Le Informazioni Presenti Sul Sito Non Costituiscono Consulenza Medica. Non Vendiamo Nulla. L'Accuratezza Della Traduzione Non È Garantita. Disclaimer



Lamisil

Riepilogo della droga

Cos'è Lamisil?

Lamisil (terbinafina cloridrato) è un antifungino antibiotico usato per trattare le infezioni causate da fungo che colpiscono le unghie o le unghie dei piedi (onicomicosi). I granuli orali sono usati per trattare un'infezione fungina di follicoli piliferi del cuoio capelluto nei bambini che hanno almeno 4 anni. Lamisil è disponibile in generico modulo.

Quali sono gli effetti collaterali di Lamisil?

Lamisil può causare gravi effetti collaterali tra cui:



  • Cambiamenti nel tuo senso del gusto o dell'odore
  • umore depresso
  • problemi di sonno
  • Mancanza di interesse per l'attività quotidiana
  • Sentirsi ansiosi o irrequieti
  • pelle pallida
  • Facile lividi
  • sanguinamento insolito (bocca del naso vagina o retto)
  • I punti viola o rossi di punta sotto la pelle
  • rigonfiamento
  • Rapido aumento di peso
  • poco o nessun urinare
  • sangue nelle urine o nelle feci
  • Perdita di peso dovuta alle variazioni del gusto o alla perdita di appetito
  • nausea
  • Dolori di stomaco superiore
  • vomito
  • stanchezza
  • urina scura
  • sgabelli color argilla
  • ingiallimento della pelle o degli occhi ( ittero )
  • piaghe della pelle e
  • cutanea per la pelle a forma di farfalla sulle guance o sul naso che peggiora alla luce del sole

Ottieni subito assistenza medica se hai uno qualsiasi dei sintomi sopra elencati.



Gli effetti collaterali comuni di Lamisil includono

  • diarrea
  • Sconturoso stomaco
  • gas
  • nausea
  • dolori di stomaco
  • diarrea
  • mal di testa
  • vertigini
  • sensazione di rotazione
  • cutanea cutanea delicata
  • prurito o
  • Temporaneo gusto insolito o spiacevole o perdita di gusto in bocca.

Dosaggio per lamisil

Per curare unghia onicomicosi La dose di lamisil è una compressa da 250 mg una volta al giorno per 6 settimane. Per l'onicomicosi del piede, prendere una compressa da 250 mg una volta al giorno per 12 settimane.



Quali sostanze o integratori di farmaci interagiscono con Lamisil?

Lamisil può interagire con la cimetidina rifampina altri antibiotici antifungini Fluttuanti del sangue Farmaci cardiaci antidepressivi Inibitori MAO (Maois) o beta-bloccanti. Di 'al medico tutti i farmaci che usi.

Lamisil durante la gravidanza e l'allattamento

Durante la gravidanza lamisil dovrebbe essere usata solo quando prescritta. Il trattamento con infezione da unghie fungina di solito può aspettare fino a quando hai avuto il tuo bambino. Questo farmaco passa nel latte materno e può avere effetti indesiderati su un bambino infermieristico. L'allattamento al seno non è raccomandato durante l'utilizzo di questo farmaco.

Ulteriori informazioni

Il nostro centro farmacologico Lamisil (Terbinafine cloridrato) fornisce una visione completa delle informazioni disponibili sui farmaci sui potenziali effetti collaterali durante l'assunzione di questo farmaco.

Informazioni sui farmaci FDA

Descrizione per Lamisil

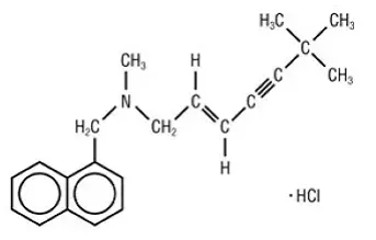
Le compresse di lamisil contengono il composto antifungino di allilammina sintetica di terbinafina cloridrato. Chimicamente la terbinafina cloridrato è (e) -n- (66-dimetil-2-hepten-ynyl) -n-metil-1- naftalenemetanamina cloridrato. La formula empirica C 21 H 26 CIN con un peso molecolare di 327,90 e la seguente formula strutturale:

La terbinafina cloridrato è una polvere cristallina da bianca a bianca. È liberamente solubile in metanolo e cloruro di metilene solubile in etanolo e leggermente solubile in acqua.

Ogni tablet contiene:

Ingredienti attivi: Terbinafina cloridrato (equivalente a 250 mg di base)

Ingredienti inattivi: biossido di silicio colloidale NF idrossipropil metilcellulosa USP stearato stearato NF cellulosa microcristallina NF e glicolato di amido di sodio NF.

Usi per lamisil

Le compresse di lamisil (terbinafina cloridrato) sono indicate per il trattamento dell'onicomicosi della piede o dell'unghia a causa di dermatofiti (tinea unguum).

Prima di avviare il trattamento appropriati campioni di unghie per i test di laboratorio [idrossido di potassio (KOH) di preparazione della coltura fungina o della biopsia delle unghie] dovrebbero essere ottenuti per confermare la diagnosi di onicomicosi.

Dosaggio per lamisil

Onicomicosi di unghie: Una compressa da 250 mg una volta al giorno per 6 settimane.

Onicomicosi dell'unghia del piede: Una compressa da 250 mg una volta al giorno per 12 settimane.

L'effetto clinico ottimale è visto alcuni mesi dopo la cura micologica e la cessazione del trattamento. Questo è relativo al periodo richiesto per la crescita di unghia sana.

Come fornito

Forme di dosaggio e punti di forza

Compresse compresse da bianco da 250 mg da bianco a color circolare bianco a letta gialla compresse smussate bi-convesse impresse con lamisil in forma circolare su un lato e codice 250 sull'altro lato.

Archiviazione e maneggevolezza

Compresse Lamisil sono forniti come compresse con telaia bi-convessa circolare bianca a razza gialla a testa gialla contenenti 250 mg di terbinafina impressa con lamisile in forma circolare su un lato e codice 250 sull'altro.

Bottiglie di 100 compresse Ndc 0078-0179-05
Bottiglie di 30 compresse Ndc 0078-0179-15

Conservare compresse Lamisil al di sotto di 25 ° C (77 ° F); in un contenitore stretto. Proteggere dalla luce.

Distribuito da: Novartis Pharmaceuticals Corporation East Hanover New Jersey 07936. Revisionato: febbraio 2015

Effetti collaterali for Lamisil

Esperienza di studi clinici

Poiché gli studi clinici sono condotti in condizioni di reazione avverse ampiamente variabili negli studi clinici di un farmaco non possono essere confrontati direttamente ai tassi negli studi clinici di un altro farmaco e potrebbero non riflettere i tassi osservati nella pratica.

Gli eventi avversi più frequentemente riportati osservati nelle prove 3 controllate da placebo USA/canadese sono elencati nella tabella seguente. Gli eventi avversi riportati comprendono i sintomi gastrointestinali (incluso la diarrea dispepsia e il dolore addominale) Test epatico Anomalie Rasce orticaria prurito e disturbi del gusto. Sono stati segnalati cambiamenti nella lente oculare e la retina a seguito dell'uso di compresse Lamisil in prove controllate. Il significato clinico di questi cambiamenti è sconosciuto. In generale, gli eventi avversi erano lievi transitori e non hanno portato a sospensione dalla partecipazione allo studio.

Evento avverso Interruzione
Compresse Lamisil (%)
n = 465
Placebo (%)
n = 137
Compresse Lamisil (%)
n = 465
Placebo (%)
n = 137
Mal di testa 12.9 9.5 0.2 0.0
Sintomi gastrointestinali:
Diarrea 5.6 2.9 0.6 0.0
Dispepsia 4.3 2.9 0.4 0.0
Dolore addominale 2.4 1.5 0.4 0.0
Nausea 2.6 2.9 0.2 0.0
Flatulenza 2.2 2.2 0.0 0.0
Sintomi dermatologici:
Eruzione cutanea 5.6 2.2 0.9 0.7
Prurito 2.8 1.5 0.2 0.0
Orticaria 1.1 0.0 0.0 0.0
Anomalie enzimi epatiche* 3.3 1.4 0.2 0.0
Disturbo del gusto 2.8 0.7 0.2 0.0
Disturbo visivo 1.1 1.5 0.9 0.0
*Anomalie dell'enzima epatico ≥ 2x Il limite superiore dell'intervallo normale.

Esperienza post -marketing

I seguenti eventi avversi sono stati identificati durante l'uso post -approvazione delle compresse Lamisil. Poiché questi eventi sono riportati volontariamente da una popolazione di dimensioni incerte, non è sempre possibile stimare in modo affidabile la loro frequenza o stabilire una relazione causale con l'esposizione ai farmaci.

Disturbi del sistema di sangue e linfatici: Pancitopenia agranulocitosi grave neutropenia trombocitopenia anemia [vedi Avvertimenti e PRECAUZIONI ]

Disturbi del sistema immunitario: Gravi reazioni di ipersensibilità ad es. Angioedema e reazioni allergiche (incluso anafilassi) precipitazione e esacerbazione del lupus eritematoso cutaneo e sistemico [vedi Avvertimenti e PRECAUZIONI ] reazione simile a una malattia sierica

Disturbi psichiatrici: Sono stati segnalati ansia e sintomi depressivi indipendenti dal disturbo del gusto con l'uso di compresse Lamisil. In alcuni casi è stato segnalato che i sintomi depressivi si attenuano con l'interruzione della terapia e si ripresentano con la reintegrazione della terapia [vedi Avvertimenti e PRECAUZIONI ].

Disturbi del sistema nervoso: Casi di disturbi del gusto, incluso la perdita di gusto, sono stati riportati con l'uso di compresse Lamisil. Può essere abbastanza grave da provocare una riduzione dell'ansia per la perdita di peso alimentare e dei sintomi depressivi. Sono stati segnalati casi di disturbo dell'odore, compresa la perdita di odore con l'uso di compresse Lamisil [vedi Avvertimenti e PRECAUZIONI ]. Cases of paresthesia E hypoesthesia have been reported with the use of Compresse Lamisil.

Disturbi degli occhi: Difetti del campo visivo ridotto l'acuità visiva

Disturbi dell'orecchio e del labirinto: Menomazione dell'udito Vertigo acufene

Disturbi vascolari: Vasculite

Disturbi gastrointestinali: Vomito di pancreatite

Disturbi epatobiliari: Casi di insufficienza epatica alcuni che portano al trapianto di fegato o alla morte [vedi Avvertimenti e PRECAUZIONI ] Lesioni epatiche idiosincratiche e sintomatiche. Casi di epatite colestasi e aumento degli enzimi epatici [vedi Avvertimenti e PRECAUZIONI ] sono stati visti con l'uso di compresse Lamisil.

Disturbi della pelle e dei tessuti sottocutanei: Reazioni cutanee gravi [ad es. Sindrome di Stevens-Johnson tossico di necrolisi epidermica eritema multiforme esfoliativa dermatite bolle e reazione farmaco Avvertimenti e PRECAUZIONI ] eruzioni di pustulosi esantematose generalizzate acute o esacerbazione delle reazioni fotosensibilità della psoriasi perdita di capelli

Disturbi del tessuto muscoloscheletrico e connettivo: Rabdomiolisi artralgia mialgia

Disturbi generali e condizioni del sito di amministrazione: Pyrexia di Malattia simile all'influenza di malessere

Indagini: Il tempo alterato di protrombina (prolungamento e riduzione) nei pazienti trattati in concomitanza con warfarin e un aumento della creatina fosfochinasi è stata riportata

Interazioni farmacologiche for Lamisil

Interazioni farmaco-farmaco

In vivo Gli studi hanno dimostrato che la terbinafina è un inibitore dell'isozima del CYP450 2D6. I farmaci prevalentemente metabolizzati dal CYP450 2D6 Isozyme includono le seguenti classi di droga: Ticiciclic antidepressivi selective serotonin reuptake inhibitors beta-blockers antiarrhythmics class 1C (e.g. flecainide and propafenone) and monoamine oxidase inhibitors Type B. Coadministration of Lamisil Tablets should be done with careful monitoring and may require a reduction in dose of the 2D6- metabolized drug. In a study to assess the effects of terbinafine on desipramine in healthy volunteers characterized as normal metabolizers the administration of terbinafine resulted in a 2-fold increase in Cmax and a 5-fold increase in area under the curve (AUC). In this study these effects were shown to persist at the last observation at 4 weeks after discontinuation of Lamisil Tablets. In studies in healthy subjects characterized as extensive metabolizers of destrometorfano (Il substrato di sonda di farmaci antosse e CYP2D6) Terbinafina aumenta in media il rapporto di metabolita destrometorfano/dextrorphan nelle urine da 16 a 97 volte. Pertanto la terbinafina può convertire ampi metabolizzatori del CYP2D6 in scarso stato del metabolizzatore.

In vitro Studi con microsomi epatici umani hanno mostrato che la terbinafina non inibisce il metabolismo della tolbutamide etinilestradiolo ethossicoumarina ciclosporina cisapride e fluvastatina. In vivo Studi di interazione farmaco-farmaco condotti su soggetti di volontari sani hanno mostrato che la terbinafina non influisce sulla clearance di antipirina o digossina. La terbinafina riduce la clearance della caffeina del 19%. La terbinafina aumenta la clearance della ciclosporina del 15%.

L'influenza della terbinafina sulla farmacocinetica del fluconazolo cotrimoxazolo (trimetoprim e sulfametossazolo) zidovudina o teofillina non è stata considerata clinicamente significativa.

La somministrazione di co -somministrazione di una singola dose di fluconazolo (100 mg) con una singola dose di terbinafina ha comportato un aumento del 52% e del 69% rispettivamente nella terbinafina CMAX e AUC. Il fluconazolo è un inibitore degli enzimi CYP2C9 e CYP3A. Sulla base di questa scoperta è probabile che altri inibitori sia del CYP2C9 e del CYP3A4 (ad esempio ketoconazolo amiodarone) possano anche portare a un sostanziale aumento dell'esposizione sistemica (CMAX e AUC) di terbinafina quando somministrato in concomitanza.

Ci sono state segnalazioni spontanee di aumento o diminuzione dei tempi di protrombina nei pazienti che assumono concomita la terbinafina orale e il warfarin, tuttavia non è stata stabilita una relazione causale tra compresse Lamisil e questi cambiamenti.

La clearance della terbinafina è aumentata del 100% dall'induttore di enzimi di rifampina A e diminuita del 33% dal inibitore dell'enzima CYP450 di cimetidina. L'autorizzazione terbinafina non è influenzata dalla ciclosporina. Non ci sono informazioni disponibili da adeguati studi di interazione farmaco-farmaco con le seguenti classi di farmaci: terapie di sostituzione dell'ormone degli ormoni orali e bloccanti del canale del calcio.

Interazioni alimentari

È stata condotta una valutazione dell'effetto del cibo sulle compresse Lamisil. Un aumento di meno del 20% dell'AUC di terbinafina è stato osservato quando le compresse Lamisil venivano somministrate con cibo. Le compresse Lamisil possono essere prese con o senza cibo.

Avvertimenti per Lamisil

Incluso come parte del PRECAUZIONI sezione.

Precauzioni per Lamisil

Epatotossicità

Casi di insufficienza epatica Alcuni che portano al trapianto di fegato o alla morte si sono verificati con l'uso di compresse Lamisil in soggetti con e senza malattia epatica preesistente.

Nella maggior parte dei casi epatici riportati in associazione con l'uso di compresse Lamisil i pazienti avevano gravi condizioni sistemiche sottostanti. La gravità degli eventi epatici e/o del loro risultato può essere peggiore nei pazienti con malattia epatica attiva o cronica. Il trattamento con compresse Lamisil deve essere interrotto se Biochimico o si sviluppa prove cliniche di lesioni epatiche.

Compresse Lamisil are not recommended for patients with chronic or active liver disease. Before prescribing Compresse Lamisil liver function tests should be performed since hepatotoxicity may occur in patients with E without pre-existing liver disease. Periodic monitoring of liver function tests is recommended. Lamisil should be immediately discontinued in case of elevation of liver function tests. Patients prescribed Compresse Lamisil should be warned to report immediately to their physician any symptoms of persistent nausea anorexia fatigue vomito right upper abdominal pain or ittero urina scura or pale stools. Patients with these symptoms should discontinue taking oral terbinafine E the patient’s liver function should be immediately evaluated.

Disturbo del gusto Including Loss of Taste

È stato riportato disturbi del gusto, compresa la perdita di gusto con l'uso di compresse Lamisil. Può essere abbastanza grave da provocare una riduzione dell'ansia per la perdita di peso alimentare e dei sintomi depressivi. Il disturbo del gusto può risolvere entro diverse settimane dopo l'interruzione del trattamento ma può essere prolungato (maggiore di 1 anno) o può essere permanente. Se si verificano i sintomi di un disturbo del gusto, le compresse di lamisil devono essere sospesi.

Disturbo dell'odore inclusa la perdita di odore

È stato riportato disturbi dell'odore, compresa la perdita di odore con l'uso di compresse Lamisil. Il disturbo dell'odore può risolvere dopo l'interruzione del trattamento ma può essere prolungato (superiore a 1 anno) o può essere permanente. Se si verificano i sintomi di un disturbo dell'odore, le compresse di lamisil devono essere sospesi.

Sintomi depressivi

I sintomi depressivi si sono verificati durante l'uso post -marketing di compresse Lamisil. I prescrittori dovrebbero essere attenti allo sviluppo di sintomi depressivi e i pazienti dovrebbero essere istruiti a segnalare sintomi depressivi al proprio medico.

Effetti ematologici

Sono state osservate diminuzioni transitorie nei conteggi di linfociti assoluti (ALC) negli studi clinici controllati. Nelle prove controllate con placebo 8/465 soggetti che ricevono compresse Lamisil (NULL,7%) e 3/137 soggetti che ricevevano placebo (NULL,2%) hanno avuto una riduzione in ALC a meno di 1000/mm³ in 2 o più occasioni. Nei pazienti con medici di immunodeficienza noti o sospetti dovrebbero prendere in considerazione il monitoraggio della conta ematica completa se il trattamento continua per più di 6 settimane. Casi di grave Neutropenia sono stati segnalati. Questi erano reversibili dopo l'interruzione delle compresse Lamisil con o senza terapia di supporto. Se si verificano segni clinici e sintomi che suggeriscono l'infezione secondaria, si dovrebbe ottenere un emocromo completo. Se la conta dei neutrofili è ≤ 1000 cellule/mm³ delle compresse Lamisil devono essere sospese e la gestione di supporto.

Reazioni gravi della pelle/ipersensibilità

Ci sono stati segnalazioni post -marketing di gravi reazioni di pelle/ipersensibilità [ad es. Sindrome di Stevens-Johnson tossico di necrolisi epidermica eritema multiforme esfoliativa dermatite bulosa dermatite e reazione farmacologica con eosinofilia e sindrome di sintomi sistemici (vestito)]. Le manifestazioni della sindrome dei vestiti possono includere reazione cutanea (come dermatite da eruzioni cutanee o esfoliative) e una o più complicanze degli organi come la miocardite da nefrite e la pericardite da epatite polmonite. Se si verificano interruzioni progressive cutanei o segni/sintomi delle reazioni del farmaco sopra le compresse Lamisil.

Lupo eritematoso

Durante l'esperienza post -marketing le precipitazioni e l'esacerbazione di cutaneo e sistemico lupus L'eritematoso è stato riportato in pazienti che assumono compresse Lamisil. Le compresse Lamisil devono essere sospese in pazienti con segni e sintomi clinici che suggeriscono il lupus eritematoso.

Monitoraggio di laboratorio

La misurazione delle transaminasi sieriche (ALT e AST) è consigliata a tutti i pazienti prima di assumere compresse Lamisil.

Informazioni sulla consulenza del paziente

Vedere L'etichettatura dei pazienti approvata dalla FDA ( Informazioni sul paziente )

I pazienti che assumono compresse Lamisil devono ricevere le seguenti informazioni e istruzioni:

  • Consiglia ai pazienti di segnalare immediatamente il proprio medico o di ottenere aiuto di emergenza se sperimentano uno dei seguenti sintomi: piaghe per la bocca di BUSCHE BLISTERE E SELEZIONE DEL GIODING SCURA DELLA LINGUA LASSE OFFIERI DI LINGUA DI GHIALLA INFORMAGGI Il trattamento delle compresse Lamisil dovrebbe essere sospeso.
  • Consiglia ai pazienti di riferire immediatamente al proprio medico eventuali sintomi di persistente fatica dell'anoressia di nausea vomito a destra del dolore addominale Urina scura o feci palline. Il trattamento delle compresse Lamisil dovrebbe essere sospeso.
  • Consiglia ai pazienti di riferire al proprio medico eventuali segni di disturbo del sapore disturbo e/o sintomi depressivi della febbre della pelle di eruzione del linfonodo ingrandimento dell'eritema perdita di ridimensionamento di pigmenti e fotosensibilità insolita che può provocare un'eruzione cutanea. Il trattamento delle compresse Lamisil dovrebbe essere sospeso.
  • Consiglia ai pazienti di ridurre al minimo l'esposizione alla luce solare naturale e artificiale (letti abbronzanti o trattamento UVA/B) mentre si utilizzano compresse Lamisil.
  • Consiglia ai pazienti che se dimenticano di prendere compresse Lamisil per prendere le compresse non appena ricordano a meno che non siano dovute a meno di 4 ore prima che la dose successiva sia dovuta. Consiglia ai pazienti di chiamare il proprio medico se prendono troppe compresse Lamisil.

Tossicologia non clinica

Mutagenesi della carcinogenesi compromissione della fertilità

In uno studio di cancerogenicità orale di 28 mesi nei ratti, è stato osservato un aumento dell'incidenza dei tumori epatici nei maschi con la dose più alta testata 69 mg/kg/giorno (2x l'MRHD basato su confronti AUC della genitore terbinafina); Tuttavia, anche se la tossicità dose-limitante non è stata raggiunta alla dosi più elevata di dosi più elevate non è stata testata.

I risultati di una varietà di in vitro (Mutazioni in E. coli E S. Typhimurium Riparazione del DNA negli epatociti di ratto Mutagenicità nei fibroblasti di criceti cinesi Aberrazione del cromosoma e scambi di cromatidi sorelle nelle cellule polmonari cinesi) e in vivo (Aberrazione cromosomica nei test del micronucleo dei criceti cinesi nei topi) I test di genotossicità non hanno fornito prove di un potenziale mutageno o clastogenico.

Studi di riproduzione orale nei ratti a dosi fino a 300 mg/kg/die (circa 12 volte la MRHD in base ai confronti BSA) non hanno rivelato effetti specifici sulla fertilità o altri parametri riproduttivi. L'applicazione intravaginale di terbinafina cloridrato a 150 mg/die in conigli incinta non ha aumentato l'incidenza di aborti o consegne premature né ha influenzato i parametri fetali.

Utilizzare in popolazioni specifiche

Gravidanza

Gravidanza Category B

Non ci sono studi adeguati e ben controllati nelle donne in gravidanza. Poiché gli studi sulla riproduzione degli animali non sono sempre predittivi della risposta umana e poiché il trattamento dell'onicomicosi può essere rinviato fino a quando non è stato completato la gravidanza, si raccomanda che le compresse di lamisil non vengano iniziate durante la gravidanza.

Studi di riproduzione orale sono stati condotti in conigli e ratti a dosi fino a 300 mg/kg/giorno [da 12x a 23x la dose umana massima raccomandata (MRHD) in conigli e ratti in base al confronto della superficie corporea (BSA)] e non hanno rivelato alcuna evidenza di fitilità all'impresa per il feto a causa della terbinafina.

Madri infermieristiche

Dopo la somministrazione orale, la terbinafina è presente nel latte materno delle madri infermieristiche. Il rapporto tra terbinafina nel latte e plasma è 7: 1. Il trattamento con compresse Lamisil non è raccomandato nelle donne che sono allattanti.

Uso pediatrico

La sicurezza e l'efficacia delle compresse Lamisil non sono state stabilite in pazienti pediatrici con onicomicosi.

Uso geriatrico

Studi clinici sulle compresse Lamisil non includevano un numero sufficiente di soggetti di età pari o superiore a 65 anni per determinare se rispondono in modo diverso dai soggetti più giovani. Altra esperienza clinica segnalata non ha identificato differenze nelle risposte tra i pazienti anziani e più giovani. In generale, la selezione della dose per un paziente anziano dovrebbe essere cauta di solito a partire dalla fascia bassa dell'intervallo di dosaggio che riflette la maggiore frequenza della ridotta funzione renale e cardiaca epatica e di malattia concomitante o altra terapia farmacologica.

Compromissione renale

Nei pazienti con compromissione renale (clearance della creatinina inferiore o uguale a 50 ml/min) l'uso di compresse Lamisil non è stato adeguatamente studiato.

Informazioni per overdose per Lamisil

L'esperienza clinica riguardo al sovradosaggio con terbinafina orale è limitata. Dosi fino a 5 grammi (20 volte la dose terapeutica giornaliera) sono state prese senza indurre gravi reazioni avverse. I sintomi del sovradosaggio includevano il vomito di nausea che vomito il dolore addominale vertigine eruzioni frequenti e mal di testa.

Controindicazioni per Lamisil

Compresse Lamisil are contraindicated in individuals with a history of allergic reaction to oral terbinafine because of the risk of anaphylaxis.

Farmacologia clinica for Lamisil

Meccanismo d'azione

La terbinafina è un'antifungina di allilammina [vedi Microbiologia ].

Farmacodinamica

La farmacodinamica delle compresse Lamisil è sconosciuta.

Farmacocinetica

Dopo la somministrazione orale la terbinafina è ben assorbita (> 70%) e la biodisponibilità delle compresse Lamisil a causa del metabolismo di primo passaggio è di circa il 40%. Le concentrazioni plasmatiche di picco di 1 μg/mL compaiono entro 2 ore dopo una singola dose di 250 mg; L'AUC è di circa 4,56 μg

Nella terbinafina plasmatica è> 99% legata alle proteine ​​plasmatiche e non ci sono siti di legame specifici. A stato stazionario rispetto a una singola dose, la concentrazione di picco della terbinafina è superiore del 25% e l'aumento del plasma AUC aumenta di un fattore di 2,5; L'aumento dell'AUC al plasma è coerente con un'emivita efficace di ~ 36 ore. Terbinafine è distribuita al sebo e alla pelle. Un'emivita terminale di 200-400 ore può rappresentare la lenta eliminazione della terbinafina da tessuti come la pelle e l'adiposo. Prima dell'escrezione la terbinafina è ampiamente metabolizzata da almeno 7 isoenzimi del CYP con importanti contributi dal CYP2C9 CYP1A2 CYP3A4 CYP2C8 e CYP2C19. Non sono stati identificati metaboliti che hanno attività antifungine simili alla terbinafina. Circa il 70% della dose somministrata viene eliminato nelle urine.

Nei pazienti con compromissione renale (clearance della creatinina ≤ 50 mL/min) o cirrosi epatica la clearance della terbinafina è ridotta di circa il 50% rispetto ai volontari normali. Non è stato rilevato alcun effetto di genere sui livelli ematici della terbinafina negli studi clinici. Non sono stati riportati cambiamenti clinicamente rilevanti dipendenti dall'età nelle concentrazioni plasmatiche di terbinafina allo stato stazionario.

Microbiologia

Terbinafina Un antimico di allilammina inibisce la biosintesi dell'ergosterolo un componente essenziale della membrana cellulare fungina attraverso l'inibizione dell'enzima epossidasi squalene. Ciò si traduce nella morte delle cellule fungine principalmente a causa dell'aumentata permeabilità della membrana mediata dall'accumulo di alte concentrazioni di squalene ma non a causa della carenza di ergosterolo. A seconda della concentrazione del farmaco e del test delle specie fungine in vitro La terbinafina cloridrato può essere fungicida. Tuttavia il significato clinico di in vitro I dati sono sconosciuti.

Terbinafine ha dimostrato di essere attiva contro la maggior parte dei ceppi dei seguenti microrganismi in vitro E in clinical infections:

Trichophyton mentagrophytes
Trichophyton rubrum

Quanto segue in vitro Sono disponibili dati ma il loro significato clinico è sconosciuto. In vitro Terbinafine presenta un MIC soddisfacente contro la maggior parte dei ceppi dei seguenti microrganismi; Tuttavia, la sicurezza e l'efficacia della terbinafina nel trattamento delle infezioni cliniche dovute a questi microrganismi non sono state stabilite in studi clinici adeguati e ben controllati:

Candida albicans
Epidermophyton floccosum

L'obiettivo del Brevicaulis

Tossicologia animale e/o farmacologia

Una vasta gamma di in vivo Studi su topi ratti cani e scimmie e in vitro Studi che utilizzano scimmia di ratti ed epatociti umani suggeriscono che la proliferazione del perossisoma nel fegato è una scoperta specifica per ratto. Tuttavia, altri effetti tra cui un aumento dei pesi epatici e APTT si sono verificati nei cani e nelle scimmie a dosi che hanno dato livelli di depressione CSS del genitore Terbinafina 2-3x quelli osservati negli esseri umani al MRHD. Non sono state testate dosi più elevate.

Studi clinici

L'efficacia delle compresse Lamisil nel trattamento dell'onicomicosi è illustrata dalla risposta dei soggetti con un piede e/o infezioni da unghie che hanno partecipato a 3 studi clinici controllati da placebo USA/canadese.

I risultati del primo studio dell'unghia del piede valutato alla settimana 48 (12 settimane di trattamento con 36 settimane di follow-up dopo il completamento della terapia) hanno dimostrato una cura micologica definita come occorrenza simultanea di KOH negativo più coltura negativa nel 70% dei soggetti. Il cinquantanove per cento (59%) dei soggetti ha subito un trattamento efficace (cura micologica più 0% di coinvolgimento delle unghie o> 5 mm di nuova crescita delle unghie non affette); Il 38% dei soggetti ha dimostrato cura micologica più cura clinica (coinvolgimento delle unghie 0%).

In un secondo studio dell'unghia dell'oncicomicosi dermatofitica in cui non sono stati anche coltivati ​​i non battiti e un'efficacia simile contro i dermatofiti. Non è stato stabilito il ruolo patogeno dei non anermatofiti coltivati ​​in presenza di onicomicosi dermatofitica. Il significato clinico di questa associazione è sconosciuto.

I risultati della sperimentazione di unghie come valutato alla settimana 24 (6 settimane di trattamento con 18 settimane di follow-up dopo il completamento della terapia) hanno dimostrato una cura micologica nel 79% dei soggetti trattati con un trattamento efficace nel 75% dei soggetti e cura micologica più cura clinica nel 59% dei soggetti.

Il tempo medio per il successo complessivo è stato di circa 10 mesi per la prima prova dell'unghia del piede e 4 mesi per la prova delle unghie. Nel primo studio dell'unghia del piede per i soggetti valutati almeno 6 mesi dopo aver raggiunto la cura clinica e almeno 1 anno dopo aver completato la terapia con compresse Lamisil, il tasso di ricaduta clinica era di circa il 15%.

Informazioni sul paziente per Lamisil

Lamisil
(Lam-i-Sil)
(Terbinafine cloridrato) compresse

Cosa sono le compresse Lamisil?

Compresse Lamisil is a prescription antifungal medicine used to treat fungal infections of the unghias E toenails (onychomycosis).

Il medico dovrebbe fare test per controllarti per l'infezione fungina delle unghie prima di iniziare le compresse Lamisil.

Non è noto se le compresse Lamisil sono sicure ed efficaci nei bambini per il trattamento dell'onicomicosi.

Chi non dovrebbe prendere le compresse Lamisil?

Non prendere le compresse Lamisil se sei allergico all'idrocloruro di terbinafina se preso dalla bocca.

Cosa dovrei dire al mio medico prima di prendere le compresse Lamisil?

Prima di prendere le compresse Lamisil, dì al tuo medico se tu:

  • avere o avere problemi epatici
  • avere un sistema immunitario indebolito (immunocompromesso)
  • Avere lupus (una malattia autoimmune)
  • avere altre condizioni mediche
  • sono incinta o prevedono di rimanere incinta. Non è noto se le compresse Lamisil danneggeranno il tuo bambino non ancora nato. Non dovresti iniziare a prendere compresse Lamisil durante la gravidanza senza parlare con il medico.
  • stanno allattando o pianificano di allattare. Lamisil può passare nel latte materno e può danneggiare il tuo bambino. Parla con il tuo medico del modo migliore per nutrire il tuo bambino se prendi le compresse Lamisil.

Racconta al tuo medico di tutte le medicine che prendi tra cui prescrizione e medicine da banco vitamine e integratori a base di erbe.

Compresse Lamisil may affect the way other medicines work E other medicines may affect how Compresse Lamisil work. Especially tell your doctor if you take:

  • Una medicina per la depressione
  • un medicinale per la pressione alta
  • Una medicina per problemi cardiaci
  • Desipramina (Norpram)
  • caffeina
  • Ciclosporina (Gengraf Neoral Sandimmune)
  • fluconazolo (diflucan)
  • Ami amerimpin (Riater this rimactanne questo)
  • cimetidina (tagamet)

Se non sei sicuro se il tuo medicinale è uno sopra elencato, chiedi al medico o al farmacista.

Conosci le medicine che prendi. Tienilo un elenco per mostrare il tuo medico e il farmacista quando ottieni un nuovo medicinale.

Come dovrei prendere le compresse Lamisil?

  • Prendi le compresse Lamisil esattamente come il tuo medico ti dice di prenderlo.
  • Lamisil comes as a tablet that you take by mouth.
  • Compresse Lamisil are usually taken:
    • 1 volta ogni giorno per 6 settimane per trattare le infezioni fungine dell'alta o
    • 1 volta ogni giorno per 12 settimane per trattare le infezioni fungine della unghie dei piedi
  • Compresse Lamisil can be taken with or without food.
  • Se perdi una dose di compresse Lamisil, prendilo non appena ricordi. Se sono meno di 4 ore prima che la tua dose successiva salti la dose persa. Prendi la dose successiva al momento normale.

Se prendi troppi compresse Lamisil chiama il tuo medico. Potresti avere i seguenti sintomi:

Effetti collaterali del vaccino tifoide orale
  • nausea
  • vomito
  • Dolore allo stomaco (addome)
  • vertigini
  • eruzione cutanea
  • minzione frequente
  • mal di testa

Cosa dovrei evitare durante l'assunzione di compresse Lamisil?

  • Evita la luce del sole. Le compresse Lamisil possono rendere la pelle sensibile al sole e alla luce da elamp e letti abbronzanti. Puoi ottenere una grave scottatura solare. Usa la protezione solare e indossa un cappello e vestiti che coprono la pelle se devi essere alla luce del sole. Parla con il tuo medico se ricevi scottature.

Quali sono i possibili effetti collaterali delle compresse Lamisil?

Compresse Lamisil may cause serious side effects including:

  • Problemi epatici che possono portare alla necessità di pianta e morte trans epatica. Dì subito al tuo medico se si ottiene uno di questi sintomi di un problema epatico:
    • nausea
    • Dolore dell'area dello stomaco in alto a destra (addome)
    • scarso appetito
    • Ingialcare la pelle o gli occhi (ittero)
    • stanchezza
    • urina scura (color tè)
    • vomito
    • sgabelli pallidi o di colore chiaro

Il medico dovrebbe fare un esame del sangue per controllarti per problemi epatici prima di prendere le compresse Lamisil.

  • Cambiamento del gusto o di los di gusto può accadere con compresse Lamisil e può essere grave. Ciò può migliorare entro diverse settimane dopo aver smesso di prendere le compresse Lamisil ma può durare a lungo o può diventare permanente. Di 'al tuo medico se hai:
    • cambiamento di gusto o perdita di gusto
    • scarso appetito
    • Perdita di peso indesiderata
    • ansia
    • cambiamento di umore o sintomi depressivi
  • cambiamento di odore o perdita di odore può accadere con compresse Lamisil. Ciò può migliorare dopo aver smesso di prendere le compresse Lamisil, ma può durare a lungo o può diventare permanente.
  • sintomi depressivi. Dì subito al tuo medico se hai uno di questi segni o sintomi:
    • Sentiti triste o inutile
    • cambiamento nel modello di sonno
    • perdita di energia o interesse per le attività quotidiane
    • irrequietezza
    • Cambiamenti dell'umore
  • Conta dei globuli bianchi bassi. Le persone che assumono compresse di lamisil possono avere una diminuzione dei globuli bianchi, in particolare i neutrofili. Potresti avere un rischio più elevato di ottenere un'infezione quando il tuo conta dei globuli bianchi è basso.
  • pelle grave o reazioni allergiche. Dì subito il medico o ottieni aiuto di emergenza se si ottiene uno di questi sintomi:
    • Piaghe da orticaria eruttinata per la pelle in bocca o vesciche e bucce della pelle
    • rigonfiamento of your face eyes lips tongue or throat trouble swallowing or breathing
    • Reazione del farmaco con eosinofilia e sindrome di sintomi sistemici (abiti) - Febbre cutanea Febbre gonfiore Linfiego Ghiandole Coinvolgimento degli organi interni
  • Lupus nuovo o peggioramento (una malattia autoimmune). Smettila di prendere le compresse Lamisil e dire al medico se ottieni uno dei seguenti:
    • cutanea cutanea progressiva che è squamosa rossa mostra cicatrici o perdita di pigmento
    • sensibilità insolita al sole che può portare a un'eruzione cutanea

Gli effetti collaterali più comuni delle compresse Lamisil includono:

  • mal di testa
  • diarrea
  • eruzione cutanea
  • mal di stomaco
  • test di funzione epatica anormale
  • prurito
  • cambiamento nel gusto
  • nausea
  • Dolore dell'area di stomaco (addome)
  • gas

Di 'al medico se hai qualche effetto collaterale che ti disturba o che non scompare.

Questi non sono tutti i possibili effetti collaterali delle compresse Lamisil. Per informazioni chiedi al medico o al farmacista.

Chiama il medico per consigli medici sugli effetti collaterali. È possibile segnalare gli effetti collaterali alla FDA al numero 1-800-FDA-1088.

Come dovrei conservare i tablet Lamisil?

  • Conservare compresse Lamisil al di sotto di 77 ° F (25 ° C)
  • Tieni le compresse Lamisil in un contenitore strettamente chiuso e tieni fuori dalla luce.

Tieni le compresse Lamisil e tutti i medicinali fuori dalla portata dei bambini.

Informazioni generali sull'uso sicuro ed efficace delle compresse Lamisil.

Le medicine sono talvolta prescritte a fini diversi da quelli elencati nelle informazioni sul paziente. Non utilizzare compresse Lamisil per una condizione per la quale non è stata prescritta. Non dare compresse Lamisil ad altre persone anche se hanno gli stessi sintomi che hai. Potrebbe danneggiare loro.

Puoi chiedere informazioni al farmacista o al medico sulle compresse Lamisil scritte per gli operatori sanitari.

Quali sono gli ingredienti nelle compresse Lamisil?

Enazione attiva: erbinafina cloridrato

Ingredienti inattivi: biossido di silicio colloidale idrossipropil metilcellulosa magnesio stearato stearato microcristallino cellulosa di cellulosa amido di sodio glicolato

Queste informazioni sui pazienti sono state approvate dalla Food and Drug Administration degli Stati Uniti.