Le Informazioni Presenti Sul Sito Non Costituiscono Consulenza Medica. Non Vendiamo Nulla. L'Accuratezza Della Traduzione Non È Garantita. Disclaimer



Implanone

Riepilogo della droga

Cos'è l'Imphanon?

Implanon (etonogestrel) è un contraccettivo usato per prevenire la gravidanza.

Quali sono gli effetti collaterali di Implanon?

Gli effetti collaterali comuni dell'implanon includono



Implanone



  • arrossamento del calore o trasudare dove è stato inserito l'impianto
  • forte dolore o crampi nella tua area pelvica
  • intorpidimento improvviso o debolezza (specialmente su un lato del corpo)
  • improvviso grave mal di testa
  • discorso confuso
  • Problemi con visione o equilibrio
  • perdita di visione improvvisa
  • pugnalato al dolore toracico
  • Sentirsi a corto di respiro
  • tossire sangue
  • dolore o calore in una o entrambe le gambe
  • Dolore o pressione al torace
  • dolore che si diffonde alla mascella o alla spalla
  • nausea
  • sudorazione
  • grave mal di testa
  • visione sfocata
  • martellando nel collo o nelle orecchie
  • gonfiore tra le mani caviglie o i piedi
  • ingiallimento della pelle o degli occhi
  • nodulo al seno
  • depressione
  • problemi di sonno
  • debolezza
  • sensazione stanca e
  • Cambiamenti dell'umore

Ottieni subito assistenza medica se hai uno qualsiasi dei sintomi sopra elencati.

  • nausea
  • Crampi allo stomaco/gonfiore/dolore
  • vertigini
  • mal di testa
  • Cambiamenti dell'umore
  • depressione
  • tenerezza o dolore al seno
  • acne
  • perdita di capelli
  • aumento di peso
  • Problemi con le lenti a contatto
  • mal di gola
  • sintomi dell'influenza
  • mal di schiena
  • nervosismo
  • Crampi mestruali
  • Cambiamenti nei periodi mestruali
  • prurito vaginale e
  • irritazione o scarico vaginali.

Altri effetti collaterali di Implanon includono



  • Dolore
  • lividi
  • intorpidimento
  • infezione
  • formicolio
  • sanguinamento minore e
  • cicatrici nel sito in cui è posizionata l'asta.

Cerca cure mediche o chiama il 911 contemporaneamente se hai i seguenti gravi effetti collaterali:

  • Sintomi di occhiali gravi come la perdita di visione improvvisa del tunnel della visione sfocata Dolore alla visione o gonfiore o vedere aloni attorno alle luci;
  • Sintomi cardiaci gravi come battiti cardiaci irregolari o martellanti veloci; svolazzando nel petto; fiato corto; e vertigini improvvise Accendino o svenire;
  • Grave mal di testa confusione Il braccio del linguaggio bloccato o la debolezza delle gambe problemi perdite perdita di coordinamento sentendoti instabili muscoli molto rigidi ad alta febbre abbondante sudorazione o tremori.

Questo documento non contiene tutti i possibili effetti collaterali e altri possono verificarsi. Verificare con il tuo medico ulteriori informazioni sugli effetti collaterali.

Dosaggio per implanon?

La medicina di Implanon è contenuta in una piccola asta di plastica che viene impiantata nella pelle della parte superiore del braccio. La dose di medicina viene rilasciata lentamente nel corpo. L'asta può rimanere in atto e fornire una contraccezione continua per un massimo di 3 anni.

rilassanti muscolari che iniziano con c

Implanone

  • arrossamento del calore o trasudare dove è stato inserito l'impianto
  • forte dolore o crampi nella tua area pelvica
  • intorpidimento improvviso o debolezza (specialmente su un lato del corpo)
  • improvviso grave mal di testa
  • discorso confuso
  • Problemi con visione o equilibrio
  • perdita di visione improvvisa
  • pugnalato al dolore toracico
  • Sentirsi a corto di respiro
  • tossire sangue
  • dolore o calore in una o entrambe le gambe
  • Dolore o pressione al torace
  • Dolore spreading to your jaw or shoulder
  • nausea
  • sudorazione
  • grave mal di testa
  • visione sfocata
  • martellando nel collo o nelle orecchie
  • gonfiore tra le mani caviglie o i piedi
  • ingiallimento della pelle o degli occhi
  • nodulo al seno
  • depressione
  • problemi di sonno
  • debolezza
  • sensazione stanca e
  • Cambiamenti dell'umore

Ottieni subito assistenza medica se hai uno qualsiasi dei sintomi sopra elencati.

Cerca cure mediche o chiama il 911 contemporaneamente se hai i seguenti gravi effetti collaterali:

  • Sintomi di occhiali gravi come la perdita di visione improvvisa del tunnel della visione sfocata Dolore alla visione o gonfiore o vedere aloni attorno alle luci;
  • Sintomi cardiaci gravi come battiti cardiaci irregolari o martellanti veloci; svolazzando nel petto; fiato corto; e vertigini improvvise lightheartedness o svenire;
  • Grave mal di testa confusione Il braccio del linguaggio bloccato o la debolezza delle gambe problemi perdite perdita di coordinamento sentendoti instabili muscoli molto rigidi ad alta febbre abbondante sudorazione o tremori.

Questo documento non contiene tutti i possibili effetti collaterali e altri possono verificarsi. Verificare con il tuo medico ulteriori informazioni sugli effetti collaterali.

Quali sostanze o integratori di farmaci interagiscono con l'Implanon?

Imphanon può interagire con il fenilbutazone modafinil St. John's Wort Antibiotics confisca medicinali barbiturici e HIV medicinali. Dì al tuo medico tutti i farmaci che stai assumendo.

Implanon durante la gravidanza e l'allattamento

L'implanon non deve essere usato durante la gravidanza. Se rimani incinta o pensi di essere incinta informa immediatamente il medico. Un certo grave problema di gravidanza ( gravidanza ectopica ) può essere più probabile se rimani incinta durante l'utilizzo di questo prodotto. L'implanon passa nel latte materno in piccole quantità. Consulta il medico prima dell'allattamento al seno.

Ulteriori informazioni

Il nostro Centro farmacologico per effetti collaterali di Implanon fornisce una visione completa delle informazioni disponibili sui farmaci sui potenziali effetti collaterali durante l'assunzione di questo farmaco.

Informazioni sui farmaci FDA

Descrizione per Implanon

Implanon (EtonogStrel Implant) è un impianto flessibile morbido solo a progestinico precaricato in un applicatore monouso sterile per l'uso subdermico. L'impianto è off-bianco non biodegradabile e di 4 cm di lunghezza con un diametro di 2 mm (vedere la Figura 22). Ogni impianto è costituito da un nucleo copolimero di etilene vinilacetato (EVA) contenente 68 mg del progestinico sintetico etonogestrel circondato da una pelle di copolimero EVA. Una volta inserito subdermicamente, il tasso di rilascio è compreso tra 60 e 70 mcg/giorno nella settimana 5-6 e diminuisce da circa 35 a 45 mcg/giorno alla fine del primo anno a circa 30-40 mcg/giorno alla fine del secondo anno e poi a circa 25-30 mcg/giorno alla fine del terzo anno. L'implanon è un contraccettivo solo a progestin e non contiene estrogeno . Implanon non contiene lattice e non è radio-opaco.

Figura 22 (non ridimensionare)

Etonogestrel [13-etil-17-idrossi-11-metilene-1819-Dinor-17α-Pregn-4-en-20-yn-3-one] strutturalmente derivato dal 19-Nortestosterone è il metabolita biologicamente attivo sintetico del desogestrel del programma sintetico. Ha un peso molecolare di 324,46 e la seguente formula strutturale (Figura 23).

Figura 23

Usi per implanon

Nexplanon® è indicato per l'uso da parte delle donne per prevenire la gravidanza.

Dosaggio per implanon

L'efficacia di Nexplanon non dipende dall'amministrazione settimanale o mensile giornaliera.

Tutti gli operatori sanitari dovrebbero ricevere istruzioni e formazione prima di eseguire inserimento e/o rimozione di Nexplanon.

Un singolo impianto di nexplanon viene inserito subdermicamente appena sotto la pelle sul lato interno della parte superiore del braccio non dominante. Il sito di inserimento sta sovrastando il muscolo del tricipite di circa 8-10 cm (3-4 pollici) dall'epicondilo mediale dell'omero e 3-5 cm (NULL,25-2 pollici) posteriori al solco (groove) tra i bicipiti e i muscoli dei tricipiti. Questa posizione ha lo scopo di evitare i grandi vasi sanguigni e i nervi che si trovano all'interno e circostanti il ​​solco (vedi Figure 2A 2B e 2C). Un impianto inserito più profondamente che subdermicamente (inserimento profondo) potrebbe non essere palpabile e la localizzazione e/o la rimozione possono essere difficili o impossibili [vedi Dosaggio e amministrazione E Avvertimenti e precauzioni ]. UN

Nexplanon deve essere inserito dalla data di scadenza indicata sulla confezione. Nexplanon è un metodo contraccettivo ormonale reversibile a lunga durata (fino a 3 anni). L'impianto deve essere rimosso entro la fine del terzo anno e può essere sostituito da un nuovo impianto al momento della rimozione se si desidera una protezione contraccettiva continua.

Iniziare la contraccezione con Nexplanon

Importante: escludere la gravidanza prima di inserire l'impianto.

Il tempismo dell'inserimento dipende dalla recente storia contraccettiva della donna come segue:

  • Nessun uso contraccettivo ormonale precedente nell'ultimo mese â

Il nexplanon deve essere inserito tra il primo giorno (primo giorno di sanguinamento mestruale) e il giorno 5 del ciclo mestruale anche se la donna sta ancora sanguinando.

Se inserito come contraccezione di backup raccomandata non è necessario. Se deviazione dai tempi consigliati dell'inserimento, la donna dovrebbe essere consigliato di utilizzare un metodo di barriera fino a 7 giorni dopo l'inserimento. Se si è già verificato un rapporto gravidanza.

  • Sfruttando il metodo contraccettivo a Nexplanon
Contraccettivi ormonali combinati

Nexplanon dovrebbe essere preferibilmente inserito il giorno dopo l'ultima compressa attiva del contraccettivo orale combinato precedente o il giorno di rimozione dell'anello vaginale o della patch transdermica. All'ultimo Nexplanon dovrebbe essere inserito nel giorno in seguito al solito intervallo di tablet senza pentole senza tablet o intervallo di tablet placebo del precedente contraccettivo ormonale combinato.

Se inserito come contraccezione di backup raccomandata non è necessario. Se deviazione dai tempi consigliati dell'inserimento, la donna dovrebbe essere consigliato di utilizzare un metodo di barriera fino a 7 giorni dopo l'inserimento. Se si è già verificato un rapporto gravidanza.

Contraccettivi solo progestinici

Esistono diversi tipi di metodi solo progestinici. Nexplanon dovrebbe essere inserito come segue:

  • Contraccettivi iniettabili: inserire Nexplanon il giorno in cui è dovuta l'iniezione successiva.
  • MiniPill: una donna può passare a Nexplanon in qualsiasi giorno del mese. Nexplanon deve essere inserito entro 24 ore dopo aver preso l'ultimo tablet.
  • Impianto contraccettivo o sistema intrauterino (IUS): inserire il nexplanon nello stesso giorno in cui viene rimosso il precedente impianto contraccettivo o IUS.

Se inserito come contraccezione di backup raccomandata non è necessario. Se deviazione dai tempi consigliati dell'inserimento, la donna dovrebbe essere consigliato di utilizzare un metodo di barriera fino a 7 giorni dopo l'inserimento. Se si è già verificato un rapporto gravidanza.

  • A seguito di aborto o aborto
    • Primo trimestre: Nexplanon deve essere inserito entro 5 giorni dopo un aborto o un aborto del primo trimestre.
    • Secondo trimestre: inserire Nexplanon tra 21 e 28 giorni dopo l'aborto o l'aborto del secondo trimestre.

Se inserito come contraccezione di backup raccomandata non è necessario. Se deviazione dai tempi consigliati dell'inserimento, la donna dovrebbe essere consigliato di utilizzare un metodo di barriera fino a 7 giorni dopo l'inserimento. Se si è già verificato un rapporto gravidanza.

  • Postpartum
    • Non allattamento al seno: il nexplanon deve essere inserito tra 21 e 28 giorni dopo il parto. Se inserito come contraccezione di backup raccomandata non è necessario. Se deviazione dai tempi consigliati dell'inserimento, la donna dovrebbe essere consigliato di utilizzare un metodo di barriera fino a 7 giorni dopo l'inserimento. Se si è già verificato un rapporto gravidanza.
    • ALIMENTAZIONE al seno: Nexplanon non deve essere inserito fino a dopo la quarta settimana postpartum. La donna dovrebbe essere consigliato di utilizzare un metodo di barriera fino a 7 giorni dopo l'inserimento. Se si è già verificato un rapporto gravidanza.

Inserzione di Nexplanon

La base per un uso riuscito e la successiva rimozione di Nexplanon è un inserimento subdermico corretto e accuratamente eseguito dell'impianto a forma di asta singola in conformità con le istruzioni. Sia il medico che la donna dovrebbero essere in grado di sentire l'impianto sotto la pelle dopo il posizionamento.

Tutti gli operatori sanitari che eseguono inserzioni e/o rimozioni di Nexplanon dovrebbero ricevere istruzioni e formazione prima di inserire o rimuovere l'impianto.

Preparazione

Prima di inserire Nexplanon leggere attentamente le istruzioni per l'inserimento e le informazioni di prescrizione completa. Se non si è sicuri delle misure necessarie per inserire in sicurezza e/Orremove Nexplanon non tentare la procedura.

Chiama il Merck National Service Center al numero 1-877-888-4231 se hai domande. I video che dimostrano inserimento e rimozione sono disponibili online per i fornitori di servizi sanitari addestrati (www.nexplanonTraining.com).

Prima dell'inserimento di Nexplanon, il fornitore di assistenza sanitaria dovrebbe confermare che:

  • La donna non è incinta né ha altra controindicazione per l'uso di nexplanon [vedi Controindicazioni ].
  • La donna ha avuto una storia medica e un esame fisico tra cui un esame ginecologico eseguito.
  • La donna comprende i benefici e i rischi di Nexplanon.
  • La donna ha ricevuto una copia dell'etichettatura del paziente inclusa nella confezione.
  • La donna ha rivisto e completato un modulo di consenso da mantenere con il grafico della donna.
  • La donna non ha allergie antisettiche e anestetiche da utilizzare durante l'inserimento.

Inserire il nexplanon in condizioni asettiche.

È necessaria la seguente attrezzatura per l'inserimento dell'impianto:

  • Un tavolo da esame su cui sdraiarsi la donna
  • Tende chirurgiche sterili guanti sterili soluzione marcatore chirurgico
  • Aghi anestetici locali e siringa
  • Bandaggio di pressione dell'adesivo di garza sterile
Procedura di inserimento

Per contribuire a garantire che l'impianto sia inserito proprio sotto la pelle, i fornitori di assistenza sanitaria dovrebbero essere posizionati per vedere il progresso dell'ago visualizzando l'applicatore dallo Theside e non da sopra il braccio. Dalla vista laterale il sito di inserimento e il movimento dell'ago appena sotto la pelle possono essere chiaramente visualizzati.

Per scopi illustrativi le figure descrivono il braccio interno sinistro.

Passaggio 1. Avere la donna che si trova sulla schiena sul tavolo dell'esame con il braccio non dominante flesso sul gomito e ruotato esternamente in modo che la sua mano sia sotto la testa (o il più vicino possibile) (Figura 1).

Figura 1

Passaggio 2. Identificare il sito di inserimento che si trova sul lato interno della parte superiore del braccio non dominante. Il sito di inserzione sta sovrastando il muscolo del tricipite di circa 8-10 cm (3-4 pollici) dall'epicondilo mediale dell'omero e 3-5 cm (NULL,25-2 pollici) posteriore al solco (groove) tra i bicipiti e i muscoli dei tricipiti (figure 2a 2b e 2c). Questa posizione è destinata a evitare i grandi vasi sanguigni e i nervi che si trovano all'interno e che circondano il solco. Se non è possibile inserire l'impianto in questa posizione (ad es. Nelle donne con braccia sottili), dovrebbe essere inserito il più possibile posteriore dal solco. [Vedere Avvertimenti e precauzioni ]

Passaggio 3. Fai due segni con un marcatore chirurgico: prima marchio il punto in cui verrà inserito l'impianto etonogestrel e il secondo segno un punto a 5 centimetri (2 pollici) prossimale (verso la spalla) al primo segno (Figura 2A e 2B). Questo secondo segno (marchio guida) servirà in seguito come guida di direzione durante l'inserimento.

Figura 2A: P -PROXIMAL (verso la spalla) d -Distal (verso il gomito)

Figura 2b

Figura 2C: sezione trasversale del braccio in alto a sinistra visto dal gomito

Passaggio 4. Dopo aver contrassegnato il braccio, confermare che il sito è nella posizione corretta sul lato interno del braccio.

Passaggio 5. Pulisci la pelle dal sito di inserimento al segno guida con una soluzione antisettica.

Passaggio 6. Anestetizzare l'area di inserimento (ad esempio con spray anestetico o iniettando 2 ml di lidocaina all'1% appena sotto la pelle lungo il tunnel di inserimento pianificato).

Passaggio 7. Rimuovere l'applicatore Nexplanon usa e getta precaricato sterile che trasporta l'impianto dalla sua vescica. L'applicatore non deve essere utilizzato se la sterilità è in questione.

Passaggio 8. Tenere l'applicatore appena sopra l'ago sulla superficie strutturata. Rimuovere il cappuccio di protezione trasparente facendo scorrere orizzontalmente nella direzione della freccia lontano dall'ago (Figura 3). Se il limite non si stacca facilmente, non è necessario utilizzare l'applicatore. Dovresti vedere l'impianto di colore bianco guardando nella punta dell'ago. Non toccare il cursore viola fino a quando non hai inserito completamente l'ago in modo subdermicamente in quanto ciò che recederà l'ago e rilascerà prematuramente l'impianto dall'applicatore.

Figura 3

Passaggio 9. Con la mano libera allunga la pelle attorno al sito di inserimento verso il gomito (Figura 4).

Figura 4

Passaggio 10. L'impianto deve essere inserito subdermicamente appena sotto la pelle (vedi Avvertimenti e precauzioni )

Per contribuire a assicurarsi che l'impianto sia inserito proprio sotto la pelle, dovresti posizionare se stessi per vedere il progresso dell'ago visualizzando l'applicatore da un lato e non sopra il braccio. Dalla vista laterale (vedi Figura 6) è possibile vedere chiaramente il sito di inserimento e il movimento dell'ago appena sotto la pelle.

Passaggio 11. Puntire la pelle con la punta dell'ago leggermente angolato inferiore a 30 ° (Figura 5A).

Figura 5a

Passaggio 12. Inserire l'ago fino a quando lo smusso (apertura inclinata della punta) è appena sotto la pelle (e non oltre) (Figura 5b). Se si inserisce l'ago oltre lo smusso, ritiralo fino a quando solo lo smusso non è sotto la pelle.

Figura 5b

Passaggio 13. Abbassare l'applicatore in una posizione quasi orizzontale. Per facilitare il posizionamento subdermico sollevare la pelle con l'ago mentre fa scorrere l'ago a tutta la sua lunghezza (Figura 6). Potresti provare una leggera resistenza ma non esercitare una forza eccessiva. Se l'ago non viene inserito per tutta la sua lunghezza, l'impianto non verrà inserito correttamente.

Se la punta dell'ago emerge dalla pelle prima che l'inserimento dell'ago sia completato, l'ago dovrebbe essere tirato indietro ed essere riadattato in posizione subdermica prima di completare la procedura di inserimento.

Figura 6

Passaggio 14. Mantenere l'applicatore nella stessa posizione con l'ago inserito a tutta la sua lunghezza (Figura 7). Se necessario, è possibile utilizzare la mano libera per stabilizzare l'applicatore. Sblocca il cursore viola spingendolo leggermente verso il basso (Figura 8A). Sposta il cursore completamente indietro fino a quando non si ferma. Non spostare l'applicatore mentre si muove il cursore viola (Figura 8b). L'impianto è ora nella sua posizione subdermica finale e l'ago è bloccato all'interno del corpo dell'applicatore. L'applicatore può ora essere rimosso (Figura 8C).

Figura 7

Figura 8a

UN

Figura 8c

Se l'applicatore non viene mantenuto nella stessa posizione durante questa procedura o se il PurplesLider non viene spostato completamente indietro fino a quando non interrompe l'impianto non verrà inserito correttamente e può sporgere dal sito di inserimento.

Se l'impianto sporge dal sito di inserimento, rimuovi l'impianto ed esegui una nuova procedura nello stesso sito di inserimento utilizzando un nuovo applicatore. Non spingere di nuovo l'impianto sporgente nell'incisione.

Passaggio 15. Applicare una piccola benda adesiva sul sito di inserimento.

Passaggio 16. Verifica sempre la presenza dell'impianto nel braccio della donna immediatamente dopo l'inserimento mediante palpazione. Palpando entrambe le estremità dell'impianto dovresti essere in grado di confermare la presenza dell'asta da 4 cm (Figura 9). Vedi se l'asta non è palpabile dopo l'inserimento di seguito.

Figura 9

Passaggio 17. Richiedere alla donna palpare l'impianto.

Passaggio 18. Applicare una fasciatura a pressione con garza sterile per ridurre al minimo i lividi. La donna può rimuovere la banda di pressione in 24 ore e la piccola fasciatura adesiva sul sito di inserimento dopo 3-5 giorni.

Passaggio 19. Completa la scheda utente e darla alla donna da conservare. Completa anche l'etichetta del grafico del paziente e lo apposizioni alla cartella clinica della donna.

Passaggio 20. L'applicatore è solo per uso singolo e dovrebbe essere eliminato in conformità con il Center for Disease Control and Prevention Linee guida per la gestione dei rifiuti pericolosi.

Se l'asta non è palpabile dopo l'inserimento:

Se non riesci a sentire l'impianto o hai dubbi sulla sua presenza, l'impianto potrebbe non essere stato sottoposto o potrebbe essere stato inserito profondamente:

  • Controllare l'applicatore. L'ago deve essere completamente retratto e solo la punta viola dell'otturatore dovrebbe essere visibile.
  • Utilizzare altri metodi per confermare la presenza dell'impianto. Data la natura radiopaca dell'impianto che i metodi adatti per la localizzazione sono a raggi X bidimensionali e tomografia computerizzata a raggi X (CT Scan). La scansione ad ultrasuoni (USS) con un trasduttore di array lineare ad alta frequenza (10 MHz o superiore) o la risonanza magnetica (MRI) può essere utilizzata. Se questi metodi falliscono, chiamare il Merck National Service Center al numero 1-877-888-4231 per informazioni sulla procedura per misurare i livelli ematici di etonogestrel che possono essere utilizzati per la verifica della presenza dell'impianto.

Fino a quando la presenza dell'impianto non è stata verificata, la donna dovrebbe essere consigliata al metodo contraccettivo non ormonale USEA come i preservativi.

Gli impianti profondamente posizionati dovrebbero essere localizzati e rimossi il prima possibile per evitare il potenziale per la migrazione lontana [vedi Avvertimenti e precauzioni ].

Rimozione di Nexplanon

Preparazione

La rimozione dell'impianto deve essere eseguita solo in condizioni asettiche da un operatore sanitario che ha familiarità con la tecnica di rimozione. Se non hai familiarità con la tecnica di rimozione, chiama il numero 1-877-888-4231 per ulteriori informazioni.

Prima di iniziare la procedura di rimozione, il fornitore di assistenza sanitaria dovrebbe valutare la posizione dell'impianto e leggere attentamente le istruzioni per la rimozione. La posizione esatta dell'impianto nel braccio dovrebbe essere verificata mediante palpazione. Se l'impianto non è palpabile consultare la scheda utente o la cartella clinica per verificare il braccio che contiene l'impianto. Se l'impianto non può essere palpato, può essere posizionato in profondità o essere migrato. Considera che potrebbe trovarsi vicino a vasi e nervi. La rimozione di impianti non divisibili dovrebbe essere eseguita solo da un operatore sanitario sperimentato nella rimozione di impianti profondamente posizionati e familiarità con la localizzazione dell'impianto e l'anatomia del braccio. Chiama il 1877-888-4231 per ulteriori informazioni. [Vedere Localizzazione e rimozione di un impianto non calpabile di seguito. ]

Procedura per la rimozione di un impianto che è palpabile

Prima della rimozione dell'impianto, il fornitore di assistenza sanitaria dovrebbe confermare che:

  • La donna non ha allergie antisettiche o anestetiche da utilizzare.

È necessaria la seguente attrezzatura per la rimozione dell'impianto:

  • Un tavolo da esame su cui sdraiarsi la donna
  • Tende chirurgiche sterili guanti sterili soluzione marcatore chirurgico
  • Aghi anestetici locali e siringa
  • Forcela del bisturi sterile (zanzara dritta e curva)
  • CHIUSA DELLA CHIUSA DELLA GUARZE STERILE E BANDAGGIA DI PRESSIONE
Procedura di rimozione

Per scopi illustrativi figure descrivono il braccio interno sinistro

Passaggio 1. Chiedi alla donna di mentire sulla schiena sul tavolo. Il braccio dovrebbe essere posizionato con il gomito flesso e la mano sotto la testa (o il più vicino possibile). (Vedi Figura 1.)

Passaggio 2. Individuare l'impianto mediante palpazione. Spingere verso il basso l'estremità dell'impianto più vicino alla spalla (Figura 10) per stabilizzarlo; Dovrebbe apparire un rigonfiamento che indica la punta dell'impianto più vicino al gomito. Se la punta non comparirà la rimozione dell'impianto può essere più impegnativa e dovrebbe essere eseguita dai fornitori sperimentati con la rimozione di impianti più profondi. Chiama il numero 1-877-888-4231 per ulteriori informazioni.

Segnare l'estremità distale (fine più vicina al gomito) ad esempio con un marcatore chirurgico.

Figura 10: P -Proximal (toward the shoulder) D -Distal (toward the elbow)

Passaggio 3. Pulisci il sito con una soluzione antisettica.

Passaggio 4. Anestetizzare il sito, ad esempio con lidocaina da 0,5 a 1 ml 1% in cui verrà effettuata l'incisione (Figura 11). Assicurati di iniettare l'anestetico locale sotto l'impianto per mantenere l'impianto vicino alla superficie della pelle. L'iniezione di anestetico locale sull'impianto può rendere più difficile la rimozione.

Figura 11

Passaggio 5. Spingere verso il basso l'estremità dell'impianto più vicino alla spalla (Figura 12) per stabilizzarlo durante la procedura. Iniziando sopra la punta dell'impianto più vicino al gomito crea un'incisione longitudinale (parallela all'impianto) di 2 mm verso il gomito. Fare attenzione a non tagliare la punta dell'impianto.

Figura 12

Passaggio 6. La punta dell'impianto dovrebbe uscire dall'incisione. Se non spinge delicatamente l'impianto verso l'incisione fino a quando la punta non è visibile. Afferrare l'impianto con una pinza e, se possibile, rimuovere l'impianto (Figura 13). Se necessario, rimuovere delicatamente il tessuto aderente dalla punta dell'impianto usando la dissezione smussata. Se la punta dell'impianto non viene esposta dopo la dissezione smussata effettua un'incisione nella guaina del tessuto e quindi rimuovere l'impianto con le pinze (Figure 14 e 15).

Figura 13

Figura 14

Figura 15

Passaggio 7. Se la punta dell'impianto non diventa visibile nell'inserto di incisione una pinza (preferibilmente pinza per zanzare curva con le punte indicate) superficialmente nell'incisione (Figura 16). Afferrare delicatamente l'impianto e quindi capovolgere la pinza nell'altra mano (Figura 17).

Figura 16

Figura 17

Passaggio 8. Con una seconda coppia di pinze analizza attentamente il tessuto attorno all'impianto e afferra l'impianto (Figura 18). L'impianto può quindi essere rimosso. Se l'impianto non può essere afferrato la procedura e fare riferimento alla donna a un operatore sanitario sperimentato con complessRemovals o chiamare il numero 1-877-888-4231.

Figura 18

Passaggio 9. Confermare che l'intero impianto che è lungo 4 cm è stato rimosso misurando la sua lunghezza. Sono stati segnalati impianti rotti mentre nel braccio del paziente. In alcuni casi è stata segnalata una difficile rimozione dell'impianto rotto. Se un impianto parziale (meno di 4 cm) viene rimosso, il pezzo rimanente deve essere rimosso seguendo le istruzioni nella Sezione 2.3. Se la donna desidera continuare a usare nexplanon, un nuovo impianto può essere inserito immediatamente dopo che il vecchio impianto è rimosso usando la stessa incisione fintanto che il sito è nella posizione corretta [vedi Dosaggio e amministrazione ].

Passaggio 10. Dopo aver rimosso l'impianto chiudere l'incisione con una chiusura della ferita adesiva sterile.

Passaggio 11. Applicare una fasciatura a pressione con garza sterile per ridurre al minimo i lividi. La donna può rimuovere la banda di pressione in 24 ore e la chiusura della ferita adesiva sterile in 3-5 giorni.

Localizzazione e rimozione di un impianto non calpabile

Ci sono state segnalazioni di migrazione dell'impianto; Di solito ciò comporta un movimento minore rispetto alla posizione originale [vedi Avvertimenti e precauzioni ] ma può portare all'impianto che non è palpabile nella posizione in cui è stato collocato. Un impianto che è stato profondamente inserito o è emigrato potrebbe non essere palpabile e quindi le procedure di imaging come descritto di seguito possono essere necessarie per la localizzazione.

Un impianto non rilasciabile dovrebbe sempre essere individuato prima di tentare la rimozione. Data la natura radiopaca dell'impianto che i metodi adatti per la localizzazione includono raggi X bidimensionale e tomografia a raggi X (CT). La scansione ad ultrasuoni (USS) con un trasduttore di array lineare ad alta frequenza (10 MHz o superiore) o la risonanza magnetica (MRI) può essere utilizzata. Una volta che l'impianto è stato localizzato nel braccio, l'impianto deve essere rimosso da un operatore sanitario sperimentato nella rimozione di impianti profondamente posizionati e familiarità con l'anatomia del braccio. Dovrebbe essere preso in considerazione l'uso della guida agli ultrasuoni durante la rimozione.

Se l'impianto non può essere trovato nel braccio dopo tentativi completi di localizzazione, prendono in considerazione l'applicazione di tecniche di imaging sul torace poiché sono stati segnalati eventi di migrazione alla vascolarizzazione polmonare. Se l'impianto si trova nelle procedure chirurgiche o endovascolari toraciche possono essere necessarie per la rimozione; Dovrebbero essere consultati gli operatori sanitari che hanno familiarità con l'anatomia del torace.

Se in qualsiasi momento questi metodi di imaging non riescono a individuare l'impianto di determinazione del livello ematico etonogestrel può essere utilizzata per la verifica della presenza dell'impianto. Per i dettagli sulla determinazione del livello ematico di EtonogStrel chiamare il numero 1-877-888-4231 per ulteriori istruzioni.

Se l'impianto migra all'interno della rimozione del braccio può richiedere una procedura chirurgica minore con un'incisione maggiore o una procedura chirurgica in una sala operatoria. La rimozione di impianti profondamente inseriti dovrebbe essere condotta con cautela per aiutare a prevenire lesioni a strutture neurali o vascolari più profonde nel braccio. Gli impianti non calpestabili e profondamente inseriti dovrebbero essere rimossi dai fornitori di assistenza sanitaria che hanno familiarità con l'anatomia del braccio e la rimozione di impianti profondamente inseriti.

La chirurgia esplorativa senza conoscenza della posizione esatta dell'impianto è fortemente scoperta.

Sostituzione di Nexplanon

La sostituzione immediata può essere effettuata dopo la rimozione dell'impianto precedente ed è simile alla procedura di inserimento descritta nella sezione 2.2 Inserzione di Nexplanon.

quanto b1 dovrei prendere

Il nuovo impianto può essere inserito nello stesso braccio e attraverso la stessa incisione da cui è stato rimosso l'impianto precedente fintanto che il sito è nella posizione corretta [vedi Dosaggio e amministrazione ]. If the same incision is being used to insert a new implant anesthetize the insertion site [for example 2 mL lidocaine (1%)] applying it just under the skin along the ‘insertion canal.’

Seguire i passaggi successivi nelle istruzioni di inserimento [vedi Dosaggio e amministrazione ].

Come fornito

Forme di dosaggio e punti di forza

Impianto copolimero di etilene acetato flessibile acetato flessibile acetato (EVA) acetato flessibile acetato (EVA) di lunghezza di 4 cm di lunghezza di 4 cm di lunghezza e diametro di 2 mm contenenti 68 mg di etonogestrel 15 mg di solfato di bario e 0,1 mg di magnesio stearato.

Nexplanon viene fornito come segue:

Ndc 0052-4330-01

Un pacchetto Nexplanon è costituito da un singolo impianto contenente 68 mg di etonogestrel 15 mg di solfato di bario e 0,1 mg di magnesio stearato di lunghezza di 4 cm e 2 mm di diametro che è precaricato nell'ago di un applicatore monouso. L'applicatore sterile contenente l'impianto è imballato in un pacchetto di vesciche.

Archiviazione e maneggevolezza

Conservare il radiopaco Nexplanon (EtonogStrel) a 25 ° C (77 ° F); Escursioni consentite a 15-30 ° C (59-86 ° F) [vedi A temperatura ambiente controllata da USP ]. Avoid storing Nexplanon at temperatures above 30°C (86°F).

Prodotto da: N.V. Organon OSS I Paesi Bassi Una sussidiaria di Merck

Effetti collaterali for Implanon

Le seguenti reazioni avverse riportate con l'uso della contraccezione ormonale sono discusse altrove nell'etichettatura:

  • Cambiamenti nei modelli di sanguinamento mestruale [vedi Avvertimenti e precauzioni ]
  • Gravidanze ectopiche [vedi Avvertimenti e precauzioni ]
  • Trombotico e altri eventi vascolari [vedi Avvertimenti e precauzioni ]
  • Malattia epatica [vedi Avvertimenti e precauzioni ]

Esperienza di studi clinici

Poiché gli studi clinici sono condotti in condizioni di reazione avverse ampiamente variabili osservate negli studi clinici di un farmaco non possono essere paragonati direttamente ai tassi negli studi clinici di un altro farmaco e potrebbero non riflettere i tassi osservati nella pratica.

Negli studi clinici che coinvolgono 942 donne che sono state valutate per il cambiamento di sicurezza nei modelli di sanguinamento mestruale (mestruazioni irregolari) è stata la reazione avversa più comune che ha causato l'interruzione dell'uso dell'impianto di etonogestrel non radiopaque (Implanon) (NULL,1% delle donne).

Le reazioni avverse che hanno provocato un tasso di interruzione di ≥1% sono mostrate nella Tabella 3.

Tabella 3: reazioni avverse che portano alla sospensione del trattamento in 1% o più di soggetti negli studi clinici dell'impianto etonogestrel non radiopaco (Implanon)

Reazioni avverse Tutti gli studi
N = 942
Irregolarità sanguinanti* 11,1%
Labilità emotiva1 ' 2,3%
Aumento del peso 2,3%
Mal di testa 1,6%
Acne 1,3%
Depressione* 1,0%
* Include frequenti spotting prolungato pesante e altri motivi di irregolarità sanguinante.
† Tra i soggetti statunitensi (n = 330) il 6,1% ha sperimentato labilità emotiva che ha portato alla sospensione.
‡ Tra i soggetti statunitensi (n = 330) il 2,4% ha sperimentato depressione che ha portato alla sospensione.

Altre reazioni avverse che sono state riportate da almeno il 5% dei soggetti negli studi clinici dell'impianto etonogestrel non radiopaque sono elencate nella Tabella 4.

Tabella 4: reazioni avverse comuni riportate da ≥5% dei soggetti negli studi clinici con impianto etonogestrel non radiopaque (Implanon)

Reazioni avverse Tutti gli studi
N = 942
Mal di testa 24,9%
Vaginite 14,5%
Aumento del peso 13,7%
Acne 13,5%
Dolore al seno 12,8%
Dolore addominale 10,9%
Faringite 10,5%
Leucorrea 9,6%
Sintomi simili all'influenza 7,6%
Vertigini 7,2%
Dismenorrrea 7,2%
Mal di schiena 6,8%
Labilità emotiva 6,5%
Nausea 6,4%
Dolore 5,6%
Nervosismo 5,6%
Depressione 5,5%
Ipersensibilità 5,4%
Dolore al sito di inserzione 5,2%

In uno studio clinico di Nexplanon in cui agli investigatori è stato chiesto di esaminare il sito dell'impianto dopo che le reazioni del sito dell'impianto di inserimento sono state riportate nell'8,6% delle donne. L'eritema era la complicazione del sito di impianto più frequente riportato durante e/o poco dopo l'inserimento che si verificava nel 3,3% dei soggetti. Inoltre, sono stati riportati dolori di ematoma (NULL,0%) lividi (NULL,0%) (NULL,0%) e gonfiore (NULL,7%).

per cosa è un buon estratto di mirtilli rossi

Esperienza post -marketing

Le seguenti ulteriori reazioni avverse sono state identificate durante l'uso post-approvazione di Implanon e Nexplanon. Poiché queste reazioni sono riportate volontariamente da una popolazione di dimensioni incerte, non è possibile stimare in modo affidabile la loro frequenza o stabilire una relazione causale con l'esposizione ai farmaci.

Disturbi gastrointestinali: costipazione diarrea flatulenza vomito.

Disturbi generali e condizioni del sito di amministrazione: Pyrexia del sito di impianto di affaticamento dell'edema.

Disturbi del sistema immunitario: Reazioni anafilattiche.

Infezioni e infestazioni: Infezione del tratto urinario di rinite.

Indagini: L'aumento clinicamente rilevante del peso della pressione sanguigna è diminuito.

Disturbi del metabolismo e nutrizione: aumento dell'appetito.

Disturbi del tessuto muscoloscheletrico e connettivo: Artralgia Micolgia del dolore muscoloscheletrico.

Disturbi del sistema nervoso: convulsioni emicrania sonnolenza.

Puerperium in gravidanza e condizioni perinatali: gravidanza ectopica.

Disturbi psichiatrici: La libido di insonnia d'ansia è diminuita.

Disturbi renali e urinari: disuria.

Sistema riproduttivo e disturbi del seno: Discusa al seno ingrandimento del seno cisti ovarico prurito vulvovaginale genitale.

Disturbi della pelle e dei tessuti sottocutanei: Aggravamento dell'angioedema dell'angiedema e/o aggravamento dell'angiedema ereditario alopecia chloasma ipertricosi prurito eruzione cutanea seborrea orticaria.

Disturbi vascolari: vampata a caldo.

Le complicanze relative all'inserimento o alla rimozione degli impianti di etonogestrel riportati includono: lividi il dolore di irritazione locale o la fibrosi prurito nella parestesia del sito dell'impianto o eventi parestesialike e ascessi. È stata segnalata l'espulsione o la migrazione dell'impianto, inclusa la parete toracica. In alcuni casi sono stati trovati impianti all'interno della vascolarizzazione, inclusa l'arteria polmonare. Alcuni casi di impianti trovati all'interno dell'arteria polmonare hanno riportato dolore toracico e/o dispnea; Altri sono stati segnalati come asintomatici [vedi Avvertimenti e precauzioni ]. Surgical intervention might be necessary when removing the implant.

Interazioni farmacologiche for Implanon

Consultare l'etichettatura di farmaci utilizzati contemporaneamente per ottenere ulteriori informazioni sulle interazioni con i contraccettivi ormonali o il potenziale per alterazioni degli enzimi.

Effetti di altri farmaci sui contraccettivi ormonali

Sostanze che diminuiscono le concentrazioni plasmatiche dei contraccettivi ormonali (HC) e potenzialmente diminuendo l'efficacia degli HC

I farmaci o i prodotti a base di erbe che inducono alcuni enzimi tra cui il citocromo P450 3A4 (CYP3A4) possono ridurre le concentrazioni plasmatiche di HC e potenzialmente diminuire l'efficacia degli HC o aumentare il sanguinamento di rottura.

Alcuni farmaci o prodotti a base di erbe che possono ridurre l'efficacia degli HC includono i barbituti fenitoin di efavirenz carbamazepina bosentan felbamato griseofulvin oxcarbazepine rifampicina topiramato di rifabutin rufinamide aprepitant e prodotti contenenti San Giovanni. Le interazioni tra HC e altri farmaci possono portare a sanguinamento innovativo e/o insufficienza contraccettiva. Consiglio alle donne di utilizzare un metodo di contraccezione alternativo non ormonale o di un metodo di backup quando gli induttori enzimatici vengono utilizzati con HCS e per continuare a eseguire il backup della contraccezione non ormonale per 28 giorni dopo aver interrotto l'induttore enzimatico per garantire l'affidabilità contraccettiva.

Sostanze che aumentano le concentrazioni plasmatiche di HCS

La co-somministrazione di alcuni HC e inibitori del CYP3A4 forti o moderati come il succo di pompelmo di itraconazolo voriconazolo fluconazolo o chetoconazolo possono aumentare le concentrazioni sieriche di progestinici tra cui l'etonogestrel.

Virus dell'immunodeficienza umana (HIV)/virus dell'epatite C (HCV) inibitori della proteasi e inibitori della trascrittasi inversa non nucleosidici

Cambiamenti significativi (aumento o diminuzione) nelle concentrazioni plasmatiche di progestin sono state notate in caso di co-somministrazione con inibitori della proteasi dell'HIV (diminuzione [ad esempio Nelfinavir ritonavir Darunavir/Ritonavir (Fos) amprenavir/Ritonavir Lopinavir/Ritonavir e Tiponavir/E.Gavir e E.Geonavir] atazanavir/ritonavir])/inibitori della proteasi HCV (diminuzione [ad esempio boceprevir e telaprevir]) o con inibitori della trascrittasi inversi non nucleosidici (diminuzione [ad es. Nevirapina efavirenz] o aumento [ad es. Etravirene]). Questi cambiamenti possono essere clinicamente rilevanti in alcuni casi.

Consultare le informazioni di prescrizione di farmaci concomitanti anti-virali e anti-retrovirali per identificare potenziali interazioni.

Effetti dei contraccettivi ormonali su altri farmaci

I contraccettivi ormonali possono influenzare il metabolismo di altri farmaci. Di conseguenza, le concentrazioni plasmatiche possono aumentare (ad esempio ciclosporina) o diminuire (ad esempio lamotrigina). Consultare l'etichettatura di tutti i farmaci utilizzati contemporaneamente per ottenere ulteriori informazioni sulle interazioni con i contraccettivi ormonali o il potenziale per alterazioni degli enzimi.

Avvertimenti per implanon

Incluso come parte del PRECAUZIONI sezione.

Precauzioni per implanon

Le seguenti informazioni si basano sull'esperienza con l'Implanon altri contraccettivi solo progestinici o l'esperienza con i contraccettivi orali combinati (estrogeni più progestinici).

Complicanze dell'inserimento e della rimozione

L'implanon dovrebbe essere inserito subdermicamente in modo che sia palpabile dopo l'inserimento e ciò dovrebbe essere confermato dalla palpazione immediatamente dopo l'inserimento. La mancata inserimento di implanon può passare inosservata a meno che non sia palpata immediatamente dopo l'inserimento. L'incapacità non rilevata nell'inserire l'impianto può portare a una gravidanza non intenzionale. Possono verificarsi complicanze relative a procedure di inserimento e rimozione come le parestesie del dolore che sanguino cicatrici o infezioni dell'ematoma. Occasionalmente nell'uso del marketing gli inserimenti di impianti non sono riusciti perché l'impianto è caduto dall'ago o è rimasto nell'ago durante l'inserimento.

Se l'implanon viene inserito profondamente (intramuscolare o nella fascia) lesioni neurali o vascolari possono verificarsi. Per ridurre il rischio di lesioni neurali o vascolari, deve essere inserito sul lato interno della parte superiore del braccio non dominante di circa 8-10 cm (3-4 pollici) sopra l'epicondilo mediale dell'omero. L'implanon dovrebbe essere inserito subdermicamente appena sotto la pelle evitando il solco (scanalatura) tra i muscoli bicipiti e tricipiti e i grandi vasi sanguigni e i nervi che si trovano lì nel fascio neurovascolare più profondo nei tessuti sottocutanei. Inserzioni profonde di implanone sono stati associati alla migrazione della parastesia (a causa della lesione neurale) dell'impianto (a causa dell'inserimento intramuscolare o fasciale) e dell'inserimento intravascolare. Se l'infezione si sviluppa nel sito di inserzione inizia un trattamento adeguato. Se l'infezione persiste, l'impianto deve essere rimosso. Inserzioni o infezioni incomplete possono portare all'espulsione.

La rimozione dell'impianto può essere difficile o impossibile se l'impianto non viene inserito correttamente viene inserito troppo profondamente non palpabile racchiuso nel tessuto fibroso o è migrato.

Sono stati segnalati segnalazioni di migrazione dell'impianto all'interno del braccio dal sito di inserimento che può essere correlato a un profondo inserimento. Ci sono stati anche segnalazioni post -marketing di impianti situati all'interno dei vasi del braccio e dell'arteria polmonare che possono essere correlate a inserimenti profondi o inserimento intravascolare. Nei casi in cui l'impianto è migrato alle procedure endovascolari dell'arteria polmonare può essere necessaria per la rimozione.

Se in qualsiasi momento l'impianto non può essere palpato, deve essere localizzato e si consiglia la rimozione.

La chirurgia esplorativa senza conoscenza della posizione esatta dell'impianto è fortemente scoraggiata. La rimozione di impianti profondamente inseriti dovrebbe essere condotta con cautela al fine di prevenire lesioni a strutture neurali o vascolari più profonde nel braccio ed essere eseguite da operatori sanitari che hanno familiarità con l'anatomia del braccio. Se l'impianto si trova nei fornitori di assistenza sanitaria toracica che hanno familiarità con l'anatomia del torace. La mancata rimuovere l'impianto può comportare effetti continui di etonogestrel come la gravidanza ectopica della fertilità compromessa o la persistenza o la presenza di un evento avverso correlato al farmaco.

Cambiamenti nei modelli di sanguinamento mestruale

Dopo aver avviato l'Implanon, è probabile che le donne avranno un cambiamento rispetto al loro normale modello di sanguinamento mestruale. Questi possono includere cambiamenti nella frequenza di sanguinamento (assente meno più frequente o continua) intensità (ridotta o aumentata) o durata. Negli studi clinici i modelli di sanguinamento variavano da amenorrea (1 su 5 donne) a sanguinamento frequente e/o prolungato (1 su 5 donne). Il modello di sanguinamento sperimentato durante i primi tre mesi di uso di implanon è ampiamente predittivo del futuro modello di sanguinamento per molte donne. Le donne dovrebbero essere consigliate in merito ai cambiamenti del modello di sanguinamento che possono sperimentare in modo da sapere cosa aspettarsi. Il sanguinamento anormale dovrebbe essere valutato secondo necessità per escludere le condizioni patologiche o la gravidanza.

Negli studi clinici sui rapporti di Implanon sui cambiamenti nel modello di sanguinamento erano il motivo più comune per fermare il trattamento (NULL,1%). Il sanguinamento irregolare (NULL,8%) era il motivo più comune per cui le donne hanno interrotto il trattamento mentre l'amenorrea (NULL,3%) è stata citata meno frequentemente. In questi studi le donne avevano una media di 17,7 giorni di sanguinamento o avvistamento ogni 90 giorni (in base a 3315 intervalli di 90 giorni registrati da 780 pazienti). Le percentuali di pazienti con 0 1-7 8-21 o> 21 giorni di spotting o sanguinamento per un intervallo di 90 giorni mentre si utilizzano l'impianto implanone sono mostrate nella Tabella 1.

Tabella 1: percentuali di pazienti con 0 1 - 7 8 - 21 o> 21 giorni di spotting o sanguinamento per un intervallo di 90 giorni durante l'utilizzo di Implanon

Giorni totali di avvistamento o sanguinamento Percentuale di pazienti
Giorni di trattamento 91-180
(N = 745)
Giorni di trattamento 271-360
(N = 657)
Giorni di trattamento 631-720
(N = 547)
0 giorni 19% 24% 17%
1-7 giorni 15% 13% 12%
8-21 giorni 30% 30% 37%
> 21 giorni 35% 33% 35%

I modelli di sanguinamento osservati con l'uso di implanon per un massimo di 2 anni e la proporzione di intervalli di 90 giorni con questi schemi di sanguinamento sono riassunti nella Tabella 2.

Tabella 2: modelli di sanguinamento che utilizzano Implanon durante i primi 2 anni di utilizzo*

Schemi di sanguinamento Definizioni % †
Infrequente Meno di tre episodi di sanguinamento e/o avvistamento in 90 giorni (escluso l'amenorrea) 33.6
Amenorrea Nessun sanguinamento e/o avvistamento in 90 giorni 22.2
Prolungato Qualsiasi episodio sanguinante e/o spotting che dura più di 14 giorni in 90 giorni 17.7
Frequente Più di 5 episodi di sanguinamento e/o avvistamento in 90 giorni 6.7
*Basato su 3315 periodi di registrazione della durata di 90 giorni in 780 donne che escludono i primi 90 giorni dopo l'inserimento dell'impianto
†% = percentuale di intervalli di 90 giorni con questo modello

In caso di sanguinamento vaginale anormale persistente o ricorrente non diagnosticato, dovrebbero essere condotte misure appropriate appropriate per escludere la malignità.

Gravidanze ectopiche

Come per tutti i prodotti contraccettivi solo progestinici, essere attenti alla possibilità di una gravidanza ectopica tra le donne che usano l'implanone che rimangono incinta o si lamentano del dolore addominale inferiore. Sebbene le gravidanze ectopiche siano rare tra le donne che usano l'implanon una gravidanza che si verificano in una donna che usa l'implanon può avere maggiori probabilità di essere ectopica rispetto a una gravidanza che si verifica in una donna che usa contraccezione.

Trombotico e altri eventi vascolari

L'uso di contraccettivi ormonali combinati (progestinico più estrogeni) aumenta il rischio di eventi vascolari, inclusi eventi arteriosi (colpi e infarzioni miocardiche) o eventi trombotici venosi profondi (tromboembolia venosa profonda trombosi venosa trombosi retinica trombosi e embolia polmonare). Implanon è un contraccettivo solo a progestin. Non è noto se questo aumentato rischio sia applicabile al solo etonogestrel. Si raccomanda tuttavia di valutare attentamente le donne con fattori di rischio noti per aumentare il rischio di tromboembolia venosa e arteriosa.

Ci sono stati segnalazioni post -marketing di gravi eventi trombotici e venosi tromboembolici tra cui casi di emboli polmonari (alcuni fatali) infarto miocardico della trombosi vena profonda e colpi nelle donne che usano l'implanone. L'implanon dovrebbe essere rimosso in caso di trombosi.

A causa del rischio di tromboembolia associata alla gravidanza e immediatamente dopo l'implanon di parto non deve essere utilizzato prima di 21 giorni dopo il parto. Le donne con una storia di disturbi tromboembolici dovrebbero essere informate della possibilità di una ricorrenza.

Valutare immediatamente la trombosi della vena retinica se vi è una perdita inspiegabile della proptosi della visione diplopia papilledema o lesioni vascolari retiniche.

Prendi in considerazione la rimozione dell'impianto di implanone in caso di immobilizzazione a lungo termine a causa di chirurgia o malattia.

Cisti ovariche

Se si verifica lo sviluppo follicolare, l'atresia del follicolo viene talvolta ritardata e il follicolo può continuare a crescere oltre le dimensioni che raggiungerebbe in un ciclo normale. Generalmente questi follicoli allargati scompaiono spontaneamente. In raro occasione può essere richiesto un intervento chirurgico.

Carcinoma del seno e organi riproduttivi

Le donne che attualmente hanno o hanno avuto il cancro al seno non dovrebbero usare la contraccezione ormonale perché il cancro al seno può essere ormonalmente sensibile [vedi Controindicazioni ]. Some studies suggest that the use of combination hormonal contraceptives might increase the incidence of breast cancer; however other studies have not confirmed such findings.

Alcuni studi suggeriscono che l'uso di contraccettivi ormonali combinati è associato ad un aumento del rischio di cancro cervicale o neoplasia intraepiteliale. Tuttavia, vi sono polemiche sulla misura in cui tali risultati sono dovuti a differenze nel comportamento sessuale e in altri fattori.

Le donne con una storia familiare di cancro al seno o che sviluppano noduli al seno dovrebbero essere attentamente monitorate.

Malattia epatica

I disturbi della funzione epatica possono richiedere l'interruzione dell'uso contraccettivo ormonale fino a quando i marcatori della funzione epatica non tornano al normale. Rimuovere l'implanon se si sviluppa l'ittero.

Gli adenomi epatici sono associati all'uso di contraccettivi ormonali combinati. Una stima del rischio attribuibile è di 3,3 casi per 100000 per gli utenti di contraccettivi ormonali combinati. Non è noto se esiste un rischio simile con metodi solo progestinici come Implanon.

Il progestin di Implanon può essere scarsamente metabolizzato nelle donne con compromissione del fegato. L'uso dell'implanon nelle donne con malattia epatica attiva o cancro al fegato è controindicato [vedi Controindicazioni ].

Aumento di peso

Negli studi clinici significano l'aumento di peso negli utenti di implanon statunitensi era di 2,8 sterline dopo 1 anno e 3,7 sterline dopo 2 anni. Quanto dell'aumento di peso era correlato all'impianto non è noto. Negli studi il 2,3% degli utenti ha riportato un aumento di peso come motivo per rimuovere l'impianto.

Pressione sanguigna elevata

Le donne con una storia di malattie correlate all'ipertensione o malattia renale dovrebbero essere scoraggiate dall'uso della contraccezione ormonale. Per le donne con l'ipertensione ben controllata da Implanon può essere preso in considerazione. Le donne con ipertensione usando l'implanon dovrebbero essere attentamente monitorate. Se l'ipertensione sostenuta si sviluppa durante l'uso dell'implanon o se un aumento significativo della pressione sanguigna non risponde adeguatamente all'implanon di terapia antiipertensiva.

Malattia della cistifellea

Gli studi suggeriscono un piccolo aumento del rischio relativo di sviluppare la malattia della cistifellea tra gli utenti contraccettivi ormonali combinati. Non è noto se esiste un rischio simile con metodi solo progestinici come Implanon.

Effetti metabolici dei carboidrati e lipidici

L'uso di implanon può indurre una lieve resistenza all'insulina e piccoli cambiamenti nelle concentrazioni di glucosio di significatività clinica sconosciuta. Monitorare attentamente le donne prediabetiche e diabetiche usando l'Implanon.

Le donne che vengono trattate per iperlipidemia dovrebbero essere seguite da vicino se scelgono di usare l'Implanon. Alcuni progestinici possono elevare i livelli di LDL e possono rendere più difficile il controllo dell'iperlipidemia.

Umore depresso

Le donne con una storia di umore depresso dovrebbero essere osservate attentamente. Si dovrebbe prendere in considerazione la rimozione di implanon nei pazienti che diventano significativamente depressi.

Tornare all'ovulazione

Negli studi clinici con Implanon i livelli di Etonogestrel nel sangue sono diminuiti al di sotto della sensibilità del dosaggio di una settimana dopo la rimozione dell'impianto. Inoltre, sono state osservate gravidanze già dai 7 ai 14 giorni dopo la rimozione. Pertanto una donna dovrebbe ricominciare la contraccezione immediatamente dopo la rimozione dell'impianto se si desidera una protezione contraccettiva continua.

Ritenzione idrica

I contraccettivi ormonali possono causare un certo grado di ritenzione fluida. Dovrebbero essere prescritti con cautela e solo con attento monitoraggio nei pazienti con condizioni che potrebbero essere aggravate dalla ritenzione fluida. Non è noto se l'Implanon provoca ritenzione fluida.

Lenti a contatto

Contatta le lenti che sviluppano cambiamenti visivi o cambiamenti nella tolleranza delle lenti dovrebbero essere valutati da un oftalmologo.

Impianto rotto o piegato in situ

Sono stati segnalati impianti rotti o piegati durante il braccio del paziente. Basato su in vitro I dati quando l'impianto è rotto o piegato, il tasso di rilascio di etonogestrel può essere leggermente aumentato.

Quando viene rimosso un impianto, è importante rimuoverlo nella sua interezza [vedi Dosaggio e amministrazione ].

Monitoraggio

Una donna che sta usando Implanon dovrebbe avere una visita annuale con il suo operatore sanitario per un controllo della pressione sanguigna e per altre assistenza sanitaria indicata.

Interazioni di test di droga-laboratorio

Le concentrazioni di globulina che legano gli ormoni sessuali possono essere ridotti per i primi 6 mesi dopo l'inserimento di Implanon seguito da un recupero graduale. Le concentrazioni di tiroxina possono inizialmente essere leggermente diminuite seguite da un recupero graduale al basale.

Informazioni sulla consulenza del paziente

Vedi etichettatura dei pazienti approvati dalla FDA ( Informazioni sul paziente )

  • Consiglio alle donne la procedura di inserimento e rimozione dell'impianto di implanone. Fornire alla donna una copia dell'etichettatura della paziente e assicurarsi di comprendere le informazioni nell'etichettatura del paziente prima dell'inserimento e della rimozione. Una scheda utente e un modulo di consenso sono inclusi nella confezione. Chiedi alla donna di compilare un modulo di consenso e mantenerlo nei tuoi record. La scheda utente deve essere compilata e somministrata al paziente dopo l'inserimento dell'impianto implanone in modo che abbia una registrazione della posizione dell'impianto nella parte superiore del braccio e quando dovrebbe essere rimossa.
  • Consigli alle donne di contattare immediatamente il proprio operatore sanitario se in qualsiasi momento non sono in grado di palpare l'impianto.
  • Consiglio delle donne che implanon non protegge dalle infezioni da HIV (AIDS) o da altre malattie a trasmissione sessuale.
  • Consiglio alle donne che l'uso di Implanon può essere associato a cambiamenti nei loro normali modelli di sanguinamento mestruale in modo che sappiano cosa aspettarsi.

L'etichettatura dei pazienti approvata dalla FDA

Vedere il pieno Informazioni sul prodotto del paziente per implanon.

Tossicologia non clinica

Mutagenesi della carcinogenesi compromissione della fertilità

In uno studio di cancerogenicità di 24 mesi nei ratti con impianti subdermici che rilasciano 10 e 20 mcg di etonogestrel al giorno (pari a circa 1,8-3,6 volte l'esposizione sistemica stazionaria nelle donne che usa implanone) non è stata osservata un potenziale carcinogeno correlato al farmaco. EtonogEStrel non era genotossico nel in vitro Test di mutazione inversa di Ames/Salmonella Il test di aberrazione cromosomica nelle cellule di ovaio del criceto cinese o nelle in vivo Test del micronucleo del topo. La fertilità è tornata dopo il ritiro dal trattamento.

Utilizzare in popolazioni specifiche

Gravidanza

Imphanon non è indicato per l'uso durante la gravidanza [vedi Controindicazioni ].

Studi di teratologia sono stati condotti in ratti e conigli usando somministrazione orale fino a 390 e 790 volte la dose di implanone umano (basato sulla superficie corporea) e non ha rivelato alcuna evidenza di danno fetale dovuto all'esposizione all'Etonogestrel.

Gli studi non hanno rivelato un aumentato rischio di difetti alla nascita nelle donne che hanno usato contraccettivi orali combinati prima della gravidanza o durante la gravidanza precoce. Non ci sono prove che il rischio associato a implanon sia diverso da quello dei contraccettivi orali combinati.

L'implanon deve essere rimosso se si mantiene una gravidanza.

Madri infermieristiche

Sulla base di dati clinici limitati, l'Implanon può essere utilizzato durante l'allattamento al seno dopo la quarta settimana postpartum. L'uso di Implanon prima della quarta settimana postpartum non è stato studiato. Piccole quantità di etonogestrel sono escrete nel latte materno. Durante i primi mesi successivi all'inserzione di Implanon quando i livelli ematici materni di etonogestrel sono più alti circa 100 ng di etonogestrel possono essere ingeriti dal bambino al giorno in base a un'ingestione di latte giornaliera media di 658 ml. Sulla base dell'ingestione giornaliera di latte di 150 ml/kg, la dose media di etonogestrel neonati giornalieri un mese dopo l'inserimento di implanon è circa il 2,2% della dose giornaliera materna adeguata al peso o circa lo 0,2% della dose giornaliera materna assoluta stimata. La salute dei neonati allattata al seno le cui madri hanno iniziato a usare l'Implanon durante la quarta all'ottava settimana dopo il parto (n = 38) è stata valutata in uno studio comparativo con neonati di madri usando uno IUD non ormonale (n = 33). Sono stati allattati al seno per una durata media di 14 mesi e seguiti fino a 36 mesi di età. Non sono stati osservati effetti significativi e non sono state osservate differenze tra i gruppi sullo sviluppo fisico e psicomotorio di questi bambini. Non sono state rilevate differenze tra i gruppi nella produzione o la qualità del latte materno.

Gli operatori sanitari dovrebbero discutere sia le opzioni contraccettive ormonali che non ormonali poiché gli steroidi potrebbero non essere la scelta iniziale per questi pazienti.

Uso pediatrico

La sicurezza e l'efficacia di Implanon sono state stabilite nelle donne in età riproduttiva. La sicurezza e l'efficacia di Implanon dovrebbero essere le stesse per gli adolescenti postpuberali. Tuttavia, non sono stati condotti studi clinici in donne di età inferiore ai 18 anni. L'uso di questo prodotto prima del menarca non è indicato.

Uso geriatrico

Questo prodotto non è stato studiato in donne di età superiore ai 65 anni e non è indicato in questa popolazione.

Compromissione epatica

Non sono stati condotti studi per valutare l'effetto della malattia epatica sulla disposizione di Implanon. L'uso dell'implanon nelle donne con malattia epatica attiva è controindicato [vedi Controindicazioni ].

Compromissione renale

Non sono stati condotti studi per valutare l'effetto della malattia renale sulla disposizione dell'implanone.

Donne in sovrappeso

L'efficacia dell'implanone nelle donne che pesava oltre il 130% del loro peso corporeo ideale non è stata definita perché tali donne non sono state studiate negli studi clinici. Le concentrazioni sieriche di etonogestrel sono inversamente correlate al peso corporeo e diminuiscono con il tempo dopo l'inserimento dell'impianto. È quindi possibile che l'Implanon possa essere meno efficace nelle donne in sovrappeso, in particolare in presenza di altri fattori che riducono le concentrazioni sieriche di etonogestrel come l'uso concomitante di induttori di enzimi epatici.

Informazioni per overdose per implanon

Il sovradosaggio può derivare se viene inserito più di 1 impianto. In caso di sospetto sovradosaggio, l'impianto deve essere rimosso.

Controindicazioni per Implanon

Implanon non dovrebbe essere usato nelle donne che hanno

  • Gravidanza conosciuta o sospetta
  • Storia attuale o passata di trombosi o disturbi tromboembolici
  • Tumori epatici Benigna o maligna o attivo Malattia epatica
  • Sanguinamento genitale anormale non diagnosticato
  • Storia personale di carcinoma mammario noto o sospetto o altro carcinoma sensibile al progestinico ora o in passato
  • Reazione allergica a uno qualsiasi dei componenti di implanon [vedi Reazioni avverse ]

Farmacologia clinica for Implanon

Meccanismo d'azione

L'effetto contraccettivo del nexplanon si ottiene mediante soppressione dell'ovulazione aumentata la viscosità del muco cervicale e alterazioni nell'endometrio.

Farmacodinamica

Le relazioni di risposta all'esposizione di Nexplanon sono sconosciute.

Farmacocinetica

Assorbimento

Dopo l'inserimento subdermico dell'impianto di Etonogestrel, EtonogStrel viene rilasciato nella circolazione ed è circa il 100% biodisponibile.

Reazione allergica all'iniezione di Depo Medrol

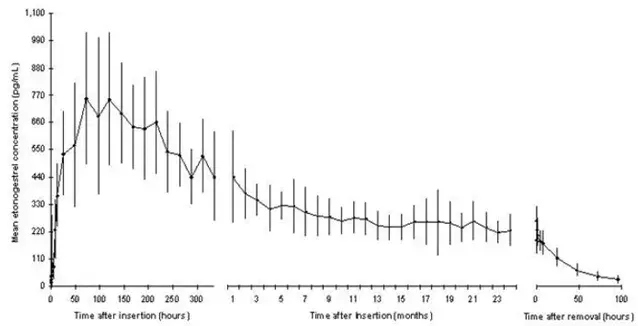
In uno studio clinico di tre anni Nexplanon e l'impianto di etonogestrel non radiopaque (Implanon) hanno prodotto un'esposizione sistemica comparabile all'Etonogestrel. Per il nexplanon le concentrazioni di etonogestrel medi (± SD) massimo erano 1200 (± 604) pg/ml e sono state raggiunte entro le prime due settimane dopo l'inserimento (n = 50). La concentrazione sierica di etonogestrel media (± SD) è diminuita gradualmente nel tempo diminuendo a 202 (± 55) pg/ml a 12 mesi (n = 41) 164 (± 58) pg/ml a 24 mesi (n = 37) e 138 (± 43) pg/ml a 36 mesi (n = 32). Per l'impianto di etonogestrel non radiopaque (implanone) la media (± DS) le concentrazioni sieriche massime di etonogestrel erano 1145 (± 577) pg/ml e sono state raggiunte entro le prime due settimane dopo l'inserimento (n = 53). La concentrazione sierica di etonogestrel media (± SD) è diminuita gradualmente nel tempo diminuendo a 223 (± 73) pg/ml a 12 mesi (n = 40) 172 (± 77) pg/ml a 24 mesi (n = 32) e 153 (± 52) pg/ml a 36 mesi (n = 30).

Il profilo farmacocinetico di Nexplanon è mostrato nella Figura 21.

Figura 21: profilo sierico di concentrazione sierica medio (± DS) di etonogestrel dopo l'inserimento di nexplanon durante 3 anni di utilizzo

Distribuzione

L'apparente volume di distribuzione in media circa 201 L. Etonogestrel è circa il 32% legato all'ormone sessuale legante la globulina (SHBG) e il 66% legato all'albumina nel sangue.

Metabolismo

I dati in vitro mostrano che l'etonogestrel è metabolizzato nei microsomi epatici dall'isoenzima del citocromo P450 3A4. L'attività biologica dei metaboliti di Etonogestrel non è noto.

Escrezione

L'emivita di eliminazione di Etonogestrel è di circa 25 ore. L'escrezione di etonogestrel e dei suoi metaboliti come steroidi liberi o come coniugati è principalmente nelle urine e in misura minore nelle feci. Dopo la rimozione delle concentrazioni di etonogestrel dell'impianto sono diminuite al di sotto della sensibilità del dosaggio di una settimana.

Studi clinici

Gravidanza

Negli studi clinici fino a 3 anni di durata che hanno coinvolto 923 soggetti di 18-40 anni all'ingresso e 1756 donne-anni di utilizzo con l'impianto etonogestrel non radiopaco (Implanon) le esposizioni totali espresse come equivalenti di 28 giorni dall'anno dello studio erano:

Anno 1: 10866 cicli
Anno 2: 8581 cicli
Anno 3: 3442 cicli

Gli studi clinici hanno escluso le donne che:

  • Pesava oltre il 130% del loro peso corporeo ideale
  • Stavano assumendo cronicamente farmaci che inducono enzimi epatici

Nel sottogruppo di donne di età compresa tra 18 e 35 anni alla voce 6 gravidanze durante il 20648 cicli di utilizzo. Due gravidanze si sono verificate in ciascuno degli anni 1 2 e 3. È probabile che ogni concezione si sia verificata poco prima o entro 2 settimane dalla rimozione dell'impianto etonogestrel non radiopaque. Con queste 6 gravidanze l'indice cumulativo perla era di 0,38 gravidanze per 100 donne di utilizzo.

Tornare all'ovulazione

Negli studi clinici con l'impianto di etonogestrel non radiopaque (Implanon) i livelli di etonogestrel nel sangue sono diminuiti al di sotto della sensibilità del test di una settimana dopo la rimozione dell'impianto. Inoltre, sono state osservate gravidanze già dai 7 ai 14 giorni dopo la rimozione. Pertanto una donna dovrebbe ricominciare la contraccezione immediatamente dopo la rimozione dell'impianto se si desidera una protezione contraccettiva continua.

Caratteristiche di inserimento e rimozione dell'impianto

Su 301 inserimenti dell'impianto di Nexplanon in uno studio clinico il tempo medio di inserimento (dalla rimozione del limite di protezione dell'applicatore fino a quando la retrazione dell'ago dal braccio) era di 27,9 ± 29,3 secondi. Dopo l'inserimento di 300 su 301 (NULL,7%) gli impianti Nexplanon erano palpabili. Il singolo impianto non apalpabile non è stato inserito in base alle istruzioni.

Per 112 su 114 (NULL,2%) soggetti in 2 studi clinici per i quali erano disponibili dati di inserimento e rimozione che gli impianti nexplanon erano chiaramente visibili con l'uso di raggi X bidimensionali dopo l'inserimento. I due impianti che non erano chiaramente visibili dopo l'inserimento erano chiaramente visibili con la radiografia bidimensionale prima della rimozione.

Informazioni sul paziente per implanon

Implanon®
(impianto etonogestrel) Uso subdermico

Implanon® does not protect against HIV infezione (the virus that causes AIDS) or other sexually trans mitted diseases. Leggi attentamente questo volantino delle informazioni del paziente prima di decidere se l'implanon è giusto per te. Queste informazioni non prendono il posto di parlare con il tuo operatore sanitario. Se hai domande su Implanon, chiedi al tuo operatore sanitario.

Cos'è l'Imphanon?

Implanon è un impianto di controllo delle nascite a rilascio di ormoni per l'uso da parte delle donne per prevenire la gravidanza fino a 3 anni. L'impianto è un'asta di plastica flessibile delle dimensioni di un matchstick che contiene un ormone progestinico chiamato etonogestrel. Il tuo operatore sanitario inserirà l'impianto proprio sotto la pelle del lato interno della parte superiore del braccio. È possibile utilizzare un singolo impianto di implanone per un massimo di 3 anni. Imphanon non contiene estrogeni.

IMPLANON® (etonogestrel implant)Figure Illustration

E se avessi bisogno del controllo delle nascite per più di 3 anni?

L'impianto implanone deve essere rimosso dopo 3 anni. Il tuo operatore sanitario può inserire un nuovo impianto sotto la pelle dopo aver eliminato quello vecchio se si sceglie di continuare a utilizzare l'Implanon per il controllo delle nascite.

Cosa succede se cambio idea sul controllo delle nascite e voglio smettere di usare Implanon prima di 3 anni?

Il tuo operatore sanitario può rimuovere l'impianto in qualsiasi momento. Potresti rimanere incinta già nella prima settimana dopo la rimozione dell'impianto. Se non si desidera rimanere incinta dopo che il tuo operatore sanitario rimuove l'impianto implanone, dovresti iniziare subito un altro metodo di controllo delle nascite.

Come funziona l'Imphanon?

Implanon previene la gravidanza in diversi modi. Il modo più importante è fermare il rilascio di un uovo dalla tua ovaio. Implanon addensa anche il muco nella cervice e questo cambiamento può impedire allo sperma di raggiungere l'uovo. Implanon cambia anche il rivestimento del tuo utero.

Quanto funziona l'Implanon?

Quando l'impianto di Implanon viene posizionato correttamente, la possibilità di rimanere incinta è molto bassa (meno di 1 gravidanza per 100 donne che usano l'Implanon per 1 anno). Non è noto se l'imlaio è altrettanto efficace nelle donne molto in sovrappeso perché gli studi non includevano molte donne in sovrappeso.

Il seguente grafico mostra la possibilità di rimanere incinta per le donne che usano diversi metodi di controllo delle nascite. Ogni casella sul grafico contiene un elenco di metodi di controllo delle nascite che sono simili in efficacia. I metodi più efficaci sono nella parte superiore del grafico. La scatola in fondo al grafico mostra la possibilità di rimanere incinta per le donne che non usano il controllo delle nascite e stanno cercando di rimanere incinta.

Chance of getting pregnant for women who use different methods of birth control - Illustration

Chi non dovrebbe usare l'Implanon?

Non usare implanon se tu

  • Sono incinte o pensano che potresti essere incinta
  • Hanno o hanno avuto gravi coaguli di sangue come coaguli di sangue nelle gambe (trombosi venosa profonda) polmoni (embolia polmonare) occhi (cecità totale o parziale) cuore ( attacco di cuore ) o cervello (ictus)
  • Avere malattie epatiche o un tumore al fegato
  • Avere sanguinamento vaginale inspiegabile
  • Avere il cancro al seno o qualsiasi altro tumore sensibile al progestin (un ormone femminile) ora o in passato
  • Sono allergici a qualsiasi cosa in implanone

Dì al tuo medico se hai o hai avuto una qualsiasi delle condizioni sopra elencate. Il tuo operatore sanitario può suggerire un metodo diverso di controllo delle nascite.

Inoltre, parla con il tuo operatore sanitario sull'uso dell'implanon se tu:

  • Avere il diabete
  • Avere colesterolo alto o trigliceridi
  • Avere mal di testa
  • Avere problemi di cistifellea o reni
  • Avere una storia di umore depresso
  • Avere la pressione alta
  • Avere un allergia ai medicinali intorpiditi (anestetici) o medicinali usati per pulire la pelle (antisettici). Questi medicinali verranno utilizzati quando l'impianto viene inserito o rimosso dal braccio.

Interazione con altre medicine

Come sono le compresse di morfina

Dì al tuo operatore sanitario di tutti i medicinali che assumi, compresi i medicinali di prescrizione e non prescrizione vitamine e integratori a base di erbe. Alcuni medicinali possono rendere l'implanon meno efficace, compreso:

  • barbiturici
  • bosentan
  • Carbamazepina
  • felbamato
  • griseofulvin
  • oxcarbazepina
  • phable
  • rifampin
  • L'erba di San Giovanni
  • topiramato
  • HIV medicines

Chiedi al tuo medico se non sei sicuro che il tuo medicinale sia elencato sopra.

Se ci sono medicine che stai assumendo da molto tempo che rendono l'Implanon meno efficace, racconta al tuo operatore sanitario. Il tuo operatore sanitario può rimuovere l'impianto di Implanon e raccomandare un metodo di controllo delle nascite che può essere utilizzato in modo efficace con questi medicinali.

Quando usi Implanon, racconta a tutti i tuoi operatori sanitari che hai Implanon in atto nel tuo braccio.

Come viene posizionato e rimosso l'impianto di implanone?

Il tuo operatore sanitario posizionerà e rimuoverà l'impianto di implanone in una procedura chirurgica minore nel suo ufficio. L'impianto è posizionato proprio sotto la pelle sul lato interno della parte superiore del braccio.

I tempi di inserimento sono importanti. Il tuo operatore sanitario può:

  • Eseguire un test di gravidanza prima di inserire l'implanon
  • Pianifica l'inserimento in un momento specifico del ciclo mestruale (ad esempio entro i primi giorni del normale sanguinamento mestruale)

Il tuo operatore sanitario coprirà il sito in cui l'implanon è stato collocato con 2 bende. Lasciare la fascia superiore per 24 ore. Mantieni la benda più piccola pulita e in posizione per 3-5 giorni.

Immediatamente dopo che l'impianto di Implanon è stato messo te e il tuo operatore sanitario dovrebbe verificare che l'impianto sia nel braccio dalla sensazione.

Se non si può sentire l'impianto immediatamente dopo l'inserimento, l'impianto potrebbe non essere stato inserito o potrebbe essere stato inserito in profondità. Un inserimento profondo può causare problemi con la localizzazione e la rimozione dell'impianto. Una volta che il professionista sanitario ha individuato la rimozione dell'impianto può essere raccomandata.

Se in qualsiasi momento non riesci a sentire l'impianto di Implanon, contattare immediatamente il proprio operatore sanitario e utilizzare un metodo di controllo delle nascite non ormonale (come i preservativi) fino a quando il tuo operatore sanitario non conferma che l'impianto è in atto. Potrebbe essere necessario test speciali per verificare che l'impianto sia in atto o per aiutare a trovare l'impianto quando è il momento di eliminarlo.

Ti verrà chiesto di rivedere e firmare un modulo di consenso prima di inserire l'impianto di Implanon. Otterrai anche una scheda utente da tenere a casa con le tue cartelle cliniche. Il tuo fornitore di assistenza sanitaria compilerà la scheda utente con la data in cui l'impianto è stato inserito e la data in cui l'impianto deve essere rimossa. Tieni traccia della data in cui l'impianto deve essere rimosso. Pianifica un appuntamento con il proprio medico per rimuovere l'impianto entro o prima della data di rimozione.

Assicurati di avere controlli come consigliato dal tuo medico.

Quali sono gli effetti collaterali più comuni che posso aspettarmi durante l'utilizzo di implanon?

  • Cambiamenti nei modelli di sanguinamento mestruale (periodi mestruali)
    L'effetto collaterale più comune di Implanon è un cambiamento nel normale modello di sanguinamento mestruale. Negli studi su una donna su dieci ha smesso di usare l'impianto a causa di un cambiamento sfavorevole nel loro modello di sanguinamento. Potresti sperimentare un sanguinamento più lungo o più breve durante i periodi o non hai alcun sanguinamento. Il tempo tra i periodi può variare e tra i periodi che si possono anche avere.

Parla immediatamente con il tuo operatore sanitario se:

  • Pensi di poter essere incinta
  • Il tuo sanguinamento mestruale è pesante e prolungato

Oltre ai cambiamenti nei modelli di sanguinamento mestruale Altri frequenti effetti collaterali che hanno fatto smettere di usare l'impianto:

  • Sbalzi d'umore
  • Aumento di peso
  • Mal di testa
  • Acne
  • Umore depresso

Altri effetti collaterali comuni includono:

  • Mal di testa
  • Vaginite (inflammation of the vagina)
  • Aumento di peso
  • Acne
  • Dolore al seno
  • Infezioni virali come mal di gola o sintomi simili all'influenza
  • Dolori di stomaco
  • Doloreful periods
  • Sbalzi d'umore nervosismo or depressed mood
  • Mal di schiena
  • Nausea
  • Vertigini
  • Dolore
  • Dolore at the site of insertion

È stato segnalato che gli impianti si trovano in un vaso sanguigno che include un vaso sanguigno nel polmone.

Questo non è un elenco completo di possibili effetti collaterali. Per ulteriori informazioni chiedi al proprio operatore sanitario consigli su eventuali effetti collaterali che ti riguardano. È possibile segnalare gli effetti collaterali alla FDA al numero 1-800-FDA-1088.

Quali sono i possibili rischi di usare l'Implanon?

  • Problemi con inserimento e rimozione

L'impianto non può essere inserito nel braccio a causa di un inserimento guasto o se l'impianto è caduto dall'ago. Se ciò accade, potresti rimanere incinta. Immediatamente dopo l'inserimento e con l'aiuto del tuo medico dovresti essere in grado di sentire l'impianto sotto la pelle. Se non riesci a sentire l'impianto dirlo al tuo operatore sanitario.

La posizione e la rimozione dell'impianto possono essere difficili o impossibili perché l'impianto non è dove dovrebbe essere. Potrebbero essere necessarie procedure speciali tra cui un intervento chirurgico in ospedale per rimuovere l'impianto. Se l'impianto non viene rimosso, gli effetti di Implanon continueranno per un periodo di tempo più lungo.

Gli impianti sono stati trovati nell'arteria polmonare (un vaso sanguigno nel polmone). Se l'impianto non può essere trovato nel braccio, il tuo professionista sanitario può utilizzare metodi di imaging sul torace. Se l'impianto si trova nella chirurgia toracica.

Altri problemi relativi all'inserimento e alla rimozione sono:

  • Dolore irritation swelling or lividi at the insertion site
  • Cicatrici tra cui una cicatrice spessa chiamata cheloide attorno all'infezione del sito di inserimento
  • Il tessuto cicatriziale può formarsi attorno all'impianto rendendo difficile rimuovere
  • L'impianto può venire fuori da solo. Potresti rimanere incinta se l'impianto esce da solo. Usa un metodo di controllo delle nascite di backup e chiama immediatamente il tuo medico se l'impianto esce.
  • La necessità di un intervento chirurgico in ospedale per rimuovere l'impianto
  • Lesioni ai nervi o ai vasi sanguigni nel braccio
  • L'impianto si interrompe rendendo difficile la rimozione
  • Gravidanza ectopica
    Se rimani incinta durante l'utilizzo dell'implanone, hai maggiori possibilità che la gravidanza sia ectopica (che si verifica al di fuori dell'utero) rispetto alle donne che non usano il controllo delle nascite. Il sanguinamento vaginale insolito o il dolore allo stomaco inferiore (addominale) possono essere un segno di gravidanza ectopica. La gravidanza ectopica è un'emergenza medica che spesso richiede un intervento chirurgico. Le gravidanze ectopiche possono causare grave infertilità del sanguinamento interno e persino la morte. Chiama subito il tuo operatore sanitario se pensi di essere incinta o di avere un dolore inferiore allo stomaco (addominale) inspiegabile.
  • Cisti ovariche
    Le cisti possono svilupparsi sulle ovaie e di solito vanno via senza trattamento, ma a volte è necessario un intervento chirurgico per rimuoverle.
  • Tumore al seno
    Non è noto se l'uso dell'impianto cambia il rischio di una donna per il cancro al seno. Se hai un cancro al seno ora o hai avuto in passato, non usi l'Implanon perché alcuni tumori al seno sono sensibili agli ormoni.
  • Strai coaguli di sangue
    Implanon può aumentare la possibilità di gravi coaguli di sangue soprattutto se si dispone di altri fattori di rischio come il fumo. È possibile morire per un problema causato da un coagulo di sangue come un infarto o un ictus.

Alcuni esempi di gravi coaguli di sangue sono coaguli di sangue in:

  • Gambe (trombosi vena profonda)
  • Polmone (embolia polmonare)
  • Cervello (ictus)
  • Cuore (attacco di cuore)
  • Occhi (cecità totale o parziale)

Il rischio di gravi coaguli di sangue è aumentato nelle donne che fumano. Se fumi e desideri usare l'implanon, dovresti smettere. Il tuo operatore sanitario potrebbe essere in grado di aiutare.

Di 'al tuo operatore sanitario almeno 4 settimane prima se hai un intervento chirurgico o dovrai essere a riposo a letto. Hai maggiori possibilità di ottenere coaguli di sangue durante l'intervento chirurgico o il riposo a letto.

  • Altri rischi
    Alcune donne che usano il controllo delle nascite che contiene ormoni possono ottenere:
    • Ipertensione
    • Problemi della cistifellea
    • Tumori epatici cancerosi o non cancerosi rari
  • Impianto rotto o piegato
    Se ritieni che l'impianto possa essere rotto o piegato mentre sei in braccio contatta il tuo medico.

Quando dovrei chiamare il mio operatore sanitario?

Chiama subito il tuo operatore sanitario se hai:

  • Dolore in your lower leg that does not go away
  • Grave dolore toracico o pesantezza nel torace
  • Sfruttine improvvisa del respiro dolore toracico acuto o sangue tosse
  • Sintomi di una grave reazione allergica come la lingua viso gonfia o la gola; difficoltà a respirare o deglutire
  • Improvviso mal di testa grave a differenza dei soliti mal di testa
  • Debolezza o intorpidimento nella gamba del braccio o difficoltà a parlare
  • Cecità improvvisa parziale o completa
  • Ingialcare la pelle o i bianchi dei tuoi occhi, specialmente con la perdita di stanchezza della febbre di appetito di urina di colore scuro o movimenti intestinali di colore chiaro
  • Grave dolore gonfiore o tenerezza nello stomaco inferiore (addome)
  • Grumo nel seno
  • Problemi che dormono la mancanza di stanchezza energetica o ti senti molto triste
  • Sanguinamento mestruale pesante

E se rimango incinta mentre uso l'Implanon?

Dovresti vedere subito il tuo operatore sanitario se pensi di essere incinta. È importante rimuovere l'impianto e assicurarsi che la gravidanza non sia ectopica (che si verifica fuori dall'utero). Sulla base dell'esperienza con altri contraccettivi ormonali, è probabile che l'Implanon non causerà difetti alla nascita.

Posso usare l'Implanon quando sto allattando?

Se stai allattando al seno tuo figlio, puoi usare l'implanon se sono passate 4 settimane da quando hai avuto il tuo bambino. Una piccola quantità di ormone contenuta nell'implanon passa nel latte materno. La salute dei bambini allattata al seno le cui madri stavano usando l'impianto è stata studiata fino a 3 anni in un piccolo numero di bambini. Non sono stati osservati effetti sulla crescita e lo sviluppo dei bambini. Se stai allattando al seno e desideri utilizzare Implanon Talk con il tuo medico per ulteriori informazioni.

Ulteriori informazioni

Questo opuscolo di informazioni sul paziente contiene informazioni importanti su Implanon. Se desideri più informazioni, parla con il tuo medico. Puoi chiedere al tuo operatore sanitario informazioni su Implanon che è scritto per gli operatori sanitari. Puoi anche chiamare 1-877- Implanon (1-877-467-5266) o visitare www.implanon-usa.com

Prodotto per: Merck Sharp

Implanon®
(impianto etonogestrel) 68 mg solo per uso subdermico

Modulo di consenso del paziente

Capisco l'etichettatura del paziente per implanon. Ho discusso di Implanon con il mio operatore sanitario che ha risposto a tutte le mie domande. Capisco che ci sono benefici e rischi dall'uso di implanon. Capisco che ci sono altri metodi di controllo delle nascite e che ognuno ha i suoi benefici e rischi.

Comprendo anche che questo modulo di consenso del paziente è importante. Capisco che ho bisogno di firmare questo modulo per dimostrare che sto prendendo una decisione informata e attenta di usare l'Implanon e che ho letto e compreso i seguenti punti.

  • Imphanon aiuta a impedirmi di rimanere incinta.
  • Nessun metodo contraccettivo è efficace al 100%, incluso l'implanon.
  • L'implanon è realizzato in un ormone miscelato in un'asta di plastica.
  • È importante che Implanon sia inserito al momento giusto del mio ciclo mestruale.
  • Dopo che l'Imphanon è stato inserito, dovrei verificare che sia in posizione premendo delicatamente la punta delle dita sulla pelle nel braccio dove è stato inserito l'Implanon. Dovrei essere in grado di sentire la piccola asta. L'implanon deve essere rimosso alla fine di 3 anni. L'implanon può essere rimosso prima se voglio.
  • Se ho difficoltà a trovare un operatore sanitario per rimuovere l'Implanon, posso chiamare (877) 467-5266 per aiuto.
  • Imphanon è posto sotto la pelle del mio braccio durante una procedura eseguita nell'ufficio del mio operatore sanitario. C'è un leggero rischio di ottenere una cicatrice o un'infezione da questa procedura.
  • La rimozione è di solito una piccola procedura d'ufficio. Tuttavia la rimozione può essere difficile. Raramente Implanon non può essere trovato quando è il momento di rimuoverlo. Potrebbero essere necessarie procedure speciali tra cui un intervento chirurgico in ospedale. Le rimozioni difficili possono causare dolore e cicatrici e possono causare danni ai nervi e ai vasi sanguigni. Se non è possibile trovare implanon, i suoi effetti possono continuare.
  • La maggior parte delle donne ha cambiamenti nel sanguinamento mestruale durante l'utilizzo di Implanon. Probabilmente avrò anche cambiamenti nel mio sanguinamento mestruale durante l'utilizzo di Implanon. Il mio sanguinamento può essere più leggero irregolare o più pesante o il mio sanguinamento può fermarsi completamente. Se penso di essere incinta, â
  • Comprendo i segnali di avvertimento per i problemi con l'Implanon. Dovrei cercare cure mediche se compaiono segnali di avvertimento.
  • Dovrei dire a tutti i miei operatori sanitari che sto usando Implanon.
  • Devo avere un controllo medico regolarmente e in qualsiasi momento ho problemi.
  • Imphanon non mi protegge dall'infezione da HIV (AIDS) o da qualsiasi altra malattia a trasmissione sessuale.

Dopo aver appreso l'implanon, ho scelto di usare l'Implanon.

_______________________________

(Nome del fornitore di assistenza sanitaria)

_______________________________      _______________

(Firma del paziente)

Testimone da:

La paziente sopra ha firmato questo consenso alla mia presenza dopo averla consigliato e risposto alle sue domande.

_______________________________                     _______________

(Firma del fornitore di assistenza sanitaria)

Ho fornito una traduzione accurata di queste informazioni al paziente la cui firma appare sopra. Ha dichiarato di comprendere le informazioni e ha avuto l'opportunità di rispondere alle sue domande.

_______________________________                     ______________

(Firma del traduttore)