Le Informazioni Presenti Sul Sito Non Costituiscono Consulenza Medica. Non Vendiamo Nulla. L'Accuratezza Della Traduzione Non È Garantita. Disclaimer



Intralipid 10

Riepilogo della droga

Cos'è Intralipid 10?

Intralipid il 10% (10% di emulsione di grasso i.v.) è una fonte di calorie e essenziali acidi grassi Utilizzato per fornire calorie ai pazienti che stanno ottenendo la loro nutrizione attraverso un'iniezione nella vena. Il 10% intralipid è anche utilizzato per fornire acido grasso essenziale alle persone che non ne hanno abbastanza. Intralipid il 10% aiuta a prevenire o invertire i segni di questa carenza (ad es. Crescita di scarsa guarigione della pelle scarsa della pelle squamosa). Intralipid il 10% è disponibile in generico modulo.

Quali sono gli effetti collaterali di Intralipid 10?

Intralipid 10



  • orticaria
  • Difficoltà a respirare
  • gonfiore della lingua o della gola
  • febbre
  • mal di gola
  • Redness di gonfiore del dolore nel sito di iniezione
  • Giovenaggio del dolore e arrossamento di braccia e gambe
  • pelle bluastra
  • aumento di peso improvviso
  • fiato corto
  • dolori alla schiena o al torace
  • Cambiamenti mentali o dell'umore
  • dolore alle ossa
  • debolezza muscolare
  • pelle o occhi ingialliti (ittero)
  • urina scura
  • Facile lividi
  • sanguinamento insolito
  • forte mal di stomaco
  • eruzione cutanea
  • prurito e
  • Scrigette gravi

Ottieni subito assistenza medica se hai uno qualsiasi dei sintomi sopra elencati.



Gli effetti collaterali comuni del 10% intralipidico includono:

  • mal di testa
  • vertigini
  • arrossamento
  • sonnolenza
  • nausea
  • vomito o
  • sudorazione

Cerca cure mediche o chiama il 911 contemporaneamente se hai i seguenti gravi effetti collaterali:



  • Sintomi di occhiali gravi come la perdita di visione improvvisa del tunnel della visione sfocata Dolore alla visione o gonfiore o vedere aloni attorno alle luci;
  • Sintomi cardiaci gravi come battiti cardiaci irregolari o martellanti veloci; svolazzando nel petto; fiato corto; e improvviso vertigini giuria o svenuta;
  • Grave mal di testa confusione Il braccio del linguaggio bloccato o la debolezza delle gambe problemi perdite perdita di coordinamento sentendoti instabili muscoli molto rigidi ad alta febbre abbondante sudorazione o tremori.

Questo documento non contiene tutti i possibili effetti collaterali e altri possono verificarsi. Verificare con il tuo medico ulteriori informazioni sugli effetti collaterali.

Dosaggio per intralipid 10

Il 10% intralipidico dovrebbe essere somministrato come parte della nutrizione endovenosa attraverso la vena periferica o per infusione venosa centrale. La dose per il tasso iniziale di infusione negli adulti dovrebbe essere di 1 ml/minuto per i primi 15-30 minuti di infusione. Se non si verificano reazioni spiacevoli, la velocità di infusione può essere aumentata a 2 ml/minuto.

Quali sostanze o integratori di farmaci interagiscono con Intralipid 10?

Il 10% intralipide può interagire con altri farmaci. Dì al medico tutti i farmaci e gli integratori che usi.

Intralipid 10 durante la gravidanza o l'allattamento

Durante la gravidanza il 10% è utilizzato solo se prescritto. Non è noto se il 10% intralipidico passi nel latte materno. Consulta il medico prima dell'allattamento al seno.

Effetti collaterali di troppi benadryl

Ulteriori informazioni

Il nostro Centro farmacologico intralipidico (10% di grasso i.v.) fornisce una visione completa delle informazioni disponibili sui farmaci sui potenziali effetti collaterali durante l'assunzione di questo farmaco.

Informazioni sui farmaci FDA

Descrizione per intralipid 10%

Intralipid® 10% (10% di emulsione a grasso I. Acidi grassi . È costituito da olio di soia al 10% 1,2% di fosfolipidi tuorli di uovo 2,25% glicerina e acqua per l'iniezione. Inoltre, è stato aggiunto idrossido di sodio per regolare il pH in modo che il pH del prodotto finale sia di 8. L'intervallo di pH è da 6 a 8,9.

L'olio di soia è un prodotto naturale raffinato costituito da una miscela di neutro Trigliceridi Di acidi grassi prevalentemente insaturi con la seguente struttura:

- Sono residui di acido grasso saturo e insaturo.

I principali acidi grassi componenti sono linoleici (44-62%) oleici (19-30%) palmitici (7-14%) linolenico (4-11%) e stearico (NULL,4-5,5%) 1. Questi acidi grassi hanno le seguenti formule chimiche e strutturali:

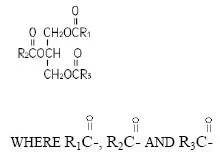
I fosfatidi delle uova purificati sono una miscela di fosfolipidi presenti in natura che sono isolati dal tuorlo d'uovo. Questi fosfolipidi hanno la seguente struttura generale:

-Congono gli acidi grassi saturi e insaturi che abbondano di grassi neutri. R3 principalmente la colina o l'estere etanolamina dell'acido fosforico.

La glicerina è designata chimicamente C3H8O3 ed è un chiaro liquido sciropposo igroscopico incolore. Ha la seguente formula strutturale:

Intralipid® il 10% (emulsione a grasso i.v al 10%) (un'emulsione di grasso endovenosa al 10%) ha un'osmolalità di circa 300 mosmol/kg di acqua (che rappresenta 260 mumoli/litri di emulsione) e contiene particelle di grasso emulsionate di circa 0,5 micron di dimensioni.

Il valore calorico totale, incluso il fosfolipide di grasso e la glicerina, è di 1,1 kcal per ml di 10% intralipidico (10% di emulsione a grasso i.v). I fosfolipidi presenti contribuiscono a 47 milligrammi o circa 1,5 mmol di fosforo per 100 ml di emulsione.

Il contenitore primario è prodotto da Excel®film Un materiale a base di polipropilene composto da tre strati co-estrusi.

Il contenitore di plastica è realizzato in film multistrato appositamente progettato per i farmaci parenterali. Non contiene plastificanti e manifesta praticamente non percorsi. Lo strato di contatto della soluzione è un copolimero gommato di etilene e propilene. Il contenitore è non tossico e biologicamente inerte. L'unità di risoluzione del contenitore è un sistema chiuso e non dipende dall'ingresso dell'aria esterna durante la somministrazione. Il contenitore viene sovraversato per fornire protezione dall'ambiente fisico e per fornire un'ulteriore barriera di umidità quando necessario.

1.

Usi per intralipid 10%

Intralipid® il 10% (10% di emulsione a grasso i.V) è indicato come fonte di calorie e acidi grassi essenziali per i pazienti che richiedono nutrizione parenterale per lunghi periodi di tempo (di solito per più di 5 giorni) e come fonte di acidi grassi essenziali per la prevenzione di EFAD.

Dosaggio per intralipid 10%

Intralipid® il 10% (10% di emulsione a grasso i.v) deve essere somministrato come parte della nutrizione endovenosa attraverso la vena periferica o per infusione venosa centrale.

Pazienti adulti

Il tasso iniziale di infusione negli adulti dovrebbe essere di 1 ml/minuto per i primi 15-30 minuti di infusione. Se non si verificano reazioni spiacevoli (vedi Reazioni avverse Sezione) La velocità di infusione può essere aumentata a 2 ml/minuto. Non più di 500 ml di Intralipid® 10% (10% di emulsione a grasso i.V) (un'emulsione di grasso endovenosa al 10%) dovrebbe essere infuso negli adulti il ​​primo giorno di terapia. Se il paziente non ha reazioni spiacevoli, la dose può essere aumentata il giorno seguente. Il dosaggio giornaliero non deve superare 2,5 g di grassi/kg di peso corporeo (25 ml di Intralipid® 10% per kg). Intralipid® il 10% (10% di emulsione a grasso i.V) non dovrebbe costituire più del 60% dell'ingresso calorico totale al paziente. I carboidrati e una fonte di aminoacidi dovrebbero comprendere il restante input calorico.

Pazienti pediatrici

Il dosaggio per i neonati prematuri inizia a 0,5 g di grasso/kg di peso corporeo/24 ore (5 ml di Intralipid® 10% (10% di emulsione di grasso i.v)) e può essere aumentato in relazione alla capacità del bambino di eliminare il grasso. Il dosaggio massimo raccomandato dall'American Academy of Pediatrics è di 3 g di grasso/kg/24 ore 3 . Il tasso iniziale di infusione nei pazienti pediatrici più anziani non dovrebbe essere superiore a 0,1 ml/minuto per i primi 10-15 minuti. Se non si verificano reazioni spiacevoli, il tasso può essere modificato per consentire l'infusione di 1 ml di Intralipid® 10% (10% di emulsione a grasso i.v) /kg /ora. Il dosaggio giornaliero non deve superare i 3 g di grassi/kg di peso corporeo3. Intralipid® il 10% (10% di emulsione a grasso i.V) non dovrebbe costituire più del 60% dell'ingresso calorico totale al paziente. I carboidrati e una fonte di aminoacidi dovrebbero comprendere il restante input calorico.

Carenza di acido grasso essenziale

Quando viene somministrato un carenza di acido grasso essenziale, il 10% del 10% (emulsione a grasso i. Quando l'EFAD si verifica insieme allo stress, la quantità di intralipid® il 10% necessario per correggere la carenza può essere aumentata.

AMMINISTRAZIONE

VEDERE Linee guida e limitazioni di miscelazione Sezione per informazioni sulla miscelazione di questa emulsione grassa con altri fluidi parenterali.

Intralipid® il 10% (10% di emulsione a grasso i.v) può essere infuso nella stessa vena centrale o periferica delle soluzioni di carboidrati/aminoacidi per mezzo di un connettore Y vicino al sito di infusione. Ciò consente di miscelare immediatamente l'emulsione prima di entrare nella vena o di alternanza di ciascun fluido parenterale. Se le pompe di infusione vengono utilizzate le portate di ciascun fluido parenterale devono essere controllate con una pompa separata. L'emulsione dei grassi può anche essere infusa attraverso un sito periferico separato. I filtri di dimensioni inferiori a 1,2 micron non devono essere utilizzati con Intralipid® 10% (emulsione a grasso i.v al 10%).

Set di somministrazione convenzionale e sacchetti di pool di TPN contengono componenti di polivinil cloruro (PVC) che hanno Dehp (Dietil esil ftalato) come plastificante. Fluidi contenenti grassi come Intralipid® 10% (10% di emulsione a grasso i.V) estratto DEHP da questi componenti in PVC e potrebbe essere consigliabile considerare l'infusione di Intralipid® 10% (emulsione di grasso i.V 10%) attraverso un set di somministrazione non DEHP.

Non usare alcuna borsa in cui sembra esserci un olio sulla superficie dell'emulsione. I prodotti farmaceutici parenterali devono essere ispezionati visivamente per il particolato e lo scolorimento prima della somministrazione ogni volta che la soluzione e il permesso del contenitore.

Linee guida e limitazioni di miscelazione

Sono state condotte indagini che dimostrano la compatibilità di Intralipid® 10% se correttamente miscelate con Novamine® o 8,5% Travasol® o iniezioni di aminoacidi TRAVASOL® al 10% senza elettroliti per l'uso nella terapia TPN. La seguente corretta sequenza di miscelazione deve essere seguita per ridurre al minimo i problemi relativi al pH garantendo che le iniezioni di destrosio tipicamente acide non siano miscelate con le sole emulsioni lipidiche:

  1. Trasferisci l'iniezione di destrosio al contenitore di miscela TPN
  2. Trasferisci l'iniezione di aminoacidi
  3. Trasferimento Intralipid® 10% (10% di emulsione grasso i.v) (un'emulsione di grasso endovenosa al 10%)

NOTA: iniezione di destrosio per iniezione di aminoacidi e Intralipid® il 10% (emulsione a grasso i.v 10%) può essere trasferito contemporaneamente al contenitore di miscela. La miscelazione dovrebbe essere accompagnata da delicata agitazione per evitare effetti di concentrazione localizzati.

Queste miscele devono essere usate prontamente con lo stoccaggio in refrigerazione (2-8 ° C) per non superare le 24 ore e devono essere completamente utilizzate entro 24 ore dalla rimozione dalla refrigerazione.

È essenziale che la miscela sia preparata utilizzando rigorose tecniche asettiche in quanto questa miscela di nutrienti è un buon mezzo di crescita per i microrganismi.

Gli additivi diversi da quelli sopra indicati possono essere incompatibili. Le informazioni complete non sono disponibili. Gli additivi noti per essere incompatibili non dovrebbero essere usati. Consultare il farmacista se disponibile. Se nel giudizio informato del medico si ritiene consigliabile introdurre additivi utilizzare la tecnica asettica. Mescola accuratamente quando sono stati introdotti gli additivi. Non archiviare soluzioni contenenti additivi (ad esempio vitamine e minerali). Gli additivi non devono essere aggiunti direttamente a intralipid® 10% e in nessun caso dovrebbe essere aggiunto prima il 10% (emulsione grasso i.v) al contenitore TPN. Le borse devono essere agitate delicatamente dopo ogni aggiunta per ridurre al minimo la concentrazione localizzata.

Gli elettroliti supplementari in traccia di metalli o multivitaminici possono essere richiesti in conformità con la prescrizione del medico curante.

I principali destabilizzatori delle emulsioni sono un'acidità eccessiva (basso pH) e contenuto di elettroliti inappropriati. È necessario tenere un'attenta considerazione alle aggiunte di cationi bivalenti (Ca e Mg) che hanno dimostrato di causare instabilità emulsiva. Le soluzioni di aminoacidi esercitano un effetto tampone che protegge l'emulsione.

La miscela dovrebbe essere ispezionata attentamente per

Istruzioni per l'uso - Intralipid® 10% (10% i.V Emulsione grasso) Contenitore

1. L'indicatore di integrità (Oxalert ™) A dovrebbe essere ispezionato prima di rimuovere il sovrappro.
Se l'indicatore è nero, il overpouch è danneggiato e il prodotto deve essere scartato.
Instructions for Use - illustration 1
2. Rimuovere il sovrawrap strappando la tacca e tirando verso il basso lungo il contenitore. La bustina A Oxalert ™ e l'assorbitore di ossigeno B dovrebbero essere disposti. Instructions for Use - illustration 2
3. Rimuovere l'anello di sollevamento del coperchio della porta set con pollice e indice e tira verso l'alto. Instructions for Use - illustration 3
4. Utilizzare un set di infusione non ventilato o chiudere la vento d'aria su un set di sfiato. Seguire le istruzioni per l'uso per il set di infusione. Utilizzare un picco che è conforme al diametro ISO 8536-4 5,6 ± 0,1 mm. Instructions for Use - illustration 4
5. La borsa deve essere portata verso l'alto quando il set di infusione è collegato. Inserire il picco direttamente nella porta impostata. Ruota e spingi il picco attraverso il diaframma.
Non aumentare la borsa mentre la borsa è appesa al palo IV.
Instructions for Use - illustration 5
6. Il passaggio del picco (mostrato dalla freccia) non deve essere inserito nella porta. Instructions for Use - illustration 6
7. Per appendere la borsa inverti e posizionare il gancio attraverso la tacca del contenitore. Instructions for Use - illustration 7

Come fornito

Intralipid® il 10% (10% di emulsione a grasso i.v) viene fornito come emulsione sterile nelle seguenti dimensioni di riempimento: 100 ml 250 ml e 500 ml.

100 ml: 0338-0518-48
250 ml: 0338-0518-02
500 ml: 0338-0518-03

MAGAZZINAGGIO

Intralipid® il 10% (10% di emulsione a grasso i.V) non deve essere conservato sopra 25 ° C (77 ° F). Non congelare Intralipid® 10% (10% di emulsione a grasso i.v). Se accidentalmente congelato scartare la borsa.

3.

(Rev giugno 2006) Prodotto per Baxter Healthcare Corporation CLINTEC Nutrition Division Deerfield IL 60015 USA prodotta da Fresenius Kabi Uppsala Svezia. Intralipid® è un marchio registrato di Fresenius Kabi AB. Novamine® è un marchio registrato di Fresenius Kabi AB. Travasol® è un marchio registrato di Baxter Healthcare Corporation.
FDA Rev Data: 24/04/2007

Effetti collaterali per il 10% intralipid

Le reazioni avverse osservate possono essere separate in due classi:

  1. Quelli più frequentemente riscontrati sono dovuti: o alla contaminazione del catetere endovenoso e provocare sepsi o di irritazione delle vene da soluzioni ipertoniche infuse contemporaneamente e può provocare tromboflebite. Queste reazioni avverse sono inseparabili dalla procedura di iper-alimentazione con o senza intralipid® 10% (un'emulsione di grasso i.v. al 10%).
  2. Reazioni meno frequenti più direttamente correlate a Intralipid® il 10% (emulsione di grasso i.v al 10%) sono: a) reazioni avverse immediate o precoci, ciascuna delle quali è stata segnalata in studi clinici in un'incidenza inferiore all'1%; Dispnea cianosi Reazioni allergiche Iperlipemia Ipercoagulabilità Nausea Vomito mal di testa Aumenta di lavaggio della temperatura che suda il dolore sonnolenza nel torace e una leggera pressione sugli occhi vertigini e irritazione nel sito dell'infusione e raramente trombocitopenia nei neonati; B) reazioni avverse ritardate come il giaduncio dell'epatomegalia dovuta alla colestasi centrale splenomegalia trombocitopenia leucopenia Aumentari transitori nei test di funzionalità epatica e sindrome da sovraccarico (convulsioni focali Leucocitosi epatomegalia e shock).

La deposizione di una pigmentazione marrone nel sistema reticolo-doteliale il cosiddetto

Interazioni farmacologiche per il 10% intralipid

Nessuna informazione fornita.

Avvertimenti for Intralipid 10%

I decessi nei neonati pretermine dopo l'infusione di emulsione di grasso per via endovenosa sono stati segnalati nella letteratura medica. 2 I risultati dell'autopsia includevano l'accumulo di grasso intravascolare nei polmoni. Il trattamento dei neonati prematuri e a basso peso alla nascita con emulsione di grasso per via endovenosa deve essere basato su un'attenta valutazione del rischio di benefici.

È obbligatoria una rigorosa aderenza alla dose giornaliera totale raccomandata; La velocità di infusione oraria dovrebbe essere il più lenta possibile in ciascun caso e il grasso non dovrebbe in alcun caso superare 1 g di grassi/kg in quattro ore. Prematuri e piccoli per i bambini di età gestazionale hanno una scarsa clearance dell'emulsione di grasso endovenosa e un aumento dei livelli di plasma di acidi grassi liberi a seguito di infusione di emulsione grasso; Pertanto, è necessario tenere una seria considerazione alla somministrazione inferiore alla massima dosi raccomandata in questi pazienti al fine di ridurre la probabilità di sovraccarico di grasso endovenoso. La capacità del bambino di eliminare il grasso infuso dalla circolazione deve essere attentamente monitorata (come trigliceridi sierici e/o livelli di acido grasso privo di plasma). La lipemia deve cancellare tra le infusioni quotidiane.

Attenzione dovrebbe essere esercitata nella somministrazione di Intralipid® 10% (10% di emulsione a grasso i.V) (un'emulsione di grasso endovenosa al 10%) a pazienti con grave danno epatico anemia polmonare o disturbi della coagulazione del sangue o quando c'è pericolo di embolia grasso.

AVVERTIMENTO : Questo prodotto contiene alluminio che può essere tossico. L'alluminio può raggiungere livelli tossici con una somministrazione parenterale prolungata se la funzione renale è compromessa. I neonati prematuri sono particolarmente a rischio perché i loro reni sono immaturi e richiedono grandi quantità di soluzioni di calcio e fosfato che contengono alluminio.

La ricerca indica che i pazienti con funzionalità renale compromessa, compresi i neonati prematuri che ricevono livelli parenteli di alluminio da oltre 4-5 mcg/kg/giorno accumulano alluminio a livelli associati al sistema nervoso centrale e alla tossicità ossea. Il carico dei tessuti può verificarsi a velocità di somministrazione ancora più basse.

Precauzioni for Intralipid 10%

Quando viene somministrato Intralipid®, il 10% (10% di emulsione a grasso i.V), la capacità dei pazienti di eliminare il grasso infuso dalla circolazione deve essere monitorata mediante l'uso di una determinazione di laboratorio adeguata dei trigliceridi sierici. Il sovradosaggio deve essere evitato.

Durante la nutrizione endovenosa a lungo termine con intralipid® devono essere eseguiti test di funzionalità epatica del 10% (10% di grasso i.V). Se questi test indicano che la funzione epatica è compromessa, la terapia deve essere ritirata.

La conta piastrinica frequente (alcuni consigli quotidianamente) dovrebbe essere eseguita nei pazienti neonatali che ricevono nutrizione parenterale con intralipid® 10% (emulsione di grasso i.v al 10%).

Il prodotto farmaceutico non contiene più di 25 mcg/L di alluminio.

Mutagenesi della carcinogenesi compromissione della fertilità: Studi con intralipid® non sono stati condotti per valutare il potenziale potenziale cancerogeno o gli effetti mutageni sulla fertilità.

Categoria della gravidanza C: Studi di riproduzione degli animali non sono stati condotti con Intralipid®. Inoltre, non è noto se Intralipid® può causare danni fetali quando somministrato a una donna incinta o può influire sulla capacità di riproduzione. Intralipid® dovrebbe essere somministrato a una donna incinta solo se chiaramente necessario.

Madri infermieristiche: Attenzione dovrebbe essere esercitata quando Intralipid® viene somministrata a una donna infermieristica.

Uso pediatrico: Vedere Dosaggio e amministrazione .

Evita assolutamente il sovradosaggio.

2.

Informazioni per overdose per il 10% intralipid

In caso di sovraccarico di grasso durante la terapia, arrestare l'infusione di Intralipid® 10% fino a quando l'ispezione visiva della determinazione plasmatica delle concentrazioni di trigliceridi o la misurazione dell'attività di scatterrazione del plasma da parte della nefelometria indica che il lipide è stato eliminato. Rivalutare il paziente e istituire misure correttive appropriate. VEDERE AVVERTIMENTOS E PRECAUZIONI .

Controindicazioni per il 10% intralipid

La somministrazione di intralipid® il 10% (emulsione a grasso i.v al 10%) è controindicata nei pazienti con disturbi del normale metabolismo dei grassi come la nefrosi patologica dell'iperlipemia lipoide o Pancreatite acuta Se accompagnato da iperlipidemia.

Farmacologia clinica for Intralipid 10%

Intralipid® il 10% (10% di emulsione a grasso i.V) viene metabolizzato e utilizzato come fonte di energia che causa un aumento della riduzione della produzione di calore del quoziente respiratorio e l'aumento del consumo di ossigeno. Le particelle di grasso infuse vengono eliminate dal flusso sanguigno in un modo ritenuto paragonabile alla radura dei chilomicroni.

Intralipid® il 10% (10% di emulsione a grasso i.v) impedirà il Biochimico Lesioni della carenza di acido grasso essenziale (EFAD) e correggere le manifestazioni cliniche della sindrome di EFAD.

Informazioni sul paziente per il 10% intralipid

Nessuna informazione fornita. Please refer to the AVVERTIMENTOS E PRECAUZIONI sezioni.