Le Informazioni Presenti Sul Sito Non Costituiscono Consulenza Medica. Non Vendiamo Nulla. L'Accuratezza Della Traduzione Non È Garantita. Disclaimer
Anticonvulsiranti, altroQudexy Xr
Riepilogo della droga
Cos'è Qudexy XR?
Qudexy XR (topiramato) a rilascio prolungato è una medicina antiseizure usata per trattare alcuni tipi di convulsioni (convulsioni ad insorgenza parziale e convulsioni toniche-cloniche generalizzate primarie negli adulti e bambini di età e sequestri più anziani e ad altri medicinali per trattare alcuni tipi di convulsioni in insufficienza parziale) adulti e bambini dai 2 anni in su.
Quali sono gli effetti collaterali di Qudexy XR?
Qudexy Xr
- orticaria
- Difficoltà a respirare
- gonfiore della lingua o della gola
- febbre
- mal di gola
- occhi ardenti
- Dolore della pelle
- Eruzione cutanea rossa o viola con vesciche e peeling
- Mood o comportamento cambia
- ansia
- attacchi di panico
- difficoltà a dormire
- comportamento impulsivo
- irritabilità
- agitazione
- ostilità
- aggressione
- irrequietezza
- iperattività (mentalmente o fisicamente)
- depressione
- Pensieri di autolesionismo
- eruzione cutanea (non importa quanto mite)
- Problemi di visione
- visione sfocata
- Dolore agli occhi o arrossamento
- perdita di visione improvvisa
- confusione
- Problemi con il pensiero o la memoria
- difficoltà a concentrarsi
- Problemi con il discorso
- diminuzione della sudorazione
- febbre alta
- pelle calda e secca
- grave dolore alla tua parte o alla parte bassa della schiena
- minzione dolorosa o difficile
- battiti cardiaci irregolari
- stanchezza
- perdita di appetito
- fiato corto
- vomito
- debolezza inspiegabile e
- Accendino
Ottieni subito assistenza medica se hai uno qualsiasi dei sintomi sopra elencati.
Gli effetti collaterali comuni di Qudexy XR includono:
- formicolio di braccia e gambe
- movimenti irregolari degli occhi
- perdita di appetito
- nausea
- indigestione
- Cambiamenti nel gusto
- diarrea
- perdita di peso
- nervosismo
- fatica
- vertigini
- Difficoltà a concentrarsi
- confusione
- Problemi dell'umore
- arrossamento
- infezione del tratto respiratorio superiore
- aumento di peso
- Problemi di memoria
- sonnolenza
- infezione
- depressione
- insonnia
- debolezza
- ansia
- intorpidimento
- Problemi con il coordinamento
- stipsi
- bronchite
- rinorrea
- perdita di capelli
- prurito
- eruzione cutanea
- febbre
- Dolore alle gambe
- spasmo muscolare
- bocca secca
- Diminuzione del desiderio sessuale
- nascosto
- sanguinamento vaginale
- dolore al petto
- Sensazione di rotazione (Vertigo)
- Reflusso gastroesofageo (GERD)
- anemia
- fiato corto
- infezione del seno
- acne
- minzione dolorosa o difficile
- frequenza urinaria
- Incontinenza urinaria o
- Infezione del tratto urinario.
Cerca cure mediche o chiama il 911 contemporaneamente se hai i seguenti gravi effetti collaterali:
- Sintomi di occhiali gravi come la perdita di visione improvvisa del tunnel della visione sfocata Dolore alla visione o gonfiore o vedere aloni attorno alle luci;
- Sintomi cardiaci gravi come battiti cardiaci irregolari o martellanti veloci; svolazzando nel petto; fiato corto; e improvviso vertigini giuria o svenuta;
- Grave mal di testa confusione Il braccio del linguaggio bloccato o la debolezza delle gambe problemi perdite perdita di coordinamento sentendoti instabili muscoli molto rigidi ad alta febbre abbondante sudorazione o tremori.
Questo documento non contiene tutti i possibili effetti collaterali e altri possono verificarsi. Verificare con il tuo medico ulteriori informazioni sugli effetti collaterali.
Dosaggio per qudexy xr
La dose iniziale iniziale raccomandata di Qudexy XR è compresa tra 25 e 50 mg al giorno aumentata a 200 a 400 mg al giorno. La dose pediatrica è determinata dal peso del bambino.
Quali sostanze o integratori di farmaci interagiscono con Qudexy XR?
Qudexy XR può interagire con la metformina; acido valproico; fenitoina; Carbamazepina; altri inibitori dell'anidrasi carbonica; litio; eventuali medicinali che compromettono o riducono la concentrazione di pensiero o la coordinazione muscolare; pillole anticoncezionali; medicinali usati per prevenire convulsioni; o qualsiasi altro inibitore dell'anidrasi carbonica. Dì al medico tutti i farmaci e gli integratori che usi.
Qudexy XR durante la gravidanza e l'allattamento al seno
Qudexy XR non è consigliabile per l'uso durante la gravidanza. Può danneggiare un feto. Le donne dovrebbero usare il controllo delle nascite durante l'assunzione di Qudexy XR. Se rimani incinta dillo immediatamente al medico. I pazienti sono incoraggiati ad arruolarsi nel registro di gravidanza antiepilettico nordamericano (NAAED) se rimangono incinta. Gli effetti di questo farmaco sui neonati infermieristici sono sconosciuti. Consulta il medico prima dell'allattamento al seno. Se hai epilessia E smetti di prendere all'improvviso Qudexy Xr potresti avere convulsioni che non si fermano.
Ulteriori informazioni
Il nostro Centro farmacologico a rilascio prolungato di Qudexy XR (Topiramato) fornisce una visione completa delle informazioni disponibili sui farmaci sui potenziali effetti collaterali quando si assume questo farmaco.
Informazioni sui farmaci FDA
- Descrizione del farmaco
- Indicazioni
- Effetti collaterali
- Interazioni farmacologiche
- Avvertimenti
- Overdose
- Farmacologia clinica
- Guida ai farmaci
Descrizione per qudexy xr
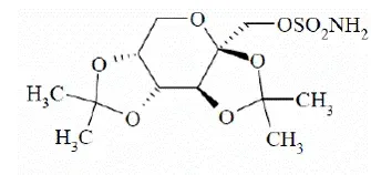
Topiramato USP è un monosaccaride sostituito da solfamato. Qudexy XR (topiramato) Capsule a rilascio esteso sono disponibili come capsule da 25 mg 50 mg 100 mg 150 mg e 200 mg per amministrazione orale come capsule intere o aperte e spruzzate su un cucchiaio di cibi morbidi.
Topiramato è una polvere da bianco a bianco sporco. Il topiramato è liberamente solubile in solventi organici polari come acetonitrile e acetone; e molto leggermente solubile a praticamente insolubile in solventi organici non polari come esani. Topiramato ha la formula molecolare C 12 H 21 NO 8 S e un peso molecolare di 339,4. Il topiramato è designato chimicamente come 23: 45-di-o-isopropilidene-β-D-frutopiranosio sulfamato e ha la seguente formula strutturale:
| |
Qudexy XR (topiramato) Le capsule a rilascio esteso contengono perle di topiramato in una capsula. Gli ingredienti inattivi sono microcristallini cellulosio ipromellosio 2910 etilcellulosa dietil ftalato.
Inoltre, i gusci di capsule per tutti i punti di forza contengono l'ossido di ferro rosso di ferro nero di icpromellosio 2910 ossido di ferro rosso e/o ossido di ferro giallo inchiostro farmaceutico nero e inchiostro farmaceutico bianco (solo 200 mg).
Usi per qudexy xr
Epilessia monoterapia
La qudexy XR è indicata come monoterapia iniziale per il trattamento di convulsioni toniche-cloniche generalizzate ad esordio parziale o primario in pazienti di età pari o superiore a 2 anni.
Epilessia di terapia aggiuntiva
La qudexy XR è indicata come terapia aggiuntiva per il trattamento di convulsioni ad esordio parziale convulsioni e convulsioni toniche-cloniche generalizzate primarie associate alla sindrome di Lennox-Gastaut in pazienti di età pari o superiore a 2 anni.
Emicrania
La qudexy XR è indicata per il trattamento preventivo dell'emicrania nei pazienti di età pari o superiore a 12 anni.
Dosaggio per qudexy xr
Dosarsi in monoterapia epilessia
Adulti e pazienti pediatrici di età pari o superiore a 10 anni
La dose raccomandata per la monoterapia qudexy XR negli adulti e nei pazienti pediatrici di età pari o superiore a 10 anni è di 400 mg per via orale una volta al giorno. Titolare qudexy xr secondo il seguente programma (vedere la tabella 1).
Tabella 1: programma di titolazione della monoterapia per adulti e pazienti pediatrici di età pari o superiore a 10 anni
| Qudexy xr una volta dose al giorno | |
| Settimana 1 | 50 mg |
| Settimana 2 | 100 mg |
| Settimana 3 | 150 mg |
| Settimana 4 | 200 mg |
| Settimana 5 | 300 mg |
| Settimana 6 | 400 mg |
Pazienti pediatrici da 2 a 9 anni di età
Il dosaggio nei pazienti di età compresa tra 2 e 9 anni si basa sul peso. Durante il periodo di titolazione la dose iniziale di Qudexy XR è di 25 mg/giorno di notte per la prima settimana. In base alla tollerabilità, il dosaggio può essere aumentato a 50 mg/die nella seconda settimana. Il dosaggio può essere aumentato di 25 mg a 50 mg una volta al giorno ogni settimana successiva tollerata. La titolazione alla dose minima di mantenimento dovrebbe essere tentata per oltre 5-7 settimane. Sulla base della tollerabilità e della risposta clinica aggiuntiva a una dose più elevata (fino alla massima dose di mantenimento) può essere tentata da 25 mg a 50 mg una volta incrementi settimanali al giorno. La dose giornaliera totale non deve superare la massima dose di mantenimento per ciascun intervallo di peso corporeo (vedere la tabella 2).
Tabella 2: dosaggio totale di mantenimento giornaliero target monoterapia per i pazienti da 2 a 9 anni di età
| Peso (kg) | Dose giornaliera totale (mg/giorno) Dose minima di mantenimento | Dose giornaliera totale (mg/giorno) Dose di manutenzione massima |
| Fino a 11 | 150 | 250 |
| 12 a 22 | 200 | 300 |
| 23-31 | 200 | 350 |
| 32 a 38 | 250 | 350 |
| Maggiore di 38 | 250 | 400 |
Dosarsi in terapia aggiuntiva epilessia
Adulti (di età pari o superiore a 17 anni)
La dose giornaliera totale raccomandata di Qudexy XR come terapia aggiuntiva negli adulti con convulsioni parziali o sindrome di Lennox-Gastaut è di 200 mg a 400 mg per via orale una volta al giorno e con convulsioni toniche generalizzate primarie sono 400 mg oralmente una volta al giorno. Iniziare la terapia da 25 mg a 50 mg una volta al giorno seguito da titolazione a una dose efficace con incrementi da 25 mg a 50 mg ogni settimana. La titolazione di incrementi di 25 mg/giorno ogni settimana può ritardare il tempo per raggiungere una dose efficace. Dosi superiori a 400 mg/die non hanno dimostrato di migliorare le risposte negli adulti con convulsioni ad esordio parziale.
Pazienti pediatrici da 2 a 16 anni di età
La dose giornaliera totale raccomandata di Qudexy XR come terapia aggiuntiva per i pazienti pediatrici di età compresa tra 2 e 16 anni con convulsioni ad esordio parziale convulsioni o convulsioni toniche generalizzate primarie o convulsioni associate alla sindrome di Lennox-Gastaut è di circa 5 mg/kg a 9 mg/kg oralmente una volta al giorno. Inizia la titolazione a 25 mg una volta al giorno (o meno in base a un intervallo di 1 mg/kg/giorno a 3 mg/kg/giorno) dato notturno per la prima settimana. Successivamente aumentare il dosaggio a intervalli di 1 o 2 settimane con incrementi di 1 mg/kg/giorno a 3 mg/kg/giorno per ottenere una risposta clinica ottimale. La titolazione della dose dovrebbe essere guidata dall'esito clinico. La dose giornaliera totale non deve superare i 400 mg/die.
Dosarsi per il trattamento preventivo dell'emicrania
La dose giornaliera totale raccomandata di Qudexy XR come trattamento per il trattamento preventivo dell'emicrania in pazienti di età pari o superiore a 12 anni è di 100 mg una volta al giorno. Il tasso di titolazione raccomandato per Qudexy XR per il trattamento preventivo dell'emicrania è il seguente: Tabella 3: Trattamento preventivo dell'emicrania titratio
Tabella 3: trattamento preventivo dell'emicrania per i pazienti di età pari o superiore a 12 anni
| Qudexy xr una volta dose al giorno | |
| Settimana 1 | 25 mg |
| Settimana 2 | 50 mg |
| Settimana 3 | 75 mg |
| Settimana 4 | 100 mg |
Il tasso di dose e titolazione dovrebbe essere guidato dall'esito clinico. Se richiesto è possibile utilizzare intervalli più lunghi tra la regolazione della dose.
Dosarsi in pazienti con compromissione renale
Nei pazienti con compromissione renale (clearance della creatinina inferiore a 70 ml/min/1,73 m 2 ) Si consiglia la metà della solita dose per adulti di Qudexy XR [vedi Utilizzare in popolazioni specifiche E Farmacologia clinica ].
Dosaggio in pazienti sottoposti a emodialisi
Per evitare rapide gocce nella concentrazione plasmatica di topiramato durante l'emodialisi una dose supplementare di qudexy XR. La regolazione effettiva dovrebbe tener conto di 1) la durata del periodo di dialisi 2) il tasso di gioco del sistema di dialisi utilizzato e 3) l'effettiva clearance renale del topiramato nel paziente dializzato [vedi Utilizzare in popolazioni specifiche E Farmacologia clinica ].
Istruzioni di amministrazione
Le capsule Qudexy XR possono essere inghiottite o possono essere somministrate aprendo con cura la capsula e spruzzando l'intero contenuto su una piccola quantità (cucchiaino) di cibi morbidi. Questa miscela di droga/cibo deve essere inghiottita immediatamente e non masticata o schiacciata. Non dovrebbe essere conservato per ulteriori utilizzo. Qudexy XR può essere preso senza riguardo ai pasti [vedi Farmacologia clinica ].
Come fornito
Forme di dosaggio e punti di forza
Qudexy Xr (Topiramato) Le capsule a rilascio prolungato sono disponibili nei seguenti punti di forza e colori:
- 25 mg : capsule rosa chiaro e grigio stampate con upsher-smith sul cappuccio con inchiostro nero e 25 mg sul corpo con inchiostro nero
- 50 mg : Capsule Golden Giallo e Grigio Stampato con Upsher-Smith sul cappuccio con inchiostro nero e 50 mg sul corpo con inchiostro nero
- 100 mg : capsule rossastri marroni e grigi stampate con upsher-smith sul tappo con inchiostro nero e 100 mg sul corpo con inchiostro nero
- 150 mg : capsule giallo pallido e grigio stampato con upsher-smith sul tappo con inchiostro nero e 150 mg sul corpo con inchiostro nero
- 200 mg : capsule marroni e grigie stampate con upsher-smith sul cappuccio con inchiostro bianco e 200 mg sul corpo con inchiostro nero
Qudexy ® Xr (Topiramato) Le capsule a rilascio prolungato contengono perle di topiramato in una capsula e sono disponibili nei seguenti punti di forza e colori:
25 mg : capsule rosa chiaro e grigio stampate con upsher-smith sul cappuccio con inchiostro nero e 25 mg sul corpo con inchiostro nero. 25 mg capsules are supplied in the following package configurations:
- Bottiglie di 30 con essiccante e una chiusura resistente ai bambini Ndc 0245-1071-30
- Bottiglie di 90 con essiccante e una chiusura resistente ai bambini Ndc 0245-1071-90
50 mg : Capsule Golden Giallo e Grigio Stampato con Upsher-Smith sul cappuccio con inchiostro nero e 50 mg sul corpo con inchiostro nero. 50 mg capsules are supplied in the following package configurations:
- Bottiglie di 30 con essiccante e una chiusura resistente ai bambini Ndc 0245-1072-30
- Bottiglie di 90 con essiccante e una chiusura resistente ai bambini Ndc 0245-1072-90
100 mg : capsule rossastri marroni e grigi stampate con upsher-smith sul tappo con inchiostro nero e 100 mg sul corpo con inchiostro nero. 100 mg capsules are supplied in the following package configurations:
- Bottiglie di 30 con essiccante e una chiusura resistente ai bambini Ndc 0245-1074-30
- Bottiglie di 90 con essiccante e una chiusura resistente ai bambini Ndc 0245-1074-90
150 mg : capsule giallo pallido e grigio stampato con upsher-smith sul tappo con inchiostro nero e 150 mg sul corpo con inchiostro nero. 150 mg capsules are supplied in the following package configurations:
- Bottiglie di 30 con essiccante e una chiusura resistente ai bambini Ndc 0245-1075-30
- Bottiglie di 90 con essiccante e una chiusura resistente ai bambini Ndc 0245-1075-90
200 mg: capsule marroni e grigie stampate con upsher-smith sul cappuccio con inchiostro bianco e 200 mg sul corpo con inchiostro nero. 200 mg capsules are supplied in the following package configurations:
- Bottiglie di 30 con essiccante e una chiusura resistente ai bambini Ndc 0245-1073-30
- Bottiglie di 90 con essiccante e una chiusura resistente ai bambini Ndc 0245-1073-90
Archiviazione e maneggevolezza
Qudexy Xr (topiramato) extended-release capsules should be stored in a tightly closed container at 20°C to 25°C (68°F to 77°F); excursions permitted to 15°C to 30°C (59°F to 86°F) [See USP Controlled Room Temperature]. Protect from moisture.
Distribuito da: Upsher-Smith Laboratories LLC Maple Grove MN 55369. Revisionato: Mar 2025.
Effetti collaterali for Qudexy Xr
Le seguenti gravi reazioni avverse sono discusse in modo più dettagliato in altre sezioni dell'etichettatura:
- Miopia acuta e glaucoma della chiusura dell'angolo secondario [vedi Avvertimenti e precauzioni ]
- Difetti del campo visivo [vedi Avvertimenti e precauzioni ]
- Oligoidosi e ipertermia [vedi Avvertimenti e precauzioni ]
- Acidosi metabolica [vedi Avvertimenti e precauzioni ]
- Comportamento suicidario e ideazione [vedi Avvertimenti e precauzioni ]
- Reazioni avverse cognitive/neuropsichiatriche [vedi Avvertimenti e precauzioni ]
- Diminuzione della densità minerale ossea [vedi Avvertimenti e precauzioni ]
- Effetti negativi sulla crescita (altezza e peso) [vedi Avvertimenti e precauzioni ]
- Reazioni cutanee gravi [vedi Avvertimenti e precauzioni ]
- Iperammonemia e encefalopatia (senza e con uso concomitante di acido valproico [vedi Avvertimenti e precauzioni ]
- Pietre renali [vedi Avvertimenti e precauzioni ]
- Ipotermia con commetro di acido valproico [vedi Avvertimenti e precauzioni ]
I dati descritti nella Sezione 6.1 sono stati ottenuti utilizzando tablet topiramato a rilascio immediato.
Studi clinici Esperienza con topiramato a rilascio immediato
Poiché gli studi clinici sono condotti in condizioni di reazione avverse ampiamente variabili osservate negli studi clinici di un farmaco non possono essere confrontati direttamente ai tassi negli studi clinici di un altro farmaco e potrebbero non riflettere i tassi osservati nella pratica clinica.
Epilessia monoterapia
Adulti di età pari o superiore a 16 anni
Le reazioni avverse più comuni nello studio controllato (Studio 1) che si sono verificati negli adulti nel gruppo topiramato di 400 mg/giorno e ad un'incidenza più alta (≥ 10%) rispetto al gruppo 50 mg/giorno erano: perdita di peso della parestesia e anoressia (vedi Tabella 5).
Circa il 21% dei 159 pazienti adulti nel gruppo 400 mg/giorno che hanno ricevuto topiramato come monoterapia nello studio 1 terapia sospesa a causa di reazioni avverse. Le reazioni avverse più comuni (≥ 2% più frequenti rispetto alle reazioni avverse a basso dosaggio di 50 mg/giorno) che causano la discontinua sono state difficoltà con l'affaticamento della memoria astenia sonnolenza e parestesia.
Pazienti pediatrici da 6 a 15 anni di età
Le reazioni avverse più comuni nello studio controllato (studio 1) che si sono verificati nei pazienti pediatrici nel gruppo topiramato di 400 mg/giorno e ad un'incidenza più alta (≥ 10%) rispetto al gruppo 50 mg/giorno erano la febbre e la perdita di peso (vedere la Tabella 5).
Circa il 14% dei 77 pazienti pediatrici nel gruppo 400 mg/giorno che hanno ricevuto topiramato come monoterapia nella sperimentazione clinica controllata ha interrotto la terapia a causa di reazioni avverse. Le reazioni avverse più comuni (≥ 2% più frequenti rispetto al gruppo 50 mg/giorno) con conseguente interruzione in questo studio sono state difficoltà con il lavaggio e la confusione della febbre di concentrazione/attenzione.
La tabella 5 rappresenta l'incidenza di reazioni avverse che si verificano in almeno il 3% dei pazienti adulti e pediatrici trattati con 400 mg/giorno di topiramato a rilascio immediato e che si verificano con una maggiore incidenza di 50 mg/giorno di topiramato.
Tabella 5: reazioni avverse nel gruppo ad alto dose rispetto al gruppo a bassa dose negli studi di epilessia monoterapia (Studio 1) nei pazienti adulti e pediatrici
| Sistema corporeo/ Reazione avversa | Gruppo di età | |||
| Pediatrico (Da 6 a 15 anni) | Adulto (Età = 16 anni) | |||
| Gruppo di dosaggio quotidiano di topiramato a rilascio immediato (Mg/giorno) | ||||
| 50 | 400 | 50 | 400 | |
| (N = 74) % | (N = 77) % | (N = 160) % | (N = 159) % | |
| Corpo nel suo corpo intero - disturbi generali | ||||
| Asthenia | 0 | 3 | 4 | 6 |
| Fever | 1 | 12 | ||
| Leg pain | 2 | 3 | ||
| Centrale | ||||
| Paresthesia | 3 | 12 | 21 | 40 |
| Dizziness | 13 | 14 | ||
| Ataxia | 3 | 4 | ||
| Hypoesthesia | 4 | 5 | ||
| Hypertonia | 0 | 3 | ||
| Involuntary Muscle contraction | 0 | 3 | ||
| Vertigo | 0 | 3 | ||
| Disturbi del sistema gastrointestinale | ||||
| Constipation | 1 | 4 | ||
| Diarrhea | 8 | 9 | ||
| Gastritis | 0 | 3 | ||
| Dry mouth | 1 | 3 | ||
| Disturbi del sistema epatico e biliare | ||||
| Increase in Gamma-GT | 1 | 3 | ||
| Disturbi metabolici e nutrizionali | ||||
| Weight loss | 7 | 17 | 6 | 17 |
| Sanguinamento piastrinico | ||||
| Epistaxis | 0 | 4 | ||
| Disturbi psichiatrici | ||||
| Anorexia | 4 | 14 | ||
| Anxiety | 4 | 6 | ||
| Cognitive problems | 1 | 6 | 1 | 4 |
| Confusion | 0 | 3 | ||
| Depression | 0 | 3 | 7 | 9 |
| Difficulty with concentration or attention | 7 | 10 | 7 | 8 |
| Difficulty with memory | 1 | 3 | 6 | 11 |
| Insomnia | 8 | 9 | ||
| Decrease in libido | 0 | 3 | ||
| Mood problems | 1 | 8 | 2 | 5 |
| Personality disorder (behavior problems) | 3 | 5 | ||
| Psychomotor slowing | 0 | 3 | ||
| Somnolence | 10 | 15 | ||
| Disturbi dei globuli rossi | ||||
| Anemia | 1 | 3 | ||
| Disturbi riproduttivi femminile | ||||
| Intermenstrual bleeding | 0 | 3 | ||
| Vaginal hemorrhage | 0 | 3 | ||
| Disturbi del meccanismo di resistenza | ||||
| Infection | 3 | 8 | 2 | 3 |
| Viral infezione | 3 | 6 | 6 | 8 |
| Disturbi del sistema respiratorio | ||||
| Bronchitis | 1 | 5 | 3 | 4 |
| Upper respiratory tract infezione | 16 | 18 | ||
| Rhinitis | 5 | 6 | 2 | 4 |
| Sinusitis | 1 | 4 | ||
| Disturbi della pelle e delle appendici | ||||
| Alopecia | 1 | 4 | 3 | 4 |
| Pruritus | 1 | 4 | ||
| Rash | 3 | 4 | 1 | 4 |
| Acne | 2 | 3 | ||
| Sensi speciali altri disturbi | ||||
| Taste perversion | 3 | 5 | ||
| Disturbi del sistema urinario | ||||
| Cystitis | 1 | 3 | ||
| Micturition frequency | 0 | 3 | ||
| Renal calculus | 0 | 3 | ||
| Urinary incontinence | 1 | 3 | ||
| Disturbi vascolari (extracardiaci) | ||||
| Flushing | 0 | 5 |
Epilessia di terapia aggiuntiva
Adulti di età pari o superiore a 16 anni
Negli studi clinici controllati raggruppati su adulti con convulsioni ad esordio parziale convulsioni toniche generalizzate primarie o sindrome di Lennox-Gastaut 183 pazienti hanno ricevuto terapia aggiuntiva con topiramato a rilascio immediato a dosaggi da 200 a 400 mg/die (range dosaggio raccomandato) e 291 pazienti hanno ricevuto il placebo. I pazienti in questi studi stavano ricevendo da 1 a 2 farmaci antiepilettici concomitanti oltre al topiramato a rilascio immediato o al placebo.
Le reazioni avverse più comuni nella sperimentazione clinica controllata che si sono verificate nei pazienti adulti nel gruppo di topiramato da 200 a 400 mg/die con un'incidenza più alta (≥ 10%) rispetto al gruppo placebo erano: vertigini disturbi del linguaggio/problemi di linguaggio relativi al rallentamento del nervosismo della somnolenza e della visione anormale (Tabella 6).
La tabella 6 presenta l'incidenza di reazioni avverse che si verificano in almeno il 3% dei pazienti adulti trattati con topiramato da 200 a 400 mg/giorno ed è stata maggiore dell'incidenza del placebo. L'incidenza di alcune reazioni avverse (ad es. Problemi di linguaggio delle vertigini della fatica Problemi di linguaggio psicomotorio La difficoltà della depressione con problemi di concentrazione/attenzione) è stata correlata alla dose e molto più grande a più alto rispetto al dosaggio di topiramato raccomandato (cioè al giorno.
Tabella 6: reazioni avverse più comuni nelle prove di epilessia aggiuntiva controllate con placebo raggruppate negli adulti a
| Sistema del corpo Reazione avversa | Placebo (N = 291) | Topamax Dosaggio (mg/giorno) 200-400 (N = 183) |
| Corpo come disturbi generali interi | ||
| Fatigue | 13 | 15 |
| Asthenia | 1 | 6 |
| Back pain | 4 | 5 |
| Chest pain | 3 | 4 |
| Influenza-like symptoms | 2 | 3 |
| Centrale | ||
| Dizziness | 15 | 25 |
| Ataxia | 7 | 16 |
| Speech disorders/Related Problemi vocali | 2 | 13 |
| Paresthesia | 4 | 11 |
| Nystagmus | 7 | 10 |
| Tremor | 6 | 9 |
| Language problems | 1 | 6 |
| Coordination abnormal | 2 | 4 |
| Gait abnormal | 1 | 3 |
| Disturbi del sistema gastrointestinale | ||
| Nausea | 8 | 10 |
| Dyspepsia | 6 | 7 |
| Abdominal pain | 4 | 6 |
| Constipation | 2 | 4 |
| Disturbi metabolici e nutrizionali | ||
| Weight loss | 3 | 9 |
| Disturbi psichiatrici | ||
| Somnolence | 12 | 29 |
| Nervousness | 6 | 16 |
| Psychomotor slowing | 2 | 13 |
| Difficulty with memory | 3 | 12 |
| Confusion | 5 | 11 |
| Anorexia | 4 | 10 |
| Difficulty with concentration/attention | 2 | 6 |
| Mood problems | 2 | 4 |
| Agitation | 2 | 3 |
| Aggressive reaction | 2 | 3 |
| Emotional lability | 1 | 3 |
| Cognitive problems | 1 | 3 |
| Disturbi riproduttivi | ||
| Breast pain | 2 | 4 |
| Disturbi del sistema respiratorio | ||
| Rhinitis | 6 | 7 |
| Pharyngitis | 2 | 6 |
| Sinusitis | 4 | 5 |
| Disturbi della visione | ||
| Vision abnormal | 2 | 13 |
| Diplopia | 5 | 10 |
| a I pazienti in questi studi aggiuntivi hanno ricevuto 1-2 concomitanti farmaci antiepilettici oltre a topiramato o placebo |
Negli studi clinici controllati negli adulti l'11% dei pazienti che hanno ricevuto topiramato a rilascio immediato da 200 a 400 mg/die come terapia aggiuntiva è stata interrotta a causa di reazioni avverse. Questo tasso sembrava aumentare a dosaggi superiori a 400 mg/die. Le reazioni avverse associate alla terapia di discontinulazione includevano difficoltà di ansia da sonnolenza con la concentrazione o l'attenzione dell'attenzione e la parestesia.
Pediatrico Patients 2 to 15 Years of Age
Nei studi clinici controllati raggruppati in pazienti pediatrici (2-15 anni) con convulsioni ad esordio parziale convulsioni toniche generalizzate primarie o sindrome da Lennox-Gastaut 98 pazienti hanno ricevuto una terapia aggiuntiva con grazia a rilascio immediato a topiramato a rilascio immediato a dosate a dosate da 5 mg a 9 mg/kg/giorno (intervallo di dose raccomandato) e 101 pazienti.
Le reazioni avverse più comuni nello studio clinico controllato che si sono verificati nei pazienti pediatrici nel gruppo topiramato da 5 mg a 9 mg/kg/giorno a rilascio immediato con un'incidenza superiore (≥ 10%) rispetto al gruppo placebo: affaticamento e sonnolenza (vedi Tabella 7).
La tabella 7 presenta l'incidenza di reazioni avverse che si sono verificate in almeno il 3% dei pazienti pediatrici da 2 a 15 anni di età che ricevono da 5 mg a 9 mg/kg/giorno (intervallo di dose raccomandato) di topiramato a rilascio immediato ed è stato maggiore dell'incidenza del placebo.
Tabella 7: reazioni avverse negli studi di epilessia aggiuntiva controllati con placebo in gioco in pazienti pediatrici da 2 a 15 anni di età ab
| Sistema del corpo Reazione avversa | Placebo (N = 101) % | Topamax (N = 98) % |
| Corpo nel suo insieme - disturbi generali | ||
| Fatigue | 5 | 16 |
| Injury | 13 | 14 |
| Centrale | ||
| Gait abnormal | 5 | 8 |
| Ataxia | 2 | 6 |
| Hyperkinesia | 4 | 5 |
| Dizziness | 2 | 4 |
| Speech disorders/Related Problemi vocali | 2 | 4 |
| Disturbi del sistema gastrointestinale | ||
| Nausea | 5 | 6 |
| Saliva increased | 4 | 6 |
| Constipation | 4 | 5 |
| Gastroenteritis | 2 | 3 |
| Disturbi metabolici e nutrizionali | ||
| Weight loss | 1 | 9 |
| Sanguinamento piastrinico | ||
| Purpura | 4 | 8 |
| Epistaxis | 1 | 4 |
| Disturbi psichiatrici | ||
| Somnolence | 16 | 26 |
| Anorexia | 15 | 24 |
| Nervousness | 7 | 14 |
| Personality disorder (behavior problems) | 9 | 11 |
| Difficulty with concentration/attention | 2 | 10 |
| Aggressive reaction | 4 | 9 |
| Insomnia | 7 | 8 |
| Difficulty with memory | 0 | 5 |
| Confusion | 3 | 4 |
| Psychomotor slowing | 2 | 3 |
| Disturbi del meccanismo di resistenza | ||
| Infection viral | 3 | 7 |
| Disturbi del sistema respiratorio | ||
| Pneumonia | 1 | 5 |
| Disturbi della pelle e delle appendici | ||
| Skin disorder | 2 | 3 |
| Disturbi del sistema urinario | ||
| Urinary incontinence | 2 | 4 |
| a I pazienti in questi studi aggiuntivi hanno ricevuto 1-2 concomitanti farmaci antiepilettici oltre a topiramato o placebo b I valori rappresentano la percentuale di pazienti che riportano una data reazione avversa. I pazienti possono aver riportato più di una reazione avversa durante lo studio e possono essere inclusi in più di una categoria di reazione avversa |
Nessuno dei pazienti pediatrici che ha ricevuto terapia aggiuntiva topiramica a 5-9 mg/kg/giorno in studi clinici controllati sono stati interrotti a causa di reazioni avverse.
Emicrania
Adultos
Nei quattro studi clinici di emicrania parallela di gruppo paralleli randomizzati randomizzati in doppio cieco multicentrico per il trattamento preventivo dell'emicrania (che includeva 35 pazienti adolescenti di età compresa tra 12 e 15 anni) la maggior parte delle reazioni avverse con topiramato erano lievi o moderate in gravità. La maggior parte delle reazioni avverse si sono verificate più frequentemente durante il periodo di titolazione rispetto al periodo di manutenzione.
Le reazioni avverse più comuni con topiramato a rilascio immediato 100 mg negli studi clinici per il trattamento preventivo dell'emicrania di adulti prevalentemente che sono stati osservati a un'incidenza più alta (≥5%) rispetto al gruppo placebo c'erano la parestesia anoressia del gusto di perdita di peso perversione perversione diarrea difficoltà a difficoltà della diarrea della memoria difficoltà a difficoltà della diarrea della memoria difficoltà a difficoltà della diarrea per la diarrea della memoria difficoltà a difficoltà della diarrea della memoria.
La tabella 8 include quelle reazioni avverse che si sono verificate negli studi controllati con placebo in cui l'incidenza in qualsiasi gruppo di trattamento con topiramato a rilascio immediato era almeno del 3% ed era maggiore di quella per i pazienti con placebo. L'incidenza di alcune reazioni avverse (ad es. Difficoltà di sonnolenza delle vertigini della fatica con difficoltà di memoria con concentrazione/attenzione) è stata correlata alla dose e maggiore a un dosaggio di topiramato consigliato (200 mg al giorno) rispetto all'incidenza di queste reazioni avverse alla somministrazione raccomandata (100 mg al giorno).
Tabella 8: reazioni avverse nelle prove di emicrania controllata con placebo aggrovigliate negli adulti ab
| Sistema corporeo/ Reazione avversa | Topamax Dosaggio (mg/giorno) | ||
| Placebo (N = 445) % | 50 (N = 235) % | 100 (N = 386) % | |
| Corpo come disturbi generali interi | |||
| Fatigue | 11 | 14 | 15 |
| Injury | 7 | 9 | 6 |
| Centrale | |||
| Paresthesia | 6 | 35 | 51 |
| Dizziness | 10 | 8 | 9 |
| Hypoesthesia | 2 | 6 | 7 |
| Language problems | 2 | 7 | 6 |
| Disturbi del sistema gastrointestinale | |||
| Nausea | 8 | 9 | 13 |
| Diarrhea | 4 | 9 | 11 |
| Abdominal pain | 5 | 6 | 6 |
| Dyspepsia | 3 | 4 | 5 |
| Dry mouth | 2 | 2 | 3 |
| Gastroenteritis | 1 | 3 | 3 |
| Disturbi metabolici e nutrizionali | |||
| Weight loss | 1 | 6 | 9 |
| Disturbi del sistema muscoloscheletrico | |||
| Arthralgia | 2 | 7 | 3 |
| Disturbi psichiatrici | |||
| Anorexia | 6 | 9 | 15 |
| Somnolence | 5 | 8 | 7 |
| Difficulty with memory | 2 | 7 | 7 |
| Insomnia | 5 | 6 | 7 |
| Difficulty with concentration/attention | 2 | 3 | 6 |
| Mood problems | 2 | 3 | 6 |
| Anxiety | 3 | 4 | 5 |
| Depression | 4 | 3 | 4 |
| Nervousness | 2 | 4 | 4 |
| Confusion | 2 | 2 | 3 |
| Psychomotor slowing | 1 | 3 | 2 |
| Disturbi riproduttivi femminile | |||
| Menstrual disorder | 2 | 3 | 2 |
| Disturbi riproduttivi Male | |||
| Ejaculation premature | 0 | 3 | 0 |
| Disturbi del meccanismo di resistenza | |||
| Viral infezione | 3 | 4 | 4 |
| Disturbi del sistema respiratorio | |||
| Upper respiratory tract infezione | 12 | 13 | 14 |
| Sinusitis | 6 | 10 | 6 |
| Pharyngitis | 4 | 5 | 6 |
| Coughing | 2 | 2 | 4 |
| Bronchitis | 2 | 3 | 3 |
| Dyspnea | 2 | 1 | 3 |
| Disturbi della pelle e delle appendici | |||
| Pruritus | 2 | 4 | 2 |
| SENZA SPECIALE altri disturbi | |||
| Taste perversion | 1 | 15 | 8 |
| Disturbi del sistema urinario | |||
| Urinary tract infezione | 2 | 4 | 2 |
| Disturbi della visione | |||
| Blurred vision c | 2 | 4 | 2 |
| a Include 35 pazienti adolescenti di età compresa tra 12 e 15 anni b I valori rappresentano la percentuale di pazienti che riportano una data reazione avversa. I pazienti possono aver riportato più di una reazione avversa durante lo studio e possono essere inclusi in più di una categoria di reazione avversa. c La visione sfocata era il termine più comune considerato come una visione anormale. La visione sfocata era un termine incluso che rappresentava> 50% delle reazioni codificate come visione anormale un termine preferito |
Dei 1135 pazienti esposti a topiramato a rilascio immediato negli studi controllati da placebo adulto il 25% ha interrotto a causa di reazioni avverse rispetto al 10% dei 445 pazienti trattati con placebo. Le reazioni avverse associate alla terapia di discontinulazione nei pazienti trattati con topiramato a rilascio immediato in questi studi includevano la fatica della parestesia (7%) (4%) Nausea (4%) difficoltà con la concentrazione/attenzione (3%) insonnia (3%) anoressia (2%) e vertigini (2%).
I pazienti trattati in questi studi hanno manifestato una riduzione media percentuale del peso corporeo che erano dose-dipendenti. Questo cambiamento non è stato visto nel gruppo placebo. Sono state osservate variazioni medie dello 0% -2% -3% e -4% per il gruppo placebo a rilascio immediato topiramato 50 mg 100 mg e 200 mg rispettivamente.
Pediatrico Patients 12 to 17 Years of Age
In cinque studi clinici di gruppo paralleli randomizzati in doppio cieco controllati con placebo per il trattamento preventivo dell'emicrania la maggior parte delle reazioni avverse con topiramato a rilascio immediato si sono verificati più frequentemente durante il periodo di titolazione rispetto al periodo di mantenimento. Tra le reazioni avverse con insorgenza durante la titolazione circa la metà è persistita nel periodo di manutenzione.
In quattro studi clinici in doppio cieco a dosi fissa per il trattamento preventivo dell'emicrania in pazienti pediatrici trattati con topiramato immediato da 12 a 17 anni di età le reazioni avverse più comuni a rilascio immediato topiramato 100 mg che sono stati osservati a un'incidenza (≥ 5%) rispetto al gruppo placebo) che nel gruppo placebo era di anefiezione anoressica e che sono state osservate a tabella 9). La tabella 9 mostra reazioni avverse dalla sperimentazione pediatrica [Studio 13; Vedere Studi clinici ] in cui 103 pazienti pediatrici sono stati trattati con placebo o 50 mg o 100 mg di topiramato a rilascio immediato e tre studi prevalentemente per adulti in cui 49 pazienti pediatrici (da 12 a 17 anni sono stati trattati con placebo o 50 mg 100 mg o 200 mg di topiramato a bordo raggio [vedi Studi clinici ]. Table 9 also shows adverse reactions in pediatric patients in the controlled migraine trials when the incidence in an immediate-release topiramato dose group was at least 5% or higher E greater than the incidence of placebo. Many adverse reactions shown in Table 9 indicate a dose-dependent relationship. The incidence of some adverse reactions (e.g. allergy fatica headache anorexia insonnia somnolence E viral infezione) was dose-related E greater at higher than recommended immediate-release topiramato dosing (200 mg daily) compared to the incidence of these adverse reactions at the recommended dose (100 mg daily).
Tabella 9: reazioni avverse in studi in doppio cieco raggruppati per il trattamento preventivo dell'emicrania nei pazienti pediatrici da 12 a 17 anni di età abc
| Sistema corporeo/ Reazione avversa | Topamax Dosage | ||
| Placebo (N = 45) % | 50 mg/day (N = 46) % | 100 mg/day (N = 48) % | |
| Corpo nel suo insieme - disturbi generali | |||
| Fatigue | 7 | 7 | 8 |
| Fever | 2 | 4 | 6 |
| Centrale | |||
| Paresthesia | 7 | 20 | 19 |
| Dizziness | 4 | 4 | 6 |
| Disturbi del sistema gastrointestinale | |||
| Abdominal pain | 9 | 7 | 15 |
| Nausea | 4 | 4 | 8 |
| Disturbi metabolici e nutrizionali | |||
| Weight loss | 2 | 7 | 4 |
| Disturbi psichiatrici | |||
| Anorexia | 4 | 9 | 10 |
| Somnolence | 2 | 2 | 6 |
| Insomnia | 2 | 9 | 2 |
| Disturbi del meccanismo di resistenza | |||
| Infection viral | 4 | 4 | 8 |
| Disturbi del sistema respiratorio | |||
| Upper respiratory tract infezione | 11 | 26 | 23 |
| Rhinitis | 2 | 7 | 6 |
| Sinusitis | 2 | 9 | 4 |
| Coughing | 0 | 7 | 2 |
| Sensi speciali altri disturbi | |||
| Taste perversion | 2 | 2 | 6 |
| Disturbi della visione | |||
| Conjunctivitis | 4 | 7 | 4 |
| a 35 pazienti adolescenti di età compresa tra 12 anni <16 years were also included in adverse reaction assessment for adults. b L'incidenza si basa sul numero di soggetti che hanno registrato almeno 1 evento avverso non il numero di eventi. c Studi inclusi MIG-3006 MIMP-001 MIMP-002 e MIMP-003 |
Negli studi negativi in doppio cieco controllati con placebo hanno portato alla sospensione del trattamento nell'8% dei pazienti con placebo rispetto al 6% dei pazienti trattati con topiramato a rilascio immediato. Le reazioni avverse associate alla terapia di discontinulazione che si sono verificate in più di un paziente trattato con topiramato a rilascio immediato sono state mal di testa (1%) (1%) e sonnolenza (1%).
Aumento del rischio di sanguinamento
Il topiramato è associato ad un aumentato rischio di sanguinamento. In un'analisi aggregata degli studi di placebocontrollati su indicazioni approvate e non approvate è stato riportato più frequentemente come reazione avversa per il topiramato che per il placebo (NULL,5% contro 3,0% nei pazienti adulti e 4,4% contro 2,3% nei pazienti pediatrici). In questa analisi l'incidenza di gravi eventi di sanguinamento per topiramato e placebo è stata dello 0,3% contro lo 0,2% per i pazienti adulti e lo 0,4% contro lo 0% per i pazienti pediatrici.
Le reazioni di sanguinamento avverse riportate con topiramato variavano da lieve eccymosi dell'epistassi e aumento del sanguinamento mestruale alle emorragie potenzialmente letali. Nei pazienti con gravi condizioni di sanguinamento che aumentavano il rischio di sanguinamento erano spesso presenti o i pazienti spesso assumevano farmaci che causano trombocitopenia (altri farmaci antiepilettici) o influenzano la funzione piastrinica o la coagulazione (ad esempio antituoli non-infiammatori dell'aspirina).
Altre reazioni avverse osservate durante gli studi clinici
Altre reazioni avverse osservate durante gli studi clinici sono state: coordinazione anormale Eosinofilia Gingivale Ematuria Ipotensione Ipotensione Myalgia miopia Ipotensione posturale Scotoma Sincope e difetto del campo visivo.
Anomalie del test di laboratorio
Adulto Patients
Oltre ai cambiamenti nel bicarbonato sierico di bicarbonato (cioè acidosi metabolica) di sodio e topiramato a rilascio immediato dell'ammoniaca è stato associato a cambiamenti in diversi analiti di laboratorio clinici in studi randomizzati in doppio cieco controllato dal placebo [vedi Avvertimenti e precauzioni ]. Controlled trials of adjunctive topiramato treatment of adults for partialonset seizures showed an increased incidence of markedly decreased serum phosphorus (6% topiramato versus 2% placebo) markedly increased serum alkaline phosphatase (3% topiramato versus 1% placebo) E decreased serum potassium (0.4% topiramato versus 0.1% placebo).
Pediatrico Patients
Nei pazienti pediatrici (da 1 a 24 mesi) che ricevono topiramato aggiuntivo per convulsioni ad esordio parziale si è verificata una maggiore incidenza per un aumento del risultato (relativo al normale intervallo di riferimento dell'analita) associato al topiramato (vs placebo) per le seguenti analisi di laboratorio clinico: creatinina alcalina fosfasi e proteina totale. L'incidenza è stata inoltre aumentata per un risultato ridotto per il bicarbonato (cioè l'acidosi metabolica) e il potassio con rilascio immediato (vs placebo) [vedi Utilizzare in popolazioni specifiche ]. Qudexy Xr is not indicated for partialonset seizures in pediatric patients less than 2 years of age.
Nei pazienti pediatrici (che vanno dai 6 ai 17 anni) ricevevano topiramato a rilascio immediato per il trattamento preventivo dell'emicrania, si è verificata una maggiore incidenza per un aumento del risultato (relativo al normale intervallo di riferimento dell'analita) associato al topiramato a rilascio di rilascio di fosfati clinici per il laboratorio clinico per il laboratorio clinico per il laboratorio clinico: il laboratorio di fosfati e il placebo) per i seguenti analisi cliniche di laboratorio clinico per la laboratorio clinico di laboratorio clinico per la laboratorio clinico e l'Acido di Creatinina Acroide Ammonia di Fosfalina. L'incidenza è stata inoltre aumentata per un risultato ridotto per il numero emocroso e neutrofili totali di fosforo in bicarbonato e neutrofili [vedi Utilizzare in popolazioni specifiche ]. Qudexy Xr is not indicated for the preventive treatment of migraine in pediatric patients less than 12 years of age.
Studi clinici Esperienza con Qudexy XR
Poiché gli studi clinici sono condotti in condizioni di reazione avverse ampiamente variabili osservate negli studi clinici di un farmaco non possono essere confrontati direttamente ai tassi negli studi clinici di un altro farmaco e potrebbero non riflettere i tassi osservati nella pratica clinica. In the Qudexy Xr study a dose of 200 mg per day was administered to a limited number of patients; therefore these results cannot be directly compared to immediate-release topiramato experience.
I dati di sicurezza presentati di seguito sono di 249 pazienti con epilessia parziale su AED concomitanti che hanno partecipato allo studio Qudexy XR [vedi Studi clinici ].
La tabella 10 mostra l'incidenza di reazioni avverse avvenute in ≥2% dei pazienti e numericamente maggiori del placebo.
Tabella 10: incidenza (≥2%) di reazioni avverse nello studio clinico di terapia aggiuntiva controllata dal placebo in pazienti con convulsioni ad esordio parziale
| Sistema corporeo/ Reazione avversa | Placebo (N = 125) | Qudexy Xr (200 mg) (N = 124) |
| Disturbi generali | ||
| Fatigue | 5 | 6 |
| Asthenia | 1 | 2 |
| Irritability | 1 | 2 |
| Disturbi del sistema nervoso | ||
| Somnolence | 2 | 12 |
| Dizziness | 6 | 7 |
| Paresthesia | 2 | 7 |
| Aphasia | 0 | 2 |
| Dysarthria | 1 | 2 |
| Memory impairment | 1 | 2 |
| Disturbo psichiatrico | ||
| Psychomotor retardation | 0 | 2 |
| Disturbi cardiovascolari generali | ||
| Hypertension | 1 | 3 |
| Disturbi metabolici e nutrizionali | ||
| Weight decrease | 0 | 7 |
| Decreased appetite | 2 | 4 |
| Anorexia | 1 | 2 |
Nello studio clinico controllato utilizzando la qudexy XR 8,9% dei pazienti che hanno ricevuto la qudexy XR e il 4,0% che hanno ricevuto il placebo hanno interrotto a seguito di reazioni avverse.
Esperienza post -marketing
Le seguenti reazioni avverse sono state identificate durante l'uso post-approvazione del topiramato immediatamenteelease. Poiché queste reazioni sono riportate volontariamente da una popolazione di dimensioni incerte, non è sempre possibile stimare in modo affidabile la loro frequenza o stabilire una relazione causale con l'esposizione ai farmaci.
Corpo nel suo corpo intero - disturbi generali: oligoidosi e ipertermia [vedi Avvertimenti e precauzioni ] iperammonemia encefalopatia iperammonemica [vedi Avvertimenti e precauzioni ] Ipotermia con acomita acido valproico [vedi Avvertimenti e precauzioni ]
Disturbi del sistema gastrointestinale: insufficienza epatica (comprese le vittime) pancreatite dell'epatite
Disturbi della pelle e dell'appendice: Reazioni cutanee bollose (inclusa l'eritema multiforme Stevens- Sindrome di necrolisi epidermica tossica) [vedi Avvertimenti e precauzioni ] pemphigus
Disturbi del sistema urinario : nefrocalcinosi dei calcoli renali [vedi Avvertimenti e precauzioni ]
Disturbi della visione: glaucoma acuto della miopia angolo secondario [vedi Avvertimenti e precauzioni ] maculopatia
Disturbi ematologici: Diminuzione del rapporto internazionale normalizzato (INR) o tempo di protrombina quando somministrato in concomitanza con farmaci anticoagulanti antagonisti di vitamina K come il warfarin.
Interazioni farmacologiche for Qudexy Xr
Farmaci antiepilettici
La somministrazione concomitante di fenitoina o carbamazepina con topiramato ha comportato una riduzione clinicamente significativa delle concentrazioni plasmatiche di topiramato rispetto al topiramato somministrato da solo. Potrebbe essere necessaria una regolazione del dosaggio [vedi Farmacologia clinica ].
La somministrazione concomitante di acido valproico e topiramato è stata associata a ipotermia e iperammonemia con e senza encefalopatia. Esaminare i livelli di ammoniaca nel sangue nei pazienti in cui è stato riportato l'insorgenza dell'ipotermia [vedi Avvertimenti e precauzioni E Farmacologia clinica ].
Altri inibitori dell'anidrasi carbonica
L'uso concomitante di topiramato Un inibitore dell'anidrasi carbonica con qualsiasi altro inibitore dell'anidrasi carbonica (ad esempio zonisamide o acetazolamide) può aumentare la gravità dell'acidosi metabolica e può anche aumentare il rischio di formazione di calcoli renali. I pazienti devono essere monitorati per l'aspetto o il peggioramento dell'acidosi metabolica quando la qudexy XR viene somministrata in concomitanza con un altro inibitore dell'anidrasi carbonica [vedi Farmacologia clinica ].
Depressivi del SNC
La somministrazione concomitante di topiramato e alcol o altri farmaci depressivi del SNC non è stata valutata negli studi clinici. A causa del potenziale del topiramato di causare depressione del SNC e altre reazioni avverse cognitive e/o neuropsichiatriche, la qudexy XR dovrebbe essere usata con estrema cautela se utilizzata in combinazione con alcol e altri depressivi del SNC.
Contraccettivi
La possibilità di una ridotta efficacia contraccettiva e un aumento del sanguinamento di rottura può verificarsi nei pazienti che assumono prodotti contraccettivi con qudexy XR. Ai pazienti che assumono contraccettivi estrogencontani o solo progestinici dovrebbero essere invitati a segnalare qualsiasi cambiamento nei loro modelli di sanguinamento. L'efficacia contraccettiva può essere ridotta anche in assenza di sanguinamento innovativo [vedi Farmacologia clinica ].
Idroclorotiazide (HCTZ)
Topiramato CMAX e AUC sono aumentati quando l'HCTZ è stato aggiunto al topiramato a rilascio immediato. Il significato clinico di questo cambiamento è sconosciuto. L'aggiunta di HCTZ a Qudexy XR può richiedere una diminuzione della dose Qudexy XR [vedi Farmacologia clinica ].
Pioglitazone
Una diminuzione dell'esposizione del pioglitazone e dei suoi metaboliti attivi è stata osservata con l'uso simultaneo di pioglitazone e topiramato a rilascio immediato in uno studio clinico. La rilevanza clinica di queste osservazioni è sconosciuta; Tuttavia, quando la qudexy XR viene aggiunta alla terapia pioglitazone o il pioglitazone viene aggiunta alla terapia qudexy XR, dovrebbe essere prestata un'attenzione un'attenzione un'attenzione al monitoraggio di routine dei pazienti per un adeguato controllo del loro stato di malattia diabetica [vedi Farmacologia clinica ].
Litio
Può verificarsi un aumento dell'esposizione sistemica del litio a seguito di dosi di topiramato fino a 600 mg/die. I livelli di litio devono essere monitorati quando somministrati con qudexy xr ad alte dosi [vedi Farmacologia clinica ].
Amitriptilina
Alcuni pazienti possono sperimentare un grande aumento della concentrazione di amitriptilina in presenza di qudexy XR e qualsiasi aggiustamento nella dose di amitriptilina dovrebbe essere effettuato in base alla risposta clinica del paziente e non sulla base dei livelli plasmatici [vedi Farmacologia clinica ].
Avvertimenti per qudexy xr
Incluso come parte del 'PRECAUZIONI' Sezione
Precauzioni per qudexy xr
Miopia acuta e sindrome del glaucoma angolare
Una sindrome costituita da miopia acuta associata a glaucoma di chiusura angolare secondaria è stata riportata in pazienti che hanno ricevuto topiramato. I sintomi includono insorgenza acuta di una ridotta acuità visiva e/o dolore oculare. I risultati oftalmologici possono includere alcuni o tutti i seguenti: MIOPIA myDriasi Camera anteriore Iperemia oculare superficiale (arrossamento) SPOSTAZIONI COROIDALE DETACHI RETICHE DETACHMI EPITELIALE STRAILAE MACulari e aumento della pressione intraoculare. Questa sindrome può essere associata a versamento sopraciliario con conseguente spostamento anteriore della lente e dell'iride con glaucoma di chiusura angolare secondaria. I sintomi si verificano in genere entro 1 mese dall'inizio della terapia topiramica. Contrariamente al glaucoma angolo stretto primario, che è raro meno di 40 anni di glaucoma per angolo secondario associato al topiramato è stato riportato in pazienti pediatrici e adulti. Il trattamento primario per invertire i sintomi è l'interruzione della qudexy XR il più rapidamente possibile in base al giudizio del medico curante. Altre misure in combinazione con l'interruzione della qudexy XR possono essere utili.
L'elevata pressione intraoculare di qualsiasi eziologia se non trattata può portare a sequele gravi tra cui perdita di visione permanente.
Difetti del campo visivo
Difetti del campo visivo (indipendenti da una pressione intraoculare elevata) sono stati riportati negli studi clinici e nell'esperienza post -marketing in pazienti che ricevono topiramato indipendentemente da una pressione intraoculare elevata. Negli studi clinici la maggior parte di questi eventi è stata reversibile dopo l'interruzione del topiramato. Se si verificano problemi visivi in qualsiasi momento durante il trattamento con considerazione topiramato per interrompere il farmaco.
Oligoidosi e ipertermia
L'oligoidrosi (riduzione della sudorazione) raramente risultando in ospedale in alcuni casi è stata riportata in associazione con l'uso di topiramato. Diminuzione della sudorazione e un'elevazione della temperatura corporea al di sopra della normale caratterizzata questi casi. Alcuni dei casi sono stati riportati dopo l'esposizione a temperature ambientali elevate.
La maggior parte dei rapporti è stata nei pazienti pediatrici. I pazienti (in particolare i pazienti pediatrici) trattati con qudexy XR devono essere monitorati da vicino per l'evidenza della riduzione della sudorazione e dell'aumento della temperatura corporea soprattutto nel caldo. A cautela dovrebbe essere utilizzata quando la qudexy XR è prescritta con altri farmaci che predispongono i pazienti a disturbi correlati al calore; Questi farmaci includono ma non si limitano ad altri inibitori e farmaci anidrasi carbonici con attività anticolinergica.
Acidosi metabolica
Qudexy Xr can cause hyperchloremic non-anion gap metabolic acidosis (i.e. decreased serum bicarbonate below the normal reference range in the absence of chronic respiratory alkalosis). This metabolic acidosis is caused by renal bicarbonate loss due to carbonic anhydrase inhibition by Qudexy Xr. Qudexy Xr-induced metabolic acidosis can occur at any time during treatment. Bicarbonate decrements are usually mild to moderate (average decrease of 4 mEq/L at daily doses of 400 mg in adults E at approximately 6 mg/kg/day in pediatric patients); rarely patients can experience severe decrements to values below 10 mEq/L. Conditions or therapies that predispose patients to acidosis (such as renal disease severe respiratory disorders status epilepticus diarrea ketogenic diet or specific drugs) may be additive to the bicarbonate lowering effects of Qudexy Xr.
L'acidosi metabolica è stata comunemente osservata nei pazienti adulti e pediatrici trattati con topiramato a rilascio immediato negli studi clinici. L'incidenza di riduzione del bicarbonato sierico negli studi pediatrici per il trattamento aggiuntivo della sindrome di Lennox-Gastaut o delle convulsioni refrattarie ad esordio parziale era compresa tra il 67% per il topiramato a rilascio immediato (a circa 6 mg/kg/giorno) e il 10% per il placebo. L'incidenza di un bicarbonato sierico marcatamente anormalmente basso (cioè valore assoluto <17 mEq/L and> 5 MEQ/L diminuiscono dal pretrattamento) in questi studi è stato fino all'11% rispetto a ≤ 2% per il placebo.
Le manifestazioni di acidosi metabolica acuta o cronica possono includere sintomi non specifici per iperventilazione come affaticamento e anoressia o sequele più gravi tra cui aritmie cardiache o stupore. L'acidosi metabolica non trattata cronica può aumentare il rischio di nefrolitiasi o nefrocalcinosi e può anche provocare osteomalacia (indicata come rachificazione nei pazienti pediatrici) e/o osteoporosi con un aumento del rischio di fratture [vedi Diminuzione delle calcoli renali della densità minerale ossea ]. A one-year active-controlled study of pediatric patients treated with immediate-release topiramato demonstrated that topiramato decreased lumbar spine bone mineral density E that this lumbar spine bone mineral density decrease was correlated (using change from baseline for lumbar spine Z score at final visit versus lowest post-treatment serum bicarbonate) with decreased serum bicarbonate a reflection of metabolic acidosis [see Diminuzione della densità minerale ossea E Utilizzare in popolazioni specifiche ]. Chronic metabolic acidosis in pediatric patients may also reduce growth rates which may decrease the maximal height achieved. Long-term openlabel treatment of pediatric patients 1 to 24 months old with intractable partial epilessia for up to 1 year showed reductions from baseline in length weight E head circumference compared to age E sex-matched normative data although these patients with epilessia are likely to have different growth rates than normal 1 to 24-month old patients. Reductions in length E weight were correlated to the degree of acidosis [see Utilizzare in popolazioni specifiche ]. Qudexy Xr treatment that causes metabolic acidosis during pregnancy can possibly produce adverse effects on the fetus E might also cause metabolic acidosis in the neonate from possible transfer of topiramato to the fetus [see Tossicità fetale E Utilizzare in popolazioni specifiche ].
Misurazione del bicarbonato sierico nei pazienti con epilessia ed emicrania
Si raccomanda la misurazione del basale e del bicarbonato sierico periodico durante il trattamento qudexy XR. Se l'acidosi metabolica si sviluppa e persiste per ridurre la dose o l'interruzione della qudexy XR (usando una dose di rastrematura). Se viene presa la decisione di continuare i pazienti su Qudexy XR di fronte al trattamento alcali di acidosi persistente.
Comportamento suicida e ideazione
I farmaci antiepilettici (DAE) tra cui la qudexy XR aumentano il rischio di pensieri o comportamenti suicidari nei pazienti che assumono questi farmaci per qualsiasi indicazione. I pazienti trattati con qualsiasi DAE per qualsiasi indicazione devono essere monitorati per l'emergere o il peggioramento dei pensieri o del comportamento suicidari della depressione e/o eventuali cambiamenti insoliti nell'umore o nel comportamento.
Analisi aggregate di 199 studi clinici controllati con placebo (terapia mono e aggiuntiva) di 11 diversi DAE hanno mostrato che i pazienti randomizzati in uno dei DA avevano circa il doppio del rischio (rischio relativo adeguato 1,8 IC 95%: 1,2 2,7) di pensiero o comportamento suicida rispetto ai pazienti randomizzati al placebo. In questi studi che avevano una durata del trattamento mediano di 12 settimane il tasso di incidenza stimato di comportamento suicidario o ideazione tra 27863 pazienti trattati con AED era dello 0,43% rispetto allo 0,24% tra 16029 pazienti trattati con placebo che rappresentavano un aumento di circa un caso di pensiero o comportamento suicidario per ogni 530 pazienti curati. Ci sono stati quattro suicidi nei pazienti trattati con farmaci negli studi e nessuno nei pazienti trattati con placebo, ma il numero è troppo piccolo per consentire qualsiasi conclusione sull'effetto farmaco sul suicidio.
L'aumento del rischio di pensieri o comportamenti suicidari con DAE è stato osservato già una settimana dopo aver avviato il trattamento farmacologico con DAE e persistito per la durata del trattamento valutato. Poiché la maggior parte degli studi inclusi nell'analisi non si estendeva oltre le 24 settimane, non è stato possibile valutare il rischio di pensieri o comportamenti suicidari oltre 24 settimane.
Il rischio di pensieri o comportamenti suicidari era generalmente coerente tra i farmaci nei dati analizzati. La scoperta di un aumentato rischio con DAE di diversi meccanismi d'azione e attraverso una serie di indicazioni suggerisce che il rischio si applica a tutti i DAE utilizzati per qualsiasi indicazione. Il rischio non variava sostanzialmente di età (da 5 a 100 anni) negli studi clinici analizzati.
La tabella 4 mostra il rischio assoluto e relativo per indicazione per tutti i DAE valutati.
Tabella 4: rischio per indicazione per i farmaci antiepilettici nell'analisi aggregata
| Indicazione | Placebo Patients with Events per 1000 Patients | Pazienti farmacologici con eventi per 1000 pazienti | Rischio relativo: incidenza di eventi nei pazienti farmacologici/ incidenza nei pazienti con placebo | Differenza di rischio: ulteriori pazienti con farmaci con eventi per 1000 pazienti |
| Epilessia | 1.0 | 3.4 | 3.5 | 2.4 |
| Psichiatrico | 5.7 | 8.5 | 1.5 | 2.9 |
| Altro | 1.0 | 1.8 | 1.9 | 0.9 |
| Totale | 2.4 | 4.3 | 1.8 | 1.9 |
Il rischio relativo di pensieri o comportamenti suicidari era più elevato negli studi clinici per l'epilessia rispetto agli studi clinici per le condizioni psichiatriche o di altro tipo, ma le differenze di rischio assoluto erano simili per l'epilessia e le indicazioni psichiatriche.
Chiunque stia prendendo in considerazione la prescrizione di Qudexy XR o qualsiasi altro DAE deve bilanciare il rischio di pensieri o comportamenti suicidari con il rischio di malattie non trattate. L'epilessia e molte altre malattie per le quali sono prescritti i DAE sono essi stessi associati alla morbilità e alla mortalità e ad un aumento del rischio di pensieri e comportamenti suicidi. Se durante il trattamento emergano pensieri e comportamenti suicidari, il prescrittore deve considerare se l'emergere di questi sintomi in un determinato paziente possa essere correlato alla malattia da trattare.
Reazioni avverse cognitive/neuropsichiatriche
Il topiramato a rilascio immediato può causare reazioni avverse cognitive/neuropsichiatriche e pertanto si prevede che questi dovrebbero essere causati da Qudexy XR. Il più frequente di questi può essere classificato in tre categorie generali: 1) disfunzione cognitiva (ad esempio difficoltà di rallentamento psicomotoriale di confusione con difficoltà di concentrazione/attenzione con i problemi di linguaggio di memoria o linguaggio in particolare difficoltà di ricerca delle parole); 2) disturbi psichiatrici/comportamentali (ad es. Depressione o problemi dell'umore); e 3) sonnolenza o affaticamento.
Adulto Patients
Disfunzione cognitiva correlata
Tasso di titolazione rapida e una dose iniziale più elevata sono stati associati a maggiori incidenze di disfunzione cognitivalettata.
Nelle prove controllate ad aggiunta di epilessia per adulti che hanno utilizzato una titolazione rapida (incrementi settimanali da 100 a 200 mg/giorno) e bersaglio dosi di topiramato a rilascio immediato da 200 mg a 1000 mg/giorno 56% dei pazienti in 800 mg/giorno e 1000 mg/giorno placebo. In questo regime di titolazione rapida queste reazioni avverse legate alla dose sono iniziate nella titolazione o nella fase di mantenimento e in alcuni pazienti questi eventi sono iniziati durante la titolazione e sono persistiti nella fase di mantenimento.
Nello studio controllato con epilessia monoterapia condotto con topiramato a rilascio immediato la percentuale di pazienti che hanno sperimentato una o più reazioni avverse cognitive erano il 19% per topiramato 50 mg al giorno e 26% per 400 mg al giorno.
Negli studi controllati a 6 mesi per il trattamento preventivo dell'emicrania che ha utilizzato un regime di titolazione più lento (25 mg/giorno di incrementi settimanali) la percentuale di pazienti che hanno sperimentato uno o più reazioni avverse legate al cognitivo sono state del 19% per topiramato 50 mg/giorno 22% per 100 mg/giorno (dose raccomandata) 28% per 200 mg/giorno e 10% per la trama. Reazioni avverse cognitive più comunemente sviluppate durante la titolazione e talvolta persistevano dopo il completamento della titolazione.
Psichiatrico/Behavioral Disturbances
Psichiatrico/behavioral disturbances (e.g. depressione mood) were dose-related for both the adjunctive epilessia E migraine populations treated with topiramato [see Comportamento suicida e ideazione ].
Sonnolenza/affaticamento
La sonnolenza e l'affaticamento erano le reazioni avverse più frequentemente riportate durante gli studi clinici di topiramato per l'epilessia aggiuntiva. Per la popolazione di epilessia aggiuntiva l'incidenza di affaticamento è apparsa correlata alla dose. Per la popolazione di epilessia monoterapia, l'incidenza della sonnolenza è stata correlata alla dose. Per la popolazione di emicrania le incidenze sia della sonnolenza che dell'affaticamento sono state correlate alla dose e più comuni nella fase di titolazione.
Pediatrico Patients
Negli studi sull'epilessia pediatrica (aggiuntiva e monoterapia) l'incidenza di reazioni avverse cognitive/neuropsichiatriche era generalmente inferiore a quella osservata negli adulti. Queste reazioni includevano difficoltà di rallentamento psicomotorio con disturbi del linguaggio di concentrazione/attenzione/problemi vocali correlati e problemi linguistici. Le reazioni cognitive/neuropsichiatriche più frequentemente riportate nei pazienti con epilessia pediatrica durante gli studi in doppio cieco di terapia aggiuntiva erano sonnolenza e affaticamento. Le reazioni cognitive/neuropsichiatriche più frequentemente riportate nei pazienti con epilessia pediatrica nei gruppi da 50 mg/die e 400 mg/giorno durante lo studio in doppio cieco monoterapia erano anoressia e sonnolenza.
Nell'emicrania pediatrica pazienti l'incidenza di reazioni avverse cognitive/neuropsichiatriche è stata aumentata nei pazienti trattati con topiramato rispetto al placebo.
Il rischio di reazioni avverse cognitive/neuropsichiatriche era dose-dipendente ed era maggiore alla dose più alta (200 mg). Questo rischio per le reazioni avverse cognitive/neuropsichiatriche era anche maggiore nei pazienti più giovani (da 6 a 11 anni) rispetto ai pazienti più anziani (12-17 anni di età). La reazione avversa cognitiva/neuropsichiatrica più comune in questi studi è stata la difficoltà con la concentrazione/attenzione. Reazioni avverse cognitive più comunemente sviluppate durante il periodo di titolazione e talvolta persistevano per varie durate dopo il completamento della titolazione.
La batteria automatizzata del test neuropsicologico di Cambridge (CANTAB) è stata somministrata agli adolescenti (da 12 a 17 anni) per valutare gli effetti del topiramato sulla funzione cognitiva al basale e alla fine dello studio 13 [vedi Studi clinici ]. Mean change from baseline in certain CANTAB tests suggests that topiramato treatment may result in psychomotor slowing E decreased verbal fluency.
Tossicità fetale
Qudexy Xr can cause fetal harm when administered to a pregnant woman. Dati from pregnancy registries indicate that infants exposed to topiramato in utero hanno un aumentato rischio di grave malformazione congenita tra cui ma non limitata al labbro e/o al palatoschisi (fessure orali) e di essere piccoli per l'età gestazionale (SGA). Quando più specie di animali in gravidanza hanno ricevuto topiramato a dosi clinicamente rilevanti malformazioni strutturali tra cui difetti craniofacciali e ridotti pesi fetali si sono verificati nella prole [vedi Utilizzare in popolazioni specifiche ].
Considera i benefici e i rischi di Qudexy XR quando si somministra questo farmaco in donne di potenziale di gravidanza, in particolare quando la qudexy XR è considerata per una condizione non di solito associata a lesioni permanenti o morte [vedi Utilizzare in popolazioni specifiche E Informazioni sul paziente ]. Qudexy Xr should be used during pregnancy only if the potential benefit outweighs the potential risk. If this drug is used during pregnancy or if the patient becomes pregnant while taking this drug the patient should be informed of the potential hazard to a fetus [see Utilizzare in popolazioni specifiche ].
Ritiro di farmaci antiepilettici
Nei pazienti con o senza una storia di convulsioni o farmaci antiepilettici dell'epilessia, incluso la qudexy XR, dovrebbe essere gradualmente ritirato per ridurre al minimo il potenziale per convulsioni o un aumento della frequenza delle crisi [vedi Studi clinici ]. In situations where rapid withdrawal of Qudexy Xr is medically required appropriate monitoring is recommended.
Diminuzione della densità minerale ossea
I risultati di uno studio controllato attivo di un anno in pazienti pediatrici (n = 63) hanno dimostrato gli effetti negativi della monoterapia con topiramato a rilascio immediato sull'acquisizione minerale ossea attraverso una riduzione statisticamente significativa della densità minerale ossea (BMD) misurata nella colonna lombare e nel corpo totale inferiore alla testa [Vedi la testa [vedi la testa totale [Vedi. Vedi. Vedi la testa del corpo totale [vedi. Vedi. Vedere Utilizzare in popolazioni specifiche ]. Twenty-one percent of immediate-release topiramato-treated patients experienced clinically important reductions in BMD (Z score change from baseline of -0.5 or greater) compared to 0 patients in the control group. Although decreases in BMD occurred across all pediatric age subgroups patients 6 to 9 years of age were most commonly affected. The sample size E study duration were too small to determine if fracture risk is increased. Decreased BMD in the lumbar spine was correlated with decreased serum bicarbonate which commonly occurs with topiramato treatment E reflects metabolic acidosis a known cause of increased bone resorption [see Acidosi metabolica ]. Although small decreases in some markers of bone metabolism (e.g. serum alkaline phosphatase calcium phosphorus E 125-dihydroxyvitamin D) occurred in immediate-release topiramato-treated patients more significant decreases in serum parathyroid hormone E 25-hydroxyvitamin D hormones involved in bone metabolism were observed along with an increased excretion of urinary calcium.
Effetti negativi sulla crescita (altezza e peso)
I risultati di uno studio controllato attivo di un anno di pazienti pediatrici (n = 63) hanno dimostrato gli effetti negativi della monoterapia con topiramato a rilascio immediato sulla crescita (cioè altezza e peso) [vedi Utilizzare in popolazioni specifiche ]. Although continued growth was observed in both treatment groups the immediate-release topiramato group showed statistically significant reductions in mean annual change from baseline in body weight compared to the control group. A similar trend of attenuation in height velocity E height change from baseline was also observed in the immediate-release topiramato group compared to the control group. Negative effects on weight E height were seen across all topiramato age subgroups. Growth (height E weight) of children receiving prolonged Qudexy Xr therapy should be carefully monitored.
Reazioni cutanee gravi
Le gravi reazioni cutanee (sindrome di Stevens-Johnson [SJS] e necrolisi epidermica tossica [dieci]) sono state riportate in pazienti che hanno ricevuto topiramato. Qudexy XR dovrebbe essere sospeso al primo segno di un'eruzione cutanea a meno che l'eruzione cutanea non sia chiaramente correlata al farmaco. Se i segni o i sintomi suggeriscono che non è necessario riprendere gli SJS/dieci di questo farmaco e non è necessario prendere in considerazione la terapia alternativa. Informare i pazienti sui segni di gravi reazioni cutanee.
Iperammonemia e encefalopatia (senza e con uso concomitante di acido valproico)
Il trattamento con topiramato può causare iperammonemia con o senza encefalopatia [vedi Reazioni avverse ]. The risk for hyperammonemia with topiramato appears dose-related. Hyperammonemia has been reported more frequently when topiramato is used concomitantly with valproic acid. Post-marketing cases of hyperammonemia with or without encephalopathy have been reported with topiramato E valproic acid in patients who previously tolerated either drug alone [see Interazioni farmacologiche ].
I sintomi clinici dell'encefalopatia iperammonemica spesso includono alterazioni acute nel livello di coscienza e/o funzione cognitiva con letargia e/o vomito. Nella maggior parte dei casi l'encefalopatia iperammonemica diminuita con l'interruzione del trattamento.
L'incidenza di iperammonemia nei pazienti pediatrici di età compresa tra 12 e 17 anni nel trattamento preventivo degli studi di emicrania è stata del 26% nei pazienti che assumono monoterapia topiramato a 100 mg/die a 100 mg/giorno e 14% nei pazienti che assumono topiramato a 50 mg/giorno rispetto al 9% nei pazienti che assumono placebo. Vi è stata anche una maggiore incidenza di iperammonemia notevolmente aumentata alla dose di 100 mg.
L'iperammonemia correlata alla dose è stata osservata anche nei pazienti pediatrici da 1 a 24 mesi di età trattati con topiramato e acomita acido valproico per epilessia ad esordio parziale e ciò non era dovuto a un'interazione farmacocinetica.
In alcuni pazienti l'iperammonemia può essere asintomatica.
Monitoraggio per iperammonemia
I pazienti con errori innati di metabolismo o una ridotta attività mitocondriale epatica possono essere ad un rischio maggiore di iperammonemia con o senza encefalopatia. Sebbene non sia stato studiato il trattamento con topiramato o un'interazione del trattamento concomitante di topiramato e acido valproico può esacerbare difetti esistenti o scambiare carenze nelle persone sensibili.
Nei pazienti che sviluppano vomito di letargia inspiegabile o cambiamenti nello stato mentale associato a qualsiasi encefalopatia iperammonemica del trattamento con topiramato dovrebbe essere considerato e dovrebbe essere misurato un livello di ammoniaca.
Pietre renali
Il topiramato aumenta il rischio di calcoli renali. Durante gli studi additivi di epilessia aggiuntiva il rischio di calcoli renali negli adulti trattati con topiramato a rilascio immediato è stato dell'1,5% di incidenza da 2 a 4 volte maggiore del previsto in una popolazione simile non trattata. Come nella popolazione generale, l'incidenza della formazione di pietre tra i pazienti trattati con topiramato era più alta negli uomini. I calcoli renali sono stati riportati anche in pazienti pediatrici che assumono topiramato per epilessia o emicrania. Durante il trattamento con topiramato a lungo termine (fino a 1 anno) in uno studio di estensione in aperto di 284 pazienti pediatrici da 1 a 24 mesi con epilessia il 7% ha sviluppato calcoli renali o vescicali. Qudexy XR non è approvato per il trattamento dell'epilessia in pazienti pediatrici di età inferiore a 2 anni [vedi Utilizzare in popolazioni specifiche ].
Topiramato è un inibitore dell'anidrasi carbonica. Gli inibitori dell'anidrasi carbonica possono promuovere la formazione di pietre riducendo l'escrezione di citrato urinario e aumentando il pH urinario [vedi Acidosi metabolica ]. The concomitant use of Qudexy Xr with any other drug producing metabolic acidosis or potentially in patients on a ketogenic diet may create a physiological environment that increases the risk of kidney stone formation E should therefore be avoided.
L'aumento dell'assunzione di liquidi aumenta la produzione urinaria che riduce la concentrazione di sostanze coinvolte nella formazione di pietre. Si raccomanda l'idratazione per ridurre la nuova formazione di pietre.
Un aumento del calcio urinario e una marcata riduzione del citrato urinario è stato osservato nei pazienti pediatrici trattati con topiramato a rilascio immediato in uno studio controllato attivo di un anno [vedi Utilizzare in popolazioni specifiche ]. This increased ratio of urinary calcium/citrate increases the risk of kidney stones E/or nephrocalcinosis .
Ipotermia con concomitante uso di acido valproico
Ipotermia definita come una temperatura del nucleo del corpo drop-in a <35°C (95°F) has been reported in association with topiramato use with concomitant valproic acid both in conjunction with hyperammonemia E in the absence of hyperammonemia. This adverse reaction in patients using concomitant topiramato E valproate can occur after starting topiramato treatment or after increasing the daily dose of topiramato [see Interazioni farmacologiche ]. Consideration should be given to stopping Qudexy Xr or valproate in patients who develop hypothermia which may be manifested by a variety of clinical abnormalities including lethargy confusione coma E significant alterations in other major organ systems such as the cardiovascular E respiratory systems. Clinical management E assessment should include examination of blood ammonia levels.
Informazioni sulla consulenza del paziente
Consiglia ai pazienti di leggere l'etichettatura dei pazienti approvati dalla FDA ( Guida ai farmaci ).
Istruzioni di amministrazione
Consiglio ai pazienti di deglutire le capsule di qudexy XR integne o attentamente aperte e cospargere l'intero contenuto su un cucchiaio di cibi morbidi. Questa miscela di droga/cibo deve essere inghiottita immediatamente e non masticata. Non conservare la miscela di droghe/alimenti per uso futuro [vedi Dosaggio e amministrazione ].
Disturbi degli occhi
Consiglia ai pazienti che assumono Qudexy XR per cercare cure mediche immediate se sperimentano disturbi visivi della visione offuscati o dolore periorbitale [vedi Avvertimenti e precauzioni ].
Oligoidosi e ipertermia
Monitorare da vicino i pazienti trattati con qudexy XR, in particolare i pazienti pediatrici per evidenza di riduzione della sudorazione e aumento della temperatura corporea soprattutto nel caldo. Consulenza ai pazienti di contattare immediatamente i loro operatori sanitari se sviluppano una febbre alta o persistente o diminuisce la sudorazione [vedi Avvertimenti e precauzioni ].
Acidosi metabolica
Avvertire i pazienti sul potenziale rischio significativo di acidosi metabolica che può essere asintomatica e può essere associata a effetti avversi sui reni (ad es. Nefrocalcinosi calcoli renali) ossa (ad esempio l'osteooporosi osteomalacia e/o il ramket nei bambini) e la crescita della crescita (retalizzazione della crescita) nei pazienti pediatrici e sul feto. Avvertimenti e precauzioni E Utilizzare in popolazioni specifiche ].
Comportamento suicida e ideazione
Consiglio ai pazienti che i loro caregiver e le loro famiglie che i DAE, tra cui la qudexy XR, possono aumentare il rischio di pensieri e comportamenti suicidari e dovrebbero essere consigliati della necessità di essere vigili per l'emergere o il peggioramento dei segni e dei sintomi della depressione eventuali cambiamenti insoliti nell'umore o nell'emergenza o dell'emergenza di pensieri suicidali o pensieri sull'autoriale. Istruire i pazienti a segnalare immediatamente comportamenti di preoccupazione per i loro operatori sanitari [vedi Avvertimenti e precauzioni ].
Interferenza con prestazioni cognitive e motorie
Avvertire i pazienti sul potenziale per la sonnolenza Diffusione Diffusione Difficoltà a concentrarsi gli effetti visivi e consigliare ai pazienti di non guidare o gestire macchinari fino a quando non hanno acquisito un'esperienza sufficiente su Qudexy XR per valutare se influisce negativamente sulle prestazioni motorie e/o visione delle prestazioni mentali [vedi visione Avvertimenti e precauzioni ].
Anche quando si assumono Qudexy XR o altri anticonvulsiranti, alcuni pazienti con epilessia continueranno ad avere convulsioni imprevedibili. Pertanto consiglia a tutti i pazienti che assumono Qudexy XR per l'epilessia per esercitare un'appropriata cautela quando si impegnano in qualsiasi attività in cui la perdita di coscienza potrebbe comportare un grave pericolo per se stessi o per coloro che li circondano (incluso il nuoto che guida un'arrampicata in auto in luoghi alti ecc.). Alcuni pazienti con epilessia refrattaria dovranno evitare del tutto tali attività. Discutere il livello appropriato di cautela con i pazienti prima che i pazienti con epilessia si impegnino in tali attività.
Tossicità fetale
Informare le donne e le donne in gravidanza di potenziale di gravidanza che l'uso della qudexy XR durante la gravidanza può causare danni fetali. Qudexy XR ha aumentato il rischio di maggiori malformazioni congenite, tra cui ma non limitate al labbro delle fessure e/o al palatoschisi (fessure orali) che si verificano all'inizio della gravidanza prima che molte donne sanno di essere incinte. Informare anche i pazienti che i bambini esposti alla monoterapia con topiramato in utero può essere piccolo per la loro età gestazionale. Potrebbero esserci anche rischi per il feto dall'acidosi metabolica cronica con l'uso della qudexy XR durante la gravidanza [vedi Avvertimenti e precauzioni E Utilizzare in popolazioni specifiche ].
Se appropriato consulenza, le donne e le donne in gravidanza di potenziale di gravidanza riguardano opzioni terapeutiche alternative. Consiglia alle donne del potenziale di gravidanza che non stanno pianificando una gravidanza per utilizzare una contraccezione efficace mentre si utilizza la qudexy XR tenendo presente che esiste un potenziale per la ridotta efficacia contraccettiva quando si utilizzano gli estrogeni contenenti o progestinici con il topiramato [vedi Interazioni farmacologiche ].
Incoraggiare le donne in gravidanza che usano la qudexy XR per iscriversi al registro di gravidanza del farmaco antiepilettico nordamericano (NAAED). Il registro sta raccogliendo informazioni sulla sicurezza dei farmaci antiepilettici durante la gravidanza [vedi Utilizzare in popolazioni specifiche ].
Diminuzione della densità minerale ossea
Informare il paziente o il caregiver che il trattamento a lungo termine con qudexy XR può ridurre la formazione ossea e aumentare il riassorbimento osseo nei bambini [vedi Avvertimenti e precauzioni ].
posso prendere 150 mg di viagra
Effetti negativi sulla crescita (altezza e peso)
Discutere con il paziente o il caregiver che il trattamento qudexy XR a lungo termine può attenuare la crescita come riflessa da un aumento di altezza più lenta e aumento di peso nei pazienti pediatrici [vedi Avvertimenti e precauzioni ].
Reazioni cutanee gravi
Informare i pazienti sui segni di gravi reazioni cutanee. Istruire i pazienti a informare immediatamente il proprio operatore sanitario alla prima apparizione di eruzione cutanea [vedi Avvertimenti e precauzioni ].
Iperammonemia e encefalopatia
Avvertire i pazienti sul possibile sviluppo dell'iperammonemia con o senza encefalopatia. Sebbene l'iperammonemia possa essere i sintomi clinici asintomatici dell'encefalopatia iperammonemica spesso includono alterazioni acute nel livello di coscienza e/o funzione cognitiva con letargia e/o vomito. Questa iperammonemia e encefalopatia possono svilupparsi con il solo trattamento con topiramato o con il trattamento con topiramato con acido valproico concomitante (VPA).
Istruire i pazienti a contattare il proprio medico se sviluppano vomito di letargia inspiegabile o cambiamenti nello stato mentale [vedi Avvertimenti e precauzioni ].
Pietre renali
Istruire i pazienti in particolare quelli con fattori predisponenti per mantenere un'adeguata assunzione di liquidi al fine di ridurre al minimo il rischio di formazione Avvertimenti e precauzioni ].
Ipotermia
Consiglio dei pazienti che la qudexy XR può causare una riduzione della temperatura corporea che può portare ad alterazioni dello stato mentale. Se notano tali cambiamenti, dovrebbero chiamare il loro professionista sanitario e misurare la temperatura corporea. I pazienti che assumono acomita acido valproico devono essere specificamente consigliati su questa potenziale reazione avversa [vedi Avvertimenti e precauzioni ].
Tossicologia non clinica
Mutagenesi della carcinogenesi compromissione della fertilità
Carcinogenesi
Un aumento dei tumori della vescica urinaria è stato osservato nei topi dati topiramato (0 20 75 e 300 mg/kg/die) nella dieta per 21 mesi. Un aumento dell'incidenza dei tumori della vescica nei maschi e nelle femmine che ricevevano 300 mg/kg/die è stato principalmente dovuto all'aumento della presenza di un tumore muscolare liscio considerato istomorfologicamente unico per i topi. Il più alto delle dosi non associate ad un aumento dei tumori (75 mg/kg/giorno) è equivalente alla dose umana raccomandata massima (MRHD) per l'epilessia (400 mg) e circa 4 volte il MRHD per emicrania (100 mg) su un mg/m 2 base. La rilevanza di questa scoperta per il rischio cancerogeno umano è incerta.
Nessuna prova di cancerogenicità è stata osservata nei ratti a seguito della somministrazione orale di topiramato per 2 anni a dosi fino a 120 mg/kg/giorno (circa 3 volte l'MRHD per epilessia e 12 volte l'MRHD per emicrania su un mg/m 2 base).
Mutagenesi
Il topiramato non ha dimostrato il potenziale genotossico quando testato in una batteria di in vitro E in vivo saggi. Il topiramato non era mutageno nel test Ames o nel in vitro Tosaggio del linfoma del topo; Non ha aumentato la sintesi del DNA non programmato negli epatociti di ratto in vitro ; e non ha aumentato le aberrazioni cromosomiche nei linfociti umani in vitro o nel midollo osseo di ratto in vivo .
Compromissione della fertilità
Non sono stati osservati effetti avversi sulla fertilità maschile o femminile nei ratti somministrati topiramato per via orale a dosi fino a 100 mg/kg/giorno (NULL,5 volte l'MRHD per epilessia e 10 volte l'MRHD per emicrania su un mg/m 2 base) prima e durante l'accoppiamento e la gravidanza precoce.
Utilizzare in popolazioni specifiche
Gravidanza
Gravidanza Exposure Registry
Esiste un registro di esposizione alla gravidanza che monitora gli esiti di gravidanza nelle donne esposte a farmaci antiepilettici (DAE) come Qudexy XR durante la gravidanza. I pazienti dovrebbero essere incoraggiati a iscriversi al registro di gravidanza antiepilettico nordamericano (NAAED) se rimangono incinti. Questo registro sta raccogliendo informazioni sulla sicurezza dei farmaci antiepilettici durante la gravidanza. Per arruolare i pazienti può chiamare il numero 1-888-233-2334. Le informazioni sul registro della gravidanza della droga nordamericana sono disponibili all'indirizzo https://www.aedpregnancyregistry.org/.
Riepilogo del rischio
Qudexy Xr can cause fetal harm when administered to a pregnant woman. Dati from pregnancy registries indicate that infants exposed to topiramato in utero hanno aumentato il rischio di gravi malformazioni congenite tra cui ma non limitate al labbro e/o al palatoschisi (fessure orali) e di essere piccoli per l'età gestazionale (SGA) [vedi Dati umani ]. SGA has been observed at all doses E appears to be dose-dependent. The prevalence of SGA is greater in infants of women who received higher doses of topiramato during pregnancy. In addition the prevalence of SGA in infants of women who continued topiramato use until later in pregnancy is higher compared to the prevalence in infants of women who stopped topiramato use before the third trimester.
In più specie animali, il topiramato ha dimostrato tossicità dello sviluppo tra cui una maggiore incidenza di malformazioni fetali in assenza di tossicità materna a dosi clinicamente rilevanti [vedi Dati sugli animali ].
Tutte le gravidanze hanno un rischio di fondo di perdita di difetti alla nascita o altri risultati avversi. Il rischio di background stimato di principali difetti alla nascita e aborto spontaneo per la popolazione indicata non è noto. Nella popolazione generale degli Stati Uniti i rischi di fondo stimati di importanti difetti alla nascita e aborti di aborto nelle gravidanze clinicamente riconosciute sono rispettivamente dal 2% al 4% e dal 15% al 20%.
Considerazioni cliniche
Reazioni avverse fetali/neonatali
Considera i benefici e i rischi del topiramato quando si prescrive questo farmaco alle donne di potenziale fermo in particolare quando il topiramato è considerato per una condizione non di solito associata a lesioni permanenti o morte. A causa del rischio di schisi orali per il feto che si verificano nel primo trimestre di gravidanza prima che molte donne sappiano di essere incinta, tutte le donne di potenziale di gravidanza dovrebbero essere informate del potenziale rischio per il feto dall'esposizione al topiramato. Le donne che stanno pianificando una gravidanza dovrebbero essere consigliate in merito ai rischi relativi e ai benefici dell'uso di topiramato durante la gravidanza e le opzioni terapeutiche alternative dovrebbero essere prese in considerazione per questi pazienti.
Manodopera o parto
Sebbene l'effetto del topiramato sul travaglio e sul parto nell'uomo non sia stato stabilito lo sviluppo dell'acidosi metabolica indotta da topiramato nella madre e/o nel feto potrebbe influire sulla capacità del feto di tollerare il travaglio.
Qudexy Xr treatment can cause metabolic acidosis [see Avvertimenti e precauzioni ]. The effect of topiramato-induced metabolic acidosis has not been studied in pregnancy; however metabolic acidosis in pregnancy (due to other causes) can cause decreased fetal growth decreased fetal oxygenation E fetal death E may affect the fetus’ ability to tolerate labor. Pregnant patients should be monitored for metabolic acidosis E treated as in the nonpregnant state [see Avvertimenti e precauzioni ]. Newborns of mothers treated with Qudexy Xr should be monitored for metabolic acidosis because of transfer of topiramato to the fetus E possible occurrence of transient metabolic acidosis following birth.
Basato su informazioni limitate Topiramato è stato anche associato al lavoro pre-termine e alla consegna prematura.
Dati
Dati umani
Dati from pregnancy registries indicate an increased risk of major congenital malformations including but not limited to oral clefts in infants exposed to topiramato during the first trimester of pregnancy. Altro than oral clefts no specific pattern of major congenital malformations or grouping of major congenital malformation types were observed. In the NAAED pregnancy registry when topiramato-exposed infants with only oral clefts were excluded the prevalence of major congenital malformations (4.1%) was higher than that in infants exposed to a reference AED (1.8%) or in infants with mothers without epilessia E without exposure to AEDs (1.1%). The prevalence of oral clefts among topiramato-exposed infants (1.4%) was higher than the prevalence in infants exposed to a reference AED (0.3%) or the prevalence in infants with mothers without epilessia E without exposure to AEDs (0.11%). It was also higher than the background prevalence in the United States (0.17%) as estimated by the Centers for Disease Control E Prevention (CDC). The relative risk of oral clefts in topiramato-exposed pregnancies in the NAAED Gravidanza Registry was 12.5 (95% Confidence Interval=[CI] 5.9 to 26.37) as compared to the risk in a background population of untreated women. The UK Epilessia E Gravidanza Register reported a prevalence of oral clefts among infants exposed to topiramato monotherapy (3.2%) that was 16 times higher than the background rate in the UK (0.2%).
Dati from the NAAED pregnancy registry E a population-based birth registry cohort indicate that exposure to topiramato in utero è associato ad un aumentato rischio di neonati SGA (peso alla nascita <10 th percentile). Nel registro di gravidanza Naaed il 19,7% dei neonati esposti a topiramato erano SGA rispetto al 7,9% dei neonati esposti a un DAC di riferimento e al 5,4% dei neonati di madri senza epilessia e senza esposizione al DAE. Nel registro delle nascite mediche della Norvegia (MBRN) un registro di gravidanza basato sulla popolazione il 25% dei neonati nel gruppo di esposizione a monoterapia topiramica era SGA rispetto al 9% nel gruppo di confronto che erano inasprimiti con DAE. Le conseguenze a lungo termine dei risultati SGA non sono note.
Dati sugli animali
Quando il topiramato (0 20 100 o 500 mg/kg/giorno) è stato somministrato per via orale ai topi in gravidanza durante il periodo di organogenesi, l'incidenza di malformazioni fetali (principalmente difetti craniofacciali) sono state aumentate a tutte le dosi. I pesi corporei fetali e l'ossificazione scheletrica sono stati ridotti alla dose più alta testata in combinazione con una riduzione dell'aumento di peso corporeo materno. Non è stata identificata una dose senza effetto per la tossicità dello sviluppo embriofetale nei topi. La dose più bassa testata, associata ad una maggiore incidenza di malformazioni, è inferiore alla massima dose umana raccomandata (MRHD) per l'epilessia (400 mg/giorno) o l'emicrania (100 mg/giorno) su una superficie corporea (mg/m 2 ) Base.
Nei ratti in gravidanza somministrati topiramato (0 20 100 e 500 mg/kg/giorno o 0 0,2 2,5 30 e 400 mg/kg/giorno) per via orale durante il periodo di organogenesi La frequenza delle malformazioni degli arti (ectrodattily micromelia e amelia) è stata aumentata in 400 e 500 mg/kg/giorno. L'embritossicità (ridotti pesi corporei fetali ha aumentato le incidenze di variazioni strutturali) a dosi fino a 20 mg/kg/die. I segni clinici di tossicità materna sono stati osservati a 400 mg/kg/die e l'aumento di peso corporeo materno è stato ridotto a dosi di 100 mg/kg/giorno o superiore. La dose senza effetto (NULL,5 mg/kg/giorno) per la tossicità dello sviluppo embriofetale nei ratti è inferiore all'MRHD per l'epilessia o l'emicrania su un mg/m 2 base.
In conigli incinti somministrati topiramato (0 20 60 e 180 mg/kg/giorno o 0 10 35 e 120 mg/kg/giorno) per via orale durante l'organogenesi l'embriofetale è stata aumentata a 35 mg/kg/giorno. Sono state osservate prove di tossicità materna (riduzione dei segni clinici di aumento del peso corporeo e/o mortalità) a 35 mg/kg/giorno e superiore. La dose senza effetto (20 mg/kg/giorno) per la tossicità dello sviluppo embriofetale nei conigli è equivalente all'MRHD per l'epilessia e circa 4 volte il MRHD per emicrania su un mg/m 2 base.
Quando il topiramato (0 0,2 4 20 e 100 mg/kg/giorno o 0 2 20 e 200 mg/kg/giorno) è stato somministrato per via orale ai ratti femminili durante l'ultima parte della gestazione e durante la prole dell'allattamento esibita in una riduzione della fattibilità e di un ritardo fisico e di uno sviluppo fisico ritardato. La tossicità materna (riduzione dei segni clinici di aumento del peso corporeo) era evidente a 100 mg/kg/giorno o superiore. In uno studio di sviluppo dell'embriofetale di ratto che includeva la valutazione postnatale della somministrazione orale di prole di topiramato (0 0,2 2,5 30 e 400 mg/kg/giorno) agli animali in gravidanza durante il periodo di organogenesi hanno portato a uno sviluppo fisico ritardato e in una prole di prole a 400 mg/kg/giorno e una riduzione persistente in una riduzione del peso corporeo in offspring a 30 mg/giorno e in alto giorno. La dose senza effetto (NULL,2 mg/kg/giorno) per la tossicità dello sviluppo pre e postnatale nei ratti è inferiore all'MRHD per l'epilessia o l'emicrania su un mg/m 2 base.
Lattazione
Riepilogo del rischio
Il topiramato viene escreto nel latte umano [vedi Dati ]. The effects of topiramato on milk production are unknown. Diarrhea E somnolence have been reported in breastfed infants whose mothers receive topiramato treatment.
I benefici per lo sviluppo e la salute dell'allattamento dovrebbero essere considerati insieme alla necessità clinica della madre di qudexy XR e a potenziali effetti avversi sul bambino allattato al seno dalla qudexy XR o dalla condizione materna sottostante.
Dati
Dati umani
I dati limitati di 5 donne con epilessia trattati con topiramato durante l'allattamento hanno mostrato livelli di droga nel latte simile a quelli del plasma materno.
Femmine e maschi di potenziale riproduttivo
Contraccezione
Le donne del potenziale di gravidanza che non stanno pianificando una gravidanza dovrebbero utilizzare una contraccezione efficace a causa del rischio di maggiori malformazioni congenite tra cui le fessure orali e il rischio che i bambini siano SGA [vedi Interazioni farmacologiche E Gravidanza ].
Pediatrico Use
Trattamento aggiuntivo per epilessia
Pediatrico Patients 2 Years of Age E Older
La sicurezza e l'efficacia della qudexy XR come terapia aggiuntiva per il trattamento delle convulsioni parziali di sequestri tonici generalizzati primari o convulsioni associate alla sindrome di Lennox-Gastaut sono state stabilite in pazienti pediatrici di età pari o superiore a 2 anni e si basano su studi controllati con studi controllati a punta immediata [vedi Reazioni avverse E Studi clinici ].
Le reazioni avverse (sia comuni che gravi) nei pazienti pediatrici sono simili a quelle osservate negli adulti [vedi Avvertimenti e precauzioni E Reazioni avverse ].
Questi includono ma non sono limitati a:
- oligoidosi e ipertermia [vedi Avvertimenti e precauzioni ]
- Aumentata incidenza dose-correlata dell'acidosi metabolica [vedi Avvertimenti e precauzioni ]
- Aumentata incidenza di iperammonemia correlata alla dose [vedi Avvertimenti e precauzioni ]
Pediatrico Patients Below the Age of 2 Years
Le seguenti informazioni sull'uso pediatrico si basano su studi condotti con topiramato a rilascio immediato.
La sicurezza ed efficacia in pazienti di età inferiore ai 2 anni non è stata stabilita per il trattamento con terapia aggiuntiva di convulsioni ad esordio parziale convulsioni o convulsioni toniche-cloniche generalizzate primarie associate alla sindrome di Lennox-Gastaut. In un singolo studio investigativo randomizzato in doppio cieco controllato in doppio cieco la sicurezza di efficacia e la tollerabilità della terapia farmacologica orale a rilascio immediato e delle formulazioni di trasparenza orale in aggiunta alla terapia antiepilettica con le crocchette di integrazione parziale. Dopo 20 giorni di trattamento in doppio cieco a rilascio immediato topiramato (a dosi fisse di 5 15 e 25 mg/kg/giorno) non ha dimostrato l'efficacia rispetto al placebo nel controllo delle convulsioni.
In generale, il profilo di reazione avversa per il topiramato a rilascio immediato in questa popolazione era simile a quello dei pazienti pediatrici più anziani, sebbene i risultati dello studio di cui sopra controllato e uno studio di estensione a lungo termine a lungo termine in questi pazienti pediatrici di 1-24 mesi avevano suggerito alcune reazioni avverse/tossicità non precedentemente osservate nei pazienti pediatrici più anziani e negli adulti; cioè ritardo di crescita/lunghezza alcune anomalie di laboratorio clinico e altre reazioni/tossicità avverse che si sono verificate con una frequenza maggiore e/o una gravità maggiore di quanto non fosse stato riconosciuto in precedenza dagli studi su pazienti pediatrici più anziani o adulti per varie indicazioni.
Questi pazienti pediatrici molto giovani sembravano rischiare un rischio maggiore di infezioni (qualsiasi dose di topiramato del 12% placebo 0%) e di disturbi respiratori (qualsiasi dose di topiramato 40% placebo 16%). Le seguenti reazioni avverse sono state osservate in almeno il 3% dei pazienti con topiramato a rilascio immediato e erano più frequenti dal 3% al 7% rispetto ai pazienti sul placebo: bronchite virale bronchite faringite otite media di infezione respiratoria tosse e broncospasmo. Un profilo generalmente simile è stato osservato nei pazienti pediatrici più anziani [vedi Reazioni avverse ].
Il topiramato a rilascio immediato ha comportato una maggiore incidenza di pazienti con aumento della creatinina (qualsiasi dose di topiramato 5% placebo 0%) BUN (qualsiasi dose di topiramato 3% placebo 0%) e proteina (qualsiasi dose di topiramato 34% placebo 6%) e una maggiore incidenza di potassio diminuito (dose topiramato 7% 0%). Questa maggiore frequenza di valori anormali non è stata correlata alla dose. La creatinina era l'unico analita che mostrava una maggiore incidenza maggiore (topiramato 25 mg/kg/giorno 5% placebo 0%) di un aumento marcatamente anormale [vedi Reazioni avverse ]. The significance of these findings is uncertain.
Il trattamento con topiramato a rilascio immediato ha anche prodotto un aumento dose-correlato della percentuale di pazienti che si sono spostati dal normale al basale all'alto/aumentato (al di sopra del normale intervallo di riferimento) nel conteggio totale degli eosinofili alla fine del trattamento. L'incidenza di questi cambiamenti anormali è stato del 6% per placebo 10% per 5 mg/kg/giorno 9% per 15 mg/kg/giorno 14% per 25 mg/kg/giorno e 11% per qualsiasi dose di topiramato [vedi Reazioni avverse ]. There was a mean dose-related increase in alkaline phosphatase. The significance of these findings is uncertain.
Topiramato ha prodotto una maggiore incidenza di iperammonemia correlata alla dose [vedi Avvertimenti e precauzioni ].
Il trattamento con topiramato a rilascio immediato per un massimo di 1 anno è stato associato a riduzioni dei punteggi Z per peso e circonferenza della testa [vedi Avvertimenti e precauzioni E Reazioni avverse ].
Nell'esperienza incontrollata in aperto aumentando la compromissione del comportamento adattivo è stata documentata nei test comportamentali nel tempo in questa popolazione. C'è stato un suggerimento che questo effetto fosse legato alla dose. Tuttavia, a causa dell'assenza di un gruppo di controllo appropriato, non è noto se questo decremento della funzione fosse correlato al trattamento o riflette la malattia sottostante del paziente (ad esempio i pazienti che hanno ricevuto dosi più elevate possono avere una malattia di base più grave) [vedi Avvertimenti e precauzioni ].
In questo studio non controllato in aperto la mortalità era di 37 decessi/1000 anni di pazienti. Non è possibile sapere se questo tasso di mortalità è correlato al trattamento con topiramato a rilascio immediato perché non è noto il tasso di mortalità di fondo per una popolazione pediatrica giovane significativamente refrattaria in modo significativo (da 1 a 24 mesi) con epilessia parziale.
Trattamento di monoterapia per epilessia
Pediatrico Patients 2 Years of Age E Older
La sicurezza e l'efficacia della qudexy XR come monoterapia per il trattamento di convulsioni ad esordio parziale o convulsioni toniche-cloniche generalizzate primarie sono stati stabiliti in pazienti pediatrici di età pari o superiore a 2 anni e si basano su studi controllati con topiramato a rilascio immediato [vedi Reazioni avverse E Studi clinici ].
Uno studio di emergenza aperto attivo attivo di un anno con valutazioni cieche della densità minerale ossea (BMD) e crescita nei pazienti pediatrici di età compresa tra 4 e 15 anni, inclusi 63 pazienti con recente o nuova insorgenza di epilessia per valutare gli effetti della monotina immediata a bomit di release (n = 26-15 anni) Altezza e peso che riflettono la crescita. Gli effetti sulla mineralizzazione ossea sono stati valutati tramite assorbtiometria a raggi X e marcatori di sangue a doppia energia. La tabella 11 riassume gli effetti del topiramato a rilascio immediato a 12 mesi per i risultati della sicurezza chiave tra cui la velocità e il peso dell'altezza di altezza BMD. Tutti i valori medi minimi quadrati per il topiramato a rilascio immediato e il comparatore erano positivi. Pertanto, le differenze di trattamento medio meno quadrate mostrate riflettono un'attenuazione indotta da topiramato dei principali risultati di sicurezza. Sono stati osservati effetti statisticamente significativi per una riduzione del BMD (e del contenuto di minerali ossei) nella colonna lombare e nel corpo totale meno testa e in peso. Le analisi dei sottogruppi in base all'età hanno dimostrato effetti negativi simili per tutti i risultati chiave di sicurezza (ovvero peso in altezza BMD).
Tabella 11: Riepilogo delle differenze di trattamento con topiramato a rilascio immediato Risultati a 12 mesi per i risultati della sicurezza chiave
| Parametro di sicurezza | Differenza di trattamento in mezzi meno quadrati (Intervallo di confidenza al 95 %) |
| Cambiamento annuale nella colonna lombare BMD (G/CM 2 ) | -0.036 (-0.058 -0.014) |
| Modifica annuale in BMD TBLH* (G/CM 2 ) | -026 (-039 -0.012) |
| Cambiamento annuale in altezza (cm) (da 4 a 9 anni Popolazione di analisi primaria per altezza) ** | -0,84 (-2,67 0,99) |
| Cambiamento annuale in altezza (cm) (da 4 a 15 anni) | -0,75 (-2,21 0,71) |
| Cambiamento annuale in altezza (cm) (da 10 a 15 anni) | -1.01 (-3.64 1.61) |
| Velocità di altezza (cm/anno) (da 4 a 9 anni) | 1,00 (-2,76 0,76) |
| Velocità di altezza (cm/anno) (da 4 a 15 anni) | -0,98 (-2,33 0,37) |
| Velocità di altezza (cm/anno) (da 10 a 15 anni) | -0.96 (-3.24 1.32) |
| Cambiamento annuale di peso (kg) | -2.05 (-3.66 -0.45) |
| * Tblh = corpo totale meno testa ** Considerando che nessun paziente è stato randomizzato a 2-5 anni di età per il sottogruppo di topiramato a rilascio immediato 5 (da 4 a 5 anni) sono stati randomizzati al gruppo di controllo attivo |
Acidosi metabolica (bicarbonato sierico <20 mEq/L) was observed in all immediate-release topiramato-treated patients at some time in the study [see Avvertimenti e precauzioni ]. Over the whole study 76% more immediate-release topiramato-treated patients experienced persistent metabolic acidosis (i.e. 2 consecutive visits with or final serum bicarbonate <20 mEq/L) compared to levetiracetam-treated patients. Over the whole study 35% more immediate-release topiramato-treated patients experienced a markedly abnormally low serum bicarbonate (i.e. absolute value < 17 mEq/L E ≥ 5 mEq/L decrease from pre-treatment) indicating the frequency of more severe metabolic acidosis compared to levetiracetam-treated patients. The decrease in BMD at 12 months was correlated with decreased serum bicarbonate suggesting that metabolic acidosis was at least a partial factor contributing to this adverse effect on BMD.
I pazienti trattati con topiramato a rilascio immediato hanno mostrato un aumentato rischio di sviluppare un aumento della creatinina sierica e un aumento del glucosio sierico al di sopra dell'intervallo di riferimento normale rispetto ai pazienti di controllo.
Pediatrico Patients Below the Age of 2 Years
La sicurezza e l'efficacia nei pazienti di età inferiore ai 2 anni non sono stati stabiliti per il trattamento con monoterapia dell'epilessia.
Trattamento preventivo dell'emicrania
Pediatrico Patients 12 to 17 Years of Age
La sicurezza e l'efficacia del topiramato per il trattamento preventivo dell'emicrania sono state studiate in 5 studi a group parallele randomizzati in doppio cieco in un totale di 219 pazienti pediatrici a dosi da 50 a 200 mg/giorno o 2-3 a 3 mg/kg/giorno. Questi comprendevano uno studio di dose fissa in 103 pazienti pediatrici da 12 a 17 anni [vedi Studi clinici ] Uno studio di dose flessibile (da 2 a 3 mg/kg/giorno) controllata con placebo in 157 pazienti pediatrici da 6 a 16 anni di età (inclusi 67 pazienti pediatrici da 12 a 16 anni di età) e un totale di 49 pazienti pediatrici da 12 a 17 anni in 3 studi per il trattamento preventivo dell'emicrania principalmente negli adulti. Le fasi di estensione in aperto di 3 studi hanno consentito la valutazione della sicurezza a lungo termine fino a 6 mesi dopo la fine della fase in doppio cieco.
L'efficacia del topiramato per il trattamento preventivo dell'emicrania nei pazienti pediatrici di età compresa tra 12 e 17 anni è dimostrata per una dose giornaliera di 100 mg nello studio 13 [vedi Studi clinici ]. Efficacy of topiramato (2 to 3 mg/kg/day) for the preventive treatment of migraine was not demonstrated in a placebo-controlled trial of 157 pediatric patients (6 to 16 years of age) that included treatment of 67 pediatric patients (12 to 16 years of age) for 20 weeks.
Negli studi pediatrici (12-17 anni) in cui i pazienti sono stati randomizzati in placebo o una dose giornaliera fissa di topiramato a rilascio immediato, le reazioni avverse più comuni con topiramato a rilascio immediato che sono stati osservati in un incidenza più alto (≥ 5%) rispetto al gruppo placebo: il parentesia dell'anoressia dell'infezione respiratoria superiore e il dolore addominale [vede addominali [vedere il dolore addominale [vedi abuso. Reazioni avverse ].
La reazione avversa cognitiva più comune negli studi in doppio cieco in doppio cieco nei pazienti pediatrici di età compresa tra 12 e 17 anni è stata difficoltà a concentrazione/attenzione [vedi Avvertimenti e precauzioni ].
Valori di bicarbonato sierica notevolmente basso sono indicativi di acidosi metabolica sono stati riportati in pazienti pediatrici trattati con topiramato [vedi Avvertimenti e precauzioni ].
Nei pazienti pediatrici trattati con topiramato (12-17 anni di età) rispetto ai pazienti trattati con placebo aumentati i risultati erano più frequenti per la proteina e le piastrine totali di cloruro di acido uriga di creatinina. Sono stati osservati risultati anormalmente ridotti con trattamento topiramato vs placebo per fosforo e bicarbonato [vedi Avvertimenti e precauzioni E Reazioni avverse ].
Sono stati osservati notevoli cambiamenti (aumenti e diminuzioni) dalla linea di base nella pressione ariarmente della pressione arteriosa sistolica e sono stati osservati il polso si sono verificati più comunemente nei pazienti pediatrici trattati con topiramato rispetto ai pazienti pediatrici trattati con placebo [vedi Farmacologia clinica ].
Pediatrico Patients Below the Age of 12 Years
La sicurezza e l'efficacia nei pazienti pediatrici di età inferiore ai 12 anni non sono stati stabiliti per il trattamento preventivo dell'emicrania.
In uno studio in doppio cieco in 90 pazienti pediatrici di età compresa tra 6 e 11 anni (di cui 59 topiramatetrezzati e 31 pazienti con placebo) il profilo di reazione avversa era generalmente simile a quello osservato negli studi in doppio cieco in doppio cieco di pazienti pediatrici da 12 a 17 anni. Le reazioni avverse più comuni che si sono verificate nei pazienti pediatrici trattati con topiramato immediato da 6 a 11 anni e almeno il doppio rispetto al placebo erano gastroenterite (12% topiramato 6% di placebo) Sinusite (7% di topiramato 0%). Difficoltà con concentrazione/attenzione si è verificata in 3 pazienti trattati con topiramato (5%) e 0 pazienti trattati con placebo.
Il rischio di reazione avversa cognitiva era maggiore nei pazienti più giovani (6-11 anni) rispetto ai pazienti più anziani (12-17 anni di età) [vedi Avvertimenti e precauzioni ].
Studi per animali giovanili
Quando il topiramato (0 30 90 o 300 mg/kg/giorno) è stato somministrato per via orale ai ratti durante il periodo di sviluppo giovanile (giorni postnatali da 12 a 50) lo spessore della piastra di crescita ossea è stato ridotto nei maschi alla dose più alta che è circa 5-8 volte la dose pediatrica consigliata massima (9 mg/kg/giorno) su una superficie del corpo (MG/MG 2 ) Base.
Uso geriatrico
Studi clinici sul topiramato a rilascio immediato non includevano un numero sufficiente di soggetti di età pari o superiore a 65 anni per determinare se rispondono in modo diverso rispetto ai soggetti più giovani. La regolazione del dosaggio può essere necessaria per gli anziani con spazio di creatinina inferiore a 70 ml/min/1,73 m 2 . Stimare il GFR deve essere misurato prima del dosaggio [vedi Dosaggio e amministrazione E Farmacologia clinica ].
Compromissione renale
La clearance del topiramato è ridotta nei pazienti con moderato (clearance della creatinina da 30 a 69 ml/min/1,73 m 2 ) e grave (clearance della creatinina inferiore a 30 ml/min/1,73 m 2 ) compromissione renale. Un regolazione del dosaggio è raccomandato in pazienti con compromissione renale moderata o grave [vedi Dosaggio e amministrazione E Farmacologia clinica ].
Quali sono gli effetti dei percocetti
Pazienti sottoposti a emodialisi
Il topiramato viene eliminato dall'emodialisi ad una velocità da 4 a 6 volte maggiore rispetto a un individuo normale. Potrebbe essere richiesto una regolazione del dosaggio [vedi Dosaggio e amministrazione E Farmacologia clinica ].
Informazioni per overdose per qudexy xr
Sono state segnalate overdose di topiramato. Segnali e sintomi includevano convulsioni sonnolenza disturbi del discorso della diplopia della visione offuscata della letargia coordinamento anormale di stupore Ipotensione del dolore addominale Agitazione e depressione. Le conseguenze cliniche non sono state gravi nella maggior parte dei casi, ma i decessi sono stati segnalati dopo overdose che coinvolgono topiramato.
Il sovradosaggio topiramato ha provocato grave acidosi metabolica [vedi Avvertimenti e precauzioni ].
Un paziente che ha ingerito una dose di topiramato a rilascio immediato tra 96 g e 110 g è stato ammesso in un ospedale con un coma che durava 20-24 ore, seguito da un recupero completo dopo 3-4 giorni.
Segnali simili sintomi e conseguenze cliniche si prevede che si verifichino overdosage di Qudexy XR. Pertanto, in caso di qudexy xr overdose, la qudexy XR dovrebbe essere sospesa e il trattamento generale di supporto somministrato fino a quando la tossicità clinica non è stata ridotta o risolta.
L'emodialisi è un mezzo efficace per rimuovere il topiramato dal corpo.
Controindicazioni per qudexy xr
Nessuno.
Farmacologia clinica for Qudexy Xr
Meccanismo d'azione
I meccanismi precisi con cui il topiramato esercita gli effetti di emicrania anticonvulsivante e preventiva sono sconosciuti; Tuttavia, studi preclinici hanno rivelato quattro proprietà che possono contribuire all'efficacia di Topiramato per l'epilessia e al trattamento preventivo dell'emicrania. L'evidenza elettrofisiologica e biochimica suggerisce che il topiramato a concentrazioni farmacologicamente rilevanti blocca i canali di sodio dipendenti dalla tensione aumentano l'attività del neurotrasmettitore gamma-aminobutirrato al recettore di Gaba-A antegonizza in particolare isozimi II e IV.
Farmacodinamica
Il topiramato ha attività anticonvulsivante nei test di convulsione elettroshock (MES) di ratto e topo. Il topiramato è debolmente efficace solo nel bloccare le convulsioni cloniche indotte dall'antagonista del recettore GABA-A pentilenetetrazolo. Il topiramato è efficace anche nei modelli di roditori di epilessia che includono convulsioni toniche e simili all'assenza nel ratto epilettico spontaneo (Ser) e nelle crisi toniche e cloniche indotte nei ratti accendendo l'amigdala o per l'ischemia globale.
I cambiamenti (aumenti e diminuzioni) dal basale nei segni vitali (impulso diastolico della pressione arteriosa-SBP della pressione arteriosa-DBP) si sono verificati più frequentemente nei pazienti pediatrici (da 6 a 17 anni) trattati con varie dosi giornaliere di topiramato (50 mg 100 mg 200 mg da 2 a 3 mg/kg) rispetto ai pazienti trattati con il petbo in studi controllati per il trattamento preventivo per il trattamento preventivo per il trattamento preventivo per il trattamento preventivo. I cambiamenti più notevoli sono stati SBP <90 mm Hg DBP < 50 mm Hg SBP or DBP increases or decreases ≥ 20 mm Hg E pulse increases or decreases ≥ 30 beats per minute. These changes were often dose-related E were most frequently associated with the greatest treatment difference at the 200 mg dose level. Systematic collection of orthostatic vital signs has not been conducted. The clinical significance of these various changes in vital signs has not been clearly established.
Farmacocinetica
Assorbimento e distribuzione
La farmacocinetica di Qudexy XR è lineare con aumenti proporzionali dose della concentrazione plasmatica quando somministrata come una singola dose orale nell'intervallo da 50 mg a 1400 mg. A 25 mg la farmacocinetica della qudexy XR è non lineare probabilmente a causa del legame del topiramato all'anidrasi carbonica nei globuli rossi.
Qudexy Xr sprinkled on a spoonful of soft food is bioequivalent to the intact capsule formulation.
A seguito di una singola dose orale di 200 mg di concentrazioni plasmatiche di qudexy XR di picco (TMAX) si sono verificate circa 20 ore dopo il dosaggio. Lo stato stazionario è stato raggiunto in circa 5 giorni dopo il dosaggio giornaliero di Qudexy XR in soggetti con normale funzione renale con un TMAX di circa 6 ore.
A stato stazionario l'esposizione al plasma (AUC0–24HR CMAX e CMIN) di topiramato di Qudexy XR somministrato una volta al giorno e le compresse di topiramato a rilascio immediato somministrate due volte al giorno sono state dimostrate bioequivalenti. La fluttuazione delle concentrazioni plasmatiche di topiramato allo stato stazionario per la qudexy XR somministrata una volta al giorno era circa il 40% in soggetti sani rispetto a circa il 53% per il topiramato a rilascio immediato [vedi Biodisponibilità relativa di Qudexy XR rispetto al topiramato a rilascio immediato in volontari sani ].
Rispetto allo stato a digiuno, il pasto ricco di grassi non ha avuto alcun effetto sulla biodisponibilità (AUC e CMAX) ma ha ritardato il TMAX di circa 4 ore dopo una singola dose di qudexy XR. Qudexy XR può essere preso senza riguardo ai pasti.
Il topiramato è del 15% al 41% legato alle proteine plasmatiche umane nell'intervallo di concentrazione ematica da 0,5 mcg/mL a 250 mcg/mL. La frazione legata è diminuita con l'aumentare della concentrazione di sangue.
La carbamazepina e la fenitoina non alterano il legame del topiramato a rilascio immediato. Il valproato di sodio a 500 mcg/ml (una concentrazione da 5 a 10 volte superiore a quello considerato terapeutico per valproato) ha ridotto il legame proteico del topiramato a rilascio immediato dal 23% al 13%. Il topiramato a rilascio immediato non influenza il legame del valproato di sodio.
Metabolismo ed escrezione
Il topiramato non è ampiamente metabolizzato ed è principalmente eliminato invariato nelle urine (circa il 70% di una dose somministrata). Sei metaboliti sono stati identificati nell'uomo, nessuno dei quali costituisce oltre il 5% di una dose somministrata. I metaboliti sono formati mediante idrossilazione idrolisi e glucuronidazione. Vi sono prove del riassorbimento tubulare renale di topiramato. Nei ratti somministrati probenecidi per inibire il riassorbimento tubulare insieme al topiramato è stato osservato un aumento significativo della clearance renale del topiramato. Questa interazione non è stata valutata nell'uomo. La clearance complessiva del plasma orale (CL/F) è di circa 20 ml/min a 30 ml/min negli adulti dopo la somministrazione orale. L'emivita media effettiva di Qudexy XR è di circa 56 ore. Lo stato stazionario viene raggiunto in circa 5 giorni dopo il dosaggio di Qudexy XR in soggetti con normale funzione renale.
Popolazioni specifiche
Compromissione renale
La clearance del topiramato è stata ridotta del 42% in soggetti con moderata compromissione renale (clearance della creatinina da 30 a 69 ml/min/1,73 m 2 ) e del 54% in soggetti con grave compromissione renale (clearance della creatinina inferiore a 30 ml/min/1,73 m 2 ) rispetto ai soggetti con funzione renale normale (clearance della creatinina superiore a 70 ml/min/1,73 m 2 ) [Vedere Dosaggio e amministrazione ].
Emodialisi
Il topiramato viene eliminato dall'emodialisi. L'uso di una procedura di emodialisi per patdialisi singoli per il contropiede ad alta efficienza era di 120 ml/min con flusso sanguigno attraverso il dializzatore a 400 ml/min. Questo elevato gioco (rispetto a 20 ml/min a 30 ml/minuto totale orale negli adulti sani) rimuoverà una quantità clinicamente significativa di topiramato dal paziente durante il periodo di trattamento dell'emodialisi [vedi Dosaggio e amministrazione E Utilizzare in popolazioni specifiche ].
Compromissione epatica
La clearance plasmatica di topiramato ha ridotto una media del 26% nei pazienti con compromissione epatica da moderata a grave.
Età genere e razza
La farmacocinetica del topiramato nei soggetti anziani (da 65 a 85 anni N = 16) sono stati valutati in uno studio clinico controllato. La popolazione di soggetti anziani aveva una funzione renale ridotta (clearance della creatinina [-20%]) rispetto ai giovani adulti. A seguito di una singola dose orale di 100 mg di massima concentrazione plasmatica per anziani e giovani adulti è stato raggiunto a circa 1-2 ore. Riflettendo l'eliminazione renale primaria del plasma topiramato topiramato e la clearance renale è stata ridotta rispettivamente del 21% e del 19% nei soggetti anziani rispetto ai giovani adulti. Allo stesso modo l'emivita topiramica era più lunga (13%) negli anziani. La clearance topiramica ridotta ha comportato una concentrazione plasmatica massima leggermente più elevata (23%) e AUC (25%) nei soggetti anziani rispetto a quelli osservati nei giovani adulti. L'autorizzazione del topiramato è diminuita negli anziani solo nella misura in cui la funzione renale è ridotta [vedi Dosaggio e amministrazione E Utilizzare in popolazioni specifiche ].
L'autorizzazione del topiramato negli adulti non è stato influenzato dal genere o dalla razza.
Pediatrico Farmacocinetica
Farmacocinetica of immediate-release topiramato were evaluated in patients age 2 years to less than 16 years. Patients received either no or a combination of other antiepileptic drugs. A population pharmacokinetic model was developed on the basis of pharmacokinetic data from relevant topiramato clinical studies. This dataset contained data from 1217 subjects including 258 pediatric patients age 2 years to less than 16 years (95 pediatric patients less than 10 years of age).
Pediatrico patients on adjunctive treatment exhibited a higher oral clearance (L/h) of topiramato compared to patients on monotherapy presumably because of increased clearance from concomitant enzyme-inducing antiepileptic drugs. In comparison topiramato clearance per kg is greater in pediatric patients than in adults E in young pediatric patients (down to 2 years) than in older pediatric patients. Consequently the plasma drug concentration for the same mg/kg/day dose would be lower in pediatric patients compared to adults E also in younger pediatric patients compared to older pediatric patients. Clearance was independent of dose.
Come negli adulti che inducono gli enzimi epatici farmaci antiepilettici riducono le concentrazioni plasmatiche dello stato stazionario di topiramato.
Pediatrico Patients with Obesity
È stata condotta un'analisi PK della popolazione di topiramato in 129 bambini <21 years of age with E without obesità Valutare il potenziale impatto dell'obesità sulle esposizioni plasmatiche di topiramato. L'obesità è stata definita come BMI ≥95 th Percentile per età e sesso basato su grafici di crescita di BMIForta-Age raccomandati da CDC per maschi e femmine. L'uso dei regimi di dosaggio attualmente raccomandati i bambini con obesità hanno probabilmente valori mediani della concentrazione media a concentrazione stazionaria e di depressione a uno stato stazionario che fino al 20% inferiore e del 19% in meno rispetto ai bambini senza obesità. L'adeguamento del dosaggio in base allo stato di obesità non è necessario.
Interazioni farmacologiche
In vitro Gli studi indicano che il topiramato non inibisce il CYP1A2 CYP2A6 CYP2B6 CYP2C9 CYP2D6 CYP2E1 o Isozimi CYP3A4/5. In vitro Gli studi indicano che il topiramato è un lieve inibitore del CYP2C19 e un lieve induttore del CYP3A4.
Farmaci antiepilettici
Le potenziali interazioni tra topiramato a rilascio immediato e DAE standard sono state valutate in studi farmacocinetici clinici controllati in pazienti con epilessia. Gli effetti di queste interazioni sulle AUC plasmatiche medie sono riassunti nella Tabella 12. L'interazione di Qudexy XR e DAE standard non dovrebbe differire dall'esperienza con i prodotti topiramato a rilascio immediato.
Nella Tabella 12 la seconda colonna (concentrazione di AED) descrive ciò che accade alla concentrazione del DAE-somministrato in co-somministrato elencato nella prima colonna quando è stato aggiunto topiramato.
La terza colonna (concentrazione di topiramato) descrive come la co-somministrazione di un farmaco elencato nella prima colonna modifica la concentrazione di topiramato rispetto al topiramato dato da solo.
Tabella 12: Riepilogo delle interazioni DAE con topiramato
| AED Co-somministrato | AED Concentrazione | Topiramato Concentrazione |
| Phable | NC o aumento del 25% a | Diminuzione del 48% |
| Carbamazepina (CBZ) | Nc | Diminuzione del 40% |
| Epossido di CBZ b | Nc | Ne |
| Acido valproico | Diminuzione dell'11% | Diminuzione del 14% |
| Fenobarbital | Nc | Ne |
| Primidone | Nc | Ne |
| Lamotrigina | Nc at TPM doses up to 400 mg per day | Diminuzione del 13% |
| Nc=Less than 10% change in plasma concentration AED=Antiepileptic drug Ne=Not evaluated TPM = topiramato a La concentrazione plasmatica è aumentata del 25% in alcuni pazienti generalmente quelli su un regime di dosaggio due volte al giorno di fenitoina b Non è somministrato ma è un metabolita attivo di carbamazepina |
Contraccettivi orali
In uno studio di interazione farmacocinetica in volontari sani con un prodotto contraccettivo orale di combinazione somministrato in concomitanza contenente 1 mg di norethindrone (net) più 35 mcg di etinil estradiolo (ee) topiramato somministrato in assenza di farmaci a o più In un altro studio, l'esposizione all'EE è stata statisticamente significativamente ridotta a dosi di 200 400 e 800 mg al giorno (rispettivamente 18% 21% e 30%) quando somministrata come terapia aggiuntiva nei pazienti che assumono acido valproico. In entrambi gli studi il topiramato (50 mg al giorno a 800 mg al giorno) non ha influenzato in modo significativo l'esposizione alla rete e non vi è stata un cambiamento dose-dipendente significativo nell'esposizione EE per dosi da 50 a 200 mg al giorno. Il significato clinico dei cambiamenti osservati non è noto [vedi Interazioni farmacologiche ].
Digossina
In uno studio monodosaggio sierico la digossina AUC è stata ridotta del 12% con la somministrazione concomitante di topiramato. La rilevanza clinica di questa osservazione non è stata stabilita.
Idroclorotiazide
Uno studio di interazione farmacologica condotto su volontari sani ha valutato la farmacocinetica a stato stazionario dell'idroclorotiazide (HCTZ) (25 mg ogni 24 ore) e topiramato (96 mg ogni 12 ore) quando somministrato da solo e concomita in modo concomita. I risultati di questo studio indicano che il topiramato CMAX è aumentato del 27% e l'AUC è aumentato del 29% quando l'HCTZ è stato aggiunto al topiramato. Il significato clinico di questo cambiamento è sconosciuto. La farmacocinetica allo stato stazionario dell'HCTZ non è stata significativamente influenzata dalla concomitante somministrazione di topiramato. I risultati del laboratorio clinico hanno indicato una riduzione del potassio sierico dopo la somministrazione di topiramato o HCTZ che erano maggiori quando HCTZ e topiramato sono stati somministrati in combinazione.
Metformina
Uno studio di interazione farmacologica condotto su volontari sani ha valutato la farmacocinetica stazionaria della metformina (500 mg ogni 12 ore) e il topiramato nel plasma quando la metformina veniva somministrata da sola e quando la metformina e il topiramato (100 mg ogni 12 ore) sono state somministrate contemporaneamente. I risultati di questo studio hanno indicato che la metformina media CMAX e AUC0-12H sono aumentate rispettivamente del 18% e del 25% quando è stato aggiunto topiramato. Il topiramato non ha influenzato la metformina tmax. Non è noto il significato clinico dell'effetto del topiramato sulla farmacocinetica della metformina. Il gioco del plasma orale di topiramato sembra essere ridotto quando somministrato con metformina. Il significato clinico dell'effetto della metformina sulla farmacocinetica topiramica non è chiaro.
Pioglitazone
Uno studio di interazione farmacologica condotto su volontari sani ha valutato la farmacocinetica a stato stazionario di topiramato e pioglitazone quando somministrato da solo e in concomitanza. È stata osservata una riduzione del 15% nell'AUCτSS del pioglitazone senza alterazione nei CMAXS. Questa scoperta non è stata statisticamente significativa. Inoltre, è stata osservata una riduzione del 13% e del 16% in CMAXSS e AUCSS rispettivamente del metabolita attivo idrossi-metabolita, nonché una riduzione del 60% di CMAXS e AUCSS del keto-metabolita attivo. Il significato clinico di questi risultati non è noto.
Glyburide
Uno studio di interazione farmaco-farmaco condotto in pazienti con diabete di tipo 2 ha valutato la farmacocinetica stazionaria del glyburide (5 mg al giorno) da solo e in concomitanza con topiramato (150 mg al giorno). C'è stata una riduzione del 22% di CMAX e una riduzione del 25% di AUC24 per il glyburide durante la somministrazione di topiramato. L'esposizione sistemica (AUC) dei metaboliti attivi 4-Trans-idrossi glyburide (M1) e 3-cis-idrossiglyburide (M2) è stata anche ridotta del 13% e del 15% e CMAX è stata ridotta rispettivamente del 18% e del 25%. La farmacocinetica a stato stazionario del topiramato non è stato influenzato dalla concomitante somministrazione di glyburide.
Litio
Nei pazienti la farmacocinetica del litio non è stata influenzata durante il trattamento con topiramato a dosi di 200 mg al giorno; Tuttavia, c'è stato un aumento osservato dell'esposizione sistemica del litio (27% per CMAX e del 26% per AUC) a seguito di dosi di topiramato fino a 600 mg al giorno [vedi Interazioni farmacologiche ].
Aloperidolo
La farmacocinetica di una singola dose di aloperidolo (5 mg) non è stata influenzata a seguito di dosaggio multiplo di topiramato (100 mg ogni 12 ore) in 13 adulti sani (6 maschi 7 femmine).
Amitriptilina
C'è stato un aumento del 12% di AUC e CMAX per l'amitriptilina (25 mg al giorno) in 18 soggetti sani (9 maschi 9 femmine) che hanno ricevuto 200 mg al giorno di topiramato.
Sumatriptan
Il dosaggio multiplo di topiramato (100 mg ogni 12 ore) in 24 volontari sani (14 maschi 10 femmine) non ha influito sulla farmacocinetica di sumatriptan monodose o per via orale (100 mg) o per via sottocutanea (6 mg).
Risperidone
Quando somministrato in concomitanza con topiramato a dosi crescenti di 100 250 e 400 mg al giorno, si è verificata una riduzione dell'esposizione sistemica Risperidone (16% e 33% per AUC a stato stazionario a 250 e 400 mg al giorno dosi di topiramato). Non sono state osservate alterazioni dei livelli di 9-idrossyrisperidone. La somministrazione di co -somministrazione di topiramato 400 mg al giorno con risperidone ha comportato un aumento del 14% di CMAX e un aumento del 12% di AUC12 del topiramato. Non ci sono stati cambiamenti clinicamente significativi nell'esposizione sistemica di Risperidone più 9-idrossirisperidone o topiramato; Pertanto non è probabile che questa interazione sia di significato clinico.
Propranololo
Il dosaggio multiplo di topiramato (200 mg al giorno) in 34 volontari sani (17 maschi 17 femmine) non ha influenzato la farmacocinetica del propranololo dopo dosi quotidiane di 160 mg. Dosi di propranololo di 160 mg al giorno in 39 volontari (27 maschi 12 femmine) non hanno avuto alcun effetto sull'esposizione al topiramato alla dose di 200 mg al giorno di topiramato.
Diidroergotamina
Il dosaggio multiplo di topiramato (200 mg al giorno) in 24 volontari sani (12 maschi 12 femmine) non ha influenzato la farmacocinetica di una dose sottocutanea da 1 mg di diidroergotamina. Allo stesso modo una dose sottocutanea da 1 mg di diidroergotamina non ha influenzato la farmacocinetica di una dose di topiramato di 200 mg al giorno nello stesso studio.
Diltiazem
Co -somministrazione di diltiazem (240 mg di cardizem CD ® ) con topiramato (150 mg al giorno) ha comportato una riduzione del 10% di CMAX e una riduzione del 25% del diltiazem AUC una riduzione del 27% di CMAX e una riduzione del 18% del des-acetil diltiazem AUC e nessun effetto sul N-desmetil-diltiazem. La co-somministrazione di topiramato con diltiazem ha comportato un aumento del 16% di CMAX e un aumento del 19% di AUC12 del topiramato.
Venlafaxine
Il dosaggio multiplo di topiramato (150 mg al giorno) in volontari sani non ha influito sulla farmacocinetica della venlafaxina o dell'O-desmetil venlafaxina. Il dosaggio multiplo di venlafaxina (150 mg) non ha influito sulla farmacocinetica del topiramato.
Biodisponibilità relativa di Qudexy XR rispetto al topiramato a rilascio immediato in volontari sani
Qudexy Xr taken once daily provides similar steady-state topiramato concentrations to immediate-release topiramato taken every 12 hours when administered at the same total daily dose. In a healthy volunteer multiple-dose crossover study the 90% CI for the ratios of AUC0–24 Cmax E Cmin as well as partial AUC (the area under the concentration-time curve from time 0 to time p (post dose)) for multiple time points were within the 80% to 125% bioequivalence limits indicating no clinically significant difference between the two formulations. In addition the 90% CI for the ratios of topiramato plasma concentration at each of multiple time points over 24 hours for the two formulations were within the 80% to 125% bioequivalence limits except for the initial time points before 3 hours E at 8 hours post-dose which is not expected to have a significant clinical impact.
Gli effetti del passaggio tra qudexy XR e topiramato a rilascio immediato sono stati valutati anche nello stesso studio comparativo di biodisponibilità comparativa a dose multipla. In soggetti sani passati da topiramato a rilascio immediato dato ogni 12 ore a Qudexy XR somministrate una volta al giorno le concentrazioni simili sono state mantenute immediatamente dopo l'interruttore di formulazione. Il primo giorno successivo all'interruttore non ci sono state differenze significative in AUC0-24 CMAX e CMIN poiché l'IC al 90% per i rapporti era contenuto nel limite di equivalenza dall'80% al 125%.
Studi clinici
Release esteso: studio ponte per dimostrare l'equivalenza farmacocinetica tra formulazioni di topiramato esteso a rilascio (Qudexy XR) e a rilascio immediato
Sebbene sia stata eseguita una sperimentazione clinica controllata (Studio 14) [vedi Release esteso: terapia aggiuntiva in pazienti adulti con convulsioni ad esordio parziale con qudexy XR ] La base per l'approvazione della formulazione a rilascio prolungato (Qudexy XR) includeva gli studi descritti di seguito usando una formulazione a rilascio immediato [vedi Epilessia monoterapia Epilessia di terapia aggiuntiva Trattamento preventivo dell'emicrania ] e la dimostrazione dell'equivalenza farmacocinetica di qudexy XR a topiramato immediatamenteelease attraverso l'analisi delle concentrazioni e delle AUC cumulative in più punti temporali [vedi Farmacologia clinica ].
Epilessia monoterapia
Pazienti con convulsioni toniche-cloniche generalizzate ad insorgenza parziale o primaria
Adultos E Pediatrico Patients 10 Years of Age E Older
L'efficacia del topiramato come monoterapia iniziale negli adulti e nei pazienti pediatrici di età pari o superiore a 10 anni con convulsioni di tonico-tonico-clonico generalizzato parziale o primario è stata stabilita in uno studio parallelo a dose multinimensionato randomizzato in doppio cieco controllato (Studio 1).
Lo studio 1 è stato condotto in 487 pazienti con diagnosi di epilessia (da 6 a 83 anni) che avevano 1 o 2 convulsioni ben documentate durante la fase di base retrospettiva di 3 mesi che poi sono entrate nello studio e hanno ricevuto Topiramato 25 mg/die per 7 giorni in modo aperto. Il quarantanove per cento dei soggetti non aveva un precedente trattamento DAE e il 17% aveva una diagnosi di epilessia per oltre 24 mesi. Qualsiasi terapia DAE utilizzata per scopi temporanei o di emergenza è stato sospeso prima della randomizzazione. Nella fase in doppio cieco, i pazienti sono stati randomizzati a titolare fino a 50 mg/die o 400 mg/die di topiramato. Se la dose target non si potesse ottenere, i pazienti sono stati mantenuti sulla dose massima tollerata. Il cinquantotto per cento dei pazienti ha ottenuto la dose massima di 400 mg/die per> 2 settimane e i pazienti che non hanno tollerato 150 mg/die sono stati sospesi.
La valutazione di efficacia primaria è stata un confronto tra i gruppi di tempo con il primo attacco durante la fase in doppio cieco.
Il confronto tra le curve di sopravvivenza di Kaplan-Meier del tempo con il primo attacco ha favorito il gruppo topiramato da 400 mg/die sul gruppo topiramato 50 mg/die (Figura 1). Gli effetti del trattamento rispetto al tempo alla prima crisi erano coerenti in vari sottogruppi di pazienti definiti dalla regione sesso di età geografica basale basale del peso del peso basale del tempo del tempo di convulsione dal tempo di base della diagnosi e dell'uso di DAE di base.
Figura 1: stime di Kaplan-Meier dei tassi cumulativi per il tempo alla prima crisi nello studio 1
| |
Pediatrico Patients 2 to 9 Years of Age
La conclusione che il topiramato è efficace come monoterapia iniziale nei pazienti pediatrici di età compresa tra 2 e 9 anni con convulsioni toniche-cloniche generalizzate ad insorgenza parziale o primaria si basava su un approccio a ponte di farmacometria utilizzando i dati degli studi di epilessia controllati condotti condotti con il topiramato a rilascio immediato descritto nell'etichettatura. Questo approccio consisteva nel mostrare prima una simile relazione di esposizione-risposta tra pazienti pediatrici fino a 2 anni di età e adulti quando il topiramato a rilascio immediato veniva somministrato come terapia aggiuntiva. La somiglianza della risposta all'esposizione è stata dimostrata anche nei pazienti pediatrici da 6 a meno di 16 anni e negli adulti quando il topiramato è stato somministrato come monoterapia iniziale. Il dosaggio specifico nei pazienti pediatrici di età compresa tra 2 e 9 anni è stato derivato da simulazioni utilizzando gamme di esposizione al plasma osservate nei pazienti pediatrici e adulti trattati con monoterapia iniziale a rilascio immediato di topiramato [vedi Dosaggio e amministrazione ].
Epilessia di terapia aggiuntiva
Adulto Patients With Partial-Onset Seizures
L'efficacia del topiramato come trattamento aggiuntivo per gli adulti con convulsioni ad esordio parziale è stata stabilita in sei studi randomizzati in doppio cieco randomizzati in doppio cieco (Studi 2 3 4 5 6 e 7) che confrontano diversi dosaggi di setale a topiramato e quattro confronti con un singolo dosaggio con i pazienti con una storia di conversazione a partite parziali o senza secondi generalizzati.
Ai pazienti in questi studi è stato consentito un massimo di due farmaci antiepilettici (DAE) oltre a compresse di topiramato o placebo. In ogni studio i pazienti sono stati stabilizzati su dosaggi ottimali dei loro DAE concomitanti durante la fase di base della durata di 4 e 12 settimane. I pazienti che hanno sperimentato un numero minimo pre-specificato di convulsioni di insorgenza parziale con o senza generalizzazione secondaria durante la fase di base (12 convulsioni per la linea di base 8 di 12 settimane per basale di 8 settimane o 3 per la linea di base di 4 settimane) sono stati assegnati casualmente a placebo o una dose specificata di compresse di topiramato oltre alle altre AED.
I pazienti di randomizzazione hanno iniziato la fase in doppio cieco del trattamento. In cinque dei sei studi i pazienti hanno ricevuto un farmaco attivo a partire da 100 mg al giorno; La dose è stata quindi aumentata di 100 mg o 200 mg/giorno di incrementi a settimana o ogni due settimane fino a quando non è stata raggiunta la dose assegnata a meno che l'intolleranza non impedisse aumenti. Nello studio 7 le dosi iniziali di 25 o 50 mg/giorno di topiramato sono state seguite da rispettivi incrementi settimanali di 25 o 50 mg/die fino a raggiungere la dose bersaglio di 200 mg/die. Dopo la titolazione, i pazienti sono entrati in un periodo di stabilizzazione di 4 8 o 12 settimane. Il numero di pazienti randomizzati a ciascuna dose e le dosi medi e mediane effettive nel periodo di stabilizzazione sono mostrati nella Tabella 13.
Pazienti pediatrici da 2 a 16 anni di età With Partial-Onset Seizures
L'efficacia del topiramato come trattamento aggiuntivo per i pazienti pediatrici di età compresa tra 2 e 16 anni con convulsioni ad esordio parziale è stata stabilita in uno studio multicentrico randomizzato in doppio cieco controllato con placebo (Studio 8) confrontando il topiramato e il placebo in pazienti con una storia di crisi di sequestri ad esordio parziale con sequestri generalizzati (vedi Tabella 14).
Ai pazienti in questo studio è stato consentito un massimo di due farmaci antiepilettici (DAE) oltre a compresse di topiramato o placebo. Nello studio 8 pazienti sono stati stabilizzati su dosaggi ottimali dei loro DAE concomitanti durante una fase di base di 8 settimane. I pazienti che hanno avuto almeno sei convulsioni ad esordio parziale con o senza convulsioni generalizzate durante la fase di base sono stati assegnati in modo casuale a compresse di placebo o topiramato oltre agli altri DAE.
I pazienti di randomizzazione hanno iniziato la fase in doppio cieco del trattamento. I pazienti hanno ricevuto un farmaco attivo a partire da 25 o 50 mg/die; La dose è stata quindi aumentata di 25 mg a 150 mg/giorno di incrementi ogni due settimane fino a quando il dosaggio assegnato di 125 175 225 o 400 mg/giorno in base al peso dei pazienti per approssimare un dosaggio di 6 mg/kg/giorno non è stato raggiunto a meno che l'intolleranza non abbia impedito aumenti. Dopo la titolazione, i pazienti sono entrati in un periodo di stabilizzazione di 8 settimane.
Pazienti con convulsioni toniche-cloniche generalizzate primarie
L'efficacia del topiramato come trattamento aggiuntivo per convulsioni toniche-cloniche generalizzate primarie in pazienti di età pari o superiore a 2 anni è stata istituita in uno studio multicentrico randomizzato in doppio cieco controllato con placebo (Studio 9) che confronta un singolo dosaggio di topiramato e placebo (vedi Tabella 14).
Ai pazienti nello studio 9 è stato consentito un massimo di due farmaci antiepilettici (DAE) oltre a topiramato o placebo. I pazienti sono stati stabilizzati su dosaggi ottimali dei loro DAE concomitanti durante una fase di base di 8 settimane. I pazienti che hanno avuto almeno tre convulsioni toniche-cloniche generalizzate primarie durante la fase di base sono stati assegnati in modo casuale a placebo o topiramato oltre agli altri DAE.
I pazienti di randomizzazione hanno iniziato la fase in doppio cieco del trattamento. I pazienti hanno ricevuto un farmaco attivo a partire da 50 mg/die per quattro settimane; La dose è stata quindi aumentata di 50 mg a 150 mg/giorno di incrementi ogni due settimane fino a quando non è stata raggiunta la dose assegnata di 175 225 o 400 mg/giorno in base al peso corporeo dei pazienti per approssimare un dosaggio di 6 mg/kg/giorno non è stato raggiunto a meno che l'intolleranza impedisca aumenti. Dopo la titolazione, i pazienti sono entrati in un periodo di stabilizzazione di 12 settimane.
Pazienti con sindrome di Lennox-Gastaut
L'efficacia del topiramato come trattamento aggiuntivo per le convulsioni associate alla sindrome di Lennox-gastaut in pazienti di età pari o superiore a 2 anni è stata istituita in uno studio multicentrico randomizzato in doppio cieco controllato con placebo (Studio 10) confrontando un singolo dosaggio di topiramato con placebo (vedi Tabella 14).
Ai pazienti nello studio 10 è stato consentito un massimo di due farmaci antiepilettici (DAE) oltre a topiramato o placebo. I pazienti che stavano vivendo almeno 60 convulsioni al mese prima dell'ingresso dello studio sono stati stabilizzati su dosaggi ottimali dei loro DAE concomitanti durante una fase di base di 4 settimane. Dopo i pazienti di base sono stati assegnati in modo casuale a placebo o topiramato oltre agli altri DAE. Il farmaco attivo è stato titolato a partire da 1 mg/kg/giorno per una settimana; La dose è stata quindi aumentata a 3 mg/kg/giorno per una settimana, quindi a 6 mg/kg/giorno. Dopo la titolazione, i pazienti sono entrati in un periodo di stabilizzazione di 8 settimane. Le misure primarie di efficacia sono state la percentuale di riduzione degli attacchi di caduta e una valutazione globale dei genitori di gravità delle convulsioni.
Tabella 13: Riepilogo della dose di topiramato a rilascio immediato durante i periodi di stabilizzazione di ciascuno dei sei prove aggiuntive controllate dal placebo in doppio cieco negli adulti con convulsioni a insorgenza parziale a
| Target topiramato dosaggio (mg/giorno) | |||||||
| Studio | Dose di stabilizzazione | Placebo b | 200 | 400 | 600 | 800 | 1000 |
| 2 | N | 42 | 42 | 40 | 41 | - | - |
| Dose media | 5.9 | 200 | 390 | 556 | - | - | |
| Dose mediana | 6.0 | 200 | 400 | 600 | - | - | |
| 3 | N | 44 | - | - | 40 | 45 | 40 |
| Dose media | 9.7 | - | - | 544 | 739 | 796 | |
| Dose mediana | 10.0 | - | - | 600 | 800 | 1000 | |
| 4 | N | 23 | - | 19 | - | - | - |
| Dose media | 3.8 | - | 395 | - | - | - | |
| Dose mediana | 4.0 | - | 400 | - | - | - | |
| 5 | N | 30 | - | - | 28 | - | - |
| Dose media | 5.7 | - | - | 522 | - | - | |
| Dose mediana | 6.0 | - | - | 600 | - | - | |
| 6 | N | 28 | - | - | - | 25 | - |
| Dose media | 7.9 | - | - | - | 568 | - | |
| Dose mediana | 8 | - | - | - | 600 | - | |
| 7 | N | 90 | 157 | - | - | - | - |
| Dose media | 8 | 200 | - | - | - | - | |
| Dose mediana | 8 | 200 | - | - | - | - | |
| a Studi dose-risposta non sono stati condotti per altre indicazioni o convulsioni pediatriche ad esordio parziale. b Placebo dosages are given as the number of tablets. Placebo target dosages were as follows: Studio 4 (4 tablets/day); Studies 2 E 5 (6 tablets/day); Studies 6 E 7 (8 tablets/day); Studio 3 (10 tablets/day) |
In tutte le prove aggiuntive a topiramato è stata misurata la riduzione del tasso di crisi dal basale durante l'intera fase in doppio cieco. Le riduzioni della percentuale mediana dei tassi di crisi e i tassi di soccorritore (frazione di pazienti con almeno un gruppo di trattamento del 50%) per gruppo di trattamento per ogni studio sono mostrate di seguito nella Tabella 14. Come descritto sopra un miglioramento globale della gravità delle crisi è stata valutata anche nello studio di Lennox-Gastaut.
Tabella 14: Efficacia si traduce in studi di epilessia aggiuntiva controllati in doppio cieco
| Dosaggio di Topamax target (mg al giorno) | ||||||||
| Studio # | # | Placebo | 200 | 400 | 600 | 800 | 1000 | ≈6 mg/ kg/giorno* |
| Studi di convulsioni ad esordio parziale negli adulti | ||||||||
| 2 | N | 45 | 45 | 45 | 46 | - | - | - |
| Riduzione mediana % | 12 | 27 a | 48 b | 45 c | - | - | - | |
| % Responder | 18 | 24 | 44 d | 46 d | - | - | - | |
| 3 | N | 47 | - | - | 48 | 48 | 47 | - |
| Riduzione mediana % | 2 | - | - | 41 c | 41 c | 36 c | ||
| % Responder | 9 | - | - | 40 c | 41 c | 36 d | ||
| 4 | N | 24 | - | 23 | - | - | - | - |
| Riduzione mediana % | 1 | - | 41 e | - | - | - | - | |
| % Responder | 8 | - | 35 d | - | - | - | - | |
| 5 | N | 30 | - | - | 30 | - | - | - |
| Riduzione mediana % | -12 | - | - | 46 f | - | - | - | |
| % Responder | 10 | - | - | 47 c | - | - | - | |
| 6 | N | 28 | - | - | - | 28 | - | - |
| Riduzione mediana % | -21 | - | - | - | 24 c | - | - | |
| % Responder | 0 | - | - | - | 43 c | - | - | |
| 7 | N | 91 | 168 | - | - | - | - | - |
| Riduzione mediana % | 20 | 44 c | - | - | - | - | - | |
| % Responder | 24 | 45 c | ||||||
| Studi di convulsioni ad esordio parziale in pazienti pediatrici | ||||||||
| 8 | N | 45 | - | - | - | - | - | 41 |
| Riduzione mediana % | 11 | - | - | - | - | - | 33 d | |
| % Responder | 20 | - | - | - | - | - | 39 | |
| Tonic-clonic generalizzato primario h | ||||||||
| 9 | N | 40 | - | - | - | - | - | 39 |
| Riduzione mediana % | 9 | - | - | - | - | - | 57 d | |
| % Responder | 20 | - | - | - | - | - | 56 c | |
| Sindrome di Lennox-Gastaut i | ||||||||
| 10 | N | 49 | - | - | - | - | - | 46 |
| Riduzione mediana % | -5 | - | - | - | - | - | 15 d | |
| % Responder | 14 | 28 g | ||||||
| Miglioramento della gravità delle crisi j | 28 | 52 d | ||||||
| Confronti con Placebo: a p = 0,080; b p ≤ 0,010; c p ≤ 0,001; d p ≤ 0,050; e p = 0,065; f p ≤0,005; g p = 0,071; h Riduzione mediana % e % responder sono riportati per convulsioni PGTC i Riduzione mediana % e % responder per attacchi di caduta, ad esempio convulsioni toniche o atoniche j Percentuale di soggetti che erano minimamente o molto migliorati dal basale. * Per gli studi 8 e 9 dosaggi target specificati (meno di 9,3 mg/kg/giorno) sono stati assegnati in base al peso del soggetto per approssimare un dosaggio di 6 mg/kg/giorno; Questi dosaggi corrispondevano a mg al giorno dosaggi di 125 mg al giorno 175 mg al giorno 225 mg al giorno e 400 mg al giorno |
Le analisi dei sottoinsieme dell'efficacia antiepilettica delle compresse di topiramato in questi studi non hanno mostrato differenze in funzione del tasso di crisi di base per età della razza di genere o DAE concomitante.
Negli studi clinici per l'epilessia i dosaggi giornalieri sono stati ridotti a intervalli settimanali di 50 a 100 mg/die negli adulti e per un periodo da 2 a 8 settimane in pazienti pediatrici; La transizione è stata consentita a un nuovo regime antiepilettico quando clinicamente indicato.
Release esteso: terapia aggiuntiva in pazienti adulti con convulsioni ad esordio parziale con qudexy XR
L'efficacia di Qudexy XR come trattamento aggiuntivo per gli adulti (18-75 anni di età) è stata valutata in uno studio randomizzato a doppio cieco a doppio cieco
I pazienti con convulsioni ad esordio parziale su una dose stabile di 1 a 3 DAE sono entrati in un periodo di base di 8 settimane. I pazienti che hanno sperimentato almeno 8 convulsioni parziali di insorgenza con o senza generalizzazione secondaria e non più di 21 giorni liberi da crisi consecutive durante la fase di base di 8 settimane sono stati assegnati in modo casuale a placebo o qudexy XR somministrati una volta al giorno in aggiunta ai loro concomitanti DAE. Dopo la randomizzazione, 249 pazienti hanno iniziato la fase di trattamento a doppio cieco che consisteva in un periodo di titolazione iniziale di 3 settimane seguito da un periodo di mantenimento di 8 settimane. Durante il periodo di titolazione i pazienti hanno ricevuto qudexy XR o placebo a partire da 50 mg una volta al giorno; La dose è stata aumentata a intervalli settimanali di 50 mg una volta al giorno o il placebo equivalente fino a raggiungere una dose finale di 200 mg una volta al giorno. I pazienti sono quindi entrati nel periodo di mantenimento alla dose assegnata di 200 mg una volta al giorno o all'equivalente placebo. La riduzione percentuale della frequenza del periodo di base con crisi ad esordio parziale rispetto alla fase di trattamento era l'endpoint primario. I dati sono stati analizzati dal test di somma di rango di Wilcoxon con i criteri di significato statistico di P <0.05. The results of the analysis are presented in Table 15. The median percent reduction in seizure rate was 39,5% in patients taking Qudexy Xr (N = 124) E 21,7% in patients taking placebo (N = 125). This difference was statistically significant.
Tabella 15: riduzione percentuale dal basale nella frequenza convulsiva ad esordio parziale durante il periodo di trattamento di 11 settimane nello studio 14
| Studio End Point | Qudexy Xr (N = 124) | Placebo (N = 125) |
| Riduzione della percentuale mediana dal basale a | 39,5% | 21,7% |
| a Statisticamente significativo dal test di somma di rango di Wilcoxon |
La Figura 2 mostra la variazione dal basale durante la titolazione più la manutenzione (11 settimane) nella frequenza convulsiva parziale per categoria per i pazienti trattati con qudexy XR e placebo. I pazienti in cui è aumentata la frequenza convulsiva è mostrata come peggio. I pazienti in cui è diminuita la frequenza convulsiva sono mostrati in quattro categorie di riduzione della frequenza convulsiva.
Figura 2: proporzione di pazienti per categoria di risposta convulsiva a Qudexy XR e Placebo
| |
Trattamento preventivo dell'emicrania
Adulto Patients
I risultati di 2 studi clinici a group paralleli controllati in doppio cieco multicentrico condotti negli Stati Uniti (Studio 11) o negli Stati Uniti e in Canada (Studio 12) hanno stabilito l'efficacia del topiramato a rilascio immediato nel trattamento preventivo dell'emicrania. La progettazione di entrambi gli studi era identico ai pazienti iscritti con una storia di emicrania con o senza aura per almeno 6 mesi secondo i criteri diagnostici della International Headache Society (IHS). I pazienti con una storia di mal di testa a grappolo o emulegici oftalmoplegici basilari sono stati esclusi dalle prove. I pazienti dovevano aver completato fino a un lavaggio di 2 settimane di qualsiasi precedente farmaco preventivo per emicrania prima di iniziare la fase di base.
I pazienti che hanno sperimentato 3-12 emicrania di mal di testa nelle 4 settimane nella fase di base sono stati randomizzati a topiramato 50 mg/giorno 100 mg/giorno 200 mg/die (doppio dosaggio giornaliero raccomandato per il trattamento preventivo dell'emicrania) o trattato e curato per un totale di 26 settimane (periodo di titolazione di 8 settimane e periodo di mantenimento di 18 settimane). Il trattamento è stato avviato a 25 mg/die per una settimana e quindi il dosaggio giornaliero è stato aumentato di 25 mg di incrementi ogni settimana fino a raggiungere la dose target assegnata o la dose massima tollerata (somministrata due volte al giorno).
L'efficacia del trattamento è stata valutata dalla riduzione della frequenza di emicrania misurata dalla variazione del tasso di emicrania di 4 settimane (secondo le emicranie classificate per criteri IHS) dalla fase di base al periodo di trattamento in doppio cieco in ciascun gruppo di trattamento con topiramato a rilascio immediato rispetto al placebo rispetto alla popolazione intenzionale a trattamento (ITT).
Nello studio 11 un totale di 469 pazienti (416 femmine 53 maschi) di età compresa tra 13 e 70 anni sono stati randomizzati e hanno fornito dati di efficacia. Duecentosessantacinque pazienti hanno completato l'intera fase in doppio cieco di 26 settimane. I dosaggi medi giornalieri medi erano 48 mg/giorno 88 mg/die e 132 mg/die nei gruppi di dose target rispettivamente di topiramato 50 100 e 200 mg/die.
Il tasso medio di frequenza del mal di testa al basale era di circa 5,5 mal di testa per 28 giorni ed era simile tra i gruppi di trattamento. La variazione della frequenza media di emicrania di 4 settimane dal basale alla fase in doppio cieco è stata rispettivamente di -1,3 -2,1 e -2,2 nei gruppi di topiramato a rilascio immediato 50 100 e 200 mg/giorno rispetto a -0,8 nel gruppo placebo (vedi Figura 3). Le differenze di trattamento tra i gruppi di topiramato a rilascio immediato 100 e 200 mg/giorno rispetto al placebo erano simili e statisticamente significative (P <0.001 for both comparisons).
Nello studio 12 un totale di 468 pazienti (406 femmine 62 maschi) di età compresa tra 12 e 65 anni sono stati randomizzati e hanno fornito dati di efficacia. Duecentocinquantacinque pazienti hanno completato l'intera fase in doppio cieco di 26 settimane. I dosaggi medi giornalieri medi erano 47 mg/giorno 86 mg/die e 150 mg/die nei gruppi di dose target di topiramato a rilascio immediato 50 100 e 200 mg/giorno rispettivamente.
Il tasso medio di frequenza del mal di testa al basale era di circa 5,5 mal di testa per 28 giorni ed era simile tra i gruppi di trattamento. La variazione della frequenza media del periodo di mal di testa di emicrania di 4 settimane dalla fase di base alla fase in doppio cieco era rispettivamente -1,4 -2,1 e -2,4 nei gruppi topiramato a rilascio immediato 50 100 e 200 mg/giorno rispetto a -1,1 nel gruppo placebo (vedi Figura 3). Le differenze tra i gruppi di topiramato a rilascio immediato 100 e 200 mg/giorno rispetto al placebo erano simili e statisticamente significative (P = 0,008 e P <0.001 respectively).
In entrambi gli studi non ci sono state differenze apparenti nell'effetto del trattamento nell'età o nei sottogruppi di genere. Poiché la maggior parte dei pazienti era caucasica, c'erano un numero insufficiente di pazienti di razze diverse per fare un confronto significativo della razza.
Per i pazienti che si ritirano dai dosaggi giornalieri di topiramato a rilascio immediato sono stati ridotti a intervalli settimanali di 25-50 mg/die.
Figura 3: riduzione della frequenza di emicrania di 4 settimane (studi 11 e 12 per adulti e adolescenti)
| |
Pediatrico Patients 12 To 17 Years Of Age
L'efficacia del topiramato a rilascio immediato per il trattamento preventivo dell'emicrania nei pazienti pediatrici di età compresa tra 12 e 17 anni è stata stabilita in uno studio multicentrico randomizzato a doppio cieco (Studio 13). Lo studio ha arruolato 103 pazienti (40 maschi 63 femmine) di età compresa tra 12 e 17 anni con emicrania episodica con o senza aura. La selezione dei pazienti si basava sui criteri IHS per l'emicrania (utilizzando revisioni proposte ai criteri di emicrania pediatrica IHS del 1988 [criteri IHS-R]).
I pazienti che hanno sperimentato 3-1 12 attacchi di emicrania (secondo le emicranie classificate per diari segnalati da paziente) e ≤14 giorni di mal di testa (emicrania e non migraina) durante il periodo di base prospettico di 4 settimane sono stati randomizzati a un topiramato immediato 50 mg/giorno 100 mg/giorno e trattati per un totale di 16 settimane (periodo di titolazione di 4 settimane seguiti da un periodo di mantenimento di 12 week). Il trattamento è stato avviato a 25 mg/die per una settimana e quindi il dosaggio giornaliero è stato aumentato di 25 mg di incrementi ogni settimana fino a raggiungere la dose target assegnata o la dose massima tollerata (somministrata due volte al giorno). Circa l'80% o più pazienti in ciascun gruppo di trattamento ha completato lo studio. I dosaggi medi giornalieri medi erano 45 e 79 mg/die nei gruppi di dose target di topiramato a rilascio immediato 50 e 100 mg/die rispettivamente.
L'efficacia del trattamento è stata valutata confrontando ciascun gruppo di trattamento con topiramato a rilascio immediato con il placebo (popolazione ITT) per la riduzione percentuale dal basale alle ultime 12 settimane della fase in doppio cieco nel tasso di attacco di emicrania mensile (endpoint primario). La riduzione percentuale dal basale alle ultime 12 settimane della fase in doppio cieco nel tasso di attacco di emicrania mensile medio è mostrata nella Tabella 16. La dose di topiramato a rilascio immediato da 100 mg ha prodotto una differenza di trattamento statisticamente significativa rispetto al placebo della riduzione del 28% dalla linea di base nel tasso di emicrania mensile.
La riduzione media dal basale alle ultime 12 settimane della fase in doppio cieco nel tasso di attacco mensile medio Un endpoint di efficacia secondaria chiave nello studio 13 (e l'endpoint di efficacia primaria negli studi 11 e 12 degli adulti) era 3,0 per 100 mg di dose di topiramato a rilascio immediato e 1,7 per il placebo. Questa differenza di trattamento 1.3 nella riduzione media dal basale del tasso di emicrania mensile era statisticamente significativa (P = 0,0087).
Tabella 16: riduzione percentuale dal basale alle ultime 12 settimane di fase in doppio cieco nel tasso di attacco mensile medio: studio 13 (set di analisi intent-to-trattamento)
| Categoria | Placebo (N = 33) | Topiramato 50 mg/day (N = 35) | Topiramato 100 mg/day (N = 35) |
| Basale | |||
| Median | 3.6 | 4.0 | 4.0 |
| Ultime 12 settimane di fase in doppio cieco | |||
| Median | 2.3 | 2.3 | 1.0 |
| Riduzione percentuale (%) | |||
| Median | 44.4 | 44.6 | 72.2 |
| P-value versus Placebo ab | 0.7975 | 0.0164 c | |
| a I valori P (due lati) per i confronti rispetto al placebo sono generati applicando un modello ANCOVA sui ranghi che include l'età stratificata del soggetto nel gruppo di trattamento basale e il centro di analisi come fattori e tasso di attacco di emicrania mensile durante il periodo di base come covariata. b I valori p per i gruppi di dose sono il valore p adeguato in base alla procedura di confronto multipla di Hochberg. c Indica che il valore p è <0.05 (two-sided). |
Informazioni sul paziente per qudexy xr
Qudexy ® Xr
(The dek-er-ear)
(topiramato) capsule a rilascio prolungato per uso orale
Quali sono le informazioni più importanti che dovrei sapere su Qudexy XR?
Qudexy Xr may cause eye problems. Gravi problemi agli occhi includono:
- Qualsiasi improvvisa riduzione della visione con o senza dolore agli occhi e arrossamento
- un blocco di fluido nell'occhio causando una maggiore pressione nell'occhio (chiusura dell'angolo secondario glaucoma ).
Questi problemi agli occhi possono portare a perdita di visione permanente se non trattati. Dovresti chiamare subito il tuo medico se hai nuovi sintomi oculari, inclusi nuovi problemi con la tua visione.
Qudexy Xr may cause decreased sweating E increased body temperature (febbre). Le persone in particolare i bambini dovrebbero essere osservate per segni di riduzione della sudorazione e della febbre, specialmente a temperature calde. Alcune persone potrebbero aver bisogno di essere ricoverate in ospedale per questa condizione. Se hai una febbre alta, una febbre che non scompare o una riduzione della sudorazione sviluppa, chiama subito il tuo operatore sanitario.
Qudexy Xr can increase the level of acid in your blood (metabolic acidosis). Se l'acidosi metabolica non trattata può causare ossa fragili o morbide (osteoporosi osteomalacia osteopenia) i calcoli renali possono rallentare il tasso di crescita nei bambini e potrebbero eventualmente danneggiare il tuo bambino se sei incinta. L'acidosi metabolica può avvenire con o senza sintomi. A volte le persone con acidosi metabolica lo faranno:
- sentirsi stanco
- non avere fame (perdita di appetito)
- Senti cambiamenti nel battito cardiaco
- avere difficoltà a pensare chiaramente
Il tuo operatore sanitario dovrebbe fare un esame del sangue per misurare il livello di acido nel sangue prima e durante il trattamento con Qudexy XR.
Se sei incinta, dovresti parlare con il tuo operatore sanitario se hai acidosi metabolica.
Come altri farmaci antiepilettici, Qudexy XR può causare pensieri o azioni suicidarie in un numero molto piccolo di persone di circa 1 su 500.
Chiama subito un operatore sanitario se hai uno di questi sintomi soprattutto se sono nuovi peggio o ti preoccupano:
- thoughts about suicide or dying
- sentirsi agitato o irrequieto
- agire aggressivo essere arrabbiato o violento
- tentativi di suicidarsi
- attacchi di panico
- agire su impulsi pericolosi
- depressione nuova o peggiore
- problemi a dormire (insonnia)
- Un estremo aumento dell'attività e parlare (mania)
- ansia nuova o peggiore
- irritabilità nuova o peggiore
- Altri cambiamenti insoliti nel comportamento o nell'umore
Non fermare Qudexy XR senza prima parlare con un operatore sanitario.
- L'arresto di Qudexy XR improvvisamente può causare seri problemi.
- I pensieri o le azioni suicidi possono essere causati da cose diverse dai medicinali. Se hai pensieri o azioni suicidarie, il tuo operatore sanitario può verificare altre cause.
Come posso guardare per i primi sintomi di pensieri e azioni suicidari?
- Presta attenzione a eventuali cambiamenti in particolare improvvisi cambiamenti nei comportamenti dell'umore o ai sentimenti.
- Conserva tutte le visite di follow-up con il tuo medico come previsto.
- Chiama il tuo operatore sanitario tra le visite secondo necessità, specialmente se sei preoccupato per i sintomi.
Qudexy Xr can harm your unborn baby.
- Se prendi Qudexy XR durante la gravidanza, il bambino ha un rischio più elevato di difetti alla nascita tra cui labbra schisi e palatoschisi. Questi difetti possono iniziare presto in gravidanza anche prima di sapere che sei incinta.
- I difetti alla nascita possono avvenire anche nei bambini nati da donne che non assumono medicine e non hanno altri fattori di rischio.
- Potrebbero esserci altri medicinali per curare le tue condizioni che hanno una minore possibilità di difetti alla nascita.
- Tutte le donne in età fertile dovrebbero parlare con i loro operatori sanitari sull'uso di altri possibili trattamenti anziché sulla qudexy XR. Se viene presa la decisione di utilizzare Qudexy XR, è necessario utilizzare un controllo delle nascite efficace (contraccezione) a meno che tu non abbia intenzione di rimanere incinta. Dovresti parlare con il tuo operatore sanitario del miglior tipo di controllo delle nascite da usare mentre stai prendendo Qudexy XR.
- Di 'subito al tuo operatore sanitario se rimani incinta mentre prendi Qudexy XR. Tu e il tuo operatore sanitario dovreste decidere se continuerete a prendere Qudexy XR mentre siete incinta.
- Se prendi Qudexy XR durante la gravidanza, il bambino potrebbe essere più piccolo del previsto alla nascita. Gli effetti a lungo termine di questo non sono noti. Parla con il tuo medico se hai domande su questo rischio durante la gravidanza.
- L'acidosi metabolica può avere effetti dannosi sul tuo bambino. Parla con il tuo operatore sanitario se Qudexy XR ha causato acidosi metabolica durante la gravidanza.
- Gravidanza Registry: If you become pregnant while taking Qudexy Xr talk to your healthcare provider about registering with the North American Antiepileptic Drug Gravidanza Registry. You can enroll in this registry by calling 1-888-233-2334. The purpose of this registry is to collect information about the safety of Qudexy Xr E other antiepileptic drugs during pregnancy.
Qudexy Xr may decrease the density of bones when used over a long period.
Qudexy Xr may slow height increase E aumento di peso in children E adolescents when used over a long period.
Cos'è Qudexy XR?
Qudexy Xr is a prescription medicine used:
- trattare alcuni tipi di convulsioni (convulsioni ad esordio parziale e convulsioni toniche-cloniche generalizzate primarie) negli adulti e nei bambini di età pari o superiore a 2 anni
- con altri medicinali per trattare alcuni tipi di convulsioni (convulsioni ad esordio parziale convulsioni e convulsioni generalizzate primarie e convulsioni associate alla sindrome di Lennox-Gastaut) negli adulti e nei bambini di età pari o superiore a 2 anni
- per prevenire l'emicrania di mal di testa negli adulti e negli adolescenti di età pari o superiore a 12 anni.
Cosa dovrei dire al mio medico prima di prendere Qudexy XR?
Prima di prendere Qudexy XR, racconta al tuo operatore sanitario su tutte le tue condizioni mediche, anche se tu:
- avere o avere o avere problemi dell'umore della depressione o pensieri o comportamenti suicidari
- Avere problemi renali calcoli renali o stanno ricevendo la dialisi renale
- avere una storia di acidosi metabolica (troppo acido nel sangue)
- avere problemi epatici
- hanno ossa fragili o morbide deboli (osteoporosi osteoporosi o riduzione della densità ossea)
- avere problemi polmonari o respiratori
- avere problemi agli occhi, soprattutto il glaucoma
- avere diarrea
- avere un problema di crescita
- sono a dieta ricco di grassi e poveri carboidrati che si chiama dieta chetogenica
- stanno organizzando un intervento chirurgico
- sono incinta o prevedono di rimanere incinta
- stanno allattando o pianificano di allattare. Qudexy XR passa nel latte materno. I bambini allattati al seno possono avere assonnato o avere diarrea. Non è noto se la qudexy XR che passa al latte materno può causare altri gravi danni al tuo bambino. Parla con il tuo operatore sanitario del modo migliore per nutrire il tuo bambino se prendi Qudexy XR.
Dì al tuo operatore sanitario di tutti i medicinali che prendi, tra cui prescrizione e medicine da banco vitamine e integratori a base di erbe. Qudexy XR e altri medicinali possono influenzare reciprocamente causando effetti collaterali.
Soprattutto dì al tuo operatore sanitario se prendi:
- Acido valproico (such as DEPAKENe ® o Depakote ® )
- Eventuali medicinali che compromettono o riducono la concentrazione di pensiero o la coordinazione muscolare
- controllo delle nascite che contiene ormoni (come impianti di pillole o iniezioni). Qudexy XR può rendere il controllo delle nascite meno efficace. Di 'al tuo medico se il tuo sanguinamento mestruale cambia mentre si utilizza il controllo delle nascite e la qudexy XR.
Chiedi al tuo medico se non sei sicuro che il tuo medicinale sia elencato sopra.
Conosci le medicine che prendi. Tienilo un elenco per mostrare il tuo medico e il tuo farmacista ogni volta che ottieni un nuovo medicinale. Non avviare una nuova medicina senza parlare con il tuo medico.
Come dovrei prendere Qudexy XR?
- Prendi Qudexy XR esattamente come ti dice il tuo operatore sanitario.
- Il tuo operatore sanitario può cambiare la tua dose. Non farlo Cambia la tua dose senza parlare con il tuo operatore sanitario.
- Qudexy Xr capsules may be swallowed whole or if you cannot swallow the capsule whole you may carefully open the Qudexy Xr capsule E sprinkle the medicine on a spoonful of soft food like applesauce.
- Ingoia subito la miscela di cibo e medicina. Non farlo Conservare la miscela di cibo e medicina da utilizzare in seguito.
- Non farlo crush or chew Qudexy Xr before swallowing.
- Bevi molti liquidi durante il giorno. Ciò può aiutare a prevenire i calcoli renali durante l'assunzione di Qudexy XR.
- Se prendi troppa qudexy xr chiama subito il tuo medico o vai al pronto soccorso più vicino.
- Qudexy Xr can be taken before during or after a meal.
- Se perdi una singola dose di qudexy xr, prendila il prima possibile. Se hai perso più di una dose, dovresti chiamare il tuo medico per un consiglio.
- Non farlo stop taking Qudexy Xr without talking to your healthcare provider. Stopping Qudexy Xr suddenly may cause serious problems. If you have epilessia E you stop taking Qudexy Xr suddenly you may have seizures that do not stop. Your healthcare provider will tell you how to stop taking Qudexy Xr slowly.
- Il tuo operatore sanitario può fare esami del sangue mentre prendi Qudexy XR.
Cosa dovrei evitare durante l'assunzione di Qudexy XR?
- Non dovresti bere alcol mentre prendi la qudexy xr. Qudexy XR e alcol possono influenzare reciprocamente causando effetti collaterali come sonnolenza e vertigini.
- Non farlo drive a car or operate machinery until you know how Qudexy Xr affects you. Qudexy Xr can slow your thinking E motor skills E may affect vision.
Quali sono i possibili effetti collaterali di Qudexy XR?
Qudexy Xr may cause serious side effects including:
Guarda quali sono le informazioni più importanti che dovrei sapere su Qudexy XR?
- Livelli di ammoniaca ad alto sangue. L'elevata ammoniaca nel sangue può influire sulle tue attività mentali rallenta la vostra vigilia che ti fa sentire stanco o causare vomito. Ciò è accaduto quando la qudexy XR viene presa con un medicinale chiamato acido valproico (Depakene ® E DEPAKOTE ® ).
- Pietre renali. Bevi molti liquidi quando prendi la qudexy XR per ridurre le possibilità di ottenere calcoli renali.
- Bassa temperatura corporea. L'assunzione di qudexy XR quando si sta assumendo anche l'acido valproico può causare una temperatura corporea drop-in a meno di 95 ° F o può causare confusione o coma di stanchezza.
- Effetti sul pensiero e sulla vigilanza. Qudexy Xr may affect how you think E cause confusione problems with concentration attention memory or speech. Qudexy Xr may cause depressione or Problemi dell'umore stanchezza E sleepiness.
- Vertigini o perdita di coordinazione muscolare.
- Reazioni cutanee gravi. Qudexy Xr may cause a severe eruzione cutanea with blisters E peeling skin especially around the mouth nose eyes E genitals (Stevens-Johnson syndrome). Qudexy Xr may also cause a eruzione cutanea with blisters E peeling skin over much of the body that may cause death (toxic epidermal necrolysis). Call your healthcare provider right away if you develop a skin eruzione cutanea or blisters.
Chiama subito il tuo operatore sanitario se hai uno dei sintomi di cui sopra.
Gli effetti collaterali più comuni di Qudexy XR includono:
- formicolio di braccia e gambe (paresthesia)
- non sentirsi affamato
- perdita di peso
- nervosismo
- nausea
- Problemi vocali
- stanchezza
- vertigini
- sonnolenza/sonnolenza
- Un cambiamento nel modo in cui i cibi hanno un sapore
- infezione del tratto respiratorio superiore
- diminuzione della sensazione o della sensibilità soprattutto nella pelle
- reazioni lente
- Difficoltà con la memoria
- febbre
- abnormal vision
- diarrea
- Dolore nell'addome
Dì al tuo operatore sanitario di qualsiasi effetto collaterale che ti disturba o che non scompare.
Questi non sono tutti i possibili effetti collaterali di Qudexy XR. Per ulteriori informazioni chiedi al proprio medico o farmacista.
Chiama il medico per consigli medici sugli effetti collaterali. È possibile segnalare gli effetti collaterali alla FDA al numero 1-800-FDA-1088.
È inoltre possibile segnalare gli effetti collaterali a Upsher-Smith Laboratories LLC al numero 1-855-899-9180.
Come dovrei archiviare Qudexy XR?
- Conservare le capsule di qudexy xr a temperatura ambiente compresa tra 68 ° F e 77 ° F (da 20 ° C a 25 ° C).
- Mantieni la qudexy XR in un contenitore strettamente chiuso.
- Mantieni la qudexy xr asciutta e lontana dall'umidità.
- Mantieni la qudexy XR e tutti i medicinali fuori dalla portata dei bambini.
Informazioni generali sull'uso sicuro ed efficace di Qudexy XR.
Le medicine sono talvolta prescritte a fini diversi da quelli elencati in una guida ai farmaci. Non utilizzare Qudexy XR per una condizione per la quale non è stata prescritta. Non dare Qudexy XR ad altre persone anche se hanno gli stessi sintomi che hai. Potrebbe danneggiare loro. Puoi chiedere al tuo farmacista o al fornitore di assistenza sanitaria informazioni su Qudexy XR scritta per gli operatori sanitari.
Quali sono gli ingredienti di Qudexy XR?
Ingrediente attivo: topiramato
Ingredienti inattivi: Microcristallino cellulosa ipromellosio 2910 etilcellulosio dietil ftalato titanio di biossido di ferro nero ossido di ferro rosso e/o ossido giallo inchiostro farmaceutico nero e inchiostro farmaceutico bianco (solo 200 mg).
Questa guida ai farmaci è stata approvata dalla Food and Drug Administration degli Stati Uniti.