Le Informazioni Presenti Sul Sito Non Costituiscono Consulenza Medica. Non Vendiamo Nulla. L'Accuratezza Della Traduzione Non È Garantita. Disclaimer
HIV, combinazioni d'arteDelstrigo
Riepilogo della droga
Cos'è Delstrigo?
Delstrigo (lamivudina doravirina e fumarate disoproxil) è una combinazione a tre farmaci di un inibitore della trascrittasi inversa non nucleosidica [NNRTI]) e due inibitori della trascrittasi inversa analoghi nucleosidici indicati HIV -1 Infezione in pazienti adulti senza storia di trattamento antiretrovirale.
Quali sono gli effetti collaterali di Delstrigo?
Delstrigo
- orticaria
- Difficoltà a respirare
- gonfiore della lingua o della gola
- urinare più o meno del solito
- Aumentata sete
- dolore osseo nuovo o peggioramento
- Dolore muscolare
- debolezza
- dolore alle gambe delle braccia mani o piedi
- febbre
- sudori notturni
- ghiandole gonfie
- herpes labiale
- tosse
- sibilante
- diarrea
- perdita di peso
- problemi a parlare o deglutire
- Problemi con l'equilibrio o il movimento degli occhi
- debolezza or prickly feeling
- gonfiore al collo o alla gola (tiroide allargata)
- cambiamenti mestruali e
- impotenza
Ottieni subito assistenza medica se hai uno qualsiasi dei sintomi sopra elencati.
Gli effetti collaterali comuni di Delstrigo includono:
- vertigini
- nausea
- sogni anormali
- insonnia
- diarrea
- sonnolenza e
- eruzione cutanea
Cerca cure mediche o chiama il 911 contemporaneamente se hai i seguenti gravi effetti collaterali:
- Sintomi di occhiali gravi come la perdita di visione improvvisa del tunnel della visione sfocata Dolore alla visione o gonfiore o vedere aloni attorno alle luci;
- Sintomi cardiaci gravi come battiti cardiaci irregolari o martellanti veloci; svolazzando nel petto; fiato corto; e vertigini improvvise Accendino o svenire;
- Grave mal di testa confusione Il braccio del linguaggio bloccato o la debolezza delle gambe problemi perdite perdita di coordinamento sentendoti instabili muscoli molto rigidi ad alta febbre abbondante sudorazione o tremori.
Questo documento non contiene tutti i possibili effetti collaterali e altri possono verificarsi. Verificare con il tuo medico ulteriori informazioni sugli effetti collaterali.
Dosaggio per Delstrigo
Il dosaggio adulto raccomandato di Delstrigo è una compressa presa per via orale una volta al giorno con o senza cibo.
Quali sostanze o integratori di farmaci interagiscono con Delstrigo?
Delstrigo può interagire con altri farmaci antiretrovirali per il trattamento dell'enzalutamide anticonvulsivante di infezione da HIV-1 Rifampina o epatite mitotane Rifapentine C antivirale Agents St. John's Wort Sorbitol ad alte dosi o più farmaci antinfiammatori non steroidei (FANS) e aminoglicosidi. Dì al medico tutti i farmaci e gli integratori che usi.
Delstrigo durante la gravidanza o l'allattamento
Di 'al medico se sei incinta o hai intenzione di rimanere incinta prima di usare Delstrigo; Non è noto come influirebbe su un feto. Esiste un registro di esposizione alla gravidanza che monitora gli esiti di gravidanza nelle persone esposte a Delstrigo durante la gravidanza. Non è noto se Delstrigo passi nel latte materno, tuttavia l'allattamento al seno non è raccomandato mentre si utilizza Delstrigo a causa del potenziale per la trasmissione dell'HIV.
Ulteriori informazioni
Le nostre compresse Delstrigo (Doraviine Lamivudine e Tenofovir disoproxil fumarate) per gli effetti collaterali orali, forniscono una visione completa delle informazioni disponibili sui farmaci sui potenziali effetti collaterali durante l'assunzione di questo farmaco.
Informazioni sui farmaci FDA
- Descrizione del farmaco
- Indicazioni
- Effetti collaterali
- Interazioni farmacologiche
- Avvertimenti
- Overdose
- Farmacologia clinica
- Guida ai farmaci
AVVERTIMENTO
Post -trattamento esacerbazione acuta dell'epatite B
Gravi esacerbazioni acute di epatite B (HBV) sono state riportate in pazienti che sono stati infettati con HIV-1 e HBV e hanno interrotto la lamivudina o il fumarato disoproxil disoproxil (TDF) che sono componenti di Delstrigo. La funzione epatica dovrebbe essere monitorata da vicino con il follow-up clinico e di laboratorio per almeno diversi mesi in pazienti che sono stati infettati con HIV-1 e HBV e interrompere Delstrigo. Se l'inizio appropriato della terapia anti-epatite B può essere giustificata [vedere avvisi e PRECAUZIONI ].
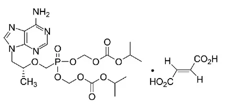
Descrizione per Delstrigo
Delstrigo è una compressa con rivestimento a pellicola a dose fissa contenente lamivudina doravirina e TDF per la somministrazione orale.
La doravirina è un inibitore della trascrittasi inverso non nucleosidico dell'HIV-1 (NNRTI).
La lamivudina è l'enantiomero () di un analogo dideossia della citidina ed è un inibitore della trascrittasi inversa analogica dell'HIV-1.
Il TDF (un profarmaco di tenofovir) è un sale acido fumarico del derivato bis-isopropossicarbonilossimetil estere di tenofovir. Il TDF in vivo viene convertito in tenofovir un analogo del fosfonato nucleosidico aciclico (nucleotide) dell'adenosina 5’-monofosfato. Il tenofovir è un inibitore della trascrittasi inverso dell'HIV-1.
Ogni compressa contiene 100 mg di doravirina 300 mg di lamivudina e 300 mg di TDF (equivalente a 245 mg di tenofovir disoproxil) come ingredienti attivi. Le compresse includono i seguenti ingredienti inattivi: biossido di silicio colloidale croscarmellosio di sodio ipromellosio acetato succinato di magnesio stearato cellulosa microcristallina e stearil fumarato di sodio. Le compresse sono rivestite di film con un materiale di rivestimento contenente i seguenti ingredienti inattivi: ossido di ferro ipromellosio in ferro giallo monoidosio di biossido di titanio e triacetina. Le compresse rivestite sono lucidate con cera Carnauba.
Doravirina
Il nome chimico per doravirina è 3-cloro-5-[[1-[(45-diidro-4-metil-5-oxo-1H-124-triazol-3-yl) metil] -12-diidro-2-oxo-4- (trifluorometil) -3-piridinil] oxy] benzonitrile.
Ha una formula molecolare di C 17 H 11 CLF 3 N 5 O 3 e un peso molecolare di 425,75.
Ha la seguente formula strutturale:
|
Doravirina is practically insoluble in water.
Lamivudina
Il nome chimico per la lamivudina è (-)-1-[(2R5S) -2- (idrossimetil) -13-ossathiolan-5-il] -cytosina.
Ha una formula molecolare di C 8 H 11 N 3 O 3 S e un peso molecolare di 229,26.
Ha la seguente formula strutturale:
|
Lamivudina is soluble in water.
TDF
Il nome chimico per TDF è 9-[(r) -2-[[bis [[(isopropossicarbonil) ossia] metossi] fosfinil]-metossi] propyl] adenina fumarato (1: 1).
Ha una formula molecolare di C 19 H 30 N 5 O 10 P · c 4 H 4 O 4 e un peso molecolare di 635,52.
Ha la seguente formula strutturale:
|
TDF is slightly soluble in water.
Usi per Delstrigo
Delstrigo ® è indicato come regime completo per il trattamento dell'infezione da HIV-1 negli adulti e nei pazienti pediatrici che pesano almeno 35 kg:
- senza precedente storia di trattamento antiretrovirale o
- Per sostituire l'attuale regime antiretrovirale in coloro che sono soppressi virologicamente (RNA dell'HIV-1 inferiore a 50 copie per ml) su un regime antiretrovirale stabile senza alcuna storia di fallimento del trattamento e nessuna sostituzione nota associata alla resistenza ai singoli componenti di Delstrigo [vedi Studi clinici ].
Dosaggio per Delstrigo
Test durante l'inizio e durante il trattamento con Delstrigo
Prima o quando si avvia i pazienti con test Delstrigo per l'infezione da HBV [vedi AVVERTIMENTOS AND PRECAUZIONI ].
Prima o quando si avvia Delstrigo e durante il trattamento con Delstrigo su un programma clinicamente appropriato valutare la creatinina sierica di clearance della creatinina al glucosio delle urine e proteina delle urine in tutti i pazienti. Nei pazienti con malattia renale cronica valuta anche il fosforo sierico [vedi AVVERTIMENTOS AND PRECAUZIONI ].
Dosaggio consigliato
Delstrigo is a fixed-dose combination product containing 100 mg of doravirine (DOR) 300 mg of lamivudine (3TC) E 300 mg of TDF. The recommended dosage of Delstrigo in adults E pediatric patients weighing at least 35 kg is one tablet taken orally once daily with or without food [see Farmacologia clinica ].
Compromissione renale
Poiché Delstrigo è una compressa di combinazione a dose fissa e il dosaggio di lamivudina e TDF non può essere regolato Delstrigo non è raccomandato in pazienti con clearance di creatinina stimata inferiore a 50 ml/min [vedi AVVERTIMENTOS AND PRECAUZIONI E Utilizzare in popolazioni specifiche ].
Regolazione del dosaggio con rifabutina
Se Delstrigo viene somministrato con la rifabutina, prendi una compressa di Delstrigo una volta al giorno seguito da una compressa di doravirina 100 mg (pifeltro) circa 12 ore dopo la dose di Delstrigo per la durata della co-amministrazione di Rifabutin [vedi Interazioni farmacologiche E Farmacologia clinica ].
Come fornito
Forme di dosaggio e punti di forza
Delstrigo Le compresse rivestite di film sono compresse gialle a forma di ovale dedicate al logo aziendale e 776 da un lato e semplici dall'altra parte. Ogni compressa contiene 100 mg di doravirina da 300 mg di lamivudina e 300 mg di fumarato di disoproxil tenofovir (equivalente a 245 mg di disoproxil tenofovir).
Archiviazione e maneggevolezza
Ogni compressa Delstrigo contiene 100 mg di doravirina 300 mg di lamivudina e 300 mg di fumarate disoproxil di tenofovir (equivalente a 245 mg di tenofovir disoproxil) è ricoperto di film ovale giallo e viene deboscoso con il logo aziendale e 776 su un lato e semplice. Sull'altro. Ogni bottiglia contiene 30 compresse (NDC 0006-5007-01) e essiccanti in gel di silice ed è chiuso con una chiusura resistente ai bambini.
Conserva Delstrigo nella bottiglia originale. Tieni la bottiglia strettamente chiusa per proteggere dall'umidità. Non rimuovere gli essiccanti.
Conservare Delstrigo a 20 ° C a 25 ° C (da 68 ° F a 77 ° F); Escursioni consentite da 15 ° C a 30 ° C (da 59 ° F a 86 ° F) [vedi A temperatura ambiente controllata da USP ].
Prodotto per: Merck Sharp
Effetti collaterali for Delstrigo
Le seguenti reazioni avverse sono discusse in altre sezioni dell'etichettatura:
- Grave esacerbazione acuta dell'epatite B nelle persone con concomitante HIV-1 e HBV [vedi AVVERTIMENTOS AND PRECAUZIONI ]
- Nuovo insorgenza o peggioramento della compromissione renale [vedi AVVERTIMENTOS AND PRECAUZIONI ]
- Perdita ossea e difetti di mineralizzazione [vedi AVVERTIMENTOS AND PRECAUZIONI ]
- Sindrome di ricostituzione immunitaria [vedi AVVERTIMENTOS AND PRECAUZIONI ]
Esperienza di studi clinici
Poiché gli studi clinici sono condotti in condizioni di reazione avverse ampiamente variabili osservate negli studi clinici di un farmaco non possono essere paragonati direttamente ai tassi negli studi clinici di un altro farmaco e potrebbero non riflettere i tassi osservati nella pratica.
Reazioni avverse negli adulti senza storia di trattamento antiretrovirale
La valutazione della sicurezza di Delstrigo si basa sui dati della settimana 96 di studi a doppio cieco multicentri di fase 3 multicentrici in doppio cieco. Un totale di 747 partecipanti hanno ricevuto doravirina o come singola entità in combinazione con altri farmaci antiretrovirali come regimi di fondo (n = 383) o come Delstrigo a dose fissa (n = 364) e un totale di 747 partecipanti sono stati randomizzati a controllare le armi.
In drive-ahead (protocollo 021) 728 partecipanti adulti hanno ricevuto Delstrigo (n = 364) o EFV/FTC/TDF una volta al giorno (n = 364). Entro la settimana 96 3% nel gruppo Delstrigo e il 7% nel gruppo EFV/FTC/TDF ha avuto eventi avversi che hanno portato alla sospensione dei farmaci di studio.
Le reazioni avverse riportate in maggiore o uguale al 5% dei partecipanti in qualsiasi gruppo di trattamento in Driveahead sono presentate nella Tabella 1.
Tabella 1: reazioni avverse* (tutti i gradi) riportati in ≥5%† dei partecipanti a qualsiasi gruppo di trattamento negli adulti senza storia di trattamento antiretrovirale in Drive-ahead (settimana 96)
| Delstrigo Once Daily N = 364 | EFV/FTC/TDF una volta al giorno N = 364 | |
| Vertigini | 7% | 32% |
| Nausea | 5% | 7% |
| Sogni anormali | 5% | 10% |
| Mal di testa | 4% | 5% |
| Insonnia | 4% | 5% |
| Diarrea | 4% | 6% |
| Sonnolenza | 3% | 7% |
| Eruzione cutanea‡ | 2% | 12% |
| *Le frequenze delle reazioni avverse si basano su tutti gli eventi avversi attribuiti ai farmaci di prova da parte dell'investigatore. † Nessuna reazione avversa di grado 2 o superiore (moderato o grave) si è verificata in ≥2% dei partecipanti trattati con Delstrigo. ‡ Erutto: include eruzione cutanea eritematosa eritematosa erita generalizzata generalizzata eruzione maculare maculo -maculopapolare eruzione cutanea papulare pruritica. |
La maggior parte (66%) delle reazioni avverse associate a Delstrigo si è verificata a gravità di grado 1 (lieve).
Eventi avversi neuropsichiatrici
Per un drive-ahead l'analisi dei partecipanti con eventi avversi neuropsichiatrici entro la settimana 48 è presentata nella Tabella 2. La percentuale di partecipanti che ha riportato uno o più eventi avversi neuropsichiatrici è stata rispettivamente del 24% e del 57% nei gruppi Delstrigo ed EFV/FTC/TDF.
Una percentuale statisticamente significativamente più bassa di partecipanti trattati con Delstrigo rispetto ai partecipanti trattati con EFV/FTC/TDF hanno riportato eventi avversi neuropsichiatrici entro la settimana 48 nelle tre categorie prespecificate di vertigini disturbi del sonno e disturbi e sensori alterati.
Tabella 2: Drive -ahead -analisi dei partecipanti con eventi avversi neuropsichiatrici* (settimana 48)
| Delstrigo Once Daily N = 364 | EFV/FTC/TDF una volta al giorno N = 364 | Differenza del trattamento (Delstrigo - EFV/FTC/TDF) stima (IC 95%) † | |
| Disturbi e disturbi del sonno ‡ | 12% | 26% | -13.5 (-19.1 -7.9) |
| Vertigini | 9% | 37% | -28.3 (-34.0 -22.5) |
| Sensorio alterato | 4% | 8% | -3.8 (-7.6 -0.3) |
| *Tutta la causalità e tutti gli eventi di grado sono stati inclusi nell'analisi. † Gli IC al 95% sono stati calcolati usando il metodo di Miettinen e Nurminen. Le categorie pre-specificate per i test statistici erano vertigini (p <0.001) sleep disorders E disturbances (p <0.001) E altered sensorium (p=0.033). ‡ Predefinito usando i termini preferiti di Meddra tra cui: Sogni anormali Iposomnia Insomnia INSOMNIA Disturbo del sonno Nightmare Disturbo sonnambulismo. § predefinito usando i termini preferiti di Meddra tra cui: stato alterato di coscienza letargia syncope |
Gli eventi avversi neuropsichiatrici nella categoria predefinita di depressione e suicidio/autolesionismo sono stati riportati nel 4% e il 7% dei partecipanti nei gruppi Delstrigo e EFV/FTC/TDF rispettivamente.
In Drive-ahead attraverso 48 settimane di trattamento la maggior parte dei partecipanti che hanno riportato eventi avversi neuropsichiatrici hanno riportato eventi da lievi a moderati di gravità (97% [83/86] e 96% [198/207] nei gruppi di Delstrigo ed EFV/FTC/FTC/TDF rispettivamente) 86% [177/207] nel gruppo EFV/FTC/TDF).
Gli eventi avversi neuropsichiatrici hanno portato alla sospensione del trattamento in 1% (2/364) e 1% (5/364) dei partecipanti nei gruppi Delstrigo ed EFV/FTC/TDF rispettivamente. La percentuale di partecipanti che hanno riportato eventi avversi neuropsichiatrici durante la settimana 4 è stata del 17% (62/364) nel gruppo Delstrigo e del 49% (177/364) nel gruppo EFV/FTC/TDF. Alla settimana 48 la prevalenza di eventi avversi neuropsichiatrici era del 12% (44/364) nel gruppo Delstrigo e del 22% (81/364) nel gruppo EFV/FTC/TDF. Alla settimana 96 la prevalenza di eventi avversi neuropsichiatrici era del 13% (47/364) nel gruppo Delstrigo e del 23% (82/364) nel gruppo EFV/FTC/TDF.
Anomalie di laboratorio
Le percentuali di partecipanti con anomalie di laboratorio selezionate (che rappresentano un peggioramento del basale) che sono stati trattati con Delstrigo o EFV/FTC/TDF in Drive-ahead sono presentate nella Tabella 3.
Tabella 3: Anomalie di laboratorio selezionate riportate nei partecipanti adulti senza storia di trattamento antiretrovirale in Drive-ahead (settimana 96)
| Parametro di laboratorio termine preferito (unità)/limite | Delstrigo Once Daily N = 364 | EFV/FTC/TDF una volta al giorno N = 364 |
| Chimica del sangue | ||
| Bilirubina totale (MG/DL) | ||
| 1.1 - <1.6 x ULN | 5% | 0% |
| 1.6 - <2.6 x ULN | 2% | 0% |
| X Uln ≥2,6 | 1% | <1% |
| Creatinina (mg/dl) | ||
| > 1.3 -1,8 x Uln o aumento di> 0,3 mg/dl sopra | ||
| basale | 3% | 2% |
| > 1,8 x Uln o aumento di ≥1,5 x al di sopra del basale | 3% | 2% |
| Aspartato aminotransferasi (IU/L) | ||
| 2.5 - <5.0 x ULN | 3% | 3% |
| ≥5,0 x Uln | 1% | 4% |
| Alanina aminotransferasi (IU/L) | ||
| 2.5 - <5.0 x ULN | 4% | 4% |
| ≥5,0 x Uln | 1% | 3% |
| Fosfatasi alcalina (IU/L) | ||
| 2.5 - <5.0 x ULN | <1% | 1% |
| ≥5,0 x Uln | 0% | <1% |
| Lipasi | ||
| 1.5 - <3.0 x ULN | 6% | 4% |
| ≥3,0 x Uln | 2% | 3% |
| Creatina chinasi (iu/l) | ||
| 6.0 - <10.0 x ULN | 3% | 3% |
| ≥10,0 x Uln | 4% | 6% |
| Fasted di colesterolo (MG/DL) | ||
| ≥300 mg/dl | 1% | <1% |
| Cholesterolo LDL Fasted (MG/DL) | ||
| ≥190 mg/dl | <1% | 2% |
| Trigliceridi a digiuno (mg/dl) | ||
| > 500 mg/dl | 1% | 3% |
| Ogni partecipante viene conteggiato solo una volta per parametro al massimo grado di tossicità. Sono inclusi solo i partecipanti con un valore di base e almeno un valore di trattamento per un determinato parametro di laboratorio. Uln = limite superiore dell'intervallo normale. |
Cambiamento nei lipidi dal basale
Per i cambiamenti di drive-ahead dal basale alla settimana 48 nel colesterolo LDL non HDL-colesterolo TRIGliceridi di colesterolo totale e il colesterolo HDL sono mostrati nella Tabella 4. I cambiamenti dal basale alla settimana 96 erano simili ai risultati alla settimana 48.
I confronti LDL e non HDL sono stati pre-specificati e sono riassunti nella Tabella 4. Le differenze erano statisticamente significative mostrando la superiorità di Delstrigo per entrambi i parametri. Il beneficio clinico di questi risultati non è stato dimostrato.
Tabella 4: cambiamento medio rispetto al basale nei lipidi a digiuno nei partecipanti adulti senza storia di trattamento antiretrovirale in Drive-ahead (settimana 48)
| Parametro di laboratorio termine preferito | Delstrigo Once Daily N = 320 | EFV/FTC/TDF una volta al giorno N = 307 | Stime della differenza (Delstrigo -EFV/FTC/TDF) | ||
| Basale | Modifica | Basale | Modifica | Differenza (IC al 95%) | |
| LDL-colesterolo (MG/DL)* | 91.7 | -2.1 | 91.3 | 8.3 | -10.2 (-13.8 -6.7) |
| Colesterolo non HDL (MG/DL)* | 114.7 | -4.1 | 115.3 | 12.7 | -16.9 (-20.8 -13.0) |
| Colesterolo totale (mg/dl) † | 156.8 | -2.2 | 156.8 | 21.1 | - |
| Trigliceridi (mg/dl) † | 118.7 | -12.0 | 122.6 | 21.6 | - |
| Colesterolo HDL (MG/DL) † | 42.1 | 1.8 | 41.6 | 8.4 | - |
| I partecipanti agli agenti che abbassano i lipidi al basale sono stati esclusi da queste analisi (Delstrigo N = 15 ed EFV/FTC/TDF n = 10). I partecipanti che iniziano un agente di lupo lipidico post-baseline hanno avuto il loro ultimo valore di trattamento a digiuno (prima di avviare l'agente) trasportato in avanti (Delstrigo n = 3 ed EFV/FTC/TDF n = 8). *Valore p per il test di ipotesi pre-specificato per la differenza di trattamento era <0.0001. † Non pre-specificato per i test di ipotesi. |
Reazioni avverse negli adulti virologicamente soppressi
La sicurezza di Delstrigo negli adulti virologicamente soppressi si basava sui dati della settimana 48 di 670 partecipanti alla prova del turno di trasmissione (Protocollo 024) uno studio internazionale randomizzato multicentrico open. ritonavir o cobicistat o elvitegravir plus cobicistat o un nnrti a Delstrigo. Nel complesso, il profilo di sicurezza nei partecipanti adulti virologicamente soppressi era simile a quello dei partecipanti senza storia di trattamento antiretrovirale.
Anomalie di laboratorio
Serum Alt e AST Elevations
Nella sperimentazione del cambio di guida il 22% e il 16% dei partecipanti nel gruppo Switch immediato hanno registrato un aumento ATT e AST rispettivamente superiori a 1,25 X ULN per 48 settimane su Delstrigo. Per questi alt e AST non sono stati osservati schemi di tempo apparenti per quanto riguarda il tempo di insorgenza rispetto allo switch. L'uno per cento dei partecipanti aveva altitudini ALT o AST superiori a 5 x ULN per 48 settimane su Delstrigo. Gli aumenti di alt e AST erano generalmente asintomatici e non associati a elevazioni di bilirubina. In confronto, il 4% e il 4% dei partecipanti nel gruppo Switch ritardato hanno registrato aumenti ALT e AST superiori a 1,25 X ULN per 24 settimane sul loro regime di base.
Cambiamento nei lipidi dal basale
Modificas from basale at Week 24 in LDL-cholesterol non-HDL-cholesterol total cholesterol triglycerides E HDL-cholesterol in participants on a PI plus ritonavir-based regimen at basale are shown in Table 5. The LDL E non-HDL comparisons were pre-specified E the differences were statistically significant showing superiority for an immediate switch to Delstrigo for both parameters. The clinical benefit of these findings has not been demonstrated.
Tabella 5: cambiamento medio rispetto al basale nei lipidi a digiuno nei partecipanti agli adulti soppressi virologicamente su un regime a base di Pi Plus a base di Ritonavir al basale in Drive-Shift (Settimana 24)
| Parametro di laboratorio termine preferito | Delstrigo (Week 0-24) Once Daily N = 244 | Pi ritonavir (settimana 0-24) una volta al giorno N = 124 | Stime della differenza | ||
| Basale | Modifica | Basale | Modifica | Differenza (IC al 95%) | |
| LDL-colesterolo (MG/DL)* | 108.7 | -16.3 | 110.5 | -2.6 | -14.5 (-18.9 -10.1) |
| Colesterolo non HDL (MG/DL)* | 138.6 | -24.8 | 138.8 | -2.1 | -22.8 (-27.9 -17.7) |
| Colesterolo totale (mg/dl) † | 188.5 | -26.1 | 187.4 | -0.2 | - |
| Trigliceridi (mg/dl) † | 153.1 | -44.4 | 151.4 | -0.4 | - |
| Colesterolo HDL (MG/DL) † | 50.0 | -1.3 | 48.5 | 1.9 | - |
| I partecipanti agli agenti che abbassano i lipidi al basale sono stati esclusi da queste analisi (Delstrigo n = 26 e Pi ritonavir n = 13). I partecipanti che iniziano un agente che abbassano i lipidi post-baseline hanno avuto il loro ultimo valore di trattamento a digiuno (prima di iniziare l'agente) trasportato in avanti (Delstrigo n = 4 e Pi ritonavir n = 2). *Valore p per il test di ipotesi pre-specificato per la differenza di trattamento era <0.0001. † Non pre-specificato per i test di ipotesi. |
Reazioni avverse nei partecipanti pediatrici
La sicurezza di Delstrigo è stata valutata in 45 partecipanti pediatrici virologicamente soppressi o naïve al trattamento da 12 a meno di 18 anni che vivono con l'HIV fino alla settimana 24 in una sperimentazione in aperto (IMPAACT 2014 (Protocollo 027)) [vedi Studi clinici ]. The safety profile in pediatric participants was similar to that in adults. There were no serious or Grade 3 or 4 adverse reactions. No participants discontinued due to an adverse event.
Esperienza post -marketing
Le seguenti reazioni avverse sono state identificate durante l'esperienza post-marketing nei pazienti che ricevono regimi doravirinamici-o-refinontari del TDF. Poiché le reazioni post -marketing sono riportate volontariamente da una popolazione di dimensioni incerte, non è sempre possibile stimare in modo affidabile la loro frequenza o stabilire una relazione causale con l'esposizione ai farmaci.
Doravirina
Disturbi della pelle e dei tessuti sottocutanei: sindrome di Stevens-Johnson (SJS)/necrolisi epidermica tossica (dieci)
Lamivudina
Corpo nel suo insieme: Redistribuzione/accumulo di grasso corporeo
Endocrino e metabolico: iperglicemia
Generale: Debolezza
Emico e linfatico: anemia (compresa l'aplasia a cellule rosse pura e anemie gravi che progrediscono in terapia)
Epatico e pancreatico: Acidosi lattica e steatosi epatica post -trattamento esacerbazioni dell'epatite B
Ipersensibilità: Anafilassi orticaria
Muscoloscheletrico: debolezza muscolare elevazione cpk rabdomiolisi
Pelle: Alopecia
TDF
Disturbi del sistema immunitario: Reazione allergica incluso l'angiedema
Disturbi del metabolismo e nutrizione: acidosi lattica ipofosfatemia ipofosfatemia
Disturbi toracici e mediastinali respiratori: Dispnea
Disturbi gastrointestinali: pancreatite ha aumentato il dolore addominale dell'amilasi
Disturbi epatobiliari: Epatite epatica Epatite aumentata gli enzimi epatici (più comunemente AST Alt Gamma GT)
Disturbi della pelle e dei tessuti sottocutanei: eruzione cutanea
Disturbi del tessuto muscoloscheletrico e connettivo: rabdomiolisi osteomalacia (manifestata come dolore osseo e che può contribuire alle fratture) Miopatia di debolezza muscolare
Disturbi renali e urinari: insufficienza renale acuta insufficienza renale necrosi tubulare acuta sindrome della tubulopatia renale prossimale di nefrite interstiziale (compresi casi acuti) Diabete nefrogenico insipido Insufficienza renale Aumenta la creatinina proteinuria poliuria poliuria
TRIAMTERENE HCTZ 37,5 25 Effetti collaterali
Disturbi generali e condizioni del sito di amministrazione: Astenia
Le seguenti reazioni avverse elencate sotto le intestazioni del sistema corporeo sopra possono verificarsi come conseguenza della tubulopatia renale prossimale: la rabdomiolisi osteomalacia ipokalemia di debolezza muscolare Ipofosfatemia.
Interazioni farmacologiche for Delstrigo
Uso concomitante con altri farmaci antiretrovirali
Poiché Delstrigo è un regime completo per il trattamento della co-somministrazione dell'infezione da HIV-1 con altri farmaci antiretrovirali per il trattamento dell'infezione da HIV-1 non è raccomandato. Non sono fornite informazioni relative a potenziali interazioni farmaco-farmaco con altri farmaci antiretrovirali.
Effetto di altri farmaci su Delstrigo
La co-somministrazione di Delstrigo con un induttore del CYP3A riduce le concentrazioni plasmatiche di doravirina che possono ridurre l'efficacia del Delstrigo [vedi Controindicazioni AVVERTIMENTOS AND PRECAUZIONI E Farmacologia clinica ].
La co-somministrazione di Delstrigo e farmaci che sono inibitori del CYP3A possono comportare un aumento delle concentrazioni plasmatiche di doravirina.
La tabella 6 mostra le significative interazioni farmacologiche con i componenti di Delstrigo. Le interazioni farmacologiche descritte si basano su studi condotti con Delstrigo o i componenti di Delstrigo come singoli agenti.
Tabella 6: interazioni farmacologiche con Delstrigo*
| Classe di droga concomitante: nome del farmaco | Effetto sulla concentrazione | Commento clinico |
| Recettori degli androgeni | ||
| Enzalutamide | ↓ doravirina | La co-somministrazione è controindicata con enzalutamide. Si raccomanda almeno un periodo di cessazione di 4 settimane prima dell'inizio di Delstrigo. |
| Anticonvulsiranti | ||
| Carbamazepina oxcarbazepina fenobarbital phable | ↓ doravirina | La co-somministrazione è controindicata con questi anticonvulsiranti. Si raccomanda almeno un periodo di cessazione di 4 settimane prima dell'inizio di Delstrigo. |
| Antimycobacteriali | ||
| Rifampin1 Rifapentine | ↓ doravirina | La co-somministrazione è controindicata con Rifampin o Rifapentine. Si raccomanda almeno un periodo di cessazione di 4 settimane prima dell'inizio di Delstrigo. |
| Rifabut1 | ↓ doravirina | Se Delstrigo viene somministrato con la compressa di doravirina (pifeltro) di Rifabutin One deve essere assunta circa 12 ore dopo la dose di Delstrigo [vedi Dosaggio e amministrazione ]. |
| Agenti citotossici | ||
| mitotane | ↓ doravirina | La co-somministrazione è controindicata con il mitotano. Si raccomanda almeno un periodo di cessazione di 4 settimane prima dell'inizio di Delstrigo. |
| Epatite C Agenti antivirali | ||
| ledipasvir/sofosbuvir Sofosbuvir/Velpatasvir | ↑ tenofovir | Monitorare le reazioni avverse associate al TDF. |
| Prodotti a base di erbe | ||
| L'erba di San Giovanni | ↓ doravirina | La co-somministrazione è controindicata con l'erba di San Giovanni. Si raccomanda almeno un periodo di cessazione di 4 settimane prima dell'inizio di Delstrigo. |
| Altri agenti | ||
| sorbitolo | ↓ Lamivudina | La co-somministrazione di singole dosi di lamivudina e sorbitolo ha comportato una riduzione dose-dipendente di sorbitolo nelle esposizioni di lamivudina. Se possibile, evitare l'uso di medicinali contenenti sorbitolo con medicinali contenenti lamivudina. |
| ↑ = aumento ↓ = diminuzione *Questa tabella non è all-inclusive † L'interazione tra doravirina e il farmaco concomitante è stata valutata in uno studio clinico. Tutte le altre interazioni farmaco-farmaco mostrate sono anticipate in base alle vie metaboliche ed eliminate note. |
La co-somministrazione di Delstrigo con farmaci che riducono la funzione renale o competono per la secrezione tubulare attiva può aumentare le concentrazioni sieriche di tenofovir lamivudina e/o altri farmaci eliminati renamente. Alcuni esempi di farmaci che vengono eliminati dalla secrezione tubulare attiva includono ma non si limitano all'acyclovir cidofovir ganciclovir valacyclovir valganclovir aminoglicosidi (ad es. Gentamicina) e a nasi a dose elevate o multiple [vedi AVVERTIMENTOS AND PRECAUZIONI E Farmacologia clinica ].
Non sono stati osservati cambiamenti clinicamente significativi nella concentrazione per la doravirina quando somministrato con i seguenti agenti: TDF Lamivudine Elbasvir e Grazoprevir ledipasvir e Sofosbuvir ritonavir ketoconazolo aluminum idrossido/magnesio idrossido di magnesio contenente anticelo anticelo o metadone di ketoconazolo aluminole Farmacologia clinica ].
Non sono stati osservati cambiamenti clinicamente significativi nella concentrazione per tenofovir quando somministrato con tacrolimus o entecavir [vedi Farmacologia clinica ].
Effetto di Delstrigo su altri farmaci
Non sono stati osservati cambiamenti clinicamente significativi nella concentrazione per i seguenti agenti quando sono stati somministrati con doravirina: lamivudina TDF Elbasvir e Grazoprevir ledipasvir e Sofosbuvir atorvastatina un contraccettivo orale contenente ethinil estradiolo e levonorgesdrel Metforin Methadone.
Non sono state osservate interazioni farmacologiche clinicamente significative tra TDF e i seguenti farmaci: contraccettivi orali di entecavir Sofosbuvir o Tacrolimus negli studi condotti su partecipanti sani.
Lamivudina is not significantly metabolized by CYP enzymes nor does it inhibit or induce this enzyme system; therefore it is unlikely that clinically significant drug interactions will occur through these pathways [see Farmacologia clinica ].
Avvertimenti per Partstrigo
Incluso come parte del PRECAUZIONI sezione.
Precauzioni per Delstrigo
Reazioni cutanee gravi
Reazioni cutanee gravi tra cui la sindrome di Stevens-Johnson (SJS)/necrolisi epidermica tossica (dieci) sono state riportate durante l'esperienza post-marketing con regimi contenenti doravirina [vedi Reazioni avverse ]. Discontinue Delstrigo E other medications known to be associated with severe skin reactions immediately if a painful eruzione cutanea with mucosal involvement or a progressive severe eruzione cutanea develops. Clinical status should be closely monitored E appropriate therapy should be initiated.
Grave esacerbazione acuta dell'epatite B nelle persone con concomitante HIV-1 e HBV
Tutti i pazienti con HIV-1 devono essere testati per la presenza di HBV prima di iniziare la terapia antiretrovirale.
Le gravi esacerbazioni acute dell'epatite B (ad esempio epatiche si sono decompensate e insufficienza epatica) sono state riportate in persone con concomitante HIV-1 e HBV che hanno interrotto prodotti contenenti lamivudina e/o TDF e possono verificarsi con l'interruzione di Delstrigo. I pazienti che sono stati infettati con HIV-1 e HBV che interrompono Delstrigo devono essere attentamente monitorati con il follow-up clinico e di laboratorio per almeno diversi mesi dopo aver interrotto il trattamento con Delstrigo. Se l'inizio appropriato della terapia anti-epatite B può essere giustificata soprattutto nei pazienti con malattia epatica avanzata o cirrosi poiché l'esacerbazione post-trattamento dell'epatite può portare a decompensa epatica e insufficienza epatica.
Nuovo insorgenza o peggioramento della compromissione renale
Compromissione renale compresi i casi di insufficienza renale acuta E Fanconi syndrome (renal tubular injury with severe hypophosphatemia) has been reported with the use of TDF a component of Delstrigo.
Delstrigo should be avoided with concurrent or recent use of a nephrotoxic agent (e.g. high-dose or multiple nonsteroidal anti-inflammatory drugs [NSAIDs]) [see Interazioni farmacologiche ]. Cases of insufficienza renale acuta after initiation of high-dose or multiple NSAIDs have been reported in patients living with HIV with risk factors for renal dysfunction who appeared stable on TDF. Some patients required hospitalization E renal replacement therapy. Alternatives to NSAIDs should be considered if needed in patients at risk for renal dysfunction.
Il dolore persistente o peggioramento del dolore osseo nelle fratture delle estremità e/o il dolore muscolare o la debolezza possono essere manifestazioni di tubulopatia renale prossimale e dovrebbe richiedere una valutazione della funzione renale nei pazienti a rischio.
Prima o quando si avvia Delstrigo e durante il trattamento con Delstrigo su un programma clinicamente appropriato valutare la creatinina sierica di clearance della creatinina al glucosio delle urine e proteina delle urine in tutti i pazienti. Nei pazienti con malattia renale cronica valuta anche il fosforo sierico. Interrompere la deltrigo nei pazienti che sviluppano una riduzione clinicamente significativa della funzione renale o evidenza della sindrome di Fanconi.
I componenti di Lamivudine e TDF di Delstrigo sono principalmente escreti dal rene. Distinguere delstrigo se la clearance della creatinina stimata diminuisce al di sotto di 50 ml/min come regolazione dell'intervallo di dose richiesto per la lamivudina e il TDF non può essere ottenuto con la compressa di combinazione a dose fissa [vedi Utilizzare in popolazioni specifiche ].
Rischio di reazioni avverse o perdita di risposta virologica dovuta alle interazioni farmacologiche
L'uso concomitante di Delstrigo e alcuni altri farmaci può provocare interazioni farmacologiche note o potenzialmente significative alcune delle quali possono portare a [vedi Dosaggio e amministrazione Controindicazioni E Interazioni farmacologiche ]:
- Perdita di effetto terapeutico di Delstrigo e possibile sviluppo della resistenza.
- Possibili reazioni avverse clinicamente significative da maggiori esposizioni di un componente di Delstrigo.
Vedere la Tabella 6 per le fasi per prevenire o gestire queste possibili e note significative interazioni farmacologiche, comprese le raccomandazioni sul dosaggio. Considera il potenziale per le interazioni farmacologiche precedenti e durante la revisione della terapia Delstrigo farmaci concomitanti durante la terapia di Delstrigo e monitora le reazioni avverse.
Perdita ossea e difetti di mineralizzazione
Densità minerale ossea
Negli studi clinici sugli adulti che vivono con HIV TDF (un componente di Delstrigo) è stato associato a una riduzione leggermente maggiore nella densità minerale ossea (BMD) e aumenta Biochimico Marcatori del metabolismo osseo che suggeriscono un aumento del turnover osseo rispetto ai comparatori. Anche i livelli di ormone paratiroide sierico e 125 livelli di vitamina D erano più elevati nei partecipanti che ricevevano TDF.
Sono stati condotti studi clinici che valutano il TDF nei partecipanti pediatrici. In circostanze normali, la BMD aumenta rapidamente nei pazienti pediatrici. Nei partecipanti da 2 anni a meno di 18 anni che vivono con gli effetti ossei dell'HIV erano simili a quelli osservati nei partecipanti adulti e suggeriscono un aumento del turnover osseo. Il guadagno di BMD del corpo totale era inferiore nei partecipanti pediatrici trattati con TDF che vivono con l'HIV rispetto ai gruppi di controllo. Tendenze simili sono state osservate nei partecipanti pediatrici infetti da HBV cronici da 2 anni a meno di 18 anni. In tutti gli studi pediatrici la normale crescita scheletrica (altezza) non è stata influenzata per la durata degli studi clinici.
Gli effetti dei cambiamenti associati al TDF nei marcatori BMD e biochimici sulla salute delle ossa a lungo termine e sul rischio di frattura futura sono sconosciuti. La valutazione della BMD dovrebbe essere considerata per i pazienti adulti e pediatrici che vivono con l'HIV che hanno una storia di frattura ossea patologica o altri fattori di rischio per l'osteoporosi o la perdita ossea. Sebbene l'effetto della supplementazione con calcio e vitamina D non sia stato studiato tale supplementazione può essere utile in tutti i pazienti. Se si sospettano anomalie ossee, è necessario ottenere una consultazione appropriata.
Difetti di mineralizzazione
Casi di osteomalacia associati alla tubulopatia renale prossimale manifestate come dolore osseo o dolore alle estremità e che possono contribuire alle fratture sono stati riportati in associazione con l'uso di TDF [vedi Reazioni avverse ]. Arthralgias E Dolore muscolare or debolezza have also been reported in cases of proximal renal tubulopathy. Hypophosphatemia E osteomalacia secondary to proximal renal tubulopathy should be considered in patients at risk of renal dysfunction who present with persistent or worsening bone or muscle symptoms while receiving products containing TDF [see AVVERTIMENTOS AND PRECAUZIONI ].
Sindrome di ricostituzione immunitaria
La sindrome della ricostituzione immunitaria è stata riportata in pazienti trattati con terapia antiretrovirale combinata. Durante la fase iniziale della combinazione di pazienti di trattamento antiretrovirale il cui sistema immunitario risponde può sviluppare una risposta infiammatoria a infezioni opportunistiche indolenti o residue (come l'infezione da Mycobacterium avium citomegalovirus Pneumocystis jirovecii polmonite (PCP) o tubercolosi ) che possono richiedere ulteriori valutazioni e cure.
Sono stati anche segnalati disturbi autoimmuni (come la polimiosite della malattia di Graves Guillain-Barré e l'epatite autoimmune) in cui si sono verificati anche nel contesto della ricostituzione immunitaria; Tuttavia, il tempo di insorgenza è più variabile e può verificarsi molti mesi dopo l'inizio del trattamento.
Informazioni sulla consulenza del paziente
Consiglia al paziente di leggere l'etichettatura del paziente approvato dalla FDA ( Informazioni sul paziente ).
Reazioni cutanee gravi
Informare i pazienti che sono state riportate reazioni cutanee gravi tra cui la sindrome di Stevens-Johnson (SJS)/necrolisi epidermica tossica (dieci). Consiglia ai pazienti di contattare immediatamente il proprio operatore sanitario se sviluppano un'eruzione cutanea. Chiedi ai pazienti di smettere immediatamente di prendere Delstrigo e di consultare un medico se si sviluppa un'eruzione cutanea dolorosa con il coinvolgimento della mucosa [vedi AVVERTIMENTOS AND PRECAUZIONI ].
Grave esacerbazione acuta dell'epatite B nelle persone con concomitante HIV-1 e HBV
Informare i pazienti che sono state riportate gravi esacerbazioni acute dell'epatite B in persone con concomitante HIV-1 e HBV che hanno interrotto la lamivudina o il TDF e possono verificarsi con l'interruzione di Delstrigo [vedi AVVERTIMENTOS AND PRECAUZIONI ]. Advise patients not to discontinue Delstrigo without first informing their healthcare provider.
Interazioni farmacologiche
Informare i pazienti che Delstrigo può interagire con alcuni altri farmaci; Pertanto consiglia ai pazienti di riferire al proprio operatore sanitario l'uso di qualsiasi altro farmaco prescrizione o non prescrizione o prodotti a base di erbe tra cui l'erba di San Giovanni [vedi Controindicazioni AVVERTIMENTOS AND PRECAUZIONI E Interazioni farmacologiche ].
Per i pazienti in concomitanza che ricevono rifabutina prendi una compressa di doravirina (pifeltro) 100 mg circa 12 ore dopo la dose di Delstrigo [vedi Dosaggio e amministrazione ].
Nuovo insorgenza o peggioramento della compromissione renale
Informare i pazienti che la compromissione renale, inclusi casi di insufficienza renale acuta e sindrome di Fanconi, sono stati riportati in associazione con l'uso di TDF. Consiglia ai pazienti di evitare Delstrigo con un uso simultaneo o recente di un agente nefrotossico (ad esempio FANS ad alte dosi o multipli) [vedi AVVERTIMENTOS AND PRECAUZIONI ].
Perdita ossea e difetti di mineralizzazione
Informare i pazienti che diminuiscono nella densità minerale ossea sono stati osservati con l'uso di TDF un componente di Delstrigo. La valutazione della densità minerale ossea (BMD) dovrebbe essere considerata nei pazienti che hanno una storia di frattura ossea patologica o altri fattori di rischio per l'osteoporosi o la perdita ossea [vedi AVVERTIMENTOS AND PRECAUZIONI ].
Sindrome di ricostituzione immunitaria
Informare i pazienti che in alcuni pazienti con segni avanzati di infezione da HIV (AIDS) e sintomi di infiammazione da infezioni precedenti possono verificarsi subito dopo l'inizio del trattamento anti-HIV. Si ritiene che questi sintomi siano dovuti a un miglioramento della risposta immunitaria del corpo che consente al corpo di combattere le infezioni che potrebbero essere state presenti senza sintomi evidenti. Consiglia ai pazienti di informare immediatamente il proprio operatore sanitario di eventuali sintomi di infezione [vedi AVVERTIMENTOS AND PRECAUZIONI ].
Istruzioni per il dosaggio
Consiglia ai pazienti di prendere Delstrigo ogni giorno in un momento regolarmente programmato con o senza cibo. Informare i pazienti che è importante non perdere o saltare le dosi in quanto può comportare lo sviluppo della resistenza. Se un paziente dimentica di prendere Delstrigo, dice al paziente di prendere subito la dose mancata a meno che non sia quasi ora per la dose successiva. Consiglia al paziente di non assumere 2 dosi contemporaneamente e di prendere la dose successiva al momento regolarmente programmato.
Registro di gravidanza
Informare i pazienti che esiste un registro di gravidanza antiretrovirale per monitorare gli esiti fetali delle persone in gravidanza esposte a Delstrigo [vedi Utilizzare in popolazioni specifiche ].
Lattazione
Inform individuals with HIV-1 infection that the potential risks of breastfeeding include: (1) HIV-1 transmission (in HIV-1-negative infants) (2) developing viral resistance (in HIV-1-positive infants) and (3) serious adverse reactions in a breastfed infant similar to those seen in adults [see Utilizzare in popolazioni specifiche ].
Tossicologia non clinica
Mutagenesi della carcinogenesi compromissione della fertilità
Carcinogenesi
Doravirina
Doravirina was not carcinogenic in long-term oral carcinogenicity studies in mice E rats at exposures up to 6 E 7 times respectively the human exposures at the RHD. A statistically significant incidence of thyroid parafollicular cell adenoma E carcinoma seen only in female rats at the high dose was within the range observed in historical controls.
Lamivudina
Gli studi di cancerogenicità a lungo termine con lamivudina nei topi e nei ratti non hanno mostrato alcuna evidenza di potenziale cancerogeno alle esposizioni fino a 10 volte (topi) e 58 volte (ratti) le esposizioni umane al RHD.
TDF
Gli studi di carcinogenicità orale a lungo termine di TDF nei topi e nei ratti sono stati condotti a esposizioni fino a circa 16 volte (topi) e 5 volte (ratti) quelli osservati nell'uomo al RHD. All'alta dose nei topi femmine gli adenomi epatici sono stati aumentati alle esposizioni 16 volte di quello nell'uomo. Nei ratti lo studio era negativo per i risultati cancerogeni alle esposizioni fino a 5 volte che osservavano nell'uomo al RHD.
Mutagenesi
Doravirina
Doravirina was not genotoxic in a battery of in vitro or in vivo assays including microbial mutagenesis chromosomal aberration in Chinese hamster ovary cells E in in vivo rat micronucleus assays.
Lamivudina
Lamivudina was mutagenic in an L5178Y mouse lymphoma assay E clastogenic in a cytogenetic assay using cultured human lymphocytes. Lamivudina was not mutagenic in a microbial mutagenicity assay in an in vitro cell transformation assay in a rat micronucleus test in a rat bone marrow cytogenetic assay E in an assay for unscheduled DN / a synthesis in rat liver. Lamivudina showed no evidence of in vivo genotoxic activity in the rat at oral doses of up to 2000 mg per kg producing plasma levels of 35 to 45 times those in humans at the recommended dose for HIV-1 infection.
TDF
TDF was mutagenic in the in vitro mouse lymphoma assay E negative in an in vitro bacterial mutagenicity test (Ames test). In an in vivo mouse micronucleus assay TDF was negative when administered to male mice.
Compromissione della fertilità
Doravirina
Non ci sono stati effetti sulle prestazioni di accoppiamento della fertilità o sullo sviluppo embrionale precoce quando la doravirina è stata somministrata ai ratti fino alla dose più alta testata. Le esposizioni sistemiche (AUC) a doravirina erano circa 7 volte l'esposizione nell'uomo al RHD.
Lamivudina
In uno studio sulla prestazione riproduttiva, lamivudina somministrata ai ratti a dosi fino a 4000 mg per kg al giorno producendo livelli plasmatici da 47 a 70 volte quelli nell'uomo non hanno rivelato alcuna evidenza di fertilità compromessa e nessun effetto sulla crescita della sopravvivenza e sullo sviluppo del svezzamento della progenie.
TDF
Non ci sono stati effetti sulla prestazione di accoppiamento della fertilità o sullo sviluppo embrionale precoce quando il TDF è stato somministrato ai ratti maschi a una dose equivalente a 10 volte il RHD in base ai confronti della superficie corporea per 28 giorni prima dell'accoppiamento e ai ratti femmine per 15 giorni prima dell'accoppiamento fino al giorno 7 della gestazione. Vi era tuttavia un'alterazione del ciclo estro nei ratti femmine.
Utilizzare in popolazioni specifiche
Gravidanza
Gravidanza Exposure Registry
Esiste un registro di esposizione alla gravidanza che monitora gli esiti di gravidanza nelle persone esposte a Delstrigo durante la gravidanza. Gli operatori sanitari sono incoraggiati a registrare i pazienti chiamando il registro di gravidanza antiretrovirale (APR) al numero 1-800-258-4263.
Riepilogo del rischio
Non vi sono insufficienti dati prospettici di gravidanza dall'APR per valutare adeguatamente il rischio di difetti alla nascita e aborto spontaneo. L'uso di doravirina negli individui durante la gravidanza non è stato valutato; Tuttavia, l'uso di lamivudina e TDF durante la gravidanza è stato valutato in un numero limitato di individui segnalati all'APR. I dati disponibili dall'APR non mostrano alcuna differenza nel rischio complessivo di gravi difetti alla nascita per lamivudina e TDF rispetto al tasso di fondo per i principali difetti alla nascita del 2,7% nella popolazione di riferimento degli Stati Uniti del programma metropolitano di difetti congeniti di Atlanta (vedi Dati ). The rate of miscarriage is not reported in the APR. The estimated background rate of miscarriage in the clinically recognized pregnancies in the U.S. general population is 15-20%. Methodological limitations of the APR include the use of MACDP as the external comparator group. The MACDP population is not disease-specific evaluates individuals E infants from the limited geographic area E does not include outcomes for births that occurred at less than 20 weeks gestation.
Negli studi sulla riproduzione degli animali La somministrazione orale di lamivudina ai conigli incinta durante l'organogenesi ha provocato l'embriletalità all'esposizione sistemica (AUC) simile alla dose clinica raccomandata; Tuttavia, non sono stati osservati effetti di sviluppo avverso con somministrazione orale di lamivudina ai ratti in gravidanza durante l'organogenesi a concentrazioni plasmatiche (CMAX) 35 volte la dose clinica raccomandata.
Non sono stati osservati effetti avversi sullo sviluppo quando doravirina e TDF sono stati somministrati separatamente a dosi/esposizioni ≥8 (doravirina) e ≥14 (TDF) volte quelli della dose umana raccomandata (RHD) di Delstrigo (vedi Delstrigo (vedi Delstrigo (vedi Delstrigo (vedi Delstrigo (vedi Dati ).
Dati
Dati umani
Lamivudina
L'APR ha ricevuto un totale di oltre 13000 rapporti potenziali con dati di follow-up di possibile esposizione a regimi contenenti lamivudina; oltre 5900 rapporti nel primo trimestre; oltre 5600 rapporti nel secondo trimestre; e oltre 1800 rapporti nel terzo trimestre. I difetti alla nascita si sono verificati in 170 su 5472 (NULL,1% 95% IC: dal 2,7% al 3,6%) nascite vive per regimi contenenti lamivudina (esposizione del primo trimestre); e 218 su 7513 (IC 2,9% 95%: 2,5% al 3,3%) nascite vive per regimi contenenti lamivudina (esposizione al secondo/terzo trimestre). Tra le madri in gravidanza nella popolazione di riferimento degli Stati Uniti, il tasso di base dei difetti alla nascita è del 2,7%. Non vi era alcuna associazione tra lamivudina e difetti di nascita complessivi osservati nell'APR.
TDF
L'APR ha ricevuto un totale di oltre 7000 rapporti potenziali con dati di follow-up di possibile esposizione ai regimi contenenti disoproxil tenofovir; oltre 5100 rapporti nel primo trimestre; oltre 1300 rapporti nel secondo trimestre; e oltre 600 rapporti nel terzo trimestre. I difetti alla nascita si sono verificati in 113 su 4576 (IC 2,5% 95%: dal 2,0% al 3,0%) di nascite vive per i regimi contenenti TDF (prima esposizione al trimestre); e 51 del 1965 (IC 2,6% 95%: 1,9% al 3,4%) nascite vive per regimi contenenti TDF (secondo/terzo trimestre di esposizione). Tra le madri in gravidanza nella popolazione di riferimento degli Stati Uniti, il tasso di base dei difetti alla nascita è del 2,7%. Non vi era alcuna associazione tra tenofovir e difetti di nascita complessivi osservati nell'APR.
Dati sugli animali
Doravirina
Doravirina was administered orally to pregnant rabbits (up to 300 mg/kg/day on gestation days (GD) 7 to 20) E rats (up to 450 mg/kg/day on GD 6 to 20 E separately from GD 6 to lactation/postpartum day 20). No significant toxicological effects on embryo-fetal (rats E rabbits) or pre/post-natal (rats) development were observed at exposures (AUC) approximately 9 times (rats) E 8 times (rabbits) the exposure in humans at the RHD. Doravirina was transferred to the fetus through the placenta in embryo-fetal studies with fetal plasma concentrations of up to 40% (rabbits) E 52% (rats) that of maternal concentrations observed on GD 20.
Lamivudina
Lamivudina was administered orally to pregnant rats (at 90 600 E 4000 mg per kg per day) E rabbits (at 90 300 E 1000 mg per kg per day E at 15 40 E 90 mg per kg per day) during organogenesis (on GD 7 through 16 [rat] E 8 through 20 [rabbit]). No evidence of fetal malformations due to lamivudine was observed in rats E rabbits at doses producing plasma concentrations (Cmax) approximately 35 times higher than human exposure at the recommended daily dose. Evidence of early embryolethality was seen in the rabbit at system exposures (AUC) similar to those observed in humans but there was no indication of this effect in the rat at plasma concentrations (Cmax) 35 times higher than human exposure at the recommended daily dose. Studies in pregnant rats showed that lamivudine is transferred to the fetus through the placenta. In the fertility/pre- E postnatal development study in rats lamivudine was administered orally at doses of 180 900 E 4000 mg per kg per day (from prior to mating through postnatal Day 20). In the study development of the offspring including fertility E reproductive performance was not affected by maternal administration of lamivudine.
TDF
Studi di riproduzione sono stati condotti in ratti e conigli a dosi fino a 14 e 19 volte la dose umana in base ai confronti della superficie corporea e non hanno rivelato alcuna evidenza di danno al feto.
Lattazione
Riepilogo del rischio
Sulla base di dati pubblicati limitati sia la lamivudina che il tenofovir sono presenti nel latte umano. Non è noto se la doravirina sia presente nel latte umano ma la doravirina è presente nel latte di ratti in allattamento (vedi Dati ). It is not known whether Delstrigo or the components of Delstrigo affects human milk production or has effects on the breastfed infant. Potential risks of breastfeeding include: (1) HIV-1 transmission (in HIV-1-negative infants) (2) developing viral resistance (in HIV-1-positive infants) E (3) serious adverse reactions in a breastfed infant similar to those seen in adults.
Dati
Doravirina
Doravirina was excreted into the milk of lactating rats following oral administration (450 mg/kg/day) from GD 6 to lactation day 14 with milk concentrations approximately 1.5 times that of maternal plasma concentrations observed 2 hours post dose on lactation day 14.
Uso pediatrico
La sicurezza e l'efficacia di Delstrigo per il trattamento dell'infezione da HIV-1 sono state stabilite in pazienti pediatrici che pesano almeno 35 kg [vedi Indicazioni e utilizzo E Dosaggio e amministrazione ].
L'uso di Delstrigo in questo gruppo è supportato da prove da prove adeguate e ben controllate su adulti con ulteriori dati di sicurezza farmacocinetica ed efficacia da una sperimentazione in aperto in partecipanti pediatrici virologicamente soppressi o di trattamento del trattamento da 12 a meno di 18 anni. La sicurezza e l'efficacia di Delstrigo in questi partecipanti pediatrici erano simili a quella negli adulti e non vi era alcuna differenza clinicamente significativa nell'esposizione per i componenti di Delstrigo. [Vedere Reazioni avverse Farmacologia clinica E Studi clinici ].
Non sono state stabilite sicurezza e l'efficacia di Delstrigo nei pazienti pediatrici che pesano meno di 35 kg.
Uso geriatrico
Gli studi clinici sulla lamivudina doravirina o il TDF non includevano un numero sufficiente di partecipanti di età pari o superiore a 65 anni per determinare se rispondono in modo diverso dai partecipanti più giovani. In generale, dovrebbe essere esercitata nella somministrazione di Delstrigo nei pazienti anziani che riflettono la maggiore frequenza della ridotta funzione renale epatica e cardiaca e di malattia concomitante o altra terapia farmacologica [vedi Farmacologia clinica ].
Compromissione renale
Poiché Delstrigo è una compressa di combinazione a dose fissa e il dosaggio di lamivudina e TDF entrambi i componenti di Delstrigo non possono essere alterati Delstrigo non è raccomandato in pazienti con clearance di creatinina stimata inferiore a 50 ml/min [vedi AVVERTIMENTOS AND PRECAUZIONI E Farmacologia clinica ].
Compromissione epatica
Non è richiesto alcun adattamento a dosaggio di Delstrigo in pazienti con compromissione epatica lieve (bambino-pugh di classe A) o moderata (classe-pugh di classe B). Delstrigo non è stato studiato in pazienti con grave compromissione epatica (Classe Ch Child-Pugh) [vedi Farmacologia clinica ].
Informazioni per overdose per Delstrigo
Non sono disponibili dati sul sovradosaggio di Delstrigo nei pazienti e non esiste un trattamento specifico noto per il sovradosaggio con Delstrigo. Se si verifica un overdose, il paziente deve essere monitorato e il trattamento di supporto standard applicato come richiesto.
Doravirina
Non esiste un trattamento specifico noto per il sovradosaggio con doravirina.
Lamivudina
Poiché una quantità trascurabile di lamivudina è stata rimossa tramite emodialisi (4 ore) (dialisi peritoneale ambulatoriale continua e dialisi peritoneale automatizzata, non è noto se l'emodialisi continua avrebbe fornito benefici clinici in un evento di overdose di lamivudina.
TDF
TDF is efficiently removed by hemodialysis with an extraction coefficient of approximately 54%. Following a single 300 mg dose of TDF a 4-hour hemodialysis session removed approximately 10% of the administered tenofovir dose.
Controindicazioni per Delstrigo
- Delstrigo is contraindicated when co-administered with drugs that are strong cytochrome P450 (CYP)3A enzyme inducers as significant decreases in doravirine plasma concentrations may occur which may decrease the effectiveness of Delstrigo [see AVVERTIMENTOS AND PRECAUZIONI Interazioni farmacologiche E Farmacologia clinica ]. These drugs include but are not limited to the following:
- gli anticonvulsiranti carbamazepina oxcarbazepina fenitoina fenobarbitale
- l'enzalutamide dell'inibitore del recettore degli androgeni
- gli antimycobacteriali rifampin Rifapentine
- l'agente citotossico mitotane
- Wort di San Giovanni (Hypericum Perforatum)
- Delstrigo is contraindicated in patients with a previous hypersensitivity reaction to lamivudine.
Farmacologia clinica for Delstrigo
Meccanismo d'azione
Delstrigo is a fixed-dose combination of the antiretroviral drugs doravirine lamivudine E TDF [see Microbiologia ].
Farmacodinamica
In uno studio di fase 2 che valuta la doravirina per un intervallo di dose da 0,25 a 2 volte la dose raccomandata di doravirina a Delstrigo (in combinazione con FTC/TDF) nei partecipanti che vivono con HIV senza storia di trattamento antiretrovirale Nessuna relazione di risposta all'esposizione per l'efficacia è stata identificata per la doravirina.
Elettrofisiologia cardiaca
A una dose di doravirina di 1200 mg che fornisce circa 4 volte la concentrazione di picco osservata in seguito alla dose raccomandata di doravirina a Delstrigo non prolunga l'intervallo QT in misura clinicamente rilevante.
Farmacocinetica
La somministrazione a dose singola di una compressa Delstrigo a partecipanti sani ha fornito esposizioni comparabili di lamivudina doravirina e tenofovir alla somministrazione di compresse di doravirina (100 mg) più compresse di lamivudina (300 mg) più compresse TDF (300 mg). La farmacocinetica di doravirina è simile nei partecipanti sani e nei partecipanti che vivono con l'HIV. Le proprietà farmacocinetiche dei componenti di Delstrigo sono fornite nella Tabella 7.
Tabella 7: Proprietà farmacocinetiche dei componenti di Delstrigo
| Parametro | Doravirina | Lamivudina | Tenofovir |
| Generale | |||
| Esposizione allo stato stazionario* | |||
| AUC0-24 (MCG • H/ML) | 16.1 (29) † | 8,87 ± 1,83 ‡ | 2,29 ± 0,69 |
| CMAX (MCG/ML) | 0.962 (19) † | 2,04 ± 0,54 ‡ | 0,30 ± 0,09 |
| C24 (MCG/ML) | 0,396 (63) † | N / a | N / a |
| Assorbimento | |||
| Biodisponibilità assoluta | 64% | 86% | 25% |
| TMAX (H) | 2 | N / a | 1 |
| Effetto del cibo¶ | |||
| Rapporto AUC | 1.10 (1.01 1.20) | 0,93 (NULL,84 1,03) | 1.27 (1.17 1.37) |
| Rapporto CMAX | 0,95 (NULL,80 1,12) | 0,81 (NULL,65 1,01) | 0,88 (NULL,74 1,04) |
| Rapporto C24 | 1.26 (1.13 1.41) | N / a | N / a |
| Distribuzione | |||
| VDSS | 60,5 l | 1,3 L/kg | 1,3 L/kg |
| Legame proteico plasmatico | 76% | <36% | <0.7% |
| Eliminazione | |||
| t½ (h) | 15 | 5-7 | 17 |
| Cl/ f (ml/ min)* | 106 (35.2) | 398,5 ± 69,1 | 1043,7 ± 115,4 |
| Clrenale (ml/ min)* | 9.3 (18.6) | 199,7 ± 56,9 | 243,5 ± 33,3 |
| Metabolismo | |||
| Pathway primario (i) | CYP3A | Minore | Nessun metabolismo del CYP |
| Escrezione | |||
| Principale percorso di eliminazione | Metabolismo | Filtrazione glomerulare e secrezione tubulare attiva | Filtrazione glomerulare e secrezione tubulare attiva |
| Urina (invariata) | 6% | 71% | 70-80% |
| Biliare/fecale (invariato) | Minore | N / a | N / a |
| *Presentato come media geometrica (%CV: coefficiente geometrico di variazione) o media ± DS. † Doravirina 100 mg una volta al giorno ai partecipanti che vivono con l'HIV. ‡ Lamivudina 300 mg una volta al giorno per 7 giorni a 60 partecipanti sani. §Singi 300 mg dose di TDF ai partecipanti che vivono con l'HIV nello stato a digiuno. ¶Geometric Rapporto medio [pasto/digiuno ad alto contenuto di grassi] e (intervallo di confidenza al 90%) per i parametri PK. Il pasto ad alto contenuto di grassi è di circa 1000 kcal 50% di grasso. L'effetto del cibo non è clinicamente rilevante. Abbreviazioni: Na = non disponibile; AUC = area sotto la curva di concentrazione del tempo; CMAX = concentrazione massima; C24 = concentrazione a 24 ore; Tmax = time to cmax; VDSS = volume apparente di distribuzione allo stato stazionario; t½ = emivita di eliminazione; Cl/f = clearance apparente; Clrenale = clearance renale |
Popolazioni specifiche
Negli adulti non sono state osservate differenze clinicamente significative nella farmacocinetica di alcuni componenti Delstrigo in base all'età ≥65 anni (per doravirina) sesso (per tenofovir di lamivudina doravirina) e razza/etnia (per lamivudina doravirina). Gli effetti dell'età (≥65 anni) sulla farmacocinetica di lamivudina e tenofovir e l'effetto della razza sulla farmacocinetica del tenofovir sono sconosciuti.
Pazienti con compromissione renale
Doravirina
Non sono state osservate differenze clinicamente significative nella farmacocinetica del doravirina nei partecipanti con compromissione renale lieve a grave (clearance della creatinina (CLCR)> 15 ml/min stimato da Cockcroft-Gault). La doravirina non è stata studiata in pazienti con malattia renale allo stadio terminale o in pazienti sottoposti a dialisi.
Lamivudina
L'AUC∞ CMAX e l'emivita della lamivudina sono aumentati e Cl/F sono diminuiti in misura clinicamente significativa con la funzione renale in diminuzione (da CLCR da 111 a <10 mL/min).
TDF
Un aumento clinicamente significativo del CMAX e dell'AUC di tenofovir è stato osservato nei partecipanti con CLCR <50 mL/min or with end stage renal disease requiring dialysis [see AVVERTIMENTOS AND PRECAUZIONI E Utilizzare in popolazioni specifiche ].
Pazienti con compromissione epatica
Doravirina
Non è stata osservata alcuna differenza clinicamente significativa nella farmacocinetica del doravirina nei partecipanti con moderata compromissione epatica (punteggio Bhil-Pugh B) rispetto ai partecipanti senza compromissione epatica. La doravirina non è stata studiata in partecipanti con grave compromissione epatica (punteggio di Child-Pugh C).
Lamivudina
Non sono state osservate differenze clinicamente significative nella farmacocinetica lamivudina con una funzione epatica in diminuzione. La sicurezza e l'efficacia della lamivudina non sono state stabilite in presenza di malattie epatiche scompensate.
TDF
Non sono state osservate differenze clinicamente significative nella farmacocinetica tenofovir tra partecipanti con qualsiasi grado di compromissione epatica e partecipanti non intatti.
Pazienti pediatrici
Le esposizioni medie di doravirina erano simili in 54 partecipanti pediatrici di età compresa tra 12 e meno di 18 anni e pesavano almeno 35 kg che hanno ricevuto doravirina o Delstrigo nell'IMPAACT 2014 (Protocollo 027) rispetto agli adulti a seguito della somministrazione di doravirina o Delstrigo. Le esposizioni di lamivudina e tenofovir nei partecipanti pediatrici a seguito della somministrazione di Delstrigo erano simili a quelle degli adulti a seguito della somministrazione di lamivudina e tenofovir (Tabella 8). Per i partecipanti pediatrici che pesano ≥ 35 kg e <45 kg who receive doravirine 100 mg or Delstrigo the population pharmacokinetic model-predicted mean C24 of doravirine was comparable to that achieved in adults whereas mean AUC0-24 E Cmax of doravirine were 25% E 36% higher than adult values respectively. However the predicted AUC0-24 E Cmax increases are not considered clinically significant.
Tabella 8: Farmacocinetica a stato stazionario per lamivudina doravirina e tenofovir dopo la somministrazione di doravirina o delstrigo in partecipanti pediatrici che vivono con Hivaged 12 a meno di 18 anni e pesa almeno 35 kg
| Parametro* | Doravirina† | Lamivudina‡ | Tenofovir‡ |
| AUC0-24 (MCG • H/ML) | 16.4 (24) | 11.3 (28) | 2,55 (14) |
| CMAX (MCG/ML) | 1.03 (16) | 2.1 (24) | 0,293 (37) |
| C24 (MCG/ML) | 0,379 (42) | N / a | N / a |
| *Presentato come media geometrica (%CV: coefficiente geometrico di variazione) † Dall'analisi PK della popolazione (n = 53 pesa ≥45 kg n = 1 pesatura ≥35 kg a <45 kg) ‡ Dall'analisi PK intensiva (n = 10) Abbreviazioni: Na = non applicabile; AUC = area sotto la curva di concentrazione del tempo; CMAX = concentrazione massima; C24 = concentrazione a 24 ore |
Studi sull'interazione farmacologica
Delstrigo is a complete regimen for the treatment of HIV-1 infection; therefore Delstrigo is not recommended to be administered with other HIV-1 antiretroviral medications. Information regarding potential drug-drug interactions with other antiretroviral medications is not provided.
Gli studi di interazione farmacologica descritti sono stati condotti con lamivudina doravirina e/o TDF come singole entità; Non sono stati condotti studi di interazione farmacologica utilizzando la combinazione di lamivudina doravirina e TDF. Non sono state osservate interazioni farmacologiche clinicamente rilevanti tra lamivudina doravirina e TDF.
Doravirina
Doravirina is primarily metabolized by CYP3A E drugs that induce or inhibit CYP3A may affect the clearance of doravirine. Co-administration of doravirine E drugs that induce CYP3A may result in decreased plasma concentrations of doravirine. Co-administration of doravirine E drugs that inhibit CYP3A may result in increased plasma concentrations of doravirine.
Doravirina is not likely to have a clinically relevant effect on the exposure of medicinal products metabolized by CYP enzymes. Doravirina did not inhibit major drug metabolizing enzymes in vitro including CYPs 1A2 2B6 2C8 2C9 2C19 2D6 3A4 E UGT1A1 E is not likely to be an inducer of CYP1A2 2B6 or 3A4. Based on in vitro assays doravirine is not likely to be an inhibitor of OATP1B1 OATP1B3 P-glycoprotein BSEP OAT1 OAT3 OCT2 MATE1 E MATE2K. Drug interaction studies were performed with doravirine E other drugs likely to be co-administered or commonly used as probes for pharmacokinetic interactions. The effects of co-administration with other drugs on the exposure (Cmax AUC E C24) of doravirine are summarized in Table 9. A single doravirine 100 mg dose was administered in these studies unless otherwise noted.
Tabella 9: interazioni farmacologiche: variazioni dei valori dei parametri farmacocinetici della doravirina nella presentazione del farmaco somministrato
| Farmaco somministrato | Regime di farmaco somministrato in cobrima | N | Rapporto medio geometrico (IC al 90%) di farmacocinetica doravirina con/senza farmaco somministrato in co-somministrazione (nessun effetto = 1,00) | ||
| AUC* | Cmax | C24 | |||
| Agenti antifungini azolo | |||||
| ketoconazolo † | 400 mg QD | 10 | 3.06 (2.85 3.29) | 1.25 (1.05 1.49) | 2.75 (2.54 2.98) |
| Antimycobacteriali | |||||
| rifampin | 600 mg QD | 10 | 0.12 (NULL,10 0,15) | 0.43 (NULL,35 0,52) | 0.03 (NULL,02 0,04) |
| Rifabutin | 300 mg QD | 12 | 0.50 (NULL,45 0,55) | 0.99 (NULL,85 1,15) | 0.32 (NULL,28 0,35) |
| 300 mg QD‡ | 15 | 1.03 (NULL,94 1.14) | 0.97 (NULL,87 1,08) | 0.98 (NULL,88 1.10) | |
| HIV Antiviral Agents | |||||
| Ritonavir † § | 100 mg di offerta | 8 | 3.54 (3.04 4.11) | 1.31 (1.17 1.46) | 2.91 (2.33 3.62) |
| Efavirenz | 600 mg QD¶ | 17 | 0.38 (NULL,33 0,45) | 0.65 (NULL,58 0,73) | 0.15 (NULL,10 0,23) |
| 600 mg QD# | 17 | 0.68 (NULL,58 0,80) | 0.86 (NULL,77 0,97) | 0.50 (NULL,39 0,64) | |
| Ci = intervallo di confidenza; QD = una volta al giorno; Bid = due volte al giorno *AUC0-∞ per AUC0-24 monodose per una volta al giorno. † I cambiamenti nei valori farmacocinetici di doravirina non sono clinicamente rilevanti. ‡ L'offerta di doravirina 100 mg ha comportato valori farmacocinetici simili rispetto a 100 mg QD senza rifabutina. È stata somministrata §A Dose di doravirina singola 50 mg (NULL,5 volte la dose approvata raccomandata). ¶ Il primo giorno successivo alla cessazione della terapia di Efavirenz e iniziazione di doravirina 100 mg QD. |
Sulla base di studi di interazione farmacologica condotti con doravirina non sono state osservate interazioni farmacologiche clinicamente significative in seguito alla co-somministrazione di doravirina e ai seguenti farmaci: doloutegravir tdf lamivudine elbasvir e grazoprevir ledipasvir e sofosbuvir ketoconazole ritonavir alumidide idrosside idrosside/magesio idrosside idrosside idrosside/magesio idrosside idrosside idrosside/magesio idrosside idrosside idrosside idrosside/magesio idrosside idrosside/simeticone con sofosbuvir ketoconazole ritonavir alluminum idrosside idrosside idrosside/magesio idrosside idrosside idrosside idrosside/magesio idrosside idrosside/simethicone sieticone/sente pantoprazolo atorvastatina Un contraccettivo orale contenente etinil estradiolo e metformina metaformina di levonorgestrel e midazolam.
Lamivudina
Trimothoprim/Sulfamethoxazolo
La co-somministrazione di TMP/SMX con lamivudina ha comportato un aumento del 43% ± 23% (media ± DS) nella aucna della lamivudina con una diminuzione del 29% ± 13% nella clearance orale di lamivudina e una diminuzione del 30% ± 36% in lamivudina renale renale. Le proprietà farmacocinetiche di TMP e SMX non sono state modificate dalla co-somministrazione con lamivudina.
Sorbitolo (eccipiente)
La co-somministrazione di lamivudina con una singola dose di 3,2 grammi di 10,2 grammi o 13,4 grammi di sorbitolo ha comportato una riduzione della dose-dipendente del 14% 32% e 36% nell'AUC∞; e 28% 52% e 55% rispettivamente nel CMAX della lamivudina.
TDF
Non sono stati osservati cambiamenti clinicamente significativi nell'esposizione per tenofovir quando somministrato con tacrolimus o entecavir.
Non sono stati osservati cambiamenti clinicamente significativi nell'esposizione per i seguenti farmaci quando somministrato con tenofovir: Tacrolimus entrecavir metadone o etinil estradiolo/norgesimale.
Microbiologia
Meccanismo d'azione
Doravirina
Doravirina is a pyridinone non-nucleoside reverse transcriptase inhibitor of HIV-1 E inhibits HIV-1 replication by non-competitive inhibition of HIV-1 reverse transcriptase (RT). The inhibitory concentration at 50% (IC50) of doravirine for RN / a-dependent DN / a polymerization of recombinant wild-type HIV-1 RT in a Biochimico assay was 12.2±2.0 nM (n=3). Doravirina does not inhibit the human cellular DN / a polymerasesα β E mitochondrial DN / a polymerase γ.
Lamivudina
Lamivudina is a synthetic nucleoside analogue. Intracellularly lamivudine is phosphorylated to its active 5´-triphosphate metabolite lamivudine triphosphate (3TC-TP). The principal mode of action of 3TC-TP is inhibition of RT via DN / a chain termination after incorporation of the nucleotide analogue. Lamivudina triphosphate (3TC-TP) is a weak inhibitor of mammalian DN / a polymerasesα β E mitochondrial DN / a polymerase γ.
TDF
TDF is an acyclic nucleoside phosphonate diester analog of adenosine monophosphate. TDF requires initial diester hydrolysis for conversion to tenofovir E subsequent phosphorylations by cellular enzymes to form tenofovir diphosphate. Tenofovir diphosphate inhibits the activity of HIV-1 RT by competing with the natural substrate deoxyadenosine 5'-triphosphate E after incorporation into DN / a by DN / a chain termination. Tenofovir diphosphate is a weak inhibitor of mammalian DN / a polymerasesα β E mitochondrial DN / a polymerase γ.
Attività antivirale nella coltura cellulare
Doravirina
Doravirina exhibited an EC50 value of 12.0±4.4 nM against wild-type laboratory strains of HIV-1 when tested in the presence of 100% normal human serum (NHS) using MT4-GFP reporter cells E a median EC50 value for HIV-1 subtype B primary isolates (n=118) of 4.1 nM (range: 1.0 nM-16.0 nM). Doravirina demonstrated antivirale activity against a broad panel of primary HIV-1 isolates (A A1 AE AG B BF C D G H) with EC50 values ranging from 1.2 nM to 10.0 nM. The antivirale activity of doravirine was not antagonistic when combined with lamivudine E TDF.
Lamivudina
L'attività antivirale della lamivudina contro l'HIV-1 è stata valutata in una serie di linee cellulari tra cui monociti e cellule mononucleate del sangue periferico (PBMC) usando saggi di suscettibilità standard. I valori EC50 erano compresi tra 3 e 15000 nm (1000 nm = 230 ng per ml). I valori mediani EC50 della lamivudina erano 60 nm (intervallo: da 20 a 70 nm) 35 nm (intervallo: da 30 a 40 nm) 30 nm (intervallo: da 20 a 90 nm) 20 nm (intervallo: da 3 a 40 nm) 30 nm: intervallo: da 1 a 60 nm) 30 nm (intervallo: da 20 a 70 nm) 30 nm (intervallo: 3 a 70 nm) Clade HIV-1 A-G e Gruppo O virus (n = 3 tranne n = 2 per il clade B) rispettivamente. La ribavirina (50000 nm) utilizzata nel trattamento dell'infezione cronica di HCV ha ridotto l'attività anti-HIV-1 della lamivudina di 3,5 volte nelle cellule MT-4.
TDF
L'attività antivirale di tenofovir contro gli isolati di laboratorio e clinici dell'HIV-1 è stata valutata nelle linee cellulari linfoblastoide T di cellule di monociti/macrofagi primari e linfociti del sangue periferico. I valori EC50 per tenofovir erano compresi tra 40-8500 nm. Il tenofovir ha mostrato attività antivirale nella coltura cellulare contro le lame HIV-1 A B C D E F G e O (i valori EC50 variavano da 500-2200 nm).
Resistenza
Nella coltura cellulare
Doravirina
Doravirina-resistant strains were selected in cell culture starting from wild-type HIV-1 of different origins E subtypes as well as NNRTI-resistant HIV-1. Observed emergent amino acid substitutions in RT included: V106A V106I V106M V108I H221Y F227C F227I F227L F227V M230I L234I P236L E Y318F. The V106A V106M V108I H221Y F227C M230I P236L E Y318F substitutions conferred 3.4-fold to 70-fold reductions in susceptibility to doravirine. Y318F in combination with V106A V106M V108I or F227C conferred greater decreases in susceptibility to doravirine than Y318F alone which conferred a 10-fold reduction in susceptibility to doravirine.
Lamivudina
Lamivudina-resistant variants of HIV-1 have been selected in cell culture E in participants treated with lamivudine. Genotypic analysis showed that substitutions M184I or V cause resistance to lamivudine.
TDF
HIV-1 isolates selected by tenofovir in cell culture expressed a K65R substitution in HIV-1 RT E showed a 2â€4 -fold reduction in susceptibility to tenofovir. In addition a K70E substitution in HIV-1 RT has been selected by tenofovir E results in low-level reduced susceptibility to abacavir emtricitabine lamivudine E tenofovir.
Negli studi clinici
La sperimentazione clinica risulta negli adulti senza storia di trattamento antiretrovirale
Doravirina
Nel braccio di trattamento della doravirina dello studio drive-ahead (n = 364) a 96 settimane 10 partecipanti hanno mostrato l'emergere di sostituzioni associate alla resistenza alla doravirina tra 24 (42%) partecipanti ai sottogruppi di analisi della resistenza (con la resistenza alla base di battiti di resistenza). Le sostituzioni associate alla resistenza alla doravirina emergenti in RT includevano una o più delle seguenti: V90V/G A98G V106A V106I V106M/T V108I E138G Y188L H221Y P225H P225L P225P/S F227C F227C/R Y318/F. Sei dei 10 partecipanti con sostituzioni emergenti associate alla resistenza alla doravirina hanno mostrato resistenza fenotipica di doravirina e tutti hanno avuto una riduzione maggiore di 100 volte nella suscettibilità alla doravirina (intervallo da 103 a> 211). Gli altri 4 fallimenti virologici che avevano solo miscele di aminoacidi di sostituzioni di resistenza NNRTI hanno mostrato cambiamenti di pieghe fenotipici di doravirina inferiori a 2 volte.
Nel braccio di trattamento EFV/FTC/TDF dello studio Drive-AHEAD (n = 364) fino alla settimana 96 15 partecipanti hanno mostrato l'emergere di sostituzioni associate alla resistenza di Efavirenz tra 25 (60%) partecipanti nel sottogruppo di analisi di resistenza.
Lamivudina And TDF
In un'analisi aggregata dei partecipanti antiretrovirali-Naia che hanno ricevuto la lamivudina doravirina e la genotipizzazione TDF sono stati eseguiti su isolati plasmatici di HIV-1 da tutti i partecipanti con RNA dell'HIV-1 superiori a 400 copie per ML a insufficienza virologica confermata o al momento della distinzione del farmaco con studio precoce. La resistenza genotipica si è sviluppata in 8 partecipanti valutabili che hanno ricevuto DOR/3TC/TDF attraverso la settimana 96. Le sostituzioni associate alla resistenza emerse sono state RT M41L (n = 1) A62A/V (n = 1) K65R (n = 2) T69T/A (n = 1) V75V/I (n = 1) e M184V (n = 5). In confronto la resistenza genotipica con emtricitabina o tenofovir sviluppate in 5 partecipanti valutabili che hanno ricevuto EFV/FTC/TDF in Driveâahead; Le sostituzioni associate alla resistenza emergente erano RT K65R (n = 1) D67G/K70E (n = 1) L74V/V75M/V118i (n = 1) M184i o V (n = 5) e K219K/E (n = 1).
La sperimentazione clinica risulta in adulti virologicamente soppressi
Nella sperimentazione clinica di trasporto di trasmissione [vedi Studi clinici ] C'erano 6 partecipanti nel gruppo di switch immediati (n = 447) e 2 partecipanti al gruppo di interruttore ritardato (n = 209) che soddisfacevano i criteri di insufficienza virologica definiti dal protocollo (confermato HIV-1 RNA ≥ 50 copie/mL). Due dei 6 partecipanti a insufficienza virologica nel gruppo di switch immediati avevano dati di resistenza disponibili e né hanno sviluppato resistenza genotipica o fenotipica rilevabile alla lamivudina doravirina o tenofovir durante il trattamento con Delstrigo. Uno dei due partecipanti a insufficienza virologica del gruppo di interruttori ritardati che aveva i dati di resistenza disponibili hanno sviluppato la sostituzione RT M184M/I e la resistenza fenotipica all'emtricitabina e alla lamivudina durante il trattamento con il loro regime di base.
Resistenza incrociata
Non è stata dimostrata alcuna resistenza incrociata significativa tra varianti di HIV-1 resistenti al doravirina e lamivudina/emtricitabina o tenofovir o tra lamivudina o varianti resistenti al tenofovir e doravirina.
Doravirina
La resistenza incrociata è stata osservata tra i NNRTI. Le sostituzioni associate alla resistenza alla doravirina emergenti dal trattamento possono conferire resistenza incrociata a efavirenz etravirina nevirapina e rilpivirina. Dei 6 partecipanti a insufficienza virologica che hanno sviluppato resistenza fenotipica di doravirina avevano tutti resistenza fenotipica a Efavirenz e la nevirapina 4 avevano una resistenza fenotipica alla rilpivirina e 4 avevano resistenza all'etravirina nel test di fenosenso del monogramma. Degli 11 partecipanti virologici fenotipicamente resistenti a Efavirenz 2 (18%) ha ridotto la suscettibilità al doravirina (18 e 36 volte).
La sostituzione associata alla resistenza alla doravirina emergente del trattamento Y318F non ha conferito una ridotta suscettibilità all'etravirina efavirenz o al rilpivirina.
Un panel di 96 diversi isolati clinici contenenti sostituzioni associate alla resistenza NNRTI è stato valutato per la suscettibilità alla doravirina. Gli isolati clinici contenenti la sostituzione Y188L da soli o in combinazione con K103N o V106i V106A in combinazione con G190A e F227L o E138K in combinazione con Y181C e M230L hanno mostrato una suscettibilità ridotta maggiore di 100 volte al doravirina.
Lamivudina
La resistenza incrociata è stata osservata tra i NRTI. La sostituzione associata alla resistenza alla lamivudina M184i/V conferisce resistenza all'abacavir didanosina ed emtricitabina. La lamivudina ha anche ridotto la suscettibilità alla sostituzione K65R.
TDF
La resistenza incrociata è stata osservata tra i NRTI. La sostituzione K65R in HIV-1 RT selezionata dal tenofovir è anche selezionata in alcuni pazienti che vivono con HIV trattati con abacavir o didanosina. Gli isolati dell'HIV-1 con la sostituzione K65R hanno anche mostrato una ridotta suscettibilità all'emtricitabina e alla lamivudina. Pertanto, la resistenza incrociata tra questi NRTI può verificarsi in pazienti il cui virus ospita la sostituzione K65R. La sostituzione K70E selezionata clinicamente dal TDF comporta una ridotta suscettibilità all'abacavir didanosina emtricitabina lamivudina e tenofovir. Gli isolati dell'HIV-1 da pazienti (n = 20) il cui HIV-1 espresse una media di 3 sostituzioni associate alla resistenza alla zidovudina (M41L D67N K70R L210W T215Y/F o K219Q/E/N) ha mostrato una riduzione di 3,1-piede nella suscettibilità al tenofovir. I partecipanti il cui virus ha espresso una sostituzione RT L74V senza sostituzioni associate alla resistenza alla zidovudina (n = 8) hanno ridotto la risposta al TDF. Sono disponibili dati limitati per i pazienti il cui virus ha espresso una sostituzione Y115F (N = 3) Sostituzione Q151M (N = 2) o l'inserimento T69 (n = 4) in HIV-1 RT che hanno avuto una risposta ridotta negli studi clinici.
Studi clinici
La sperimentazione clinica risulta negli adulti senza storia di trattamento antiretrovirale
L'efficacia di Delstrigo si basa sulle analisi di dati di 96 settimane da uno studio randomizzato di fase 3 controllato attivo attivo attivo attivo (Drive-AHEAD NCT02403674) nei partecipanti che vivono con HIV senza storia di trattamento antiretrovirale (n = 728).
I partecipanti sono stati randomizzati e hanno ricevuto almeno 1 dose di Delstrigo o EFV 600 mg/FTC 200 mg/TDF 300 mg una volta al giorno. Al basale l'età media dei partecipanti era di 31 anni, il 15% era che il 52% delle donne era non bianco il 3% aveva la coinfezione da epatite B o C il 14% aveva una storia di AIDS il 21% aveva l'RNA dell'HIV-1 maggiore di 100000 copie/mL e l'88% aveva contato di cellule T CD4 superiori a 200 cellule/mm³; Queste caratteristiche erano simili tra i gruppi di trattamento. La settimana 96 i risultati per Drive-ahead sono forniti nella Tabella 10.
I conteggi medi delle cellule T CD4 nei gruppi Delstrigo ed EFV/FTC/TDF sono aumentati rispettivamente dal basale per 238 e 223 cellule/mm³.
Tabella 10: esito virologico in Drive-ahead alla settimana 96 in partecipanti adulti all'HIV-1 senza storia di trattamento antiretrovirale
| Risultato | Delstrigo Once Daily N = 364 | EFV/FTC/TDF una volta al giorno N = 364 |
| HIV-1 RN / a <50 copies/mL | 77% | 74% |
| Differenza del trattamento (IC 95%) * | 3,8% (-2,4% 10,0%) | |
| HIV-1 RN / a ≥ 50 copies/mL† | 15% | 12% |
| Nessun dato virologico alla finestra della settimana 96 | 7% | 14% |
| Studio interrotto a causa di AE o morte ‡ | 3% | 8% |
| Studio interrotto per altri motivi§ | 4% | 5% |
| In studio ma mancano i dati nella finestra | 1% | 1% |
| Proporzione (%) dei partecipanti con HIV-1 RNA <50 copies/mL at Week 96 by Basale E Demographic Category | ||
| Genere | ||
| Maschio | 78% (n = 305) | 73% (n = 311) |
| Femmina | 75% (n = 59) | 75% (n = 53) |
| Gara | ||
| Bianco | 80% (n = 176) | 74% (N = 170) |
| Non bianco | 76% (N = 188) | 74% (N = 194) |
| Etnia¶ | ||
| Ispanico o latino | 81% (n = 126) | 77% (N = 119) |
| Non ispanico o latino | 76% (N = 238) | 72% (n = 239) |
| Basale HIV-1 RN / a (copies/mL) | ||
| ≤100000 copie/ml | 80% (n = 291) | 77% (N = 282) |
| > 100000 copie/ml | 67% (n = 73) | 62% (n = 82) |
| Conte di cellule T CD4 (cellule/mm³) | ||
| ≤200 cellule/mm³ | 59% (n = 44) | 70% (n = 46) |
| > 200 cellule/mm³ | 80% (n = 320) | 74% (N = 318) |
| Sottotipo virale¶ | ||
| Sottotipo b | 80% (n = 232) | 72% (n = 253) |
| Sottotipo non-b | 73% (n = 130) | 77% (N = 111) |
| *L'IC al 95% per la differenza di trattamento è stato calcolato utilizzando il metodo Mantel-Haenszel adeguato allo strato. † Include i partecipanti che hanno interrotto il farmaco di studio o lo studio prima della settimana 96 per mancanza o perdita di efficacia e partecipanti con RNA dell'HIV-1 pari o superiore a 50 copie/ml nella finestra della settimana 96. ‡ Include i partecipanti che hanno interrotto a causa dell'evento avverso (AE) o della morte se ciò non ha provocato dati virologici nella finestra della settimana 96. § Altre ragioni includono: perdita di non conformità al follow-up con il prelievo di deviazione del protocollo di gravidanza per la decisione di medici di studio di studio da parte del partecipante. ¶ non include partecipanti la cui etnia o sottotipi virali erano sconosciuti. |
La sperimentazione clinica risulta in adulti virologicamente soppressi
L'efficacia del passaggio da un regime di base composto da due NRTI in combinazione con un PI più Ritonavir o Cobicistat o Elvitegravir più Cobicistat o un NNRTI a Delstrigo è stata valutata in HIV in superamento viro-espresso in HIV. I partecipanti devono essere stati soppressi virologicamente (HIV-1 RNA <50 copies/mL) on their basale regimen for at least 6 months prior to trial entry with no history of virologic failure. Participants were rEomized to either switch to Delstrigo at basale [n = 447 Immediate Switch Group (ISG)] or stay on their basale regimen until Week 24 at which point they switched to Delstrigo [n = 223 Delayed Switch Group (DSG)].
Al basale l'età media dei partecipanti era di 43 anni il 16% era femmina e il 24% non era bianco il 21% era di etnia ispanica o latina che il 3% aveva la co-infezione da virus dell'epatite B e/o C il 17% aveva una storia di AIDS il 96% in un conteggio di T-Celte. Il 6% di NNRTI era su un regime contenente elvitegravir più cobicistat e l'1% era su un regime contenente un cobicistat PI più; Queste caratteristiche erano simili tra i gruppi di trattamento.
I risultati dei risultati virologici sono mostrati nella Tabella 11.
Tabella 11: Risultati virologici nel cambio di trasmissione nei partecipanti a HIV-1 soppressi virologicamente che sono passati a Delstrigo
| Risultato | Delstrigo Once Daily ISG Week 48 N = 447 | Basale Regimen DSG Week 24 N = 223 |
| HIV-1 RN / a ≥ 50 copies/mL* | 2% | 1% |
| Differenza ISG-DSG (IC 95%) † ‡ | 0,7% (-1,3% 2,6%) | |
| HIV-1 RN / a <50 copies/mL | 91% | 95% |
| Nessun dato virologico nella finestra temporale | 8% | 4% |
| Studio interrotto a causa di AE o Death§ | 3% | <1% |
| Studio interrotto per altri motivi | 4% | 4% |
| In studio ma mancano i dati nella finestra | 0 | 0 |
| Proporzione (%) dei partecipanti con HIV-1 RNA <50 copies/mL by Basale E Demographic Category | ||
| Età (anni) | ||
| <50 | 90% (n = 320) | 95% (N = 157) |
| ≥50 | 94% (n = 127) | 94% (n = 66) |
| Genere | ||
| Maschio | 91% (N = 372) | 94% (n = 194) |
| Femmina | 91% (N = 75) | 100% (n = 29) |
| Gara | ||
| Bianco | 90% (n = 344) | 95% (N = 168) |
| Non bianco | 93% (n = 103) | 93% (n = 55) |
| Etnia | ||
| Ispanico o latino | 88% (n = 99) | 91% (N = 45) |
| Non ispanico o latino | 91% (N = 341) | 95% (N = 175) |
| Conte di cellule T CD4 (cellule/mm³) | ||
| <200 cells/mm³ | 85% (n = 13) | 75% (n = 4) |
| ≥200 cellule/mm³ | 91 % (n = 426) | 95% (N = 216) |
| Basale Regimen# | ||
| Pi più ritonavir o cobicistat | 90% (n = 316) | 94% (n = 156) |
| elvitegravir plus cobicistat or NNRTI | 93% (n = 131) | 96% (n = 67) |
| *Include i partecipanti che hanno interrotto il farmaco di studio o lo studio prima della settimana 48 per ISG o prima della settimana 24 per DSG per mancanza o perdita di efficacia e partecipanti con copie HIV-1 RNA ≥50/ml nella finestra della settimana 48 per ISG e nella finestra della settimana 24 per DSG † L'IC al 95% per la differenza di trattamento è stato calcolato utilizzando il metodo Mantel-Haenszel adeguato allo strato. ‡ Valutato utilizzando un margine di non inferiorità del 4%. § Include i partecipanti che hanno interrotto a causa dell'evento avverso (AE) o della morte se ciò non ha provocato dati virologici sul trattamento durante la finestra specificata. ¶ altro ragioni includono: Lost per il follow-up non conformità con il prelievo della deviazione del protocollo di decisione sui farmaci per studi da parte del partecipante. |
La sperimentazione clinica risulta in partecipanti pediatrici
L'efficacia di Delstrigo è stata valutata nella coorte 2 di una sperimentazione a 2 coro a braccio singolo in aperto su partecipanti pediatrici da 12 a meno di 18 anni vivendo con HIV (IMPAACT 2014 (Protocollo 027) NCT03332095). In coorte 1, i partecipanti a soppressione virologicamente (n = 9) hanno ricevuto una singola dose di 100 mg di doravirina seguita da un intenso campionamento PK. Nella coorte 2 i partecipanti virologicamente soppressi (n = 43) sono stati passati a Delstrigo e i partecipanti al trattamento-naãve (n = 2) sono stati avviati su Delstrigo.
Nella coorte 2 al basale l'età media dei partecipanti era di 15 anni (intervallo: da 12 a 17) il peso mediano era di 52 kg (intervallo: da 45 a 80) il 58% era femmina 78% era asiatico e il 22% era nero e la conta mediana delle cellule T CD4 era di 713 cellule per mm³ (intervallo da 84 a 1397). Dopo essere passati a Delstrigo il 95% (41/43) dei partecipanti virologicamente soppressi è rimasto soppresso (RNA dell'HIV-1 <50 copies/mL) at Week 24. One of the two treatment-naïve participants achieved HIV-1 RN / a <50 copies/mL at Week 24. The other treatment-naïve participant met the protocol-defined virologic failure criteria (defined as 2 consecutive plasma HIV-1 RN / a test results ≥200 copies/mL at or after Week 24) E was evaluated for the development of resistance; no emergence of genotypic or phenotypic resistance to doravirine lamivudine or tenofovir was detected.
Informazioni sul paziente per Delstrigo
Delstrigo®
(Del-Stree-Go)
(compresse di fumarate disoproxil di lamivudina e tenofovir doravirina)
Quali sono le informazioni più importanti che dovrei sapere su Delstrigo?
Delstrigo can cause serious side effects including:
Peggioramento dell'infezione da virus dell'epatite B (HBV). Se si dispone di virus dell'immunodeficienza umana-1 (HIV-1) e infezione da HBV, l'infezione da HBV potrebbe peggiorare (fiammata) se smetti di prendere Delstrigo. Una riacutizzazione è quando l'infezione da HBV torna improvvisamente in modo peggiore di prima. Il tuo operatore sanitario ti metterà alla prova per l'infezione da HBV prima di iniziare il trattamento con Delstrigo.
- Non esaurirsi da Delstrigo. Riempi la prescrizione o parla con il tuo medico prima che il tuo Delstrigo sia sparito.
- Non smettere di prendere Delstrigo senza prima parlare con il tuo operatore sanitario. Se smetti di prendere Delstrigo, il tuo operatore sanitario dovrà controllare spesso la salute e fare esami del sangue regolarmente per diversi mesi per controllare il fegato. Dì al tuo operatore sanitario di eventuali sintomi nuovi o insoliti che potresti avere dopo aver smesso di prendere Delstrigo.
Per ulteriori informazioni sugli effetti collaterali, consultare Quali sono i possibili effetti collaterali di Delstrigo?
Cos'è Delstrigo?
Delstrigo is a prescription medicine that is used without other HIV-1 medicines to treat HIV-1 infection in adults E children who weigh at least 77 pounds (35 kg):
- che non hanno ricevuto medicinali per l'HIV-1 in passato o
- Sostituire i loro attuali medicinali per l'HIV-1 per le persone il cui operatore sanitario determina di soddisfare determinati requisiti.
HIV-1 is the virus that causes Acquired Immune Deficiency Syndrome (AIDS).
Delstrigo contains the prescription medicines Lamivudina doravirina e fumarato disoproxil tenofovir. It is not known if Delstrigo is safe E effective in children who weigh less than 77 pounds (35 kg).
Chi non dovrebbe prendere Delstrigo?
Non prendere Delstrigo se prendi uno dei seguenti medicinali:
- Carbamazepina
- rifampin
- oxcarbazepina
- Rifapentine
- fenobarbital
- mitotane
- phable
- Studio di San Giovanni
- Enzalutamide
Chiedi al tuo operatore sanitario o al farmacista se non sei sicuro che il tuo medicinale sia elencato sopra.
Se hai preso uno qualsiasi dei medicinali nelle ultime 4 settimane, parla con il tuo medico o il farmacista prima di iniziare il trattamento con Delstrigo.
Non prendere Delstrigo se hai mai avuto una reazione allergica alla lamivudina.
Cosa dovrei dire al mio operatore sanitario prima del trattamento con Delstrigo?
Prima del trattamento con Delstrigo racconta al tuo operatore sanitario su tutte le tue condizioni mediche, anche se tu:
- avere infezione da virus dell'epatite B
- avere problemi ai reni
- Avere problemi ossei tra cui una storia di fratture ossee
- sono incinta o prevedono di rimanere incinta. Non è noto se Delstrigo può danneggiare il tuo bambino non ancora nato. UN
Registro di gravidanza: C'è un registro di gravidanza per le persone che assumono Delstrigo durante la gravidanza. Lo scopo di questo registro è raccogliere informazioni sulla salute di te e del tuo bambino. Parla con il tuo operatore sanitario di come puoi prendere parte a questo registro. - stanno allattando o pianificano di allattare. Due dei medicinali di Delstrigo (lamivudina e tenofovir) possono passare nel latte materno. La doravirina può passare al tuo bambino nel latte materno. Parla con il tuo operatore sanitario dei seguenti rischi per il bambino dall'allattamento al seno durante il trattamento con Delstrigo:
- Il virus dell'HIV-1 può passare al tuo bambino se il tuo bambino non ha un'infezione da HIV-1.
- Il virus dell'HIV-1 può diventare più difficile da trattare se il tuo bambino ha un'infezione da HIV-1.
- Il tuo bambino potrebbe ottenere effetti collaterali da Delstrigo.
Di 'al tuo operatore sanitario di tutte le medicine che prendi tra cui prescrizione e vitamine per le medicinali e gli integratori a base di erbe.
- Alcuni medicinali interagiscono con Delstrigo. Mantieni un elenco dei tuoi medicinali per mostrare il tuo medico e il tuo farmacista.
- Di 'al tuo operatore sanitario se hai preso la rifabutina nelle ultime 4 settimane.
- Puoi chiedere al tuo medico o al farmacista un elenco di medicinali che interagiscono con Delstrigo.
- Non iniziare a prendere una nuova medicina senza dirlo al tuo operatore sanitario. Il tuo operatore sanitario può dirti se è sicuro prendere Delstrigo con altri medicinali.
Come dovrei prendere Delstrigo?
- Prendi Delstrigo ogni giorno esattamente come il tuo operatore sanitario ti dice di prenderlo.
- Prendi Delstrigo 1 ora ogni giorno all'incirca allo stesso tempo ogni giorno.
- Delstrigo is usually taken by itself (without other HIV-1 medicines).
- Se prendi la rifabutina medica durante il trattamento con Delstrigo, il tuo operatore sanitario prescriverà anche una dose aggiuntiva di doravirina per te. Potresti non avere abbastanza doravirina nel sangue se prendi rifabutina durante il trattamento con Delstrigo. Segui attentamente le istruzioni del tuo operatore sanitario su quando prendere la doravirina e quanto prendere. Questo è di solito 1 compressa di doravirina circa 12 ore dopo l'ultima dose di Delstrigo.
- Prendi Delstrigo con o senza cibo.
- Non cambiare la tua dose o smettere di prendere Delstrigo senza parlare con il tuo operatore sanitario. Resta sotto le cure di un operatore sanitario quando prendi Delstrigo.
- È importante non perdere o saltare le dosi di Delstrigo.
- Se perdi una dose di Delstrigo, prendilo non appena ricordi. Se è quasi ora per la tua prossima dose, salta la dose persa e prendi la dose successiva al momento regolare. Non assumere 2 dosi di Delstrigo contemporaneamente.
- In caso di domande, chiamare il tuo medico o il tuo farmacista.
- Se prendi troppo Delstrigo chiama il tuo medico o vai immediatamente al pronto soccorso dell'ospedale più vicino.
- Quando la fornitura di Delstrigo inizia a essere bassa, ottieni di più dal tuo medico o dalla farmacia. Questo è molto importante perché la quantità di virus nel sangue può aumentare se la medicina viene fermata anche per un breve periodo. Il virus può sviluppare resistenza a Delstrigo e diventare più difficile da trattare.
Quali sono i possibili effetti collaterali di Delstrigo?
Delstrigo may cause serious side effects including:
- Guarda quali sono le informazioni più importanti che dovrei sapere su Delstrigo?
- Reazioni cutanee gravi sono accaduti nelle persone trattate con Delstrigo. Chiama subito il tuo medico se si sviluppa un'eruzione cutanea durante il trattamento con Delstrigo. Smettila di prendere Delstrigo e ottenere subito assistenza medica se si sviluppa un'eruzione dolorosa con uno dei seguenti sintomi: febbre blisters or sores in the mouth blisters or peeling of the skin or redness or swelling of the eyes (conjunctivitis).
- Problemi renali nuovi o peggiori tra cui insufficienza renale. Il tuo operatore sanitario dovrebbe eseguire test di sangue e urine per controllare i reni prima di iniziare e durante il trattamento con Delstrigo. Il tuo operatore sanitario potrebbe dirti di smettere di prendere Delstrigo se sviluppi problemi di reni nuovi o peggiori.
- Problemi ossei Può accadere in alcune persone che prendono Delstrigo. I problemi ossei includono ammorbidimento o diradamento del dolore osseo (che può portare a fratture). Potrebbe essere necessario eseguire test per controllare le ossa. Di 'al tuo operatore sanitario se hai uno dei seguenti sintomi durante il trattamento con Delstrigo: dolore osseo che non scompare o peggiorare il dolore alle ossa nelle gambe delle braccia o i piedi rotti (frattura) o dolore muscolare o debolezza. Questi possono essere sintomi di un problema osso o renale.
- Modificas in your immune system (Sindrome di ricostituzione immunitaria) Può accadere quando inizi a prendere medicine per l'HIV-1. Il tuo sistema immunitario potrebbe diventare più forte e iniziare a combattere le infezioni che sono state nascoste nel tuo corpo per molto tempo. Di 'subito al tuo operatore sanitario se inizi ad avere nuovi sintomi dopo aver iniziato la medicina dell'HIV-1.
Gli effetti collaterali più comuni di Delstrigo includono nausea vertigini e sogni anormali.
Questi non sono tutti i possibili effetti collaterali di Delstrigo. Chiama il medico per consigli medici sugli effetti collaterali. È possibile segnalare gli effetti collaterali alla FDA al numero 1-800-FDAâ1088.
Come dovrebbe in gran parte?
- Conservare le compresse Delstrigo a temperatura ambiente compresa tra 68 ° F e 77 ° F (da 20 ° C a 25 ° C).
- Tieni Delstrigo nella bottiglia originale.
- Non togliere i tablet dalla bottiglia per riporre in un altro contenitore come una scatola di pillole.
- Tieni la bottiglia strettamente chiusa per proteggere Delstrigo dall'umidità.
- La bottiglia Delstrigo contiene essiccanti per aiutare a mantenere la medicina asciutta (proteggerla dall'umidità). Tieni gli essiccanti nella bottiglia. Non mangiare gli essiccanti.
Mantieni Delstrigo e tutti i medicinali fuori dalla portata dei bambini.
Generale information about the safe E effective use of Delstrigo.
Le medicine sono talvolta prescritte a fini diversi da quelli elencati nel volantino delle informazioni del paziente. Non usare Delstrigo per una condizione per la quale non è stata prescritta. Non dare Delstrigo ad altre persone anche se hanno gli stessi sintomi che hai. Potrebbe danneggiare loro. Puoi chiedere al tuo farmacista o operatore sanitario informazioni su Delstrigo che è scritto per gli operatori sanitari.
Quali sono gli ingredienti di Delstrigo?
Ingredienti attivi: Lamivudina doravirina e fumarato disoproxil tenofovir.
Ingredienti inattivi: Diossido di silicio colloidale Croscarmellosio sodio ipromellosio acetato succinato stearato cellulosa microcristallina e stearil fumarato di sodio. Il rivestimento per film di compresse contiene biossido di titanio monoidosio di lattosio giallo monoidosio giallo e triacetina. Le compresse rivestite sono lucidate con cera Carnauba.
Queste informazioni sui pazienti sono state approvate dalla Food and Drug Administration degli Stati Uniti.