Le Informazioni Presenti Sul Sito Non Costituiscono Consulenza Medica. Non Vendiamo Nulla. L'Accuratezza Della Traduzione Non È Garantita. Disclaimer
Antipsicotici, seconda generazione
Risperdal
Riepilogo della droga
Cos'è Risperdal?
Risperdal (Risperidone) è un atipico antipsicotico prescritto per il trattamento:
- schizofrenia
- bipolare mania
- E autismo .
Quali sono gli effetti collaterali di Risperdal?
Risperdal
- Movimenti muscolari non controllati nel viso (labbro masticato che colpisce il movimento della lingua accigliato lempeggiano o movimenti oculari)
- gonfiore o tenerezza (negli uomini o nelle donne)
- Scarico del capezzolo
- impotenza
- Mancanza di interesse per il sesso
- Periodi mestruali mancati
- muscoli molto rigidi o rigidi
- febbre alta
- sudorazione
- confusione
- battiti cardiaci veloci o irregolari
- tremori
- Accendino
- debolezza improvvisa
- Malato sentimento
- febbre
- brividi
- mal di gola
- piaghe da bocca
- gengive rosse o gonfie
- difficoltà a deglutire
- piaghe della pelle
- sintomi a freddo o influenza
- tosse
- difficoltà a respirare
- Facile lividi
- sanguinamento insolito (gengive per il naso vagina o retto)
- I punti viola o rossi di punta sotto la pelle
- Aumentata sete
- aumento della minzione
- bocca secca
- odore di respiro fruttato e
- un'erezione del pene Questo è doloroso o dura 4 ore o più
Ottieni subito assistenza medica se hai uno qualsiasi dei sintomi sopra elencati.
Gli effetti collaterali comuni di Risperdal includono:
- Effetti extrapiramidali (improvviso spesso a scatti involontario movimenti del corpo o occhi del collo della testa)
- vertigini
- stanchezza
- sonnolenza
- fatica
- febbre
- aumento di peso
- Sentirsi caldo o freddo
- mal di testa
- bocca secca
- aumento dell'appetito
- irrequietezza
- ansia
- Problemi di sonno (insonnia)
- nausea
- vomito
- dolori di stomaco
- stipsi
- tosse
- mal di gola
- che cola o naso chiuso
- o eruzione cutanea.
Dì al tuo medico se si verificano gravi effetti collaterali di Risperdal, inclusa la difficoltà a deglutire gli spasmi muscolari che scuotono (tremore) cambiamenti mentali/umore o segni di infezione (come il mal di gola persistente della febbre).
Cerca cure mediche o chiama il 911 contemporaneamente se hai i seguenti gravi effetti collaterali:
- Sintomi di occhiali gravi come la perdita di visione improvvisa del tunnel della visione sfocata Dolore alla visione o gonfiore o vedere aloni attorno alle luci;
- Sintomi cardiaci gravi come battiti cardiaci irregolari o martellanti veloci; svolazzando nel petto; fiato corto; e improvviso vertigini giuria o svenuta;
- Grave mal di testa confusione Il braccio del linguaggio bloccato o la debolezza delle gambe problemi perdite perdita di coordinamento sentendoti instabili muscoli molto rigidi ad alta febbre abbondante sudorazione o tremori.
Questo documento non contiene tutti i possibili effetti collaterali e altri possono verificarsi. Verificare con il tuo medico ulteriori informazioni sugli effetti collaterali.
Dosaggio per risperdal
La dose di Risperdal varia da 0,5 mg a 8 mg/die.
Quali sostanze o integratori di farmaci interagiscono con Risperdal?
Risperdal può interagire con altri medicinali che ti fanno dormire (come il freddo o allergia Medicina Dolore narcotico Medicina per sonniri per sonniferi rilassanti muscolari e medicina per convulsioni depressione o ansia) Carbamazepina cimetidina ranitidina clozapina fluoxetina paroxetina fenitoina acido valproico fenobarbital rifampina o medicine usate per trattare La malattia di Parkinson . Dì al medico tutti i farmaci e gli integratori che usi.
Risperdal durante la gravidanza e l'allattamento
Non ci sono studi adeguati sul risperidone nelle donne in gravidanza, quindi non dovrebbe essere usato a meno che i benefici non superino i potenziali rischi sconosciuti. Il risperidone è escreto nel latte materno umano e le donne che ricevono risperidone non devono allattare.
Ulteriori informazioni
Il nostro Centro farmacologico per effetti collaterali Risperdal fornisce una visione completa delle informazioni disponibili sui farmaci sui potenziali effetti collaterali quando si assume questo farmaco. articoli.
Informazioni sui farmaci FDA
- Descrizione del farmaco
- Indicazioni
- Dosaggio
- Effetti collaterali
- Interazioni farmacologiche
- Avvertimenti
- Overdose
- Farmacologia clinica
- Guida ai farmaci
AVVERTIMENTO
Aumento della mortalità nei pazienti anziani con psicosi correlata alla demenza
I pazienti anziani con psicosi correlata alla demenza trattati con farmaci antipsicotici sono ad un aumentato rischio di morte. Risperdal ® non è approvato per il trattamento dei pazienti con psicosi correlata alla demenza. [Vedere AVVERTIMENTOS AND PRECAUZIONI ]
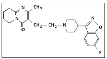
Descrizione per risperdal
Risperdal ® contains risperidone an atypical antipsychotic belonging to the chemical class of benzisoxazole derivatives. The chemical designation is 3-[2-[4-(6-fluoro-12-benzisoxazol-3-yl)-1-piperidinyl]ethyl]-6789-tetrahydro-2-methyl-4Hpyrido[ 12-a]pyrimidin-4-one. Its molecular formula is C 23 H 27 Fn 4 O 2 E its molecular weight is 410.49. The structural formula is:
|
Risperidone è una polvere da bianco a leggermente beige. È praticamente insolubile in acqua liberamente solubile nel cloruro di metilene e solubile in metanolo e 0,1 N HCl.
Risperdal ® Le compresse sono per somministrazione orale e disponibili in 0,25 mg (giallo scuro) 0,5 mg (marrone rosso) 1 mg (bianco) 2 mg (arancione) 3 mg (giallo) e 4 mg (verde). Risperdal ® Le compresse contengono i seguenti ingredienti inattivi: biossido di silicio colloidale ipromellosio lattosio magnesio stearato stearato microcristallino cellulosio propilenico glicole sodio lauril solfato e amido (mais). Gli 0,25 mg 0,5 mg 2 mg 3 mg e 4 mg compresse contengono anche talco e biossido di titanio. Le compresse da 0,25 mg contengono ossido di ferro giallo; Le compresse da 0,5 mg contengono ossido di ferro rosso; Le compresse da 2 mg contengono FD
Lago di alluminio; Le compresse da 3 mg e 4 mg contengono D
Risperdal ® è anche disponibile come soluzione orale da 1 mg/ml. Risperdal ® La soluzione orale contiene i seguenti ingredienti inattivi: idrossido di sodio acido acido targeico e acqua purificata.
Risperdal ® M-tab ® Le compresse di disintegrazione per via orale sono disponibili in 0,5 mg (corallo chiaro) 1 mg (corallo chiaro) 2 mg (corallo) 3 mg (corallo) e 4 mg (corallo). Risperdal ® M-tab ® Le compresse di disintegrazione per via orale contengono i seguenti ingredienti inattivi: gelatina di resina di amberlite mannitolo glicina simetica carbomero idrossido di sodio aspartame ossido ferrico rosso e olio di menta di peperoncino. Inoltre il risperdal 2 mg 3 mg e 4 mg ® M-tab ® Le compresse di disintegrazione per via orale contengono gomma Xanthan.
Usi per risperdal
Schizofrenia
Risperdal (risperidone) is indicated for the treatment of schizofrenia. Efficacy was established in 4 short-term trials in adults 2 short-term trials in adolescents (ages 13 to 17 years) E one long-term maintenance trial in adults [see Studi clinici ].
Mania bipolare
Monoterapia
Risperdal is indicated for the treatment of acute manic or mixed episodes associated with Disturbo bipolare I.. Efficacy was established in 2 short-term trials in adults E one short-term trial in children E adolescents (ages 10 to 17 years) [see Studi clinici ].
Terapia aggiuntiva
Risperdal adjunctive therapy with lithium or valproate is indicated for the treatment of acute manic or mixed episodes associated with Disturbo bipolare I.. Efficacy was established in one shortterm trial in adults [see Studi clinici ].
Irritabilità associata al disturbo autistico
Risperdal is indicated for the treatment of irritability associated with autistic disorder including symptoms of aggression towards others deliberattoe self-injuriousness temper tantrums E quickly changing moods. Efficacy was established in 3 short-term trials in children E adolescents (ages 5 to 17 years) [see Studi clinici ].
Dosaggio per risperdal
Tabella 1: dosaggio giornaliero consigliato per indicazione
| Dose iniziale | Titolazione (incrementi) | Dose target | Gamma di dose efficace | |
| Schizofrenia: adults | 2 mg | Da 1 a 2 mg | 4 a 8 mg | 4 a 16 mg |
| Schizofrenia: adolescents | 0,5 mg | Da 0,5 a 1 mg | 3 mg | Da 1 a 6 mg |
| Mania bipolare: adulti | Da 2 a 3 mg | 1 mg | Da 1 a 6 mg | Da 1 a 6 mg |
| Mania bipolare: bambini e adolescenti | 0,5 mg | Da 0,5 a 1 mg | Da 1 a 2,5 mg | Da 1 a 6 mg |
| Irritabilità nel disturbo autistico (2.3) | 0,25 mg possono aumentare a 0,5 mg entro il giorno 4: (peso corporeo inferiore a 20 kg) 0,5 mg Can increase to 1 mg by Day 4: (body weight greater than or equal to 20 kg) | Dopo il giorno 4 ad intervalli di> 2 settimane: 0,25 mg (peso corporeo inferiore a 20 kg) 0,5 mg (body weight greater than or equal to 20 kg) | 0,5 mg: (body weight less than 20 kg) 1 mg: (body weight greater than or equal to 20 kg) | Da 0,5 a 3 mg |
Grave compromissione renale ed epatica negli adulti: utilizzare una dose iniziale inferiore di 0,5 mg due volte al giorno. Può aumentare a dosaggi superiori a 1,5 mg due volte al giorno a intervalli di una settimana o più.
Schizofrenia
Adulti
Dose iniziale abituale
Risperdal can be administered once or twice daily. Initial dosing is 2 mg per day. May increase the dose at intervals of 24 hours or greater in increments of Da 1 a 2 mg per day as tolerattoed to a recommended dose of 4 a 8 mg per day. In some patients slower titrattoion may be appropriate. Efficacy has been demonstrattoed in a range of 4 mg to 16 mg per day. However doses above 6 mg per day for twice daily dosing were not demonstrattoed to be more efficacious than lower doses were associated with more extrapyramidal symptoms E other adverse effects E are generally not recommended. In a single study supporting once-daily dosing the efficacy results were generally stronger for 8 mg than for 4 mg. The safety of doses above 16 mg per day has not been evaluated in clinical trials [see Studi clinici ].
Adolescenti
La dose iniziale è di 0,5 mg una volta al giorno somministrata come dose singola-quotidentale al mattino o alla sera. La dose può essere regolata a intervalli di 24 ore o più con incrementi di 0,5 mg o 1 mg al giorno come tollerato a una dose raccomandata di 3 mg al giorno. Sebbene l'efficacia sia stata dimostrata negli studi su pazienti adolescenti con schizofrenia a dosi comprese tra 1 mg e 6 mg al giorno, non sono stati osservati benefici aggiuntivi superiori a 3 mg al giorno e dosi più elevate sono state associate a eventi più avversi. Non sono state studiate dosi superiori a 6 mg al giorno.
I pazienti che hanno una sonnolenza persistente possono beneficiare della somministrazione della metà della dose giornaliera due volte al giorno.
Terapia di mantenimento
Mentre non è noto per quanto tempo un paziente con schizofrenia dovrebbe rimanere su Risperdal, l'efficacia di Risperdal 2 mg al giorno a 8 mg al giorno al ritardo della recidiva è stata dimostrata in uno studio controllato in pazienti adulti che erano stati clinicamente stabili per almeno 4 settimane e sono stati seguiti per un periodo da 1 a 2 anni [vedi Studi clinici ]. Both adult E adolescent patients who respond acutely should generally be maintained on their effective dose beyond the acute episode. Patients should be periodically reassessed to determine the need for maintenance treatment.
Reiniziazione del trattamento in pazienti precedentemente sospeso
Sebbene non vi siano dati per affrontare in modo specifico la reitiziazione del trattamento, si raccomanda che dopo un intervallo di riserdal si seguisse il programma di titolazione iniziale.
Passa da altri antipsicotici
Non ci sono dati raccolti sistematicamente per affrontare specificamente i pazienti schizofrenici da altri antipsicotici a riserdali o trattando i pazienti con antipsicotici concomitanti.
Mania bipolare
Dose abituale
Adulti
L'intervallo di dose iniziale è da 2 mg a 3 mg al giorno. La dose può essere regolata a intervalli di 24 ore o più con incrementi di 1 mg al giorno. L'intervallo di dose efficace è da 1 mg a 6 mg al giorno, come studiato nelle prove a breve termine controllate con placebo. In queste prove è stata dimostrata l'efficacia anti-manica a breve termine (3 settimane) in un intervallo di dosaggio flessibile da 1 mg a 6 mg al giorno [vedi Studi clinici ]. Risperdal doses higher than 6 mg per day were not studied.
Pediatria
La dose iniziale è di 0,5 mg una volta al giorno somministrata come dose singola-quotidentale al mattino o alla sera. La dose può essere regolata a intervalli di 24 ore o più con incrementi di 0,5 mg o 1 mg al giorno come tollerato alla dose target raccomandata da 1 mg a 2,5 mg al giorno. Sebbene l'efficacia sia stata dimostrata negli studi su pazienti pediatrici con mania bipolare a dosi tra 0,5 mg e 6 mg al giorno non sono stati osservati benefici aggiuntivi superiori a 2,5 mg al giorno e dosi più elevate sono state associate a eventi più avversi. Non sono state studiate dosi superiori a 6 mg al giorno.
I pazienti che hanno una sonnolenza persistente possono beneficiare della somministrazione della metà della dose giornaliera due volte al giorno.
Terapia di mantenimento
Non ci sono prove disponibili da studi controllati per guidare un medico nella gestione a lungo termine di un paziente che migliora durante il trattamento di un episodio maniacale acuto con Risperdal. Mentre è generalmente concordato che il trattamento farmacologico al di là di una risposta acuta in mania è auspicabile sia per il mantenimento della risposta iniziale sia per la prevenzione di nuovi episodi maniacali non ci sono dati sistematicamente ottenuti per supportare l'uso di Risperdal in tale trattamento a lungo termine (ovvero oltre 3 settimane). Il medico che sceglie di utilizzare Risperdal per periodi prolungati dovrebbe rivalutare periodicamente i rischi e i benefici a lungo termine del farmaco per il singolo paziente.
Irritabilità associata al disturbo autistico — Pediatria (Children And Adolescenti)
Il dosaggio di Risperdal dovrebbe essere individualizzato in base alla risposta e alla tollerabilità del paziente. La dose giornaliera totale di Risperdal può essere somministrata una volta al giorno o la metà della dose giornaliera totale può essere somministrata due volte al giorno.
Per i pazienti con peso corporeo meno di 20 kg iniziano un dosaggio a 0,25 mg al giorno. Per i pazienti con peso corporeo maggiore o uguale a 20 kg di inizio di dosaggio a 0,5 mg al giorno. Dopo almeno quattro giorni la dose può essere aumentata alla dose raccomandata di 0,5 mg al giorno per i pazienti inferiori a 20 kg e 1,0 mg al giorno per pazienti superiori o uguali a 20 kg. Mantenere questa dose per un minimo di 14 giorni. Nei pazienti che non raggiungono una risposta clinica sufficiente, la dose può essere aumentata a intervalli di 2 settimane o più in incrementi di 0,25 mg al giorno per pazienti inferiori a 20 kg o incrementi di 0,5 mg al giorno per pazienti superiori o uguali a 20 kg. L'intervallo di dose efficace è da 0,5 mg a 3 mg al giorno. Non sono disponibili dati sul dosaggio per i bambini che pesano meno di 15 kg.
Una volta raggiunta una risposta clinica sufficiente e mantenuta considerando gradualmente la riduzione della dose per raggiungere l'equilibrio ottimale di efficacia e sicurezza. Il medico che sceglie di utilizzare Risperdal per periodi prolungati dovrebbe rivalutare periodicamente i rischi e i benefici a lungo termine del farmaco per il singolo paziente.
I pazienti che hanno una sonnolenza persistente possono beneficiare di una dose una volta al giorno somministrata all'ora di coricarsi o alla somministrazione della metà della dose giornaliera due volte al giorno o di una riduzione della dose.
Dosarsi in pazienti con grave compromissione renale o epatica
Per i pazienti con grave compromissione renale (CLCR <30 mL/min) or hepatic impairment (10-15 points on Child Pugh System) the initial starting dose is 0,5 mg twice daily. The dose may be increased in increments of 0,5 mg or less administered twice daily. For doses above 1.5 mg twice daily increase in intervals of one week or greater [see Utilizzare in popolazioni specifiche ].
Aggiustamenti della dose per interazioni specifiche del farmaco
Quando Risperdal viene somministrato con induttori enzimatici (ad esempio carbamazepina), la dose di Risperdal dovrebbe essere aumentata fino a raddoppiare la dose abituale del paziente. Potrebbe essere necessario ridurre la dose risperta quando vengono sospesi gli induttori enzimatici come la carbamazepina [vedi Interazioni farmacologiche ]. Similar effect may be expected with co-administrattoion of Risperdal with other enzyme inducers (e.g. phenytoin rifampin E fenobarbital).
Quando la fluoxetina o la paroxetina viene somministrata con risperta, la dose di risperdal dovrebbe essere ridotta. La dose di Risperdal non deve superare 8 mg al giorno negli adulti quando somministrato con questi farmaci. Quando si inizia la terapia, risperdal dovrebbe essere titolato lentamente. Potrebbe essere necessario aumentare la dose di risperta quando vengono sospesi inibitori degli enzimi come la fluoxetina o la paroxetina [vedi Interazioni farmacologiche ].
Somministrazione di soluzione orale risperta
Risperdal Oral Solution can be administered directly from the calibrattoed oral dosing syringe or can be mixed with a beverage prior to administrattoion. Risperdal Oral Solution is compatible in the following beverages: water coffee orange juice E low-fat milk; it is NOT compatible with either cola or tea.
Istruzioni per l'uso di compresse di disintegrazione per via orale M-tab Risperdal
Accesso al tablet
Risperdal M-tab Orally Disintegrattoing Tablets 0,5 mg 1 mg E 2 mg
Risperdal M-tab Orally Disintegrattoing Tablets 0,5 mg 1 mg E 2 mg are supplied in blister packs of 4 tablets each.
Non aprire la blister fino a quando non è pronto per amministrare. Per la rimozione di una compressa singola separare una delle quattro unità di blister facendo a pezzi le perforazioni. Piega l'angolo dove indicato. Sbucciare la pellicola per esporre il tablet. Non spingere il tablet attraverso il foglio perché ciò potrebbe danneggiare il tablet.
Risperdal M-tab Orally Disintegrattoing Tablets 3 mg And 4 mg
Risperdal M-tab Orally Disintegrattoing Tablets 3 mg E 4 mg are supplied in a child-resistant pouch containing a blister with 1 tablet each.
La custodia resistente ai bambini dovrebbe essere strappata alla tacca per accedere alla blister. Non aprire la blister fino a quando non è pronto per amministrare. Sbucciare il foglio di lato per esporre il tablet. Non spingere il tablet attraverso il foglio perché ciò potrebbe danneggiare il tablet.
Amministrazione dei tablet
Usando le mani asciutte Rimuovere la compressa dall'unità di vesciche e posizionare immediatamente l'intera compressa di disintegrazione oralmente M-tab sulla lingua. Il tablet per disintegrazione per via orale M-tab Risperdal deve essere consumato immediatamente poiché il tablet non può essere conservato una volta rimosso dall'unità di vesciche. Le compresse di disintegrazione per via orale M-TAB di riserdal si disintegrano in bocca in pochi secondi e possono essere inghiottite successivamente con o senza liquido. I pazienti non devono tentare di dividere o masticare la compressa.
Come fornito
Dosaggio Forms And Strengths
Risperdal Le compresse sono disponibili nei seguenti punti di forza e colori: 0,25 mg (giallo scuro) 0,5 mg (marrone rosso) 1 mg (bianco) 2 mg (arancione) 3 mg (giallo) e 4 mg (verde). Tutti sono a forma di capsula e impressa con Janssen da un lato e RIS 0,25 RIS 0,5 R1 R2 R3 o R4 dall'altra parte in base ai rispettivi punti di forza.
Risperdal Oral Solution è disponibile in una forza di 1 mg/ml.
Risperdal M-tab Orally Disintegrattoing Tablets sono disponibili nei seguenti punti di forza e forme: 0,5 mg (round di corallo chiaro) 1 mg (quadrato di corallo chiaro) 2 mg (quadrato di corallo) 3 mg (round di corallo) e 4 mg (round di corallo). Tutti sono biconvex e incisi su un lato con R0.5 R1 R2 R3 o R4 in base ai rispettivi punti di forza.
Risperdal ® (risperidone) compresse
Risperdal ® (risperidone) compresse sono impressi Janssen da un lato e RIS 0,25 RIS 0,5 R1 R2 R3 o R4 in base ai rispettivi punti di forza.
0,25 mg compresse a forma di capsula giallo scuro: bottiglie di 60 Ndc 50458-301-04 bottiglie di 500 Ndc 50458-301-50 e blister dose dell'unità ospedaliera di 100 Ndc 50458-301-01.
0,5 mg compresse a forma di capsula rosso-marrone: bottiglie di 60 Ndc 50458-302-06 bottiglie di 500 Ndc 50458-302-50 e blister dose dell'unità ospedaliera di 100 Ndc 50458-302-01.
1 mg compresse a forma di capsula bianca: bottiglie di 60 Ndc 50458-300-06 bottiglie di 500 Ndc 50458- 300-50 e dose di unità ospedaliera blister di 100 Ndc 50458-300-01.
2 mg compresse a forma di capsula arancione: bottiglie di 60 Ndc 50458-320-06 bottiglie di 500 Ndc 50458- 320-50 e blister dose dell'unità ospedaliera di 100 Ndc 50458-320-01.
3 mg compresse a forma di capsula gialla: bottiglie di 60 Ndc 50458-330-06 bottiglie di 500 Ndc 50458- 330-50 e dose di unità ospedaliera pacchi di vesciche di 100 Ndc 50458-330-01.
4 mg compresse a forma di capsula verde: bottiglie di 60 Ndc 50458-350-06 e blister dose dell'unità ospedaliera di 100 Ndc 50458-350-01.
Risperdal ® (risperidone) Soluzione orale
Risperdal ® (Risperidone) 1 mg/ml di soluzione orale ( Ndc 50458-305-03) è fornito in bottiglie da 30 ml con una siringa calibrata (in millilitri) a dosaggio orale. Il volume calibrato minimo è 0,25 ml mentre il volume calibrato massimo è di 3 ml.
Risperdal ® M-tab ® (risperidone) compresse per oralmente disintegrazione
Risperdal ® M-tab ® (risperidone) compresse per oralmente disintegrazione sono incisi da un lato con R0.5 R1 R2 R3 o R4 in base ai rispettivi punti di forza. Le compresse di disintegrazione per via orale M-tab risperdal 0,5 mg 1 mg e 2 mg sono confezionate in pacchetti di vesciche di 4 (2 x 2) compresse. Le compresse di disintegrazione per via orale 3 mg e 4 mg sono confezionate in una custodia resistente ai bambini contenente una blister con 1 compressa.
0,5 mg compresse di biconvex rotonde di corallo leggero: 7 pacchetti di vesciche (4 compresse ciascuno) per scatola Ndc 50458-395-28 e imballaggi di blister a lungo termine di 30 compresse Ndc 50458-395-30.
1 mg compresse di biconvex quadrate di corallo leggero: 7 pacchetti di blister (4 compresse ciascuno) per scatola Ndc 50458-315-28 e imballaggi di blister a lungo termine di 30 compresse Ndc 50458-315-30.
2 mg CORAL Square Biconvex Tablet: 7 pacchetti blister (4 compresse ciascuno) per scatola Ndc 50458-325-28.
3 mg compresse di biconvex rotonde di corallo: 28 vesciche per scatola Ndc 50458-335-28.
4 mg compresse di biconvex rotonde di corallo: 28 vesciche per scatola Ndc 50458-355-28.
Archiviazione e maneggevolezza
Risperdal Tablets should be stored at controlled room temperattoure 15°C to 25°C (59°F to 77°F). Protect from light E moisture.
Risperdal 1 mg/mL Oral Solution should be stored at controlled room temperattoure 15°C to 25°C (59°F to 77°F). Protect from light E freezing.
Risperdal M-tab Orally Disintegrattoing Tablets should be stored at controlled room temperattoure 15°C to 25°C (59°F to 77°F).
Tenere fuori dalla portata dei bambini.
Risperdal ® Tablet: il principio attivo è realizzato in Irlanda il prodotto finito è prodotto da: Janssen Ortho LLC Gurabo Puerto Rico 00778 Risperdal® Soluzione orale. Il prodotto finito è prodotto da: Janssen Pharmaceutica NV Beerse Belgium Risperdal® M-Tab® compresse per disintegrazione per via orale è realizzato in Irlanda. Il prodotto finito è prodotto da: Janssen Ortho LLC Gurabo Puerto Rico 00778. Revisionato: gennaio 2025
Effetti collaterali for Risperdal
I seguenti sono discussi in modo più dettagliato in altre sezioni dell'etichettatura:
- Aumento della mortalità nei pazienti anziani con psicosi correlata alla demenza [vedi Avvertenza in scatola E AVVERTIMENTOS AND PRECAUZIONI ]
- Eventi avversi cerebrovascolari inclusi l'ictus nei pazienti anziani con psicosi correlata alla demenza [vedi AVVERTIMENTOS AND PRECAUZIONI ]
- Sindrome maligna neurolettica [vedi AVVERTIMENTOS AND PRECAUZIONI ]
- Dyskinesia tardiva [vedi AVVERTIMENTOS AND PRECAUZIONI ]
- Cambiamenti metabolici (iperglicemia e diabete mellito dislipidemia e aumento di peso) [vedi AVVERTIMENTOS AND PRECAUZIONI ]
- Iperprolattinemia [vedi AVVERTIMENTOS AND PRECAUZIONI ]
- Ipotensione ortostatica [vedi AVVERTIMENTOS AND PRECAUZIONI ]
- Cade [vedi AVVERTIMENTOS AND PRECAUZIONI ]
- Leucopenia neutropenia e agranulocitosi [vedi AVVERTIMENTOS AND PRECAUZIONI ]
- Potenziale per la compromissione cognitiva e motoria [vedi AVVERTIMENTOS AND PRECAUZIONI ]
- Convulsioni [vedi AVVERTIMENTOS AND PRECAUZIONI ]
- Disfagia [vedi AVVERTIMENTOS AND PRECAUZIONI ]
- Priapismo [vedi AVVERTIMENTOS AND PRECAUZIONI ]
- Interruzione della regolazione della temperatura corporea [vedi AVVERTIMENTOS AND PRECAUZIONI ]
- Pazienti con fenilchetonuria [vedi AVVERTIMENTOS AND PRECAUZIONI ].
Le reazioni avverse più comuni negli studi clinici (> 5% e due volte placebo) sono state il parkinsonismo akathisia distonia tremore di sedazione ansia ansia blurosa visione nausea vomito a fiorgola addominale ao e dolore faringolaringoale.
Le reazioni avverse più comuni associate alla sospensione degli studi clinici (causando l'interruzione in> 1% degli adulti e/o> 2% di pediatria) erano la nausea somnolence sedazione vomito e akathisia [vedi Reazioni avverse Discontinuazioni dovute a reazioni avverse ].
I dati descritti in questa sezione sono derivati da un database di sperimentazione clinica costituita da 9803 pazienti adulti e pediatrici esposti a una o più dosi di risperdali per il trattamento della schizofrenia Mania bipolare disturbo autistico e altri disturbi psichiatrici in pediatria e pazienti con la demenza. Di questi 9803 pazienti 2687 erano pazienti che hanno ricevuto Risperdal mentre partecipavano a studi in doppio cieco controllati con placebo. Le condizioni e la durata del trattamento con Risperdal variavano notevolmente e incluse (in categorie sovrapposte) in doppio cieco a dose fissa e flessibile a dosi fissi e flessibili studi controllati e fasi di etichette aperte degli studi ospedali e pazienti ambulatoriali e fino a 12 settimane) e fino a 3 anni) esposizioni. La sicurezza è stata valutata raccogliendo eventi avversi ed eseguendo esami fisici segni vitali pesi corporei analisi di laboratorio e ECG.
Kratom aumenta la pressione sanguigna
Esperienza di studi clinici
Poiché gli studi clinici sono condotti in condizioni di reazione avverse ampiamente variabili osservate negli studi clinici di un farmaco non possono essere confrontati direttamente ai tassi negli studi clinici di un altro farmaco e potrebbero non riflettere i tassi osservati nella pratica clinica.
Reazioni avverse comunemente osservate negli studi clinici controllati in doppio cieco-Schizofrenia
Pazienti adulti con schizofrenia
La tabella 8 elenca le reazioni avverse riportate nel 2% o più di pazienti adulti trattati con risperti con schizofrenia in tre studi controllati da placebo da 4 a 8 settimane.
Tabella 8: reazioni avverse in ≥2% dei pazienti adulti trattati con risperti (e maggiore del placebo) con schizofrenia negli studi controllati in doppio cieco controllati con placebo
| Reazione avversa della classe di sistema/organi | Percentuale di pazienti che segnalano una reazione | ||
| Risperdal | Placebo (N = 225) | ||
| 2-8 mg al giorno (N = 366) | > 8-16 mg al giorno (N = 198) | ||
| Disturbi cardiaci | |||
| Tachicardia | 1 | 3 | 0 |
| Disturbi degli occhi | |||
| Visione sfocata | 3 | 1 | 1 |
| Disturbi gastrointestinali | |||
| Nausea | 9 | 4 | 4 |
| Stipsi | 8 | 9 | 6 |
| Dispepsia | 8 | 6 | 5 |
| Bocca secca | 4 | 0 | 1 |
| Disagio addominale | 3 | 1 | 1 |
| Ipersecrezione salivare | 2 | 1 | <1 |
| Diarrea | 2 | 1 | 1 |
| Disturbi generali | |||
| Fatica | 3 | 1 | 0 |
| Dolore al petto | 2 | 2 | 1 |
| Astenia | 2 | 1 | <1 |
| Infezioni e infestazioni | |||
| Rinofaringngite | 3 | 4 | 3 |
| Infezione del tratto respiratorio superiore | 2 | 3 | 1 |
| Sinusite | 1 | 2 | 1 |
| Infezione del tratto urinario | 1 | 3 | 0 |
| Indagini | |||
| La creatina fosfocinasi del sangue è aumentata | 1 | 2 | <1 |
| La frequenza cardiaca è aumentata | <1 | 2 | 0 |
| Disturbi del tessuto muscoloscheletrico e connettivo | |||
| Mal di schiena | 4 | 1 | 1 |
| Artralgia | 2 | 3 | <1 |
| Dolore all'estremità | 2 | 1 | 1 |
| Disturbi del sistema nervoso | |||
| Parkinsonism* | 14 | 17 | 8 |
| Handhesia * | 10 | 10 | 3 |
| Sedazione | 10 | 5 | 2 |
| Vertigini | 7 | 4 | 2 |
| Distonia* | 3 | 4 | 2 |
| Tremore* | 2 | 3 | 1 |
| Vertigini postural | 2 | 0 | 0 |
| Disturbi psichiatrici | |||
| Insonnia | 32 | 25 | 27 |
| Ansia | 16 | 11 | 11 |
| Disturbi toracici e mediastinali respiratori | |||
| Congestione nasale | 4 | 6 | 2 |
| Dispnea | 1 | 2 | 0 |
| Epistassi | <1 | 2 | 0 |
| Disturbi della pelle e dei tessuti sottocutanei | |||
| Eruzione cutanea | 1 | 4 | 1 |
| Pelle secca | 1 | 3 | 0 |
| Disturbi vascolari | |||
| Ipotensione ortostatica | 2 | 1 | 0 |
| * Il parkinsonism include la rigidità del parkinsonismo del parkinsonismo del disturbo extrapiramidale Akinesia Bradicinesia Maschera mascherata dalla rigidità muscolare e sulla malattia di Parkinson. Akathisia comprende Akathisia e irrequietezza. La distonia comprende la paralogirazione della lingua muscolare muscolare muscolare della distonia. Il tremore include tremore e parkinsonian Rest Tremor. |
Pazienti pediatrici con schizofrenia
La tabella 9 elenca le reazioni avverse riportate nel 5% o più di pazienti pediatrici trattati con Risperdal con schizofrenia in uno studio controllato da placebo in doppio cieco di 6 settimane.
Tabella 9: reazioni avverse in ≥5% dei pazienti pediatrici trattati con risperti (e maggiore del placebo) con schizofrenia in uno studio in doppio cieco
| Reazione avversa della classe di sistema/organi | Percentuale di pazienti che segnalano una reazione | ||
| Risperdal | Placebo (N = 54) | ||
| 1-3 mg al giorno (N = 55) | 4-6 mg al giorno (N = 51) | ||
| Disturbi gastrointestinali | |||
| Ipersecrezione salivare | 0 | 10 | 2 |
| Disturbi del sistema nervoso | |||
| Sedazione | 24 | 12 | 4 |
| Parkinsonism* | 16 | 28 | 11 |
| Tremore | 11 | 10 | 6 |
| Handhesia * | 9 | 10 | 4 |
| Vertigini | 7 | 14 | 2 |
| Distonia* | 2 | 6 | 0 |
| Disturbi psichiatrici | |||
| Ansia | 7 | 6 | 0 |
| * Il parkinsonismo include la rigidità muscolare del disturbo extrapiramidale. Akathisia comprende Akathisia e irrequietezza. La distonia comprende distonia e oculogyration. |
Reazioni avverse osservate comunemente negli studi clinici controllati in doppio cieco-Mania bipolare
Pazienti adulti con mania bipolare
La tabella 10 elenca le reazioni avverse riportate nel 2% o più di pazienti adulti trattati con risperti con mania bipolare in quattro studi di monoterapia monoterapia a quattro settimane in doppio cieco controllati con placebo.
Tabella 10: reazioni avverse in ≥2% dei pazienti adulti trattati con risperti (e maggiore del placebo) con mania bipolare in studi monoterapia in doppio cieco controllati con placebo
| Classe di sistema/organi Reazione avversa | Percentuale di pazienti che segnalano una reazione | |
| Risperdal 1-6 mg per day (N = 424) | Placebo (N = 448) | |
| Disturbi degli occhi | ||
| Visione sfocata | 2 | 1 |
| Disturbi gastrointestinali | ||
| Nausea | 5 | 2 |
| Diarrea | 3 | 2 |
| Ipersecrezione salivare | 3 | 1 |
| Disagio allo stomaco | 2 | <1 |
| Disturbi generali | ||
| Fatica | 2 | 1 |
| Disturbi del sistema nervoso | ||
| Parkinsonism* | 25 | 9 |
| Sedazione | 11 | 4 |
| Handhesia * | 9 | 3 |
| Tremore* | 6 | 3 |
| Vertigini | 6 | 5 |
| Distonia* | 5 | 1 |
| Letargia | 2 | 1 |
| * Il parkinsonism include disturbo extrapiramidale parkinsonismo rigidità muscoloscheletrica Ipoukinesia Rigidità muscolare Larpace muscolare Bradicinesia Rigidità della ruota. Akathisia comprende Akathisia e irrequietezza. Il tremore include tremore e parkinsonian Rest Tremor. La distonia include spasmi muscolari della distonia Oculogration torticollis. |
La tabella 11 elenca le reazioni avverse riportate nel 2% o più di pazienti adulti trattati con risperti con mania bipolare in due studi di terapia adiuvante adiuvante in doppio cieco a 3 settimane.
Tabella 11: reazioni avverse in ≥2% dei pazienti adulti trattati con risperti (e maggiore del placebo) con mania bipolare in studi di terapia aggiuntiva controllati in doppio cieco controllati con placebo
| Classe di sistema/organi Reazione avversa | Percentuale di pazienti che segnalano una reazione | |
| Risperdal + Mood Stabilizer (N = 127) | Placebo + Mood Stabilizer (N = 126) | |
| Disturbi cardiaci | ||
| Palpitazioni | 2 | 0 |
| Disturbi gastrointestinali | ||
| Dispepsia | 9 | 8 |
| Nausea | 6 | 4 |
| Diarrea | 6 | 4 |
| Ipersecrezione salivare | 2 | 0 |
| Disturbi generali | ||
| Dolore al petto | 2 | 1 |
| Infezioni e infestazioni | ||
| Infezione del tratto urinario | 2 | 1 |
| Disturbi del sistema nervoso | ||
| Parkinsonism* | 14 | 4 |
| Sedazione | 9 | 4 |
| Handhesia * | 8 | 0 |
| Vertigini | 7 | 2 |
| Tremore | 6 | 2 |
| Letargia | 2 | 1 |
| Disturbi psichiatrici | ||
| Ansia | 3 | 2 |
| Disturbi toracici e mediastinali respiratori | ||
| Dolore faringolaringoale | 5 | 2 |
| Tosse | 2 | 0 |
| * Il parkinsonismo include l'ipocinesia e la bradykinesia del disturbo extrapiramidale. Akathisia comprende iperkinesia e Akathisia. |
Pazienti pediatrici con mania bipolare
La tabella 12 elenca le reazioni avverse riportate nel 5% o più di pazienti pediatrici trattati con Risperdal con mania bipolare in uno studio controllato con placebo in doppio cieco di 3 settimane.
Tabella 12: reazioni avverse in ≥5% dei pazienti pediatrici trattati con risperti (e maggiore del placebo) con mania bipolare in studi in doppio cieco con placebo
| Reazione avversa della classe di sistema/organi | Percentuale di pazienti che segnalano una reazione | ||
| Risperdal | Placebo (N = 58) | ||
| 0,5-2,5 mg al giorno (N = 50) | 3-6 mg al giorno (N = 61) | ||
| Disturbi degli occhi | |||
| Visione sfocata | 4 | 7 | 0 |
| Disturbi gastrointestinali | |||
| Upperio del dolore addominale | 16 | 13 | 5 |
| Nausea | 16 | 13 | 7 |
| Vomito | 10 | 10 | 5 |
| Diarrea | 8 | 7 | 2 |
| Dispepsia | 10 | 3 | 2 |
| Disagio allo stomaco | 6 | 0 | 2 |
| Disturbi generali | |||
| Fatica | 18 | 30 | 3 |
| Metabolismo e disturbi nutrizionali | |||
| Aumento dell'appetito | 4 | 7 | 2 |
| Disturbi del sistema nervoso | |||
| Sedazione | 42 | 56 | 19 |
| Vertigini | 16 | 13 | 5 |
| Parkinsonism* | 6 | 12 | 3 |
| Distonia* | 6 | 5 | 0 |
| Handhesia * | 0 | 8 | 2 |
| Disturbi psichiatrici | |||
| Ansia | 0 | 8 | 3 |
| Disturbi toracici e mediastinali respiratori | |||
| Dolore faringolaringoale | 10 | 3 | 5 |
| Disturbi della pelle e dei tessuti sottocutanei | |||
| Eruzione cutanea | 0 | 7 | 2 |
| * Il parkinsonismo comprende la rigidità muscoloscheletrica Disturbo extrapiramidale Bradicinesia e la rigidità nucale. La distonia comprende la laringospasmo della distonia e gli spasmi muscolari. Akathisia include irrequietezza e Akathisia. |
Reazioni avverse comunemente osservate negli studi clinici controllati in doppio cieco-Disturbo autistico
La tabella 13 elenca le reazioni avverse riportate nel 5% o più di pazienti pediatrici trattati con risperti trattati per l'irritabilità associati al disturbo autistico in due studi a doppio cieco a 8 settimane e uno studio controllato a placebo in doppio cieco di 6 settimane.
Tabella 13: reazioni avverse in ≥5% dei pazienti pediatrici trattati con risperti (e maggiori del placebo) trattati per l'irritabilità associata al disturbo autistico negli studi sul placebo in doppio cieco
| Classe di sistema/organi Reazione avversa | Percentuale di pazienti che segnalano una reazione | |
| Risperdal 0.5-4.0 mg/day (N = 107) | Placebo (N = 115) | |
| Disturbi gastrointestinali | ||
| Vomito | 20 | 17 |
| Stipsi | 17 | 6 |
| Bocca secca | 10 | 4 |
| Nausea | 8 | 5 |
| Ipersecrezione salivare | 7 | 1 |
| Disturbi generali E Administrattoion Site Conditions | ||
| Fatica | 31 | 9 |
| Pyrexia | 16 | 13 |
| Sete | 7 | 4 |
| Infezioni e infestazioni | ||
| Rinofaringngite | 19 | 9 |
| Rinite | 9 | 7 |
| Infezione del tratto respiratorio superiore | 8 | 3 |
| Indagini | ||
| Il peso è aumentato | 8 | 2 |
| Metabolismo e disturbi nutrizionali | ||
| Aumento dell'appetito | 44 | 15 |
| Disturbi del sistema nervoso | ||
| Sedazione | 63 | 15 |
| Sbavare | 12 | 4 |
| Mal di testa | 12 | 10 |
| Tremore | 8 | 1 |
| Vertigini | 8 | 2 |
| Parkinsonism* | 8 | 1 |
| Disturbi renali e urinari | ||
| Enuresi | 16 | 10 |
| Disturbi toracici e mediastinali respiratori | ||
| Tosse | 17 | 12 |
| Rhinorrea | 12 | 10 |
| Congestione nasale | 10 | 4 |
| Disturbi della pelle e dei tessuti sottocutanei | ||
| Eruzione cutanea | 8 | 5 |
| * Il parkinsonismo comprende la rigidità extrapiramidale della rigidità muscolamidale di rigidità muscolare rigidità muscolare e tensione muscolare. |
Altre reazioni avverse osservate durante la valutazione della sperimentazione clinica di Risperidone
Le seguenti ulteriori reazioni avverse si sono verificate in tutti gli studi a attività controllati con placebo e emergenti aperti su risperdali negli adulti e nei pazienti pediatrici.
Disturbi del sistema di sangue e linfatici: anemia granulocitopenia Neutropenia
Disturbi cardiaci: Sinus bradicardia sinus tachicardia atrioventricolare blocco di primo grado branco di ramo di ramo di ramo sinistro branco a destra atrioventricolare blocco
Disturbi dell'orecchio e del labirinto: ATCITHE PARE AEAR
Disturbi endocrini: Iperprolattinemia
Disturbi degli occhi: Ipulari oculari Scarico oculare congiuntivite con congiuntivite per occhiali edema edema edema per occhiali per occhiali per occhiali lacrimazione dell'occhio asciutto aumentata fotofobia glaucoma Acuità visiva ridotta
Disturbi gastrointestinali: disfagia fecaloma incontinenza gastrite gastrite gonfiore chelite aptyalismo
Disturbi generali: Edema periferico di sete di andatura da disturbo simile alla malattia influente che mette l'edema edema edema brivido di lentezza malessere malessere disagio toracico faccia edema disagio edema generalizzato sindrome da droga di astinenza periferia sentendosi anormale
Disturbi del sistema immunitario: ipersensibilità alla droga
Infezioni e infestazioni: infezione dell'orecchio della polmonite Infezione virale di faringite tonsillite bronchite infezione oculare infezione localizzata cistite cellulite otite media onicomicosi acarodermatite broncopneumonite tratto respiratorio infezione tracheobronchite otite media cronica cronica
Indagini: La temperatura corporea ha aumentato la prolattina del sangue ha aumentato l'alanina aminotransferasi ha aumentato l'elettrocardiogramma contatura di eosinofili anormali aumentata conta dei globuli bianchi La riduzione della glicemia è aumentata emoglobina diminuito Ematocrito diminuito body temperattoure diminuito blood pressure diminuito transaminases increased Metabolismo e disturbi nutrizionali: diminuito appetite polydipsia anorexia
Disturbi del tessuto muscoloscheletrico e connettivo: rigidità articolare gonfiore articolare del dolore muscoloscheletrico postura del torace postura anormale del dolore del collo debole debolezza muscolare rabdomiolisi
Disturbi del sistema nervoso: disturbo del disturbo dell'equilibrio nella disartria dell'attenzione non rispondente agli stimoli livello depresso del disturbo del movimento della coscienza Disturbo transitorio coordinamento dell'attacco ischemico anormale Incidente cerebrovascolare Disturbo del linguaggio Sincope perdita di coscienza Ipoestesia Diskinesia tardive di discinesia ischemia cerebrale Ischemia Disturbo cerebrovascolare Sindrome neurolettica Sindrome diabetica coma Titubazione
Disturbi psichiatrici: Agitazione Blunted influenzare lo stato confusionali insonnia medio Disturbo del sonno Disturbo svogliato Libido diminuita e l'anorgasma
Disturbi renali e urinari: Enuresis Dysuria Pollakiuria Incontinenza urinaria
Sistema riproduttivo e disturbi del seno: mestruazione amenorrea irregolare ginecomastia galacorrhea Scarica vaginale Disturbo mestruale disfunzione erettile disturbo retrogrado Eiaculazione Disturbo sessuale Disfunzione del seno
Disturbi toracici e mediastinali respiratori: sibilante polmonite aspirazione del seno congestione disfonia tosse produttiva di congestione polmonare congestione respiratoria congestione rales disturbo respiratorio iperventilazione edema nasale
Disturbi della pelle e dei tessuti sottocutanei: scolorimento cutaneo eritema scolorimento della pelle prurito disturbo cutaneo eruzione cuta
Disturbi vascolari: ipotensione arrossamento
Ulteriori reazioni avverse riportate con Risperdal Conta
Di seguito è riportato un elenco di ulteriori reazioni avverse che sono state riportate durante la valutazione pre -marketing di Risperdal Conta indipendentemente dalla frequenza del verificarsi:
Disturbi cardiaci: bradicardia
Disturbi dell'orecchio e del labirinto: vertigine
Disturbi degli occhi: blefarospasmo
Disturbi gastrointestinali: Spasmo per lingua dal mal di denti
Disturbi generali E Administrattoion Site Conditions: Dolore
Infezioni e infestazioni: USCESSO INFEZIONE DI INFEZIONE RESPIRATORIO inferiore
Lesioni e avvelenamento: autunno
Indagini: Il peso ridotto gamma-glutamiltransferasi ha aumentato l'enzima epatico è aumentato
Disturbi del tessuto connettivo muscoloscheletrico e ossei: dolori di glutei
Disturbi del sistema nervoso: parestesia di convulsione
Disturbi psichiatrici: depressione
Disturbi della pelle e dei tessuti sottocutanei: eczema
Disturbi vascolari: ipertensione
Discontinuazioni dovute a reazioni avverse
Schizofrenia - Adulti
Circa il 7% (39/564) di pazienti trattati con risperdal in studi in doppio cieco controllati con placebo ha interrotto il trattamento a causa di una reazione avversa rispetto al 4% (10/225) che stavano ricevendo placebo. Le reazioni avverse associate alla sospensione in 2 o più pazienti trattati con risperti erano:
Tabella 14: reazioni avverse associate alla sospensione in 2 o più pazienti adulti trattati con risperti negli studi di schizofrenia
| Reazione avversa | Risperdal | Placebo (N = 225) | |
| 2-8 mg/giorno (N = 366) | > 8-16 mg/giorno (N = 198) | ||
| Vertigini | 1,4% | 1,0% | 0% |
| Nausea | 1,4% | 0% | 0% |
| Vomito | 0,8% | 0% | 0% |
| Parkinsonismo | 0,8% | 0% | 0% |
| Sonnolenza | 0,8% | 0% | 0% |
| Distonia | 0,5% | 0% | 0% |
| Agitazione | 0,5% | 0% | 0% |
| Dolore addominale | 0,5% | 0% | 0% |
| Ipotensione ortostatica | 0,3% | 0,5% | 0% |
| Dita | 0,3% | 2,0% | 0% |
L'interruzione dei sintomi extrapiramidali (incluso il parkinsonism Akathisia Dystonia e la discinesia tardiva) era dell'1% nei pazienti trattati con placebo e del 3,4% nei pazienti trattati con controllo attivo in uno studio controllato in doppio cieco a placebo e attivo.
Schizofrenia - Pediatria
Circa il 7% (7/106) di pazienti trattati con risperdal ha interrotto il trattamento a causa di una reazione avversa in uno studio in doppio blind-blinding controllato con placebo rispetto ai pazienti trattati con placebo al 4% (2/54). Le reazioni avverse associate alla discontinuazione per almeno un paziente trattato con risperti erano vertigini (2%) somnolence (1%) sedazione (1%) letargia (1%) ansia (1%) Disturbo dell'equilibrio (1%) Ipotensione (1%) e palpitazione (1%).
Mania bipolare - Adulti
Negli studi in doppio cieco controllati con placebo con riserdal come monoterapia circa il 6% (25/448) di pazienti trattati con risperta hanno interrotto il trattamento a causa di un evento avverso rispetto a circa il 5% (19/424) di pazienti trattati con placebo. Le reazioni avverse associate alla sospensione nei pazienti trattati con risperti erano:
Tabella 15: reazioni avverse associate alla sospensione in 2 o più pazienti adulti trattati con risperti negli studi clinici della mania bipolare
| Reazione avversa | Risperdal 1-6 mg/day (N = 448) | Placebo (N = 424) |
| Parkinsonismo | 0,4% | 0% |
| Letargia | 0,2% | 0% |
| Vertigini | 0,2% | 0% |
| Alanina aminotransferasi è aumentato | 0,2% | 0,2% |
| L'aminotransferasi aspartata è aumentato | 0,2% | 0,2% |
Mania bipolare - Pediatria
In uno studio in doppio cieco controllato con placebo, il 12% (13/111) di pazienti trattati con risperdal è interrotto a causa di una reazione avversa rispetto al 7% (4/58) dei pazienti trattati con placebo. Le reazioni avverse associate alla sospensione in più di un paziente pediatrico trattato con risperti erano nausea (3%) somnolence (2%) sedazione (2%) e vomito (2%).
Disturbo autistico - Pediatria
Nei due studi controllati con placebo di 8 settimane in pazienti pediatrici trattati per irritabilità associati al disturbo autistico (n = 156) un paziente trattato con risperto è stato interrotto a causa di una reazione avversa (parkinsonism) e un paziente trattato con placebo è stato interrotto a causa di un evento avverso.
Dipendenza dalla dose delle reazioni avverse negli studi clinici
Sintomi extrapiramidali
I dati di due studi a dose fissa negli adulti con schizofrenia hanno fornito prove di dose-correlazione per i sintomi extrapiramidali associati al trattamento risperto.
Sono stati usati due metodi per misurare i sintomi extrapiramidali (EPS) in uno studio di 8 settimane che confrontano 4 dosi fisse di risperdal (2 6 10 e 16 mg/giorno) tra cui (1) un punteggio di parkinsonismo (variazione media dalla linea di base) dalla scala di valutazione dei sintomi extrapiramidali e (2) incidenza di reclami spontanei di EPS:
Tabella 16
| Gruppi di dose | Placebo | Risperdal 2 mg | Risperdal 6 mg | Risperdal 10 mg | Risperdal 16 mg |
| Parkinsonismo | 1.2 | 0.9 | 1.8 | 2.4 | 2.6 |
| Incidenza EPS | 13% | 17% | 21% | 21% | 35% |
Metodi simili sono stati usati per misurare i sintomi extrapiramidali (EPS) in uno studio di 8 settimane che confrontano 5 dosi fisse di risperdal (1 4 8 12 e 16 mg/giorno):
Tabella 17
| Gruppi di dose | Risperdal 1 mg | Risperdal 4 mg | Risperdal 8 mg | Risperdal 12 mg | Risperdal 16 mg |
| Parkinsonismo | 0.6 | 1.7 | 2.4 | 2.9 | 4.1 |
| Incidenza EPS | 7% | 12% | 17% | 18% | 20% |
Distonia
Effetto di classe
I sintomi della distonia prolungati a contrazioni anormali di gruppi muscolari possono verificarsi negli individui sensibili durante i primi giorni di trattamento. I sintomi distonici includono: spasmo dei muscoli del collo a volte progredendo alla tensione della gola che deglutisce difficoltà di difficoltà a respirare e/o sporgenza della lingua. Mentre questi sintomi possono verificarsi a basse dosi, si verificano più frequentemente e con maggiore gravità con alta potenza e a dosi più elevate di farmaci antipsicotici di prima generazione. Un elevato rischio di distonia acuta si osserva nei maschi e nei gruppi di età più giovani.
Altre reazioni avverse
I dati sugli eventi avversi suscitati da una lista di controllo per gli effetti collaterali di un ampio studio che confrontano 5 dosi fisse di risperdal (1 4 8 12 e 16 mg/giorno) sono stati esplorati per la dose di eventi avversi. Un test Cochran-Armitage per la tendenza in questi dati ha rivelato una tendenza positiva (P <0.05) for the following adverse reactions: somnolence vision abnormal vertigini palpitations weight increase erectile dysfunction ejaculation disorder sexual function abnormal fatica E skin discolorattoion.
La trulicità deve essere refrigerata
Cambiamenti nel peso corporeo
L'aumento di peso è stato osservato negli studi controllati a breve termine e studi non controllati a lungo termine su pazienti adulti e pediatrici [vedi AVVERTIMENTOS AND PRECAUZIONI Reazioni avverse E Utilizzare in popolazioni specifiche ].
Modifiche ai parametri ECG
I confronti tra i gruppi per le prove raggruppate controllate con placebo negli adulti non hanno rivelato statisticamente
Differenze significative tra risperidone e placebo nelle variazioni medie rispetto al basale nei parametri ECG tra cui QT QTC e intervalli di PR e frequenza cardiaca. Quando tutte le dosi di Risperdal sono state raggruppate da studi randomizzati controllati in diverse indicazioni, si è verificato un aumento medio della frequenza cardiaca di 1 battito al minuto rispetto a nessuna variazione per i pazienti con placebo. Negli studi di schizofrenia a breve termine dosi più elevate di risperidone (8-16 mg/giorno) sono state associate a un aumento medio più elevato della frequenza cardiaca rispetto al placebo (4-6 battiti al minuto). Negli studi sulla mania acuta controllati da placebo in aggressione negli adulti c'erano piccole diminuzioni della frequenza cardiaca media simile tra tutti i gruppi di trattamento.
Nei due studi controllati con placebo in bambini e adolescenti con disturbo autistico (di età compresa tra 5 e 16 anni) i cambiamenti nella frequenza cardiaca sono stati un aumento di 8,4 battiti al minuto nei gruppi di risperti e 6,5 battiti al minuto nel gruppo placebo. Non ci sono stati altri importanti cambiamenti ECG.
In uno studio acuto mania controllato da placebo in bambini e adolescenti (di età compresa tra 10 e 17 anni) non ci sono stati cambiamenti significativi nei parametri ECG diversi dall'effetto di Risperdal per aumentare transitoriamente il tasso di impulsi ( <6 beats per minute). In two controlled schizofrenia trials in adolescents (aged 13 – 17 years) there were no clinically meaningful changes in ECG parameters including corrected QT intervals between treatment groups or within treatment groups over time.
Esperienza post -marketing
Le seguenti reazioni avverse sono state identificate durante l'uso post -approvazione di Risperidone. Poiché queste reazioni sono riportate volontariamente da una popolazione di dimensioni incerte, non è sempre possibile stimare in modo affidabile la loro frequenza o stabilire una relazione causale con l'esposizione ai farmaci. Queste reazioni avverse includono: ALOPECIA Anafilattica di reazione anafilattica Angoedema Fibrillazione atriale Arresto cardiopolmonare chetoacidosi diabetica catatonia in pazienti con alterato metabolismo del glucosio Dysgeusia ipoglicemia Ipotermia ileo Ileo inappropriato Secrezione di ormone antidiuretico Ostruzione intestinale ittero mania pancreatitis pituitary adenoma precocious puberty pulmonary embolism QT prolongation sleep apnea syndrome somnambulism Stevens-Johnson syndrome E toxic epidermal necrolysis (SJS/TEN) sudden death thrombocytopenia thrombotic thrombocytopenic purpura urinary retention E water intoxication.
I casi post -marketing di sintomi extrapiramidali (distonia e discinesia) sono stati riportati in pazienti in concomita in concomitanza di metilfenidato e risperidone quando si è verificato un aumento o una diminuzione dell'inizio del dosaggio o della discontinuazione di entrambi o entrambi i farmaci.
Interazioni farmacologiche for Risperdal
Interazioni legate alla farmacocinetica
La dose di risperdal deve essere regolata se utilizzata in combinazione con inibitori degli enzimi CYP2D6 (ad esempio fluoxetina e paroxetina) e induttori di enzimi (ad esempio carbamazepina) [vedi Tabella 18 e Dosaggio e amministrazione ]. Dose adjustment is not recommended for Risperdal when co-administered with ranitidine cimetidine amitriptyline or erythromycin [see Table 18].
Tabella 18: Riepilogo dell'effetto dei farmaci amministrati con co-amministrazione sull'esposizione alla porzione attiva (risperidone 9- idrossi-risperidone) in soggetti sani o pazienti con schizofrenia
| Droga somministrato in co -amministrazione | Programma di dosaggio | Effetto sulla porzione attiva (Risperidone 9-idrossi-Risperidone (rapporto*) | Raccomandazione sulla dose di risperidone | ||
| Droga somministrato in co -amministrazione | Risperidone | AUC | Cmax | ||
| Inibitori enzimatici (CYP2D6) | |||||
| Fluoxetina | 20 mg/giorno | 2 o 3 mg due volte al giorno | 1.4 | 1.5 | Rivalutare il dosaggio. Non superare 8 mg/giorno |
| Paroxetina | 10 mg/giorno | 4 mg/day | 1.3 | - | Rivalutare il dosaggio. Non superare 8 mg/giorno |
| 20 mg/giorno | 4 mg/day | 1.6 | - | ||
| 40 mg/giorno | 4 mg/day | 1.8 | - | ||
| Induttori enzimatici (induttori CYP3A/ PGP) | |||||
| Carbamazepina | 573 ± 168 mg/die | 3 mg twice daily | 0.51 | 0.55 | Dose di titolazione verso l'alto. Non superare il doppio della dose abituale del paziente |
| Inibitori enzimatici (CYP3A) | |||||
| Ranitidina | 150 mg due volte al giorno | 1 mg single dose | 1.2 | 1.4 | Regolazione della dose non necessaria |
| Cimetidina | 400 mg due volte al giorno | 1 mg single dose | 1.1 | 1.3 | Regolazione della dose non necessaria |
| Eritromicina | 500 mg quattro volte al giorno | 1 mg single dose | 1.1 | 0.94 | Regolazione della dose non necessaria |
| Altre droghe | |||||
| Amitriptilina | 50 mg due volte al giorno | 3 mg twice daily | 1.2 | 1.1 | Regolazione della dose non necessaria |
| * Modifica relativa al riferimento |
Effetto di risperidone su altri farmaci
Litio
Le dosi orali ripetute di Risperdal (3 mg due volte al giorno) non hanno influenzato l'esposizione (AUC) o le concentrazioni plasmatiche di picco (CMAX) di litio (n = 13). La regolazione della dose per il litio non è raccomandata.
Valproato
Le dosi orali ripetute di Risperdal (4 mg una volta al giorno) non hanno influenzato le concentrazioni plasmatiche pre-dose o medie e l'esposizione (AUC) di valproato (1000 mg/giorno in tre dosi divise) rispetto al placebo (n = 21). Tuttavia, si è verificato un aumento del 20% della concentrazione plasmatica di picco valproato (CMAX) dopo la somministrazione concomitante di risperdal. La regolazione della dose per valproato non è raccomandata.
Digossina
Risperdal (NULL,25 mg twice daily) did not show a clinically relevant effect on the pharmacokinetics of digoxin. Dose adjustment for digoxin is not recommended.
Interazioni relative alla farmacodinamica
Droghe a base centrale e alcol
Dati gli effetti primari del SNC della cautela di risperidone devono essere utilizzati quando risperdal viene preso in combinazione con altri farmaci e alcol ad azione centralmente.
Farmaci con effetti ipotensivi
A causa del suo potenziale per indurre l'ipotensione risperdal può migliorare gli effetti ipotensivi di altri agenti terapeutici con questo potenziale.
Agonisti di levodopa e dopamina
Risperdal may antagonize the effects of levodopa E dopamina agonisti.
Metilfenidato
L'uso concomitante con metilfenidato in caso di cambiamento nel dosaggio di entrambe le medicine può aumentare il rischio di sintomi extrapiramidali (EPS). Monitorare i sintomi di EPS con uso concomitante di risperdal e metilfenidato [vedi Reazioni avverse ].
Clozapina
La somministrazione cronica di clozapina con risperdal può ridurre la clearance di Risperidone.
Avvertimenti per risperdal
Incluso come parte del PRECAUZIONI sezione.
Precauzioni per risperdal
Aumento della mortalità nei pazienti anziani con psicosi correlata alla demenza
Pazienti anziani con demenza psicosi Trattati con farmaci antipsicotici ad un aumentato rischio di morte. Le analisi di 17 studi controllati con placebo (durata modale di 10 settimane) in gran parte nei pazienti che assumono farmaci antipsicotici atipici hanno rivelato un rischio di morte in pazienti trattati con farmaci compresi tra 1,6 e 1,7 volte il rischio di morte nei pazienti trattati con placebo. Nel corso di un tipico studio controllato di 10 settimane, il tasso di morte nei pazienti trattati con farmaci è stato di circa il 4,5% rispetto a un tasso di circa il 2,6% nel gruppo placebo. Sebbene le cause della morte siano state varie, la maggior parte delle morti sembrava essere cardiovascolare (ad es. insufficienza cardiaca morte improvvisa) o infettiva (ad esempio polmonite) in natura. Studi osservazionali suggeriscono che simile al trattamento atipico di farmaci antipsicotici con farmaci antipsicotici convenzionali può aumentare la mortalità. La misura in cui i risultati dell'aumento della mortalità negli studi osservazionali possono essere attribuiti al farmaco antipsicotico rispetto ad alcune caratteristiche dei pazienti non è chiara.
In due dei quattro studi controllati con placebo in pazienti anziani con psicosi correlata alla demenza è stata osservata una maggiore incidenza di mortalità in pazienti trattati con furosemide più risperdali rispetto ai pazienti trattati con Risperdal da solo o con il placebo più furosemide. Non è stato identificato alcun meccanismo patologico per spiegare questa scoperta e non è stato osservato alcun modello coerente per la causa della morte.
Risperdal (risperidone) is not approved for the treatment of dementia-related psicosi [see Avvertenza in scatola ].
Reazioni avverse cerebrovascolari incluso l'ictus nei pazienti anziani con psicosi correlata alla demenza
Le reazioni avverse cerebrovascolari (ad es. Attacco ischemico transitorio dell'ictus), inclusi gli incidenti mortali, sono state riportate nei pazienti (età media di 85 anni; intervallo 73-97) negli studi di risperidone nei pazienti anziani con psicosi correlata alla demenza. Negli studi controllati con placebo si è verificata un'incidenza significativamente più elevata di eventi avversi cerebrovascolari nei pazienti trattati con risperidone rispetto ai pazienti trattati con placebo. Risperdal non è approvato per il trattamento dei pazienti con psicosi correlata alla demenza. [Vedere Avvertenza in scatola E AVVERTIMENTOS AND PRECAUZIONI ].
Sindrome maligna neurolettica
Sindrome maligna neurolettica (NMS) a potentially fatal symptom complex has been reported in association with antipsicotico drugs. Clinical manifestations of NMS are hyperpyrexia muscle rigidity altered mental status including delirium E autonomic instability (irregular pulse or blood pressure tachycardia diaphoresis E cardiac dysrhythmia). Additional signs may include elevated creatine phosphokinase myoglobinuria (rhabdomyolysis) E insufficienza renale acuta . Se NMS è sospettato, interrompere immediatamente il risperta e fornire un trattamento e un monitoraggio sintomatici.
Dyskinesia tardiva
Dyskinesia tardiva Una sindrome costituita da movimenti diskine involontari potenzialmente irreversibili può svilupparsi in pazienti trattati con farmaci antipsicotici. Sebbene la prevalenza della sindrome sembri essere più alta tra gli anziani, in particolare le donne anziane, è impossibile prevedere quali pazienti svilupperanno la sindrome. Non è noto se i prodotti farmaceutici antipsicotici differiscano nel loro potenziale per causare discinesia tardiva.
Il rischio di sviluppare discinesia tardiva e la probabilità che diventi irreversibile aumento con la durata del trattamento e la dose cumulativa. La sindrome può svilupparsi dopo periodi di trattamento relativamente brevi anche a basse dosi. Può verificarsi anche dopo l'interruzione del trattamento.
La discinesia tardiva può rimettere parzialmente o completamente se il trattamento antipsicotico viene interrotto. Il trattamento antipsicotico stesso può tuttavia sopprimere (o sopprimere parzialmente) i segni e i sintomi della sindrome che mascherano il processo sottostante. L'effetto che la soppressione sintomatica ha sul decorso a lungo termine della sindrome è sconosciuto.
Date queste considerazioni, risperdal dovrebbe essere prescritto in un modo che è più probabile che minimizzino il verificarsi della discinesia tardiva. Il trattamento antipsicotico cronico dovrebbe essere generalmente riservato ai pazienti: (1) che soffrono di una malattia cronica che è noto per rispondere ai farmaci antipsicotici e (2) per i quali alternativi ugualmente efficaci ma potenzialmente meno dannosi non sono disponibili o appropriati. Nei pazienti che richiedono un trattamento cronico utilizzano la dose più bassa e la durata più breve del trattamento producendo una risposta clinica soddisfacente. Rivalutare periodicamente la necessità di un trattamento continuo.
Se i segni e i sintomi della discinesia tardiva compaiono in un paziente sulla discontinuazione del farmaco risperto. Tuttavia, alcuni pazienti possono richiedere un trattamento con Risperdal nonostante la presenza della sindrome.
Cambiamenti metabolici
Atypical antipsychotic drugs have been associated with metabolic changes that may increase cardiovascular/cerebrovascular risk. These metabolic changes include hyperglycemia dyslipidemia and body weight gain. While all of the drugs in the class have been shown to produce some metabolic changes each drug has its own specific risk profile.
Iperglicemia e diabete mellito
Iperglicemia e diabete mellito In alcuni casi è stato riportato estremo e associato alla chetoacidosi o al coma o alla morte iperosmolare in pazienti trattati con antipsicotici atipici, incluso Risperdal. La valutazione della relazione tra uso antipsicotico atipico e anomalie del glucosio è complicata dalla possibilità di un aumentato rischio di fondo di diabete mellito nei pazienti con schizofrenia e dalla crescente incidenza del diabete mellito nella popolazione generale. Dati questi confondenti, la relazione tra uso antipsicotico atipico e eventi avversi correlati all'iperglicemia non è completamente compresa. Tuttavia, studi epidemiologici suggeriscono un aumentato rischio di eventi avversi correlati all'iperglicemia emergenti nel trattamento nei pazienti trattati con gli antipsicotici atipici. Non sono disponibili stime di rischio precise per eventi avversi correlati all'iperglicemia nei pazienti trattati con antipsicotici atipici.
I pazienti con una diagnosi stabilita di diabete mellito che sono iniziati con antipsicotici atipici, incluso Risperdal, devono essere monitorati regolarmente per il peggioramento del controllo del glucosio. Pazienti con fattori di rischio per il diabete mellito (ad es. obesità La storia familiare di diabete) che stanno iniziando il trattamento con antipsicotici atipici, incluso Risperdal, dovrebbe sottoporsi a test di glicemia a digiuno all'inizio del trattamento e periodicamente durante il trattamento. Qualsiasi paziente trattato con antipsicotici atipici, incluso Risperdal, deve essere monitorato per i sintomi dell'iperglicemia, tra cui Polydipsia poliuria poliphagia e debolezza. I pazienti che sviluppano sintomi di iperglicemia durante il trattamento con antipsicotici atipici, incluso Risperdal, dovrebbero sottoporsi a test di glicemia a digiuno. In alcuni casi l'iperglicemia si è risolta quando l'antipsicotico atipico, incluso Risperdal, è stato sospeso; Tuttavia, alcuni pazienti hanno richiesto la continuazione del trattamento antidiabetico nonostante l'interruzione di Risperdal.
I dati aggregati da tre studi di schizofrenia controllati in doppio cieco e quattro studi bipolari monoterapia bipolari controllati a doppiotonico sono presentati nella Tabella 2.
Tabella 2: variazione del glucosio casuale da sette studi a dose fissa o flessibile di 3 a 8 settimane controllati da placebo in soggetti adulti con schizofrenia o mania bipolare
| Placebo n = 555 | Risperdal | ||
| 1-8 mg/giorno di variazione media dal basale (mg/dl) n = 748 | > 8-16 mg/giorno n = 164 | ||
| Glucosio sierico | -1.4 | 0.8 | 0.6 |
| Glucosio sierico ( <140 mg/dL to ≥200 mg/dL) | Proporzione di pazienti con turni | ||
| 0,6%(3/525) | 0,4%(3/702) | 0%(0/158) |
Negli studi controllati a lungo termine e non controllati, Risperdal è stato associato a una variazione media del glucosio di 2,8 mg/dL alla settimana 24 (n = 151) e 4,1 mg/dl alla settimana 48 (n = 50).
I dati della mania bipolare (10-17 anni) di studio bipolare (10-17 anni) sono presentati nella tabella 3 sono presentati nella tabella 3 sono presentati nella tabella 3 sono presentati nella Tabella 3.
Tabella 3: cambiamento nel glucosio a digiuno da tre studi a dose fissa da 3 a 6 settimane controllati con placebo in bambini e adolescenti con schizofrenia (13-17 anni) mania bipolare (10-17 anni) o disturbo autistico (5-17 anni)
| Risperdal | Placebo 0.5-6 mg/day | |
| Cambiamento medio dal basale (mg/dl) | ||
| n = 67 | n = 135 | |
| Glucosio sierico | -1.3 | 2.6 |
| Proporzione di pazienti con turni | ||
| Glucosio sierico ( <100 mg/dL to ≥126 mg/dL) | 0%(0/64) | 0,8%(1/120) |
In studi pediatrici non controllati a più lungo termine di estensione pediatrica, risperdal è stato associato a un cambiamento medio nel glucosio a digiuno di 5,2 mg/dL alla settimana 24 (n = 119).
Dislipidemia
Alterazioni indesiderate in Lipidi sono stati osservati nei pazienti trattati con antipsicotici atipici.
I dati aggregati da 7 studi a dose fissa o flessibile a dose fissa o flessibile controllate con placebo in soggetti adulti con schizofrenia o mania bipolare sono presentati nella Tabella 4.
Tabella 4: cambiamento nei lipidi casuali da sette studi a dosi fissa o flessibile a dose fissa o flessibile controllate da placebo in soggetti adulti con schizofrenia o mania bipolare
| Placebo | Risperdal | ||
| 1-8 mg/giorno | > 8-16 mg/giorno | ||
| Cambiamento medio dal basale (mg/dl) | |||
| Colesterolo | n = 559 | n = 742 | n = 156 |
| Cambiare dal basale | 0.6 | 6.9 | 1.8 |
| Trigliceridi | n = 183 | n = 307 | n = 123 |
| Cambiare dal basale | -17.4 | -4.9 | -8.3 |
| Proporzione di pazienti con turni | |||
| Colesterolo ( <200 mg/dL to ≥240 mg/dL) | 2,7%(10/368) | 4,3%(22/516) | 6,3%(6/96) |
| Trigliceridi ( <500 mg/dL to ≥500 mg/dL) | 1,1%(2/180) | 2,7%(8/301) | 2,5%(3/121) |
Negli studi controllati a lungo termine e non controllati, Risperdal è stato associato a un cambiamento medio nel colesterolo non figurante di 4,4 mg/dl alla settimana 24 (n = 231) e 5,5 mg/dl alla settimana 48 (n = 86); e (b) non-fusione trigliceridi di 19,9 mg/dl alla settimana 24 (n = 52).
I dati aggregati da 3 studi a dose fissa da 3 a 6 settimane controllati con placebo in bambini e adolescenti con schizofrenia (13-17 anni) mania bipolare (10-17 anni) o disturbo autistico (5-17 anni) sono presentati nella Tabella 5.
Tabella 5: cambiamento nei lipidi a digiuno da tre studi a dose fissa da 3 a 6 settimane controllati con placebo in bambini e adolescenti con schizofrenia (13-17 anni) mania bipolare (10-17 anni) o disturbo autistico (5-17 anni)
| Placebo | Risperdal 0.5-6 mg/day | |
| Cambiamento medio dal basale (mg/dl) | ||
| Colesterolo | n = 74 | n = 133 |
| Cambiare dal basale | 0.3 | -0.3 |
| Ldl | n = 22 | n = 22 |
| Cambiare dal basale | 3.7 | 0.5 |
| Hdl | n = 22 | n = 22 |
| Cambiare dal basale | 1.6 | -1.9 |
| Trigliceridi | 7 7 = n | n = 138 |
| Cambiare dal basale | -9.0 | -2.6 |
| Proporzione di pazienti con turni | ||
| Colesterolo( <170 mg/dL to ≥200 mg/dL) | 2,4%(1/42) | 3,8%(3/80) |
| Ldl( <110 mg/dL to ≥130 mg/dL) | 0%(0/16) | 0%(0/16) |
| Hdl(≥40 mg/dL to <40 mg/dL) | 0%(0/19) | 10%(2/20) |
| Trigliceridi( <150 mg/dL to ≥200 mg/dL) | 1,5%(1/65) | 7,1%(8/113) |
Nell'estensione non controllata a più lungo termine Studi pediatrici emergenti, risperdal è stato associato a un cambiamento medio nel colesterolo a digiuno (a) di 2,1 mg/dL alla settimana 24 (n = 114); (b) LDL a digiuno di -0,2 mg/dl alla settimana 24 (n = 103); (c) HDL a digiuno di 0,4 mg/dL alla settimana 24 (n = 103); e (d) trigliceridi a digiuno di 6,8 mg/dL alla settimana 24 (n = 120).
Aumento di peso
L'aumento di peso è stato osservato con uso antipsicotico atipico. Si raccomanda il monitoraggio clinico del peso.
I dati sulle variazioni medie del peso corporeo e la proporzione di soggetti che soddisfano un criterio di aumento di peso del 7% o superiore al peso corporeo da 7 studi di dose fissa o flessibile a dose fissa o flessibile controllati con placebo sono presentati nella Tabella 6.
Tabella 6: variazione media del peso corporeo (kg) e la proporzione di soggetti con guadagno ≥7% di peso corporeo da sette studi a dose fissa o flessibile a dose fissa o flessibile controllate da placebo con schizofrenia o mania bipolare
| Placebo (n = 597) | Risperdal | ||
| 1-8 mg/giorno (n = 769) | > 8-16 mg/giorno (n = 158) | ||
| Peso (kg) | |||
| Cambiare dal basale | -0.3 | 0.7 | 2.2 |
| Aumento di peso | |||
| ≥7% di aumento dal basale | 2,9% | 8,7% | 20,9% |
Negli studi controllati a lungo termine e non controllati, Risperdal è stato associato a una variazione media di peso di 4,3 kg alla settimana 24 (n = 395) e 5,3 kg alla settimana 48 (n = 203).
Dati sui cambiamenti medi nel peso corporeo e la percentuale di soggetti che soddisfano il criterio del guadagno ≥7% di peso corporeo da nove studi a dose fissa da 3 a 8 settimane controllati con placebo in bambini e adolescenti con schizofrenia (13-17 anni) mania bipolare (10-17 anni) di età autistica (5-17 anni) o altri disordini psichiatrici (5-17 anni) Mania bipolare (10-17 anni.
Tabella 7: variazione media del peso corporeo (kg) e la proporzione di soggetti con guadagno ≥7% di peso corporeo da nove studi a dose fissa da 3 a 8 settimane controllati in placebo in bambini e adolescenti con schizofrenia (13-17 anni) mania bipolare (10-17 anni) di disturbo autistico (da 5 a 17 anni) o altri disordini psichiatrici (5-17 anni di età)
| Placebo (n = 375) | Risperdal 0.5-6 mg/day (n = 448) | |
| Peso (kg) | ||
| Cambiare dal basale | 0.6 | 2.0 |
| Aumento di peso | ||
| ≥7% di aumento dal basale | 6,9% | 32,6% |
Nell'estensione non controllata a più lungo termine Studi pediatrici di estensione emergente, Risperdal è stato associato a una variazione media di peso di 5,5 kg alla settimana 24 (n = 748) e 8,0 kg alla settimana 48 (n = 242).
In uno studio di estensione a lungo termine a lungo termine su pazienti adolescenti con aumento del peso della schizofrenia è stato riportato come evento avverso emergente per il trattamento nel 14% dei pazienti. In 103 pazienti adolescenti con schizofrenia è stato osservato un aumento medio di 9,0 kg dopo 8 mesi di trattamento risperto. La maggior parte di tale aumento è stata osservata entro i primi 6 mesi. I percentili medi al basale e 8 mesi rispettivamente erano 56 e 72 per peso 55 e 58 per altezza e 51 e 71 per l'indice di massa corporea.
Negli studi a lungo termine in aperto (studi su pazienti con disturbo autistico o altri disturbi psichiatrici) è stato osservato un aumento medio di 7,5 kg dopo 12 mesi di trattamento a risperto che era superiore all'aumento di peso normale previsto (da 3 a 3,5 kg all'anno adeguato per l'età in base all'età in base ai centri per il controllo delle malattie e i dati normativi della prevenzione). La maggior parte di tale aumento si è verificata entro i primi 6 mesi di esposizione a Risperdal. I percentili medi al basale e 12 mesi rispettivamente erano 49 e 60 per peso 48 e 53 per altezza e 50 e 62 per l'indice di massa corporea.
In uno studio controllato con placebo di 3 settimane su bambini e pazienti adolescenti con episodi maniacali acuti o episodi misti di disturbo bipolare I aumenti di peso corporeo erano più elevati nei gruppi di risperti rispetto al gruppo placebo ma non correlati a dose (NULL,90 kg nel RISPERDAL 0,5-2,5 mg di gruppo 1,44 kg nel gruppo Risperdal 3-6 mg e 0,65 kg nel RISPERDAL). Una tendenza simile è stata osservata nella variazione media rispetto al basale nell'indice di massa corporea.
Nel trattamento dei pazienti pediatrici con Risperdal per qualsiasi aumento di peso indicazione, dovrebbe essere valutato rispetto a tale previsto con una crescita normale.
Iperprolattinemia
Come con altri farmaci che antagonizzano i recettori D2 della dopamina Risperdal eleva i livelli di prolattina e l'elevazione persiste durante la somministrazione cronica. Risperdal è associato a livelli più elevati di elevazione della prolattina rispetto ad altri agenti antipsicotici.
Iperprolattinemia may suppress hypothalamic GnRH resulting in reduced pituitary gonadotropin secretion. This in turn may inhibit reproductive function by impairing gonadal steroidogenesis in both female E male patients. Galactorrhea amenorrhea gynecomastia E impotenza sono stati riportati in pazienti che hanno ricevuto composti elevati dalla prolattina. L'iperprolattinemia di vecchia data quando associata all'ipogonadismo può portare a una riduzione della densità ossea sia nei soggetti femminili che maschili.
Gli esperimenti di coltura tissutale indicano che circa un terzo dei tumori mammari umani dipendono dalla prolattina in vitro un fattore di potenziale importanza se la prescrizione di questi farmaci è contemplata in un paziente con carcinoma mammario precedentemente rilevato. Un aumento in ghiandola pituitaria La ghiandola mammaria e la neoplasia delle cellule dell'isolotto pancreatico (adenocarcinomi mammarie sono stati osservati i pituitari e gli adenomi pancreatici) negli studi di carcinogenicità del risperidone condotti in topi e ratti [vedi Tossicologia non clinica ]. Published epidemiologic studies have shown inconsistent results when exploring the potential association between Iperprolattinemia E breast cancer.
Ipotensione ortostatica
Risperdal may induce orthostatic ipotensione associated with vertigini tachycardia E in some patients syncope especially during the initial dose-titrattoion period probably reflecting its alpha-adrenergic antagonistic properties. Syncope was reported in 0,2% (6/2607) of Risperdal treated patients in Phase 2 E 3 studies in adults with schizofrenia. The risk of orthostatic ipotensione E syncope may be minimized by limiting the initial dose to 2 mg total (either once daily or 1 mg twice daily) in normal adults E 0,5 mg twice daily in the elderly E patients with renal or hepatic impairment [see Dosaggio e amministrazione ].
Il monitoraggio dei segni vitali ortostatici dovrebbe essere considerato nei pazienti per i quali ciò è preoccupante. Una riduzione della dose dovrebbe essere presa in considerazione se si verifica ipotensione. Risperdal dovrebbe essere usato con particolare cautela nei pazienti con malattia cardiovascolare nota (storia di infarto miocardico o insufficienza cardiaca di ischemia o anomalie di conduzione) cerebrovascolari e condizioni che predispongono i pazienti all'ipotensione, ad es. disidratazione e ipovolemia e negli anziani e pazienti con compromissione renale o epatica. Il monitoraggio dei segni vitali ortostatici deve essere preso in considerazione se si verifica ipotensione. È stata osservata ipotensione clinicamente significativa con un uso concomitante di farmaci risperti e antiipertensivi.
Cadute
Sonnolenza Ipotensione posturale È stata riportata l'instabilità motoria e sensoriale con l'uso di antipsicotici, incluso Risperdal che può portare a cadute e di conseguenza fratture o altre lesioni legate alla caduta. Per i pazienti in particolare gli anziani con condizioni di malattie o farmaci che potrebbero esacerbare questi effetti valutano il rischio di cadute quando si iniziano il trattamento antipsicotico e ricorrentemente per i pazienti in terapia antipsicotica a lungo termine.
Leucopenia neutropenia e agranulocitosi
Effetto di classe
Nella sperimentazione clinica e/o dell'esperienza post -marketing eventi di leucopenia/neutropenia sono stati segnalati temporalmente correlati ad agenti antipsicotici tra cui Risperdal. Agranulococitisi è stato anche segnalato.
I possibili fattori di rischio per la leucopenia/neutropenia includono una bassa conta dei globuli bianchi preesistenti (WBC) e la storia della leucopenia/neutropenia indotta da farmaci. I pazienti con una storia di un WBC clinicamente significativo o una leucopenia/neutropenia indotta da farmaci dovrebbero avere il loro Emocromo completo ( CBC ) Monitorato frequentemente durante i primi mesi di terapia e l'interruzione di Risperdal dovrebbero essere considerati al primo segno di un declino clinicamente significativo del WBC in assenza di altri fattori causali.
I pazienti con neutropenia clinicamente significativa devono essere attentamente monitorati per la febbre o altri sintomi o segni di infezione e trattati prontamente se si verificano tali sintomi o segni. Pazienti con neutropenia grave ( conta assoluta dei neutrofili <1000/mm³) should discontinue Risperdal E have their WBC followed until recovery.
Potenziale per la compromissione cognitiva e motoria
Sonnolenza was a commonly reported adverse reaction associated with Risperdal treatment especially when ascertained by direct questioning of patients. This adverse reaction is dose-related E in a study utilizing a checklist to detect adverse events 41% of the high-dose patients (Risperdal 16 mg/day) reported somnolence compared to 16% of placebo patients. Direct questioning is more sensitive for detecting adverse events than spontaneous reporting by which 8% of Risperdal 16 mg/day patients E 1% of placebo patients reported somnolence as an adverse reaction. Since Risperdal has the potential to impair judgment thinking or motor skills patients should be cautioned about operattoing hazardous machinery including automobiles until they are reasonably certain that Risperdal therapy does not affect them adversely.
Convulsioni
Durante i test di pre-marketing in pazienti adulti con crisi di schizofrenia si sono verificate nello 0,3% (9/2607) di pazienti trattati con risperti due in associazione con iponatriemia. Risperdal dovrebbe essere usato con cautela nei pazienti con una storia di convulsioni.
Disfagia
La dismotilità esofagea e l'aspirazione sono state associate all'uso di farmaci antipsicotici. La polmonite da aspirazione è una causa comune di morbilità e mortalità nei pazienti con demenza avanzata di Alzheimer. Risperdal e altri farmaci antipsicotici devono essere usati con cautela nei pazienti a rischio di polmonite da aspirazione. [Vedere Avvertenza in scatola E AVVERTIMENTOS AND PRECAUZIONI ].
Priapismo
Priapismo has been reported during postmarketing surveillance. Severe priapism may require surgical intervention.
Regolazione della temperatura corporea
L'interruzione della regolazione della temperatura corporea è stata attribuita agli agenti antipsicotici. Sia l'ipertermia che l'ipotermia sono stati riportati in associazione con l'uso orale di risperlo. Si consiglia cautela quando si prescrivono per i pazienti che saranno esposti agli estremi di temperatura.
Pazienti con fenilchetonuria
Informare i pazienti che le compresse di disintegrazione per via orale M-tab risperpano contengono fenilalanina. La fenilalanina è un componente di aspartame. Ogni 4 mg di riserdal m-tab per via orale
La compressa di disintegrazione contiene 0,84 mg di fenilalanina; ogni 3 mg di M-tab per via orale
La compressa di disintegrazione contiene 0,63 mg di fenilalanina; ogni 2 mg di riserdal m-tab per via orale
La compressa di disintegrazione contiene 0,42 mg di fenilalanina; Ogni 1 mg di riserdal m-tab per via orale
La compressa di disintegrazione contiene 0,28 mg di fenilalanina; e ogni 0,5 mg di M-tab
La compressa di disintegrazione per via orale contiene 0,14 mg di fenilalanina.
Informazioni sulla consulenza del paziente
Consiglia ai pazienti che utilizzano una soluzione orale Risperdal per leggere l'etichettatura dei pazienti approvata dalla FDA ( Istruzioni per l'uso ) per soluzione orale risperta.
Si consiglia ai medici di discutere i seguenti problemi con i pazienti per i quali prescrivono Risperdal.
Sindrome maligna neurolettica (NMS)
Consiglio dei pazienti su una sindrome neurolettica di reazione avversa potenzialmente fatale (NMS) che è stata riportata in associazione con la somministrazione di farmaci antipsicotici. Consiglia ai membri dei membri della famiglia o ai caregiver di contattare il fornitore di assistenza sanitaria o di riferire al pronto soccorso se si verificano segni e sintomi di NMS, compresa la rigidità muscolare di iperpyrexia alterata dallo stato mentale, tra cui il delirio e l'evidenza dell'instabilità autonoma (impulso irregolare o tachycardia tachicardia tachycardia AVVERTIMENTOS AND PRECAUZIONI ].
Dyskinesia tardiva
Consigli i pazienti sui segni e sui sintomi della discinesia tardiva e per contattare il proprio operatore sanitario se si verificano questi movimenti anormali [vedi AVVERTIMENTOS AND PRECAUZIONI ].
Cambiamenti metabolici
Educare i pazienti sul rischio di cambiamenti metabolici su come riconoscere i sintomi dell'iperglicemia e del diabete mellito e sulla necessità di un monitoraggio specifico tra cui lipidi e peso della glicemia [vedi AVVERTIMENTOS AND PRECAUZIONI ].
Ipotensione ortostatica
Educare i pazienti sul rischio di ipotensione ortostatica e sincope, in particolare al momento dell'avvio del trattamento di re-inizio del trattamento o aumentare la dose [vedi AVVERTIMENTOS AND PRECAUZIONI ].
Leucopenia/Neutropenia
Consiglia ai pazienti con un basso WBC preesistente o una storia di leucopenia/neutropenia indotta da farmaci, dovrebbero monitorare il loro CBC durante l'assunzione di risperti [vedi AVVERTIMENTOS AND PRECAUZIONI ].
Iperprolattinemia
Consiglia i pazienti sui segni e sui sintomi dell'iperprolattinemia che possono essere associati all'uso cronico di Risperdal. Consiglia loro di consultare cure mediche se sperimentano una delle seguenti: amenorrea o galattorrea nelle femmine disfunzioni erettili o ginecomastia nei maschi. [Vedere AVVERTIMENTOS AND PRECAUZIONI ].
Interferenza con prestazioni cognitive e motorie
ATTENZIONE I pazienti sull'esecuzione di attività che richiedono vigilanza mentale come macchinari pericolosi operativi o utilizzando un veicolo a motore fino a quando non sono ragionevolmente certi che la terapia risperta non li influisce negativamente [vedi AVVERTIMENTOS AND PRECAUZIONI ].
Priapismo
Consiglia ai pazienti la possibilità di erezioni pene dolorose o prolungate (priapismo). Istruire il paziente a cercare cure mediche immediate in caso di priapismo [ AVVERTIMENTOS AND PRECAUZIONI ].
Esposizione al calore e disidratazione
Consulenza ai pazienti in merito alle cure adeguate nell'evitare il surriscaldamento e la disidratazione [vedi AVVERTIMENTOS AND PRECAUZIONI ].
Fenilchetonurici
Informare i pazienti con fenilchetonuria e caregiver che le compresse di disintegrazione per via orale di M-tab riservano contengono fenilalanina. La fenilalanina è un componente di aspartame. Ogni compressa per disintegrazione per via orale M-TAB di 4 mg contiene 0,84 mg di fenilalanina; Ogni compressa per disintegrazione per via orale M-TAB di 3 mg contiene 0,63 mg di fenilalanina; Ogni compressa per disintegrazione per via orale M-TAB di 2 mg contiene 0,42 mg di fenilalanina; Ogni compressa di disintegrazione per via orale M-tab Risperdal 1 mg contiene 0,28 mg di fenilalanina; e ogni compressa con disgregazione per via orale M-tab di 0,5 mg di 0,5 mg contiene 0,14 mg di fenilalanina [vedi AVVERTIMENTOS AND PRECAUZIONI ].
Farmaci concomitanti
Consiglia ai pazienti di informare i loro operatori sanitari se stanno assumendo o pianificano di assumere farmaci da prescrizione o da banco in quanto vi è un potenziale per le interazioni [vedi Interazioni farmacologiche ].
Effetti collaterali del colpo di polmonite 2015
Alcool
Consiglia ai pazienti di evitare l'alcol durante l'assunzione di risperdal [vedi Interazioni farmacologiche ].
Gravidanza
Consiglia ai pazienti di avvisare il proprio operatore sanitario se rimangono in gravidanza o intendono rimanere in gravidanza durante il trattamento con Risperdal. Consiglia ai pazienti che Risperdal può causare sintomi extrapiramidali e/o di astinenza in un neonato. Consiglia ai pazienti che esiste un registro di gravidanza che monitora gli esiti di gravidanza nelle donne esposte a Risperdal durante la gravidanza [vedi Utilizzare in popolazioni specifiche ].
Lattazione
Consiglia alle donne che allattano l'allattamento al seno per monitorare i neonati per la sonnolenza Incapacità di prosperare Sintomi di jitteriness ed extrapiramidali (tremori e movimenti muscolari anormali) e per cercare cure mediche se notano questi segni [vedi Utilizzare in popolazioni specifiche ].
Infertilità
Consigliare le femmine del potenziale riproduttivo secondo cui Risperdal può compromettere la fertilità a causa di un aumento dei livelli sierici di prolattina. Gli effetti sulla fertilità sono reversibili [vedi Utilizzare in popolazioni specifiche ].
Tossicologia non clinica
Mutagenesi della carcinogenesi compromissione della fertilità
Carcinogenesi
Risperidone was administered in the diet at doses of 0.63 2.5 E 10 mg/kg for 18 months to mice E for 25 months to rattos. These doses are equivalent to approximately 0.2 0.75 E 3 times (mice) E 0.4 1.5 E 6 times (rattos) the MRHD of 16 mg/day based on mg/m² body surface area. A maximum tolerattoed dose was not achieved in male mice. There were statistically significant increases in ghiandola pituitaria adenomas endocrine pancreas adenomas E mammary glE adenocarcinomas. The table below summarizes the multiples of the human dose on a mg/m² (mg/kg) basis at which these tumors occurred.
| Tipo di tumore | Specie | Sesso | Multipli di dose umana massima in mg/m² (mg/kg) | |
| Livello di effetto più basso | Livello di Noeffect più alto | |||
| Adenomi pituitari | topo | Femmina | 0,75 (NULL,4) | 0,2 (NULL,4) |
| Adenomi del pancreas endocrino | ratto | Maschio | 1.5 (9.4) | 0.4 (NULL,4) |
| Ghiandola mammaria adenocarcinomi | topo | Femmina | 0,2 (NULL,4) | nessuno |
| ratto | Femmina | 0.4 (NULL,4) | nessuno | |
| ratto | Maschio | 6.0 (37.5) | 1.5 (9.4) | |
| NEOPLASM GLANDA MAMMARY TOTALE | ratto | Maschio | 1.5 (9.4) | 0.4 (NULL,4) |
I farmaci antipsicotici hanno dimostrato di elevare cronicamente i livelli di prolattina nei roditori. I livelli sierici di prolattina non sono stati misurati durante gli studi di cancerogenicità del risperidone; Tuttavia, le misurazioni durante gli studi di tossicità subcronica hanno dimostrato che il risperidone elevava i livelli sierici di prolattina 5-6 volte nei topi e nei ratti alle stesse dosi utilizzate negli studi di cancerogenicità. Un aumento delle neoplasie di pancreas ipofisario mammario ed endocrino è stato riscontrato nei roditori dopo la somministrazione cronica di altri farmaci antipsicotici ed è considerato mediato da prolattina. Non è chiara la rilevanza per il rischio umano dei risultati dei tumori endocrini mediati dalla prolattina nei roditori [vedi AVVERTIMENTOS AND PRECAUZIONI ].
Mutagenesi
Non è stata trovata alcuna evidenza di potenziale mutagenico o clastogenico per il risperidone nei test in vitro della mutazione del gene di Ames il test del linfoma del linfoma del topo di ratto epatocitario DNA-ripair saggio il test di aberrazione cromosomica nei limfociti cinesi di Linfociti umano Drosophila.
Compromissione della fertilità
Risperidone orale (da 0,16 a 5 mg/kg) Accoppiamento compromesso ma non fertilità negli studi riproduttivi del ratto a dosi da 0,1 a 3 volte l'MRHD di 16 mg/giorno basato su una superficie corporea mg/m². L'effetto sembrava essere nelle femmine poiché non è stato notato un comportamento di accoppiamento compromesso nello studio della fertilità maschile. In uno studio subcronico nei cani da beagle in cui il risperidone è stato somministrato per via orale a dosi da 0,31 a 5 mg/kg di motilità dello sperma e la concentrazione sono state ridotte a dosi da 0,6 a 10 volte l'MRHD in base alla superficie corporea mg/m². Le diminuzioni correlate alla dose sono state notate anche nel siero testosterone alle stesse dosi. I parametri sierici di testosterone e sperma si sono parzialmente recuperati ma sono rimasti diminuiti dopo l'interruzione del trattamento. Una dose senza effetto non può essere determinata né nel ratto né nel cane.
Utilizzare in popolazioni specifiche
Gravidanza
Gravidanza Exposure Registry
Esiste un registro di esposizione alla gravidanza che monitora gli esiti di gravidanza nelle donne esposte agli antipsicotici atipici, incluso Risperdal durante la gravidanza. Gli operatori sanitari sono incoraggiati a registrare i pazienti contattando il Registro nazionale della gravidanza per antipsicotici atipici al numero 1-866-961-2388 o online su https://womensmentalhealth.org/clinical-andresearch-programs/pregnancyregistery/.
Riepilogo del rischio
I neonati esposti a farmaci antipsicotici durante il terzo trimestre di gravidanza sono a rischio di sintomi extrapiramidali e/o di astinenza dopo il parto (vedi Considerazioni cliniche ). I dati complessivi disponibili da studi epidemiologici pubblicati sulle donne in gravidanza esposte a Risperidone non hanno stabilito un rischio associato al farmaco di gravi difetti alla nascita di aborto spontaneo o esiti avversi materni o fetali (vedi Dati ). Ci sono rischi per la madre associata a schizofrenia non trattata o disturbo bipolare I e con esposizione agli antipsicotici, incluso Risperdal durante la gravidanza (vedi Considerazioni cliniche ).
La somministrazione orale di risperidone ai topi in gravidanza ha causato palatoschisi a dosi da 3 a 4 volte la dose umana massima raccomandata (MRHD) con tossicità materna osservata a 4 volte MRHD in base alla superficie corporea Mg/m². Il risperidone non era teratogeno nei ratti o nei conigli a dosi fino a 6 volte la MRHD in base alla superficie corporea Mg/m². L'aumento del parto morto e la riduzione del peso alla nascita si sono verificati dopo la somministrazione di risperidone orale a ratti in gravidanza a 1,5 volte la MRHD in base alla superficie corporea mg/m². L'apprendimento è stato compromesso nella prole dei ratti quando le dighe sono state dosate a 0,6 volte la mortalità MRHD e prole è aumentata a dosi da 0,1 a 3 volte l'MRHD in base alla superficie corporea Mg/m².
Il rischio di background stimato di principali difetti alla nascita e aborto spontaneo per la popolazione indicata non è noto. Tutte le gravidanze hanno un rischio di fondo Difetto alla nascita perdita o altri risultati avversi. Nella popolazione generale degli Stati Uniti il rischio di background stimato di gravi difetti alla nascita e aborto in gravidanza clinicamente riconosciuta è rispettivamente del 2-4% e del 15-20%.
Considerazioni cliniche
Rischio materno e/o embrione/o fetale associato alla malattia
Esiste il rischio per la madre della schizofrenia non trattata o del disturbo bipolare I, incluso un aumento del rischio di ricovero in ospedale e suicidio. La schizofrenia e il disturbo bipolare I sono associati ad un aumento degli esiti perinatali avversi, tra cui la nascita pretermine. Non è noto se questo è un risultato diretto della malattia o di altri fattori di comorbilità.
Reazioni avverse fetali/neonatali
Sintomi extrapiramidali e/o di astinenza, incluso l'agitazione ipertonia ipotonia Trema di sonnolenza Sompiratoria e disturbo da alimentazione sono stati segnalati nei neonati che sono stati esposti a farmaci antipsicotici tra cui Risperdal durante il terzo trimestre di gravidanza.
Questi sintomi sono variati in gravità. Monitorare i neonati per i sintomi extrapiramidali e/o di astinenza e gestire i sintomi in modo appropriato. Alcuni neonati si sono ripresi entro ore o giorni senza un trattamento specifico; Altri hanno richiesto un ricovero prolungato.
Dati
Dati umani
I dati pubblicati dagli studi osservazionali registri di nascita e casi clinici sull'uso di antipsicotici atipici durante la gravidanza non riportano una chiara associazione con antipsicotici e principali difetti alla nascita. Uno studio osservazionale prospettico tra cui 6 donne trattate con risperidone ha dimostrato il passaggio placentare del risperidone. Uno studio di coorte retrospettivo di un database Medicaid di 9258 donne esposte agli antipsicotici durante la gravidanza non ha indicato un aumentato rischio complessivo per i principali difetti alla nascita. Vi è stato un piccolo aumento del rischio di gravi difetti alla nascita (RR = 1,26 95% IC 1,02-1,56) e di malformazioni cardiache (RR = 1,26 IC 95% 0,88-1,81) in un sottogruppo di 1566 donne esposte a Risperidone durante il primo trimestre di gravidanza; Tuttavia non esiste un meccanismo d'azione per spiegare la differenza nei tassi di malformazione.
Dati sugli animali
La somministrazione orale di risperidone ai topi in gravidanza durante l'organogenesi ha causato palatoschisi a 10 mg/kg/giorno, che è 3 volte il MRHD di 16 mg/giorno in base alla superficie corporea mg/m²: la tossicità materna si è verificata a 4 volte il MRHD. Risperidone non era teratogenico quando somministrato per via orale ai ratti da 0,6 a 10 mg/kg/die e conigli da 0,3 a 5 mg/kg/giorno che sono fino a 6 volte il MRHD di 16 mg/giorno di risperidone basato sulla superficie corporea Mg/m². L'apprendimento è stato compromesso nella progenie di ratti dososato per via orale durante la gravidanza a 1 mg/kg/giorno, che è 0,6 volte la morte di MRHD e cellule neuronali è aumentata nel cervello fetale della prole dei ratti dosati durante la gravidanza a 1 e 2 mg/kg/giorno che sono 0,6 e 1,2 volte l'MRHD basato sulla superficie del corpo mg/m²; Anche lo sviluppo postnatale e la crescita della prole sono stati ritardati.
La mortalità della prole del ratto è aumentata durante i primi 4 giorni di lattazione quando i ratti in gravidanza sono stati dosato per tutta la gestazione da 0,16 a 5 mg/kg/giorno che sono da 0,1 a 3 volte il MRHD di 16 mg/giorno in base alla superficie corporea mg/m². Non è noto se questi decessi fossero dovuti a un effetto diretto sui feti o sui cuccioli o agli effetti sulle dighe; Non è stato possibile determinare una dose senza effetto. Il tasso di nati morti è stato aumentato a 2,5 mg/kg o 1,5 volte il MRHD in base alla superficie corporea mg/m².
In uno studio di fatturazione incrociata di ratto il numero di prole vive è stato ridotto il numero di nati morti è aumentato e il peso alla nascita è stato ridotto nella prole di ratti in gravidanza trattati con farmaci. Inoltre, il numero di decessi è aumentato del giorno 1 tra la progenie di ratti in gravidanza trattati con farmaci, indipendentemente dal fatto che la prole sia stata o meno fissata. Risperidone sembrava anche compromettere il comportamento materno in quanto l'aumento di peso corporeo della prole e la sopravvivenza (dal giorno 1 a 4 di lattazione) sono stati ridotti in prole nata per il controllo ma allevate da dighe trattate con farmaci. Tutti questi effetti si sono verificati a 5 mg/kg, che è 3 volte MRHD in base a Mg/m² e l'unica dose testata nello studio.
Lattazione
Riepilogo del rischio
Dati limitati dalla letteratura pubblicata riporta la presenza di Risperidone e del suo metabolita 9-idrossirisperidone nel latte materno umano a dose relativa per neonati compresi tra il 2,3% e il 4,7% del dosaggio adeguato al peso materno. Ci sono segnalazioni di incapacità di sedazione di prosperare il nervosismo e i sintomi extrapiramidali (tremori e movimenti muscolari anormali) nei neonati allattati al seno esposti a risperidone (vedi Considerazioni cliniche ). There is no information on the effects of risperidone on milk production. The developmental E health benefits of breastfeeding should be considered along with the mother's clinical need for Risperdal E any potential adverse effects on the breastfed child from Risperdal or from the mother's underlying condition.
Considerazioni cliniche
I bambini esposti a risperti attraverso il latte materno devono essere monitorati per l'incapacità di sedazione in eccesso di prosperare la nervosismo e i sintomi extrapiramidali (tremori e movimenti muscolari anormali).
Femminas And Maschios Of Reproductive Potential
Infertilità
Femminas
Sulla base dell'azione farmacologica del trattamento con risperidone (antagonismo del recettore D2) con Risperdal può comportare un aumento dei livelli sierici di prolattina che può portare a una riduzione reversibile della fertilità nelle femmine del potenziale riproduttivo [vedi AVVERTIMENTOS AND PRECAUZIONI ].
Uso pediatrico
Indicazioni pediatriche approvate
Schizofrenia
L'efficacia e la sicurezza di Risperdal nel trattamento della schizofrenia sono state dimostrate in 417 adolescenti di età compresa tra 13 e 17 anni in due studi controllati a breve termine (6 e 8 settimane) a breve termine (vedi Indicazioni e utilizzo Reazioni avverse E Studi clinici ]. Additional safety E efficacy information was also assessed in one long-term (6-month) open-label extension study in 284 of these adolescent patients with schizofrenia.
Non sono state stabilite sicurezza ed efficacia di Risperdal nei bambini di età inferiore ai 13 anni con schizofrenia.
Disturbo bipolare I.
L'efficacia e la sicurezza di Risperdal nel trattamento a breve termine di episodi acuti maniacali o misti associati al disturbo bipolare I in 169 bambini e pazienti adolescenti di età compresa tra 10 e 17 anni sono stati dimostrati in uno studio di 3 settimane controllato in doppio cieco [vedi Indicazioni e utilizzo Reazioni avverse E Studi clinici ].
Sicurezza ed efficacia di Risperdal nei bambini di età inferiore ai 10 anni bipolare disorder non sono stati stabiliti.
Disturbo autistico
L'efficacia e la sicurezza di Risperdal nel trattamento dell'irritabilità associata al disturbo autistico sono state stabilite in due studi controllati da placebo in doppio cieco di 8 settimane in 156 bambini e pazienti adolescenti di età compresa tra 5 e 16 anni [vedi Indicazioni e utilizzo Reazioni avverse E Studi clinici ]. Additional safety information was also assessed in a long-term study in patients with autistic disorder or in short- E long-term studies in more than 1200 pediatric patients with psychiatric disorders other than autistic disorder schizofrenia or bipolare mania who were of similar age E weight E who received similar dosages of Risperdal as patients treated for irritability associated with autistic disorder.
Un terzo studio è stato uno studio a dosaggio a dose a dose a dose a doppio cieco randomizzato multicentrico a 6 settimane per valutare l'efficacia e la sicurezza di una dose inferiore a quella raccomandata di risperidone nei soggetti di età compresa tra 5 e 17 anni con disturbo autistico e irritabilità associata e sintomi comportamentali correlati. C'erano due dosi fisse a base di peso di risperidone (alte dosi e basse dosi). La dose elevata era di 1,25 mg al giorno per i pazienti che pesavano 20 a <45 kg E it was 1.75 mg per day for patients weighing ≥ 45 kg. The low dose was 0.125 mg per day for patients for patients weighing 20 to < 45 kg E it was 0.175 mg per day for patients weighing ≥ 45 kg. The study demonstrattoed the efficacy of high-dose risperidone but it did not demonstrattoe efficacy for lowdose risperidone.
Reazione avversas In Pediatrico Patients
Dyskinesia tardiva
Negli studi clinici nel 1885 bambini e adolescenti trattati con i pazienti di Risperdal 2 (NULL,1%) hanno avuto discinesia tardiva che si sono risolte alla sospensione del trattamento risperto [vedi anche AVVERTIMENTOS AND PRECAUZIONI ].
Aumento di peso
L'aumento di peso è stato osservato nei bambini e negli adolescenti durante il trattamento con Risperdal. Il monitoraggio clinico del peso è raccomandato durante il trattamento.
Dati derive from short-term placebo-controlled trials E longer-term uncontrolled studies in pediatric patients (ages 5 to 17 years) with schizofrenia bipolare disorder autistic disorder or other psychiatric disorders. In the short-term trials (3 to 8 weeks) the mean aumento di peso for Risperdal-treated patients was 2 kg compared to 0.6 kg for placebo-treated patients. In these trials approximately 33% of the Risperdal group had aumento di peso ≥7% compared to 7% in the placebo group. In longer-term uncontrolled open-label pediatric studies the mean aumento di peso was 5.5 kg at Week 24 E 8 kg at Week 48 [see AVVERTIMENTOS AND PRECAUZIONI E Reazioni avverse ].
Sonnolenza
Sonnolenza was frequently observed in placebo-controlled clinical trials of pediatric patients with autistic disorder. Most cases were mild or moderattoe in severity. These events were most often of early onset with peak incidence occurring during the first two weeks of treatment E transient with a median durattoion of 16 days. Sonnolenza was the most commonly observed adverse reaction in the clinical trial of bipolare disorder in children E adolescents as well as in the schizofrenia trials in adolescents. As was seen in the autistic disorder trials these adverse reactions were most often of early onset E transient in durattoion [see Reazioni avverse ]. Patients experiencing persistent somnolence may benefit from a change in dosing regimen [see Dosaggio e amministrazione ].
Iperprolattinemia
Risperdal has been shown to elevate prolactin levels in children E adolescents as well as in adults [see AVVERTIMENTOS AND PRECAUZIONI ]. In double-blind placebo-controlled studies of up to 8 weeks durattoion in children E adolescents (aged 5 to 17 years) with autistic disorder or psychiatric disorders other than autistic disorder schizofrenia or bipolare mania 49% of patients who received Risperdal had elevated prolactin levels compared to 2% of patients who received placebo. Similarly in placebo-controlled trials in children E adolescents (aged 10 to 17 years) with bipolare disorder or adolescents (aged 13 to 17 years) with schizofrenia 82â€87% of patients who received Risperdal had elevated levels of prolactin compared to 3-7% of patients on placebo. Increases were dose-dependent E generally greater in females than in males across indications.
Negli studi clinici di 1885 bambini e adolescenti Galactorrea è stata segnalata nello 0,8% dei pazienti trattati con risperti e la ginecomastia è stata riportata nel 2,3% dei pazienti trattati con risperti.
Crescita e maturazione sessuale
Gli effetti a lungo termine di Risperdal sulla crescita e sulla maturazione sessuale non sono stati completamente valutati in bambini e adolescenti.
Studi per animali giovanili
I cani giovanili sono stati trattati con risperidone orale dalle settimane da 10 a 50 di età (equivalente al periodo dell'infanzia attraverso l'adolescenza nell'uomo) a dosi di 0,31 1,25 o 5 mg/kg/giorno che sono 1,2 3,4 e 13,5 volte l'MRHD di 6 mg/giorno per bambini basati su Mg/M² Area del corpo. La lunghezza e la densità ossea sono state ridotte con una dose senza effetto di 0,31 mg/kg/die; Questa dose ha prodotto AUC plasmatico di risperidone più il suo paliperidone attivo metabolita (9-idroxyrisperidone) che erano simili a quelli nei bambini e adolescenti che hanno ricevuto il MRHD di 6 mg/die. Inoltre, la maturazione sessuale è stata ritardata a tutte le dosi sia nei maschi che nelle femmine. Gli effetti di cui sopra hanno mostrato poca o nessuna reversibilità nelle femmine dopo un periodo di recupero privo di droghe di 12 settimane.
I ratti giovanili trattati con risperidone orale dai giorni da 12 a 50 di età (equivalenti al periodo dell'infanzia attraverso l'adolescenza nell'uomo) hanno mostrato una compromissione dell'apprendimento e delle prestazioni della memoria (reversibile solo nelle femmine) con una dose senza effetto di 0,63 mg/kg/giorno che è 0,5 volte l'MRHD di 6 mg/giorno per i bambini basati su MG/area del corpo m². Questa dose ha prodotto AUC plasmatico di risperidone più paliperidone circa la metà dell'esposizione osservata negli umani al MRHD. Non sono stati osservati altri effetti coerenti sullo sviluppo neurocomportamentale o riproduttivo fino alla dose più alta di 1,25 mg/kg/giorno che è 1 volta che l'MRHD e hanno prodotto AUC plasmatico di risperidone più paliperidone che erano circa due terzi di quelli osservati nell'uomo all'MRHD di 6 mg/giorno per i bambini.
Uso geriatrico
Studi clinici di Risperdal nel trattamento della schizofrenia non includevano un numero sufficiente di pazienti di età pari o superiore a 65 anni per determinare se rispondono o meno in modo diverso rispetto ai pazienti più giovani. Altra esperienza clinica segnalata non ha identificato differenze nelle risposte tra i pazienti anziani e più giovani. In generale si raccomanda una dose iniziale inferiore per un paziente anziano che riflette una ridotta clearance farmacocinetica negli anziani, nonché una maggiore frequenza di riduzione della funzione renale e cardiaca epatica e di malattia concomitante o altro farmaco [vedi terapia farmacologica [vedi Farmacologia clinica E Dosaggio e amministrazione ]. While elderly patients exhibit a greater tendency to orthostatic ipotensione its risk in the elderly may be minimized by limiting the initial dose to 0,5 mg twice daily followed by careful titrattoion [see AVVERTIMENTOS AND PRECAUZIONI ]. Monitoring of orthostatic vital signs should be considered in patients for whom this is of concern.
Questo farmaco è sostanzialmente escreto dai reni e il rischio di reazioni tossiche a questo farmaco può essere maggiore nei pazienti con funzionalità renale alterata. Poiché è più probabile che i pazienti anziani abbiano una riduzione delle cure di funzionalità renale nella selezione della dose e può essere utile monitorare la funzione renale [vedi Dosaggio e amministrazione ].
Compromissione renale
Nei pazienti con clearance renale da moderata a grave (CLCR da 59 a 15 ml/min) della somma di risperidone e il suo metabolita attivo è diminuita del 60% rispetto ai giovani soggetti sani. Le dosi di Risperdal dovrebbero essere ridotte nei pazienti con malattia renale [vedi Dosaggio e amministrazione ].
Compromissione epatica
Mentre la farmacocinetica del risperidone nei soggetti con malattia epatica era paragonabile a quelli in giovani soggetti sani, la frazione libera media del risperidone nel plasma è stata aumentata di circa il 35% a causa della riduzione della concentrazione di albumina e glicoproteina acida α1. Le dosi di Risperdal dovrebbero essere ridotte nei pazienti con malattia epatica [vedi Dosaggio e amministrazione ].
Pazienti con malattia di Parkinson o demenza del corpo Lewy
I pazienti con malattia di Parkinson o demenza con corpi di Lewy possono sperimentare una maggiore sensibilità a Risperdal. Le manifestazioni possono includere l'instabilità posturale di obtundazione della confusione con i sintomi extrapiramidali delle cadute frequenti e le caratteristiche cliniche coerenti con la sindrome maligna neurolettica.
Abuso e dipendenza da droghe
Sostanza controllata
Risperdal (risperidone) is not a controlled substance.
Abuso
Risperdal has not been systematically studied in animals or humans for its potential for abuse. While the clinical trials did not reveal any tendency for any drug-seeking behavior these observations were not systematic E it is not possible to predict on the basis of this limited experience the extent to which a CNS-active drug will be misused diverted E/or abused once marketed. Consequently patients should be evaluated carefully for a history of drug abuse E such patients should be observed closely for signs of Risperdal misuse or abuse (e.g. development of tolerance increases in dose drug-seeking behavior).
Dipendenza
Risperdal has not been systematically studied in animals or humans for its potential for tolerance or physical dependence.
Informazioni per overdose per risperdal
Esperienza umana
L'esperienza di pre -marketing includeva otto segnalazioni di sovradosaggio acuto risperto con dosi stimate che vanno da 20 a 300 mg e senza incidenti mortali. In generale, i segni e i sintomi segnalati erano quelli derivanti da un'esagerazione degli effetti farmacologici noti del farmaco, cioè sonnollanza e tachicardia di sedazione e ipotensione e sintomi extrapiramidali. Un caso che coinvolgeva un sovradosaggio stimato di 240 mg era associato a iponatriemia iponokalemia QT prolungata e QR ampliato. Un altro caso che coinvolge un sovradosaggio stimato di 36 mg era associato a un attacco.
L'esperienza post -marketing include segnalazioni di overdosage acute risperdal con dosi stimate fino a 360 mg. In generale, i segni e i sintomi più frequentemente riportati sono quelli derivanti da un'esagerazione degli effetti farmacologici noti del farmaco, ovvero la sonnolenza di sedazione di tachicardia ipotensione e sintomi extrapiramidali. Altre reazioni avverse riportate dall'introduzione del mercato relative al sovradosaggio risperta includono intervalli di QT prolungati e convulsioni. Torsade de Pointes è stato riportato in associazione con un sovradosaggio combinato di risperdal e paroxetina.
Gestione del sovradosaggio
Per le informazioni più aggiornate sulla gestione del overdosage di Risperdal contattare un centro di controllo dei veleno certificato (1-800-222-1222 o www.poison.org). Fornire cure di supporto, compresa la stretta supervisione e il monitoraggio medico. Il trattamento dovrebbe consistere in misure generali impiegate nella gestione del sovradosaggio con qualsiasi farmaco. Considera la possibilità di un sovradosaggio di droghe multiple. Garantire un'ossigenazione e una ventilazione adeguate delle vie aeree. Monitorare il ritmo cardiaco e i segni vitali. Usa misure di supporto e sintomatico. Non esiste un antidoto specifico per risperdal.
Controindicazioni per risperdal
Risperdal is contraindicated in patients with a known hypersensitivity to either risperidone or paliperidone or to any of the excipients in the Risperdal formulation. Hypersensitivity reactions including anaphylactic reactions E angioedema have been reported in patients treated with risperidone E in patients treated with paliperidone. Paliperidone is a metabolite of risperidone.
Farmacologia clinica for Risperdal
Meccanismo d'azione
Il meccanismo d'azione del risperidone nella schizofrenia non è chiaro. L'attività terapeutica del farmaco nella schizofrenia potrebbe essere mediata attraverso una combinazione di antagonismo del recettore della dopamina di tipo 2 (D2) e serotonina di tipo 2 (5HT2). L'effetto clinico da Risperidone deriva dalle concentrazioni combinate di risperidone e dal suo principale metabolita 9-idrossirisperidone (paliperidone) [vedi Farmacologia clinica ]. Antagonism at receptors other than D2 E 5HT2 may explain some of the other effects of risperidone [see Farmacologia clinica ].
Farmacodinamica
Risperidone è un antagonista monoaminergico con alta affinità (Ki da 0,12 a 7,3 nm) per i recettori adrenergici e α2 adrenergici e α2 di dopamina di tipo 2 (D2) α1 e α2. Risperidone ha mostrato un'affinità da bassa a moderata (Ki da 47 a 253 nm) per i recettori Serotonina 5HT1C 5HT1D e 5HT1A Affinità debole (Ki da 620 a 800 nm) per il sito di sigma della dopamina D1 e aloperidol-sensibile e nessuna affinità (quando sono testate alle concentrazioni> 10 -5 M) per recettori arenergici muscarinici colinergici o β1 e β2.
Farmacocinetica
Assorbimento
Risperidone is well absorbed. The absolute oral bioavailability of risperidone is 70% (CV=25%). The relative oral bioavailability of risperidone from a tablet is 94% (CV=10%) when compared to a solution.
A cosa è usato il solf di ioscyamina
Gli studi farmacocinetici hanno dimostrato che le compresse di disintegrazione per via orale M-tab Risperdal e la soluzione orale risperta sono bioequivalenti per le compresse risperdali.
Le concentrazioni plasmatiche di risperidone, i suoi principali metaboliti 9-idroxyrisperidone e risperidone più 9-idrossirisperidone sono proporzionali nella gamma di dosaggio da 1 a 16 mg al giorno (da 0,5 a 8 mg due volte al giorno). Dopo la somministrazione orale di soluzione o compressa le concentrazioni plasmatiche di picco di Risperidone si sono verificate a circa 1 ora. Le concentrazioni di picco di 9-idrossyrisperidone si sono verificate a circa 3 ore in ampi metabolizzatori e 17 ore in poveri metabolizzatori. Le concentrazioni stazionarie di risperidone sono raggiunte in 1 giorno in ampi metabolizzatori e ci si aspetterebbe che raggiungano lo stato stazionario in circa 5 giorni in poveri metabolizzatori. Le concentrazioni di stato stazionario di 9-idrossyrisperidone sono raggiunte in 5-6 giorni (misurate in metabolizzatori estesi).
Effetto alimentare
Il cibo non influisce né il tasso né l'estensione dell'assorbimento di Risperidone. Quindi risperdal può essere somministrato con o senza pasti.
Distribuzione
Risperidone is rapidly distributed. The volume of distribution is 1-2 L/kg. In plasma risperidone is bound to albumin E α1-acid glycoprotein. The plasma protein binding of risperidone is approximately 90% E that of its major metabolite 9-hydroxyrisperidone is 77%. Neither risperidone nor 9-hydroxyrisperidone displaces each other from plasma binding sites. High therapeutic concentrattoions of sulfamethazine (100 mcg/mL) warfarin (10 mcg/mL) E carbamazepine (10mcg/mL) caused only a slight increase in the free fraction of risperidone at 10 ng/mL E 9-hydroxyrisperidone at 50 ng/mL changes of unknown clinical significance.
Eliminazione
Metabolismo
Risperidone is extensively metabolized in the liver. The main metabolic pathway is through hydroxylation of risperidone to 9-hydroxyrisperidone by the enzyme CYP 2D6. A minor metabolic pathway is through N-dealkylation. The main metabolite 9-hydroxyrisperidone has similar pharmacological activity as risperidone. Consequently the clinical effect of the drug results from the combined concentrattoions of risperidone plus 9-hydroxyrisperidone.
Il CYP 2d6 chiamato anche debrisochin idrossilasi è l'enzima responsabile del metabolismo di molti neurolettici antidepressivi antiaritmica e altri farmaci. Il CYP 2D6 è soggetto a genetica polimorfismo (circa il 6% -8% dei caucasici e una percentuale molto bassa di asiatici hanno poco o nessuna attività e sono poveri metabolizzatori) e per l'inibizione da parte di una varietà di substrati e alcuni non sottoprossi in particolare chinidina. Gli estesi metabolizzatori del CYP 2D6 convertono rapidamente il Risperidone in 9-idroxyrisperidone mentre i poveri metabolizzatori del CYP 2d6 lo convertono molto più lentamente. Sebbene i metabolizzatori estesi abbiano un risperidone inferiore e un 9-idrossirisperidone più elevato Concentrazioni rispetto ai poveri metabolizzatori La farmacocinetica di Risperidone e 9-idrossirisperidone combinate dopo dosi singoli e multiple sono simili in ampie e scarse metabolizzatori.
Escrezione
Risperidone E its metabolites are eliminated via the urine E to a much lesser extent via the feces. As illustrattoed by a mass balance study of a single 1 mg oral dose of 14 C-Risperidone somministrato come soluzione a tre volontari maschi sani il recupero totale della radioattività a 1 settimana era dell'84% di cui il 70% nelle urine e il 14% nelle feci.
L'emivita apparente di Risperidone è stata di 3 ore (CV = 30%) in ampi metabolizzatori e 20 ore (CV = 40%) in poveri metabolizzatori. L'emivita apparente del 9-idrossirisperidone era di circa 21 ore (CV = 20%) in ampi metabolizzatori e 30 ore (CV = 25%) in poveri metabolizzatori. La farmacocinetica di Risperidone e 9-idrossirisperidone combinate dopo dosi singoli e multiple erano simili in metabolizzatori estesi e poveri con un'emivita di eliminazione media complessiva di circa 20 ore.
Studi sull'interazione farmacologica
Risperidone could be subject to two kinds of drug-drug interactions. First inhibitors of CYP 2D6 interfere with conversion of risperidone to 9-hydroxyrisperidone [see Interazioni farmacologiche ]. This occurs with quinidine giving essentially all recipients a risperidone pharmacokinetic profile typical of poor metabolizzatori. The therapeutic benefits E adverse effects of risperidone in patients receiving quinidine have not been evaluated but observations in a modest number (n≅70) of poor metabolizers given Risperdal do not suggest important differences between poor E extensive metabolizzatori. Second co-administrattoion of known enzyme inducers (e.g. carbamazepine phenytoin rifampin E fenobarbital) with Risperdal may cause a decrease in the combined plasma concentrattoions of risperidone E 9-hydroxyrisperidone [see Interazioni farmacologiche ]. It would also be possible for risperidone to interfere with metabolism of other drugs metabolized by CYP 2D6. Relatively weak binding of risperidone to the enzyme suggests this is unlikely [see Interazioni farmacologiche ].
Studi in vitro indicano che il risperidone è un inibitore relativamente debole del CYP 2D6. Pertanto non si prevede che Risperdal inibirà sostanzialmente la clearance di farmaci che sono metabolizzati da questo percorso enzimatico. Negli studi di interazione farmacologica Risperdal non ha influenzato in modo significativo la farmacocinetica di Donepezil e galantamina che sono metabolizzate dal CYP 2D6.
Studi in vitro hanno dimostrato che i farmaci metabolizzati da altri isozimi del CYP tra cui 1A1 1A2 2C9 2C19 e 3A4 sono solo deboli inibitori del metabolismo del risperidone.
Popolazioni specifiche
Renale ed epatico permanenza
[Vedere Utilizzare in popolazioni specifiche ].
Anziano
Nei soggetti anziani sani sia la clearance renale di risperidone che 9-idrossyrisperidone è stata ridotta e le emivite di eliminazione sono state prolungate rispetto ai giovani soggetti sani. Il dosaggio deve essere modificato di conseguenza nei pazienti anziani [vedi Utilizzare in popolazioni specifiche ].
Pediatrico
La farmacocinetica di risperidone e 9-idrossirisperidone nei bambini era simile a quelli degli adulti dopo aver corretto la differenza di peso corporeo.
Effetti di razza e genere
Non è stato condotto alcun studio di farmacocinetico specifico per studiare gli effetti di razza e genere, ma un'analisi farmacocinetica della popolazione non ha identificato differenze importanti nella disposizione del risperidone a causa del genere (corretto per il peso corporeo o meno).
Studi clinici
Schizofrenia
Adulti
Efficacia a breve termine
L'efficacia di Risperdal nel trattamento della schizofrenia è stata istituita in quattro studi controllati a breve termine (da 4 a 8 settimane) di pazienti psicotici che hanno soddisfatto i criteri DSM-III-R per la schizofrenia.
Numerosi strumenti sono stati usati per valutare segni e sintomi psichiatrici in questi studi tra questi la breve scala di valutazione psichiatrica (BPRS) un inventario multitema di psicopatologia generale tradizionalmente utilizzata per valutare gli effetti del trattamento farmacologico nella schizofrenia. Il cluster di psicosi BPRS (comportamento allucinatorio della disorganizzazione concettuale sospetto e contenuto di pensiero insolito) è considerato un sottoinsieme particolarmente utile per valutare i pazienti schizofrenici attivamente psicotici. Una seconda valutazione tradizionale L'impressione clinica globale (CGI) riflette l'impressione di un osservatore qualificato pienamente familiare con le manifestazioni della schizofrenia sullo stato clinico complessivo del paziente. Inoltre, sono state impiegate la scala della sindrome positiva e negativa (PANSS) e la scala per la valutazione dei sintomi negativi (SAN).
Seguono i risultati delle prove:
- In uno studio controllato con placebo di 6 settimane (n = 160) che coinvolge la titolazione di Risperdal in dosi fino a 10 mg/die (programma due volte al giorno) Risperdal era generalmente superiore al placebo sul punteggio totale BPRS sul cluster di psicosi BPRS e marginalmente superiore al placebo sugli SAN.
- In una prova controllata con placebo di 8 settimane (n = 513) che coinvolge 4 dosi fisse di risperdal (2 mg/giorno 6 mg/giorno 10 mg/giorno e 16 mg/giorno su un programma due volte al giorno) di tutti e 4 i gruppi Risperdal erano generalmente superiori al placebo BPRS sul punteggio totale della psicosi BPRS cluster e il punteggio di severità CGI; I 3 gruppi di dose Risperdal più alti erano generalmente superiori al placebo sulla sottoscala negativa PANSS. Le risposte più costantemente positive su tutte le misure sono state osservate per il gruppo di dose da 6 mg e non vi è stato alcun suggerimento di un maggiore beneficio da dosi più grandi.
- UN
- In uno studio di confronto della dose controllata da placebo di 4 settimane (n = 246) che coinvolge 2 dosi fisse di risperdal (4 e 8 mg/giorno su un programma una volta al giorno) entrambi i gruppi di dose Risperdal erano generalmente superiori a Placebo su diverse misure PANSS, tra cui una misura di risposta (> 20% di riduzione del PANSS totale) punteggio totale e della psicosi BPRS (Deriss da PANSS). I risultati erano generalmente più forti per gli 8 mg rispetto al gruppo di dose da 4 mg.
Efficacia a lungo termine
In uno studio a lungo termine 365 pazienti ambulatoriali per adulti che soddisfano prevalentemente criteri DSM-IV per la schizofrenia e che erano stati clinicamente stabili per almeno 4 settimane su un farmaco antipsicotico sono stati randomizzati a Risperdal (2-8 mg/giorno) o a un comparatore attivo per 1 a 2 anni di osservazione per la recidiva. I pazienti che hanno ricevuto Risperdal hanno subito un tempo significativamente più lungo di ricadere in questo periodo di tempo rispetto a quelli che hanno ricevuto il comparatore attivo.
Pediatria
L'efficacia di Risperdal nel trattamento della schizofrenia negli adolescenti di 13 anni è stata dimostrata in due studi controllati in doppio cieco (6 e 8 settimane) a breve termine. Tutti i pazienti hanno soddisfatto i criteri diagnostici DSM-IV per la schizofrenia e stavano vivendo un episodio acuto al momento dell'iscrizione. Nel primo studio (studio
I risultati degli studi hanno dimostrato l'efficacia di Risperdal in tutti i gruppi di dose da 1-6 mg/giorno rispetto al placebo misurato dalla significativa riduzione del punteggio totale PANSS. L'efficacia sul parametro primario nel gruppo 1-3 mg/giorno era paragonabile al gruppo 4-6 mg/giorno nello studio
Mania bipolare - Monoterapia
Adulti
L'efficacia di Risperdal nel trattamento di episodi acuti maniacali o misti è stata stabilita in due studi a breve termine (3 settimane) controllati con placebo in pazienti che hanno soddisfatto i criteri DSM-IV per il disturbo bipolare I con episodi maniacali o misti. Questi studi includevano pazienti con o senza caratteristiche psicotiche.
The primary rating instrument used for assessing manic symptoms in these trials was the Young Mania Rating Scale (YMRS) an 11-item clinician-rated scale traditionally used to assess the degree of manic symptomatology (irritability disruptive/aggressive behavior sleep elevated mood speech increased activity sexual interest language/thought disorder thought content appearance and insight) in a range from 0 (no manic features) to 60 (maximum score). L'outcome primario di questi studi è stato il cambiamento rispetto al basale nel punteggio totale YMRS. Seguono i risultati delle prove:
- In uno studio controllato con placebo di 3 settimane (n = 246) limitato ai pazienti con episodi maniacali che hanno comportato una gamma di dose di Risperdal 1-6 mg/giorno una volta al giorno a partire da 3 mg/die (la dose modale media era di 4,1 mg/die) Risperior era superiore al placebo nella riduzione del punteggio totale YMRS.
- In un'altra prova controllata con placebo di 3 settimane (n = 286) che prevedeva un intervallo di dose di 1-6 mg/giorno una volta al giorno a partire da 3 mg/die (la dose modale media era di 5,6 mg/die) risperta era superiore al placebo nella riduzione del punteggio totale YMRS.
Pediatria
L'efficacia di Risperdal nel trattamento della mania nei bambini o negli adolescenti con disturbo bipolare I è stata dimostrata in uno studio multicentrico randomizzato in doppio cieco di 3 settimane a doppio cieco di Disorder Iibital di Placebo controllato con placebo. I pazienti sono stati randomizzati in uno dei tre gruppi di trattamento: risperdal 0,5-2,5 mg/giorno (n = 50 dose modale media = 1,9 mg) risperdal 3-6 mg/giorno (n = 61 dose modale media = 4,7 mg) o placebo (n = 58). In tutti i casi sono stati avviati farmaci per lo studio a 0,5 mg/die e titolato alla gamma di dosaggio target entro il giorno 7 con ulteriori aumenti del dosaggio alla dose massima tollerata all'interno della gamma di dose mirata entro il giorno 10. Lo strumento di valutazione primario utilizzato per valutare l'efficacia in questo studio era la modifica media dalla linea basale nel punteggio totale YMRS.
I risultati di questo studio hanno dimostrato l'efficacia di Risperdal in entrambi i gruppi di dose rispetto al placebo misurato mediante una significativa riduzione del punteggio YMRS totale. L'efficacia sul parametro primario nel gruppo di dose 3-6 mg/giorno era paragonabile al gruppo di dose 0,5-2,5 mg/giorno. Dosi superiori a 2,5 mg/die non hanno rivelato alcuna tendenza verso una maggiore efficacia.
Mania bipolare †Terapia aggiuntiva With Litio Or Valproato
L'efficacia di Risperdal con litio o valproato concomitante nel trattamento di episodi maniacali o misti acuti è stata stabilita in uno studio controllato in pazienti adulti che soddisfacevano i criteri DSMIV per il disturbo bipolare I. Questo studio includeva pazienti con o senza caratteristiche psicotiche e con o senza un corso di ciclismo rapido.
- In questa prova combinata controllata con placebo di 3 settimane 148 in o pazienti ambulatoriali sulla terapia di litio o valproato con sintomi maniacali o misti inadeguatamente controllati sono stati randomizzati a ricevere il placebo risperto o un comparatore attivo in combinazione con la loro terapia originale. Risperdal in un intervallo di dose di 1-6 mg/giorno una volta al giorno a partire da 2 mg/die (dose modale media di 3,8 mg/giorno) combinata con litio o valproato (in un intervallo terapeutico di 0,6 Meq/L a 1,4 Meq/L o 50 mcg/ml a 120 mcg/ml rispettivamente.
- In una seconda prova combinata controllata con placebo di 3 settimane 142 in via di pazienti su toproato di litio o terapia con carbamazepina con sintomi maniacali o misti inadeguatamente controllati sono stati randomizzati a ricevere risperdali o placebo in combinazione con la loro terapia originale. Risperdal in un intervallo di dose di 1-6 mg/giorno una volta al giorno a partire da 2 mg/giorno (dose modale media di 3,7 mg/giorno) combinata con valproato di litio o carbamazepina (in gamme terapeutiche di 0,6 meq/l a 1,4 meq/l per litio 50 mcg/ml a 125 mcg/ml per vance per 4-12 per 4-12 per 4-12 per 4-12 per 4-12 per 4-12 per 4-12 MCG/ML da 0,6 meq/l a 1,4 meq/l per litio 50 mcg/ml a 125 mcg/ml per valori o 4-12 rispettivamente la carbamazepina) non era superiore al solo valproato di litio o alla carbamazepina nella riduzione del punteggio totale YMRS. Una possibile spiegazione per il fallimento di questo studio è stata l'induzione di risperidone e clearance del 9-idrossirisperidone da parte della carbamazepina che porta a livelli subterapeutici di risperidone e 9-idrossirisperidone.
Irritabilità associata al disturbo autistico
Efficacia a breve termine
L'efficacia di Risperdal nel trattamento dell'irritabilità associata al disturbo autistico è stata stabilita in due studi controllati con placebo di 8 settimane in bambini e adolescenti (di età compresa tra 5 e 16 anni) che hanno soddisfatto i criteri DSM-IV per il disturbo autistico. Oltre il 90% di questi soggetti aveva meno di 12 anni e la maggior parte ha pesato oltre 20 kg (16-104,3 kg).
L'efficacia è stata valutata utilizzando due scale di valutazione: l'elenco di controllo del comportamento aberrante (ABC) e la scala clinica di impressione globale - cambiamento (CGI -C). L'outcome primario in entrambi gli studi era la variazione dal basale all'endpoint nella sottoscala dell'irritabilità dell'ABC (ABC-I). La sottoscala ABC-I ha misurato i sintomi emotivi e comportamentali di autismo Compresa l'aggressività verso gli altri deliberati di autolesibilità e gli umori che cambiano rapidamente. La valutazione CGI-C all'endpoint era una misura co-primaria in uno degli studi.
I risultati di queste prove sono i seguenti:
- In uno dei prove controllate con placebo di 8 settimane, bambini e adolescenti con disturbo autistico (n = 101) di età compresa tra 5 e 16 anni hanno ricevuto dosi due volte al giorno di placebo o risperdal 0,5-3,5 mg/die su base regolata di peso. Risperdal a partire da 0,25 mg/die o 0,5 mg/die a seconda del peso basale ( <20 kg E ≥ 20 kg respectively) E titrattoed to clinical response (mean modal dose of 1.9 mg/day equivalent to 0.06 mg/kg/day) significantly improved scores on the ABC-I subscale E on the CGI-C scale compared with placebo.
- Nell'altro studio controllato con placebo di 8 settimane su bambini con disturbo autistico (n = 55) di età compresa tra 5 e 12 anni Risperdal da 0,02 a 0,06 mg/kg/giorno somministrato una o due volte al giorno a partire da 0,01 mg/kg/giorno in grado di essere migliorato in una risposta clinica: la risposta clinica: la dose media di 0,05 mg/kg/kg a partire da 1,4 mg/giorno in modo significativo al giorno di dose clinica. sottoscala rispetto al placebo.
Un terzo studio è stato uno studio a dose a dose a dose a dosaggio a doppio cieco randomizzato a 6 settimane per valutare l'efficacia e la sicurezza di una dose inferiore a quella raccomandata di risperidone nei soggetti (n = 96) da 5 a 17 anni con disturbo autistico (definito dai criteri DSM-IV) e Â
C'erano due dosi fisse a base di peso di risperidone (alte dosi e basse dosi). La dose elevata era di 1,25 mg al giorno per i pazienti che pesavano 20 a <45 kg and it was 1.75 mg per day for patients weighing> 45 kg. La dose bassa era di 0,125 mg al giorno per i pazienti che pesavano 20 a <45 kg and it was 0.175 mg per day for patients weighing> 45 kg. La dose è stata somministrata una volta al giorno al mattino o la sera se si è verificata la sedazione.
L'endpoint di efficacia primaria era il cambiamento medio nella sottospettazione della controllo della controllo del comportamento del comportamento aberrante (ABC-I) dal basale alla fine della settimana 6. Lo studio ha dimostrato l'efficacia del risperidone ad alte dosi misurata dalla variazione media del punteggio ABC-I. Non ha dimostrato l'efficacia per il risperidone a basso dosaggio. I punteggi ABC-I di base medi erano 29 nel gruppo placebo (n = 35) 27 nel gruppo a basso dosaggio Risperidone (n = 30) e 28 nel gruppo Highdose di Risperidone (n = 31). I cambiamenti medi nei punteggi ABC -I sono stati rispettivamente -3,5 -7,4 e -12,4 nel gruppo a basso dosaggio e ad alte dosi. I risultati nel gruppo ad alte dosi erano statisticamente significativi (P <0.001) but not in the low-dose group (p=0.164).
Efficacia a lungo termine
Dopo il completamento del primo studio in doppio cieco di 8 settimane, 63 pazienti sono entrati in un'estensione dello studio in aperto in cui sono stati trattati con Risperdal per 4 o 6 mesi (a seconda che abbiano ricevuto risperti o placebo nello studio in doppio cieco). Durante questo periodo di trattamento con etichette aperte, i pazienti sono stati mantenuti su una dose modale media di Risperdal di 1,8-2,1 mg/giorno (equivalente a 0,05-0,07 mg/kg/giorno).
I pazienti che hanno mantenuto la loro risposta positiva a Risperdal (la risposta è stata definita come un miglioramento ≥ 25% sulla sottoscala ABC-I e una valutazione CGI-C di Mio migliorate in media sono state randomizzate per circa 140 giorni in media) durante la fase di trattamento di 4-6 mesi) durante la fase di guarigione di 4-6 mesi) (n = 39 dei 63 pazienti). Un'analisi intermedia pre-pianificata dei dati dei pazienti che ha completato lo studio di astinenza (n = 32) intrapreso da una commissione di monitoraggio della sicurezza dei dati indipendente ha dimostrato un tasso di recidiva significativamente più basso nel gruppo Risperdal rispetto al gruppo placebo. Sulla base dei risultati di analisi intermedio, lo studio è stato interrotto a causa della dimostrazione di un effetto statisticamente significativo sulla prevenzione delle recidive. La ricaduta è stata definita come un peggioramento ≥ 25% sulla valutazione più recente della sottoscala ABC-I (in relazione al basale della fase di prelievo randomizzata).
Informazioni sul paziente per risperdal
Nessuna informazione fornita. Si prega di fare riferimento a AVVERTIMENTOS AND PRECAUZIONI sezione.