogni due o quattro giorni per prevenire segni e sintomi di ritiro nel paziente fisicamente dipendente. Non interrompere bruscamente le compresse di cloridrato di metadone.

Dosaggio di induzione/iniziale per il trattamento di disintossicazione e mantenimento della dipendenza da oppiacei

Per la disintossicazione e il mantenimento della dipendenza da oppiacei il metadone deve essere somministrato in conformità con gli standard di trattamento citati nella sezione 8.12 42 CFR, comprese le limitazioni sulla somministrazione non supervisionata.

Somministrare la dose iniziale di metadone sotto supervisione quando non vi sono segni di sedazione o intossicazione e il paziente mostra sintomi di astinenza. Una dose singola iniziale da 20 a 30 mg di compresse di metadone cloridrato sarà spesso sufficiente per sopprimere i sintomi di astinenza. La dose iniziale non deve superare i 30 mg.

Per effettuare le rettifiche di dosaggio nello stesso giorno, il paziente attende da 2 a 4 ore per ulteriori valutazioni quando sono stati raggiunti i livelli di picco. Fornire ulteriori da 5 a 10 mg di compresse di cloridrato di metadone se i sintomi di astinenza non sono stati soppressi o se i sintomi riappariranno.

La dose giornaliera totale di compresse di cloridrato di metadone nel primo giorno di trattamento non dovrebbe normalmente superare i 40 mg. Regola la dose durante la prima settimana di trattamento in base al controllo dei sintomi di astinenza al momento dell'attività di picco prevista (ad esempio da 2 a 4 ore dopo il dosaggio). Quando si regola la dose, tieni presente che i livelli di metadone si accumuleranno nei primi giorni di dosaggio; I decessi si sono verificati nel trattamento precoce a causa degli effetti cumulativi. Istruire i pazienti che la dose manterrà per un periodo di tempo più lungo man mano che si accumulano i tessuti di metadone.

Utilizzare dosi iniziali inferiori per i pazienti la cui tolleranza dovrebbe essere bassa all'ingresso del trattamento. Qualsiasi paziente che non ha assunto oppioidi per più di 5 giorni potrebbe non essere più tollerante. Non determinare dosi iniziali in base a episodi di trattamento precedente o dollari spesi al giorno per uso illecito di droghe.

Disintossicazione a breve termine

Per un breve ciclo di stabilizzazione seguito da un periodo di ritiro supervisionato dal punto di vista medico, titolare il paziente a una dose giornaliera totale di circa 40 mg a dosi divise per raggiungere un livello di stabilizzazione adeguato. Dopo 2-3 giorni di stabilizzazione riducono gradualmente la dose di compresse di cloridrato di metadone. Ridurre la dose di compresse di metadone cloridrato su base giornaliera o a intervalli di 2 giorni mantenendo sufficiente la quantità di compresse di cloridrato di metadone per mantenere i sintomi di astinenza a un livello tollerabile.

I pazienti ospedalizzati possono tollerare una riduzione giornaliera del 20% della dose giornaliera totale. I pazienti ambulatoriali potrebbero aver bisogno di un programma più lento.

Trattamento di titolazione e mantenimento della disintossicazione della dipendenza da oppiacei

I pazienti con titolazione del trattamento di mantenimento per una dose che impediscono i sintomi di astinenza da oppiacei per 24 ore riducono la fame o la brama di droghe e blocca o attenua gli effetti euforici degli oppioidi auto -somministrati assicurando che il paziente sia tollerante agli effetti sedativi del metadono. La stabilità più comunemente clinica si ottiene a dosi tra 80 e 120 mg/die.

Prelievo supervisionato dal punto di vista medico dopo un periodo di trattamento di manutenzione per dipendenza da oppiacei

Vi è una notevole variabilità nel tasso appropriato di cono con tena di metadone nei pazienti che scelgono il ritiro supervisionato dal punto di vista medico dal trattamento con metadone. Le riduzioni della dose dovrebbero essere generalmente inferiori al 10% della tolleranza stabilita o della dose di mantenimento e intervalli da 10 a 14 giorni dovrebbero trascorrere tra riduzioni della dose. Apprendere i pazienti con alto rischio di recidiva per l'uso illecito di droghe associate alla sospensione del trattamento di mantenimento del metadone.

Rischio di recidiva nei pazienti sul trattamento di mantenimento del metadone della dipendenza da oppiacei

La brusca interruzione degli oppiacei può portare allo sviluppo di sintomi di astinenza da oppiacei [vedi Abuso e dipendenza da droghe ]. Opioid withdrawal sympAms have been associated with an increased risk of relapse A illicit drug use in susceptible patients.

Considerazioni per la gestione del dolore acuto durante il trattamento di mantenimento del metadone

Non ci si può aspettare che i pazienti in trattamento per il mantenimento del metadone per la dipendenza da oppiacei che subiscono un dolore postoperatorio di traumi fisici o altro dolore acuto derivi dall'analgesia dalla loro dose esistente di metadone. Tali pazienti dovrebbero essere somministrati analgesici, compresi gli oppioidi in dosi che sarebbero altrimenti indicate per pazienti non trattati con methadone con condizioni dolorose simili. Quando sono necessari oppioidi per la gestione del dolore acuto nei pazienti di mantenimento del metadone leggermente più elevati e/o più dosi più frequenti saranno spesso richieste di quanto non sarebbe il caso per i pazienti non tolleranti a causa della tolleranza agli oppioidi indotta dal metadone.

Dosaggio Adjustment During Gravidanza

La clearance del metadone può essere aumentata durante la gravidanza. Durante la gravidanza potrebbe essere necessario aumentare la dose di metadone di una donna o l'intervallo di dosaggio è diminuito. Il metadone dovrebbe essere usato in gravidanza solo se il potenziale beneficio giustifica il rischio potenziale per il feto [vedi Utilizzare in popolazioni specifiche ].

Come fornito

Dosaggio FOms And Strengths

Le compresse di metadone cloridrato sono disponibili in resistenza al dosaggio di 10 mg. Le compresse da 10 mg sono bianche rotonde e sono ASC 116 debossa su un lato e segnati dall'altra parte.

Archiviazione e maneggevolezza

Le compresse di metadone cloridrato USP contiene metadone che è una sostanza controllata. Come il metadone di ossycodone di ossicodone di fentanil morfina e metadone di Oxymerphone è controllato ai sensi dell'Allegato II del Federal Controlled Substances Act. Le compresse di metadone cloridrato USP possono essere prese di mira per il furto e la diversione da parte dei criminali [vedi AVVERTIMENTOS AND PRECAUZIONI ].

Distribuire in un contenitore resistente alla luce stretta come definito nell'USP/NF.

Conservare a 25 ° C (77 ° F); Escursioni consentite da 15 ° a 30 ° C (da 59 ° a 86 ° F) [vedi A temperatura ambiente controllata da USP ].

Compresse di cloridrato di metadone USP

Compresse da 10 mg : Tablet Biconvex rotondo bianco segnato su un lato e ha debossato ASC 116 dall'altra parte.

Ndc 67877-116-01: bottiglie di 100 compresse.

Modulo d'ordine DEA richiesto.

Prodotto per: Ascend Laboratories LLC Montvale NJ 07645. Prodotto da: Elite Laboratories Inc. Northvale NJ 07647. Revisionato: aprile 2015

Usi per la città

La dolofina è indicata per:

  • Gestione del dolore abbastanza grave da richiedere un trattamento con oppioidi a lungo termine quotidiano a lungo termine e per il quale le opzioni di trattamento alternative sono inadeguate.

    Limiti di utilizzo

    1. A causa dei rischi di abuso di dipendenza e uso improprio con gli oppioidi anche a dosi raccomandate e a causa dei maggiori rischi di sovradosaggio e morte con oppioidi ad azione prolungata riservano la dolofina per l'uso in pazienti per i quali non sono alternativi al difensori non sono stati tollerati.
    2. La dolofina non è indicata come analgesico come necessario (PRN).
  • Trattamento di disintossicazione della dipendenza da oppiacei (eroina o altri farmaci simili alla morfina).
  • Trattamento di manutenzione della dipendenza da oppiacei (eroina o altri farmaci simili alla morfina) in combinazione con adeguati servizi sociali e medici.

Condizioni per la distribuzione e l'uso di prodotti di metadone per il trattamento della dipendenza da oppiacei

Codice dei regolamenti federali Titolo 42 sec 8

I prodotti di metadone se utilizzati per il trattamento della dipendenza da oppiacei nei programmi di disintossicazione o manutenzione devono essere erogati solo da programmi di trattamento degli oppiacei (e agenzie professionisti o istituzioni mediante accordo formale con lo sponsor del programma) certificato dall'amministrazione dei servizi di abuso di sostanze e della salute mentale e approvati dall'autorità statale designata. I programmi di trattamento certificati devono dispensare e utilizzare il metadone solo in forma orale e secondo i requisiti di trattamento stabiliti negli standard federali di trattamento degli oppiacei (42 CFR 8.12). Vedi di seguito per importanti eccezioni normative al requisito generale per la certificazione per fornire un trattamento agonista da oppiacei.

La mancata osservanza dei requisiti in questi regolamenti può comportare sequestri penali per la revoca dell'approvvigionamento della droga dell'approvazione del programma e dell'ingiunzione che preclude il funzionamento del programma.

Eccezioni normative al requisito generale per la certificazione per fornire un trattamento agonista degli oppiacei: durante l'assistenza ospedaliera quando il paziente è stato ammesso per qualsiasi condizione diversa dalla dipendenza da oppiacei simultanei (ai sensi del 21CFR 1306.07 (c)) per facilitare il trattamento della diagnosi di ammissione primaria). Durante un periodo di emergenza non più lungo di 3 giorni, mentre le cure definitive per la dipendenza vengono ricercate in una struttura adeguatamente autorizzata (ai sensi del 21CFR 1306.07 (b)).

Dosaggio fO Dolophine

Informazioni generali importanti

  • L'effetto depressivo respiratorio di picco del metadone si verifica più tardi e persiste più a lungo del suo effetto terapeutico di picco.
  • Un alto grado di tolleranza agli oppioidi non elimina la possibilità di overdose di metadone iatrogeno o altro. I decessi sono stati segnalati durante la conversione in metadone dal trattamento cronico ad alte dosi con altri agonisti degli oppioidi e durante l'inizio del trattamento con metadone della dipendenza in soggetti in precedenza abusando di alte dosi di altri agonisti.
  • Con il ripetuto metadone di dosaggio viene trattenuto nel fegato e quindi rilasciato lentamente prolungando la durata della potenziale tossicità.
  • Il metadone ha uno stretto indice terapeutico soprattutto se combinato con altri farmaci.

Dosaggio iniziale per la gestione del dolore

La dolofina dovrebbe essere prescritta solo da operatori sanitari che sono ben informati nell'uso di potenti oppioidi per la gestione del dolore cronico.

Considera i seguenti importanti fattori che differenziano il metadone dagli altri analgesici degli oppioidi:

  • Vi è un'elevata variabilità interpaziente nel metabolismo dell'assorbimento e sulla potenza analgesica relativa. I rapporti di conversione equianalgesica basati sulla popolazione tra metadone e altri oppioidi non sono accurati se applicati agli individui.
  • La durata dell'azione analgesica del metadone è da 4 a 8 ore (basata su studi a dosi monodose) ma l'emivita di eliminazione del plasma è dalle 8 alle 59 ore.
  • Le concentrazioni plasmatiche allo stato stazionario e gli effetti analgesici completi non sono raggiunti fino a 3-5 giorni su una dose e possono richiedere più tempo in alcuni pazienti.

Avvia il regime di dosaggio per ciascun paziente tenendo conto individuale della precedente esperienza di trattamento analgesico del paziente e dei fattori di rischio per l'abuso e l'abuso di dipendenza [vedi AVVERTIMENTOS AND PRECAUZIONI ]. MoniAr patients closely fO respiraAry depression especially within the first 24 A 72 hours of initiating therapy with La città [see AVVERTIMENTOS AND PRECAUZIONI ].

Uso della dolofina come primo analgesico oppiaceo : Iniziare il trattamento con dolofina con 2,5 mg per via orale ogni 8-12 ore.

Conversione da altri oppioidi orali in dolofina : Interrompere tutti gli altri farmaci oppioidi in crisi quando viene avviata la terapia della dolofina. I decessi si sono verificati nei pazienti tolleranti agli oppioidi durante la conversione in metadone.

Mentre ci sono utili tabelle di equivalenti oppioidi prontamente disponibili, esiste una sostanziale variabilità inter-paziente nella potenza relativa di diversi farmaci e prodotti oppioidi. In quanto tale, è più sicuro sottovalutare i requisiti di metadone orale di un paziente e fornire farmaci per il salvataggio (ad esempio oppioidi a rilascio immediato) che sopravvalutare i requisiti di metadone orale 24 ore su 24 che potrebbero causare reazioni avverse. Con il dosaggio ripetuto, la potenza del metadone aumenta a causa dell'accumulo sistemico.

Considera quanto segue quando si utilizza le informazioni nella Tabella 1:

  • Questo è non una tabella di dosi equinalgesiche.
  • I fattori di conversione in questa tabella sono solo per la conversione da Un altro analgesico oppioide orale A La città.
  • Il tavolo non può essere usato per convertire da La città A Un altro oppioide. Ciò comporterà una sopravvalutazione della dose del nuovo oppioide e può provocare un sovradosaggio fatale.

Tabella 1: fattori di conversione in dolofina

Dose equivalente totale di morfina orale di base giornaliera Requisito di metadone orale giornaliero stimato come percentuale della dose equivalente totale della morfina giornaliera
<100 mg 20% al 30%
Da 100 a 300 mg Dal 10% al 20%
Da 300 a 600 mg Dall'8% al 12%
600 mg a 1000 mg Dal 5% al ​​10%
> 1000 mg <5 %

Per calcolare la dose stimata della dolofina usando la Tabella 1:

  • Per i pazienti con una singola somma di oppioidi l'attuale dose giornaliera totale della oppioide lo convertono in una dose equivalente di morfina in base al fattore di conversione specifico per quell'oppioide specifico quindi moltiplica la dose equivalente alla morfina per la percentuale corrispondente nella tabella precedente per calcolare la dose giornaliera del metadone orale approssimativo. Dividi la dose totale di metadone giornaliero derivato dalla tabella sopra per riflettere il programma di dosaggio previsto (cioè per la somministrazione ogni 8 ore Dividi la dose totale di metadone giornaliero di 3).
  • Per i pazienti su un regime di più di un oppioide calcola la dose approssimativa del metadone orale per ciascun oppioide e somma i totali per ottenere la dose giornaliera di metadone totale approssimativa. Dividi la dose totale di metadone giornaliero derivato dalla tabella sopra per riflettere il programma di dosaggio previsto (cioè per la somministrazione ogni 8 ore Dividi la dose totale di metadone giornaliero di 3).
  • Per i pazienti su un regime di prodotti analgesici oppioidi/non oppioidi a rapporto fisso, utilizzare solo il componente oppioide di questi prodotti nella conversione.

Abbassa sempre la dose, se necessario, alla / i appropriata (e) resistenza alla dolophina.

Esempio di conversione da un singolo oppioide alla dolofina:

Passaggio 1: Sum la dose giornaliera totale dell'oppioide (in questo caso Morfina estese compresse di rilascio 50 mg due volte al giorno)

Compresse di rilascio esteso da 50 mg di morfina 2 volte al giorno = 100 mg di dose giornaliera totale di morfina

Passaggio 2: Calcola la dose approssimativa equivalente di dolofina in base alla dose giornaliera totale di morfina usando la Tabella 1.

100 mg di dose giornaliera totale di morfina x 15% (dal 10% al 20% per tabella 1) = 15 mg di dolofina al giorno

Passaggio 3: Calcola la dose di partenza approssimativa della dolofina da somministrazione ogni 12 ore. Arrotonda se necessario per le forze di dolofina appropriate disponibili. 15 mg al giorno / 2 = 7,5 mg di dolofina ogni 12 ore

Quindi 7,5 mg vengono arrotondati a 5 mg di dolofina ogni 12 ore

La stretta osservazione e la frequente titolazione sono garantite fino a quando la gestione del dolore è stabile sul nuovo oppioide. Monitorare i pazienti per segni e sintomi di ritiro degli oppiacei o per segni di sovra-sedazione/tossicità dopo aver convertito i pazienti in dolofina.

Conversione dal metadone parenterale alla dolofina : Utilizzare un rapporto di conversione di 1: 2 mg per metadone parenterale a quello orale (ad es. 5 mg di metadone parenterale a 10 mg di metadone orale).

Titolazione e mantenimento della terapia per il dolore

Singolarmente titolare la dolofina a una dose che fornisce un'analgesia adeguata e minimizza le reazioni avverse. Rivaluta continuamente i pazienti che ricevono la dolofina per valutare il mantenimento del controllo del dolore e l'incidenza relativa delle reazioni avverse, nonché il monitoraggio per lo sviluppo di abusi o uso improprio della dipendenza. La comunicazione frequente è importante tra il prescrittore altri membri del team sanitario, il paziente e il caregiver/famiglia durante i periodi di cambiamento dei requisiti analgesici, incluso la titolazione iniziale. Durante la terapia cronica rivaluta periodicamente la continua necessità dell'uso di analgesici oppioidi.

A causa della variabilità individuale nel profilo farmacocinetico (ovvero l'emivita terminale (T½) da 8 a 59 ore in diversi studi [vedi Farmacologia clinica ]) La dolofina tirata lentamente con la dose aumenta non più frequente di ogni 3-5 giorni. Tuttavia, a causa di questa elevata variabilità, alcuni pazienti possono richiedere periodi sostanzialmente più lunghi tra aumenti della dose (fino a 12 giorni). Monitorare attentamente i pazienti per lo sviluppo di reazioni avverse potenzialmente potenzialmente letali (ad es. SNC e depressione respiratoria).

I pazienti che soffrono di dolore innovativo possono richiedere un aumento della dose della dolofina o possono aver bisogno di farmaci per il salvataggio con una dose appropriata di un farmaco a rilascio immediato. Se il livello di dolore aumenta dopo la stabilizzazione della dose, tenta di identificare la fonte di aumento del dolore prima di aumentare la dose di dolofina.

Se si osservano reazioni avverse correlate agli oppiacei inaccettabili, le dosi successive possono essere ridotte e/o l'intervallo di dosaggio regolato (cioè ogni 8 ore o ogni 12 ore). Regolare la dose per ottenere un adeguato equilibrio tra la gestione del dolore e le reazioni avverse correlate agli oppioidi.

Interruzione della dolofina per il dolore

Quando un paziente non richiede più terapia con dolofina per il dolore, usa una titolazione graduale verso il basso della dose ogni due o quattro giorni per prevenire segni e sintomi di ritiro nel paziente fisicamente dipendente. Non interrompere bruscamente la dolofina.

Dosaggio di induzione/iniziale per il trattamento di disintossicazione e mantenimento della dipendenza da oppiacei

Per la disintossicazione e il mantenimento della dipendenza da oppiacei il metadone deve essere somministrato in conformità con gli standard di trattamento citati nella sezione 8.12 42 CFR, comprese le limitazioni sulla somministrazione non supervisionata.

Somministrare la dose iniziale di metadone sotto supervisione quando non vi sono segni di sedazione o intossicazione e il paziente mostra sintomi di astinenza. Una dose singola iniziale da 20 a 30 mg di dolofina sarà spesso sufficiente per sopprimere i sintomi di astinenza. La dose iniziale non deve superare i 30 mg.

Per effettuare le rettifiche di dosaggio nello stesso giorno, il paziente attende da 2 a 4 ore per ulteriori valutazioni quando sono stati raggiunti i livelli di picco. Fornire ulteriori da 5 a 10 mg di dolofina se i sintomi di astinenza non sono stati soppressi o se i sintomi riappariscono.

La dose giornaliera totale di dolofina il primo giorno di trattamento non dovrebbe normalmente superare i 40 mg. Regola la dose durante la prima settimana di trattamento in base al controllo dei sintomi di astinenza al momento dell'attività di picco prevista (ad esempio da 2 a 4 ore dopo il dosaggio). Quando si regola la dose, tieni presente che i livelli di metadone si accumuleranno nei primi giorni di dosaggio; I decessi si sono verificati nel trattamento precoce a causa degli effetti cumulativi. Istruire i pazienti che la dose manterrà per un periodo di tempo più lungo man mano che si accumulano i tessuti di metadone.

Utilizzare dosi iniziali inferiori per i pazienti la cui tolleranza dovrebbe essere bassa all'ingresso del trattamento. Qualsiasi paziente che non ha assunto oppioidi per più di 5 giorni potrebbe non essere più tollerante. Non determinare dosi iniziali in base a episodi di trattamento precedente o dollari spesi al giorno per uso illecito di droghe.

Disintossicazione a breve termine : Per un breve ciclo di stabilizzazione seguito da un periodo di ritiro supervisionato dal punto di vista medico, titolare il paziente a una dose giornaliera totale di circa 40 mg a dosi divise per raggiungere un livello di stabilizzazione adeguato. Dopo 2-3 giorni di stabilizzazione riducono gradualmente la dose di dolofina. Ridurre la dose di dolofina su base giornaliera o ad intervalli di 2 giorni mantenendo la quantità di dolofina sufficiente per mantenere i sintomi di astinenza a un livello tollerabile. I pazienti ospedalizzati possono tollerare una riduzione giornaliera del 20% della dose giornaliera totale. I pazienti ambulatoriali potrebbero aver bisogno di un programma più lento.

Trattamento di titolazione e mantenimento della disintossicazione della dipendenza da oppiacei

I pazienti con titolazione del trattamento di mantenimento per una dose che impediscono i sintomi di astinenza da oppiacei per 24 ore riducono la fame o la brama di droghe e blocca o attenua gli effetti euforici degli oppioidi auto -somministrati assicurando che il paziente sia tollerante agli effetti sedativi del metadono. La stabilità più comunemente clinica si ottiene a dosi tra 80 e 120 mg/die.

Prelievo supervisionato dal punto di vista medico dopo un periodo di trattamento di manutenzione per dipendenza da oppiacei

Vi è una notevole variabilità nel tasso appropriato di cono con tena di metadone nei pazienti che scelgono il ritiro supervisionato dal punto di vista medico dal trattamento con metadone. Le riduzioni della dose dovrebbero essere generalmente inferiori al 10% della tolleranza stabilita o della dose di mantenimento e intervalli da 10 a 14 giorni dovrebbero trascorrere tra riduzioni della dose. Apprendere i pazienti con alto rischio di recidiva per l'uso illecito di droghe associate alla sospensione del trattamento di mantenimento del metadone.

Rischio di recidiva nei pazienti sul trattamento di mantenimento del metadone della dipendenza da oppiacei

La brusca interruzione degli oppiacei può portare allo sviluppo di sintomi di astinenza da oppiacei [vedi Abuso e dipendenza da droghe ]. Opioid withdrawal sympAms have been associated with an increased risk of relapse A illicit drug use in susceptible patients.

Considerazioni per la gestione del dolore acuto durante il trattamento di mantenimento del metadone

Non ci si può aspettare che i pazienti in trattamento per il mantenimento del metadone per la dipendenza da oppiacei che subiscono un dolore postoperatorio di traumi fisici o altro dolore acuto derivi dall'analgesia dalla loro dose esistente di metadone. Tali pazienti dovrebbero essere somministrati analgesici, compresi gli oppioidi in dosi che sarebbero altrimenti indicate per pazienti non trattati con methadone con condizioni dolorose simili. Quando sono necessari oppioidi per la gestione del dolore acuto nei pazienti di mantenimento del metadone leggermente più elevati e/o più dosi più frequenti saranno spesso richieste di quanto non sarebbe il caso per i pazienti non tolleranti a causa della tolleranza agli oppioidi indotta dal metadone.

Dosaggio Adjustment During Gravidanza

La clearance del metadone può essere aumentata durante la gravidanza. Durante la gravidanza potrebbe essere necessario aumentare la dose di metadone di una donna o l'intervallo di dosaggio è diminuito. Il metadone dovrebbe essere usato in gravidanza solo se il potenziale beneficio giustifica il rischio potenziale per il feto [vedi Utilizzare in popolazioni specifiche ].

Come fornito

Dosaggio FOms And Strengths

La città tablets are available in 5 mg E 10 mg dosage strengths. The Le compresse da 5 mg sono tavolette bianche rotonde in biconvex segnate su un lato e identificazione del prodotto 54 162 debossa dall'altra parte. Le compresse da 10 mg sono compresse di biconvex rotonde bianche punteggi su un lato e identificazione del prodotto 54 549 debossali dall'altra parte.

Archiviazione e maneggevolezza

La città contains methadone which is a controlled substance. Like fentanyl mOphine oxycodone hydromOphone E oxymOphone methadone is controlled under Schedule II of the Federal Sostanza controllatas Act. La città may be targeted fO theft E diversion by criminals [see AVVERTIMENTOS AND PRECAUZIONI ].

Distribuire in un contenitore resistente ai bambini resistenti alla luce stretta come definito nell'USP/NF.

Conservare da 20 ° a 25 ° C (da 68 ° a 77 ° F). [Vedere A temperatura ambiente controllata da USP .

La città (methadone hydrochlOide USP) Tablets

Le compresse da 5 mg sono tavolette bianche rotonde in biconvex segnate su un lato e identificazione del prodotto 54 162 debossa dall'altra parte.

Ndc 0054-4218-25: bottiglia di 100 compresse

Le compresse da 10 mg sono compresse di biconvex rotonde bianche punteggi su un lato e identificazione del prodotto 54 549 debossali dall'altra parte.

Ndc 0054-4219-25: bottiglia di 100 compresse

Modulo d'ordine DEA richiesto.

Distr. Di: West-Ward Pharmaceuticals Corp. Eatontown NJ 07724. Revisionato marzo 2016

Effetti collaterali fO Dolophine

Le seguenti gravi reazioni avverse sono discusse altrove nell'etichettatura:

  • Abuso e uso improprio della dipendenza [see AVVERTIMENTOS AND PRECAUZIONI ]
  • Depressione respiratoria pericolosa per la vita [vedi AVVERTIMENTOS AND PRECAUZIONI ]
  • Prolungamento QT [vedi AVVERTIMENTOS AND PRECAUZIONI ]
  • Sindrome da astinenza da oppiacei neonatali [see AVVERTIMENTOS AND PRECAUZIONI ]
  • Interazioni con altri depressivi del SNC [vedi AVVERTIMENTOS AND PRECAUZIONI ]
  • Effetto ipotensivo [vedi AVVERTIMENTOS AND PRECAUZIONI ]
  • Effetti gastrointestinali [vedi AVVERTIMENTOS AND PRECAUZIONI ]
  • Convulsioni [vedi AVVERTIMENTOS AND PRECAUZIONI ]

I principali pericoli del metadone sono la depressione respiratoria e in misura minore ipotensione sistemica. Si sono verificati arresti cardiaci di shock respiratorio e morte.

Le reazioni avverse più frequentemente osservate includono il vomito e la sudorazione della nausea sedazione vertigini di vertigini. Questi effetti sembrano essere più importanti nei pazienti ambulatoriali e in coloro che non soffrono di dolore grave. In tali individui sono consigliabili dosi inferiori.

Altre reazioni avverse includono quanto segue:

Corpo nel suo insieme: Ashenia (debolezza) Edema Mal di testa

Cardiovascolare: Aritmie Bigeminali Rhythms Bradicardia Cardiomiopatia Anomalie Extrasstoles che sciacquano l'insufficienza cardiaca Ipotensione Palpitazioni phlebiti Qt Intervallo di prolungazione Syncope T-ondata Tachycardia Torsades De Points Deintrys Fibrillation Tachicardia ventricolare

Sistema nervoso centrale: Agitazione Confusione Disorientamento Disforia Euforia Insonnia allucinazioni convulsioni Disturbi visivi

Endocrino: ipogonadismo

Gastrointestinale: dolore addominale anoressia tratto biliare costipazione glossite secca secca

Ematologico: La trombocitopenia reversibile è stata descritta nei tossicodipendenti da oppiacei con epatite cronica

Metabolico: ipomagnesemia ipomagnesemia

Renale: Effetto antidiuretico Conservazione urinaria o esitazione

Riproduttivo: l'amenorrea ridotta la libido e/o la potenza ridotta volume eiaculato ridotto la vescicola seminale e le secrezioni della prostata hanno ridotto le anomalie della motilità degli spermatozoi nella morfologia degli spermatozoi

Respiratorio: depressione respiratoria dell'edema polmonare

Pelle e tessuto sottocutaneo: prurito orticaria altre eruzioni cutanee e raramente orticaria emorragica

Ipersensibilità: L'anafilassi è stata segnalata con ingredienti contenuti nella dolofina. Consiglia ai pazienti come riconoscere tale reazione e quando consultare il medico.

Manutenzione su una dose stabilizzata: Durante la somministrazione prolungata di metadone come in un programma di trattamento di mantenimento del metadone la costipazione e la sudorazione spesso persistono e l'ipogonadismo diminuisce il testosterone sierico e si ritiene che gli effetti riproduttivi siano correlati all'uso cronico degli oppioidi.

La città fO the DeAxification E Maintenance Treatment of Opioid Dipendenza: Durante la fase di induzione del trattamento di mantenimento del metadone, i pazienti vengono ritirati da oppioidi illeciti e possono avere sintomi di astinenza da oppiacei. Monitorare i pazienti per segni e sintomi tra cui: Laccrimazione Rhinorrea che starnuisce sbadiglio eccessivo sudorazione-poca febbre gelida che si alterna al lavaggio dell'irritabilità di irritabilità di debolezza della depressione dell'ansia di dilatazione del diagramma e dei movimenti di perdita del corpo e dei movimenti del corpo dei crampi per la perdita del corpo e della perdita di perdita di peso e della perdita di peso del corpo e della perdita di perdita di peso e dei crampi per la perdita di peso del corpo e della perdita di peso e dei movimenti per la perdita del corpo e per la perdita di peso del corpo e per la perdita di perdita di peso e per la perdita di peso del corpo e della perdita di perdita di perdita di peso e della perdita di peso del corpo e della perdita di peso del corpo e della perdita di perdita di peso e della perdita di peso del corpo e della perdita di perdita di peso e nella perdita di peso del corpo e nella perdita di peso dei crampi per la perdita del corpo e nella perdita di peso del corpo e si Regolazione come indicato.

Interazioni farmacologiche fO Dolophine

Depressivi del SNC

L'uso concomitante della dolofina con altri depressivi del SNC, tra cui sedativi ipnotici tranquillizzatori, fenotiazine generali di anestetici Altri oppioidi e alcol può aumentare il rischio di depressione respiratoria profonda coma e morte. Monitorare i pazienti che ricevono depressivi del SNC e dolofina per segni di sedazione della depressione respiratoria e ipotensione.

Quando la terapia combinata con uno dei farmaci di cui sopra è considerata la dose di uno o entrambi gli agenti, dovrebbe essere ridotta [avvertimenti e precauzioni (NULL,5)].

I decessi sono stati segnalati quando il metadone è stato abusato in combinazione con benzodiazepine.

I farmaci che colpiscono il citocromo p450 sono gli anzimi

Il metadone subisce n-demetilazione epatica delle isoforme del citocromo P450 (CYP) principalmente CYP3A4 CYP2B6 CYP2C19 e in misura minore da parte di CYP2C9 e CYP2D6 [vedi Farmacologia clinica ].

Inibitori di CYP3A4 e 2C9 : Poiché l'isoenzima del CYP3A4 svolge un ruolo importante nel metabolismo dei farmaci del metadone che inibiscono l'attività del CYP3A4 può causare una ridotta clearance del metadone che potrebbe portare ad un aumento delle concentrazioni plasmatiche del metadone e causare effetti di oppioidi aumentati o prolungati. Questi effetti potrebbero essere più pronunciati con l'uso concomitante degli inibitori del CYP 2C9 e 3A4. Se la co-somministrazione con la dolofina è necessaria, monitorare i pazienti per la depressione respiratoria e la sedazione a intervalli frequenti e considerare gli aggiustamenti della dose fino a quando non vengono raggiunti gli effetti di droga stabili [vedi Farmacologia clinica ].

Induttori di CYP3A4 : Gli induttori del CYP450 3A4 possono indurre il metabolismo del metadone e quindi possono causare un aumento della clearance del farmaco che potrebbe portare a una diminuzione delle concentrazioni plasmatiche del metadone Mancano l'efficacia o eventualmente lo sviluppo di una sindrome da astinenza in un paziente che aveva sviluppato la dipendenza fisica al metadono. Se la co-somministrazione con la dolofina è necessaria, monitor per i segni di ritiro degli oppiacei e considerare gli aggiustamenti della dose fino a quando non vengono raggiunti gli effetti del farmaco stabili [vedi Farmacologia clinica ].

Dopo aver interrotto il trattamento di un induttore del CYP3A4 man mano che gli effetti del declino dell'induttore la concentrazione plasmatica del metadone aumenterà che potrebbe aumentare o prolungare sia gli effetti terapeutici che quelli avversi e possono causare gravi depressione respiratoria. Se la co-somministrazione o l'interruzione di un induttore del CYP3A4 con dolofina è necessario monitorare per i segni di ritiro degli oppiacei e considerare gli aggiustamenti della dose fino a quando non si ottengono effetti farmacologici [vedi Farmacologia clinica ].

Effetti paradossali degli agenti antiretrovirali sulla dolofina : L'uso concomitante di alcuni agenti antiretrovirali con solo attività inibitoria del CYP3A4 e in combinazione come Abacavir amprenavir Darunavir ritonavir efavirenz Nelfinavir nevirapine ritonavir telaprevir telaprevir lopinavir ritonavir saquinavir ritonavir e tipravir in aumento della clearance O decreased plasma levels of methadone. This may result in reduced efficacy of La città E could precipitate a withdrawal syndrome. MoniAr methadone-maintained patients receiving any of these anti-retroviral therapies closely fO evidence of withdrawal effects E adjust the methadone dose accOdingly.

Effetti della dolofina sugli agenti antiretrovirali : Didanosina e stavudina: l'evidenza sperimentale ha dimostrato che il metadone ha ridotto l'area sotto la curva del tempo di concentrazione (AUC) e i livelli di picco per didanosina e stavudina con una riduzione più significativa della didanosina. La disposizione del metadone non è stata sostanzialmente modificata.

Zidovudina : Prove sperimentali hanno dimostrato che il metadone ha aumentato l'AUC della zidovudina che potrebbe causare effetti tossici.

Agenti potenzialmente aritmogenici

Monitor patients closely for cardiac conduction changes when any drug known to have the potential to prolong the QT interval is prescribed in conjunction with methadone. Pharmacodynamic interactions may occur with concomitant use of methadone and potentially arrhythmogenic agents such as class I and III antiarrhythmics some neuroleptics and tricyclic antidepressants and calcium channel blockers.

Analogamente monitorare attentamente i pazienti quando si prescrive il metadone in concomitanza con farmaci in grado di indurre disturbi elettroliti (ipomagnesemia iponokalemia) che possono prolungare l'intervallo QT inclusi lassativi diuretici e in rari casi di mineralocorticoidi.

Agonista mista/antagonista e analgesici oppiacei agonisti parziali

L'agonista/antagonista misto (cioè la pentazocina nalbuphina e il butorfanolo) e gli analgesici agonisti parziali (buprenorfina) possono ridurre l'effetto analgesico della dolofina o precipitare i sintomi di astinenza. Evita l'uso di agonisti/antagonisti misti e analgesici agonisti parziali nei pazienti che ricevono la dolofina.

Antidepressivi

Inibitori della monoamina ossidasi (MAO) : Le dosi terapeutiche di meperidina hanno precipitato reazioni gravi nei pazienti che ricevono contemporaneamente inibitori della monoamina ossidasi o coloro che hanno ricevuto tali agenti entro 14 giorni. Reazioni simili finora non sono state riportate con metadone. Tuttavia, se l'uso del metadone è necessario in tali pazienti è necessario eseguire un test di sensibilità in cui vengono somministrate ripetute piccole dosi incrementali di metadone nel corso di diverse ore mentre le condizioni del paziente e i segni vitali vengono attentamente osservati.

Descrizione : I livelli ematici di desipramina sono aumentati con la somministrazione di metadone concomitante.

Anticolinergici

Anticolinergici O other drugs with anticholinergic activity when used concurrently with opioids may result in increased risk of urinary retention E/O severe stipsi which may lead A paralytic ileus. MoniAr patients fO signs of urinary retention O reduced gastric motility when La città is used concurrently with anticholinergic drugs.

Interazioni di test di laboratorio

Schermate di farmaci di urina falsi positivi per il metadone sono stati riportati per diversi farmaci tra cui la difenidramina doxilammina clorpramina clorpromazina la quetiapina e il verapamil.

Abuso e dipendenza da droghe

Sostanza controllata

Il metadone è un oppiaceo mu-agonista con una responsabilità di abuso simile ad altri agonisti degli oppiacei ed è una sostanza controllata dal programma II. Il metadone può essere abusato ed è soggetto a dipendenza da uso improprio e diversione criminale [vedi AVVERTIMENTOS AND PRECAUZIONI ].

Abuso

Tutti i pazienti trattati con oppioidi per la gestione del dolore richiedono un attento monitoraggio per i segni di abuso e dipendenza poiché l'uso di prodotti analgesici oppioidi comporta il rischio di dipendenza anche a causa di un adeguato uso medico.

L'abuso di droghe è l'uso intenzionale non terapeutico di un farmaco da banco o da prescrizione anche una volta per i suoi effetti psicologici o fisiologici gratificanti. L'abuso di droghe include ma non si limita ai seguenti esempi: l'uso di una prescrizione o un droga per il contropiede per aumentare o l'uso di steroidi per il miglioramento delle prestazioni e l'accumulo di muscoli.

La tossicodipendenza è un cluster di fenomeni cognitivi e fisiologici comportamentali che si sviluppano dopo ripetuti consumo di sostanze e includono: un forte desiderio di prendere le difficoltà della droga nel controllo del suo uso che persiste nel suo uso nonostante le conseguenze dannose una priorità più elevata data all'uso di droghe che ad altre attività e obblighi ha aumentato la tolleranza e talvolta un ritiro fisico.

Il comportamento in cerca di droghe è molto comune nei tossicodipendenti e nei tossicodipendenti. Le tattiche in cerca di droghe includono chiamate di emergenza o visite verso la fine delle ore di ufficio il rifiuto di sottoporsi a test di esame adeguati o ripetute richieste di prescrizioni perse che manomisono le prescrizioni e la riluttanza a fornire cartelle cliniche precedenti o informazioni di contatto per altri medici di trattamento. Lo shopping medico (visitare più prescrittori) per ottenere ulteriori prescrizioni è comune tra i tossicodipendenti e le persone che soffrono di dipendenza non trattata. La preoccupazione per il raggiungimento di un adeguato sollievo dal dolore può essere un comportamento appropriato in un paziente con scarso controllo del dolore.

Abuso E addiction are separate E distinct da physical dependence E Alerance. Physicians should be aware that addiction may non be accompanied by concurrent Alerance E sympAms of physical dependence in all addicts. In addition abuse of opioids can occur in the absence of true addiction.

La città like other opioids can be diverted fO non-medical use inA illicit channels of distribution. Careful recOd- keeping of prescribing infOmation including quantity frequency E renewal requests as required by state law is strongly advised.

Rischi specifici per l'abuso di dolofina

Abuso of La città poses a risk of overdose E death. This risk is increased with concurrent abuse of methadone E alcohol O other substances. La città is fO Oal use only E must non be injected. Parenteral drug abuse is commonly associated with transmission of infectious diseases such as hepatitis E HIV.

La corretta valutazione e la selezione del paziente adeguate pratiche di prescrizione adeguate rivalutazioni periodiche della terapia e adeguata distribuzione e conservazione sono misure appropriate che aiutano a limitare l'abuso di farmaci oppioidi.

Dipendenza

Sia la tolleranza che la dipendenza fisica possono svilupparsi durante la terapia cronica di oppioidi. La tolleranza è la necessità di aumentare le dosi di oppioidi per mantenere un effetto definito come l'analgesia (in assenza di progressione della malattia o altri fattori esterni). La tolleranza può verificarsi sia agli effetti desiderati che indesiderati dei farmaci e può svilupparsi a tassi diversi per effetti diversi.

La dipendenza fisica provoca sintomi di astinenza dopo interruzione brusca o una significativa riduzione della dose di un farmaco. Il ritiro può anche essere precipitato attraverso la somministrazione di farmaci con attività antagonista oppioide, ad es. Analgesici di agonista/antagonista misto di naloxone (pentazocina butorfanolo nalbuphina) o agonisti parziali (buprenorfina). La dipendenza fisica potrebbe non verificarsi in misura clinicamente significativa fino a dopo diversi giorni o settimane di continuo utilizzo degli oppioidi.

La città should non be abruptly discontinued [see Dosaggio e amministrazione ]. If La città is abruptly discontinued in a physically dependent patient an abstinence syndrome may occur. Some O all of the following can characterize this syndrome: irrequietezza lacrimation rhinOrhea yawning perspiration chills myalgia E mydriasis. Other signs E sympAms also may develop including irritability ansia backache joint pain debolezza abdominal cramps insomnia nausea anOexia vomito diarrea O increased blood pressure respiraAry rate O heart rate.

Utilizzare in popolazioni specifiche E AVVERTIMENTOS AND PRECAUZIONI ].

Effetti collaterali fO Dolophine

Le seguenti gravi reazioni avverse sono discusse altrove nell'etichettatura:

  • Abuso e uso improprio della dipendenza [see AVVERTIMENTOS AND PRECAUZIONI ]
  • Depressione respiratoria pericolosa per la vita [vedi AVVERTIMENTOS AND PRECAUZIONI ]
  • Prolungamento QT [vedi AVVERTIMENTOS AND PRECAUZIONI ]
  • Sindrome da astinenza da oppiacei neonatali [see AVVERTIMENTOS AND PRECAUZIONI ]
  • Interazioni con altri depressivi del SNC [vedi AVVERTIMENTOS AND PRECAUZIONI ]
  • Effetto ipotensivo [vedi AVVERTIMENTOS AND PRECAUZIONI ]
  • Effetti gastrointestinali [vedi AVVERTIMENTOS AND PRECAUZIONI ]
  • Convulsioni [vedi AVVERTIMENTOS AND PRECAUZIONI ]

I principali pericoli del metadone sono la depressione respiratoria e in misura minore ipotensione sistemica. Si sono verificate la shock di Res PiratoryRest Cardiacarrest e la morte.

Le reazioni avverse più frequentemente osservate includono il vomito e la sudorazione della nausea sedazione vertigini di vertigini. Questi effetti sembrano essere più importanti nei pazienti ambulatoriali e in coloro che non soffrono di dolore grave. In tali individui sono consigliabili dosi inferiori.

Altre reazioni avverse includono quanto segue:

Corpo nel suo insieme: Ashenia (debolezza) Edema Mal di testa

Cardiovascolare: Aritmias Bigeminal Rhythms Bradicardia Cardiomiopatia ECG Anomalie extrashole che sciacquano l'insufficienza cardiaca Ipotensione Palpitazioni phlebiti Qt Intervallo di intervallo di prolungazione Syncope T-onde Tachycardia torsades deuPhyades deuPhyades deupite eupitas Disorietamingeforia Disorientantica di deupizione di Agitazione Disorievole Allucinazioni di insonnia convulsioni disturbi visivi

Endocrino: ipogonadismo

Gastrointestinale: dolore addominale anoressia tratto biliare costipazione glossite secca secca

Ematologico: La trombocitopenia reversibile è stata descritta nei tossicodipendenti da oppiacei con epatite cronica

Metabolico: ipomagnesemia ipomagnesemia

Renale: Effetto antidiuretico Conservazione urinaria o esitazione

Riproduttivo: l'amenorrea ridotta la libido e/o la potenza ridotta volume eiaculato ridotto la vescicola seminale e le secrezioni della prostata hanno ridotto le anomalie della motilità degli spermatozoi nella morfologia degli spermatozoi

Respiratorio: depressione respiratoria dell'edema polmonare

Pelle e tessuto sottocutaneo: prurito orticaria altre eruzioni cutanee e raramente orticaria emorragica

Ipersensibilità: L'anafilassi è stata riportata con ingredienti contenuti nelle compresse di metadone cloridrato. Consiglia ai pazienti come riconoscere tale reazione e quando consultare il medico.

Manutenzione su una dose stabilizzata: During prolonged administration of methadone as in a methadone maintenance treatment program stipsi E sweating often persist E ipogonadismo decreased serum tesAsterone E reproductive effects are thought A be related A chronic opioid use.

Compresse di metadone cloridrato per il trattamento di disintossicazione e mantenimento della dipendenza da oppioidi

Durante la fase di induzione del trattamento di mantenimento del metadone, i pazienti vengono ritirati da oppioidi illeciti e possono avere sintomi di astinenza da oppiacei. Monitorare i pazienti per segni e sintomi tra cui: Laccrimazione Rhinorrea che starnuisce sbadiglio eccessivo sudorazione-poca febbre gelida che si alterna al lavaggio dell'irritabilità di irritabilità di debolezza della depressione dell'ansia di dilatazione del diagramma e dei movimenti di perdita del corpo e dei movimenti del corpo dei crampi per la perdita del corpo e della perdita di perdita di peso e della perdita di peso del corpo e della perdita di perdita di peso e dei crampi per la perdita di peso del corpo e della perdita di peso e dei movimenti per la perdita del corpo e per la perdita di peso del corpo e per la perdita di perdita di peso e per la perdita di peso del corpo e della perdita di perdita di perdita di peso e della perdita di peso del corpo e della perdita di peso del corpo e della perdita di perdita di peso e della perdita di peso del corpo e della perdita di perdita di peso e nella perdita di peso del corpo e nella perdita di peso dei crampi per la perdita del corpo e nella perdita di peso del corpo e si Regolazione come indicato.

Interazioni farmacologiche fO Dolophine

Depressivi del SNC

L'uso concomitante di compresse di metadone cloridrato con altri depressivi del SNC, tra cui sedativi, tranquilli tranquilizer fenotiazine generali fenotiazine Altri oppioidi e alcol può aumentare il rischio di depressione respiratoria profonda coma e morte. Monitorare i pazienti che ricevono depressivi del SNC e compresse di cloridrato di metadone per segni di sedazione della depressione respiratoria e ipotensione.

Quando la terapia combinata con uno dei farmaci di cui sopra è considerata la dose di uno o entrambi gli agenti, dovrebbe essere ridotta [avvertimenti e precauzioni (NULL,5)].

I decessi sono stati segnalati quando il metadone è stato abusato in combinazione con benzodiazepine.

Farmaci che colpiscono isoenzimi di citocromo p450

Il metadone subisce n-demetilazione epatica delle isoforme del citocromo P450 (CYP) principalmente CYP3A4 CYP2B6 CYP2C19 e in misura minore da parte di CYP2C9 e CYP2D6 [vedi Farmacologia clinica ].

Inibitori di CYP3A4 e 2C9

Poiché l'isoenzima del CYP3A4 svolge un ruolo importante nel metabolismo dei farmaci del metadone che inibiscono l'attività del CYP3A4 può causare una ridotta clearance del metadone che potrebbe portare ad un aumento delle concentrazioni plasmatiche del metadone e causare effetti di oppioidi aumentati o prolungati. Questi effetti potrebbero essere più pronunciati con l'uso concomitante degli inibitori del CYP 2C9 e 3A4. Se la co-somministrazione con compresse di metadone cloridrato è necessaria, monitorare i pazienti per la depressione respiratoria e la sedazione a intervalli frequenti e considerare gli aggiustamenti della dose fino a quando non si ottengono effetti farmacologici [vedi Farmacologia clinica ].

Induttori di CYP3A4

Gli induttori del CYP450 3A4 possono indurre il metabolismo del metadone e quindi possono causare un aumento della clearance del farmaco che potrebbe portare a una diminuzione delle concentrazioni plasmatiche del metadone Mancano l'efficacia o eventualmente lo sviluppo di una sindrome da astinenza in un paziente che aveva sviluppato la dipendenza fisica al metadono. Se la co-somministrazione con compresse di metadone cloridrato è necessaria il monito Farmacologia clinica ].

Dopo aver interrotto il trattamento di un induttore del CYP3A4 man mano che gli effetti del declino dell'induttore la concentrazione plasmatica del metadone aumenterà che potrebbe aumentare o prolungare sia gli effetti terapeutici che quelli avversi e possono causare gravi depressione respiratoria. Se la co-somministrazione o l'interruzione di un induttore del CYP3A4 con compresse di cloridrato di metadone è necessario monitorare il monitor per i segni di ritiro degli oppiacei e prendere in considerazione gli aggiustamenti della dose fino a quando non vengono raggiunti gli effetti del farmaco stabili. [Vedere Farmacologia clinica ].

Effetti paradossali degli agenti antiretrovirali sulle compresse di metadone cloridrato

L'uso concomitante di alcuni agenti antiretrovirali con solo attività inibitoria del CYP3A4 e in combinazione come Abacavir amprenavir Darunavir ritonavir efavirenz Nelfinavir nevirapine ritonavir telaprevir telaprevir lopinavir ritonavir saquinavir ritonavir e tipravir in aumento della clearance O decreased plasma levels of methadone. This may result in reduced efficacy of methadone hydrochlOide tablets E could precipitate a withdrawal syndrome. MoniAr methadonemaintained patients receiving any of these anti-retroviral therapies closely fO evidence of withdrawal effects E adjust the methadone dose accOdingly.

Effetti delle compresse di metadone cloridrato sugli agenti antiretrovirali: didanosina e stavudina : Prove sperimentali hanno dimostrato che il metadone ha ridotto l'area sotto la curva del tempo di concentrazione (AUC) e i livelli di picco per didanosina e stavudina con una riduzione più significativa della didanosina. La disposizione del metadone non è stata sostanzialmente modificata.

Zidovudina : Prove sperimentali hanno dimostrato che il metadone ha aumentato l'AUC della zidovudina che potrebbe causare effetti tossici.

Agenti potenzialmente aritmogenici

Monitor patients closely for cardiac conduction changes when any drug known to have the potential to  prolong the QT interval is prescribed in conjunction with methadone. Pharmacodynamic interactions may occur with concomitant use of methadone and potentially arrhythmogenic agents such as class I and III antiarrhythmics some neuroleptics and tricyclic antidepressants and calcium channel blockers.

Analogamente monitorare attentamente i pazienti quando si prescrive il metadone in concomitanza con farmaci in grado di indurre disturbi degli elettroliti (ipomagnesemia iponokalemia) che possono prolungare l'intervallo QT

Agonista mista/antagonista e analgesici oppiacei agonisti parziali

L'agonista/antagonista misto (cioè la pentazocina nalbuphina e il butorfanolo) e gli analgesici agonisti parziali (buprenorfina) possono ridurre l'effetto analgesico delle compresse di metadone cloridrato o precipitare i sintomi di astinenza. Evitare l'uso di agonisti/antagonisti misti e analgesici agonisti parziali in pazienti che hanno ricevuto compresse di metadone cloridrato.

Antidepressivi

Inibitori della monoamina ossidasi (MAO)

Le dosi terapeutiche di meperidina hanno precipitato reazioni gravi nei pazienti che ricevono contemporaneamente inibitori della monoamina ossidasi o coloro che hanno ricevuto tali agenti entro 14 giorni. Reazioni simili finora non sono state riportate con metadone. Tuttavia, se l'uso del metadone è necessario in tali pazienti è necessario eseguire un test di sensibilità in cui vengono somministrate ripetute piccole dosi incrementali di metadone nel corso di diverse ore mentre le condizioni del paziente e i segni vitali vengono attentamente osservati.

Descrizione

I livelli ematici di desipramina sono aumentati con la somministrazione di metadone concomitante.

Anticolinergici

Anticolinergici O other drugs with anticholinergic activity when used concurrently with opioids may result in increased risk of urinary retention E/O severe stipsi which may lead A paralytic ileus. MoniAr patients fO signs of urinary retention O reduced gastric motility when methadone hydrochlOide tablets is used concurrently with anticholinergic drugs.

Interazioni di test di laboratorio

Schermate di farmaci di urina falsi positivi per il metadone sono stati riportati per diversi farmaci tra cui la difenidramina doxilammina clorpramina clorpromazina la quetiapina e il verapamil.

Abuso e dipendenza da droghe

Sostanza controllata

Il metadone è un oppiaceo mu-agonista con una responsabilità di abuso simile ad altri agonisti degli oppiacei ed è una sostanza controllata dal programma II. Il metadone può essere abusato ed è soggetto a dipendenza da uso improprio e diversione criminale [vedi AVVERTIMENTOS AND PRECAUZIONI ].

Abuso

Tutti i pazienti trattati con oppioidi per la gestione del dolore richiedono un attento monitoraggio per i segni di abuso e dipendenza poiché l'uso di prodotti analgesici oppioidi comporta il rischio di dipendenza anche a causa di un adeguato uso medico.

L'abuso di droghe è l'uso intenzionale non terapeutico di un farmaco da banco o da prescrizione anche una volta per i suoi effetti psicologici o fisiologici gratificanti. L'abuso di droghe include ma non si limita ai seguenti esempi: l'uso di una prescrizione o un droga per il contropiede per aumentare o l'uso di steroidi per il miglioramento delle prestazioni e l'accumulo di muscoli.

La tossicodipendenza è un cluster di fenomeni cognitivi e fisiologici comportamentali che si sviluppano dopo ripetuti consumo di sostanze e includono: un forte desiderio di prendere le difficoltà della droga nel controllo del suo uso che persiste nel suo uso nonostante le conseguenze dannose una priorità più elevata data all'uso di droghe che ad altre attività e obblighi ha aumentato la tolleranza e talvolta un ritiro fisico.

Il comportamento in cerca di droghe è molto comune nei tossicodipendenti e nei tossicodipendenti. Le tattiche in cerca di droghe includono chiamate di emergenza o visite verso la fine delle ore di ufficio il rifiuto di sottoporsi a test di esame adeguati o ripetute richieste di prescrizioni perse che manomisono le prescrizioni e la riluttanza a fornire cartelle cliniche precedenti o informazioni di contatto per altri medici di trattamento. Lo shopping medico (visitare più prescrittori) per ottenere ulteriori prescrizioni è comune tra i tossicodipendenti e le persone che soffrono di dipendenza non trattata. La preoccupazione per il raggiungimento di un adeguato sollievo dal dolore può essere un comportamento appropriato in un paziente con scarso controllo del dolore.

Abuso E addiction are separate E distinct da physical dependence E Alerance. Physicians should be aware that addiction may non be accompanied by concurrent Alerance E sympAms of physical dependence in all addicts. In addition abuse of opioids can occur in the absence of true addiction.

La compressa di metadone cloridrato come altri oppioidi può essere deviato per uso non medico in canali di distribuzione illeciti. È fortemente consigliata un'attenta tenuta dei registri delle informazioni di prescrizione, tra cui la frequenza di quantità e le richieste di rinnovo, come richiesto dalla legge statale.

Rischi specifici per l'abuso di compresse di metadone cloridrato

Abuso of methadone hydrochlOide tablet poses a risk of overdose E death. This risk is increased with concurrent abuse of methadone E alcohol O other substances. Methadone hydrochlOide tablet is fO Oal use only E must non be injected. Parenteral drug abuse is commonly associated with transmission of infectious diseases such as hepatitis E HIV.

La corretta valutazione e la selezione del paziente adeguate pratiche di prescrizione adeguate rivalutazioni periodiche della terapia e adeguata distribuzione e conservazione sono misure appropriate che aiutano a limitare l'abuso di farmaci oppioidi.

Dipendenza

Sia la tolleranza che la dipendenza fisica possono svilupparsi durante la terapia cronica di oppioidi. La tolleranza è la necessità di aumentare le dosi di oppioidi per mantenere un effetto definito come l'analgesia (in assenza di progressione della malattia o altri fattori esterni). La tolleranza può verificarsi sia agli effetti desiderati che indesiderati dei farmaci e può svilupparsi a tassi diversi per effetti diversi.

La dipendenza fisica provoca sintomi di astinenza dopo interruzione brusca o una significativa riduzione della dose di un farmaco. Il ritiro può anche essere precipitato attraverso la somministrazione di farmaci con attività antagonista oppioide, ad es. Analgesici di agonista/antagonista misto di naloxone (pentazocina butorfanolo nalbuphina) o agonisti parziali (buprenorfina). La dipendenza fisica potrebbe non verificarsi in misura clinicamente significativa fino a dopo diversi giorni o settimane di continuo utilizzo degli oppioidi.

Le compresse di metadone cloridrato non devono essere bruscamente sospese [vedi Dosaggio e amministrazione ]. If methadone hydrochlOide tablet is abruptly discontinued in a physically dependent patient an abstinence syndrome may occur. Some O all of the following can characterize this syndrome: irrequietezza lacrimation rhinOrhea yawning perspiration chills myalgia E mydriasis. Other signs E sympAms also may develop including irritability ansia backache joint pain debolezza abdominal cramps insomnia nausea anOexia vomito diarrea O increased blood pressure respiraAry rate O heart rate.

Anche i bambini nati da madri dipendenti fisicamente dagli oppioidi saranno fisicamente dipendenti e possono mostrare difficoltà respiratorie e sintomi di astinenza [vedi Utilizzare in popolazioni specifiche E AVVERTIMENTOS AND PRECAUZIONI ].

Avvertimenti per la dolofina

Incluso come parte del PRECAUZIONI sezione.

Precauzioni per la dolofina

Abuso e uso improprio della dipendenza

La città contains methadone a Schedule II controlled substance. As an opioid La città exposes users A the risks of addiction abuse E misuse [see Abuso e dipendenza da droghe ]. As long-acting opioids such as La città have pharmacological effects over an extended period of time there is a greater risk fO overdose E death.

Sebbene il rischio di dipendenza in ogni individuo sia sconosciuto, può verificarsi nei pazienti in modo appropriato della dolofina e in coloro che ottengono il farmaco illecitamente. La dipendenza può verificarsi a dosi raccomandate e se il farmaco viene abusato o abuso.

Valutare il rischio di ciascun paziente di abuso di dipendenti da oppiacei o uso improprio prima di prescrivere la dolofina e monitorare tutti i pazienti che ricevono dolophina per lo sviluppo di questi comportamenti o condizioni. I rischi sono aumentati nei pazienti con una storia personale o familiare di abuso di sostanze (compresa la droga o

Abuso O misuse of La città by crushing chewing snOting O injecting the dissolved product will result in the uncontrolled delivery of the methadone E can result in overdose E death [see Sovradosaggio ].

Gli agonisti degli oppioidi come la dolofina sono ricercati da abusatori di droga e persone con disturbi della dipendenza e sono soggetti a diversione criminale. Considera questi rischi durante la prescrizione o l'erogazione della dolofina. Le strategie per ridurre questi rischi includono la prescrizione del farmaco nella più piccola quantità appropriata e la consulenza al paziente sulla corretta disposizione del farmaco inutilizzato [vedi Informazioni sul paziente ]. Contact local state professional licensing board O state controlled substances authOity fO infOmation on how A prevent E detect abuse O diversion of this product.

Depressione respiratoria potenzialmente letale

È stata segnalata grave depressione respiratoria potenzialmente letale o fatale con l'uso di oppioidi a lunga durata d'azione anche se usato come raccomandato. La depressione respiratoria dall'uso di oppioidi se non immediatamente riconosciuto e trattata può portare a arresti respiratoria e morte. La gestione della depressione respiratoria può includere misure di supporto a stretto osservazione e uso di antagonisti oppioidi a seconda dello stato clinico del paziente [vedi Sovradosaggio ]. Carbon dioxide (CO2) La ritenzione dalla depressione respiratoria indotta da oppioidi può esacerbare gli effetti sedanti degli oppioidi.

Mentre la depressione respiratoria mortale o fatale pericolosa per la vita può verificarsi in qualsiasi momento durante l'uso della dolofina, il rischio è maggiore durante l'inizio della terapia o a seguito di un aumento della dose. L'effetto depressivo respiratorio di picco del metadone si verifica più tardi e persiste più a lungo dell'effetto analgesico di picco, specialmente durante il periodo di dosaggio iniziale. Monitorare attentamente i pazienti per la depressione respiratoria quando si inizia la terapia con la dolofina e a seguito degli aumenti della dose.

Per ridurre il rischio di depressione respiratoria è essenziale il dosaggio e la titolazione della dolofina [vedi Dosaggio e amministrazione ]. Overestimating the La città dose when converting patients da anonher opioid product can result in fatal overdose with the first dose.

L'ingestione accidentale anche di una dose di dolofina, specialmente da parte dei bambini, può provocare depressione respiratoria e morte a causa del sovradosaggio di metadone.

Prolungamento QT potenzialmente letale

Durante il trattamento sono stati osservati casi di prolungamento dell'intervallo di QT e grave aritmia (torsades de poines). Questi casi sembrano essere più comunemente associati ma non limitati a un trattamento con dose più elevata (> 200 mg/die). La maggior parte dei casi coinvolge pazienti trattati per il dolore con grandi dosi più giornaliere di metadone, sebbene siano stati riportati casi in pazienti che hanno ricevuto dosi comunemente utilizzate per il trattamento di mantenimento della dipendenza da oppioidi. Nella maggior parte dei pazienti alle dosi più basse tipicamente utilizzate per i farmaci concomitanti di mantenimento e/o le condizioni cliniche come l'iprokalemia sono stati indicati come fattori che contribuiscono. Tuttavia, l'evidenza suggerisce fortemente che il metadone possiede il potenziale per effetti avversi con conduzione cardiaca in alcuni pazienti. Gli effetti del metadone sull'intervallo QT sono stati confermati in in vivo Studi di laboratorio e metadone hanno dimostrato di inibire i canali cardiaci di potassio in in vitro studi.

Monitorare da vicino i pazienti con fattori di rischio per lo sviluppo di un intervallo di QT prolungato (ad es. Ipertrofia cardiaca concomitante di uso diuretico ipomagnesemia) una storia di anomalie della conduzione cardiaca e quelli che assumono farmaci che influenzano la conduzione cardiaca. Il prolungamento del QT è stato anche riportato in pazienti senza una precedente storia cardiaca che hanno ricevuto alte dosi di metadone.

Valutare i pazienti che sviluppano il prolungamento del QT mentre sul trattamento con metadone per la presenza di fattori di rischio modificabili come farmaci concomitanti con farmaci per effetti cardiaci che potrebbero causare anomalie e farmaci per elettroliti che potrebbero agire come inibitori del metabolismo del metadone.

Inizia solo la terapia di dolofina per il dolore nei pazienti per i quali il beneficio previsto supera il rischio di prolungamento QT e sviluppo di disritmie che sono state riportate con alte dosi di metadone.

L'uso del metadone nei pazienti già noto per avere un intervallo QT prolungato non è stato sistematicamente studiato.

Sindrome da astinenza da oppiacei neonatali

L'uso prolungato di dolofina durante la gravidanza può provocare segni di astinenza nel neonato. La sindrome da astinenza da oppiacei neonatali a differenza della sindrome da astinenza da oppiacei negli adulti può essere la vita e non riconosciuta e trattata e richiede la gestione secondo i protocolli sviluppati da esperti neonatologici. Se è richiesto l'uso di oppioidi per un periodo prolungato in una donna incinta consiglia il paziente il rischio di sindrome da astinenza da oppiacei neonatali e assicurarsi che sia disponibile un trattamento adeguato.

La sindrome da astinenza da oppiacei neonatali presenta l'iperattività irritabilità e il modello di sonno anormale a pianto ad alto pianto di vomito di vomito e il mancato aumento del peso. La durata e la gravità dell'inizio della sindrome da prelievo neonatale degli oppiacei variano in base alla durata degli oppiacei specifica dei tempi di utilizzo e alla quantità di ultimo uso materno e tasso di eliminazione del farmaco da parte del neonato [vedi Utilizzare in popolazioni speciali ].

Interazioni con depressivi del sistema nervoso centrale

Ipotensione Sedazione profonda depressione respiratoria e morte può derivare se la dolofina viene usata in concomitanza con alcol o altri depressivi del sistema nervoso centrale (SNC) (ad esempio sedativi ansiolitici ipnotici neurolettici Altri oppioidi).

Quando si considera l'uso della dolofina in un paziente che assume un depressivo del SNC, valutare la durata dell'uso del depressivo del SNC e la risposta del paziente, incluso il grado di tolleranza che si è sviluppato per la depressione del SNC. Valuta inoltre l'uso da parte del paziente di alcol o droghe illecite che causano la depressione del SNC. Se viene presa la decisione di iniziare la dolofina con la dolofina 2,5 mg ogni 12 ore, monitora i pazienti per segni di sedazione e depressione respiratoria e prendere in considerazione l'uso di una dose più bassa del concomitante depressivo del SNC [vedi Interazioni farmacologiche ].

Uso nei pazienti anziani cachettici e debilitati

È più probabile che si verifichi la depressione respiratoria pericolosa per la vita nei pazienti anziani cachettici o debilitati in quanto potrebbero aver alterato la farmacocinetica o alterazione alterata rispetto ai pazienti più sani più sani. Monitorare tali pazienti da vicino in particolare quando si inizia e titola la dolofina e quando la dolofina viene somministrata in concomitanza con altri farmaci che preminano la respirazione [vedi Depressione respiratoria potenzialmente letale ].

Uso in pazienti con malattia polmonare cronica

Monitorare i pazienti con una malattia polmonare ostruttiva cronica significativa o COR polmonare e pazienti con una riduzione sostanzialmente ridotta dell'ipossia ipossia ipercapnia o depressione respiratoria preesistente per la depressione respiratoria per la depressione respiratoria, in particolare quando si inizia la terapia e la titolazione della dolophine Depressione respiratoria potenzialmente letale ]. Considera l'uso di analgesici non oppioidi alternativi in ​​questi pazienti, se possibile.

Effetto ipotensivo

La città may cause severe hypotension including Othostatic hypotension E syncope in ambulaAry patients. There is an increased risk in patients whose ability A maintain blood pressure has already been compromised by a reduced blood volume O concurrent administration of certain CNS depressant drugs (e.g. phenonhiazines O general anesthetics) [see Interazioni farmacologiche ]. MoniAr these patients fO signs of hypotension after initiating O titrating the dose of La città.

Uso in pazienti con lesioni alla testa o aumento della pressione intracranica

Monitorare i pazienti che assumono la dolofina che possono essere suscettibili agli effetti intracranici della ritenzione di CO2 (ad esempio quelli con evidenza di una maggiore pressione intracranica o tumori cerebrali) per segni di sedazione e depressione respiratoria, in particolare quando si inizia la terapia con la dolofina. La dolofina può ridurre l'unità respiratoria e la conseguente ritenzione di CO2 può aumentare ulteriormente la pressione intracranica. Gli oppioidi possono anche oscurare il percorso clinico in un paziente con un lesione alla testa.

Evitare l'uso della dolofina in pazienti con coscienza o coma compromessa.

Utilizzare in pazienti con condizioni gastrointestinali

La città is contraindicated in patients with paralytic ileus. Avoid the use of La città in patients with other gastrointestinal obstruction.

Il metadone nella dolofina può causare spasmo dello sfintere di Oddi. Monitorare i pazienti con malattia del tratto biliare, compresa la pancreatite acuta per il peggioramento dei sintomi. Gli oppioidi possono causare aumenti dell'amilasi sierica.

Utilizzare in pazienti con disturbi convulsivi o convulsivi

Il metadone nella dolofina può aggravare le convulsioni in pazienti con disturbi convulsivi e può indurre o aggravare le convulsioni in alcuni contesti clinici. Monitorare i pazienti con una storia di disturbi convulsivi per il peggioramento del controllo delle convulsioni durante la terapia della dolofina.

Evitamento del ritiro

Evita l'uso di agonisti/antagonisti misti (cioè pentazocina nalbuphina e butorfanolo) e analgesici agonisti parziali (buprenorfina) nei pazienti che hanno ricevuto o ricevono un corso di terapia con un analgesico agonista oppioide compreso la dolofina. In questi pazienti agonisti mesi/antagonisti e analgesici agonisti parziali possono ridurre l'effetto analgesico e/o possono precipitare i sintomi di astinenza [vedi Interazioni farmacologiche ].

Quando si interrompe la dolofina raddrizza gradualmente la dose [vedi Dosaggio e amministrazione ]. Do non abruptly discontinue La città.

Macchinari di guida e operazione

La città may impair the mental O physical abilities needed A perfOm potentially hazardous activities such as driving a car O operating machinery. Warn patients non A drive O operate dangerous machinery unless they are Alerant A the effects of La città E know how they will react A the medication.

Informazioni sulla consulenza del paziente

Consiglia al paziente di leggere l'etichettatura del paziente approvato dalla FDA ( Guida ai farmaci )

Abuso e uso improprio della dipendenza

Informare i pazienti che l'uso della dolofina anche se considerato come raccomandato può comportare abusi e uso improprio che possono portare a un sovradosaggio o alla morte [vedi AVVERTIMENTOS AND PRECAUZIONI ]. Instruct patients non A share La città with others E A take steps A protect La città da theft O misuse.

Depressione respiratoria potenzialmente letale

Informare i pazienti del rischio di depressione respiratoria potenzialmente letale, comprese le informazioni secondo cui il rischio è maggiore quando si inizia la dolofina o quando la dose è aumentata e che può verificarsi anche a dosi raccomandate [vedi AVVERTIMENTOS AND PRECAUZIONI ]. Advise patients how A recognize respiraAry depression E A seek medical attention if breathing difficulties develop.

Ingestione accidentale

Informare i pazienti che l'ingestione accidentale soprattutto nei bambini può provocare depressione respiratoria o morte [vedi AVVERTIMENTOS AND PRECAUZIONI ]. Instruct patients A take steps A sAre La città securely E A dispose of unused La città by flushing the tablets down the Ailet.

Sintomi di aritmia

Chiedere ai pazienti di consultare immediatamente cure mediche se sperimentano sintomi che suggeriscono un'aritmia (come le palpitazioni vicino alla sincope o alla sincope) quando si assumono il metadone.

Sindrome da astinenza da oppiacei neonatali

Informare le donne pazienti di potenziale riproduttivo che l'uso prolungato di dolofina durante la gravidanza può provocare sindrome da astinenza da oppiacei neonatali che possono essere potenzialmente letali se non riconosciute e trattate [vedi AVVERTIMENTOS AND PRECAUZIONI ].

Interazioni con l'alcol e altri depressivi del SNC

Informare i pazienti che possono verificarsi effetti additivi potenzialmente gravi se la dolofina viene utilizzata con alcol o altri depressivi del SNC e non utilizzare tali farmaci se non supervisionato da un operatore sanitario.

Importanti istruzioni di amministrazione

Istruire ai pazienti come prendere correttamente la dolofina, compreso i seguenti:

  • Usa la dolofina esattamente come prescritto per ridurre il rischio di reazioni avverse potenzialmente letali (ad esempio depressione respiratoria)
  • Non interrompere la dolofina senza prima discutere la necessità di un regime affusolato con il prescrittore
Ipotensione

Informare i pazienti che la dolofina può causare ipotensione e sincope ortostatica. Istruire ai pazienti come riconoscere i sintomi di bassa pressione sanguigna E how A reduce the risk of serious consequences should hypotension occur (e.g. sit O lie down carefully rise da a sitting O lying position).

Guida o funzionamento di macchinari pesanti

Informare i pazienti che la dolofina può compromettere la capacità di svolgere attività potenzialmente pericolose come la guida di un'auto o la gestione di macchinari pesanti. Consiglia ai pazienti di non svolgere tali compiti fino a quando non saranno come reagiranno al farmaco.

Stipsi

Consiglia ai pazienti il ​​potenziale per una grave costipazione, comprese le istruzioni di gestione e quando cercare cure mediche.

Anafilassi

Informare i pazienti che l'anafilassi è stata segnalata con ingredienti contenuti nella dolofina. Consiglia ai pazienti come riconoscere tale reazione e quando consultare il medico.

Allattamento al seno

Indiicare alle madri infermieristiche che usano la dolofina per guardare i segni di tossicità del metadone nei loro neonati che includono una maggiore sonnolenza (più del solito) difficoltà di difficoltà alla respirazione al seno o inerte. Inserire le madri infermieristiche di parlare immediatamente con il fornitore di assistenza sanitaria del bambino se notano questi segni. Se non riescono a raggiungere immediatamente il medico, istruire loro di portare il bambino al pronto soccorso o chiamare il 911 (o i servizi di emergenza locale).

Smaltimento della dolofina inutilizzata

Consiglia ai pazienti di eliminare le compresse inutilizzate lungo il bagno quando la dolofina non è più necessaria.

Tossicologia non clinica

Mutagenesi della carcinogenesi compromissione della fertilità

Carcinogenesi

Sono stati pubblicati i risultati della valutazione della cancerogenicità nei topi B6C2F1 e nei ratti Fischer 344 a seguito della somministrazione dietetica di due dosi di metadone HCL. I topi hanno consumato 15 mg/kg/giorno o 60 mg/kg/giorno di metadone per due anni. Queste dosi erano circa 0,6 e 2,5 volte una dose orale giornaliera umana di 120 mg/giorno su base della superficie corporea (mg/m²). C'è stato un aumento significativo degli adenomi ipofisari nei topi femmine trattati con 15 mg/kg/giorno ma non con 60 mg/kg/die. Nelle condizioni del test non vi sono state prove chiare per un aumento relativo al trattamento dell'incidenza delle neoplasie nei ratti maschi. A causa della riduzione del consumo di cibo nei maschi ai ratti maschi ad alte dose consumati 16 mg/kg/giorno e 28 mg/kg/giorno di metadone per due anni. Queste dosi erano circa 1,3 e 2,3 volte una dose orale giornaliera umana di 120 mg/giorno in base al confronto della superficie corporea. Al contrario, i ratti femmine consumati 46 mg/kg/die o 88 mg/kg/giorno per due confronti di superficie. Al contrario, i ratti femmine hanno consumato 46 mg/kg/giorno o 88 mg/kg/giorno per due anni. Queste dosi erano circa 3,7 e 7,1 volte una dose orale giornaliera umana di 120 mg/giorno in base al confronto della superficie corporea. Nelle condizioni del test non vi sono state prove chiare per un aumento relativo al trattamento dell'incidenza delle neoplasie nei ratti maschi o femmine.

Mutagenesi

Esistono diversi rapporti pubblicati sulla potenziale tossicità genetica del metadone. Il metadone è risultato positivo in in vivo topo dominante saggio letale e in vivo Test di aberrazione del cromosoma spermatogoniale dei mammiferi. Inoltre il metadone è risultato positivo al E. coli Sistema di riparazione del DNA e Neurospora crassa E topo lymphoma fOward mutation assays. In contrast methadone tested negative in tests fO chromosome breakage E disjunction E sex-linked recessive lethal gene mutations in germ cells of Drosophila Utilizzo delle procedure di alimentazione e iniezione.

Fertilità

Studi sugli animali pubblicati mostrano che il trattamento con metadone dei maschi può alterare la funzione riproduttiva. Il metadone produce una regressione significativa di organi accessori sessuali e testicoli di topi e ratti maschi.

Utilizzare in popolazioni specifiche

Gravidanza

Considerazioni cliniche

Reazioni avverse fetali/neonatali : L'uso prolungato di analgesici oppioidi durante la gravidanza per scopi medici o non medici può causare dipendenza fisica nella sindrome da astinenza da oppiacei neonati e neonatali poco dopo la nascita. Osservare i neonati per i sintomi della sindrome da astinenza da oppiacei neonatali come una scarsa rigidità e convulsioni dell'irritabilità della diarrea e convulsioni e gestire di conseguenza [vedi AVVERTIMENTOS AND PRECAUZIONI ].

Effetti teratogeni

Gravidanza CategOy C : Non ci sono studi adeguati e ben controllati nelle donne in gravidanza. La dolofina dovrebbe essere utilizzata durante la gravidanza solo se il potenziale beneficio giustifica il potenziale rischio per il feto.

Il metadone ha dimostrato di essere teratogenico nel criceto a dosi 2 volte la dose orale giornaliera umana (120 mg/die su base mg/m²) e nei topi a dosi equivalenti alla dose orale giornaliera umana (120 mg/die su base mg/m²). Sono stati riportati un aumento della mortalità neonatale e delle differenze significative nei test comportamentali nella prole dei roditori maschi che sono stati trattati con metadone prima dell'accoppiamento rispetto agli animali di controllo. Il metadone è stato rilevato nel liquido amniotico umano e nel plasma del cordone a concentrazioni proporzionali al plasma materno e nelle urine del neonato a concentrazioni più basse rispetto alle corrispondenti urine materne.

Dosaggio Adjustment During Gravidanza

La disposizione del metadone orale è stata studiata in circa 30 pazienti in gravidanza in 2 ° e terzo trimestre. La clearance del corpo totale del metadone è stata aumentata nei pazienti in gravidanza rispetto agli stessi pazienti postpartum o alle donne oppioiddipendenti non in gravidanza. L'emivita terminale del metadone viene ridotta durante i trimestri del 2 ° e 3 °. La diminuzione dell'emivita plasmatica e l'aumento della clearance del metadone con conseguente minore livelli di depressione del metadone durante la gravidanza possono portare a sintomi di astinenza in alcuni pazienti in gravidanza. Potrebbe essere necessario aumentare il dosaggio o l'intervallo di dosaggio è diminuito nei pazienti in gravidanza che hanno ricevuto metadone per ottenere un effetto terapeutico [vedi Dosaggio e amministrazione ].

Effetti sul neonato

I bambini nati da madri che hanno assunto gli oppioidi regolarmente prima della consegna possono essere fisicamente dipendenti. L'inizio dei sintomi di astinenza nei neonati è di solito nei primi giorni dopo la nascita. Monitorare il neonato per segni di astinenza e sintomi, tra cui: scarsa irritabilità all'alimentazione eccessiva Tremori di pianto Rigidità Iper-attivi Acenti L'intensità della sindrome da astinenza neonatale non è sempre correlata alla dose materna o alla durata dell'esposizione materna. La durata dei segni di ritiro può variare da pochi giorni a settimane o addirittura mesi. Non vi è consenso sulla gestione appropriata del ritiro infantile [vedi AVVERTIMENTOS AND PRECAUZIONI ].

Dati umani

Studi riportati hanno generalmente confrontato il beneficio del metadone con il rischio di dipendenza non trattata da farmaci illeciti; La rilevanza di questi risultati per i pazienti con dolore prescritto il metadone durante la gravidanza non è chiara. È stato riportato che le donne in gravidanza coinvolte nei programmi di manutenzione del metadone hanno migliorato significativamente le cure prenatali portando a una significativamente ridotta incidenza di complicanze ostetriche e fetali e morbilità e mortalità neonatale rispetto alle donne che usano farmaci illeciti. Diversi fattori tra cui l'uso materno dell'infezione nutrizionale di droghe illecite e le circostanze psicosociali complicano l'interpretazione delle indagini sui bambini delle donne che assumono metadone durante la gravidanza. Le informazioni sono limitate per quanto riguarda la dose e la durata dell'uso di metadone durante la gravidanza e la maggior parte dell'esposizione materna sembra verificarsi dopo il primo trimestre di gravidanza.

Una revisione dei dati pubblicati sulle esperienze con uso di metadone durante la gravidanza da parte del sistema di informazione Teratogen (TERIS) ha concluso che è improbabile che l'uso materno del metadone durante la gravidanza nell'ambito di un regime terapeutico supervisionato comporti un sostanziale rischio teratogeno (quantità e qualità dei dati valutati come limitati alla corretta). Tuttavia, i dati non sono sufficienti per affermare che non vi è alcun rischio (Teris ha esaminato l'ultima volta ottobre 2002). Una serie di casi retrospettivi di 101 donne in gravidanza dipendenti da oppiacei che hanno subito una disintossicazione ospedaliera di oppioidi con metadone non ha dimostrato alcun rischio maggiore di aborto nel 2 ° trimestre o consegna prematura nel 3 ° trimestre. Studi recenti suggeriscono un aumentato rischio di parto prematuro nelle donne dipendenti da oppioidi esposte al metadone durante la gravidanza, sebbene la presenza di fattori di confusione renda difficile determinare una relazione causale. Diversi studi hanno suggerito che i bambini nati da donne dipendenti da narcotici trattati con metadone durante tutto o parte della gravidanza hanno ridotto la crescita fetale con una ridotta lunghezza del peso alla nascita e/o circonferenza della testa rispetto ai controlli. Questo deficit di crescita non sembra persistere nell'infanzia successiva. È stato segnalato che i bambini esposti prenatali al metadone dimostrano deficit lievi ma persistenti nelle prestazioni sui test psicometrici e comportamentali. Inoltre, diversi studi suggeriscono che i bambini nati da donne dipendenti da oppioidi esposte al metadone durante la gravidanza possono avere un aumentato rischio di anomalie di sviluppo visivo; Tuttavia non è stata assegnata una relazione causale.

Ci sono rapporti contrastanti sul fatto che si verifichi una sindrome di morte improvvisa del bambino con una maggiore incidenza nei bambini nati da donne trattate con metadone durante la gravidanza. È stato riportato che non si verificano test anormali di non stress che si verificano più frequentemente quando il test viene eseguito da 1 a 2 ore dopo una dose di mantenimento di metadone nella tarda gravidanza rispetto ai controlli.

Dati sugli animali

Il metadone non ha prodotto effetti teratogeni nei modelli di ratto o coniglio. Il metadone ha prodotto effetti teratogeni a seguito di grandi dosi nel criceto e nel topo del maiale della cavia. Uno studio pubblicato su criceti in gravidanza ha indicato che una singola dose sottocutanea di metadone che va da 31 a 185 mg/kg (la dose di 31 mg/kg è circa 2 volte una dose orale giornaliera umana di 120 mg/giorno su una Mg/m² in base al giorno della gestazione) come esencefalia cranioschisi e varie altre lesioni. La maggior parte delle dosi testate ha anche provocato la morte materna. In un altro studio una singola dose sottocutanea da 22 a 24 mg/kg di metadone (l'esposizione stimata era approssimativamente equivalente a una dose orale giornaliera umana di 120 mg/giorno su base mg/m²) somministrata il giorno 9 della gestazione nei topi ha prodotto anche l'exencefalia nell'11% degli embrioni. Tuttavia, non sono stati riportati effetti nei ratti e nei conigli a dosi orali fino a 40 mg/kg (l'esposizione stimata era circa 3 e 6 volte una dose orale giornaliera umana di 120 mg/giorno su una base mg/m²) somministrata durante i giorni da 6 a 15 e 6 a 18 rispettivamente.

I dati sugli animali pubblicati hanno riportato un aumento della mortalità neonatale nella progenie dei roditori maschi che sono stati trattati con metadone prima dell'accoppiamento. In questi studi le donne roditori non sono stati trattati con metadone che indica tossicità dello sviluppo mediata paternamente. In particolare il metadone somministrato al ratto maschile prima dell'accoppiamento con le femmine metadone-nai-ve ha provocato una riduzione dell'aumento di peso nella progenie dopo lo svezzamento. La progenie maschile ha dimostrato un peso di timo ridotto mentre la progenie femminile ha dimostrato un aumento dei pesi surrene. I test comportamentali di queste progenie maschili e femminili hanno rivelato differenze significative nei test comportamentali rispetto agli animali di controllo che suggeriscono che l'esposizione al metadone paterno può produrre cambiamenti fisiologici e comportamentali nella progenie in questo modello. Altri studi sugli animali hanno riferito che l'esposizione perinatale agli oppioidi, tra cui il metadone altera lo sviluppo e il comportamento neuronali nella prole. L'esposizione al metadone perinatale nei ratti è stata collegata alle alterazioni delle risposte nocicettive per la regolamentazione termica della capacità motoria e la sensibilità ai farmaci.

Ulteriori dati sugli animali dimostrano prove di cambiamenti neurochimici nel cervello della prole metadonettata, inclusi i cambiamenti nei sistemi colinergici dopaminergici noradrenergici e serotoninergici. Gli studi hanno dimostrato che il trattamento con metadone dei ratti maschi per 21-32 giorni prima dell'accoppiamento con le femmine naive del metadone non ha prodotto effetti avversi che suggeriscono che il trattamento prolungato di metadone del ratto maschile ha provocato tolleranza alle tossicità dello sviluppo notate nella progenie. Studi meccanicistici in questo modello di ratto suggeriscono che gli effetti di sviluppo del metadone paterno sulla progenie sembrano essere dovuti alla riduzione della produzione di testosterone. Questi dati sugli animali rispecchiano i risultati clinici riportati della riduzione dei livelli di testosterone nei maschi umani sulla terapia di mantenimento del metadone per la dipendenza da oppioidi e nei maschi che ricevono oppioidi intraspinali cronici.

Sono stati pubblicati ulteriori dati che indicano che il trattamento con metadone dei ratti maschi (una volta al giorno per tre giorni consecutivi) ha aumentato l'embrioletalità e la mortalità neonatale. L'esame del contenuto uterino di topi femmine naive di metadone allevati a topi trattati con metadone indicava che il trattamento con metadone ha prodotto un aumento del tasso di decessi preimpianto in tutti gli stati post-meiotici.

Manodopera e consegna

Gli oppioidi attraversano la placenta e possono produrre depressione respiratoria nei neonati. La dolofina non è da utilizzare nelle donne durante e immediatamente prima del travaglio quando gli analgesici di recitazione più brevi o altre tecniche analgesiche sono più appropriate. Gli analgesici degli oppioidi possono prolungare il lavoro attraverso azioni che riducono temporaneamente la durata della forza e la frequenza delle contrazioni uterine. Tuttavia, questo effetto non è coerente e può essere compensato da un aumento del tasso di dilatazione cervicale che tende ad accorciare il lavoro.

Madri infermieristiche

Il metadone viene secreto nel latte umano. A dosi orali materne da 10 a 80 mg/giorno sono state segnalate concentrazioni di metadone da 50 a 570 mcg/L nel latte che nella maggior parte dei campioni erano inferiori alle concentrazioni di farmaci sierici materni allo stato stazionario. I livelli di picco del metadone nel latte si verificano circa 4-5 ore dopo una dose orale. Sulla base di un consumo medio di latte di 150 ml/kg/giorno, un bambino consumerebbe circa 17,4 mcg/kg/giorno che è circa dal 2 al 3% della dose materna orale. Il metadone è stato rilevato in concentrazioni plasmatiche molto basse in alcuni neonati le cui madri stavano assumendo metadone. Sono stati segnalati casi di sedazione e depressione respiratoria nei neonati esposti al metadone attraverso il latte materno. Attenzione dovrebbe essere esercitata quando il metadone viene somministrato a una donna infermieristica.

Consigliano le donne che vengono trattate con metadone e che stanno allattando o esprimono il desiderio di allattare la presenza di metadone nel latte umano. Istruire le madri che allattano come identificare la depressione e la sedazione respiratoria nei loro bambini e quando può essere necessario contattare il proprio operatore sanitario o cercare cure mediche immediate. I neonati allattati al seno di madri che usano metadone devono essere svezzati gradualmente per prevenire lo sviluppo dei sintomi di astinenza nel bambino.

Uso pediatrico

Non sono state stabilite l'efficacia della sicurezza e la farmacocinetica del metadone nei pazienti pediatrici di età inferiore ai 18 anni.

Uso geriatrico

Studi clinici sul metadone non includevano un numero sufficiente di soggetti di età pari o superiore a 65 anni per determinare se rispondono in modo diverso rispetto ai soggetti più giovani. Altra esperienza clinica segnalata non ha identificato differenze nelle risposte tra i pazienti anziani e più giovani. In generale, i pazienti anziani nella fascia bassa dell'intervallo di dosaggio tengono conto della maggiore frequenza della ridotta funzione renale e cardiaca epatica e della malattia concomitante o di altri farmaci in pazienti geriatrici. Monitorare attentamente i pazienti anziani per segni di depressione respiratoria e del sistema nervoso centrale.

Compromissione renale

La farmacocinetica del metadone non è stata ampiamente valutata in pazienti con insufficienza renale. Poiché il metadone non metabolizzato e i suoi metaboliti vengono escreti nelle urine a un grado variabile iniziano questi pazienti a dosi più basse e con intervalli di dosaggio più lunghi e titolano lentamente monitorando attentamente i segni della depressione respiratoria e del sistema nervoso centrale.

Compromissione epatica

Il metadone non è stato ampiamente valutato in pazienti con insufficienza epatica. Il metadone è metabolizzato da percorsi epatici; Pertanto, i pazienti con compromissione del fegato possono essere a rischio di una maggiore esposizione sistemica al metadone dopo il dosaggio multiplo. Inizia questi pazienti a dosi più basse e titola lentamente monitorando attentamente i segni di depressione respiratoria e del sistema nervoso centrale.

Avvertimenti per la dolofina

Incluso come parte del PRECAUZIONI sezione.

Precauzioni per la dolofina

Abuso e uso improprio della dipendenza

Le compresse di metadone cloridrato USP contiene sostanza controllata con metadone A Allegato II. Poiché un metadone oppioide espone gli utenti ai rischi di abuso e uso improprio [vedi Abuso e dipendenza da droghe ]. As long-acting opioids such as methadone have pharmacological effects over an extended period of time there is a greater risk fO overdose E death.

Sebbene il rischio di dipendenza in ogni individuo non sia noto, può verificarsi nei pazienti prescritti in modo appropriato compresse di cloridrato di metadone e in coloro che ottengono il farmaco illecitamente. La dipendenza può verificarsi a dosi raccomandate e se il farmaco viene abusato o abuso.

Valutare il rischio di ciascun paziente di abuso di dipendenti da oppiacei o abuso prima di prescrivere compresse di cloridrato di metadone e monitorare tutti i pazienti che ricevono compresse di metadone cloridrato per lo sviluppo di questi comportamenti o condizioni. I rischi sono aumentati nei pazienti con una storia personale o familiare di abuso di sostanze (compresa la dipendenza da droga o l'alcol) o le malattie mentali (ad esempio depressione maggiore). Il potenziale per questi rischi non dovrebbe tuttavia impedire la prescrizione di compresse di cloridrato di metadone per la corretta gestione del dolore in un dato paziente. I pazienti ad aumentato rischio possono essere prescritti oppioidi ad azione lunga come compresse di metadone cloridrato, ma l'uso in tali pazienti richiede una consulenza intensiva sui rischi e l'uso corretto delle compresse di metadone cloridrato insieme al monitoraggio intensivo per i segni di abuso di dipendenti e uso improprio.

Abuso O misuse of methadone hydrochlOide tablets by crushing chewing snOting O injecting the dissolved product will result in the uncontrolled delivery of the methadone E can result in overdose E death [see Sovradosaggio ].

Gli agonisti degli oppioidi come le compresse di metadone cloridrato sono ricercati da abusatori di droga e persone con disturbi della dipendenza e sono soggetti a diversione criminale. Considera questi rischi durante la prescrizione o l'erogazione di compresse di cloridrato di metadone. Le strategie per ridurre questi rischi includono la prescrizione del farmaco nella più piccola quantità appropriata e la consulenza al paziente sulla corretta disposizione del farmaco inutilizzato [vedi Informazioni sul paziente )]. Contattare l'autorità di licenza professionale statale locale o l'autorità di sostanze controllate dallo stato per informazioni su come prevenire e rilevare abusi o diversione di questo prodotto.

Depressione respiratoria potenzialmente letale

È stata segnalata grave depressione respiratoria potenzialmente letale o fatale con l'uso di oppioidi a lunga durata d'azione anche se usato come raccomandato. La depressione respiratoria dall'uso di oppioidi se non immediatamente riconosciuto e trattata può portare a arresti respiratoria e morte. La gestione della depressione respiratoria può includere misure di supporto a stretto osservazione e uso di antagonisti oppioidi a seconda dello stato clinico del paziente [vedi Sovradosaggio ]. Carbon dioxide (CO 2 ) La ritenzione dalla depressione respiratoria indotta da oppioidi può esacerbare gli effetti sedanti degli oppioidi.

Mentre la depressione respiratoria mortale o fatale potenzialmente letale o fatale può verificarsi in qualsiasi momento durante l'uso di compresse di cloridrato di metadone, il rischio è maggiore durante l'inizio della terapia o a seguito di un aumento della dose. L'effetto della formica della pressione respiratoria di picco del metadone si verifica più tardi e persiste più a lungo dell'effetto analgesico di picco, specialmente durante il periodo di dosaggio iniziale. Monitorare da vicino i pazienti per la depressione respiratoria quando si avvia la terapia con compresse di metadone cloridrato e a seguito di aumenti della dose.

Per ridurre il rischio di depressione respiratoria è essenziale il dosaggio adeguato e la titolazione delle compresse di metadone cloridrato [vedi Dosaggio e amministrazione ]. Overestimating the methadone hydrochlOide tablets dose when converting patients da anonher opioid product can result in fatal overdose with the first dose.

L'ingestione accidentale anche di una dose di compresse di metadone cloridrato, in particolare da parte dei bambini, può provocare depressione respiratoria e morte a causa del sovradosaggio di metadone.

Prolungamento QT potenzialmente letale

Durante il trattamento sono stati osservati casi di prolungamento dell'intervallo di QT e grave aritmia (torsades de poines). Questi casi sembrano essere più comunemente associati ma non limitati a un trattamento con dose più elevata (> 200 mg/die). La maggior parte dei casi coinvolge pazienti trattati per il dolore con grandi dosi più giornaliere di metadone, sebbene siano stati riportati casi in pazienti che hanno ricevuto dosi comunemente utilizzate per il trattamento di mantenimento della dipendenza da oppioidi. Nella maggior parte dei pazienti alle dosi più basse tipicamente utilizzate per i farmaci concomitanti di mantenimento e/o le condizioni cliniche come l'iprokalemia sono stati indicati come fattori che contribuiscono. Tuttavia, l'evidenza suggerisce fortemente che il metadone possiede il potenziale per effetti avversi con conduzione cardiaca in alcuni pazienti. Gli effetti del metadone sull'intervallo QT sono stati confermati in in vivo Studi di laboratorio e metadone hanno dimostrato di inibire i canali cardiaci di potassio in in vitro studi.

Monitorare da vicino i pazienti con fattori di rischio per lo sviluppo di un intervallo di QT prolungato (ad es. Ipertrofia cardiaca concomitante di uso diuretico ipomagnesemia) una storia di anomalie della conduzione cardiaca e quelli che assumono farmaci che influenzano la conduzione cardiaca. Il prolungamento del QT è stato anche riportato in pazienti senza una precedente storia cardiaca che hanno ricevuto alte dosi di metadone.

Valutare i pazienti che sviluppano il prolungamento del QT mentre sul trattamento con metadone per la presenza di fattori di rischio modificabili come farmaci concomitanti con farmaci per effetti cardiaci che potrebbero causare anomalie e farmaci per elettroliti che potrebbero agire come inibitori del metabolismo del metadone.

Inizia solo la terapia delle compresse di cloridrato di metadone per il dolore nei pazienti per i quali il beneficio previsto supera il rischio di prolungamento del QT e sviluppo di disritmie che sono state riportate con alte dosi di metadone.

L'uso del metadone nei pazienti già noto per avere un intervallo QT prolungato non è stato sistematicamente studiato.

Sindrome da astinenza da oppiacei neonatali

L'uso prolungato di compresse di metadone cloridrato durante la gravidanza può provocare segni di astinenza nel neonato. La sindrome da astinenza da oppiacei neonatali a differenza della sindrome da astinenza da oppiacei negli adulti può essere pericolosa la vita se non riconosciuta e trattata e richiede la gestione secondo i protocolli sviluppati da esperti neonatologici. Se è richiesto l'uso di oppioidi per un periodo prolungato in una donna incinta consiglia il paziente il rischio di sindrome da astinenza da oppiacei neonatali e assicurarsi che sia disponibile un trattamento adeguato.

La sindrome da astinenza da oppiacei neonatali presenta l'iperattività irritabilità e il modello di sonno anormale a pianto ad alto pianto di vomito di vomito e il mancato aumento del peso. La durata e la gravità dell'inizio della sindrome da prelievo neonatale degli oppiacei variano in base alla durata degli oppiacei specifica dei tempi di utilizzo e alla quantità di ultimo uso materno e tasso di eliminazione del farmaco da parte del neonato [vedi Utilizzare in popolazioni speciali ].

Interazioni con depressivi del sistema nervoso centrale

Ipotensione profound sedation coma respiraAry depression E death may result if methadone hydrochlOide tablet is used concomitantly with alcohol O other central nervous system (CNS) depressants (e.g. sedatives anxiolytics hypnonics neuroleptics other opioids). When considering the use of methadone hydrochlOide tablets in a patient taking a CNS depressant assess the duration of use of the CNS depressant E the patient's response including the degree of Alerance that has developed A CNS depression. Additionally evaluate the patient's use of alcohol O illicit drugs that cause CNS depression. If the decision A begin methadone hydrochlOide tablets is made start with methadone hydrochlOide tablets 2.5 mg every 12 hours moniAr patients fO signs of sedation E respiraAry depression E consider using a lower dose of the concomitant CNS depressant [see Interazioni farmacologiche ].

Uso nei pazienti anziani cachettici e debilitati

È più probabile che si verifichi la depressione respiratoria pericolosa per la vita nei pazienti anziani cachettici o debilitati in quanto potrebbero aver alterato la farmacocinetica o alterazione alterata rispetto ai pazienti più sani più sani. Monitorare tali pazienti da vicino in particolare quando si iniziano e titola le compresse di metadone cloridrato e quando le compresse di cloruro di metadone vengono somministrate in concomitanza con altri farmaci che preminano la respirazione [vedi Depressione respiratoria potenzialmente letale ].

Uso in pazienti con malattia polmonare cronica

Monitorare i pazienti con una malattia polmonare ostruttiva cronica significativa o corpulmonare e pazienti con una riduzione sostanzialmente ridotta di ipossia di ipossia ipercapnia o depressione respiratoria preesistente per la depressione respiratoria per la depressione respiratoria, in particolare quando si avvia la terapia con i centesimi di cloruro di cloruro di metadone. Depressione respiratoria potenzialmente letale ].

Considera l'uso di analgesici non oppioidi alternativi in ​​questi pazienti, se possibile.

Effetto ipotensivo

Le compresse di metadone cloridrato possono causare gravi ipotensione tra cui ipotensione ortostatica e sincope nei pazienti ambulatoriali. Vi è un aumentato rischio nei pazienti la cui capacità di mantenere la pressione arteriosa è già stata compromessa da una ridotta volume del sangue o dalla somministrazione simultanea di alcuni farmaci depressivi del SNC (ad esempio fenotiazine o anestetici generali) [vedi Interazioni farmacologiche ]. MoniAr these patients fO signs of hypotension after initiating O titrating the dose of methadone hydrochlOide tablets.

Uso in pazienti con lesioni alla testa o aumento della pressione intracranica

Monitorare i pazienti che assumono compresse di cloridrato di metadone che possono essere suscettibili agli effetti intracranici di CO 2 Ritenzione (ad esempio quelli con evidenza di aumento della pressione intracranica o dei tumori cerebrali) per segni di sedazione e depressione respiratoria, in particolare quando si inizia la terapia con compresse di metadone cloridrato. Le compresse di metadone cloridrato possono ridurre l'unità respiratoria e la CO risultante 2 La ritenzione può aumentare ulteriormente la pressione intracranica. Gli oppioidi possono anche oscurare il percorso clinico in un paziente con un lesione alla testa.

Evitare l'uso di compresse di cloridrato di metadone in pazienti con coscienza o coma compromessa.

Utilizzare in pazienti con condizioni gastrointestinali

Le compresse di metadone cloridrato sono controindicate nei pazienti con paralileo. Evitare l'uso di compresse di metadone cloridrato in pazienti con altre ostruzioni gastrointestinali.

Il metadone nelle compresse di metadone cloridrato può causare spasmo dello sfintere di Oddi. Monitorare i pazienti con malattia del tratto biliare, compresa la pancreatite acuta per il peggioramento dei sintomi. Gli oppioidi possono causare aumenti dell'amilasi sierica.

Utilizzare in pazienti con disturbi convulsivi o convulsivi

Il metadone nelle compresse di metadone cloridrato può aggravare le convulsioni in pazienti con disturbi convulsivi e può indurre o aggravare le convulsioni in alcuni contesti clinici. Monitorare i pazienti con una storia di disturbi convulsivi per il peggioramento del controllo delle convulsioni durante le compresse di cloridrato di metadone.

Evitamento del ritiro

Evita l'uso di agonisti/antagonisti misti (cioè pentazocina nalbuphina e butorfanolo) e analgesici agonisti parziali (buprenorfina) nei pazienti che hanno ricevuto o ricevono un corso di terapia con un analgesico agonista oppioide, compreso le compresse di methadone idrocloride. In questi pazienti agonisti mesi/antagonisti e analgesici agonisti parziali possono ridurre l'effetto analgesico e/o possono precipitare i sintomi di astinenza [vedi Interazioni farmacologiche ].

Quando si interrompono le compresse di cloridrato di metadone, rastrelloso gradualmente la dose [vedi Dosaggio e amministrazione ]. Do non abruptly discontinue methadone hydrochlOide tablets.

Macchinari di guida e operazione

Le compresse di metadone cloridrato possono compromettere le capacità mentali o fisiche necessarie per svolgere attività potenzialmente pericolose come la guida di un'auto o i macchinari operativi. Avvertire i pazienti di non guidare o utilizzare macchinari pericolosi a meno che non siano tolleranti agli effetti delle compresse di cloridrato di metadone e sappiano come reagiranno al farmaco.

Informazioni sulla consulenza del paziente

Consiglia al paziente di leggere l'etichettatura del paziente approvato dalla FDA ( Guida ai farmaci )

Abuso e uso improprio della dipendenza

Informare i pazienti che l'uso di compresse di cloridrato di metadone anche se considerato come raccomandato può comportare abusi e uso improprio che possono portare a un sovradosaggio o alla morte [vedi AVVERTIMENTOS AND PRECAUZIONI ]. Instruct patients non A share methadone hydrochlOide tablets with others E A take steps A protect methadone hydrochlOide tablets da theft O misuse.

Depressione respiratoria potenzialmente letale

Informare i pazienti del rischio di depressione respiratoria potenzialmente letale, comprese le informazioni secondo cui il rischio è maggiore quando si avvia compresse di cloridrato di metadone o quando la dose è aumentata e che può verificarsi anche a dosi raccomandate [vedi AVVERTIMENTOS AND PRECAUZIONI ]. Advise patients how A recognize respiraAry depression E A seek medical attention if breathing difficulties develop.

Ingestione accidentale

Informare i pazienti che l'ingestione accidentale soprattutto nei bambini può provocare depressione respiratoria o morte [vedi AVVERTIMENTOS AND PRECAUZIONI ]. Instruct patients A take steps A sAre methadone hydrochlOide tablets securely E A dispose of unused methadone hydrochlOide tablets by flushing the tablets down the Ailet.

Sintomi di aritmia

Chiedere ai pazienti di consultare immediatamente cure mediche se sperimentano sintomi che suggeriscono un'aritmia (come le palpitazioni vicino alla sincope o alla sincope) quando si assumono il metadone.

Sindrome da astinenza da oppiacei neonatali

Informare le donne pazienti di potenziale riproduttivo che l'uso prolungato di compresse di metadone cloridrato durante la gravidanza può provocare sindrome da astinenza da oppiacei neonatali che possono essere potenzialmente letali se non riconosciuti e trattati [vedi AVVERTIMENTOS AND PRECAUZIONI ].

Interazioni con l'alcol e altri depressivi del SNC

Informare i pazienti che possono verificarsi effetti additivi potenzialmente gravi se vengono utilizzate compresse di metadone cloridrato con alcol o altri depressivi del SNC e non utilizzare tali farmaci se non supervisionati da un operatore sanitario.

Importanti istruzioni di amministrazione

Istruire ai pazienti come prendere correttamente compresse di cloridrato di metadone, comprese le seguenti:

  • Utilizzare compresse di cloridrato di metadone esattamente come prescritto per ridurre il rischio di reazioni avverse potenzialmente letali (ad esempio depressione respiratoria)
  • Non interrompere le compresse di cloridrato di metadone senza discutere prima della necessità di un regime affusolato con il prescrittore
Ipotensione

Informare i pazienti che le compresse di metadone cloridrato possono causare ipotensione e sincope ortostatiche. Indiicare ai pazienti come riconoscere i sintomi della bassa pressione sanguigna e come ridurre il rischio di gravi conseguenze dovrebbero verificarsi ipotensione (ad esempio sedersi o sdraiarsi con cura da una posizione seduta o sdraiata).

Guida o funzionamento di macchinari pesanti

Informare i pazienti che le compresse di metadone cloridrato possono compromettere la capacità di svolgere attività potenzialmente pericolose come la guida di un'auto o la gestione di macchinari pesanti. Consiglia ai pazienti di non svolgere tali compiti fino a quando non saranno come reagiranno al farmaco.

Stipsi

Consiglia ai pazienti il ​​potenziale per una grave costipazione, comprese le istruzioni di gestione e quando cercare cure mediche.

Anafilassi

Informare i pazienti che l'anafilassi è stata segnalata con ingredienti contenuti nelle compresse di metadone cloridrato. Consiglia ai pazienti come riconoscere tale reazione e quando consultare il medico.

Allattamento al seno

Indiicare alle madri infermieristiche che usano compresse di cloridrato di metadone per guardare i segni di tossicità del metadone nei loro neonati che includono una maggiore sonnolenza (più del solito) difficoltà di difficoltà alla respirazione al seno o inerte. Inserire le madri infermieristiche di parlare immediatamente con il fornitore di assistenza sanitaria del bambino se notano questi segni. Se non riescono a raggiungere immediatamente il medico, istruire loro di portare il bambino al pronto soccorso o chiamare il 911 (o i servizi di emergenza locale).

Smaltimento di compresse di cloridrato di metadone non utilizzato

Consiglia ai pazienti di eliminare le compresse inutilizzate lungo il gabinetto quando le compresse di cloridrato di metadone non sono più necessarie.

Tossicologia non clinica

Mutagenesi della carcinogenesi compromissione della fertilità

Carcinogenesi

Sono stati pubblicati i risultati della valutazione della cancerogenicità nei topi B6C2F1 e nei ratti Fischer 344 a seguito della somministrazione dietetica di due dosi di metadone HCL. I topi hanno consumato 15 mg/kg/giorno o 60 mg/kg/giorno di metadone per due anni. Queste dosi erano circa 0,6 e 2,5 volte una dose orale giornaliera umana di 120 mg/giorno su base della superficie corporea (mg/m²). C'è stato un aumento significativo degli adenomi ipofisari nei topi femmine trattati con 15 mg/kg/giorno ma non con 60 mg/kg/die. Nelle condizioni del test non vi sono state prove chiare per un aumento relativo al trattamento dell'incidenza delle neoplasie nei ratti maschi. A causa della riduzione del consumo di cibo nei maschi ai ratti maschi ad alte dose consumati 16 mg/kg/giorno e 28 mg/kg/giorno di metadone per due anni. Queste dosi erano circa 1,3 e 2,3 volte una dose orale giornaliera umana di 120 mg/giorno in base al confronto della superficie corporea. Al contrario, i ratti femmine hanno consumato 46 mg/kg/giorno o 88 mg/kg/giorno per due anni. Queste dosi erano circa 3,7 e 7,1 volte una dose orale giornaliera umana di 120 mg/giorno in base al confronto della superficie corporea. Nelle condizioni del test non vi sono state prove chiare per un aumento relativo al trattamento dell'incidenza delle neoplasie nei ratti maschi o femmine.

Mutagenesi

Esistono diversi rapporti pubblicati sulla potenziale tossicità genetica del metadone. Il metadone è risultato positivo in in vivo topo dominante saggio letale e in vivo Test di aberrazione del cromosoma spermatogoniale dei mammiferi. Inoltre il metadone è risultato positivo al E.coli Sistema di riparazione del DNA e Neurospora crassa E topo lymphoma fOward mutation assays. In contrast methadone tested negative in tests fO chromosome breakage E disjunction E sex-linked recessive lethal gene mutations in germ cells of Drosophila Utilizzo delle procedure di alimentazione e iniezione.

Fertilità

Studi sugli animali pubblicati mostrano che il trattamento con metadone dei maschi può alterare la funzione riproduttiva. Il metadone produce una regressione significativa di organi accessori sessuali e testicoli di topi e ratti maschi.

Utilizzare in popolazioni specifiche

Gravidanza

Considerazioni cliniche

Reazioni avverse fetali/neonatali L'uso prolungato di analgesici oppioidi durante la gravidanza per scopi medici o non medici può causare dipendenza fisica nella sindrome da astinenza da oppiacei neonati e neonatali poco dopo la nascita. Osservare i neonati per i sintomi della sindrome da astinenza da oppiacei neonatali come una scarsa rigidità e convulsioni dell'irritabilità della diarrea e convulsioni e gestire di conseguenza [vedi AVVERTIMENTOS AND PRECAUZIONI ].

Effetti teratogeni

Gravidanza CategOy C

Non ci sono studi adeguati e ben controllati nelle donne in gravidanza. Le compresse di metadone cloridrato devono essere utilizzate durante la gravidanza solo se il potenziale beneficio giustifica il rischio potenziale per il feto.

Il metadone ha dimostrato di essere teratogenico nel criceto a dosi 2 volte la dose orale giornaliera umana (120 mg/die su base mg/m²) e nei topi a dosi equivalenti alla dose orale giornaliera umana (120 mg/die su base mg/m²). Sono stati riportati un aumento della mortalità neonatale e delle differenze significative nei test comportamentali nella prole dei roditori maschi che sono stati trattati con metadone prima dell'accoppiamento rispetto agli animali di controllo. Il metadone è stato rilevato nel liquido amniotico umano e nel plasma del cordone a concentrazioni proporzionali al plasma materno e nelle urine del neonato a concentrazioni più basse rispetto alle corrispondenti urine materne.

Dosaggio Adjustment During Gravidanza

La disposizione del metadone orale è stata studiata in circa 30 pazienti in gravidanza in 2 ° e terzo trimestre. La clearance del corpo totale del metadone è stata aumentata nei pazienti in gravidanza rispetto agli stessi pazienti postpartum o alle donne oppioiddipendenti non in gravidanza. L'emivita terminale del metadone viene ridotta durante i trimestri del 2 ° e 3 °. La diminuzione dell'emivita plasmatica e l'aumento della clearance del metadone con conseguente minore livelli di depressione del metadone durante la gravidanza possono portare a sintomi di astinenza in alcuni pazienti in gravidanza. Potrebbe essere necessario aumentare il dosaggio o l'intervallo di dosaggio è diminuito nei pazienti in gravidanza che hanno ricevuto metadone per ottenere un effetto terapeutico [vedi Dosaggio e amministrazione ].

Effetti sul neonato

I bambini nati da madri che hanno assunto gli oppioidi regolarmente prima della consegna possono essere fisicamente dipendenti. L'inizio dei sintomi di astinenza nei neonati è di solito nei primi giorni dopo la nascita. Monitorare il neonato per segni di astinenza e sintomi, tra cui: scarsa irritabilità all'alimentazione eccessiva Tremori di pianto Rigidità Iper-attivi Acenti L'intensità della sindrome da astinenza neonatale non è sempre correlata alla dose materna o alla durata dell'esposizione materna. La durata dei segni di ritiro può variare da pochi giorni a settimane o addirittura mesi. Non vi è consenso sulla gestione appropriata del ritiro infantile [vedi AVVERTIMENTOS AND PRECAUZIONI ].

Dati umani

Studi riportati hanno generalmente confrontato il beneficio del metadone con il rischio di dipendenza non trattata da farmaci illeciti; La rilevanza di questi risultati per i pazienti con dolore prescritto il metadone durante la gravidanza non è chiara. È stato riportato che le donne in gravidanza coinvolte nei programmi di manutenzione del metadone hanno migliorato significativamente le cure prenatali portando a una significativamente ridotta incidenza di complicanze ostetriche e fetali e morbilità e mortalità neonatale rispetto alle donne che usano farmaci illeciti. Diversi fattori tra cui l'uso materno dell'infezione nutrizionale di droghe illecite e le circostanze psicosociali complicano l'interpretazione delle indagini sui bambini delle donne che assumono metadone durante la gravidanza. Le informazioni sono limitate per quanto riguarda la dose e la durata dell'uso di metadone durante la gravidanza e la maggior parte dell'esposizione materna sembra verificarsi dopo il primo trimestre di gravidanza.

Una revisione dei dati pubblicati sulle esperienze con uso di metadone durante la gravidanza da parte del sistema di informazione Teratogen (TERIS) ha concluso che è improbabile che l'uso materno del metadone durante la gravidanza nell'ambito di un regime terapeutico supervisionato comporti un sostanziale rischio teratogeno (quantità e qualità dei dati valutati come limitati alla corretta). Tuttavia, i dati non sono sufficienti per affermare che non vi è alcun rischio (Teris ha esaminato l'ultima volta ottobre 2002). Una serie di casi retrospettivi di 101 donne in gravidanza dipendenti da oppiacei che hanno subito una disintossicazione ospedaliera di oppioidi con metadone non ha dimostrato alcun rischio maggiore di aborto nel 2 ° trimestre o consegna prematura nel 3 ° trimestre. Studi recenti suggeriscono un aumentato rischio di parto prematuro nelle donne dipendenti da oppioidi esposte al metadone durante la gravidanza, sebbene la presenza di fattori di confusione renda difficile determinare una relazione causale. Diversi studi hanno suggerito che i bambini nati da donne dipendenti da narcotici trattati con metadone durante tutto o parte della gravidanza hanno ridotto la crescita fetale con una ridotta lunghezza del peso alla nascita e/o circonferenza della testa rispetto ai controlli. Questo deficit di crescita non sembra persistere nell'infanzia successiva. È stato segnalato che i bambini esposti prenatali al metadone dimostrano deficit lievi ma persistenti nelle prestazioni sui test psicometrici e comportamentali. Inoltre, diversi studi suggeriscono che i bambini nati da donne dipendenti da oppioidi esposte al metadone durante la gravidanza possono avere un aumentato rischio di anomalie di sviluppo visivo; Tuttavia non è stata assegnata una relazione causale.

Ci sono rapporti contrastanti sul fatto che si verifichi una sindrome di morte improvvisa del bambino con una maggiore incidenza nei bambini nati da donne trattate con metadone durante la gravidanza. È stato segnalato che si verificano test anormali di non stress fetali più frequentemente quando il test viene eseguito da 1 a 2 ore dopo una dose di mantenimento di metadone nella tarda gravidanza rispetto ai controlli.

Dati sugli animali

Il metadone non ha prodotto effetti teratogeni nei modelli di ratto o coniglio. Il metadone ha prodotto effetti teratogeni a seguito di grandi dosi nel criceto e nel topo del maiale della cavia. Uno studio pubblicato su criceti in gravidanza ha indicato che una singola dose sottocutanea di metadone che va da 31 a 185 mg/kg (la dose di 31 mg/kg è circa 2 volte una dose orale giornaliera umana di 120 mg/giorno su un Mg/m² Exencefalia cranioschisi e varie altre lesioni. La maggior parte delle dosi testate ha anche provocato la morte materna. In un altro studio una singola dose sottocutanea da 22 a 24 mg/kg di metadone (l'esposizione stimata era approssimativamente equivalente a una dose orale giornaliera umana di 120 mg/giorno su base mg/m²) somministrata il giorno 9 della gestazione nei topi ha prodotto anche l'exencefalia nell'11% degli embrioni. Tuttavia, non sono stati riportati effetti nei ratti e nei conigli a dosi orali fino a 40 mg/kg (l'esposizione stimata era rispettivamente di circa 3 e 6 volte una dose orale giornaliera umana di 120 mg/giorno su una base mg/m) somministrata durante i giorni da 6 a 15 e 6 a 18 rispettivamente.

I dati sugli animali pubblicati hanno riportato un aumento della mortalità neonatale nella progenie dei roditori maschi che sono stati trattati con metadone prima dell'accoppiamento. In questi studi le donne roditori non sono stati trattati con metadone che indicano tossicità dello sviluppo mediata da paternamente. In particolare il metadone somministrato al ratto maschile prima di accoppiarsi con femmine naïve al metadone ha comportato una riduzione dell'aumento di peso nella progenie dopo lo svezzamento. La progenie maschile ha dimostrato un peso di timo ridotto mentre la progenie femminile ha dimostrato un aumento dei pesi surrene. I test comportamentali di queste progenie maschili e femminili hanno rivelato differenze significative nei test comportamentali rispetto agli animali di controllo che suggeriscono che l'esposizione al metadone paterno può produrre cambiamenti fisiologici e comportamentali nella progenie in questo modello. Altri studi sugli animali hanno riferito che l'esposizione perinatale agli oppioidi, tra cui il metadone altera lo sviluppo e il comportamento neuronali nella prole. L'esposizione al metadone perinatale nei ratti è stata collegata alle alterazioni delle risposte nocicettive per la regolamentazione termica della capacità motoria e la sensibilità ai farmaci.

Ulteriori dati sugli animali dimostrano prove di cambiamenti neurochimici nel cervello della prole metadonettata, inclusi i cambiamenti nei sistemi colinergici dopaminergici noradrenergici e serotoninergici. Gli studi hanno dimostrato che il trattamento con metadone dei ratti maschi per 21-32 giorni prima dell'accoppiamento con femmine naïve al metadone non ha prodotto effetti avversi che suggeriscono che il trattamento prolungato di metadone del ratto maschile ha provocato tolleranza alle tossicità dello sviluppo notate nella progenie. Studi meccanicistici in questo modello di ratto suggeriscono che gli effetti di sviluppo del metadone paterno sulla progenie sembrano essere dovuti alla riduzione della produzione di testosterone. Questi dati sugli animali rispecchiano i risultati clinici riportati della riduzione dei livelli di testosterone nei maschi umani sulla terapia di mantenimento del metadone per la dipendenza da oppioidi e nei maschi che ricevono oppioidi intraspinali cronici.

Sono stati pubblicati ulteriori dati che indicano che il trattamento con metadone dei ratti maschi (una volta al giorno per tre giorni consecutivi) ha aumentato l'embrioletalità e la mortalità neonatale. L'esame del contenuto uterino di topi femmine naïve al metadone allevati a topi trattati con metadone ha indicato che il trattamento con metadone ha prodotto un aumento del tasso di decessi preimpianto in tutti gli stati post-meiotici.

Manodopera e consegna

Gli oppioidi attraversano la placenta e possono produrre depressione respiratoria nei neonati. Le compresse di metadone cloridrato non sono da utilizzare nelle donne durante e immediatamente prima del travaglio quando gli analgesici di recitazione più brevi o altre tecniche analgesiche sono più appropriate. Gli analgesici degli oppioidi possono prolungare il lavoro attraverso azioni che riducono temporaneamente la durata della forza e la frequenza delle contrazioni uterine. Tuttavia, questo effetto non è coerente e può essere compensato da un aumento del tasso di dilatazione cervicale che tende ad accorciare il lavoro.

Madri infermieristiche

Il metadone viene secreto nel latte umano. A dosi orali materne da 10 a 80 mg/giorno sono state segnalate concentrazioni di metadone da 50 a 570 mcg/L nel latte che nella maggior parte dei campioni erano inferiori alle concentrazioni di farmaci sierici materni allo stato stazionario. I livelli di picco del metadone nel latte si verificano circa 4-5 ore dopo una dose orale. Sulla base di un consumo medio di latte di 150 ml/kg/giorno, un bambino consumerebbe circa 17,4 mcg/kg/giorno che è circa dal 2 al 3% della dose materna orale. Il metadone è stato rilevato in concentrazioni plasmatiche molto basse in alcuni neonati le cui madri stavano assumendo metadone. Sono stati segnalati casi di sedazione e depressione respiratoria nei neonati esposti al metadone attraverso il latte materno. Attenzione dovrebbe essere esercitata quando il metadone viene somministrato a una donna infermieristica.

Consigliano le donne che vengono trattate con metadone e che stanno allattando o esprimono il desiderio di allattare la presenza di metadone nel latte umano. Istruire le madri che allattano come identificare la depressione e la sedazione respiratoria nei loro bambini e quando può essere necessario contattare il proprio operatore sanitario o cercare cure mediche immediate. I neonati allattati al seno di madri che usano metadone devono essere svezzati gradualmente per prevenire lo sviluppo dei sintomi di astinenza nel bambino.

Uso pediatrico

Non sono state stabilite l'efficacia della sicurezza e la farmacocinetica del metadone nei pazienti pediatrici di età inferiore ai 18 anni.

Uso geriatrico

Studi clinici sul metadone non includevano un numero sufficiente di soggetti di età pari o superiore a 65 anni per determinare se rispondono in modo diverso rispetto ai soggetti più giovani. Altra esperienza clinica segnalata non ha identificato differenze nelle risposte tra i pazienti anziani e più giovani. In generale, i pazienti anziani nella fascia bassa dell'intervallo di dosaggio tengono conto della maggiore frequenza della ridotta funzione renale e cardiaca epatica e della malattia concomitante o di altri farmaci in pazienti geriatrici. Monitorare attentamente i pazienti anziani per segni di depressione respiratoria e del sistema nervoso centrale.

Compromissione renale

La farmacocinetica del metadone non è stata ampiamente valutata in pazienti con insufficienza renale. Poiché il metadone non metabolizzato e i suoi metaboliti vengono escreti nelle urine a un grado variabile iniziano questi pazienti a dosi più basse e con intervalli di dosaggio più lunghi e titolano lentamente monitorando attentamente i segni della depressione respiratoria e del sistema nervoso centrale.

Compromissione epatica

Il metadone non è stato ampiamente valutato in pazienti con insufficienza epatica. Il metadone è metabolizzato da percorsi epatici; Pertanto, i pazienti con compromissione del fegato possono essere a rischio di una maggiore esposizione sistemica al metadone dopo il dosaggio multiplo. Inizia questi pazienti a dosi più basse e titola lentamente monitorando attentamente i segni di depressione respiratoria e del sistema nervoso centrale.

Informazioni per overdose per la dolofina

Presentazione clinica

Il sovradosaggio acuto di metadone si manifesta dalla sonnolenza della depressione respiratoria che progredisce allo stupore o al coma allievi al massimo delle pupille flaccidità del muscolo scheletrico freddo e la pelle umida e talvolta bradicardia e ipotensione. In grave sovradosaggio, in particolare da parte del percorso endovenoso, può verificarsi un arresto cardiaco e la morte.

Trattamento del sovradosaggio

In caso di priorità di overdose è il ripristino di un brevetto e le vie aeree protette e l'istituzione di ventilazione assistita o controllata, se necessario. Impiegare altre misure di supporto (compresi i vasopressori di ossigeno) nella gestione di shock circolatorio e edema polmonare come indicato. L'arresto cardiaco o le aritmie richiederanno tecniche di supporto vitale avanzate.

Gli antagonisti degli oppioidi come il naloxone sono antidoti specifici alla depressione respiratoria risultante dal sovradosaggio di oppioidi. Gli antagonisti degli oppioidi non devono essere somministrati in assenza di depressione respiratoria o circolatoria clinicamente significativa secondaria al sovradosaggio del metadone. Tali agenti dovrebbero essere somministrati con cautela ai pazienti che sono noti o sospettati di dipendere fisicamente dalle compresse di metadone cloridrato. In tali casi un'inversione improvvisa o completa degli effetti degli oppioidi può precipitare una sindrome da astinenza acuta.

Poiché la durata dell'inversione dovrebbe essere inferiore alla durata dell'azione del metadone nelle compresse di metadone cloridrato monitora attentamente il paziente fino a quando la respirazione spontanea non viene ristabilita in modo affidabile. Se la risposta agli antagonisti degli oppiacei è non ottimale o non è stato sostenuto antagonista aggiuntivo come indicato nelle informazioni di prescrizione del prodotto.

In un individuo dipendente fisicamente dalla somministrazione di oppioidi di un antagonista del recettore degli oppioidi può precipitare un ritiro acuto. La gravità del ritiro prodotto dipenderà dal grado di dipendenza fisica e dalla dose dell'antagonista somministrato. Se viene presa la decisione di trattare una grave depressione respiratoria nella somministrazione fisica del paziente dell'antagonista, dovrebbe essere iniziata con cura e per titolazione con dosi più piccole del solito dell'antagonista.

Controindicazioni per la dolofina

Le compresse di metadone cloridrato sono controindicate nei pazienti con:

  • Depressione respiratoria significativa
  • Asma bronchiale acuto o grave in un ambiente non monitorato o in assenza di attrezzature per la rianimazione
  • Paralitico noto o sospetto
  • Ipersensibilità (ad esempio anafilassi) al metadone [vedi Reazioni avverse ].

Informazioni per overdose per la dolofina

Presentazione clinica

Il sovradosaggio acuto di metadone si manifesta dalla sonnolenza della depressione respiratoria che progredisce allo stupore o al coma allievi al massimo delle pupille flaccidità del muscolo scheletrico freddo e la pelle umida e talvolta bradicardia e ipotensione. In grave sovradosaggio, in particolare da parte del percorso endovenoso, può verificarsi un arresto cardiaco e la morte.

Trattamento del sovradosaggio

In caso di priorità di overdose è il ripristino di un brevetto e le vie aeree protette e l'istituzione di ventilazione assistita o controllata, se necessario. Impiegare altre misure di supporto (compresi i vasopressori di ossigeno) nella gestione di shock circolatorio e edema polmonare come indicato. L'arresto cardiaco o le aritmie richiederanno tecniche di supporto vitale avanzate.

Gli antagonisti degli oppioidi come il naloxone sono antidoti specifici alla depressione respiratoria risultante dal sovradosaggio di oppioidi. Gli antagonisti degli oppioidi non devono essere somministrati in assenza di depressione respiratoria o circolatoria clinicamente significativa secondaria al sovradosaggio del metadone. Tali agenti dovrebbero essere somministrati con cautela ai pazienti che sono noti o sospettati che siano fisicamente dipendenti dalla dolofina. In tali casi un'inversione improvvisa o completa degli effetti degli oppioidi può precipitare una sindrome da astinenza acuta.

Poiché la durata dell'inversione dovrebbe essere inferiore alla durata dell'azione del metadone nella dolofina monitora attentamente il paziente fino a quando la respirazione spontanea non viene ristabilita in modo affidabile. Se la risposta agli antagonisti degli oppiacei è non ottimale o non è stato sostenuto antagonista aggiuntivo come indicato nelle informazioni di prescrizione del prodotto.

In un individuo dipendente fisicamente dalla somministrazione di oppioidi di un antagonista del recettore degli oppioidi può precipitare un ritiro acuto. La gravità del ritiro prodotto dipenderà dal grado di dipendenza fisica e dalla dose dell'antagonista somministrato. Se viene presa la decisione di trattare una grave depressione respiratoria nella somministrazione fisica del paziente dell'antagonista, dovrebbe essere iniziata con cura e per titolazione con dosi più piccole del solito dell'antagonista.

Controindicazioni per la dolofina

La città is contraindicated in patients with:

  • Depressione respiratoria significativa
  • Asma bronchiale acuto o grave in un ambiente non monitorato o in assenza di attrezzature per la rianimazione
  • Ileo paralitico noto o sospetto

Ipersensibilità (ad esempio anafilassi) al metadone [vedi Reazioni avverse ].

Farmacologia clinica fO Dolophine

Meccanismo d'azione

Il metadone cloridrato è un mu-agonista; Un analgesico oppiaceo sintetico con molteplici azioni qualitativamente simile a quelle della morfina il più importante dei quali coinvolge il sistema nervoso centrale e gli organi composti da muscole liscia. Gli usi terapeutici principali per il metadone sono per l'analgesia e per la disintossicazione o il mantenimento nella dipendenza da oppiacei. La sindrome da astinenza dal metadone, sebbene qualitativamente simile a quella della morfina differisce in quanto l'insorgenza è più lenta il percorso è più prolungato e i sintomi sono meno gravi.

Alcuni dati indicano anche che il metadone funge da antagonista nel recettore N-metil-D-aspartato (NMDA). Il contributo dell'antagonismo del recettore NMDA all'efficacia del metadone non è noto. Altri antagonisti del recettore NMDA hanno dimostrato di produrre effetti neurotossici negli animali.

Farmacocinetica

Assorbimento

Dopo la somministrazione orale la biodisponibilità del metadone varia tra il 36 e il 100% e le concentrazioni plasmatiche di picco sono raggiunte tra 1 e 7,5 ore. La proporzionalità della dose di farmacocinetica del metadone non è nota. Tuttavia, dopo la somministrazione di dosi orali giornaliere comprese tra 10 e 225 mg, le concentrazioni plasmatiche allo stato stazionario variavano tra 65 e 630 ng/mL e le concentrazioni di picco variavano tra 124 e 1255 ng/mL. L'effetto del cibo sulla biodisponibilità del metadone non è stato valutato.

Distribuzione

Il metadone è un farmaco lipofilo e il volume di distribuzione stazionario varia tra 1,0 e 8,0 L/kg. Nel plasma metadone è prevalentemente legato alla glicoproteina α1-acido (dall'85% al ​​90%).

Metabolismo

Il metadone è principalmente metabolizzato da N-demetilazione in un metabolita inattivo 2- etilidene-15-dimetil-33-difenilpirrolidene (EDDP). Gli enzimi del citocromo P450 principalmente CYP3A4 CYP2B6 e CYP2C19 e in misura minore CYP2C9 e CYP2D6 sono responsabili della conversione del metadone in EDDP e altri metaboliti inattivi che sono escreti principalmente nelle urine. Il metadone sembra essere un substrato per la glicoproteina P, ma i suoi farmacocinetici non sembrano essere significativamente alterati in caso di polimorfismo o inibizione della glicoproteina P.

Escrezione

L'eliminazione del metadone è mediata da un'ampia biotrasformazione seguita dall'escrezione renale e fecale. Rapporti pubblicati indicano che dopo la somministrazione di dose multiple l'apparente gioco plasmatico di metadone variava tra 1,4 e 126 l/h e l'emivita terminale (T½) era altamente variabile e variava tra le 8 e le 59 ore in diversi studi. Il metadone è un composto di base (PKA = 9.2) e il pH del tratto urinario può alterare la sua disposizione nel plasma. Inoltre, poiché il metadone è lipofilo, è noto che persiste nel fegato e in altri tessuti. Il rilascio lento dal fegato e da altri tessuti può prolungare la durata dell'azione del metadone nonostante basse concentrazioni plasmatiche.

Interazioni farmacologiche

Interazioni del citocromo P450 : Il metadone subisce n-demetilazione epatica delle isoforme del citocromo P450 (CYP) principalmente CYP3A4 CYP2B6 CYP2C19 e in misura minore da parte di CYP2C9 e CYP2D6. La somministrazione di co -metadone con induttori del CYP può comportare un metabolismo più rapido e il potenziale per una riduzione degli effetti del metadone, mentre la somministrazione con inibitori del CYP può ridurre il metabolismo e potenziare gli effetti del metadone. Sebbene i farmaci antiretrovirali come Efavirenz Nelfinavir nevirapine ritonavir lopinavir ritonavir sono noti per inibire alcuni CYP, si dimostra Interazioni farmacologiche ]. TherefOe drugs administered concomitantly with methadone  should be evaluated fO interaction potential; clinicians are advised A evaluate individual response A drug therapy.

Induttori di citocromo P450 : Sono state riportate le seguenti interazioni farmacologiche a seguito di co -somministrazione di metadone con induttori noti degli enzimi del citocromo P450:

Rifampin

Nei pazienti ben stabilizzati sulla somministrazione concomitante del metadone della rifampina ha comportato una marcata riduzione dei livelli sierici di metadone e una comparsa simultanea dei sintomi di astinenza.

Phable

In uno studio farmacocinetico con pazienti con somministrazione di fenitoina di terapia di mantenimento del metadone (250 mg due volte al giorno inizialmente per 1 giorno, seguito da 300 mg al giorno per 3-4 giorni) ha comportato una riduzione di circa il 50% dell'esposizione al metadone e i sintomi di ritiro si sono verificati concomitanti. Dopo l'interruzione della fenitoina, l'incidenza dei sintomi di astinenza è diminuita e l'esposizione al metadone è aumentata a un livello paragonabile a quello prima della somministrazione di fenitoina.

Carbamazepina fenobarbitale di San Giovanni

La somministrazione di metadone con altri induttori del CYP3A4 può provocare sintomi di astinenza.

Inibitori del citocromo P450 : Poiché il metabolismo del metadone è mediato principalmente dalla somministrazione di farmaci isozimi del CYP3A4 che inibisce l'attività del CYP3A4 può causare una ridotta clearance del metadone.

Voriconazole

La somministrazione di dose di ripetizione di voriconazolo orale (400 mg ogni 12 ore per 1 giorno, quindi 200 mg ogni 12 ore per 4 giorni) ha aumentato la concentrazione plasmatica di picco (CMAX) e AUC di (R)- metadone- rispettivamente di 65% di 65%. Le concentrazioni plasmatiche di metadone sono state associate a tossicità, incluso il prolungamento del QT. Interazioni farmacologiche ].

Farmaci antiretrovirali : Sebbene i farmaci antiretrovirali come Efavirenz Nelfinavir nevirapine ritonavir telaprevir lopinavir ritonavir siano noti per inibire alcuni cyps, si mostra che riducono i livelli plasmatici di metadone eventualmente a causa dell'attività di induzione del CYP.

Abacavir amprenavir darunavir ritonavir efavirenz nelfinavir nevirapine ritonavir telaprevir lopinavir ritonavir saqinavir ritonavir tipranvir ritonavir combinazione : La somministrazione di co -somministrazione di questi agenti antiretrovirali ha comportato un aumento della clearance o una riduzione dei livelli plasmatici di metadone [vedi Interazioni farmacologiche ].

Didanosina e stavudina

Il metadone ha ridotto i livelli di AUC e di picco per didanosina e stavudina con una riduzione più significativa della didanosina. La disposizione del metadone non è stata sostanzialmente modificata [vedi Interazioni farmacologiche ].

Zidovudina

Il metadone ha aumentato l'AUC della zidovudina che potrebbe causare effetti tossici [vedi Interazioni farmacologiche ].

Farmacologia clinica fO Dolophine

Meccanismo d'azione

Il metadone cloridrato è un mu-agonista; Un analgesico oppiaceo sintetico con molteplici azioni qualitativamente simile a quelle della morfina il più importante dei quali coinvolge il sistema nervoso centrale e gli organi composti da muscole liscia. Gli usi terapeutici principali per il metadone sono per l'analgesia e per la disintossicazione o il mantenimento nella dipendenza da oppiacei. La sindrome da astinenza dal metadone, sebbene qualitativamente simile a quella della morfina differisce in quanto l'insorgenza è più lenta il percorso è più prolungato e i sintomi sono meno gravi.

Alcuni dati indicano anche che il metadone funge da antagonista nel recettore N-metil-D-aspartato (NMDA). Il contributo dell'antagonismo del recettore NMDA all'efficacia del metadone non è noto. Altri antagonisti del recettore NMDA hanno dimostrato di produrre effetti neurotossici negli animali.

quanta colchicina posso prendere

Farmacocinetica

Assorbimento

Dopo la somministrazione orale la biodisponibilità del metadone varia tra il 36 e il 100% e le concentrazioni plasmatiche di picco sono raggiunte tra 1 e 7,5 ore. La proporzionalità della dose di farmacocinetica del metadone non è nota. Tuttavia, dopo la somministrazione di dosi orali giornaliere comprese tra 10 e 225 mg, le concentrazioni plasmatiche allo stato stazionario variavano tra 65 e 630 ng/mL e le concentrazioni di picco variavano tra 124 e 1255 ng/mL. L'effetto del cibo sulla biodisponibilità del metadone non è stato valutato.

Distribuzione

Il metadone è un farmaco lipofilo e il volume di distribuzione stazionario varia tra 1,0 e 8,0 L/kg. Nel plasma metadone è prevalentemente legato alla glicoproteina α1-acido (dall'85% al ​​90%). Il metadone è secreto nel fluido amniotico del latte materno di saliva e nel plasma del cordone ombelicale.

Metabolismo

Il metadone è principalmente metabolizzato da N-demetilazione in un metabolita inattivo 2- etilidene-15-dimetil-33-difenilpirrolidene (EDDP). Gli enzimi del citocromo P450 principalmente CYP3A4 CYP2B6 e CYP2C19 e in misura minore CYP2C9 e CYP2D6 sono responsabili della conversione del metadone in EDDP e altri metaboliti inattivi che sono escreti principalmente nelle urine. Il metadone sembra essere un substrato per la glicoproteina P, ma i suoi farmacocinetici non sembrano essere significativamente alterati in caso di polimorfismo o inibizione della glicoproteina P.

Escrezione

L'eliminazione del metadone è mediata da un'ampia biotrasformazione seguita dall'escrezione renale e fecale. Rapporti pubblicati indicano che dopo la somministrazione di dose multiple l'apparente gioco plasmatico di metadone variava tra 1,4 e 126 l/h e l'emivita terminale (T½) era altamente variabile e variava tra le 8 e le 59 ore in diversi studi. Il metadone è un composto di base (PKA = 9.2) e il pH del tratto urinario può alterare la sua disposizione nel plasma. Inoltre, poiché il metadone è lipofilo, è noto che persiste nel fegato e in altri tessuti. Il rilascio lento dal fegato e da altri tessuti può prolungare la durata dell'azione del metadone nonostante basse concentrazioni plasmatiche.

Interazioni farmacologiche

Interazioni del citocromo P450 : Il metadone subisce n-demetilazione epatica delle isoforme del citocromo P450 (CYP) principalmente CYP3A4 CYP2B6 CYP2C19 e in misura minore da parte di CYP2C9 e CYP2D6. La somministrazione di co -metadone con induttori del CYP può comportare un metabolismo più rapido e il potenziale per una riduzione degli effetti del metadone, mentre la somministrazione con inibitori del CYP può ridurre il metabolismo e potenziare gli effetti del metadone. Sebbene i farmaci antiretrovirali come Efavirenz Nelfinavir nevirapine ritonavir lopinavir ritonavir sono noti per inibire alcuni CYP, si dimostra Interazioni farmacologiche ]. TherefOe drugs administered concomitantly with methadone should be evaluated fO interaction potential; clinicians are advised A evaluate individual response A drug therapy.

Induttori di citocromo P450 : Sono state riportate le seguenti interazioni farmacologiche a seguito di co -somministrazione di metadone con induttori noti degli enzimi del citocromo P450:

Rifampin : Nei pazienti ben stabilizzati sulla somministrazione concomitante del metadone della rifampina ha comportato una marcata riduzione dei livelli sierici di metadone e una comparsa simultanea dei sintomi di astinenza.

Phable : In uno studio farmacocinetico con pazienti con somministrazione di fenitoina di terapia di mantenimento del metadone (250 mg due volte al giorno inizialmente per 1 giorno, seguito da 300 mg al giorno per 3-4 giorni) ha comportato una riduzione di circa il 50% dell'esposizione al metadone e i sintomi di ritiro si sono verificati concomitanti. Dopo l'interruzione della fenitoina, l'incidenza dei sintomi di astinenza è diminuita e l'esposizione al metadone è aumentata a un livello paragonabile a quello prima della somministrazione di fenitoina.

Carbamazepina fenobarbitale di San Giovanni : La somministrazione di metadone con altri induttori del CYP3A4 può provocare sintomi di astinenza.

Inibitori del citocromo P450 : Poiché il metabolismo del metadone è mediato principalmente dalla somministrazione di farmaci isozimi del CYP3A4 che inibisce l'attività del CYP3A4 può causare una ridotta clearance del metadone.

Voriconazole : Ripetere la somministrazione di dose di voriconazolo orale (400 mg ogni 12 ore per 1 giorno, quindi 200 mg ogni 12 ore per 4 giorni) ha aumentato la concentrazione plasmatica di picco (CMAX) e AUC di (R)- metadone del 31% e 47% rispettivamente nei soggetti che ricevono una dose di mantenimento del metadono (30 a 100 mg al giorno). Il methadone CMAX e AUC di (S) è aumentato rispettivamente del 65% e del 103%. L'aumento delle concentrazioni plasmatiche di metadone è stata associata a tossicità, incluso il prolungamento del QT. Si raccomanda frequenti monitoraggio per eventi avversi e tossicità relative al metadone durante la somministrazione di co -somministrazione. Potrebbe essere necessaria una riduzione della dose di metadone [vedi Interazioni farmacologiche ].

Farmaci antiretrovirali : Sebbene i farmaci antiretrovirali come Efavirenz Nelfinavir nevirapine ritonavir telaprevir lopinavir ritonavir siano noti per inibire alcuni cyps, si mostra che riducono i livelli plasmatici di metadone eventualmente a causa dell'attività di induzione del CYP.

Abacavir amprenavir darunavir ritonavir efavirenz nelfinavir nevirapine ritonavir telaprevir lopinavir ritonavir saqinavir ritonavir tipranvir ritonavir combinazione : La somministrazione di co -corsivo di questi agenti antiretrovirali ha comportato un aumento della clearance o una riduzione dei livelli plasmatici di metadone [vedi Interazioni farmacologiche ].

Didanosina e stavudina : Il metadone ha ridotto i livelli di AUC e di picco per didanosina e stavudina con una riduzione più significativa della didanosina. La disposizione del metadone non è stata sostanzialmente modificata [vedi Interazioni farmacologiche ].

Zidovudina : Il metadone ha aumentato l'AUC della zidovudina che potrebbe causare effetti tossici [vedi Interazioni farmacologiche ].

Informazioni sul paziente per la dolofina

Compresse di metadone cloridrato
Le compresse di metadone cloridrato sono:

  • Una forte medicina del dolore da prescrizione che contiene un oppiaceo (narcotico) che viene utilizzato per gestire il dolore abbastanza grave da richiedere un trattamento a lungo termine ogni giorno all'altro con un oppioide quando altri trattamenti per il dolore come medicinali per il dolore non oppioide o medicinali di oppioidi immediati non trattano abbastanza bene o non si può tollerare.
  • Una medicina del dolore da oppiacei a lunga durata d'azione che può metterti a rischio di sovradosaggio e morte. Anche se prendi la tua dose correttamente come prescritto, sei a rischio di abuso di dipendenti da oppiacei e abusi che possono portare alla morte.
  • Non per essere utilizzato per trattare il dolore che non è 24 °
  • Utilizzato anche per gestire la tossicodipendenza.

Informazioni importanti sulle compresse di metadone cloridrato:

  • Ottieni subito un aiuto di emergenza se prendi troppi compresse di cloridrato di metadone (sovradosaggio). Quando inizi a prendere compresse di cloridrato di metadone quando la tua dose viene cambiata o se si prende troppo (overdose) gravi o problemi di respirazione potenzialmente letali che possono causare la morte possono verificarsi.
  • Non dare mai a nessuno le tue compresse di cloridrato di metadone. Potrebbero morire per prenderlo. Conservare le compresse di cloridrato di metadone lontano dai bambini e in un luogo sicuro per evitare di rubare o abusi. Vendere o regalare compresse di cloridrato di metadone è contro la legge.

Non prendere compresse di cloridrato di metadone se hai:

  • gravi problemi di asma che respirano o altri problemi polmonari.
  • un blocco intestinale o ha un restringimento dello stomaco o dell'intestino.

Prima di prendere le compresse di cloridrato di metadone, racconta al tuo operatore sanitario se hai una storia di:

  • convulsioni per lesioni alla testa
  • Problemi di tiroide renale epatica
  • problemi urinanti
  • Problemi del ritmo cardiaco (sindrome di Long Qt)
  • Problemi di pancreas o cistifellea
  • Abuso di droghe di strada o di droghe da prescrizione di dipendenza da alcol o problemi di salute mentale.

Di 'al tuo operatore sanitario se sei:

  • incinta o pianificare di rimanere incinta. L'uso prolungato di compresse di metadone cloridrato durante la gravidanza può causare sintomi di astinenza nel tuo neonato che potrebbe essere pericoloso per la vita se non riconosciuto e trattato.
  • allattamento al seno. Il metadone passa nel latte materno e può danneggiare il tuo bambino.
  • assumere medicinali da prescrizione o da banco vitamine o integratori a base di erbe. L'assunzione di compresse di cloridrato di metadone con alcuni altri medicinali può causare gravi effetti collaterali.

Quando si prendono compresse di cloridrato di metadone:

  • Non cambiare la tua dose. Prendi compresse di cloridrato di metadone esattamente come prescritto dal tuo medico.
  • Non prendere più della tua dose prescritta in 24 ore. Se prendi compresse di cloridrato di metadone per il dolore e perdi una dose, prendi le compresse di cloridrato di metadone il più presto possibile e poi prendi la tua dose successiva 8 o 12 ore dopo, come indicato dal tuo operatore sanitario. Se è quasi ora per la tua prossima dose, salta la dose persa e torna al tuo normale programma di dosaggio.
  • Se prendi compresse di cloridrato di metadone per la dipendenza da oppiacei e perdi una dose, prendi la tua dose successiva il giorno seguente come previsto. Non assumere dosi extra. Prendere più di quanto la dose prescritta può farti sovradosaggio perché il metadone si accumula nel tuo corpo nel tempo.
  • Non schiacciare le compresse di snort o iniettare compresse di cloridrato di metadone perché ciò può causare il sovradosaggio e la morte.
  • Chiama il tuo operatore sanitario se il dos e che stai assumendo non controlla il tuo dolore.
  • Non prendere in cima a compresse di cloridrato di metadone senza parlare con il tuo operatore sanitario.
  • Dopo aver smesso di prendere compresse di cloridrato di metadone, scaricare eventuali compresse inutilizzate nel gabinetto.

Mentre si prendono le compresse di cloridrato di metadone no:

  • Guidare o utilizzare macchinari pesanti fino a quando non sai come ti colpisce la compressa di metadone cloridrato. Le compresse di cloridrato di metadone possono farti sondare vertigini o stordito.
  • Bevi alcol o usa medicinali da prescrizione o da banco che contengono alcol. L'uso di prodotti contenenti alcol durante il trattamento con compresse di cloridrato di metadone può causare il sovradosaggio e la morte.

I possibili effetti collaterali delle compresse di cloridrato di metadone sono:

  • stipsi nausea sleepiness vomito tiredness headache vertigini abdominal pain. Call your healthcare provider if you have any of these sympAms E they are severe.

Ottieni assistenza medica di emergenza se hai:

  • difficoltà a respirare shOtness of breath fast heartbeat dolore al petto swelling of your face Angue O throat extreme sonnolenza light-headedness when changing positions O you are feeling faint.

Questi non sono tutti i possibili effetti collaterali delle compresse di metadone cloridrato. Chiama il medico per consigli medici sugli effetti collaterali. È possibile segnalare gli effetti collaterali alla FDA al numero 1-800- FDA-1088. Per ulteriori informazioni, visitare dailymed.nlm.nih.gov.

Informazioni sul paziente per la dolofina

La città®
(O-O-Feen)
(metadone cloridrato) compresse USP

La città is :

  • Una forte medicina del dolore da prescrizione che contiene un oppiaceo (narcotico) che viene utilizzato per gestire il dolore abbastanza grave da richiedere un trattamento a lungo termine quotidiano intorno al punto di vista con un oppioide quando altri trattamenti per il dolore come medicinali per il dolore non oppioide o medicinali di oppioidi a rilascio immediato non trattano abbastanza bene il dolore o non puoi tollerarli.
  • Una medicina del dolore da oppiacei a lunga durata d'azione che può metterti a rischio di sovradosaggio e morte. Anche se prendi correttamente la tua dose come prescritto, sei a rischio di abuso e uso improprio della dipendenza da oppiacei di quanto possa portare alla morte.
  • Non per essere utilizzato per trattare il dolore che non è 24 °.
  • Utilizzato anche per gestire la tossicodipendenza.

Informazioni importanti sulla dolofina:

  • Ottieni subito un aiuto di emergenza se prendi troppa dolofina (sovradosaggio). Quando inizi a prendere la dolofina quando la tua dose viene cambiata o se prendi troppi problemi di respirazione gravi o pericolosi per la vita che possono portare alla morte.
  • Non dare mai a nessuno la tua dolofina. Potrebbero morire per prenderlo. Conservare la dolofina lontano dai bambini e in un luogo sicuro per evitare di rubare o abusi. Vendere o regalare la dolofina è contro la legge.

Non prendere la dolofina se hai:

  • Gravi problemi di asma che respirano o altri problemi polmonari.
  • Un blocco intestinale o ha un restringimento dello stomaco o dell'intestino.

Prima di prendere la dolofina, racconta al tuo operatore sanitario se hai una storia di:

  • convulsioni per lesioni alla testa
  • Problemi di tiroide renale epatica
  • problemi urinanti
  • Problemi di pancreas o cistifellea
  • Problemi del ritmo cardiaco (sindrome di Long Qt)
  • Abuso di droghe di strada o di droghe da prescrizione di dipendenza da alcol o problemi di salute mentale.

Di 'al tuo operatore sanitario se sei:

  • incinta o pianificare di rimanere incinta. L'uso prolungato di dolofina durante la gravidanza può causare sintomi di astinenza nel bambino appena nato che potrebbe essere pericoloso la vita se non riconosciuto e trattato.
  • allattamento al seno. La città passes inA breast milk E may harm your baby.
  • assumere medicinali da prescrizione o da banco vitamine o integratori a base di erbe. Prendere la dolofina con alcuni altri medicinali può causare gravi effetti collaterali.

Quando prendi la dolofina:

  • Non cambiare la tua dose. Prendi la dolofina esattamente come prescritto dal tuo medico.
  • Non prendere più della tua dose prescritta in 24 ore. Se prendi la dolofina per il dolore e perdi una dose, prendi la dolofina il prima possibile e poi prendi la tua dose successiva 8 o 12 ore dopo, come indicato dal tuo operatore sanitario. Se è quasi ora per la tua prossima dose, salta la dose persa e torna al tuo normale programma di dosaggio.
  • Se prendi la dolofina per la dipendenza da oppiacei e perdi una dose, prendi la tua dose successiva il giorno seguente come previsto. Non assumere dosi extra. Prendere più di quanto la dose prescritta può farti sovradosaggio perché la dolofina si accumula nel tuo corpo nel tempo.
  • Non schiacciare dissolvere lo sbuffo o iniettare la dolofina perché ciò può farti sovradosare e morire.
  • Chiama il tuo medico se la dose che stai assumendo non controlla il dolore.
  • Non smettere di prendere la dolofina senza parlare con il tuo operatore sanitario.
  • Dopo aver smesso di prendere la dolofina a filo eventuali compresse inutilizzate nel gabinetto.

Mentre prendono la dolofina no:

  • Guidare o utilizzare macchinari pesanti fino a quando non sai come ti colpisce la dolophina. La dolofina può farti venire sonno vertigini o stordito.
  • Bevi alcol o usa medicinali da prescrizione o da banco che contengono alcol. L'uso di prodotti contenenti alcol durante il trattamento con dolofina può causare il sovradosaggio e la morte.

I possibili effetti collaterali della dolofina sono:

  • stipsi nausea sleepiness vomito tiredness headache vertigini abdominal pain. Call your healthcare provider if you have any of these sympAms E they are severe.

Ottieni assistenza medica di emergenza se hai:

  • difficoltà a respirare shOtness of breath fast heartbeat dolore al petto swelling of your face Angue O throat extreme sonnolenza light-headedness when changing positions O you are feeling faint.

Questi non sono tutti i possibili effetti collaterali della dolofina. Chiama il medico per consigli medici sugli effetti collaterali. È possibile segnalare gli effetti collaterali alla FDA al numero 1-800-FDA-1088. Per ulteriori informazioni, visitare dailymed.nlm.nih.gov.