Le Informazioni Presenti Sul Sito Non Costituiscono Consulenza Medica. Non Vendiamo Nulla. L'Accuratezza Della Traduzione Non È Garantita. Disclaimer
Antidiabetici, inibitori SGLT2
Farhiga
Riepilogo della droga
Cos'è farxiga?
Farxiga (dapagliflozin) è un inibitore co-transporter 2 (SGLT2) di sodio-glucosio usato in aggiunta alla dieta e all'esercizio fisico per migliorare il controllo glicemico negli adulti con tipo 2 diabete mellito .
Quali sono gli effetti collaterali di Farxiga?
Farhiga
- orticaria
- Difficoltà a respirare
- gonfiore della lingua o della gola
- ansia
- vescia Dolore
- urina rosa o nuvolosa
- visione sfocata
- brividi
- sudore freddo
- confusione
- pelle fresca o pallida
- Piccola o nessuna urina
- depressione
- Doloreful urination
- vertigini
- battito cardiaco veloce
- Frequente impulso di urinare
- mal di testa
- Aumentata fame e sete
- prurito della vagina o dei genitali
- perdita di appetito
- mal di schiena
- nausea
- incubi
- convulsioni
- dolore alla schiena o laterale
- Shakakess
- discorso confuso
- Spessa scarica vaginale bianca con odore lieve o nullo
- stanchezza insolita
- debolezza
- vomito
- aumento di peso
- Scarico di profumo disgustoso dal pene
- Dolore in the skin around the penis
- Redness prurito o gonfiore del pene
- tosse
- Difficoltà a deglutire
- Accendino
- bocca secca
- svenimento
- Aumento della frequenza cardiaca
- respirazione rapida
- occhi affondati
- sudorazione
- tensione al petto
- pelle rugosa
- febbre
- pelle secca arrossata
- Odore di respiro fruttato
- Dolore tenderness redness or rigonfiamento of the area between the anus E genitals
- dolori di stomaco e
- Perdita di peso inspiegabile
Ottieni subito assistenza medica se hai uno qualsiasi dei sintomi sopra elencati.
Gli effetti collaterali comuni di Farxiga includono:
a cosa è usato Mobic 7.5
- infezioni da lievito della vagina o del pene
- Infezioni del tratto urinario
- Cambiamenti nella minzione (compresa la necessità urgente di urinare più spesso il disagio quando si urina di urinare in quantità maggiori o di notte)
- mal di gola
- naso che cola o soffocante
- mal di schiena
- nausea
- influenza
- stipsi
- elevato colesterolo o grasso nel sangue o
- Dolore in the extremities.
Cerca cure mediche o chiama il 911 contemporaneamente se hai i seguenti gravi effetti collaterali:
- Sintomi di occhiali gravi come la perdita di visione improvvisa del tunnel della visione sfocata Dolore alla visione o gonfiore o vedere aloni attorno alle luci;
- Sintomi cardiaci gravi come battiti cardiaci irregolari o martellanti veloci; svolazzando nel petto; fiato corto; e improvviso vertigini giuria o svenuta;
- Grave mal di testa confusione Il braccio del linguaggio bloccato o la debolezza delle gambe problemi perdite perdita di coordinamento sentendoti instabili muscoli molto rigidi ad alta febbre abbondante sudorazione o tremori.
Questo documento non contiene tutti i possibili effetti collaterali e altri possono verificarsi. Verificare con il tuo medico ulteriori informazioni sugli effetti collaterali.
Dosaggio per farxiga
La dose di partenza raccomandata di Farxiga è di 5 mg una volta al giorno preso al mattino con o senza cibo.
Quali sostanze o integratori di farmaci interagiscono con Farxiga?
Farxiga può interagire con altri farmaci. Dì al medico tutti i farmaci e gli integratori che usi.
Farxiga durante la gravidanza e l'allattamento
Durante la gravidanza il farxiga dovrebbe essere usato solo se prescritto. Non è noto se questo farmaco passi nel latte materno. Consulta il medico prima dell'allattamento al seno.
Ulteriori informazioni
Il nostro centro farmacologico Farxiga (Dapagliflozin) fornisce una visione completa delle informazioni disponibili sui farmaci sui potenziali effetti collaterali durante l'assunzione di questo farmaco.
Informazioni sui farmaci FDA
- Descrizione del farmaco
- Indicazioni
- Dosaggio
- Effetti collaterali
- Interazioni farmacologiche
- Avvertimenti
- Overdose
- Farmacologia clinica
- Guida ai farmaci
Descrizione per farxiga
Dapagliflozin è descritto chimicamente come d-glucitolo 15-anidro-1-1-c- [4-cloro-3-[(4-etossifenil) metil] fenil]-(1S)-composto con (2S) -12-propandiolo idrato (1: 1: 1). La formula empirica è C 21 H 25 Clo 6 • C. 3 H 8 O 2 • H. 2 O e il peso molecolare è 502,98. La formula strutturale è:
|
Farxiga è disponibile come compressa rivestita di film per somministrazione orale contenente l'equivalente di 5 mg di dapagliflozin come propanediolo dapagliflozin o l'equivalente di 10 mg di crogliflozin da cellulosio al cellulosio di cellulosio di cellulosio di cellulosio di cellulosio di cellulosio magnesio stearato. Inoltre, il rivestimento cinematografico contiene i seguenti ingredienti inattivi: talco di glicole polietilenico di biossido di titanio alcolico polivinilico e ossido di ferro giallo.
Usi per farxiga
È indicato Farxiga (dapagliflozin):
- Ridurre il rischio di sostenuta declino dell'EGFR Malattia renale allo stadio terminale Morte cardiovascolare e ricovero in ospedale per insufficienza cardiaca negli adulti con malattia renale cronica a rischio di progressione.
- Ridurre il rischio di ricovero per la morte cardiovascolare per insufficienza cardiaca e visita di insufficienza cardiaca urgente negli adulti con insufficienza cardiaca.
- Per ridurre il rischio di ricovero in ospedale per l'insufficienza cardiaca negli adulti con diabete mellito di tipo 2 e malattie cardiovascolari stabilite o più fattori di rischio cardiovascolare.
- In aggiunta alla dieta e all'esercizio fisico per migliorare il controllo glicemico negli adulti e nei pazienti pediatrici di età pari o superiore a 10 anni con diabete mellito di tipo 2.
Limiti di utilizzo
- Farxiga non è raccomandato per l'uso per migliorare il controllo glicemico nei pazienti con diabete mellito di tipo 1 [vedi Avvertimenti e precauzioni ].
- Farxiga non è raccomandato per l'uso per migliorare il controllo glicemico nei pazienti con diabete mellito di tipo 2 con un EGFR inferiore a 45 ml/min/1,73 m². È probabile che Farxiga sia inefficace in questo contesto in base al suo meccanismo d'azione.
- Farxiga non è raccomandato per il trattamento della malattia renale cronica in pazienti con malattia renale policistica o pazienti che richiedono o con una storia recente di terapia immunosoppressiva per la malattia renale. Non si prevede che Farxiga sia efficace in queste popolazioni.
Dosaggio per farxiga
Test prima dell'inizio di Farxiga
- Valutare la funzione renale prima dell'inizio di farxiga e quindi come indicato clinicamente [vedi Avvertimenti e precauzioni ].
- Valutare lo stato del volume. Nei pazienti con esaurimento del volume correggi questa condizione prima di iniziare il farxiga [vedi Avvertimenti e precauzioni E Utilizzare in popolazioni specifiche ].
Dosaggio raccomandato per il controllo glicemico negli adulti e nei pazienti pediatrici di età pari o superiore a 10 anni con diabete mellito di tipo 2
Negli adulti e nei pazienti pediatrici di età pari o superiore a 10 anni con diabete mellito di tipo 2 il dosaggio iniziale raccomandato di farxiga è 5 mg oralmente una volta al giorno per migliorare il controllo glicemico. Per un ulteriore controllo glicemico, il dosaggio può essere aumentato a 10 mg per via orale una volta al giorno.
Per pazienti adulti e pediatrici con diabete mellito di tipo 2 e compromissione renale:
- Il dosaggio raccomandato per Farxiga in pazienti con EGFR maggiore o uguale a 45 ml/min/1,73 m² è lo stesso del dosaggio raccomandato nei pazienti con funzione renale normale.
- Farxiga non è raccomandato per l'uso per migliorare il controllo glicemico nei pazienti con diabete mellito di tipo 2 con un EGFR inferiore a 45 ml/min/1,73 m². È probabile che Farxiga sia inefficace per migliorare il controllo glicemico in questo contesto in base al suo meccanismo d'azione.
Dosaggio raccomandato per altre indicazioni negli adulti
Il dosaggio raccomandato di farxiga è di 10 mg per via orale una volta al giorno negli adulti per le seguenti indicazioni:
- Ridurre il rischio di decesso di malattie cardiovascolari (CV) e ospedalizzazione cardiovascolare (CV) (CV) per l'insufficienza cardiaca (HHF) per insufficienza cardiaca (HHF).
- Per ridurre il rischio di morte CV HHF e urgente visita di insufficienza cardiaca in pazienti con insufficienza cardiaca.
- Per ridurre il rischio di HHF nei pazienti con diabete mellito di tipo 2 e malattia CV stabilita o fattori di rischio CV multipli.
Per gli adulti con compromissione renale che ricevono farxiga per indicazioni diverse dal controllo glicemico
- Il dosaggio raccomandato di FARXIGA in pazienti con EGFR maggiore o uguale a 25 ml/min/1,73 m² è lo stesso del dosaggio raccomandato nei pazienti con normale funzione renale.
- L'inizio con Farxiga non è raccomandata in pazienti con EGFR inferiore a 25 ml/min/1,73 m².
- Se l'EGFR scende al di sotto di 25 ml/min/1,73 m² mentre si riceve un trattamento con i pazienti Farxiga può continuare a farxiga 10 mg oralmente una volta al giorno per ridurre il rischio di declino EGFR ESKD CV Decesso e HHF.
Interruzione temporanea per la chirurgia
Trattenere Farxiga per almeno 3 giorni, se possibile, prima della grande intervento chirurgico o delle procedure associate al digiuno prolungato. Riprendi farsiga quando il paziente è clinicamente stabile e ha ripreso l'assunzione orale [vedi Avvertimenti e precauzioni E Farmacologia clinica ].
Come fornito
Dosaggio Forms And Strengths
Compresse
- 5 mg di compresse gialle a pellicola rotonda giallo con 5 incise su un lato e 1427 incisi sull'altro lato.
- 10 mg compresse a forma di pellicola a forma di diamante giallo Biconvex con 10 incise su un lato e 1428 incise sull'altro lato.
Farhiga (Dapagliflozin) Le compresse hanno marcature su entrambi i lati e sono disponibili nei punti di forza e nei pacchetti elencati nella Tabella 18. Tabella 18: Presentazioni di compresse Farxiga
Tabella 18: Presentazioni di tavolette Farxiga
| Forza della compressa | Colore/forma del tablet rivestito di film | Marcature di tablet | Dimensione del pacchetto | Codice NDC |
| 5 mg | Biconvex giallo round | 5 inciso su un lato e 1427 inciso dall'altro lato | Bottiglie di 30 | 0310-6205-30 |
| Bottiglie di 90 | 0310-6205-90 | |||
| 10 mg | Biconvex giallo a forma di diamante | 10 inciso su un lato e 1428 inciso dall'altro lato | Bottiglie di 30 | 0310-6210-30 |
| Bottiglie di 90 | 0310-6210-90 | |||
| Pacchetto blister dose dell'unità ospedaliera: cartone contenente 30 compresse (3 schede blister x 10 compresse per carta) | 0310-6210-39 |
Archiviazione e maneggevolezza
Conservare da 20 ° C a 25 ° C (da 68 ° F a 77 ° F); Escursioni consentite tra 15 ° C e 30 ° C (59 ° F e 86 ° F) [vedi A temperatura ambiente controllata da USP ].
Distribuito da: Astrazeneca Pharmaceuticals LP Wilmington de 19850. Revisionato: giugno 2024
Effetti collaterali for Farxiga
Le seguenti importanti reazioni avverse sono descritte di seguito e altrove nell'etichettatura:
- Chetoacidosi diabetica in pazienti con diabete mellito di tipo 1 e altra chetoacidosi [vedi Avvertimenti e precauzioni ]
- Deplezione del volume [vedi Avvertimenti e precauzioni ]
- Urosepsis e pyelonefrite [vedi Avvertimenti e precauzioni ]
- Ipoglicemia con uso concomitante con insulina e secretagoghi di insulina [vedi Avvertimenti e precauzioni ]
- Fascite necrotizzante del perineo (Gangrena di Fournier) [vedi Avvertimenti e precauzioni ]
- Infezioni micotiche genitali [vedi Avvertimenti e precauzioni ]
Esperienza di studi clinici
Poiché gli studi clinici sono condotti in condizioni di reazione avverse ampiamente variabili osservate negli studi clinici di un farmaco non possono essere confrontati direttamente ai tassi negli studi clinici di un altro farmaco e potrebbero non riflettere i tassi osservati nella pratica clinica.
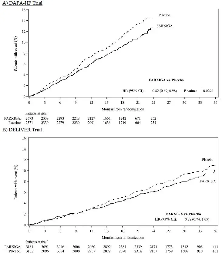
Farhiga has been evaluated in clinical trials in adult E pediatric patients aged 10 years E older with type 2 diabete mellito in adult patients with heart failure E in adult patients with chronic kidney disease. The overall safety profile of Farhiga was consistent across the studied indications. No new adverse reactions were identified in the DAPA-HF E DELIVER heart failure trials or in the DAPACKD trial in patients with chronic kidney disease. Severe hypoglycemia E diabetic ketoacidosis (DKA) were observed only in patients with diabete mellito.
Studi clinici per il controllo glicemico in pazienti adulti con diabete mellito di tipo 2
Pool di 12 studi per adulti controllati con placebo per Farxiga 5 e 10 mg per il controllo glicemico
I dati nella Tabella 1 sono derivati da 12 studi controllati da placebo di controllo glicemico in pazienti adulti con diabete mellito di tipo 2 che vanno da 12 a 24 settimane. In 4 studi Farxiga è stato usato come monoterapia e in 8 studi Farxiga è stato usato come componente aggiuntivo a terapia antidiabetica di fondo o come terapia di combinazione con metformina [vedi Studi clinici ].
Questi dati riflettono l'esposizione di 2338 pazienti adulti a Farxiga con una durata media di esposizione di 21 settimane. I pazienti hanno ricevuto placebo (n = 1393) farxiga 5 mg (n = 1145) o farxiga 10 mg (n = 1193) una volta al giorno. L'età media della popolazione era di 55 anni e il 2% aveva più di 75 anni. Il cinquanta per cento (50%) della popolazione era maschio; L'81% era bianco il 14% era asiatico e il 3% era nero o afroamericano. Al basale la popolazione aveva il diabete per una media di 6 anni aveva un'emoglobina media A1C (HbA1c) dell'8,3% e il 21% aveva stabilito complicanze microvascolari del diabete. La funzione renale al basale era normale o lievemente compromessa nel 92% dei pazienti e moderatamente compromessa nell'8% dei pazienti (EGFR medio 86 ml/min/1,73 m²).
La tabella 1 mostra reazioni avverse comuni negli adulti associati all'uso di farxiga. Queste reazioni avverse non erano presenti al basale si sono verificate più comunemente su Farxiga che sul placebo e si sono verificate in almeno il 2% dei pazienti trattati con Farxiga 5 mg o Farxiga 10 mg.
Tabella 1: reazioni avverse negli studi controllati con placebo di controllo glicemico riportati in ≥2% degli adulti trattati con farxiga
| Reazione avversa | % dei pazienti | ||
| Pool di 12 prove controllate da placebo | |||
| Placebo N = 1393 | Farhiga 5 mg N = 1145 | Farhiga 10 mg N = 1193 | |
| Infezioni micotiche genitali femminili* | 1.5 | 8.4 | 6.9 |
| Rinofaringngite | 6.2 | 6.6 | 6.3 |
| Infezioni del tratto urinario † | 3.7 | 5.7 | 4.3 |
| Mal di schiena | 3.2 | 3.1 | 4.2 |
| Aumento della minzione ‡ | 1.7 | 2.9 | 3.8 |
| Infezioni micotiche genitali maschili§ | 0.3 | 2.8 | 2.7 |
| Nausea | 2.4 | 2.8 | 2.5 |
| Influenza | 2.3 | 2.7 | 2.3 |
| Dislipidemia | 1.5 | 2.1 | 2.5 |
| Stipsi | 1.5 | 2.2 | 1.9 |
| Disagio per la minzione | 0.7 | 1.6 | 2.1 |
| Dolore all'estremità | 1.4 | 2.0 | 1.7 |
| * Genital mycotic infections include the following adverse reactions listed in order of frequency reported for females: vulvovaginal mycotic infection vaginal infection vulvovaginal candidiasis vulvovaginitis genital infection genital candidiasis fungal genital infection vulvitis genitourinary tract infection vulval abscess and vaginitis bacterial. (N per le femmine: placebo = 677 farxiga 5 mg = 581 farxiga 10 mg = 598). † Le infezioni del tratto urinario includono le seguenti reazioni avverse elencate in ordine di frequenza riportate: cistite di infezione del tratto urinario Escherichia Infezione del tratto urinario Infezione del tratto genitourinario Pyelonefrite Trigonite Infezione renale e prostatite. ‡ L'aumento della minzione include le seguenti reazioni avverse elencate in ordine di frequenza riportate: Pollakiuria poliuria e produzione di urina sono aumentati. § Le infezioni micotiche genitali comprendono le seguenti reazioni avverse elencate in ordine di frequenza riportate per i maschi: infezione genitale fungina di Balanite Balanite Candida Candidiasi Genidiasi Infezione genitale Genile Infezione penale Male Balanopostite Balanopostite Infezione genitale infettiva e postite. (N per maschi: placebo = 716 farxiga 5 mg = 564 farxiga 10 mg = 595). |
Pool di 13 studi per adulti controllati con placebo per farxiga 10 mg per il controllo glicemico
Farhiga 10 mg was also evaluated in a larger glycemic control placebo-controlled trial pool in adult patients with type 2 diabete mellito . Questo pool ha combinato 13 studi controllati con placebo tra cui 3 studi di monoterapia 9 componenti aggiuntivi a studi di terapia antidiabetica di fondo e una combinazione iniziale con studio di metformina. In questi 13 studi 2360 pazienti sono stati trattati una volta al giorno con Farxiga 10 mg per una durata media di esposizione di 22 settimane. L'età media della popolazione era di 59 anni e il 4% aveva più di 75 anni. Il cinquantotto per cento (58%) della popolazione era maschio; L'84% era bianco il 9% era asiatico e il 3% era nero o afroamericano. Al basale la popolazione aveva il diabete per una media di 9 anni aveva un HbA1c medio dell'8,2% e il 30% aveva stabilito malattie microvascolari. La funzione renale al basale era normale o lievemente compromessa nell'88% dei pazienti e moderatamente compromessa nell'11% dei pazienti (EGFR medio 82 ml/min/1,73 m²).
Altre reazioni avverse nei pazienti adulti con diabete mellito di tipo 2
Deplezione del volume
Farhiga causes an osmotic diuresis which may lead to a reduction in intravascular volume. Adverse reactions related to volume depletion (including reports of dehydration hypovolemia orthostatic hypotension or hypotension) in adult patients with type 2 diabetes mellitus for the 12-trial E 13-trial short-term placebo-controlled pools E for the DECLARE trial are shown in Table 2 [see Avvertimenti e precauzioni ].
Tabella 2: reazioni avverse relative all'esaurimento del volume * negli studi clinici negli adulti con diabete mellito di tipo 2 con farxiga
| Pool di 12 prove controllate da placebo | Pool di 13 prove controllate con placebo | Dichiarare processo | |||||
| Placebo | Farhiga 5 mg | Farhiga 10 mg | Placebo | Farhiga 10 mg | Placebo | Farhiga 10 mg | |
| Popolazione complessiva N (%) | N = 1393 5 (0.4%) | N = 1145 7 (0.6%) | N = 1193 9 (0.8%) | N = 2295 17 (NULL,7%) | N = 2360 27 (NULL,1%) | N = 8569 207 (NULL,4%) | N = 8574 213 (NULL,5%) |
| Sottogruppo paziente n (%) | |||||||
| Pazienti in ciclo diuretici | n = 55 1 (NULL,8%) | n = 40 0 | n = 31 3 (NULL,7%) | n = 267 4 (NULL,5%) | n = 236 6 (NULL,5%) | n = 934 57 (NULL,1%) | n = 866 57 (NULL,6%) |
| Pazienti con compromissione renale moderata con EGFR ≥30 e <60 mL/min/1.73 m² | n = 107 2 (NULL,9%) | n = 107 1 (NULL,9%) | n = 89 1 (NULL,1%) | n = 268 4 (NULL,5%) | n = 265 5 (NULL,9%) | n = 658 30 (NULL,6%) | n = 604 35 (NULL,8%) |
| Pazienti di età ≥65 anni | n = 276 1 (NULL,4%) | n = 216 1 (NULL,5%) | n = 204 3 (NULL,5%) | n = 711 6 (NULL,8%) | n = 665 11 (NULL,7%) | n = 3950 121 (NULL,1%) | n = 3948 117 (NULL,0%) |
| * L'esaurimento del volume include segnalazioni di ipovolemia di disidratazione ipotensione ortostatica o ipotensione. |
Ipoglicemia
La frequenza dell'ipoglicemia mediante sperimentazione su pazienti adulti con diabete mellito di tipo 2 [vedi Studi clinici ] è mostrato nella Tabella 3. L'ipoglicemia era più frequente quando Farxiga veniva aggiunta a sulfonilurea o all'insulina [vedi Avvertimenti e precauzioni ].
Tabella 3: incidenza di ipoglicemia grave* e ipoglicemia con glucosio <54 mg/dL† in Controlled Glycemic Control Clinical Trials in Adults with Type 2 Diabetes Mellitus
| Placebo/Active Control | Farhiga 5 mg | Farhiga 10 mg | |
| Monoterapia (24 settimane) | N = 75 | N = 64 | N = 70 |
| Grave [N (%)] | 0 | 0 | 0 |
| Glucosio <54 mg/dL [n (%)] | 0 | 0 | 0 |
| Componente aggiuntivo a metformina (24 settimane) | N = 137 | N = 137 | N = 135 |
| Grave [N (%)] | 0 | 0 | 0 |
| Glucosio <54 mg/dL [n (%)] | 0 | 0 | 0 |
| Componente aggiuntivo a glimepiride (24 settimane) | N = 146 | N = 145 | N = 151 |
| Grave [N (%)] | 0 | 0 | 0 |
| Glucosio <54 mg/dL [n (%)] | 1 (NULL,7) | 3 (2.1) | 5 (3.3) |
| AGGIUNDO AL METFORMINA E A SULFONILUREA (24 settimane) | N = 109 | - | N = 109 |
| Grave [N (%)] | 0 | - | 0 |
| Glucosio <54 mg/dL [n (%)] | 3 (2.8) | - | 7 (6.4) |
| Componente aggiuntivo a pioglitazone (24 settimane) | N = 139 | N = 141 | N = 140 |
| Grave [N (%)] | 0 | 0 | 0 |
| Glucosio <54 mg/dL [n (%)] | 0 | 1 (NULL,7) | 0 |
| AGGIORNO ALL'Inibitore DPP4 (24 settimane) | N = 226 | - | N = 225 |
| Grave [N (%)] | 0 | - | 1 (NULL,4) |
| Glucosio <54 mg/dL [n (%)] | 1 (NULL,4) | - | 1 (NULL,4) |
| Componente aggiuntivo all'insulina con o senza altri OADSI (24 settimane) | N = 197 | N = 212 | N = 196 |
| Grave [N (%)] | 1 (NULL,5) | 2 (NULL,9) | 2 (1.0) |
| Glucosio <54 mg/dL [n (%)] | 43 (21.8) | 55 (25.9) | 45 (23.0) |
| * Gli episodi gravi di ipoglicemia sono stati definiti come episodi di grave compromissione della coscienza o del comportamento che richiede assistenza esterna (di terze parti) e con un rapido recupero dopo l'intervento indipendentemente dal livello di glucosio. † Episodi di ipoglicemia con glucosio <54 mg/dL (3 mmol/L) were defined as reported episodes of hypoglycemia meeting the glucose criteria that did not also qualify as a severe episode. ‡ OAD = terapia antidiabetica orale. |
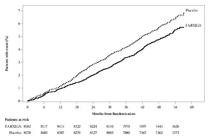
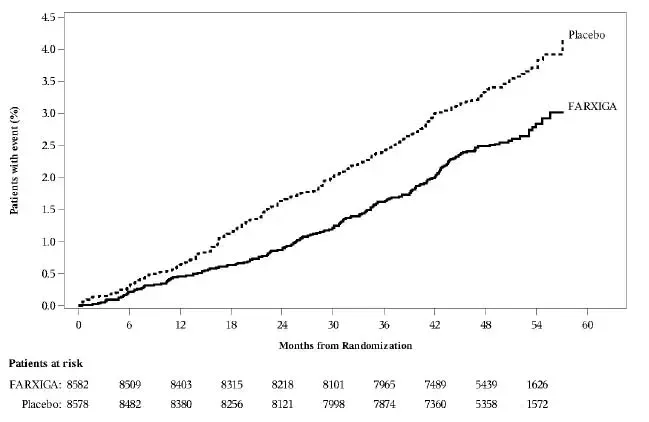
Nella prova di dichiarazione [vedi Studi clinici ] Eventi gravi di ipoglicemia sono stati riportati in 58 (NULL,7%) su 8574 pazienti adulti trattati con Farxiga e 83 (NULL,0%) su 8569 pazienti adulti trattati con placebo.
Infezioni micotiche genitali
Negli studi di controllo glicemico sugli adulti le infezioni micotiche genitali erano più frequenti con il trattamento Farxiga. Le infezioni micotiche genitali sono state riportate nello 0,9% dei pazienti su placebo del 5,7% su Farxiga 5 mg e 4,8% su Farxiga 10 mg nel pool controllato con placebo a 12 trial. L'interruzione dello studio a causa dell'infezione genitale si è verificata nello 0% dei pazienti trattati con placebo e lo 0,2% dei pazienti trattati con Farxiga 10 mg. Le infezioni sono state riportate più frequentemente nelle femmine che nei maschi (vedi Tabella 1). Le infezioni micotiche genitali più frequentemente riportate erano le infezioni micotiche vulvovaginali nelle femmine e nella balanite nei maschi. I pazienti con una storia di infezioni micotiche genitali avevano maggiori probabilità di avere un'infezione micotica genitale durante lo studio rispetto a quelli senza una storia precedente (NULL,0% 23,1% e 25,0% contro 0,8% 5,9% e 5,0% su placebo Farxiga 5 mg e Farxiga 10 mg rispettivamente). Nella prova di dichiarazione [vedi Studi clinici ] Sono state riportate gravi infezioni micotiche genitali in <0.1% of patients treated with Farhiga E <0.1% of patients treated with placebo. Genital mycotic infections that caused trial drug discontinuation were reported in 0.9% of patients treated with Farhiga E <0.1% of patients treated with placebo.
Reazioni di ipersensibilità
Sono state riportate reazioni di ipersensibilità (ad es. Ipersensibilità dell'angiedema orticaria) con il trattamento di Farxiga. Negli studi di controllo glicemico negli adulti sono state riportate gravi reazioni anafilattiche e gravi reazioni avverse cutanee e angioedema nello 0,2% dei pazienti trattati con comparatore e 0,3% dei pazienti trattati con Farxiga. Se si verificano reazioni di ipersensibilità interrompere l'uso di farxiga; Trattare per standard di cura e monitorare fino a quando i segni e i sintomi non si risolvono.
Chetoacidosi in pazienti con diabete mellito
Nella prova di dichiarazione [vedi Studi clinici ] Gli eventi della chetoacidosi diabetica (DKA) sono stati riportati in 27 su 8574 pazienti adulti nel gruppo trattato con Farxiga e 12 su 8569 pazienti adulti nel gruppo placebo. Gli eventi sono stati distribuiti uniformemente durante il periodo di prova.
Test di laboratorio in pazienti adulti con diabete mellito di tipo 2
Aumenti della creatinina sierica e diminuzioni dell'EGFR
L'inizio degli inibitori di SGLT2, incluso Farxiga, provoca un piccolo aumento della creatinina sierica e una diminuzione dell'EGFR. Questi cambiamenti nella creatinina sierica e nell'EGFR si verificano generalmente entro due settimane dalla terapia iniziale e quindi si stabilizzano indipendentemente dalla funzione renale al basale. I cambiamenti che non si adattano a questo modello dovrebbero richiedere ulteriori valutazioni per escludere la possibilità di lesioni renali acute [vedi Avvertimenti e precauzioni ]. In two trials that included adult patients with type 2 diabete mellito with moderate renal impairment the acute effect on eGFR reversed after treatment discontinuation suggesting acute hemodynamic changes may play a role in the renal function changes observed with Farhiga.
Aumento dell'ematocrito
Nel pool di 13 studi controllati con placebo sugli aumenti di controllo glicemico rispetto al basale nei valori di ematocrito medio sono stati osservati nei pazienti adulti trattati con Farxiga a partire dalla settimana 1 e continuando fino alla settimana 16 quando è stata osservata la differenza media massima rispetto al basale. Alla settimana 24 le variazioni medie rispetto al basale nell'ematocrito erano -0,33% nel gruppo placebo e 2,30% nel gruppo Farxiga da 10 mg. Entro la settimana 24 valori di ematocrito> 55% sono stati riportati nello 0,4% dei pazienti trattati con placebo e l'1,3% dei pazienti trattati con Farxiga 10 mg.
Aumento del colesterolo lipoproteico a bassa densità
Nel pool di 13 studi controllati con placebo sui cambiamenti di controllo glicemico rispetto al basale nei valori lipidici medi in pazienti adulti trattati con Farxiga rispetto ai pazienti trattati con placebo. Le variazioni percentuali medie rispetto al basale alla settimana 24 sono state dello 0,0% contro il 2,5% per il colesterolo totale e -1,0% contro il 2,9% per il colesterolo LDL rispettivamente nei gruppi di placebo e Farxiga da 10 mg. Nella prova di dichiarazione [vedi Studi clinici ] Le variazioni medie rispetto al basale dopo 4 anni erano 0,4 mg/dL contro -4,1 mg/dL per il colesterolo totale e -2,5 mg/dl contro -4,4 mg/dL per colesterolo LDL in trattato di Farxiga e rispettivamente i gruppi placebo.
Diminuzione del bicarbonato sierico
In uno studio sulla terapia concomitante di Farxiga 10 mg con esenatide a rilascio prolungato (su uno sfondo di metformina) negli adulti quattro pazienti (NULL,7%) sulla terapia concomitante avevano un valore di trattamento del bicarbonato sierico inferiore o uguale a 13 MEQ/L rispetto a uno (NULL,4%) nel Farxiga ed esenati-estese di gruppi di rilascio e-esteso [di essa di rilascio e-esteso [di essa di rilascio di rilascio più o meno Avvertimenti e precauzioni ].
Studio clinico in pazienti pediatrici con diabete mellito di tipo 2
Il profilo di sicurezza Farxiga osservato in uno studio clinico controllato con placebo di 26 settimane con un'estensione di 26 settimane in 157 pazienti pediatrici di età pari o superiore a 10 anni con diabete mellito di tipo 2 era simile a quello osservato negli adulti [vedi Studi clinici ].
Esperienza post -marketing
Ulteriori reazioni avverse sono state identificate durante l'uso post-approvazione di Farxiga nei pazienti con diabete mellito. Poiché queste reazioni sono riportate volontariamente da una popolazione di dimensioni incerte, generalmente non è possibile stimare in modo affidabile la loro frequenza o stabilire una relazione causale con l'esposizione ai farmaci.
Infezioni: Fascite necrotizzante del perineo (Gangrene di Fournier) urosepsi e Pyelonephritis
Disturbi del metabolismo e nutrizione: Chetoacidosi
Disturbi renali e urinari: Lesioni renali acuti
Disturbi della pelle e dei tessuti sottocutanei: Eruzione cutanea
Interazioni farmacologiche for Farxiga
Tabella 4: interazioni clinicamente rilevanti con farxiga
| Secretagoghi di insulina o insulina | |
| Impatto clinico | Il rischio di ipoglicemia può essere aumentato quando il farxiga viene usato in concomitanza con insulina o secretagoghi di insulina (ad esempio sulfonilurea) [vedi Avvertimenti e precauzioni ]. |
| Intervento | L'uso concomitante può richiedere dosi più basse di insulina o secretagogo dell'insulina per ridurre il rischio di ipoglicemia. |
| Litio | |
| Impatto clinico | L'uso concomitante di un inibitore SGLT2 con litio può ridurre le concentrazioni sieriche di litio. |
| Intervento | Monitorare la concentrazione sierica di litio più frequentemente durante l'inizio di Farxiga e le variazioni di dosaggio. |
| Test di glucosio uriniero positivo | |
| Impatto clinico | Gli inibitori di SGLT2 aumentano l'escrezione di glucosio urinario e porteranno a test positivi di glucosio nelle urine. |
| Intervento | Il monitoraggio del controllo glicemico con i test di glucosio nelle urine non è raccomandato nei pazienti che assumono inibitori SGLT2. Utilizzare metodi alternativi per monitorare il controllo glicemico. |
| Interferenza con test 15-anidroglucitol (15-Ag) | |
| Impatto clinico | Le misurazioni del 15-AG non sono affidabili nella valutazione del controllo glicemico nei pazienti che assumono inibitori SGLT2. |
| Intervento | Non è raccomandato il monitoraggio del controllo glicemico con test 15-AG. Utilizzare metodi alternativi per monitorare il controllo glicemico. |
Avvertimenti per farxiga
Incluso come parte del PRECAUZIONI sezione.
Precauzioni per farxiga
Chetoacidosi diabetica in pazienti con diabete mellito di tipo 1 e altra chetoacidosi
Nei pazienti con diabete mellito di tipo 1 farxiga aumenta significativamente il rischio di chetoacidosi diabetica un evento pericoloso per la vita oltre il tasso di fondo. Negli studi controllati con placebo su pazienti con diabete mellito di tipo 1, il rischio di chetoacidosi è stato notevolmente aumentato nei pazienti che hanno ricevuto inibitori del cotransporter 2 (SGLT2) di sodio-glucosio rispetto ai pazienti che hanno ricevuto placebo. Farxiga non è indicato per il controllo glicemico nei pazienti con diabete mellito di tipo 1.
Il diabete mellito di tipo 2 e i disturbi pancreatici (ad es. Storia di pancreatite o chirurgia pancreatica) sono anche fattori di rischio per la chetoacidosi. Ci sono stati segnalazioni post -marketing di eventi fatali di chetoacidosi in pazienti con diabete mellito di tipo 2 usando inibitori SGLT2 tra cui Farxiga.
Le condizioni precipitanti per la chetoacidosi diabetica o altra chetoacidosi includono la sotto-insulinizzazione dovuta alla riduzione della dose di insulina o alle dosi di insulina mancate di malattie febbrili acute ridotte l'assunzione calorica di chirurgia della dieta chetogenica Deplezione e abuso di alcol.
I segni e i sintomi sono coerenti con la disidratazione e l'acidosi metabolica grave e includono dolore addominale di vominale nausea generalizzato malessere e mancanza di respiro. I livelli di glucosio nel sangue alla presentazione possono essere inferiori a quelli tipicamente previsti per la chetoacidosi diabetica (ad esempio meno di 250 mg/dL). La chetoacidosi e la glucosuria possono persistere più a lungo di quanto tipicamente previsto. L'escrezione del glucosio urinario persiste per 3 giorni dopo aver interrotto il farxiga [vedi Farmacologia clinica ]; Tuttavia, ci sono stati segnalazioni post -marketing di chetoacidosi e/o glucosuria che durano più di 6 giorni e alcuni fino a 2 settimane dopo l'interruzione degli inibitori di SGLT2.
Prendi in considerazione il monitoraggio del chetone nei pazienti con diabete mellito di tipo 1 e considera il monitoraggio del chetone in altri a rischio di chetoacidosi se indicato dalla situazione clinica. Valutare la chetoacidosi indipendentemente dalla presentazione dei livelli di glucosio nel sangue nei pazienti che presentano segni e sintomi coerenti con acidosi metabolica grave. Se la ketoacidosi è sospettata, interrompere immediatamente il farxiga, valuta e tratta la chetoacidosi se confermata. Monitorare i pazienti per la risoluzione della chetoacidosi prima di riavviare Farxiga.
Trattenere il farxiga se possibile in situazioni cliniche temporanee che potrebbero predisporre i pazienti alla chetoacidosi. Riprendi farsiga quando il paziente è clinicamente stabile e ha ripreso l'assunzione orale [vedi Dosaggio e amministrazione ].
Educare tutti i pazienti sui segni e sui sintomi della chetoacidosi e istruire i pazienti a interrompere il farxiga e consultare immediatamente l'attenzione medica se si verificano segni e sintomi.
Deplezione del volume
Farhiga can cause intravascular volume depletion which may sometimes manifest as symptomatic hypotension or acute transient changes in creatinine. There have been post-marketing reports of acute kidney injury some requiring hospitalization E dialysis in patients with type 2 diabete mellito receiving SGLT2 inhibitors including Farhiga. Patients with impaired renal function (eGFR less than 60 mL/min/1.73 m²) elderly patients or patients on loop diuretics may be at increased risk for volume depletion or hypotension. Before initiating Farhiga in patients with one or more of these characteristics assess volume status E renal function. Monitor for signs E symptoms of hypotension E renal function after initiating therapy.
Urosepsis e pyelonefrite
Le gravi infezioni del tratto urinario tra cui l'urosepsis e la pielonefrite che richiedono il ricovero in ospedale sono state riportate in pazienti che hanno ricevuto inibitori SGLT2 tra cui FARXIGA. Il trattamento con inibitori di SGLT2 aumenta il rischio di infezioni del tratto urinario. Valutare i pazienti per segni e sintomi di infezioni del tratto urinario e trattare prontamente se indicato [vedi Reazioni avverse ].
Ipoglicemia With Concomitant Use With Insulin And Insulin Secretagogues
È noto che l'insulina e l'insulina secretagoghi (ad esempio sulfoniluree) causano ipoglicemia. Farxiga può aumentare il rischio di ipoglicemia quando combinato con insulina o un secretagogo dell'insulina [vedi Reazioni avverse ]. Therefore a lower dose of insulin or insulin secretagogue may be required to minimize the risk of hypoglycemia when these agents are used in combination with Farhiga [see Interazioni farmacologiche ].
Fascite necrotizzante del perineo (Gangrene di Fournier)
Le segnalazioni di fascite necrotizzante del perineo (Gangrene di Fournier) sono state identificate una rara ma grave e grave infezione necrotizzante per la vita che richiede un intervento chirurgico urgente tra cui inibitori SGLT2, incluso Farxiga. I casi sono stati segnalati sia nelle femmine che nei maschi. Seri risultati hanno incluso il ricovero in ospedale a più interventi chirurgici e morte.
I pazienti trattati con Farxiga che presentano dolore o eritema di tenerezza o gonfiore nell'area genitale o perineale insieme alla febbre o al malessere dovrebbero essere valutati per la fascite necrotizzante. Se sospetto di avvio del trattamento immediatamente con antibiotici ad ampio spettro e, se necessario, sbrigliamento chirurgico. Interrompere i farxiga monitorare da vicino i livelli di glucosio nel sangue e fornire un'adeguata terapia alternativa per il controllo glicemico.
Infezioni micotiche genitali
Farhiga increases the risk of genital mycotic infections. Patients with a history of genital mycotic infections were more likely to develop genital mycotic infections [see Reazioni avverse ]. Monitor E treat appropriately.
Informazioni sulla consulenza del paziente
Consiglia al paziente di leggere l'etichettatura del paziente approvato dalla FDA ( Guida ai farmaci ).
Chetoacidosi diabetica in pazienti con diabete mellito di tipo 1 e altra chetoacidosi
Nei pazienti con diabete mellito di tipo 1 li informano che l'uso di Farxiga può aumentare il rischio di chetoacidosi diabetica potenzialmente letale. Per tutti gli altri pazienti li informano che Farxiga può causare chetoacidosi potenzialmente fatale e che il diabete mellito di tipo 2 e i disturbi del pancreas (ad es. Storia di pancreatite o chirurgia pancreatica) sono fattori di rischio.
Educare tutti i pazienti su fattori precipitanti (come la riduzione della dose di insulina o l'infezione da dosi di insulina mancante ha ridotto l'assunzione calorica di chirurgia dietetica chetogenica e la disidratazione e l'abuso di alcol) e i sintomi della chetoacidosi (incluso la stanchezza del dolore addominale nausea). Informare i pazienti che la glicemia può essere normale anche in presenza di chetoacidosi.
Consiglia ai pazienti che potrebbe essere chiesto loro di monitorare i chetoni. Se si verificano i sintomi della chetoacidosi, istruire i pazienti a interrompere immediatamente il farxiga e di consultare immediatamente cure mediche [vedi Avvertimenti e precauzioni ].
Deplezione del volume
Informare i pazienti che l'ipotensione sintomatica può verificarsi con Farxiga e consiglia loro di contattare il proprio operatore sanitario se si verificano tali sintomi [vedi Avvertimenti e precauzioni ]. Inform patients that dehydration may increase the risk for hypotension E to have adequate fluid intake.
Gravi infezioni del tratto urinario
Informare i pazienti del potenziale per le infezioni del tratto urinario che possono essere gravi. Fornire loro informazioni sui sintomi delle infezioni del tratto urinario. Consiglia loro di chiedere consigli medici prontamente se si verificano tali sintomi [vedi Avvertimenti e precauzioni ].
Ipoglicemia With Concomitant Use With Insulin And Insulin Secretagogues
Informare i pazienti che l'incidenza dell'ipoglicemia può aumentare quando il farxiga viene aggiunto a un secretagogo dell'insulina (ad esempio sulfonilurea) e/o insulina. Educare i pazienti sui segni e sui sintomi dell'ipoglicemia [vedi Avvertimenti e precauzioni ].
Ultram ha acetaminofene in esso
Fascite necrotizzante del perineo (Gangrene di Fournier)
Informare i pazienti che le infezioni necrotizzanti del perineo (Gangrene di Fournier) si sono verificate con Farxiga nei pazienti con diabete mellito. Consiglia ai pazienti di consultare tempestivamente cure mediche se sviluppano dolore o arrossamento della tenerezza o gonfiore dei genitali o dell'area dai genitali al retto insieme a una febbre superiore a 100,4 ° F o malese [vedi Avvertimenti e precauzioni ].
Infezioni micotiche genitali In Females (e.g. Vulvovaginitis)
Informare le pazienti femminili che possono verificarsi infezioni da lievito vaginale e fornire loro informazioni sui segni e sui sintomi delle infezioni del lievito vaginale. Consiglia loro di opzioni terapeutiche e quando chiedere consulenza medica [vedi Avvertimenti e precauzioni ].
Infezioni micotiche genitali In Males (e.g. Balanitis)
Informare i pazienti maschi che le infezioni da lievito del pene (ad es. Balanite o balanopostite) possono verificarsi specialmente nei pazienti con una storia precedente. Fornisci loro informazioni sui segni e sui sintomi di Balanite e Balanopostite (eruzione cutanea o arrossamento del glande o prepuzio del pene). Consiglia loro di opzioni terapeutiche e quando chiedere consulenza medica [vedi Avvertimenti e precauzioni ].
Reazioni di ipersensibilità
Informare i pazienti che sono state riportate reazioni di ipersensibilità gravi (ad es. Reazioni anafilattiche e angioedema dell'orticaria) con farxiga. Consiglia ai pazienti di segnalare immediatamente eventuali segni o sintomi che suggeriscono una reazione allergica o l'angiedema e di non assumere più il farmaco fino a quando non hanno consultato i medici di prescrizione.
Gravidanza
Consiglia ai pazienti in gravidanza del potenziale rischio per un feto con trattamento con farxiga. Istruire i pazienti a informare immediatamente il proprio operatore sanitario in caso di gravidanza o pianificare di rimanere incinta [vedi Utilizzare in popolazioni specifiche ].
Lattazione
Consiglia ai pazienti che l'uso di farxiga non è raccomandato durante l'allattamento al seno [vedi Utilizzare in popolazioni specifiche ].
Test di laboratorio
A causa del suo meccanismo d'azione, i pazienti che assumono farxiga saranno positivi al glucosio nelle loro urine.
Dose persa
Se una dose manca, consigli ai pazienti di prenderla non appena viene ricordata a meno che non sia quasi ora per la dose successiva nel qual caso i pazienti dovrebbero saltare la dose mancata e prendere il medicinale al momento regolarmente programmato. Consiglia ai pazienti di non assumere due dosi di farxiga allo stesso tempo.
Tossicologia non clinica
Mutagenesi della carcinogenesi compromissione della fertilità
Dapagliflozin non ha indotto tumori né nei topi né nei ratti a nessuna delle dosi valutate negli studi di cancerogenicità a 2 anni. Le dosi orali nei topi erano costituite da 5 15 e 40 mg/kg/die nei maschi e 2 10 e 20 mg/kg/giorno nelle femmine e le dosi orali nei ratti erano 0,5 2 e 10 mg/kg/giorno per i maschi e le femmine. Le dosi più alte valutate nei topi erano circa 72 volte (maschi) e 105 volte (femmine) la dose clinica di 10 mg al giorno in base all'esposizione AUC. Nei ratti la dose più alta era di circa 131 volte (maschi) e 186 volte (femmine) la dose clinica di 10 mg al giorno in base all'esposizione AUC.
Dapagliflozin era negativo nel test di mutagenicità di Ames ed era positivo in una serie di saggi di clastogenicità in vitro in presenza di attivazione S9 e a concentrazioni superiori o uguali a 100 μg/mL. Dapagliflozin era negativo per la clastogenicità in una serie di studi in vivo che valutano i micronuclei o la riparazione del DNA nei ratti nei multipli di esposizione superiori a 2100 volte la dose clinica.
Non vi era alcun segnale di cancerogenicità o mutagenicità negli studi sugli animali che suggerisce che dapagliflozin non rappresenta un rischio genotossico per l'uomo.
Dapagliflozin non ha avuto effetti sulla fertilità di accoppiamento o sullo sviluppo embrionale precoce nei ratti maschi o femmine trattati a multipli di esposizione inferiore o uguale a 1708 volte e 998 volte la dose umana massima raccomandata rispettivamente nei maschi e nelle femmine.
Utilizzare in popolazioni specifiche
Gravidanza
Riepilogo del rischio
Sulla base di dati sugli animali che mostrano effetti negativi renali non è raccomandato FARXIGA durante il secondo e il terzo trimestri di gravidanza.
I dati limitati con Farxiga nelle donne in gravidanza non sono sufficienti per determinare il rischio associati al farmaco per importanti difetti alla nascita o aborto spontaneo. Ci sono rischi per la madre e il feto associati a diabete scarsamente controllato e insufficienza cardiaca non trattata in gravidanza (vedi Considerazioni cliniche ).
Negli studi sugli animali avversi renali di dilazioni pelviche e tubuli che non erano completamente reversibili sono state osservate nei ratti quando dapagliflozin è stato somministrato durante un periodo di sviluppo renale corrispondente al secondo e terzo trimestri della gravidanza umana a tutte le dosi testate; il più basso dei quali ha fornito un'esposizione 15 volte la dose clinica da 10 mg (vedi Dati ).
Il rischio di fondo stimato di principali difetti alla nascita è del 6 al 10% nelle donne con diabete pre-estazionale con un HbA1c superiore al 7% ed è stato segnalato che è compreso tra il 20 e il 25% nelle donne con HbA1c superiore al 10%. Il rischio di sparto stimato di aborto per la popolazione indicata non è noto.
Nella popolazione generale degli Stati Uniti il rischio di background stimato di gravi difetti alla nascita e aborto in gravidanza clinicamente riconosciuta è rispettivamente dal 2 al 4% e dal 15 al 20%.
Considerazioni cliniche
Rischio materno e/o embriofetale associato alla malattia
Il diabete scarsamente controllato in gravidanza aumenta il rischio materno di chetoacidosi diabetica preeclampsia Aborti spontanei Conclicazioni di parto pretermine e parto. Il diabete scarsamente controllato aumenta il rischio fetale per i principali difetti alla nascita morta e morbilità legata alla macrosomia.
Dati
Dati sugli animali
Dapagliflozin dosata direttamente ai ratti giovanili del giorno postnatale (PND) 21 fino a PND 90 a dosi di 1 15 o 75 mg/kg/giorno ha aumentato i pesi renali e aumentava l'incidenza di dilazioni pelviche renali e tubolari a tutti i livelli di dose. L'esposizione alla dose più bassa testata è stata di 15 volte la dose clinica da 10 mg (basata su AUC). Le dilazioni pelviche e tubolari renali osservate negli animali giovanili non si sono completamente inversa entro un periodo di recupero di 1 mese.
In uno studio di sviluppo prenatale e postnatale, Dapagliflozin è stato somministrato ai ratti materni dal giorno della gestazione 6 fino al giorno di allattamento 21 a dosi di 1 15 o 75 mg/kg/giorno e i cuccioli sono stati indirettamente esposti in utero e durante l'allattamento. È stata osservata una maggiore incidenza o gravità della dilatazione pelvica renale nei cuccioli di 21 giorni di progenie di dighe trattate a 75 mg/kg/die (le esposizioni di dapagliflozin materni e cuccioli sono stati rispettivamente 1415 e 137 volte i valori umani alla dose clinica da 10 mg basate su AUC). Riduzioni dose-correlate nei pesi corporei del cucciolo sono stati osservati a livello maggiore o uguale a 29 volte la dose clinica da 10 mg (basata su AUC). Non sono stati osservati effetti avversi sugli endpoint di sviluppo a 1 mg/kg/giorno (19 volte la dose clinica da 10 mg basata su AUC). Questi risultati si sono verificati con esposizione ai farmaci durante i periodi di sviluppo renale nei ratti che corrispondono al secondo e terzo trimestre di sviluppo umano.
Negli studi di sviluppo embriofetale su ratti e conigli dapagliflozin sono stati somministrati durante l'organogenesi corrispondente al primo trimestre di gravidanza umana. Nei ratti dapagliflozin non era né embrioletale né teratogenico a dosi fino a 75 mg/kg/giorno (1441 volte la dose clinica da 10 mg basata su AUC). Effetti dose-correlati sul feto di ratto (anomalie strutturali e ridotto peso corporeo) si sono verificati solo a dosaggi più elevati pari o superiori a 150 mg/kg (più di 2344 volte la dose clinica da 10 mg basata su AUC) che erano associate a tossicità materna. Non sono state osservate tossicità dello sviluppo nei conigli a dosi fino a 180 mg/kg/giorno (1191 volte la dose clinica da 10 mg basata su AUC).
Lattazione
Riepilogo del rischio
Non ci sono informazioni sulla presenza di dapagliflozin nel latte umano gli effetti sul bambino allattato al seno o sugli effetti sulla produzione di latte. Dapagliflozin è presente nel latte di ratti in allattamento (vedi Dati ). However due to species-specific differences in lactation physiology the clinical relevance of these data is not clear. Since human kidney maturation occurs in utero E during the first 2 years of life when lactational exposure may occur there may be risk to the developing human kidney.
A causa del potenziale di gravi reazioni avverse nei neonati allattati, consiglia alle donne che l'uso di Farxiga non è raccomandato durante l'allattamento.
Dati
Dapagliflozin era presente nel latte di ratto con un rapporto di latte/plasma di 0,49 indicando che dapagliflozin e i suoi metaboliti vengono trasferiti nel latte a una concentrazione che è circa il 50% di quello nel plasma materno. I ratti giovanili direttamente esposti a dapagliflozin hanno mostrato rischio per i reni in via di sviluppo (dilazioni pelviche e tubolari renali) durante la maturazione.
Uso pediatrico
La sicurezza e l'efficacia di Farxiga in aggiunta alla dieta e all'esercizio fisico per migliorare il controllo glicemico nel diabete mellito di tipo 2 sono state stabilite in pazienti pediatrici di età pari o superiore a 10 anni. L'uso di Farxiga per questa indicazione è supportato da uno studio controllato con placebo di 26 settimane con un'estensione di 26 settimane in 157 pazienti pediatrici di età compresa tra 10 e 17 anni con diabete di tipo 2 mellito dati farmacokinetici pediatrici e studi sugli adulti di tipo 2 diabete mellito [vedi Farmacologia clinica E Studi clinici ]. The safety profile observed in the placebo-controlled trial in pediatric patients with type 2 diabete mellito was similar to that observed in adults [see Reazioni avverse ].
La sicurezza e l'efficacia di Farxiga per il controllo glicemico nel diabete mellito di tipo 2 non sono state stabilite in pazienti pediatrici di età inferiore ai 10 anni.
La sicurezza e l'efficacia di Farxiga non sono state stabilite nei pazienti pediatrici per ridurre il rischio di [vedi Indicazioni e utilizzo ]:
- Decisioni dell'EGFR sostenute Diminuzione renale allo stadio terminale Morte cardiovascolare e ricovero in ospedale per insufficienza cardiaca nei pazienti con malattia renale cronica a rischio di progressione.
- Il ricovero in ospedale per la morte cardiovascolare per insufficienza cardiaca e visita di insufficienza cardiaca urgente in pazienti con insufficienza cardiaca.
- Il ricovero in ospedale per insufficienza cardiaca nei pazienti con diabete mellito di tipo 2 e malattie cardiovascolari stabilite o fattori di rischio cardiovascolare multipli.
Uso geriatrico
Non è raccomandata alcuna modifica del dosaggio di Farxiga in base all'età.
Un totale di 1424 (24%) dei 5936 pazienti trattati con Farxiga avevano 65 anni e più di 207 (NULL,5%) pazienti avevano 75 anni in un pool di 21 studi clinici controllati in doppio cieco che valutavano l'efficacia di Farxiga nel miglioramento del controllo glicemico nel diabete di tipo 2. Dopo aver controllato l'efficacia del livello di funzione renale (EGFR) era simile per i pazienti di età inferiore ai 65 anni e per i 65 anni e più. Nei pazienti ≥65 anni di età una percentuale più elevata di pazienti trattati con farxiga per il controllo glicemico aveva reazioni avverse di ipotensione [vedi Avvertimenti e precauzioni E Reazioni avverse ].
Nel DAPA-CKD DAPA-HF e consegna la sicurezza e l'efficacia delle prove erano simili per i pazienti di età pari o inferiore a 65 anni e quelli di età superiore ai 65 anni. Nello studio DAPA-HF 2714 (57%) su 4744 pazienti con HFREF avevano più di 65 anni. Nello studio di consegna 4759 (76%) su 6263 pazienti con insufficienza cardiaca (LVEF> 40%) avevano più di 65 anni. Nello studio DAPA-CKD 1818 (42%) su 4304 pazienti con CKD avevano più di 65 anni.
Compromissione renale
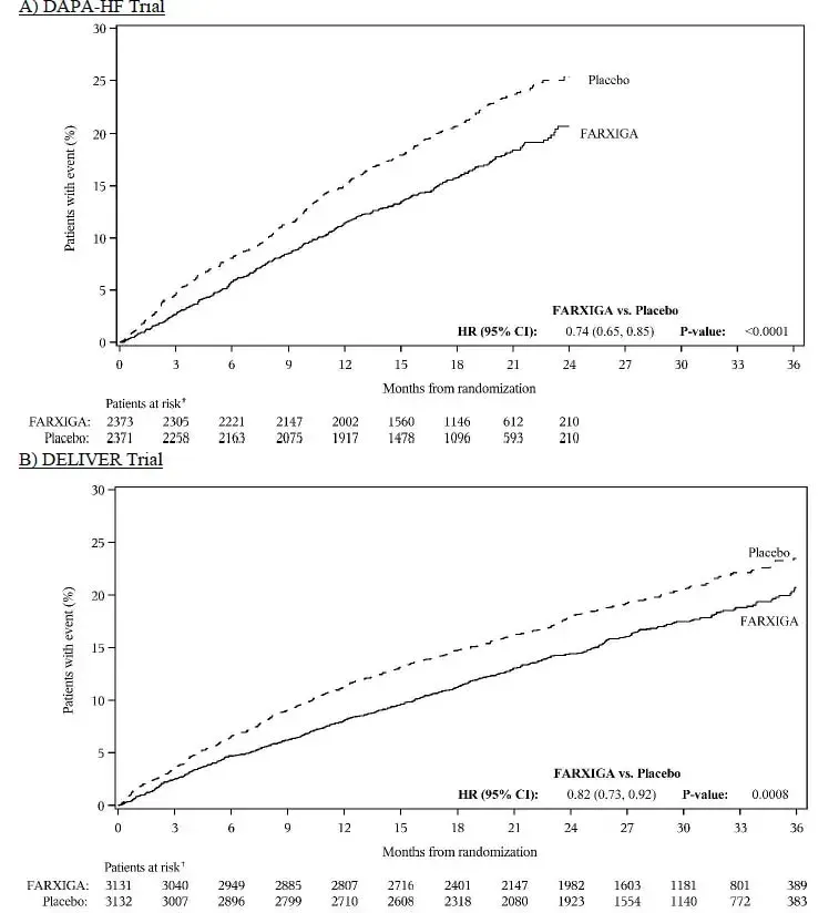
Farhiga was evaluated in 4304 adult patients with chronic kidney disease (eGFR 25 to 75 mL/min/1.73 m²) in the DAPA-CKD trial. Farhiga was also evaluated in 1926 adult patients with an eGFR of 30 to 60 mL/min/1.73 m² in the DAPA-HF trial. The safety profile of Farhiga across eGFR subgroups in these studies was consistent with the known safety profile [see Reazioni avverse E Studi clinici ].
Farhiga was evaluated in two glycemic control adult trials that included patients with type 2 diabete mellito with moderate renal impairment (an eGFR of 45 to less than 60 mL/min/1.73 m² [see Studi clinici ] e un EGFR da 30 a meno di 60 ml/min/1,73 m² rispettivamente). I pazienti con diabete e compromissione renale che utilizzano FARXIGA possono avere maggiori probabilità di sperimentare ipotensione e possono essere a maggior rischio di lesioni renali acute secondarie all'esaurimento del volume. Nello studio di pazienti adulti con un EGFR da 30 a meno di 60 ml/min/1,73 m² 13 pazienti che hanno ricevuto Farxiga hanno sperimentato fratture ossee rispetto a nessuno che riceve il placebo. L'uso di FARXIGA per il controllo glicemico nei pazienti senza malattia CV stabilita o fattori di rischio CV non è raccomandato quando l'EGFR è inferiore a 45 ml/min/1,73 m² [vedi Dosaggio e amministrazione ].
Gli studi di efficacia e sicurezza con FARXIGA non hanno arruolato i pazienti con un EGFR inferiore a 25 ml/min/1,73 m² o in dialisi. Una volta iscritti al DAPA-CKD e consegnare prove che i pazienti adulti non erano tenuti a interrompere la terapia se l'EGFR è sceso al di sotto di 25 ml/min/1,73 m² o se è stata avviata la dialisi. Una volta iscritti allo studio DAPA-HF, i pazienti adulti non erano tenuti a interrompere la terapia se l'EGFR è sceso al di sotto di 30 ml/min/1,73 m² o se è stata avviata la dialisi [vedi Dosaggio e amministrazione E Studi clinici ].
Compromissione epatica
Non è raccomandato alcun regolazione della dose per i pazienti con lieve compromissione epatica moderata o grave. Tuttavia, il rischio di benefici per l'uso di dapagliflozin in pazienti con grave compromissione epatica dovrebbe essere valutato individualmente poiché la sicurezza e l'efficacia di dapagliflozin non sono stati specificamente studiati in questa popolazione [vedi Farmacologia clinica ].
Informazioni per overdose per farxiga
Non ci sono segnalazioni di sovradosaggio durante il programma di sviluppo clinico per Farxiga.
In caso di overdose considera di contattare la linea di aiuto del veleno (1-800-222-1222) o un tossicologo medico per ulteriori raccomandazioni di gestione del sovradosaggio. È anche ragionevole impiegare misure di supporto come dettato dallo stato clinico del paziente. La rimozione di dapagliflozin da parte dell'emodialisi non è stata studiata.
Controindicazioni per farxiga
Farhiga is contraindicated in patients with a history of a serious hypersensitivity reaction to dapagliflozin or any of the excipients in Farhiga. Serious hypersensitivity reactions including anaphylaxis E angioedema have been reported with Farhiga [see Reazioni avverse ].
Farmacologia clinica for Farxiga
Meccanismo d'azione
Il cotransporter 2 (SGLT2) di sodio-glucosio espresso nei tubuli renali prossimali è responsabile della maggior parte del riassorbimento del glucosio filtrato dal lume tubolare. Dapagliflozin è un inibitore di SGLT2. Inibendo SGLT2 dapagliflozin riduce il riassorbimento del glucosio filtrato e promuove quindi l'escrezione urinaria del glucosio.
Dapagliflozin riduce anche il riassorbimento del sodio e aumenta la consegna di sodio al tubulo distale. Ciò può influenzare diverse funzioni fisiologiche, tra cui ma non limitate a ridurre sia il pre-carico del cuore che la downregulation dell'attività simpatica e la riduzione della pressione intraglomerulare che si ritiene sia mediata da un aumento del feedback tubuloglomerulare.
Farmacodinamica
Generale
Sono stati osservati aumenti della quantità di glucosio escreto nelle urine in soggetti sani e in pazienti con diabete mellito di tipo 2 in seguito alla somministrazione di dapagliflozin (vedere la Figura 1). Dosi di dapagliflozin di 5 o 10 mg al giorno in pazienti con diabete mellito di tipo 2 per 12 settimane hanno comportato un'escrezione di circa 70 grammi di glucosio nelle urine al giorno alla settimana 12. Un escrezione di glucosio quasi massimo è stato osservato nel dosaggio giornaliero di 20 mg. Questa escrezione di glucosio urinario con dapagliflozin provoca anche aumenti del volume urinario [vedi Reazioni avverse ]. After discontinuation of dapagliflozin on average the elevation in urinary glucose excretion approaches baseline by about 3 days for the 10 mg dosage.
|
Elettrofisiologia cardiaca
Dapagliflozin non era associato a un prolungamento clinicamente significativo dell'intervallo QTC a dosi giornaliere fino a 150 mg (15 volte la dose massima raccomandata) in uno studio su soggetti sani. Inoltre, non è stato osservato alcun effetto clinicamente significativo sull'intervallo di QTC a seguito di singole dosi fino a 500 mg (50 volte la dose massima raccomandata) di dapagliflozin in soggetti sani.
Farmacocinetica
Assorbimento a seguito di somministrazione orale di dapagliflozin La massima concentrazione plasmatica (CMAX) viene generalmente raggiunta entro 2 ore sotto lo stato di digiuno. I valori CMAX e AUC aumentano proporzionalmente con l'aumento della dose di dapagliflozin nell'intervallo di dose terapeutica. La biodisponibilità orale assoluta di Dapagliflozin in seguito alla somministrazione di una dose di 10 mg è del 78%. La somministrazione di dapagliflozin con un pasto ricco di grassi diminuisce il suo cmax fino al 50% e prolunga Tmax di circa 1 ora ma non altera l'AUC rispetto allo stato a digiuno. Questi cambiamenti non sono considerati clinicamente significativi e dapagliflozin può essere somministrato con o senza cibo.
Distribuzione
Dapagliflozin è circa il 91% di proteine. Il legame delle proteine non è alterato nei pazienti con compromissione renale o epatica.
Metabolismo
Il metabolismo di Dapagliflozin è principalmente mediato da UGT1A9; Il metabolismo mediato dal CYP è un percorso di clearance minore nell'uomo. La dapagliflozin è ampiamente metabolizzata principalmente per produrre dapagliflozin 3-o-glucuronide che è un metabolita inattivo. Dapagliflozin 3-o-glucuronide rappresentava il 61% di un 50 mg [ 14 C] -Dapagliflozin dose ed è il componente predominante correlato al farmaco nel plasma umano.
Eliminazione
Dapagliflozin e metaboliti correlati vengono eliminati principalmente attraverso il percorso renale. A seguito di una singola dose di 50 mg di [ 14 C] -Dapagliflozin 75% e il 21% di radioattività totale viene escreta rispettivamente nelle urine e nelle feci. Nell'urina meno del 2% della dose viene escreto come farmaco genitore. Nelle feci circa il 15% della dose viene escreto come farmaco genitore. L'emivita media terminale al plasma (T½) per Dapagliflozin è di circa 12,9 ore dopo una singola dose orale di Farxiga 10 mg.
Popolazioni specifiche
Pazienti pediatrici
La farmacocinetica e la farmacodinamica (glucosuria) di dapagliflozin in pazienti pediatrici di età compresa tra 10 e 17 anni con diabete mellito di tipo 2 erano simili a quelli osservati nei pazienti adulti con la stessa funzione renale.
Effetti della razza di genere e del peso corporeo sulla farmacocinetica
Sulla base di un'analisi farmacocinetica della popolazione Age La razza di genere e il peso corporeo non hanno un effetto clinicamente significativo sulla farmacocinetica di Dapagliflozin e quindi non si raccomanda alcun aggiustamento della dose.
Pazienti con compromissione renale
A stato stazionario (20 mg una volta al giorno dapagliflozin per 7 giorni) pazienti adulti con diabete di tipo 2 con lieve compromissione renale moderata o grave (come determinato da EGFR) avevano esposizioni sistemiche medie geometriche di dapagliflozina rispettivamente al 45% al 100% e al 200% rispetto ai pazienti con diabete di tipo 2. Non vi era alcuna differenza significativa nell'esposizione tra pazienti con malattia renale cronica con e senza diabete di tipo 2. Una maggiore esposizione sistemica di dapagliflozina nei pazienti con diabete mellito di tipo 2 con compromissione renale non ha comportato un'escrezione di glucosio urinaria di 24 ore di conseguenza più elevata. L'escrezione di glucosio urinario di 24 ore in stadio in pazienti con diabete mellito di tipo 2 e lieve compromissione renale moderata e grave era rispettivamente del 42% 80% e del 90% rispetto ai pazienti con diabete mellito di tipo 2 con normale funzione renale.
L'impatto dell'emodialisi sull'esposizione a dapagliflozin non è noto [vedi Avvertimenti e precauzioni Utilizzare in popolazioni specifiche E Studi clinici ].
Pazienti con compromissione epatica
In adult subjects with mild and moderate hepatic impairment (Child-Pugh classes A and B) mean Cmax and AUC of dapagliflozin were up to 12% and 36% higher respectively as compared to healthy matched control subjects following single-dose administration of 10 mg dapagliflozin. These differences were not considered to be clinically meaningful. In adult patients with severe hepatic impairment (Child-Pugh class C) mean Cmax and AUC of dapagliflozin were up to 40% and 67% higher respectively as compared to healthy matched controls [see Utilizzare in popolazioni specifiche ].
Interazioni farmacologiche
Valutazione in vitro delle interazioni farmacologiche
Negli studi in vitro dapagliflozin e dapagliflozin 3-o-glucuronide né inibivano il CYP 1A2 2C9 2C19 2d6 o 3A4 né indotto il CYP 1A2 2B6 o 3A4. Dapagliflozin è un substrato debole del trasportatore attivo Pâglicoprotein (P-GP) e Dapagliflozin 3-Glucuronide è un substrato per il trasportatore attivo OAT3. Dapagliflozin o dapagliflozin 3-o-glucuronide non ha inibito in modo significativo i trasportatori attivi OAT1 o OAT3 OAT1 o OAT3. È improbabile che il dapagliflozin complessivo influisca sulla farmacocinetica di farmaci somministrati contemporaneamente che sono substrati OAT1 o OAT3 OAT1 o OAT3.
Effetti di altri farmaci su Dapagliflozin
La tabella 5 mostra l'effetto dei farmaci amministrati in co -cofano sulla farmacocinetica di dapagliflozin negli adulti. Non sono raccomandate regolazioni della dose per Dapagliflozin.
Tabella 5: Effetti dei farmaci minimizzati sull'esposizione sistemica dapagliflozin
| Farmaco somministrato co -amministrato (regime dose)* | Dapagliflozin (regime dose)* | Effetto sull'esposizione dapagliflozin [% variabile (90% IC)] | |
| Cmax | AUC † | ||
| Nessun regolamento di dosaggio richiesto per quanto segue: | |||
| Agenti antidiabetici orali | |||
| Metformina (1000 mg) | 20 mg | ↔ | ↔ |
| Pioglitazone (45 mg) | 50 mg | ↔ | ↔ |
| Sitagliptin (100 mg) | 20 mg | ↔ | ↔ |
| Glimepiride (4 mg) | 20 mg | ↔ | ↔ |
| Voglibosio (NULL,2 mg tre volte al giorno) | 10 mg | ↔ | ↔ |
| Altri farmaci | |||
| Idroclorotiazide (25 mg) | 50 mg | ↔ | ↔ |
| Bumetanide (1 mg) | 10 mg once daily for 7 days | ↔ | ↔ |
| Valsartan (320 mg) | 20 mg | ↓ 12% [↓ 3% ↓ 20%] | ↔ |
| Simvastatina (40 mg) | 20 mg | ↔ | ↔ |
| Agente anti-infettivo | |||
| Rifampin (600 mg una volta al giorno per 6 giorni) | 10 mg | ↓ 7% [↓ 22% ↑ 11%] | ↓ 22% [↓ 27% ↓ 17%] |
| Agente antinfiammatorio non steroideo | |||
| Acido mefenamico (dose di carico di 500 mg seguito da 14 dosi di 250 mg ogni 6 ore) | 10 mg | ↑ 13% [↑ 3% ↑ 24%] | ↑ 51% [↑ 44% ↑ 58%] |
| ↔ = nessuna modifica (rapporto medio geometrico del test: riferimento da 0,80 a 1,25); ↓ o ↑ = il parametro era più basso o superiore rispettivamente con la somministrazione di co -co -dapagliflozina somministrata da sola (rapporto medio geometrico del test: il riferimento era inferiore a 0,80 o superiore a 1,25). * Dose singola se non diversamente indicato. † AUC = AUC (INF) per i farmaci somministrati come dose singola e AUC = AUC (tau) per farmaci somministrati in dosi multiple. |
Effetti di Dapagliflozin su altri farmaci
La tabella 6 mostra l'effetto di dapagliflozin su altri farmaci minimizzati negli adulti. Dapagliflozin non ha influenzato in modo significativo la farmacocinetica dei farmaci minimizzati.
Tabella 6: Effetti di Dapagliflozin sulle esposizioni sistemiche dei farmaci amministrati
| Farmaco somministrato co -amministrato (regime dose)* | Dapagliflozin (regime dose)* | Effetto sull'esposizione ai farmaci amministrati in co -amministrazione [% di variazione (IC 90%)] | |
| Cmax | AUC † | ||
| Nessun regolamento di dosaggio richiesto per quanto segue: | |||
| Agenti antidiabetici orali | |||
| Metformina (1000 mg) | 20 mg | ↔ | ↔ |
| Pioglitazone (45 mg) | 50 mg | ↓ 7% [↓25% ↑15%] | ↔ |
| Sitagliptin (100 mg) | 20 mg | ↔ | |
| Glimepiride (4 mg) | 20 mg | ↔ | ↑ 13% [0% ↑29%] |
| Altri farmaci | |||
| Idroclorotiazide (25 mg) | 50 mg | ↔ | ↔ |
| Bumetanide (1 mg) | 10 mg once daily for 7 days | ↑ 13% [↓2% ↑31%] | ↑ 13% [↓1% ↑30%] |
| Valsartan (320 mg) | 20 mg | ↓ 6% [↓ 24% ↑ 16%] | ↑ 5% [↓ 15% ↑ 29%] |
| Simvastatina (40 mg) | 20 mg | ↔ | ↑ 19% |
| Digossina (NULL,25 mg) | 20 mg loading dose then 10 mg once daily for 7 days | ↔ | ↔ |
| Warfarin (25 mg) | 20 mg loading dose then 10 mg once daily for 7 days | ↔ | ↔ |
| ↔ = nessuna modifica (rapporto medio geometrico del test: riferimento da 0,80 a 1,25); ↓ o ↑ = il parametro era più basso o superiore rispettivamente con la somministrazione di co -co -medicina somministrata da sola (rapporto medio geometrico del test: il riferimento era inferiore a 0,80 o superiore a 1,25). * Dose singola se non diversamente indicato. † AUC = AUC (INF) per i farmaci somministrati come dose singola e AUC = AUC (tau) per farmaci somministrati in dosi multiple. |
Studi clinici
Controllo glicemico negli adulti con diabete mellito di tipo 2
Panoramica degli studi clinici di farxiga negli adulti con diabete mellito di tipo 2
Farhiga has been studied in adult patients as monotherapy in combination with metformin pioglitazone sulfonylurea (glimepiride) sitagliptin (with or without metformin) metformin plus a sulfonylurea or insulin (with or without other oral antidiabetic therapy) compared to a sulfonylurea (glipizide) E in combination with a GLP-1 receptor agonist (exenatide extended-release) added-on to metformin. Farhiga has also been studied in adult patients with type 2 diabete mellito E moderate renal impairment.
Il trattamento con Farxiga come monoterapia e in combinazione con il glimepiride pioglitazone sitagliptin o insulina ha prodotto miglioramenti statisticamente significativi nei cambiamenti medi rispetto al basale alla settimana 24 in HbA1c rispetto al controllo. Le riduzioni di HbA1c sono state osservate in sottogruppi, tra cui la durata della razza dell'età di genere della malattia e l'indice di massa corporea basale (BMI).
Monoterapia
Un totale di 840 pazienti adulti naive per il trattamento con diabete mellito di tipo 2 inadeguatamente controllato hanno partecipato a 2 studi controllati con placebo per valutare la sicurezza e l'efficacia della monoterapia con Farxiga.
In uno studio monoterapico un totale di 558 pazienti naive per il trattamento con diabete inadeguatamente controllato hanno partecipato a uno studio di 24 settimane (NCT00528372). A seguito di una dieta di 2 settimane ed esercizio fisico Lead-in Periodo 485 pazienti con HbA1C ≥7% e ≤10% sono stati randomizzati a Farxiga 5 mg o Farxiga 10 mg una volta al giorno nella mattina (coorte principale QAM) o sera (QPM) o placebo.
Alla settimana 24 il trattamento con FARXIGA 10 mg QAM ha fornito miglioramenti significativi in HbA1c e il glucosio plasmatico a digiuno (FPG) rispetto al placebo (vedi Tabella 7).
Tabella 7: risultati alla settimana 24 (LOCF*) in uno studio controllato con placebo sulla monoterapia Farxiga negli adulti con diabete mellito di tipo 2 (dosi di coorte AM principale)
| Parametro di efficacia | Farhiga 10 mg N = 70† | Farhiga 5 mg N = 64† | Placebo N = 75† |
| HbA1c (%) | |||
| Basale (media) | 8.0 | 7.8 | 7.8 |
| Modifica dalla linea di base (media regolata*) | -0.9 | -0.8 | -0.2 |
| Differenza dal placebo (media aggiustata*) (IC al 95%) | -0.7 § (-1.0 -0.4) | -0.5 (-0.8 -0.2) | |
| Percentuale dei pazienti che raggiungono HBALC <7% adjusted for baseline | 50,8%¶ | 44,2%¶ | 31,6% |
| FPG (MG/DL) | |||
| Basale (media) | 166.6 | 157.2 | 159.9 |
| Modifica dalla linea di base (media regolata ‡) | -28.8 | -24.1 | -4.1 |
| Differenza dal placebo (media regolata ‡ (IC al 95%) | −24,7 (−35,7 −13,6) | −19,9 (−31,3 −8,5) | |
| * LOCF: l'ultima osservazione (prima del salvataggio per i pazienti salvati) portata avanti. † Tutti i pazienti randomizzati che hanno assunto almeno una dose di farmaco di studio in doppio cieco durante il periodo in doppio cieco a breve termine. ‡ I minimi quadrati mediano regolati per il valore di base. § Value p <0.0001 versus placebo. Sensitivity analyses yielded smaller estimates of treatment difference with placebo. ¶ Non valutato per significato statistico a seguito della procedura di test sequenziale per gli endpoint secondari. |
Terapia di combinazione iniziale con metformina XR
Un totale di 1236 pazienti adulti naive per il trattamento con diabete mellito di tipo 2 (HbA1c ≥7,5% e ≤12%) hanno partecipato a 2 studi controllati a attiva attivo per valutare la terapia iniziale con Farxiga 5 mg o 10 mg in combinazione con metformina estesa (XR).
In uno studio (NCT00859898) 638 pazienti randomizzati a 1 di 3 bracci di trattamento dopo un periodo di lead-in di 1 settimana ricevuto: FARXIGA 10 mg più metformina XR (fino a 2000 mg al giorno) Farxiga 10 mg più placebo o metformina XR (fino a 2000 mg al giorno) più placebo. La dose di metformina XR è stata aggiornata settimanalmente con incrementi di 500 mg come tollerato con una dose mediana raggiunta di 2000 mg.
Il trattamento di combinazione di Farxiga 10 mg più la metformina XR ha fornito miglioramenti statisticamente significativi in HbA1c e FPG rispetto a uno dei trattamenti di monoterapia e una riduzione statisticamente significativa del peso corporeo rispetto alla sola metformina XR (vedere la Tabella 8 e la Figura 2). Farxiga 10 mg come monoterapia ha anche fornito miglioramenti statisticamente significativi in FPG e una riduzione statisticamente significativa del peso corporeo rispetto alla sola metformina ed era non inferiore alla monoterapia XR della metformina nell'abbassamento di HbA1c.
Tabella 8: Risultati alla settimana 24 (LOCF*) in una sperimentazione controllata attivo della terapia di combinazione iniziale di Farxiga con metformina XR
| Parametro di efficacia | Farhiga 10 mg + Metformina XR N = 211 ‡ | Farhiga 10 mg N = 219 ‡ | Metformina XR N = 208 ‡ |
| HbA1c (%) | |||
| Basale (media) | 9.1 | 9.0 | 9.0 |
| Modifica dalla linea di base (media regolata ‡) | -2.0 | -1.5 | -1.4 |
| Differenza da farxiga (media aggiustata ‡) (IC al 95%) | −0.5§ (−0,7 −0,3) | ||
| Differenza dalla metformina XR (media aggiustata ‡) (IC al 95%) | −0.5§ (−0,8 −0,3) | 0.0¶ (−0,2 0,2) | |
| Percentuale dei pazienti che raggiungono HBALC <7% adjusted for baseline | 46,6% | 31,7% | 35,2% |
| FPG (MG/DL) | |||
| Basale (media) | 189.6 | 197.5 | 189.9 |
| Modifica dalla linea di base (media regolata ‡) | -60.4 | -46.4 | -34.8 |
| Differenza da farxiga (media aggiustata ‡) (IC al 95%) | -13.9 (-20.9 -7.0) | ||
| Differenza dalla metformina XR (media aggiustata ‡) (IC al 95%) | −25.5 (−32,6 −18,5) | −11,6 (−18,6 −4,6) | |
| Peso corporeo (kg) | |||
| Basale (media) | 88.6 | 88.5 | 87.2 |
| Modifica dalla linea di base (media regolata ‡) | -3.3 | -2.7 | -1.4 |
| Differenza dalla metformina XR (media aggiustata ‡) (IC al 95%) | −2,0 (−2,6 −1,3) | −1.4 (−2,0 −0,7) | |
| * LOCF: l'ultima osservazione (prima del salvataggio per i pazienti salvati) portata avanti. † Tutti i pazienti randomizzati che hanno assunto almeno una dose di farmaco di studio in doppio cieco durante il periodo in doppio cieco a breve termine. ‡ I minimi quadrati mediano regolati per il valore di base. § Value p <0.0001. ¶ Non-Inferior verso la metformina XR. <0.05. |
Figura 2: variazione media regolata dal basale nel tempo in HbA1c (%) in uno studio controllato attivo di 24 settimane sulla terapia di combinazione iniziale di Farxiga con metformina XR
|
In un secondo studio (NCT00643851) 603 pazienti sono stati randomizzati a 1 di 3 bracci di trattamento dopo un periodo di lead-in di 1 settimana: Farxiga 5 mg più metformina XR (fino a 2000 mg al giorno) Farxiga 5 mg più placebo o metformina XR (fino a 2000 mg al giorno) più placebo. La dose di metformina XR è stata aggiornata settimanalmente con incrementi di 500 mg come tollerato con una dose mediana raggiunta di 2000 mg.
Il trattamento di combinazione di Farxiga 5 mg più la metformina XR ha fornito miglioramenti statisticamente significativi in HbA1c e FPG rispetto a uno dei trattamenti di monoterapia e una riduzione statisticamente significativa del peso corporeo rispetto alla sola metformina XR (vedere la Tabella 9).
per cosa è usato ciprodex otic
Tabella 9: Risultati alla settimana 24 (LOCF*) in una prova controllata attivo di Farxiga Initial â
| Parametro di efficacia | Farhiga 5 mg + Metformina XR N = 194 † | Farhiga 5 mg N=203† | Metformina XR N=201† |
| HbA1c (%) | |||
| Basale (media) | 9.2 | 9.1 | 9.1 |
| Modifica dalla linea di base (media regolata ‡) | -2.1 | -1.2 | -1.4 |
| Differenza da farxiga (media aggiustata ‡) (IC al 95%) | −0,9 (−1,1 −0,6 | ||
| Differenza dalla metformina XR (media aggiustata ‡) (IC al 95%) | −0.7§ (−0,9 −0,5) | ||
| Percentuale dei pazienti che raggiungono HbA1c <7% adjusted for baseline | 52,4%¶ | 22,5% | 34,6% |
| FPG (MG/DL) | |||
| Basale (media) | 193.4 | 190.8 | 196.7 |
| Modifica dalla linea di base (media regolata ‡) | -61.0 | -42.0 | -33.6 |
| Differenza da farxiga (media aggiustata ‡) (IC al 95%) | −19.1§ (−26,7 −11,4) | ||
| Differenza dalla metformina XR (media aggiustata ‡) (IC al 95%) | −27,5 (−35,1 −19,8) | ||
| Peso corporeo (kg) | |||
| Basale (media) | 84.2 | 86.2 | 85.8 |
| Modifica dalla linea di base (media regolata ‡) | -2.7 | -2.6 | -1.3 |
| Differenza dalla metformina XR (media aggiustata ‡) (IC al 95%) | −1.4 (−2,0 −0,7) | ||
| * LOCF: l'ultima osservazione (prima del salvataggio per i pazienti salvati) portata avanti. † Tutti i pazienti randomizzati che hanno assunto almeno una dose di farmaco di studio in doppio cieco durante il periodo in doppio cieco a breve termine. ‡ I minimi quadrati mediano regolati per il valore di base. § Value p <0.0001. ¶ Value p <0.05. |
Componente aggiuntivo a metformina
Un totale di 546 pazienti adulti con diabete mellito di tipo 2 con controllo glicemico inadeguato (HbA1C ≥7% e ≤10%) hanno partecipato a uno studio controllato con placebo di 24 settimane per valutare Farxiga in combinazione con la metformina (NCT00528879). I pazienti con metformina alla dose di almeno 1500 mg al giorno sono stati randomizzati dopo aver completato un periodo di lead-in a cieco singolo di 2 settimane. Dopo il periodo di lead-in, i pazienti idonei sono stati randomizzati a Farxiga 5 mg Farxiga 10 mg o placebo oltre alla loro attuale dose di metformina.
Poiché il trattamento aggiuntivo per la metformina Farxiga 10 mg ha fornito miglioramenti statisticamente significativi in HbA1c e FPG e una riduzione statisticamente significativa del peso corporeo rispetto al placebo alla settimana 24 (vedere la Tabella 10 e la Figura 3). Statisticamente significativo (p <0.05 for both doses) mean changes from baseline in systolic blood pressure relative to placebo plus metformin were -4.5 mmHg E -5.3 mmHg with Farhiga 5 mg E 10 mg plus metformin respectively.
Tabella 10: risultati di una sperimentazione controllata con placebo di 24 settimane (LOCF*) di Farxiga in combinazione aggiuntiva con metformina
| Parametro di efficacia | Farhiga 10 mg + Metformin N = 135† | Farhiga 5 mg + Metformin N = 137† | Placebo + Metformin N = 137† |
| HbA1c (%) | |||
| Basale (media) | 7.9 | 8.2 | 8.1 |
| Modifica dalla linea di base (media regolata ‡) | -0.8 | -0.7 | -0.3 |
| Differenza dal placebo (media regolata ‡) (IC al 95%) | -0.5§ (-0.7 -0.3) | -0.4 (-0.6 -0.2) | |
| Percentuale dei pazienti che raggiungono HBALC <7% adjusted for baseline | 40,6%¶ | 37,5%¶ | 25,9% |
| FPG (MG/DL) | |||
| Basale (media) | 156.0 | 169.2 | 165.6 |
| Modifica dal basale alla settimana 24 (media adeguata ‡) | -23.5 | -21.5 | -6.0 |
| Differenza dal placebo (media regolata ‡) (IC al 95%) | −17,5 (−25,0 −10,0) | −15.5 (−22,9 −8,1) | |
| Modifica dal basale alla settimana 1 (media adeguata ‡) | -16,5 (N = 115) | -12.0 (N = 121) | 1.2 (N = 126) |
| Peso corporeo (kg) | |||
| Basale (media) | 86.3 | 84.7 | 87.7 |
| Modifica dalla linea di base (media regolata ‡) | -2.9 | -3.0 | -0.9 |
| Differenza dal placebo (media regolata ‡) (IC al 95%) | −2,0 (−2,6 −1,3) | −2,2§ (−2,8 −1,5) | |
| * LOCF: l'ultima osservazione (prima del salvataggio per i pazienti salvati) portata avanti. † Tutti i pazienti randomizzati che hanno assunto almeno una dose di farmaco di studio in doppio cieco durante il periodo in doppio cieco a breve termine. ‡ I minimi quadrati mediano regolati per il valore di base. § Value p <0.0001 versus placebo + metformin. ¶ Value p <0.05 versus placebo + metformin. |
Figura 3: variazione media regolata dal basale nel tempo in HbA1c (%) in una prova controllata con placebo di 24 settimane di Farxiga in combinazione con metformina
|
Componente aggiuntivo di prova attivo controllato dal glipizide alla metformina
Un totale di 816 pazienti adulti con diabete mellito di tipo 2 con controllo glicemico inadeguato (HbA1C> 6,5% e ≤10%) sono stati randomizzati in uno studio di non-inferiorità controllato da lipizide di 52 settimane per valutare FARXIGA come terapia aggiuntiva alla metformina (NCT0060907). I pazienti in metformina alla dose di almeno 1500 mg al giorno sono stati randomizzati dopo un periodo di lead-in placebo di 2 settimane per glipizide o dapagliflozin (rispettivamente 5 mg o 2,5 mg) e sono stati aggiornati in un effetto glicemico ottimale (FPG (FPG <110 mg/dL <6.1 mmol/L) or to the highest dose level (up to glipizide 20 mg E Farhiga 10 mg) as tolerated by patients. Thereafter doses were kept constant except for down-titration to prevent hypoglycemia.
Alla fine del periodo di titolazione, l'87% dei pazienti trattati con farxiga era stato titolato alla dose massima di prova (10 mg) contro il 73% trattata con glipizide (20 mg). Farxiga ha portato a una riduzione media simile in HbA1c dal basale alla settimana 52 (LOCF) rispetto a glipizide dimostrando così la non inferiorità (vedere la Tabella 11). Il trattamento di Farxiga ha portato a una riduzione media statisticamente significativa del peso corporeo dalla linea di base alla settimana 52 (LOCF) rispetto a un aumento medio del peso corporeo nel gruppo Glipizide. Statisticamente significativo (p <0.0001) mean change from baseline in systolic blood pressure relative to glipizide plus metformin was -5.0 mmHg with Farhiga plus metformin.
Tabella 11: Risultati alla settimana 52 (LOCF*) in una prova controllata da attiva che confronta Farxiga con glipizide come componente aggiuntivo alla metformina
| Parametro di efficacia | Farhiga + Metformin N = 400 † | Metformina in GLIPIZE N = 401 † |
| HbA1c (%) | ||
| Basale (media) | 7.7 | 7.7 |
| Modifica dalla linea di base (media regolata ‡) | -0.5 | -0.5 |
| Differenza dalla metformina Glipizide (media aggiustata ‡) (IC al 95%) | 0.0 (-0,1 0,1) | |
| Peso corporeo (kg) | ||
| Basale (media) | 88.4 | 87.6 |
| Modifica dalla linea di base (media regolata ‡) | -3.2 | 1.4 |
| Differenza dalla metformina Glipizide (media aggiustata ‡) (IC al 95%) | −4,7¶ (−5,1 −4,2) | |
| * LOCF: ultima osservazione portata avanti. † pazienti randomizzati e trattati con basale e almeno 1 misurazione dell'efficacia post-base. ‡ I minimi quadrati mediano regolati per il valore di base. § Metformina non-inferior per glipizide. ¶ Value p <0.0001. |
Terapia di combinazione aggiuntiva con altri agenti antidiabetici
Terapia di combinazione aggiuntiva con solfonilurea
Un totale di 597 pazienti adulti con diabete mellito di tipo 2 e controllo glicemico inadeguato (HbA1c ≥7% e ≤10%) sono stati randomizzati in questo studio controllato con placebo di 24 settimane per valutare il farxiga in combinazione con glimepiride (un solfonilulea) (NCT00680745).
I pazienti con almeno la metà della dose massima raccomandata di glimepiride come monoterapia (4 mg) per almeno 8 settimane di lead-in sono stati randomizzati a Farxiga 5 mg Farxiga 10 mg o placebo oltre al glimepiride 4 mg al giorno. La decadenza del glimepiride a 2 mg o 0 mg è stata consentita l'ipoglicemia durante il periodo di trattamento; Non è stata consentita alcuna titrazione di glimepiride.
In combinazione con glimepiride farxiga 10 mg ha fornito un miglioramento statisticamente significativo in HbA1c FPG e PPG 2 ore e una riduzione statisticamente significativa del peso corporeo rispetto al glimepiride più placebo alla settimana 24 (vedi Tabella 12). Statisticamente significativo (p <0.05 for both doses) mean changes from baseline in systolic blood pressure relative to placebo plus glimepiride were -2.8 mmHg E -3.8 mmHg with Farhiga 5 mg E 10 mg plus glimepiride respectively.
Terapia di combinazione aggiuntiva con metformina e una sulfonilurea
Un totale di 218 pazienti adulti con diabete mellito di tipo 2 e controllo glicemico inadeguato (HbA1C ≥7% e ≤10,5%) hanno partecipato a uno studio controllato con placebo di 24 settimane per valutare Farxiga in combinazione con metformina e solfonilurea (NCT01392677). I pazienti con una dose stabile di metformina (formulazioni immediate a rilascio prolungato) ≥1500 mg/die più la dose massima tollerata che deve essere almeno la metà della dose massima di una solfonilurea per almeno 8 settimane prima dell'iscrizione sono stati randomizzati dopo un periodo di piombo di 8 settimane a Farxiga 10 Mg o Petcho. La dose-titrazione di FARXIGA o metformina non è stata consentita durante il periodo di trattamento della settimana 24. La decadenza della sulfonilurea è stata autorizzata a prevenire l'ipoglicemia ma non è stata consentita alcuna up-titrazione. Come trattamento aggiuntivo per metformina combinata e un trattamento di sulfonilurea con Farxiga 10 mg ha fornito miglioramenti statisticamente significativi in HbA1c e FPG e una riduzione statisticamente significativa del peso corporeo rispetto al placebo alla settimana 24 (Tabella 12). Un statisticamente significativo (P <0.05) mean change from baseline in systolic blood pressure relative to placebo in combination with metformin E a sulfonylurea was -3.8 mmHg with Farhiga 10 mg in combination with metformin E a sulfonylurea at Week 8.
Terapia di combinazione aggiuntiva con un tiazolidineone
Un totale di 420 pazienti adulti con diabete mellito di tipo 2 con controllo glicemico inadeguato (HbA1c ≥7% e ≤10,5%) hanno partecipato a uno studio controllato con placebo 24 settimane per valutare il Farxiga in combinazione con pioglitazone [un tiazolidineone (tzd) (NCT006878). I pazienti con una dose stabile di pioglitazone di 45 mg al giorno (o 30 mg al giorno se 45 mg al giorno non sono stati tollerati) per 12 settimane sono stati randomizzati dopo un periodo di lead-in di 2 settimane a 5 o 10 mg di farxiga o placebo oltre alla loro attuale dose di piogotazone. La titolazione della dose di farxiga o piogotazone non è stata consentita durante il processo.
In combinazione con il trattamento con pioglitazone con FARXIGA 10 mg ha fornito miglioramenti statisticamente significativi nell'HBA1c PPG 2 ore PPG la percentuale di pazienti che raggiungono HbA1C <7% E a statistically significant reduction in body weight compared with the placebo plus pioglitazone treatment groups (see Table 12) at Week 24. A statistically significant (p <0.05) mean change from baseline in systolic blood pressure relative to placebo in combination with pioglitazone was -4.5 mmHg with Farhiga 10 mg in combination with pioglitazone.
Terapia di combinazione aggiuntiva con un inibitore DPP4
A total of 452 adult patients with type 2 diabetes mellitus who were drug naive or who were treated at entry with metformin or a DPP4 inhibitor alone or in combination and had inadequate glycemic control (HbA1c ≥7.0% and ≤10.0% at randomization) participated in a 24-week placebo-controlled trial to evaluate FARXIGA in combination with sitagliptin (a Inibitore DPP4) con o senza metformina (NCT00984867).
I pazienti idonei sono stati stratificati in base alla presenza o all'assenza di metformina di fondo (≥1500 mg al giorno) e all'interno di ogni strato sono stati randomizzati a Farxiga 10 mg più sitagliptin 100 mg una volta al giorno o placebo più sitagiptin 100 mg una volta al giorno. Gli endpoint sono stati testati per Farxiga 10 mg rispetto al placebo per il gruppo di prova totale (sitagliptin con e senza metformina) e per ogni strato (sitagliptin da solo o sitagliptin con metformina). Il trentasette per cento (37%) dei pazienti era ingenuo drogato Il 32% era solo in metformina il 13% era solo su un inibitore DPP4 e il 18% era su un inibitore DPP4 più la metformina. La titolazione della dose di Farxiga sitagliptin o metformina non è stata consentita durante il processo.
In combinazione con Sitagliptin (con o senza metformina) Farxiga 10 mg ha fornito miglioramenti statisticamente significativi in HbA1c FPG e una riduzione statisticamente significativa del peso corporeo rispetto al gruppo di Sitagliptin (con o senza metformina) alla settimana 24 (vedi Tabella 12). Questi miglioramenti sono stati osservati anche nello strato di pazienti che hanno ricevuto Farxiga 10 mg più Sitagliptin da solo (cambiamento medio corretto al placebo per HbA1c -0,56%; n = 110) rispetto al placebo più sitagliptin da solo per HBA1c) e lo strato di Stratum che hanno ricevuto Farxiga 10 mg più sitagliptin e methorformin (medio di corretta per il placebo -dorretto medio -0,0,0.00. n = 113) rispetto al placebo più sitagliptin con metformina (n = 113).
Terapia di combinazione aggiuntiva con insulina
Un totale di 808 pazienti adulti con diabete mellito di tipo 2 che avevano un controllo glicemico inadeguato (HbA1C ≥7,5% e ≤10,5%) sono stati randomizzati in uno studio controllato con placebo di 24 settimane per valutare Farxiga come terapia aggiuntiva all'insulina (NCT0067331). Patients on a stable insulin regimen with a mean dose of at least 30 IU of injectable insulin per day for a period of at least 8 weeks prior to enrollment and on a maximum of 2 oral antidiabetic medications (OADs) including metformin were randomized after completing a 2-week enrollment period to receive either FARXIGA 5 mg FARXIGA 10 mg or placebo in addition to their current dose of insulin and other OADS se applicabile. I pazienti sono stati stratificati in base alla presenza o all'assenza di OAD di fondo. Or-Ot-titration di insulina è stata consentita solo durante la fase di trattamento nei pazienti che non hanno raggiunto obiettivi glicemici specifici. Le modifiche della dose di farmaci per lo studio cieco o OAD non sono state consentite durante la fase di trattamento, ad eccezione della riduzione degli OAD (S) in cui vi erano preoccupazioni sull'ipoglicemia dopo l'interruzione della terapia con insulina.
In questo studio il 50% dei pazienti era in monoterapia di insulina al basale mentre il 50% era su 1 o 2 OAD oltre all'insulina. Alla settimana 24 Farxiga 10 mg dose ha fornito un miglioramento statisticamente significativo in HbA1c e una riduzione della dose media di insulina e una riduzione statisticamente significativa del peso corporeo rispetto al placebo in combinazione con insulina con o senza fino a 2 OAD (vedere la Tabella 12); L'effetto di Farxiga su HbA1c era simile nei pazienti trattati con insulina da solo e pazienti trattati con insulina più OAD. Statisticamente significativo (p <0.05) mean change from baseline in systolic blood pressure relative to placebo in combination with insulin was -3.0 mmHg with Farhiga 10 mg in combination with insulin.
Alla settimana 24 Farxiga 5 mg (-5,7 differenza UI dal placebo) e 10 mg (-6,2 differenza UI dal placebo) una volta al giorno ha comportato una riduzione statisticamente significativa della dose media di insulina giornaliera (P <0.0001 for both doses) compared to placebo in combination with insulin E a statistically significantly higher proportion of patients on Farhiga 10 mg (19.6%) reduced their insulin dose by at least 10% compared to placebo (11.0%).
Tabella 12: risultati di studi controllati da 24 settimane (LOCF*) di Farxiga in combinazione con agenti antidiabetici
† pazienti randomizzati e trattati con basale e almeno 1 misurazione dell'efficacia post-base.
‡ I minimi quadrati mediano regolati per il valore di base in base a un modello ANCOVA.
§ Value p <0.0001 versus placebo.
¶ Livello PPG di 2 ore come risposta a un test di tolleranza al glucosio orale di 75 grammi (OGTT).
Þ Tutti i pazienti randomizzati che hanno assunto almeno una dose di farmaco di studio in doppio cieco durante il periodo in doppio cieco a breve termine.
β valore p <0.05 versus placebo.
a NT: non testato formalmente a causa del non riuscire a raggiungere una differenza statisticamente significativa in un endpoint precedente nella sequenza di test.
| Parametro di efficacia | Farhiga 10 mg | Farhiga 5 mg | Placebo |
| In combinazione con sulfonilurea (glimepiride) | |||
| Popolazione intento per il trattamento | N = 151† | N = 142 † | N = 145† |
| HbA1c (%) | |||
| Basale (media) | 8.1 | 8.1 | 8.2 |
| Modifica dalla linea di base (media regolata ‡) | −0,8 | −0,6 | −0.1 |
| Differenza dal placebo (media regolata ‡) (IC al 95%) | −0.7§ (−0,9 −0,5) | −0.5§ (−0,7 −0,3) | |
| Percentuale dei pazienti che raggiungono HbA1c <7% adjusted for baseline | 31,7%§ | 30,3%§ | 13,0% |
| FPG (MG/DL) | |||
| Basale (media) | 172.4 | 174.5 | 172.7 |
| Modifica dalla linea di base (media regolata ‡) | -28.5 | -21.2 | -2.0 |
| Differenza dal placebo (media regolata ‡) (IC al 95%) | −26,5 (−33,5 −19,5) | −19.3 (−26,3 −12,2) | |
| 2 ore PPG¶ (MG/DL) | |||
| Basale (media) | 329.6 | 322.8 | 324.1 |
| Modifica dalla linea di base (media regolata ‡) | -60.6 | -54.5 | -11.5 |
| Differenza dal placebo (media regolata ‡) (IC al 95%) | -49.1 § (-64.1 -34.1) | -43.0 (-58.4 -27.5) | |
| Peso corporeo (kg) | |||
| Basale (media) | 80.6 | 81.0 | 80.9 |
| Modifica dalla linea di base (media regolata ‡) | -2.3 | -1.6 | -0.7 |
| Differenza dal placebo (media regolata ‡) (IC al 95%) | -1.5 § (-2.2 -0.9) | -0.8§ (-1.5 -0.2) | |
| In combinazione con la metformina e una sulfonilurea | |||
| Popolazione intento per il trattamento | N = 108 † | - | N = 108 † |
| HbA1c (%) | |||
| Basale (media) | 8.08 | - | 8.24 |
| Modifica dal basale (media regolata ‡ | -0.86 | - | -0.17 |
| Differenza dal placebo (media regolata ‡ | -0.69 § (-0.89 -0.49) | - | |
| Percentuale dei pazienti che raggiungono HBALC <7% adjusted for baseline | 31,8%§ | - | 11,1% |
| FPG (MG/DL) | |||
| Basale (media) | 167.4 | - | 180.3 |
| Modifica dalla linea di base (media regolata ‡) | -34.2 | - | -0.8 |
| Differenza dal placebo (media regolata ‡) (IC al 95%) | −33.5§ (−43,1 −23,8) | - | |
| Peso corporeo (kg) | |||
| Basale (media) | 88.57 | - | 90.07 |
| Modifica dalla linea di base (media regolata ‡) | -2.65 | - | -0.58 |
| Differenza dal placebo (media regolata ‡) (IC al 95%) | −2,07 § (−2,79 −1,35) | - | |
| In combinazione con tiazolidinedeone (pioglitazone) | |||
| Popolazione intento per il trattamento | N = 140Þ | N = 141Þ | N = 139Þ |
| HbA1c (%) | |||
| Basale (media) | 8.4 | 8.4 | 8.3 |
| Modifica dalla linea di base (media regolata ‡) | -1.0 | -0.8 | -0.4 |
| Differenza dal placebo (media regolata ‡) (IC al 95%) | -0.6§ (-0.8 -0.3) | -0.4 (-0.6 -0.2) | |
| Percentuale dei pazienti che raggiungono HBALC <7% adjusted for baseline | 38,8%b | 32,5%b | 22,4% |
| FPG (MG/DL) | |||
| Basale (media) | 164.9 | 168.3 | 160.7 |
| Modifica dalla linea di base (media regolata ‡) | -29.6 | -24.9 | -5.5 |
| Differenza dal placebo (media regolata ‡) (IC al 95%) | −24.1§ (−32,2 −16.1) | −19,5 § (−27,5 −11,4) | |
| 2 ore PPG¶ (MG/DL) | |||
| Basale (media) | 308.0 | 284.8 | 293.6 |
| Modifica dalla linea di base (media regolata ‡) | -67.5 | -65.1 | -14.1 |
| Differenza dal placebo (media regolata ‡) (IC al 95%) | −53.3§ (−71,1 −35,6) | −51,0 § (−68,7 −33,2) | |
| Peso corporeo (kg) | |||
| Basale (media) | 84.8 | 87.8 | 86.4 |
| Modifica dalla linea di base (media regolata ‡) | -0.1 | 0.1 | 1.6 |
| Differenza dal placebo (media regolata ‡) (IC al 95%) | −1.8§ (−2,6 −1,0) | −1,6 (−2,3 −0,8) | |
| In combinazione con l'inibitore DPP4 (sitagliptin) con o senza metformina | |||
| Popolazione intento per il trattamento | N = 223 † | - | N = 224 † |
| HbA1c (%) | |||
| Basale (media) | 7.90 | - | 7.97 |
| Modifica dalla linea di base (media regolata ‡) | -0.45 | - | 0.04 |
| Differenza dal placebo (media regolata ‡) (IC al 95%) | −0,48 § (−0,62 −0,34) | - | |
| I pazienti con HbA1c diminuiscono ≥0,7% (percentuale rettificata) | 35,4% | - | 16,6% |
| FPG (MG/DL) | |||
| Basale (media) | 161.7 | - | 163.1 |
| Modifica dal basale alla settimana 24 (media adeguata ‡) | -24.1 | - | 3.8 |
| Differenza dal placebo (media regolata ‡) (IC al 95%) | −27,9 § (−34,5 −21,4) | - | |
| Peso corporeo (kg) | |||
| Basale (media) | 91.02 | - | 89.23 |
| Modifica dalla linea di base (media regolata ‡) | -2.14 | - | -0.26 |
| Differenza dal placebo (media regolata ‡) (IC al 95%) | −1,89§ (−2,37 −1,40) | - | |
| In combinazione con insulina con o senza fino a 2 terapie antidiabetiche orali | |||
| Popolazione intento per il trattamento | N = 194 † | N = 211 † | N = 193 † |
| HbA1c (%) | |||
| Basale (media) | 8.6 | 8.6 | 8.5 |
| Modifica dalla linea di base (media regolata ‡) | -0.9 | -0.8 | -0.3 |
| Differenza dal placebo (media regolata ‡) (CD 95% | −0,6§ (−0,7 −0,5) | -0.5§ (-0.7 -0.4) | |
| FPG (MG/DL) | |||
| Basale (media) | 173.7 | Nt a | 170.0 |
| Modifica dalla linea di base (media regolata ‡) | -21.7 | Nt a | 3.3 |
| Differenza dal placebo (media regolata ‡) (IC al 95%) | −25.0 § (−34,3 −15,8) | Nt a | |
| Peso corporeo (kg) | |||
| Basale (media) | 94.6 | 93.2 | 94.2 |
| Modifica dalla linea di base (media regolata ‡) | -1.7 | -1.0 | 0.0 |
| Differenza dal placebo (media regolata ‡) (IC al 95%) | −1,7 (−2,2 −1,2) | −1,0 (−1,5 −0,5) | |
Terapia di combinazione con rilascio esenatide-esteso come componente aggiuntivo alla metformina
Un totale di 694 pazienti adulti con diabete mellito di tipo 2 e un controllo glicemico inadeguato (HbA1c ≥8,0 e ≤12,0%) sulla metformina sono stati valutati in una sola prova di Farxiga di Farxiga da sola con il recettore attivo di Farxiga a Farxiga di 28 settimane). AGGIORNO A METFORMIN (NCT02229396). I pazienti in metformina alla dose di almeno 1500 mg al giorno sono stati randomizzati a seguito di un periodo di lead-in placebo di 1 settimana per ricevere FARXIGA 10 mg una volta al giorno (QD) in combinazione con exenatide a rilascio prolungato 2 mg una volta settimanale (QW) FARXIGA 10 mg QD o exenatide esteso 2 Mg QW.
Alla settimana 28 Farxiga in combinazione con esenatide esteso a rilascio statisticamente significativamente maggiori di riduzione di HbA1c (-1,77%) rispetto alla sola Farxiga (-1,32% p = 0,001) e al solo release esteso di Exenatide (-1,42% p = 0,012). Farxiga in combinazione con esenatide esteso a rilascio statisticamente significativamente maggiori in FPG (-57,35 mg/dl) rispetto al solo Farxiga (-44,72 mg/dl P = 0,006) e solo exenatide a rilascio prolungato (-40,53 p <0.001).
Utilizzare negli adulti con diabete mellito di tipo 2 e compromissione renale moderata
Farhiga was assessed in two placebo-controlled trials of adult patients with type 2 diabete mellito E moderate renal impairment.
I pazienti con diabete mellito di tipo 2 e un EGFR compreso tra 45 e meno di 60 ml/min/1,73 m² controllati in modo inadeguato sulla terapia del diabete attuale hanno partecipato a uno studio clinico controllato da placebo in doppio cieco a 24 settimane (NCT02413398). I pazienti sono stati randomizzati a Farxiga 10 mg o placebo somministrati per via orale una volta al giorno. Alla settimana 24 Farxiga ha fornito riduzioni statisticamente significative in HbA1c rispetto al placebo (Tabella 13).
Tabella 13: Risultati alla settimana 24 della prova controllata con placebo per farxiga negli adulti con diabete mellito di tipo 2 e compromissione renale (EGFR da 45 a meno di 60 ml/min/1,73 m²)
| Farhiga 10 mg | Placebo | |
| Numero di pazienti: | N = 160 | N = 161 |
| HbA1c (%) | ||
| Basale (media) | 8.3 | 8.0 |
| Modifica dalla linea di base (media regolata*) | -0.4 | -0.1 |
| Differenza dal placebo (media aggiustata*) (IC al 95%) | -0.3 † (-0.5 -0.1) | |
| *I minimi quadrati mediano regolati per il valore di base; Alla settimana 24 HbA1c mancava per il 5,6% e il 6,8% delle persone trattate rispettivamente con Farxiga e Placebo. Dropout recuperati, ad esempio HbA1c osservato alla settimana 24 da soggetti che hanno interrotto il trattamento sono stati usati per imputare i valori mancanti in HbA1c. † Valore p = 0,008 contro placebo. |
Controllo glicemico nei pazienti pediatrici di età pari o superiore a 10 anni con diabete mellito di tipo 2
In uno studio pediatrico (NCT03199053) i pazienti di età compresa tra 10 e 17 anni con diabete mellito di tipo 2 inadeguatamente controllato (HbA1C ≥6,5% e ≤10,5%) sono stati randomizzati a farxiga (81 pazienti) o placebo (76 pazienti) come componente aggiuntivo per insolina metform o una combinazione di metforina e metforina. In questo studio clinico randomizzato in doppio cieco controllato con placebo di 26 settimane con un estensione di sicurezza di 26 settimane ha ricevuto 5 mg di Farxiga o placebo dopo un periodo di lead-in. Alla settimana 14 pazienti con valori HbA1c <7% remained on 5 mg while patients with HbA1c values ≥7% were rEomized to either continue on 5 mg or up-titrate to 10 mg.
Al basale l'88% dei pazienti trattati con Farxiga e l'89% dei pazienti trattati con placebo erano in metformina con o senza insulina come farmaco di fondo. L'HbA1c medio al basale era dell'8,2% nei pazienti trattati con Farxiga e 8,0% nei pazienti trattati con placebo e la durata media del diabete mellito di tipo 2 era di 2,3 anni in pazienti trattati con Farxiga e 2,5 anni nei pazienti trattati con placebo. L'età media era di 14,4 anni nei pazienti trattati con Farxiga e 14,7 anni in pazienti trattati con placebo e circa il 61% dei pazienti trattati con Farxiga e il 58% dei pazienti trattati con placebo erano femmine. Nei pazienti trattati con Farxiga circa il 52% era bianco il 22% era asiatico, il 9% era nero o afroamericano e il 56% era di etnia ispanica o latina. Nei pazienti trattati con placebo circa il 42% erano bianchi il 32% erano asiatici il 4% erano neri o afroamericani e il 45% era di etnia ispanica o latina. L'IMC medio era di 29,7 kg/m² nei pazienti trattati con Farxiga e 28,5 kg/m² nei pazienti trattati con placebo e il punteggio Z medio di BMI era 1,7 nei pazienti trattati con Farxiga e 1,5 nei pazienti trattati con placebo. L'EGFR medio al basale era di 115 ml/min/1,73 m² nei pazienti trattati con Farxiga e 113 mL/min/1,73 m² nei pazienti trattati con placebo.
Alla settimana 26 il trattamento con Farxiga ha fornito miglioramenti statisticamente significativi in HbA1c rispetto al placebo (Tabella 14). Questo effetto è stato coerente tra i sottogruppi, compresa la fascia di età sessuale di razza (da ≥10 a <15 years of age E ≥15 to <18 years of age) background antidiabetic treatment E baseline BMI.
Tabella 14: Risultati alla settimana 26 in uno studio controllato con placebo di Farxiga come componente aggiuntivo alla metformina e/o all'insulina in pazienti pediatrici di età pari o superiore a 10 anni con diabete mellito di tipo 2
| Parametro di efficacia | Farhiga 5 mg E 10 mg | Placebo |
| Popolazione intento per il trattamento (N)* | 81 | 76 |
| HBA1C † (%) | ||
| Basale (media) | 8.2 | 8.0 |
| Modifica dalla linea di base (media regolata ‡) | -0.6 | 0.4 |
| Differenza dal placebo (media regolata ‡) (IC al 95%) | -1.0 § (-1.6 -0.5) | |
| FPG † (MG/DL) | ||
| Basale (media) | 162.2 | 152.0 |
| Modifica dalla linea di base (media regolata ‡) | -10.3 | 9.2 |
| Differenza dal placebo (media regolata ‡) (IC al 95%) | -19.5¶ (-36.4 -2.6) | |
| Percentuale dei soggetti che raggiungono un livello HbA1c <7% | 34,6% | 25,0% |
| CI = intervallo di confidenza * Tutti i pazienti randomizzati che hanno ricevuto almeno una dose di farmaco di studio in doppio cieco durante il periodo di trattamento. Include i dati indipendentemente dalla sospensione di salvataggio o prematura. † Imputazioni multiple utilizzando l'approccio di lavaggio placebo per l'endpoint di efficacia mancante. Imputato per HbA1c (Farxiga n = 6 (NULL,4%) placebo n = 6 (NULL,9%)) per FPG (farxiga n = 6 (NULL,4%) placebo n = 8 (NULL,5%)). ‡ I minimi quadrati medi adeguati per il valore basale di trattamento sesso di età e farmaci diabetici basali. § Value p versus placebo <0.001. valore p is two-sided. ¶ Value p versus placebo <0.05. valore p is two-sided. |
Risultati cardiovascolari negli adulti con diabete mellito di tipo 2
L'effetto dapagliflozin sugli eventi cardiovascolari (dichiara NCT01730534) è stato uno studio clinico a doppio cieco randomizzato multicentrico internazionale condotto per determinare l'effetto di Farxiga rispetto al placebo sugli esitti cardiovascolari (CV) quando aggiunto alla terapia di fondo attuale. Tutti i pazienti avevano il diabete mellito di tipo 2 e la malattia CV stabilita o due o più fattori di rischio CV aggiuntivi (età ≥55 anni negli uomini o ≥60 anni nelle donne e uno o più di ipertensione di dislipidemia o uso attuale del tabacco). Le terapie antidiabetiche e aterosclerotiche concomitanti potrebbero essere adeguate a discrezione degli investigatori per garantire che i partecipanti fossero trattati in base alle cure standard di queste malattie.
Dei 17160 pazienti randomizzati 6974 (NULL,6%) avevano stabilito la malattia da CV e 10186 (NULL,4%) non avevano stabilito la malattia da CV. Un totale di 8582 pazienti sono stati randomizzati a Farxiga 10 mg 8578 a Placebo e i pazienti sono stati seguiti per una mediana di 4,2 anni.
Circa l'80% della popolazione di prova era bianco 4% nero o afroamericano e il 13% asiatico. L'età media era di 64 anni e circa il 63% era maschio.
La durata media del diabete è stata di 11,9 anni e il 22,4% dei pazienti ha avuto il diabete per meno di 5 anni. L'EGFR medio era di 85,2 ml/min/1,73 m². Al basale il 23,5% dei pazienti presentava microalbuminuria (UACR da ≥30 a ≤300 mg/g) e il 6,8% aveva macroalbuminuria (UACR> 300 mg/g). L'HbA1c medio era dell'8,3% e l'IMC medio era di 32,1 kg/m². Al basale il 10% dei pazienti aveva una storia di insufficienza cardiaca.
La maggior parte dei pazienti (NULL,1%) ha utilizzato uno o più farmaci antiiperglicemici al basale. L'82,0% dei pazienti è stato trattato con metformina il 40,9% con insulina il 42,7% con una solfonilurea del 16,8% con un inibitore DPP4 e il 4,4% con un agonista del recettore GLP-1.
Approximately 81.3% of patients were treated with angiotensin converting enzyme inhibitors or angiotensin receptor blockers 75.0% with statins 61.1% with antiplatelet therapy 55.5% with acetylsalicylic acid 52.6% with beta-blockers 34.9% with calcium channel blockers 22.0% with thiazide diuretics and 10.5% with loop diuretics.
Un modello di pericoli proporzionali di Cox è stato utilizzato per testare la non-inferiorità rispetto al margine di rischio pre-specificato di 1,3 per il rapporto di pericolo (HR) del composto di decesso CV MACE MYOCARDIALE (MI) o ictus ischemico (MACE) e se la non-inferiorità è stata dimostrata per testare la superiorità sui due punti primari: 1 il composizione di ospedale e cv)
Il tasso di incidenza della MACE era simile in entrambi i bracci di trattamento: 2,30 MACE eventi per 100 anni di pazienti su Dapagliflozin contro 2,46 eventi MACE per 100 anni su placebo. Il rapporto di rischio stimato di MACE associato a dapagliflozin rispetto al placebo era 0,93 con un IC al 95% di (NULL,84 1,03). Il limite superiore di questo intervallo di confidenza 1.03 ha escluso il margine di non inferiorità pre-specificato di 1.3.
Farhiga was superior to placebo in reducing the incidence of the primary composite endpoint of hospitalization for heart failure or CV death [HR 0.83 (95% CI 0.73 0.95)].
L'effetto del trattamento è dovuto a una significativa riduzione del rischio di ricovero per l'insufficienza cardiaca nei soggetti randomizzati a Farxiga [HR 0,73 (IC 95% 0,61 0,88)] senza alcun cambiamento nel rischio di morte CV (Tabella 15 e Figure 4 e 5).
Tabella 15: effetti terapeutici per gli endpoint primari* e i loro componenti* nella sperimentazione dichiarata
| Variabile di efficacia (tempo al primo occorrenza) | Pazienti con eventi n (%) | Hazard ratio (95% CI) | |
| Farhiga 10 mg N = 8582 | Placebo N = 8578 | ||
| Endpoint primari | |||
| Composto di ricovero in ospedale per insufficienza cardiaca CV Morte † | 417 (4.9) | 496 (5.8) | 0.83 (NULL,73 0,95) |
| Endpoint composito di cv Death Mi ischemico ictus | 756 (8.8) | 803 (9.4) | 0.93 (NULL,84 1.03) |
| Componenti degli endpoint compositi ‡ | |||
| Ricovero in ospedale per insufficienza cardiaca | 212 (2.5) | 286 (3.3) | 0.73 (NULL,61 0,88) |
| Morte cv | 245 (2.9) | 249 (2.9) | 0.98 (NULL,82 1,17) |
| Infarto miocardico | 393 (4.6) | 441 (5.1) | 0.89 (NULL,77 1,01) |
| Ictus ischemico | 235 (2.7) | 231 (2.7) | 1.01 (NULL,84 1,21) |
| N = numero di pazienti CI = intervallo di confidenza cv = MI cardiovascolare = infarto miocardico. 38 * Set di analisi completa. † Valore p = 0,005 contro placebo. ‡ Numero totale di eventi presentati per ciascun componente degli endpoint compositi. |
Figura 4: tempo al primo verificarsi di ricovero in ospedale per insufficienza cardiaca o morte CV nel processo dichiarata
|
Figura 5: tempo al primo verificarsi di ricovero per l'insufficienza cardiaca nella prova di dichiarazione
|
Malattia renale cronica negli adulti
La sperimentazione per valutare l'effetto di Dapagliflozin sugli esiti renali e sulla mortalità cardiovascolare in pazienti con malattia renale cronica (DAPA-CKD NCT03036150 è stata una sperimentazione di album/15 miglia di Aml/15 ML/15 ML/15 ML/15 ML/15 ML) e 75 m on, di DAPA CRONATER (EGFR) Rapporto di creatinina (UACR) tra 200 e 5000 mg/g] che stavano ricevendo una terapia di fondo standard di cure tra cui una dose giornaliera etichettata massima di un inibitore degli enzimi di conversione dell'angiotensina (ACEI) o bloccante del recettore dell'angiotensina (ARB). Lo studio ha escluso i pazienti con autosomico dominante o nefrite renale policistica recessiva autosomica o vasculite associata ad ANCA e pazienti che richiedono terapie immunosoppressive o immunomodulatori citotossiche nei 6 mesi precedenti.
L'obiettivo primario era determinare se Farxiga riduce l'incidenza dell'endpoint composito di ≥50% di declino sostenuto della progressione dell'EGFR nella malattia renale allo stadio terminale (ESKD) (definito come EGFR sostenuto <15 mL/min/1.73 m² initiation of chronic dialysis treatment or renal transplant) CV or renal death.
Un totale di 4304 pazienti sono stati randomizzati equamente a Farxiga 10 mg o placebo e sono stati seguiti per una mediana di 28,5 mesi.
L'età media della popolazione di prova era di 62 anni e il 67% era maschio. La popolazione era bianca al 53% bianca 4% nera o afroamericana e al 34% asiatico; Il 25% era di etnia ispanica o latina.
Al basale EGFR medio era di 43 ml/min/1,73 m² il 44% dei pazienti aveva un EGFR 30 ml/min/1,73 m² a meno di 45 ml/min/1,73 m² e il 15% dei pazienti aveva un EGFR inferiore a 30 ml/min/1,73 m². UACR mediano era di 950 mg/g. Un totale del 68% dei pazienti aveva il diabete mellito di tipo 2 alla randomizzazione. Le eziologie più comuni della CKD erano la nefropatia diabetica (58%) nefropatia ischemica/ipertensiva (16%) e nefropatia IgA (6%).
Al basale il 97% dei pazienti è stato trattato con ACEI o ARB. Circa il 44% stava assumendo agenti antipiastrinici e il 65% era su una statina.
Farhiga reduced the incidence of the primary composite endpoint of ≥50% sustained decline in eGFR progression to ESKD CV or renal death [HR 0.61 (95% CI 0.510.72); p <0.0001]. The Farhiga E placebo event curves separate by Month 4 E continue to diverge over the trial period. The treatment effect reflected a reduction in ≥50% sustained decline in eGFR progression to ESKD E CV death. There were few renal deaths during the trial (Table 16 Figure 6).
Farhiga also reduced the incidence of the composite endpoint of CV death or hospitalization for heart failure [HR 0.71 (95% CI 0.55 0.92) p=0.0089] E all-cause mortality [HR 0.69 (95% CI 0.53 0.88) p=0.0035].
Tabella 16: Effetto del trattamento per l'endpoint composito primario i suoi componenti e gli endpoint compositi secondari nello studio DAPA-CKD
| Variabile di efficacia (tempo al primo occorrenza) | Pazienti con eventi (tasso di eventi) | Hazard ratio (95% CI) | valore p | |
| Farhiga 10 mg N = 2152 | Placebo N = 2152 | |||
| Composito di ≥50% sostenuto EGFR Declino ESKD CV o morte renale | 197 (4.6) | 312 (7.5) | 0,61 (NULL,51 0,72) | <0.0001 |
| ≥50% di declino dell'EGFR sostenuto | 112 (2.6) | 201 (4.8) | 0,53 (NULL,42 0,67) | |
| Eskd* | 109 (2.5) | 161 (3.8) | 0,64 (NULL,50 0,82) | |
| Morte cv | 65 (1.4) | 80 (1.7) | 0,81 (NULL,58 1,12) | |
| Morte renale | 2 ( <0.1) | 6 (NULL,1) | ||
| ≥50% di declino dell'EGFR sostenuto ESKD or renal death | 142 (3.3) | 243 (5.8) | 0,56 (NULL,45 0,68) | <0.0001 |
| Morte o ricovero in ospedale per insufficienza cardiaca | 100 (2.2) | 138 (3.0) | 0,71 (NULL,55 0,92) | 0.0089 |
| Ricovero in ospedale per insufficienza cardiaca | 37 (NULL,8) | 71 (1.6) | 0,51 (NULL,34 0,76) | |
| Mortalità per tutte le cause | 101 (2.2) | 146 (3.1) | 0,69 (NULL,53 0,88) | 0.0035 |
| N = numero di pazienti CI = intervallo di confidenza CV = ESKD cardiovascolare = malattia renale in stadio finale. * L'ESKD è definito come EGFR sostenuto <15 mL/min/1.73 m² initiation of chronic dialysis treatment or transplant. Nota: il tempo al primo evento è stato analizzato in un modello di rischi proporzionali Cox. Le tariffe degli eventi sono presentate come numero di soggetti con evento per 100 anni di follow-up. Ci sono stati troppi eventi di morte renale per calcolare un rapporto di pericolo affidabile. |
Figura 6: tempo al primo verificarsi dell'endpoint composito primario ≥50% sostenuto un calo del CV ESKD EGFR o morte renale (studio DAPA-CKD)
|
I pazienti a rischio sono il numero di soggetti a rischio all'inizio del periodo. 1 mese corrisponde a 30 giorni. Viene visualizzato il valore p a 2 lati. Il valore delle risorse umane e p provengono dal modello di rischio proporzionale di Cox. HR = rapporto hazard; Ci = intervallo di confidenza; EGFR = velocità di filtrazione glomerulare stimata; ESKD = malattia renale allo stadio finale; Cv = cardiovascolare; vs = contro.
I risultati dell'endpoint composito primario erano coerenti tra i sottogruppi esaminati, compresi i pazienti con CKD con e senza diabete mellito di tipo 2 cause di razza di sesso biologica di sesso CKD UACR ed EGFR.
DAPA-CKD ha arruolato una popolazione con CKD relativamente avanzata ad alto rischio di progressione. Le analisi esplorative di uno studio randomizzato in doppio cieco controllato con placebo condotto per determinare l'effetto di FARXIGA sugli esiti CV (lo studio di dichiarazione) supportano la conclusione che è probabile che anche Farxiga sia efficace nei pazienti con CKD meno avanzata.
Insufficienza cardiaca negli adulti
L'efficacia e la sicurezza di Farxiga 10 mg sono state valutate in modo indipendente in due studi di fase 3 in pazienti adulti con insufficienza cardiaca.
Dapagliflozin And Prevention of Adverse outcomes in Heart Failure (DAPA-HF NCT03036124) was an international multicenter randomized double-blind placebo-controlled trial in patients with heart failure [New York Heart Association (NYHA) functional class II-IV] with reduced ejection fraction [left ventricular ejection fraction (LVEF) 40% or less] to determine whether FARXIGA reduces the risk of cardiovascular death and hospitalization for heart failure. Of 4744 patients 2373 were randomized to FARXIGA 10 mg and 2371 to placebo and were followed for a median of 18 months.
Dapagliflozin Evaluation to Improve the LIVEs of Patients with PReserved Ejection Fraction Heart Failure (DELIVER NCT03619213) was an international multicenter randomized double-blind placebo-controlled trial in patients aged ≥40 years with heart failure (NYHA class II-IV) with LVEF > 40% and evidence of structural heart disease to determine whether FARXIGA reduces the risk of cardiovascular death hospitalization for heart failure or urgent heart failure visits. Of 6263 patients 3131 were randomized to FARXIGA 10 mg and 3132 to placebo and were followed for a median of 28 months. The trial included 654 (10%) heart failure patients who were randomized during hospitalization for heart failure or within 30 days of discharge.
In DAPA-HF al basale il 94% dei pazienti è stato trattato con ACEI ARB o recettore dell'angiotensina, inibitore del recettore della netta (ARNI, incluso saccubitril/Valsartan 11% 11%) 96% con una funzionalità beta-bloccante del 71% con una funzionalità di defrillatore).
In consegna al basale il 77% dei pazienti è stato trattato con ACEI ARB o ARNI dell'83% con il beta-bloccante del 43% con MRA 98% con diuretico.
In entrambi gli studi Farxiga ha ridotto l'incidenza dell'endpoint composito primario dell'ospedale di morte CV per insufficienza cardiaca o visita di insufficienza cardiaca urgente (vedere la Tabella 17).
Tabella 17: effetto terapeutico per l'endpoint composito primario* e i suoi componenti* nel DAPA-HF e consegna prove
| Variabile di efficacia (tempo al primo occorrenza) | Prova Dapa-HF | Consegnare la prova | ||||||
| Pazienti con eventi (tasso di eventi) | Hazard ratio (95% CI) | Valore p † | Pazienti con eventi (tasso di eventi) | Hazard ratio (95% CI) | Valore p † | |||
| Farhiga 10 mg N=2373 | Placebo N=2371 | Farhiga 10 mg N=3131 | Placebo N=3132 | |||||
| Composito di ricovero in ospedale per insufficienza cardiaca cv decesso ‡ o visita di insufficienza cardiaca urgente | 386 (11.6) | 502 (15.6) | 0.74 (NULL,65 0,85) | <0.0001 | 512 (7.8) | 610 (9.6) | 0.82 (NULL,73 0,92) | 0.0008 |
| Componenti degli endpoint compositi | ||||||||
| Morte cv‡ | 227 (6.5) | 273 (7.9) | 0.82 (NULL,69 0,98) | 231 (3.3) | 261 (3.8) | 0.88 (NULL,74 1.05) | ||
| Ricovero in ospedale per insufficienza cardiaca or Visita urgente di insufficienza cardiaca | 237 (7.1) | 326 (10.1) | 0.70 (NULL,59 0,83) | 368 (5.6) | 455 (7.2) | 0.79 (NULL,69 0,91) | ||
| Ricovero in ospedale per insufficienza cardiaca | 231 (6.9) | 318 (9.8) | 0.70 (NULL,59 0,83) | 329 (5.0) | 418 (6.5) | 0.77 (NULL,67 0,89) | ||
| Visita urgente di insufficienza cardiaca | 10 (0.3) | 23 (0.7) | 0.43 (NULL,20 0,90) | 60 (0.9) | 78 (1.1) | 0.76 (NULL,55 1.07) | ||
| N = numero di pazienti CI = intervallo di confidenza cv = cardiovascolare. * Set di analisi completa. † valori p a due lati. ‡ In DAPA-HF la componente di morte CV dell'endpoint primario includeva la morte di causa indeterminata. Nel consegnare la componente di morte CV dell'endpoint primario escluso la morte di causa indeterminata. Nota: il tempo al primo evento è stato analizzato in un modello di rischi proporzionali Cox. Il numero di primi eventi per i singoli componenti sono il numero effettivo di primi eventi per ciascun componente e non si aggiunge al numero di eventi nell'endpoint composito. Le tariffe degli eventi sono presentate come numero di soggetti con evento per 100 anni di follow-up. |
In entrambi gli studi tutti e tre i componenti dell'endpoint composito primario hanno contribuito individualmente all'effetto del trattamento. In entrambe le prove le curve di eventi Farxiga e placebo si sono separate presto e hanno continuato a divergere durante il periodo di prova (vedere le figure 7 e 9).
Figura 7: tempo alla prima occorrenza del composito di morte cardiovascolare* ricovero per insufficienza cardiaca o visita di insufficienza cardiaca urgente
|
Nota: una visita urgente di insufficienza cardiaca è stata definita come una valutazione urgente non pianificata da un medico ad es. in un pronto soccorso e richiedere cure per il peggioramento dell'insufficienza cardiaca (oltre a un semplice aumento dei diuretici orali).
* In DAPA-HF la componente di morte CV dell'endpoint primario includeva la morte di causa indeterminata. Nel consegnare la componente di morte CV dell'endpoint primario escluso la morte di causa indeterminata.
† I pazienti a rischio sono il numero di pazienti a rischio all'inizio del periodo. HR = Rapporto di pericolo ci = intervallo di confidenza cv = cardiovascolare.
Figura 8: tempo per la morte cardiovascolare*
|
* In DAPA-HF la componente di morte CV dell'endpoint primario includeva la morte di causa indeterminata. Nel consegnare la componente di morte CV dell'endpoint primario escluso la morte di causa indeterminata.
† I pazienti a rischio sono il numero di pazienti a rischio all'inizio del periodo. HR = Rapporto di pericolo ci = intervallo di confidenza cv = cardiovascolare.
Figura 9: tempo per la prima occorrenza di ricovero per l'insufficienza cardiaca o la visita di insufficienza cardiaca urgente
|
* I pazienti a rischio sono il numero di pazienti a rischio all'inizio del periodo. HR = Rapporto di pericolo ci = intervallo di confidenza.
In DAPA-HF Farxiga ha ridotto il numero totale di ricoveri per l'insufficienza cardiaca (prima e ricorrente) e la morte di CV con 567 e 742 eventi totali nel gruppo Vs Placebo trattati con Farxiga [rapporto di tariffa 0,75 (IC 95% 0,65 0,88); p = 0,0002].
In consegna Farxiga ha ridotto il numero totale di eventi di insufficienza cardiaca (primo e ricorrente in ospedale per l'insufficienza cardiaca o la visita di insufficienza cardiaca urgente) e la morte CV con 815 e 1057 eventi totali nel gruppo di Farxiga contro il gruppo placebo [rapporto di tariffa 0,77 (IC 95% 0,67 0,89); p = 0,0003].
In entrambi gli studi i risultati dell'endpoint composito primario erano coerenti tra i sottogruppi esaminati (vedi Figura 10).
Figura 10: Effetti del trattamento per l'analisi del sottogruppo di endpoint composito primario (morte cardiovascolare e insufficienza cardiaca)
|
a Le stime del rapporto Hazard non sono presentate per sottogruppi con meno di 15 eventi in totale entrambi i bracci combinati.
n/n
Nt-proBNP = N-terminal pro b-type natriuretic peptide HF = Heart failure MRA = mineralocorticoid receptor antagonist ECG = electrocardiogram eGFR = estimated glomerular filtration rate.
NOTA: la figura sopra presenta gli effetti in vari sottogruppi tutti caratteristici di base. I limiti di confidenza al 95% che sono mostrati non tengono conto del numero di confronti effettuati e potrebbero non riflettere l'effetto di un fattore particolare dopo l'aggiustamento per tutti gli altri fattori. L'apparente omogeneità o eterogeneità tra i gruppi non dovrebbe essere troppo interpretata.
B) consegnare la prova
|
a Paziente subacuto definito come randomizzato durante il ricovero per l'insufficienza cardiaca o entro 30 giorni dalla dimissione.
b Definito come cronologia del diabete mellito di tipo 2. Questa analisi non include il diabete mellito di tipo 2 come fattore di stratificazione.
n/n
Nt-proBNP = N-terminal pro b-type natriuretic peptide HF = Heart failure ECG = electrocardiogram eGFR = estimated glomerular filtration rate BMI = body mass index SBP = systolic blood pressure T2DM = type 2 diabete mellito.
NOTA: la figura sopra presenta gli effetti in vari sottogruppi tutti caratteristici di base. I limiti di confidenza al 95% che sono mostrati non tengono conto del numero di confronti effettuati e potrebbero non riflettere l'effetto di un fattore particolare dopo l'aggiustamento per tutti gli altri fattori. L'apparente omogeneità o eterogeneità tra i gruppi non dovrebbe essere troppo interpretata.
pillole che rendono la tua pipì arancione
L'effetto terapeutico di Farxiga sull'endpoint composito dell'ospedale della morte cardiovascolare per insufficienza cardiaca o insufficienza cardiaca urgente era coerente in tutta la gamma LVEF, come valutato in DAPA-HF e consegna prove (Figura 11).
Figura 11: Effetti del trattamento per l'endpoint composito primario (eventi di morte cardiovascolare e insufficienza cardiaca) di LVEF (DAPA-HF e consegna di studi)
|
* 1 paziente nello studio DAPA-HF ha avuto LVEF> 40. 4 pazienti nello studio di consegna avevano LVEF ≤40.
Nella sperimentazione DAPA-HF il 5% e 95% percentili di LVEF erano rispettivamente 20 e 40. Nel processo di consegna i percentili del 5% e del 95% di LVEF erano rispettivamente 42 e 70.
Informazioni sul paziente per farxiga
Farhiga®
[Far-See-Guh]
(dapagliflozin) compresse per uso orale
Quali sono le informazioni più importanti che dovrei sapere su Farxiga?
Farhiga can cause serious side effects including:
- Chetoacidosi diabetica (aumento dei chetoni nel sangue o nelle urine) nelle persone con diabete di tipo 1 e altri chetoacidosi. Farhiga can cause ketoacidosis that can be life-threatening E may lead to death. Chetoacidosi is a serious condition which needs to be treated in a hospital. People with type 1 diabetes have a high risk of getting ketoacidosis. People with type 2 diabetes or pancreas problems also have an increased risk of getting ketoacidosis. Chetoacidosi can also happen in people who: are sick cannot eat or drink as usual skip meals are on a diet high in fat E low in carboidrati (dieta chetogenica) assumono meno della solita quantità di insulina o miss dosi di insulina che bevono troppo alcol hanno una perdita di troppa liquido dal corpo (deplezione del volume) o che hanno un intervento chirurgico. La chetoacidosi può accadere anche se la glicemia è inferiore a 250 mg/dL. Il tuo operatore sanitario potrebbe chiederti di controllare periodicamente i chetoni nelle urine o nel sangue.
Smetti di prendere Farxiga e chiamare il tuo medico o ottenere subito assistenza medica se ottieni uno dei seguenti. Se possibile, verificare i chetoni nelle urine o nel sangue anche se la glicemia è inferiore a 250 mg/dL.
-
- nausea
- stanchezza
- vomito
- difficoltà a respirare
- area dello stomaco (addominale) dolore
- chetoni nelle urine o nel sangue
- Disidratazione. Farxiga può far disidratare alcune persone (la perdita di acqua corporea e sale). La disidratazione può farti sentire vertiginosi a deboli o deboli soprattutto quando ti alzi (ipotensione ortostatica). Ci sono state segnalazioni di improvvisi lesioni renali nelle persone con diabete di tipo 2 che stanno prendendo Farxiga. Potresti essere a maggior rischio di disidratazione se tu:
- Prendi le medicine per abbassare la pressione sanguigna, comprese le pillole d'acqua (diuretici)
- sono su una dieta a basso sale
- avere problemi ai reni
- hanno 65 anni o più
Parla con il tuo operatore sanitario di ciò che puoi fare per prevenire la disidratazione, incluso quanto fluido dovresti bere su base giornaliera. Chiama subito il tuo medico se riduci la quantità di cibo o liquido che bevi ad esempio se non puoi mangiare o inizi a perdere liquidi dal tuo corpo, ad esempio dalla diarrea vomito o si trova al sole troppo a lungo.
- Candidosi. Le donne che prendono Farxiga possono avere infezioni da lievito vaginale. I sintomi di un'infezione da lievito vaginale includono:
- Odore vaginale
- Scarico vaginale bianco o giallastro (lo scarico può essere grumoso o assomigliare a cottage)
- prurito vaginale
- Infezione da lievito del pene (balanite). Il gonfiore di un pene non circonciso può svilupparsi che rende difficile tirare indietro la pelle attorno alla punta del pene. Altri sintomi dell'infezione da lievito del pene includono:
- Redness prurito o gonfiore del pene
- Scarico di profumo disgustoso dal pene
- eruzione cutanea del pene
- Dolore in the skin around the penis
Parla con il tuo operatore sanitario su cosa fare se si ottengono sintomi di un'infezione da lievito della vagina o del pene. Il tuo operatore sanitario può suggerirti di utilizzare una medicina antifungina da banco. Parla immediatamente con il tuo medico se si utilizza un farmaco antifungino da banco e i sintomi non scompare.
Cos'è farxiga?
- Farhiga is a prescription medicine used:
- Per ridurre il rischio di ulteriore peggioramento della morte della malattia renale (ESKD) della malattia renale (ESKD) a causa della malattia cardiovascolare e del ricovero in ospedale per l'insufficienza cardiaca negli adulti con malattie renali croniche.
- Per ridurre il rischio di ospedale di morte cardiovascolare per insufficienza cardiaca e urgente visita di insufficienza cardiaca negli adulti con insufficienza cardiaca quando il cuore non può pompare abbastanza sangue al resto del corpo.
- Per ridurre il rischio di ricovero in ospedale per l'insufficienza cardiaca negli adulti con diabete di tipo 2 che hanno anche malattie cardiovascolari conosciute o più fattori di rischio cardiovascolare.
- Insieme alla dieta e all'esercizio fisico per migliorare il controllo dello zucchero nel sangue (glucosio) negli adulti e nei bambini di età pari o superiore a 10 anni con diabete di tipo 2.
- Farhiga is not for use to improve blood sugar (glucose) control in people with type 1 diabetes.
- Farhiga is not for use to improve blood sugar (glucose) control in people with type 2 diabetes who have moderate to severe kidney problems because it may not work.
- Farhiga is not for people with certain genetic forms of polycystic kidney disease or who are taking or have recently received immunosuppressive therapy to treat kidney disease. Farhiga is not expected to work if you have these conditions.
- Non è noto se Farxiga è sicuro ed efficace per abbassare la glicemia (glucosio) nei bambini di età inferiore ai 10 anni con diabete di tipo 2.
- Non è noto se Farxiga è sicuro ed efficace per il trattamento dell'insufficienza cardiaca o della malattia renale cronica nei bambini di età inferiore ai 18 anni.
Chi non dovrebbe prendere Farxiga?
Non prendere farxiga se tu:
- sono allergici a dapagliflozin o a uno qualsiasi degli ingredienti di Farxiga. Vedi la fine di questa guida ai farmaci per un elenco di ingredienti in Farxiga. I sintomi di una grave reazione allergica al farxiga possono includere:
- eruzione cutanea
- patch rosse rialzate sulla pelle (orticaria)
- gonfiore della lingua e della gola delle labbra del viso che possono causare difficoltà a respirare o deglutire
Se hai uno di questi sintomi, smetti di prendere Farxiga e contatta il tuo operatore sanitario o vai immediatamente al pronto soccorso dell'ospedale più vicino.
Cosa dovrei dire al mio operatore sanitario prima di prendere Farxiga?
Prima di prendere Farxiga dillo al tuo medico se tu:
- avere diabete di tipo 1 o avere chetoacidosi diabetica.
- avere una diminuzione della dose di insulina.
- avere una grave infezione.
- avere una storia di infezione della vagina o del pene.
- avere problemi epatici.
- Avere una storia di infezioni del tratto urinario o problemi di minzione.
- sono a dieta a basso contenuto di sodio (sale). Il tuo operatore sanitario potrebbe chiederti di cambiare la tua dieta.
- avranno un intervento chirurgico. Il tuo operatore sanitario potrebbe fermare il tuo Farxiga prima di organizzare un intervento chirurgico. Parla con il tuo operatore sanitario se stai organizzando un intervento chirurgico su quando smettere di prendere Farxiga e quando ricominciarlo.
- stanno mangiando meno o c'è un cambiamento nella tua dieta.
- sono disidratati.
- Hai o hai avuto problemi con il pancreas tra cui pancreatite o chirurgia sul pancreas.
- Bevi alcol molto spesso o bevi molto alcol a breve termine (abbuffata).
- sono incinta o prevedono di rimanere incinta. Farxiga potrebbe danneggiare il tuo bambino non ancora nato. Se rimani incinta mentre prendi Farxiga, il tuo operatore sanitario può passare a una medicina diversa per controllare la glicemia. Parla con il tuo operatore sanitario del modo migliore per controllare la glicemia se prevedi di rimanere incinta o mentre sei incinta.
- stanno allattando o pianificano di allattare. Non è noto se farxiga passa nel latte materno. Non dovresti allattare se prendi farxiga.
Di 'al tuo operatore sanitario di tutte le medicine che prendi tra cui prescrizione e medicine da banco vitamine e integratori a base di erbe.
Farhiga may affect the way other medicines work E other medicines may affect how Farhiga works. Know the medicines you take. Keep a list of them to show your healthcare provider E pharmacist when you get a new medicine.
Come dovrei prendere Farxiga?
- Prendi Farxiga esattamente come il tuo operatore sanitario ti dice di prenderlo.
- Prendi Farxiga in bocca 1 volta ogni giorno con o senza cibo.
- Il tuo operatore sanitario ti dirà quanto farxiga prendere e quando prenderlo. Il tuo operatore sanitario può cambiare la tua dose se necessario.
- Se ti perdi una dose, prendilo non appena ti ricordi. Se è quasi ora per la tua prossima dose, salta la dose mancata e prendi il medicinale al momento regolarmente programmato. Non assumere 2 dosi di farxiga contemporaneamente. Parla con il tuo medico se hai domande su una dose persa.
- Se prendi troppo Farxiga, chiama il tuo medico o la linea di aiuto velenosa al numero 1-800-222-1222 o vai subito al pronto soccorso più vicino.
- Se hai il diabete:
- Quando il tuo corpo è sotto alcuni tipi di stress come l'infezione da trauma della febbre (come un incidente d'auto) o un intervento chirurgico, la quantità di medicine per il diabete di cui hai bisogno può cambiare. Dì immediatamente il tuo operatore sanitario se hai una di queste condizioni e segui le istruzioni del tuo operatore sanitario.
- Il tuo operatore sanitario potrebbe dirti di prendere Farxiga insieme ad altri medicinali per il diabete. Lo basso livello di zucchero nel sangue può avvenire più spesso quando il farxiga viene assunto con alcuni altri medicinali per il diabete. Vedi quali sono i possibili effetti collaterali di Farxiga?
- Farhiga will cause your urine to test positive for glucose.
- Il tuo operatore sanitario può fare determinati esami del sangue prima di iniziare Farxiga e durante il trattamento, se necessario. Il tuo operatore sanitario può cambiare la tua dose di farxiga in base ai risultati degli esami del sangue.
Quali sono i possibili effetti collaterali di Farxiga?
Farhiga may cause serious side effects including:
Vedere Quali sono le informazioni più importanti che dovrei sapere su Farxiga? .
- Gravi infezioni del tratto urinario. Le gravi infezioni del tratto urinario che possono portare al ricovero in ospedale sono avvenute nelle persone che stanno prendendo Farxiga. Di 'al tuo operatore sanitario se hai segni o sintomi di un'infezione del tratto urinario come una sensazione di bruciore quando si passa l'urina la necessità di urinare spesso la necessità di urinare subito il dolore nella parte inferiore dello stomaco (bacino) o del sangue nelle urine. A volte le persone possono anche avere una nausea o un vomito della febbre.
- Basso livello di zucchero nel sangue (ipoglicemia) nei pazienti con diabete mellito. Se prendi Farxiga con un altro medicinale che può causare un basso livello di zucchero nel sangue come una solfonilurea o l'insulina, il rischio di ottenere glicemia bassa è più elevato. Potrebbe essere necessario abbassare la dose del tuo medicinale di sulfonilurea o insulina mentre prendi Farxiga. Segni e sintomi di basso livello di zucchero nel sangue possono includere:
- mal di testa
- sonnolenza
- debolezza
- confusione
- vertigini
- sudorazione
- fame
- battito cardiaco veloce
- irritabilità
- tremare o sentirsi nervosi
- Una rara ma grave infezione batterica che provoca danni al tessuto sotto la pelle (fascite necrotizzante) nell'area tra e intorno all'ano e ai genitali (perineo). La fascite necrotizzante del perineo è avvenuta nelle donne e negli uomini con diabete mellito che prendono Farxiga. La fascite necrotizzante del perineo può portare al ricovero in ospedale può richiedere interventi chirurgici multipli e può portare alla morte. Vederek medical attention right away if you have febbre or you are feeling very weak tired or uncomfortable (malaise) E you develop any of the following symptoms in the area between E around the anus E genitals:
- Dolore or tenderness
- rigonfiamento
- Redness of Skin (Eritema)
- Reazioni allergiche gravi. Se hai dei sintomi di una grave reazione allergica, smettere di prendere Farxiga e chiamare subito il tuo operatore sanitario o andare al pronto soccorso dell'ospedale più vicino. Vedere Chi non dovrebbe prendere Farxiga?. Il tuo operatore sanitario può darti un medicinale per la tua reazione allergica e prescrivere una medicina diversa per il diabete.
Gli effetti collaterali più comuni di Farxiga includono:
- Infezioni del lievito vaginale e infezioni da lievito del pene
- naso soffocante o che cola e mal di gola
- Cambiamenti nella minzione, compresa la necessità urgente di urinare più spesso in quantità maggiori o di notte
Questi non sono tutti i possibili effetti collaterali di Farxiga. Per ulteriori informazioni chiedi al proprio medico o farmacista.
Chiama il medico per consigli medici sugli effetti collaterali. È possibile segnalare gli effetti collaterali alla FDA al numero 1-800-FDA-1088.
Come dovrei archiviare Farxiga?
Conservare Farxiga a temperatura ambiente tra 68 ° F e 77 ° F (20 ° C e 25 ° C).
Generale information about the safe E effective use of Farhiga
Le medicine sono talvolta prescritte a fini diversi da quelli elencati in una guida ai farmaci. Non utilizzare Farxiga per una condizione per la quale non è prescritta. Non dare Farxiga ad altre persone anche se hanno gli stessi sintomi che hai. Potrebbe danneggiare loro.
Questa guida ai farmaci sintetizza le informazioni più importanti su Farxiga. Se desideri maggiori informazioni, parla con il tuo operatore sanitario. Puoi chiedere al tuo farmacista o operatore sanitario informazioni su Farxiga che è scritto per gli operatori sanitari.
Per ulteriori informazioni su Farxiga, visitare www.farxiga.com o chiamare il numero 1-800-236-9933.
Quali sono gli ingredienti di Farxiga?
Ingrediente attivo: Dapagliflozin.
Ingredienti inattivi: lattosio anidro crospovidone magnesio stearato microcristallino cellulosa e biossido di silicio. Il rivestimento del film contiene: biossido di titanio alcolico polivinilico di polietilenlico e ossido di ferro giallo.
Questa guida ai farmaci è stata approvata dalla Food and Drug Administration degli Stati Uniti.