Le Informazioni Presenti Sul Sito Non Costituiscono Consulenza Medica. Non Vendiamo Nulla. L'Accuratezza Della Traduzione Non È Garantita. Disclaimer
Analgesici oppiacei
Opana è
Riepilogo della droga
Cos'è Opana er?
Opan | ER (Oxymerphone cloridrato) è un antidolorifico narcotico usato per trattare il dolore da moderato a grave. La forma estesa a rilascio di Opana è per il trattamento del dolore 24 °. Opana er è disponibile in generico modulo.
Quali sono gli effetti collaterali di Opana er?
Opan | ER may cause serious side effects including:
- orticaria
- Difficoltà a respirare
- gonfiore della lingua o della gola
- Respirazione lenta con lunghe pause
- labbra di colore blu
- Difficoltà a svegliarsi
- Respirazione debole o superficiale
- Respirare che si ferma durante il sonno
- Accendino
- confisca
- dolore al petto
- sibilante
- tosse con muco giallo o verde
- vomito grave
- nausea
- vomito
- perdita di appetito
- vertigini
- peggiorare la stanchezza
- debolezza
- agitazione
- allucinazioni
- febbre
- sudorazione
- rabbrividire
- frequenza cardiaca veloce
- rigidità muscolare
- contrazione
- perdita di coordinamento e
- diarrea
Ottieni subito assistenza medica se hai uno qualsiasi dei sintomi sopra elencati.
Gli effetti collaterali comuni di opana er includono:
- nausea
- vomito
- mal di testa
- stipsi
- bocca secca
- cutanea lieve o
- prurito
- Accendino
- vertigini
- sonnolenza o
- febbre.
Dì al tuo medico se hai gravi effetti collaterali di Opana ER incluso:
- battito cardiaco lento o veloce
- difficoltà a urinare
- Forte stomaco o dolore addominale
- cambiamenti nella quantità di urina
- fiato corto
- Cambiamenti mentali/dell'umore o
- Cambiamenti della visione.
Cerca cure mediche o chiama il 911 contemporaneamente se hai i seguenti gravi effetti collaterali:
- Sintomi di occhiali gravi come la perdita di visione improvvisa del tunnel della visione sfocata Dolore alla visione o gonfiore o vedere aloni attorno alle luci;
- Sintomi cardiaci gravi come battiti cardiaci irregolari o martellanti veloci; svolazzando nel petto; fiato corto; e improvviso vertigini giuria o svenuta;
- Grave mal di testa confusione Il braccio del linguaggio bloccato o la debolezza delle gambe problemi perdite perdita di coordinamento sentendoti instabili muscoli molto rigidi ad alta febbre abbondante sudorazione o tremori.
Questo documento non contiene tutti i possibili effetti collaterali e altri possono verificarsi. Verificare con il tuo medico ulteriori informazioni sugli effetti collaterali.
Dosaggio per opana è
La dose di opana ER è determinata dalla condizione dell'età e dallo stato medico del paziente il tipo e la gravità del dolore e di altri fattori.
Quali sostanze o integratori di farmaci interagiscono con Opana er?
Opan | ER may interact with other narcotics sedatives tranquilizers muscle relaxers or other medicines that can make you sleepy or slow your breathing pentazocine nalbuphine butorphanol or buprenorphine . Tell your doctor all medications you use.
Opan | ER During Gravidanza or Breastfeeding
Durante la gravidanza l'opana ER dovrebbe essere usato solo quando prescritto. Usarlo vicino alla data di consegna prevista non è raccomandato a causa del possibile danno al feto. I bambini nati da madri che hanno usato questo farmaco possono avere sintomi di astinenza come l'irritabilità anormale/persistente vomito o diarrea. Di 'al medico se noti i sintomi nel tuo neonato. Non è noto se questo farmaco passi nel latte materno. Consulta il medico prima dell'allattamento al seno. Possono verificarsi sintomi di astinenza se si smette improvvisamente di usare questo farmaco.
Ulteriori informazioni
Il nostro Centro farmacologico Opana ER (Oxymerphone cloridrato) fornisce una visione completa delle informazioni disponibili sui farmaci sui potenziali effetti collaterali durante l'assunzione di questo farmaco.
Informazioni sui farmaci FDA
- Descrizione del farmaco
- Indicazioni
- Effetti collaterali
- Interazioni farmacologiche
- Avvertimenti
- Overdose
- Farmacologia clinica
- Guida ai farmaci
AVVERTIMENTO
Abuso di dipendenza e uso improprio; Depressione respiratoria potenzialmente letale; Ingestione accidentale; Sindrome da prelievo di oppiacei neonatali; e interazione con l'alcol
Abuso e uso improprio della dipendenza
Opana ER espone pazienti e altri utenti ai rischi di abusi e abusi sulla dipendenza da oppiacei che possono portare al sovradosaggio e alla morte. Valuta il rischio di ogni paziente prima di prescrivere Opana ER e monitorare regolarmente tutti i pazienti per lo sviluppo di questi comportamenti o condizioni [vedi avvertimenti e PRECAUZIONI ].
Depressione respiratoria potenzialmente letale
La depressione respiratoria mortale o fatale potenzialmente letale o fatale può verificarsi con l'uso di opana er. Monitorare la depressione respiratoria soprattutto durante l'inizio di opana e dopo un aumento della dose. Istruire i pazienti a ingoiare le compresse Opana ER intere; schiacciare o dissolvere le compresse di opana er può causare rapidi rilascio e assorbimento di una dose potenzialmente fatale di ossimorfone [vedi avvisi e PRECAUZIONI ].
Ingestione accidentale
L'ingestione accidentale anche di una dose di opana eh, specialmente da parte dei bambini, può provocare un sovradosaggio fatale di ossimorfone [vedi avvisi e PRECAUZIONI ].
Sindrome da astinenza da oppiacei neonatali
L'uso prolungato di opana ER durante la gravidanza può comportare la sindrome da astinenza da oppiacei neonatali che può essere pericolosa la vita se non riconosciuta e trattata e richiede la gestione secondo i protocolli sviluppati da esperti neonatologici. Se è richiesto l'uso di oppiacei per un periodo prolungato in una donna incinta consigliare al paziente il rischio di sindrome da astinenza da oppiacei neonatali e assicurarsi che siano disponibili un trattamento adeguato [vedi avvisi e PRECAUZIONI ].
Interazione con l'alcol
Inserire i pazienti a non consumare bevande alcoliche o di utilizzare prodotti da prescrizione o non prescrizione che contengono alcol durante l'assunzione di opana ER. La co-ingestione di alcol con opana ER può comportare un aumento dei livelli plasmatici e un sovradosaggio potenzialmente fatale di ossimorfone [vedi avvisi e PRECAUZIONI ].
Descrizione per opana er
Le compresse di release estese Opana ER sono per uso orale e contengono Oxymerphone un analgesico oppiaceo semi-sintetico. Le compresse di release estese Opana ER sono fornite in 5 mg 7,5 mg 10 mg 15 mg 20 mg 30 mg e 40 mg di resistenza alla compressa per la somministrazione orale. La resistenza del tablet descrive la quantità di cloridrato di ossimorfone per compressa.
Le compresse contengono i seguenti ingredienti inattivi: ipromellosio in polietilene polietilenglicole glicole α-tocoferolo citrico di acido citrico di alcol polivinilico di biossido e talco.
Inoltre, le compresse da 5 mg da 7,5 mg e 30 mg contengono ossido di ferro. Le compresse da 7,5 mg contengono ossido di ferro nero e ossido di ferro. Le compresse da 10 mg contengono FD
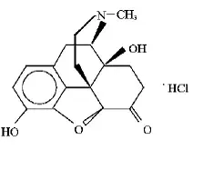
Il nome chimico dell'idrocloruro di ossimorfone è 4 5α -epoxy-3 14-diidrossi-17-metilmorfinan-6-uno cloridrato una polvere bianca o leggermente bianca inodore che è con parsimonia solubile in alcol ed etere ma liberamente solubile in acqua. Il peso molecolare dell'idrocloruro di ossimorfone è 337,80. PKA1 e PKA2 di Oxymerphone a 37 ° C sono rispettivamente 8,17 e 9,54. Il coefficiente di partizione ottanolo/acquoso a 37 ° C e pH 7,4 è 0,98.
La formula strutturale per l'idrocloruro di Oxymerphone è la seguente:
|
Usi per opana è
Opana ER è indicato per la gestione di un dolore grave e persistente che richiede un lungo periodo di trattamento con un analgesico oppioide giornaliero e per il quale le opzioni di trattamento alternative sono inadeguate.
Limiti di utilizzo
- A causa dei rischi di abuso di dipendenza e uso improprio con oppioidi che possono verificarsi in qualsiasi dosaggio o durata e a causa dei maggiori rischi di sovradosaggio e morte con formulazioni di oppioidi a rilascio e ad azione prolungata. AVVERTIMENTOS AND PRECAUZIONI ] Riservare l'opana ER per l'uso in pazienti per i quali le opzioni di trattamento alternative (ad es. Analgesici non oppioidi o oppioidi a rilascio immediato) sono inefficaci non tollerate o sarebbero altrimenti inadeguate per fornire una gestione sufficiente del dolore.
- Opana ER non è indicato come analgesico come necessario (PRN).
Dosaggio per opana è
Importanti istruzioni di dosaggio e amministrazione
- Opana ER dovrebbe essere prescritta solo da operatori sanitari che sono ben informati sull'uso di oppioidi a rilascio e ad azione prolungata e come mitigare i rischi associati.
- Utilizzare il dosaggio più basso efficace per la durata più breve del tempo coerente con gli obiettivi di trattamento dei singoli pazienti [vedi AVVERTIMENTOS AND PRECAUZIONI ]. Because the risk of overdose increases as opioid doses increase reserve titration to higher doses of Opana è for patients in whom lower doses are insufficiently effective E in whom the expected benefits of using a higher dose opioid clearly outweigh the substantial risks.
- Inizia il regime di dosaggio per ciascun paziente tenendo conto individuale della causa sottostante del paziente e della gravità del dolore previo trattamento analgesico e dei fattori di risposta e di rischio per l'abuso e l'abuso di dipendenza [vedi AVVERTIMENTOS AND PRECAUZIONI ].
- La depressione respiratoria può verificarsi in qualsiasi momento durante la terapia con oppioidi, specialmente quando si inizia e seguendo il dosaggio aumenta con Opana ER. Considera questo rischio quando si seleziona una dose iniziale e quando si effettua regolamenti della dose [vedi AVVERTIMENTOS AND PRECAUZIONI ].
- Istruire i pazienti a ingoiare le compresse Opana ER intere. La schiacciamento delle compresse di masticazione o dissoluzione di Opana ER comporterà la consegna incontrollata di ossimorfone e può portare al sovradosaggio o alla morte [vedi AVVERTIMENTOS AND PRECAUZIONI ].
- Somministrare a stomaco vuoto almeno 1 ora prima o 2 ore dopo aver mangiato.
- Opana ER viene somministrato per via orale due volte al giorno (ogni 12 ore).
Accesso al paziente al naloxone per il trattamento di emergenza del sovradosaggio di oppiacei
Discutere la disponibilità di naloxone per il trattamento di emergenza del sovradosaggio di oppiacei con il paziente e il caregiver e valutare la potenziale necessità di accesso al naloxone sia quando si iniziano e rinnova il trattamento con opana ER [vedi AVVERTIMENTOS AND PRECAUZIONI ].
Informare i pazienti e gli operatori sanitari sui vari modi per ottenere il naloxone come consentito dal singolo stato di erogazione e prescrizione di requisiti o linee guida per la prescrizione di naloxone (ad esempio prescrizione direttamente da un farmacista o come parte di un programma basato sulla comunità).
Prendi in considerazione la prescrizione di naloxone in base ai fattori di rischio del paziente per il sovradosaggio come l'uso concomitante di depressivi del SNC una storia di disturbo da uso di oppiacei o sovradosaggio di oppiacei. La presenza di fattori di rischio per il sovradosaggio non dovrebbe impedire la corretta gestione del dolore in un dato paziente [vedi AVVERTIMENTOS AND PRECAUZIONI ].
Prendi in considerazione la prescrizione di naloxone se il paziente ha membri della famiglia (compresi i bambini) o altri contatti ravvicinati a rischio di ingestione accidentale o sovradosaggio.
Dosaggio iniziale
Uso di opana er come primo analgesico oppiaceo
Iniziare il trattamento con opana er con la compressa da 5 mg per via orale ogni 12 ore.
Uso di opana ER nei pazienti che non sono tolleranti agli oppiacei
La dose iniziale per i pazienti che non sono tolleranti da oppiacei è Opana ER 5 mg per via orale ogni 12 ore.
I pazienti considerati tolleranti agli oppioidi sono quelli che assumono per una settimana o più almeno 60 mg di morfina orale al giorno 25 mcg fentanil transdermico per ora 30 mg ossicodone orale per giorno 8 mg di idromorfone orale al giorno 25 mg di ossimorio orale al giorno 60 mg di idrocodone orale al giorno o un dose equanalgesica di un altro oppioide.
L'uso di dosi iniziali più elevate nei pazienti che non sono tolleranti agli oppioidi può causare depressione respiratoria fatale.
Conversione da opana a opana er
I pazienti che ricevono Opana possono essere convertiti in opana ER somministrando metà della dose totale di opana orale giornaliera del paziente come opana ER ogni 12 ore.
Conversione da Oxymorphone parenterale a Opana er
La biodisponibilità orale assoluta di Opana ER è di circa il 10%. Converti i pazienti che ricevono ossimorfone parenterale in opana ER somministrando 10 volte la dose totale di ossimorfone parenterale quotidiana del paziente come opana in due dosi ugualmente divise (ad esempio [dose IV x 10] divisa per 2). A causa della variabilità del paziente per quanto riguarda la risposta analgesica degli oppioidi al monitor di conversione da vicino per valutare un'analgesia adeguata ed effetti collaterali.
Conversione da altri oppioidi orali a opana er
Quando viene iniziata la terapia di Opana ER, interrompere tutti gli altri analgesici oppioidi diversi da quelli utilizzati su una base necessaria per il dolore rivoluzionario quando appropriato.
Mentre ci sono utili tabelle di equivalenti oppioidi prontamente disponibili, esiste una sostanziale variabilità inter-paziente nella potenza relativa di diversi farmaci e prodotti oppioidi. In quanto tale è preferibile sottovalutare i requisiti di ossimorfone orale di un paziente e fornire farmaci per il salvataggio (ad es. OPIOID a rilascio immediato) che sopravvalutare i requisiti di ossimorfone orale 24 ore su 24 e gestire una reazione avversa a causa del sovradosaggio. In uno studio clinico Opana ER con un periodo di titolazione in aperto, i pazienti sono stati convertiti dal loro precedente oppioide in opana ER usando la Tabella 1 come guida per la dose iniziale di Opana ER.
Considera quanto segue quando si utilizzano le informazioni nella tabella 1 seguente:
- Questa non è una tabella di dosi equianalgesiche.
- I fattori di conversione in questa tabella sono solo per la conversione da uno degli analgesici degli oppiacei orali elencati a Opana ER.
- Questa tabella non può essere utilizzata per convertire da Opana er in un altro oppioide. Ciò comporterà un eccesso di dose del nuovo oppioide e può provocare un sovradosaggio fatale.
Tabella 1: fattori di conversione in opana er
| Precedente oppioide orale | Fattore di conversione orale approssimativo |
| Ossimorfone | 1 |
| Idrocodone | 0.5 |
| Ossicodone | 0.5 |
| Metadone | 0.5 |
| Morfina | 0.333 |
Per calcolare la dose di opana ER stimata usando la tabella sopra:
- Per i pazienti con una singola somma oppioide l'attuale dose giornaliera totale dell'oppioide e quindi moltiplicare la dose giornaliera totale per il fattore di conversione per calcolare la dose giornaliera orale approssimativa (oppioide attivo).
- Per i pazienti con un regime di più di un oppioide calcola la dose orale approssimativa (oppioide attivo) per ciascun oppioide e somma i totali per ottenere la dose giornaliera totale (oppioide attiva) approssimativa.
- Per i pazienti su un regime di prodotti analgesici oppioidi/non oppioidi a rapporto fisso, utilizzare solo il componente oppioide di questi prodotti nella conversione.
Ridurre sempre la dose, se necessario, per la / i di forza (i) di Opana ER appropriata disponibile.
Esempio di conversione da un singolo oppiaceo a Opana ER:
Passaggio 1: somma la dose giornaliera totale dell'ossicodone di oppioidi 20 mg due volte al giorno 20 mg ex oppioidi 2 volte al giorno = 40 mg Dose giornaliera totale di ex oppioidi
Passaggio 2: calcola la dose approssimativa equivalente di orale (oppioide attivo) in base alla dose giornaliera totale dell'attuale oppioide usando la Tabella 1. 40 mg Dose giornaliera totale dell'ex fattore di conversione X 0,5 mg = 20 mg di orale (oppioide attivo)
Passaggio 3: calcola la dose di partenza approssimativa di opana er da somministrare ogni 12 ore. Arrotondare se â
Conversione dal metadone a opana er
La valutazione regolare è di particolare importanza quando si converte dal metadone ad altri agonisti degli oppioidi. Il rapporto tra metadone e altri agonisti degli oppioidi può variare ampiamente in funzione della precedente esposizione alla dose. Il metadone ha una lunga emivita e può accumularsi nel plasma.
Titolazione e mantenimento della terapia
Titolare individualmente l'opana in una dose che fornisce un'analgesia adeguata e minimizza le reazioni avverse. Rivalutare continuamente i pazienti che ricevono opana ER per valutare il mantenimento dei segni di controllo del dolore e dei sintomi del ritiro degli oppiacei e di altre reazioni avverse, nonché per rivalutare lo sviluppo di abusi e uso improprio. [Vedere AVVERTIMENTOS AND PRECAUZIONI ]. Frequent communication is important among the prescriber other members of the healthcare team the patient E the caregiver/family during periods of changing analgesic requirements including initial titration. During use of opioid therapy for an extended period of time periodically reassess the continued need for the use of opioid analgesics.
I pazienti che soffrono di dolore innovativo possono richiedere un aumento della dose di opana ER o possono aver bisogno di farmaci per il salvataggio con una dose appropriata di un analgesico a rilascio immediato.
Se il livello di dolore aumenta dopo la stabilizzazione della dose, tenta di identificare la fonte di aumento del dolore prima di aumentare la dose di opana ER. Se dopo aver aumentato il dosaggio si osservano inaccettabili reazioni avverse correlate agli oppiacei (incluso un aumento del dolore dopo l'aumento del dosaggio) prendere in considerazione la riduzione del dosaggio [vedi AVVERTIMENTOS AND PRECAUZIONI ]. Adjust the dose to obtain an appropriate balance between management of pain E opioid-related adverse reactions.
Poiché le concentrazioni plasmatiche allo stato stazionario sono approssimate entro 3 giorni di regolazioni di dosaggio Opana ER preferibilmente ad incrementi di 5-10 mg ogni 12 ore possono essere eseguite ogni 3-7 giorni.
Riduzione sicura o interruzione di opana er
Non interrompere bruscamente l'opana nei pazienti che possono essere fisicamente dipendenti dagli oppioidi. La rapida interruzione degli analgesici degli oppioidi nei pazienti che dipende fisicamente dagli oppioidi ha provocato gravi sintomi di astinenza non controllati e suicidio. La rapida interruzione è stata anche associata ai tentativi di trovare altre fonti di analgesici oppioidi che possono essere confusi con la ricerca di droghe per abusi. I pazienti possono anche tentare di curare il loro dolore o i sintomi di astinenza con oppioidi illeciti come eroina e altre sostanze.
Quando è stata presa una decisione di ridurre la terapia dose o interrompere in un paziente dipendente da oppiacei che assume opana ER, ci sono una varietà di fattori che dovrebbero essere considerati tra cui la dose giornaliera totale di oppiacei (incluso Opana ER), il paziente ha preso la durata del trattamento del tipo di dolore trattato e gli attributi fisici e psicologici del paziente. È importante garantire l'assistenza continua del paziente e concordare un programma di rastrellimento e un piano di follow-up appropriati in modo che gli obiettivi e le aspettative del paziente e del fornitore siano chiari e realistici. Quando gli analgesici oppioidi vengono interrotti a causa di un disturbo di uso di sostanze sospettato, valutare e trattare il paziente o fare riferimento alla valutazione e al trattamento del disturbo da uso di sostanze. Il trattamento dovrebbe includere approcci basati sull'evidenza come il trattamento assistito dai farmaci del disturbo da uso di oppiacei. I pazienti complessi con dolore comorbido e disturbi da uso di sostanze possono beneficiare di un rinvio a uno specialista.
Non esistono programmi di preparazione agli oppiacei standard adatti a tutti i pazienti. Una buona pratica clinica determina un piano specifico per il paziente per rastremare gradualmente la dose dell'oppioide. Per i pazienti su opana ER che sono fisicamente dipendenti da oppioidi, iniziano il cono con un incremento sufficientemente piccolo (ad esempio non superiore al 10% al 25% della dose giornaliera totale) per evitare i sintomi di astinenza e procedere con il demolizione della dose ad un intervallo di ogni 2-4 settimane. I pazienti che hanno assunto oppioidi per periodi di tempo più briefer possono tollerare un cono più rapido.
Potrebbe essere necessario fornire al paziente punti di forza del dosaggio più bassi per realizzare un cono di successo. Rivalutare spesso il paziente per gestire il dolore e i sintomi di astinenza in caso di emergere. I sintomi di astinenza comuni includono la lacrimazione irrequietezza rinorrea che sbadiglia la sudore della sudore la mialgia e la midriasi. Altri segni e sintomi possono anche svilupparsi, tra cui l'ansia di irritabilità di dolori all'articolazione del dolori articolari crampi addominali crampi di anoressia anoressia di vomito diarrea o aumento della frequenza respiratoria della pressione arteriosa o della frequenza cardiaca. Se si verificano sintomi di astinenza, potrebbe essere necessario mettere in pausa il cono per un periodo di tempo o aumentare la dose dell'analgesico oppiaceo alla dose precedente e quindi procedere con un cono più lento. Inoltre, valutare i pazienti per eventuali cambiamenti nell'emergenza dell'umore di pensieri suicidari o nell'uso di altre sostanze.
Quando si gestiscono i pazienti che assumono analgesici oppioidi, in particolare coloro che sono stati trattati per un lungo periodo di tempo e/o con alte dosi per il dolore cronico, assicurano che sia in atto un approccio multimodale alla gestione del dolore, incluso il supporto per la salute mentale (se necessario) prima di iniziare una conta analgesica oppioide. Un approccio multimodale alla gestione del dolore può ottimizzare il trattamento del dolore cronico e aiutare con il successo affusolato dell'analgesico degli oppiacei [vedi AVVERTIMENTOS AND PRECAUZIONI Abuso e dipendenza da droghe ].
Modifica del dosaggio in pazienti con lieve compromissione epatica
Opana ER è controindicata nei pazienti con compromissione epatica moderata o grave.
Nei pazienti con oppioidi-Naã¯ve con lieve compromissione epatica iniziano il trattamento con la dose da 5 mg. Per i pazienti con terapia di oppioidi precedenti iniziano opana ER al 50% inferiore alla dose di partenza per un paziente con funzione epatica normale sugli oppioidi precedenti e titolano lentamente. Valutare regolarmente i pazienti per segni di depressione del sistema nervoso respiratorio o centrale [vedi AVVERTIMENTOS AND PRECAUZIONI Utilizzare in popolazioni specifiche Farmacologia clinica ].
Modifica del dosaggio in pazienti con compromissione renale
Nei pazienti con tassi di autorizzazione della creatinina, meno di 50 ml/min iniziano opana ER nel paziente con oppioide-naé con la dose da 5 mg. Per i pazienti con terapia di oppioidi precedenti iniziano opana ER al 50% inferiore alla dose di partenza per un paziente con normale funzione renale sugli oppioidi precedenti e titolano lentamente. Valutare regolarmente i pazienti per segni di depressione del sistema nervoso respiratorio o centrale [vedi AVVERTIMENTOS AND PRECAUZIONI Utilizzare in popolazioni specifiche Farmacologia clinica ].
Modifica del dosaggio in pazienti geriatrici
Le concentrazioni plasmatiche allo stato stazionario di ossimorfone sono più elevate nei soggetti anziani che nei soggetti giovani. Inizia il dosaggio con opana ER in pazienti di età pari o superiore a 65 anni usando la dose da 5 mg e valuta regolarmente i segni della depressione respiratoria e del sistema nervoso centrale quando si avvia e titolano l'opana ad un adeguato analgesia [vedi AVVERTIMENTOS AND PRECAUZIONI Utilizzare in popolazioni specifiche Farmacologia clinica ]. For patients on prior opioid therapy start Opana è at 50% lower than the starting dose for a younger patient on prior opioids E titrate slowly.
Come fornito
Forme di dosaggio e punti di forza
Compresse di rilascio esteso 5 mg : Pink Octagon Film Film con rivestimento convesso convulsile convesso convulso debossato con 5 su un lato e semplice dall'altro.
Compresse di rilascio esteso 7,5 mg : Film ottagonio grigio pellicola con rivestimento convesso convulsivi convesso convesso debossato con 7 ½ da un lato e semplice dall'altro.
Compresse di rilascio esteso 10 mg : Film di ottagono arancione arancione arancione compresse convocate con convesse a rilascio esteso debossato con 10 da un lato e semplici dall'altro.
Compresse di rilascio esteso 15 mg : Film ottagono bianco pellicola con rivestimento convesso convulsivi convulsivi debossato con 15 da un lato e semplice dall'altro.
Compresse di rilascio esteso 20 mg : Film di ottagono a forma di verde chiaro rivestiti convessi con convesso a rilascio esteso debossato con 20 su un lato e semplice dall'altro.
Compresse di rilascio esteso 30 mg : Red Octagon Shape Film con rivestimento convesso convulsivi convulsivi debossato con 30 da un lato e semplice dall'altro.
Compresse di rilascio esteso 40 mg : Film ottagono giallo pellicola con rivestimento convesso convesso convulsivi debossato con 40 da un lato e semplice dall'altro.
Archiviazione e maneggevolezza
Opana è I tablet a rilascio prolungato sono forniti come segue:
5 mg
Film ottagono rosa rivestite convulsive convulsive convulsi debossa con 5 su un lato e semplici dall'altro.
Bottiglie di 100 con chiusura resistente ai bambini Ndc 63481-907-70
Pacchetto di dosi unitaria di 100 tablet (5 carte blister di 20 tablet non resistenti ai bambini solo per uso ospedaliero) Ndc 63481-907-75
7,5 mg
Film di ottagono grigio pellicola rivestita convessa convulsi a rilascio esteso debossato con 7 ½ su un lato e semplice dall'altro.
Bottiglie di 100 con chiusura resistente ai bambini Ndc 63481-522-70
Pacchetto di dosi unitaria di 100 tablet (5 carte blister di 20 tablet non resistenti ai bambini solo per uso ospedaliero) Ndc 63481-522-75
10 mg
Film a forma di arancione arancione arancione compresse convocate con convesso con convesso convesso debossato con 10 da un lato e semplice dall'altro.
Bottiglie di 100 con chiusura resistente ai bambini Ndc 63481-674-70
Pacchetto di dosi unitaria di 100 tablet (5 carte blister di 20 tablet non resistenti ai bambini solo per uso ospedaliero) Ndc 63481-674-75
15 mg
Film ottagono bianco pellicola rivestita convesse convesse a rilascio prolungato convesso debossato con 15 da un lato e semplice dall'altro.
Bottiglie di 100 con chiusura resistente ai bambini Ndc 63481-553-70
Pacchetto di dosi unitaria di 100 tablet (5 carte blister di 20 tablet non resistenti ai bambini solo per uso ospedaliero) Ndc 63481-553-75
20 mg
Film di ottagono di ottagono verde chiaro rivestiti convessi a rilascio prolungato convesso debossato con 20 da un lato e semplice dall'altro.
Bottiglie di 100 con chiusura resistente ai bambini Ndc 63481-617-70
Pacchetto di dosi unitaria di 100 tablet (5 carte blister di 20 tablet non resistenti ai bambini solo per uso ospedaliero) Ndc 63481-617-75
30 mg
Film ottagono rosso pellicola con rivestimento convesso a rilascio esteso convesso debossato con 30 da un lato e semplice dall'altro.
Bottiglie di 100 con chiusura resistente ai bambini Ndc 63481-571-70
Pacchetto di dosi unitaria di 100 tablet (5 carte blister di 20 tablet non resistenti ai bambini solo per uso ospedaliero) Ndc 63481-571-75
40 mg
Film ottagono giallo pellicola con rivestimento convesso convulsivi convulsi debossato con 40 da un lato e semplice dall'altro.
Bottiglie di 100 con chiusura resistente ai bambini Ndc 63481-693-70
Pacchetto di dosi unitaria di 100 tablet (5 carte blister di 20 tablet non resistenti ai bambini solo per uso ospedaliero) Ndc 63481-693-75
Conservare a 25 ° C (77 ° F); Escursioni consentite a 15 ° -30 ° C (59 ° -86 ° F). [Vedere A temperatura ambiente controllata da USP ].
Dispensare in contenitore stretto come definito nell'USP con una chiusura resistente ai bambini (come richiesto).
Conservare Opana er in modo sicuro e smaltire correttamente.
acido ascorbico (vitamina C)
Distribuito da: Endo Pharmaceuticals Inc. Malvern PA 19355. Revisionato: dicembre 2023
Effetti collaterali for Opan | ER
Le seguenti gravi reazioni avverse sono discusse altrove nell'etichettatura:
- Abuso e uso improprio della dipendenza [see AVVERTIMENTOS AND PRECAUZIONI ]
- Depressione respiratoria pericolosa per la vita [vedi AVVERTIMENTOS AND PRECAUZIONI ]
- Interazioni con benzodiazepine o altri depressivi del SNC [vedi AVVERTIMENTOS AND PRECAUZIONI ]
- Sindrome da astinenza da oppiacei neonatali [see AVVERTIMENTOS AND PRECAUZIONI ]
- Iperalgesia e allodinia indotta da oppioidi [vedi AVVERTIMENTOS AND PRECAUZIONI ]
- Anafilassi e angioedema [vedi AVVERTIMENTOS AND PRECAUZIONI ]
- Insufficienza surrenale [vedi AVVERTIMENTOS AND PRECAUZIONI ]
- Grave ipotensione [vedi AVVERTIMENTOS AND PRECAUZIONI ]
- Reazioni avverse gastrointestinali [vedi AVVERTIMENTOS AND PRECAUZIONI ]
- Convulsioni [vedi AVVERTIMENTOS AND PRECAUZIONI ]
- Ritiro [vedi AVVERTIMENTOS AND PRECAUZIONI ]
Esperienza di sperimentazione clinica
Poiché gli studi clinici sono condotti in condizioni di reazione avverse ampiamente variabili osservate negli studi clinici di un farmaco non possono essere confrontati direttamente ai tassi negli studi clinici di un altro farmaco e potrebbero non riflettere i tassi osservati nella pratica clinica.
La sicurezza di Opana ER è stata valutata in un totale di pazienti del 2011 in studi clinici controllati e controllati. Gli studi clinici sono stati arruolati di pazienti con dolore per il cancro al cancro al dolore cronico cronico da moderato a grave e dolore post-chirurgico. Gli eventi avversi gravi più comuni segnalati con la somministrazione di Opana ER sono stati la polmonite e il vomito del dolore toracico.
Le tabelle 2 e 3 elencano le reazioni avverse più frequentemente presenti (in almeno il 5% dei pazienti) dagli studi controllati con placebo in pazienti con lombalgia.
Tabella 2: reazioni avverse emergenti dal trattamento riportate in ≥5% dei pazienti durante il periodo di titolazione in aperto e periodo di trattamento in doppio cieco per termine preferito-Numero (%) dei pazienti trattati (studio di 12 settimane in pazienti naïve agli oppioidi con lombalgia)
| Termine preferito | Periodo di titolazione in aperto | Periodo di trattamento in doppio cieco | |
| Opana è (N = 325) | Opana è (N = 105) | Placebo (N = 100) | |
| Stipsi | 26% | 7% | 1% |
| Sonnolenza | 19% | 2% | 0% |
| Nausea | 18% | 11% | 9% |
| Vertigini | 11% | 5% | 3% |
| Mal di testa | 11% | 4% | 2% |
| Prurito | 7% | 3% | 1% |
Tabella 3: reazioni avverse emergenti dal trattamento riportate in ≥5% dei pazienti durante il periodo di titolazione del marchio aperto e il periodo di trattamento in doppio cieco per termine preferito-Numero (%) dei pazienti trattati (studio di 12 settimane in pazienti con esperienza con la schiena)
| Termine preferito | Periodo di titolazione in aperto | Periodo di trattamento in doppio cieco | |
| Opana è (N = 250) | Opana è (N = 70) | Placebo (N = 72) | |
| Nausea | 20% | 3% | 1% |
| Stipsi | 12% | 6% | 1% |
| Mal di testa | 12% | 3% | 0% |
| Sonnolenza | 11% | 3% | 0% |
| Vomito | 9% | 0% | 1% |
| Prurito | 8% | 0% | 0% |
| Vertigini | 6% | 0% | 0% |
La tabella 4 elenca le reazioni avverse riportate in almeno il 2% dei pazienti negli studi controllati con placebo (n = 5).
Tabella 4: reazioni avverse riportate negli studi clinici controllati con placebo con incidenza ≥2% nei pazienti che hanno ricevuto OPANA ER.
| Termina preferita di Meddra | Opana è (N = 1259) | Placebo (N = 461) |
| Nausea | 33% | 13% |
| Stipsi | 28% | 13% |
| Vertigini (Excl Vertigo) | 18% | 8% |
| Sonnolenza | 17% | 2% |
| Vomito | 16% | 4% |
| Prurito | 15% | 8% |
| Mal di testa | 12% | 6% |
| La sudorazione aumentava | 9% | 9% |
| Bocca secca | 6% | <1% |
| Sedazione | 6% | 8% |
| Diarrea | 4% | 6% |
| Insonnia | 4% | 2% |
| Fatica | 4% | 1% |
| L'appetito è diminuito | 3% | <1% |
| Dolore addominale | 3% | 2% |
Il comune (≥1% a <10%) adverse drug reactions reported at least once by patients treated with Opana è in the clinical trials organized by MedDRA’s (Medical Dictionary for Regulatory Activities) System Organ Class E not represented in Table 2 were:
Disturbi degli occhi: visione sfocata
Disturbi gastrointestinali: diarrea abdominal pain dyspepsia
Disturbi generali e condizioni del sito di amministrazione: bocca secca appetite decreased fatigue lethargy debolezza pyrexia dehydration weight decreased edema
Disturbi del sistema nervoso: insonnia
Disturbi psichiatrici: Disorientamento della confusione di ansia I irregolare nervosismo depressione
Disturbi toracici e mediastinali respiratori: Dispnea
Disturbi vascolari: Flushing e ipertensione
Altre reazioni avverse meno comuni note con il trattamento con oppioidi che sono stati visti <1% in the Opana è trials include the following: Bradycardia palpitation syncope tachycardia postural hypotension miosis abdominal distention ileus hot flashes allergic reactions hypersensitivity urticaria oxygen saturation decreased central nervous system depression depressed level of consciousness agitazione dysphoria euphoric mood hallucination mental status changes difficult micturition urinary retention hypoxia respiratory depression respiratory distress clamminess dermatitis hypotension.
Esperienza post -marketing
Le seguenti reazioni avverse sono state identificate durante l'uso post di approvazione degli oppioidi. Poiché queste reazioni sono riportate volontariamente da una popolazione di dimensioni incerte, non è sempre possibile stimare in modo affidabile la loro frequenza o stabilire una relazione causale con l'esposizione ai farmaci.
Disturbo del sistema nervoso: Amnesia Convulsion Memory Dimorment
Sindrome di Seroton: Casi di sindrome della serotonina è stata segnalata una condizione potenzialmente letale durante l'uso concomitante di oppioidi con farmaci serotonergici.
Pravastatina Effetti collaterali del sodio 40 mg
Insufficienza surrenale: Casi di insufficienza surrenale sono stati riportati con uso di oppiacei più spesso seguendo più di un mese di utilizzo.
Anafilassi: L'anafilassi è stata segnalata con ingredienti contenuti in opana er
Carenza di androgeni: Casi di carenza di androgeni si sono verificati con l'uso di oppioidi per un lungo periodo di tempo. [Vedere Farmacologia clinica ].
Iperalgesia e allodinia: Casi di iperalgesia e allodinia sono stati riportati con terapia oppiacei di qualsiasi durata [vedi AVVERTIMENTOS AND PRECAUZIONI ]
Ipoglicemia: Casi di ipoglicemia sono stati riportati in pazienti che assumono oppioidi. La maggior parte dei rapporti era in pazienti con almeno un fattore di rischio predisponente (ad es. Diabete).
Interazioni farmacologiche for Opan | ER
La tabella 5 include interazioni farmacologiche clinicamente significative con Opana ER.
Tabella 5: interazioni farmacologiche clinicamente significative con Opana ER
| Alcool | |
| Impatto clinico: | L'uso concomitante di alcol con opana ER può comportare un aumento dei livelli plasmatici di ossimorfone e un sovradosaggio potenzialmente fatale di ossimorfone. |
| Intervento: | Istruire i pazienti a non consumare bevande alcoliche o di utilizzare prodotti da prescrizione o non prescrizione contenenti alcol durante la terapia Opana ER [vedi AVVERTIMENTOS AND PRECAUZIONI Farmacologia clinica ]. |
| Benzodiazepine e altri depressivi del sistema nervoso centrale (SNC) | |
| Impatto clinico: | A causa dell'effetto farmacologico additivo, l'uso concomitante di benzodiazepine o altri depressivi del SNC, incluso l'alcol, può aumentare il rischio di depressione respiratoria di ipotensione profonda coma e morte [vedi AVVERTIMENTOS AND PRECAUZIONI ]. |
| Intervento: | La prescrizione concomitante di riserva di questi farmaci per l'uso in pazienti per i quali le opzioni di trattamento alternative sono inadeguate. Limitare i dosaggi e le durate al minimo richiesto. Informare i pazienti e gli operatori sanitari di questa potenziale interazione e educali sui segni e sui sintomi della depressione respiratoria (inclusa la sedazione). Se l'uso concomitante è garantito, considera la prescrizione di naloxone per il trattamento di emergenza del sovradosaggio di oppiacei [vedi Dosaggio e amministrazione AVVERTIMENTOS AND PRECAUZIONI ]. |
| Esempi: | Benzodiazepine e altri sedativi/ipnotici ansiolitici Tranquilibri muscolari rilassanti anestetici generali antipsicotici Altri alcolici di oppioidi. |
| Farmaci serotonergici | |
| Impatto clinico: | L'uso concomitante di oppioidi con altri farmaci che influenzano il sistema neurotrasmettitore serotonergico ha portato alla sindrome della serotonina. |
| Intervento: | Se l'uso concomitante è garantito frequentemente, valutare il paziente in particolare durante l'inizio del trattamento e l'aggiustamento della dose. Interrompere l'opana ER se si sospetta la sindrome della serotonina. |
| Esempi: | Inibitori selettivi di reuptake della serotonina (SSRIS) Serotonina e inibitori del reuptake della noradrenalina (SNRI) Antidepressivi triciclici (TCAS) Triptans 5-HT3 Recettori Antagonisti I.E. Ciclobenzaprina metaxalone) inibitori della monoamina ossidasi (quelli destinati a trattare i disturbi psichiatrici e anche altri come il linezolide e il blu endovenoso di metilene). |
| Inibitori della monoamina ossidasi (MAOIS) | |
| Impatto clinico: | Le interazioni MAOI con gli oppioidi possono manifestarsi come sindrome della serotonina o tossicità da oppiacei (ad esempio depressione respiratoria coma) [vedi AVVERTIMENTOS AND PRECAUZIONI ]. |
| Intervento: | L'uso di Opana ER non è raccomandato per i pazienti che assumono MAOIS o entro 14 giorni dall'arresto di tale trattamento. |
| Esempi: | fenelzina tranilcypromine linezolid |
| Agonista mista/antagonista e analgesici oppiacei agonisti parziali | |
| Impatto clinico: | Può ridurre l'effetto analgesico di Opana ER e/o precipitare i sintomi di astinenza. |
| Intervento: | Evita l'uso concomitante. |
| Esempi: | butorfanolo nalbuphina pentazocina buprenorfina |
| Diuretici | |
| Impatto clinico: | Gli oppioidi possono ridurre l'efficacia dei diuretici inducendo il rilascio di ormone antidiuretico. |
| Intervento: | Valutare i pazienti per segni di diuresi ridotta e/o effetti sulla pressione sanguigna e aumentare il dosaggio del diuretico, se necessario. |
| Rilassanti muscolari | |
| Impatto clinico: | Ossimorfone may enhance the neuromuscular blocking action of skeletal muscle relaxants E produce an increased degree of respiratory depression. |
| Intervento: | Poiché la depressione respiratoria può essere maggiore di quanto altrimenti previsto diminuisce il dosaggio di opana ER e/o il rilassante muscolare, se necessario. A causa del rischio di depressione respiratoria con uso concomitante di rilassanti muscolari scheletrici e oppioidi considerano la prescrizione di naloxone per il trattamento di emergenza del sovradosaggio di oppioidi. [Vedere Dosaggio e amministrazione AVVERTIMENTOS AND PRECAUZIONI ] |
| Esempi: | Ciclobenzaprina metaxalone |
| Anticolinergic dru gs | |
| Impatto clinico: | L'uso concomitante di farmaci anticolinergici può aumentare il rischio di ritenzione urinaria e/o grave costipazione che può portare a ileo paralitico. |
| Intervento: | Valutare i pazienti per segni di ritenzione urinaria o ridotta motilità gastrica quando l'opana viene utilizzata in concomitanza con farmaci anticolinergici. |
| Cimetidina | |
| Impatto clinico: | Cimetidina can potentiate opioid-induced respiratory depression. |
| Intervento: | Valutare i pazienti per la depressione respiratoria quando Opana ER e cimetidina vengono utilizzati contemporaneamente. |
Abuso e dipendenza da droghe
Sostanza controllata
Opana è contains oxymorphone a Schedule II controlled substance.
Abuso
Opana è contains oxymorphone a substance with high potential for misuse E abuse which can lead to the development of substance use disorder including addiction [see AVVERTIMENTOS AND PRECAUZIONI ].
L'abuso è l'uso intenzionale per scopi terapeutici di un farmaco da parte di un individuo in un modo diverso da quello prescritto da un operatore sanitario o per il quale non è stato prescritto.
Abuso is the intentional non-therapeutic use of a drug even once for its desirable psychological or physiological effects.
La tossicodipendenza è un cluster di fenomeni cognitivi e fisiologici comportamentali che possono includere un forte desiderio di assumere le difficoltà della droga nel controllo dell'uso di droghe (ad esempio il consumo di droghe continue nonostante le conseguenze dannose che danno una priorità maggiore all'uso di droghe rispetto ad altre attività e obblighi) e possibili tolleranza o dipendenza fisica.
L'abuso e l'abuso di opana ER aumentano il rischio di sovradosaggio che possono portare a convulsioni e morte di ipotensione della depressione respiratoria e depressione respiratoria. Il rischio è aumentato con l'abuso simultaneo di opana ER con alcol e/o altri depressivi del SNC. L'abuso e la dipendenza da oppioidi in alcuni individui potrebbero non essere accompagnati da tolleranza simultanea e sintomi di dipendenza fisica. Inoltre, può verificarsi abusi di oppioidi in assenza di dipendenza.
Tutti i pazienti trattati con oppioidi richiedono un'attenta e frequente rivalutazione per i segni di abuso di uso improprio e la dipendenza perché l'uso di prodotti analgesici oppioidi comporta il rischio di dipendenza anche a causa di un adeguato uso medico. I pazienti ad alto rischio di abuso di opana includono quelli con una storia di uso prolungato di qualsiasi oppioide, compresi prodotti contenenti ossimorfoni di quelli con una storia di abuso di droghe o alcol o coloro che usano opana in combinazione con altri farmaci abusati.
Il comportamento in cerca di farmaci è molto comune nelle persone con disturbi da uso di sostanze. Le tattiche in cerca di droghe includono chiamate di emergenza o visite verso la fine delle ore di ufficio, il rifiuto di sottoporsi a test di esame adeguati o di referral ripetuta perdita di prescrizioni manomissione delle prescrizioni e della riluttanza per fornire precedenti cartelle cliniche o informazioni di contatto per altri operatori sanitari del trattamento. Lo shopping medico (visitare più prescrittori per ottenere ulteriori prescrizioni) è comune tra le persone che abusano di droghe e persone con disturbo da uso di sostanze. La preoccupazione per il raggiungimento di un adeguato sollievo dal dolore può essere un comportamento appropriato in un paziente con controllo del dolore inadeguato.
Opana è like other opioids can be diverted for non-medical use into illicit channels of distribution. Careful record-keeping of prescribing information including quantity frequency E renewal requests as required by state E federal law is strongly advised.
Una corretta valutazione del paziente adeguate pratiche di prescrizione di rivalutazione periodica della terapia e adeguata distribuzione e conservazione sono misure appropriate che aiutano a limitare l'abuso di farmaci da oppiacei.
Rischi specifici per l'abuso di opana er
Abuso of Opana è poses a risk of overdose E death. This risk is increased with concurrent use of Opana è with alcohol E/or other CNS depressants. Taking cut broken chewed crushed or dissolved Opana è enhances drug release E increases the risk of overdose E death [see AVVERTIMENTOS AND PRECAUZIONI Interazioni farmacologiche ].
Opana è is approved for oral use only. Parenteral drug abuse is commonly associated with transmission of infectious diseases such as hepatitis E HIV.
Dipendenza
Sia la tolleranza che la dipendenza fisica possono svilupparsi durante l'uso della terapia con oppioidi.
La tolleranza è uno stato fisiologico caratterizzato da una risposta ridotta a un farmaco dopo una somministrazione ripetuta (cioè è necessaria una dose più elevata di un farmaco per produrre lo stesso effetto che una volta è stato ottenuto a una dose più bassa).
La dipendenza fisica è uno stato che si sviluppa a seguito di un adattamento fisiologico in risposta al ripetuto uso di droghe manifestato da segni di astinenza e sintomi dopo una brusca sospensione o una significativa riduzione della dose di un farmaco.
Il ritiro può essere precipitato attraverso la somministrazione di farmaci con attività antagonista oppioide (ad esempio naloxone) analgesici agonisti/antagonisti misti (ad es. Pentazocina butorfanolo nalbufina) o agonisti parziali (ad esempio buprenorfina). La dipendenza fisica potrebbe non verificarsi in misura clinicamente significativa fino a dopo diversi giorni o settimane di uso continuato.
Non interrompere bruscamente l'opana in un paziente dipendente fisicamente dagli oppioidi. La rapida riduzione di opana ER in un paziente dipendente fisicamente dagli oppioidi può portare a gravi sintomi di astinenza da dolore e suicidio. La rapida interruzione è stata anche associata ai tentativi di trovare altre fonti di analgesici oppioidi che possono essere confusi con la ricerca di droghe per abusi.
Quando si interrompe l'opana e l'Opana si rastrella gradualmente il dosaggio usando un piano specifico per il paziente che considera quanto segue: la dose di opana ER, il paziente ha preso la durata del trattamento e gli attributi fisici e psicologici del paziente. Per migliorare la probabilità di un cono di successo e ridurre al minimo i sintomi di astinenza, è importante che il programma di riduzione degli oppiacei sia concordato dal paziente. Nei pazienti che assumono oppioidi per un lungo periodo di tempo a dosi elevate assicurano che un approccio multimodale alla gestione del dolore incluso il supporto per la salute mentale (se necessario) sia in atto prima di iniziare un cono analgesico oppioide [vedi Dosaggio e amministrazione AVVERTIMENTOS AND PRECAUZIONI ].
Anche i bambini nati da madri dipendenti fisicamente dagli oppioidi saranno fisicamente dipendenti e possono mostrare difficoltà respiratorie e segni di astinenza [vedi Utilizzare in popolazioni specifiche ].
Avvertimenti per opana è
Incluso come parte del PRECAUZIONI sezione.
Precauzioni per Opana er
Abuso e uso improprio della dipendenza
Opana è contains oxymorphone a Schedule II controlled substance. As an opioid Opana è exposes users to the risks of addiction abuse E misuse. Because extended-release products such as Opana è deliver the opioid over an extended period of time there is a greater risk for overdose E death due to the larger amount of oxymorphone present. As long-acting opioids such as Opana è have pharmacological effects over an extended period of time there is a greater risk for overdose E death [see Abuso e dipendenza da droghe ].
Sebbene il rischio di dipendenza in ogni individuo sia sconosciuto, può verificarsi in pazienti opportunamente prescritti. La dipendenza può verificarsi a dosi raccomandate e se il farmaco viene abusato o abuso.
Valutare il rischio di ciascun paziente per abuso di dipendenti da oppiacei o uso improprio prima di prescrivere opana er e rivalutare tutti i pazienti che ricevono opana ER per lo sviluppo di questi comportamenti e condizioni. I rischi sono aumentati nei pazienti con una storia personale o familiare di abuso di sostanze (inclusi abuso di droghe o alcol o dipendenza) o malattie mentali (ad esempio depressione maggiore). Il potenziale per questi rischi non dovrebbe tuttavia impedire la corretta gestione del dolore in un dato paziente. I pazienti ad aumentato rischio possono essere prescritti oppioidi come l'opana ER, ma l'uso in tali pazienti richiede una consulenza intensiva sui rischi e l'uso corretto di opana e una frequente rivalutazione per i segni di abuso di dipendenti e uso improprio. Prendi in considerazione la prescrizione di naloxone per il trattamento di emergenza del sovradosaggio di oppiacei [vedi Dosaggio e amministrazione E AVVERTIMENTOS AND PRECAUZIONI ].
Abuso or misuse of Opana è by crushing chewing snorting or injecting the dissolved product will result in the uncontrolled delivery of the oxymorphone E can result in overdose E death [see Sovradosaggio ].
Gli oppioidi sono ricercati per uso non medico e sono soggetti a diversione dall'uso legittimo prescritto. Considera questi rischi durante la prescrizione o l'erogazione di opana er. Le strategie per ridurre questi rischi includono la prescrizione del farmaco nella più piccola quantità appropriata e la consulenza al paziente su un'attenta conservazione del farmaco nel corso del trattamento e la corretta smaltimento del farmaco inutilizzato. Contattare il consiglio di licenza professionale dello stato locale o l'autorità di sostanze controllate dallo stato per informazioni su come prevenire e rilevare abusi o diversione di questo prodotto.
Depressione respiratoria potenzialmente letale
È stata segnalata una grave depressione respiratoria potenzialmente letale o fatale con l'uso di oppioidi anche se usato come raccomandato. La depressione respiratoria dall'uso di oppioidi se non immediatamente riconosciuto e trattata può portare a arresti respiratoria e morte. La gestione della depressione respiratoria può includere misure di supporto a stretto osservazione e uso di antagonisti oppioidi a seconda dello stato clinico del paziente [vedi Sovradosaggio ]. Carbon dioxide (CO2) retention from opioid-induced respiratory depression can exacerbate the sedating effects of opioids.
Mentre la depressione respiratoria mortale o fatale potenzialmente letale o fatale può verificarsi in qualsiasi momento durante l'uso di opana, il rischio è maggiore durante l'inizio della terapia o a seguito di un aumento della dose.
Per ridurre il rischio di depressione respiratoria è essenziale il dosaggio e la titolazione di opana er [vedi Dosaggio e amministrazione ]. Overestimating the Opana è dosage when converting patients from another opioid product can result in fatal overdose with the first dose.
L'ingestione accidentale anche di una dose di opana ER, specialmente da parte dei bambini, può provocare depressione respiratoria e morte a causa di un sovradosaggio di ossimorfone.
Educare pazienti e caregiver su come riconoscere la depressione respiratoria e sottolineare l'importanza di chiamare il 911 o ottenere subito assistenza medica di emergenza in caso di un sovradosaggio noto o sospetto.
Gli oppioidi possono causare disturbi respiratori legati al sonno tra cui l'apnea del sonno centrale (CSA) e l'ipossiemia legata al sonno. L'uso di oppioidi aumenta il rischio di CSA in modo dose-dipendente. Nei pazienti che presentano CSA prendono in considerazione la riduzione del dosaggio degli oppioidi usando le migliori pratiche per il rastremazione degli oppiacei [vedi Dosaggio e amministrazione ].
Accesso al paziente al naloxone per il trattamento di emergenza del sovradosaggio di oppiacei
Discutere la disponibilità di naloxone per il trattamento di emergenza del sovradosaggio di oppiacei con il paziente e il caregiver e valutare la potenziale necessità di accesso al naloxone sia quando si iniziano e rinnova il trattamento con Opana ER. Informare i pazienti e gli operatori sanitari sui vari modi per ottenere il naloxone come consentito dal singolo stato di erogazione e prescrizione di requisiti o linee guida per la prescrizione di naloxone (ad esempio prescrizione direttamente da un farmacista o come parte di un programma basato sulla comunità). Educare pazienti e caregiver su come riconoscere la depressione respiratoria e sottolineare l'importanza di chiamare il 911 o ottenere assistenza medica di emergenza anche se viene somministrato il naloxone.
Prendi in considerazione la prescrizione di naloxone in base ai fattori di rischio del paziente per il sovradosaggio come l'uso concomitante di depressivi del SNC una storia di disturbo da uso di oppiacei o sovradosaggio di oppiacei. La presenza di fattori di rischio per il sovradosaggio non dovrebbe impedire la corretta gestione del dolore in un dato paziente. Considera anche la prescrizione di naloxone se il paziente ha membri della famiglia (compresi i bambini) o altri contatti ravvicinati a rischio di ingestione accidentale o sovradosaggio. Se il naloxone viene prescritto, educare pazienti e caregiver su come trattare con naloxone. [Vedere Dosaggio e amministrazione AVVERTIMENTOS AND PRECAUZIONI Sovradosaggio ].
Rischi per uso concomitante con benzodiazepine o altri depressivi del SNC
I pazienti non devono consumare bevande alcoliche o prodotti da prescrizione o non prescrizione contenenti alcol durante la terapia Opana. La co-ingestione di alcol con opana er può comportare un aumento dei livelli di ossimorfone plasmatico e un sovradosaggio potenzialmente fatale di ossimorfone [vedi Farmacologia clinica ].
La profonda sedazione della depressione respiratoria coma e la morte possono derivare dall'uso concomitante di opana con benzodiazepine e/o altri depressivi del SNC, tra cui l'alcol (ad esempio sedativi non benzodiazepina/ansiolitici ipnotici, tranquilli dei muscoli rilassanti anestetici generali antipioidi). A causa di questi rischi riserve la prescrizione concomitante di questi farmaci per l'uso in pazienti per i quali le opzioni di trattamento alternative sono inadeguate.
Studi osservazionali hanno dimostrato che l'uso concomitante di analgesici oppioidi e benzodiazepine aumenta il rischio di mortalità correlata al farmaco rispetto all'uso di analgesici oppioidi da soli. A causa di proprietà farmacologiche simili, è ragionevole aspettarsi un rischio simile con l'uso concomitante di altri farmaci depressivi del SNC con analgesici oppioidi [vedi Interazioni farmacologiche ].
Se viene presa la decisione di prescrivere una benzodiazepina o altri depressivi del SNC in concomitanza con un analgesico oppioide, prescrive i dosaggi più bassi e le durate minime di uso concomitante. Nei pazienti che già ricevevano un analgesico oppiaceo prescrivono una dose iniziale inferiore della benzodiazepina o di altri depressivi del SNC rispetto a quello indicato in assenza di oppioidi e titolato basati sulla risposta clinica. Se un analgesico oppiaceo viene avviato in un paziente che già assume una benzodiazepina o altri depressivi del SNC prescrive una dose iniziale più bassa dell'analgesico e del titolato oppiacei in base alla risposta clinica. Informare i pazienti e gli operatori sanitari di questa potenziale interazione educali sui segni e sui sintomi della depressione respiratoria (compresa la sedazione).
Se l'uso concomitante è garantito, considera la prescrizione di naloxone per il trattamento di emergenza del sovradosaggio di oppiacei [vedi Dosaggio e amministrazione AVVERTIMENTOS AND PRECAUZIONI Sovradosaggio ].
Consigliare sia i pazienti che i caregiver sui rischi della depressione e della sedazione respiratoria quando l'opana viene utilizzata con benzodiazepine o altri depressivi del SNC (inclusi alcol e droghe illecite). Consigliare ai pazienti di non guidare o utilizzare macchinari pesanti fino a quando sono stati determinati gli effetti dell'uso concomitante della benzodiazepina o di altri depressivi del SNC. Schermo i pazienti a rischio di disturbi da uso di sostanze tra cui abuso di oppiacei e uso improprio e li avvertono del rischio di sovradosaggio e morte associati all'uso di ulteriori depressivi del SNC, tra cui alcol e droghe illecite [vedi Interazioni farmacologiche ].
Sindrome da astinenza da oppiacei neonatali
L'uso di opana er per un lungo periodo di tempo durante la gravidanza può comportare un ritiro nel neonato. La sindrome da astinenza da oppiacei neonatali a differenza della sindrome da astinenza da oppiacei negli adulti può essere pericolosa la vita se non riconosciuta e trattata e richiede la gestione secondo i protocolli sviluppati da esperti neonatologici. Osservare i neonati per i segni della sindrome da astinenza da oppiacei neonatali e gestire di conseguenza. Consiglia alle donne in gravidanza che utilizzano oppioidi per un lungo periodo di tempo del rischio di sindrome da astinenza da oppiacei neonatali e assicurarsi che sia disponibile un trattamento adeguato [vedi Utilizzare in popolazioni specifiche ].
Strategia di valutazione e mitigazione del rischio analgesico degli oppiacei (REMS)
Per garantire che i benefici degli analgesici degli oppiacei superano i rischi di abusi di dipendenza e abusare della Food and Drug Administration (FDA) abbia richiesto una strategia di valutazione e mitigazione del rischio (REMS) per questi prodotti. Secondo i requisiti delle compagnie farmaceutiche REMS con prodotti analgesici oppioidi approvati devono rendere disponibili programmi di istruzione conformi a REMS per i fornitori di assistenza sanitaria. Gli operatori sanitari sono fortemente incoraggiati a fare tutte le seguenti:
- Completa un programma educativo conforme a REMS offerto da un fornitore accreditato di formazione continua (CE) o da un altro programma educativo che include tutti gli elementi del modello di istruzione della FDA per gli operatori sanitari coinvolti nella gestione o nel sostegno dei pazienti con dolore.
- Discutere l'uso sicuro gravi rischi e una corretta conservazione e smaltimento degli analgesici oppioidi con i pazienti e/o i loro caregiver ogni volta che questi medicinali vengono prescritti. La Guida alla consulenza del paziente (PCG) può essere ottenuta su questo link: www.fda.gov/opioidanalgesicremspcg.
- Sottolinea ai pazienti e ai loro caregiver l'importanza di leggere la guida ai farmaci che riceveranno dal loro farmacista ogni volta che un analgesico oppiaceo viene loro erogato.
- Prendi in considerazione l'uso di altri strumenti per migliorare la sicurezza delle famiglie e della comunità dei pazienti come gli accordi prescrittori di pazienti che rafforzano le responsabilità dei prescrittori dei pazienti.
Per ottenere ulteriori informazioni sui REM analgesici degli oppiacei e per un elenco di REM accreditati CME/CE, chiamare il numero 1-800-503-0784 o accedere a www.opioidanalgesicrems.com. Il progetto FDA può essere trovato su www.fda.gov/opioidanalgesicremsblueprint.
Iperalgesia e allodinia indotta da oppioidi
L'iperalgesia indotta da oppioidi (OIH) si verifica quando un analgesico oppioide paradossalmente provoca un aumento del dolore o un aumento della sensibilità al dolore. Questa condizione differisce dalla tolleranza che è la necessità di aumentare le dosi di oppioidi per mantenere un effetto definito [vedi Dipendenza ]. Symptoms of OIH include (but may not be limited to) increased levels of pain upon opioid dosage increase decreased levels of pain upon opioid dosage decrease or pain from ordinarily non-painful stimuli (allodynia). These symptoms may suggest OIH only if there is no evidence of underlying disease progression opioid tolerance opioid withdrawal or addictive behavior.
Casi di OIH sono stati segnalati sia con uso a breve che a lungo termine di analgesici oppioidi. Sebbene il meccanismo di OIH non sia completamente compreso più percorsi biochimici. La letteratura medica suggerisce una forte plausibilità biologica tra analgesici oppioidi e OIH e allodinia. Se si sospetta che un paziente stia vivendo con cura, prendi in considerazione la riduzione in modo appropriato della dose dell'attuale rotazione analgesica o oppioide degli oppiacei (passando in modo sicuro il paziente a una diversa porzione di oppiacei) [vedi Dosaggio e amministrazione AVVERTIMENTOS AND PRECAUZIONI ].
Depressione respiratoria potenzialmente letale In Pazienti con malattia polmonare cronica Or In Pazienti cachettici o debilitati anziani
L'uso di opana ER nei pazienti con asma bronchiale acuto o grave in un ambiente non monitorato o in assenza di attrezzature per la rianimazione è controindicato.
Pazienti con malattia polmonare cronica
Opana è treated patients with significant chronic obstructive pulmonary disease or cor pulmonale E those with a substantially decreased respiratory reserve hypoxia hypercapnia or pre-existing respiratory depression are at increased risk of decreased respiratory drive including apnea even at recommended dosages of Opana è [see AVVERTIMENTOS AND PRECAUZIONI ].
Pazienti cachettici o debilitati anziani
È più probabile che si verifichi una depressione respiratoria pericolosa per la vita nei pazienti anziani cachettici o debilitati perché possono aver alterato la farmacocinetica o alterazione alterata rispetto ai pazienti più giovani più sani [vedi AVVERTIMENTOS AND PRECAUZIONI ].
Valutare regolarmente i pazienti in particolare quando si inizia e titola opana er e quando opana er viene somministrato in concomitanza con altri farmaci che preminano la respirazione [vedi AVVERTIMENTOS AND PRECAUZIONI Interazioni farmacologiche ]. Alternatively consider the use of non-opioid analgesics in these patients.
Anafilassi angioedema e altre reazioni di ipersensibilità
Le reazioni di ipersensibilità potenzialmente letali, tra cui anafilassi e angioedema, si sono verificate nei pazienti trattati con opana ER in ambito post-mercato. Le caratteristiche cliniche più comunemente descritte in questi rapporti erano gonfiore delle labbra della bocca delle labbra della bocca e/o della gola; dispnea; Alveari prurito e/o eruzione cutanea; e nausea/vomito. Se l'anafilassi o altra ipersensibilità si verificano, ferma la somministrazione di opana eter interrompere immediatamente l'opana eR permanentemente e non si ricarica con alcuna formulazione di ossimorfone. Consiglia ai pazienti di cercare un medico immediato se presentano sintomi di una reazione di ipersensibilità.
Insufficienza surrenale
Casi di insufficienza surrenale sono stati riportati con uso di oppiacei più spesso seguendo più di un mese di utilizzo. Presentation of adrenal insufficiency may include non-specific symptoms E signs including nausea vomito anorexia fatigue debolezza vertigini E bassa pressione sanguigna . Se si sospetta l'insufficienza surrenale, conferma la diagnosi con i test diagnostici il più presto possibile. Se viene diagnosticata l'insufficienza surrenalica con dosi di sostituzione fisiologica di corticosteroidi. Ruotare il paziente fuori dall'oppioide per consentire alla funzione surrenale di recuperare e continuare il trattamento con corticosteroidi fino a quando la funzione surrenale si riprende. Altri oppioidi possono essere provati come alcuni casi segnalati l'uso di un oppioide diverso senza ricorrenza di insufficienza surrenale. Le informazioni disponibili non identificano alcun particolare oppioide come più probabilità di essere associate all'insufficienza surrenale.
Utilizzare in pazienti con compromissione epatica
Uno studio sull'opana ER nei pazienti con malattia epatica ha indicato concentrazioni plasmatiche maggiori rispetto a quelle con normale funzione epatica [vedi Farmacologia clinica ]. Opana ER è controindicata nei pazienti con compromissione epatica moderata o grave. In patients with mild hepatic impairment reduce the starting dose to the lowest dose E regularly evaluate for signs of respiratory E central nervous system depression [see Dosaggio e amministrazione ].
Grave ipotensione
Opana è may cause severe hypotension including orthostatic hypotension E syncope in ambulatory patients. There is an increased risk in patients whose ability to maintain blood pressure has already been compromised by a reduced blood volume or concurrent administration of certain CNS depressant drugs (e.g. phenothiazines or general anesthetics) [see Interazioni farmacologiche ]. Regularly evaluate these patients for signs of hypotension after initiating or titrating the dosage of Opana è. In patients with circulatory shock Opana è may cause vasodilation that can further reduce cardiac output E blood pressure. Avoid the use of Opana è in patients with circulatory shock.
Rischi di utilizzo in pazienti con aumento dei tumori del cervello a pressione intracranica lesioni alla testa o coscienza compromessa
Nei pazienti che possono essere suscettibili agli effetti intracranici della ritenzione di CO2 (ad esempio quelli con evidenza di un aumento della pressione intracranica o dei tumori cerebrali), l'opana ER può ridurre l'unità respiratoria e la conseguente ritenzione di CO2 può aumentare ulteriormente la pressione intracranica. Monitorare tali pazienti per segni di sedazione e depressione respiratoria, in particolare quando si inizia la terapia con opana ER.
Gli oppioidi possono anche oscurare il percorso clinico in un paziente con un lesione alla testa. Evita l'uso di opana ER nei pazienti con coscienza o coma compromessa.
Rischi di utilizzo nei pazienti con condizioni gastrointestinali
Opana è is contraindicated in patients with known or suspected gastrointestinal obstruction including paralytic ileus.
L'ossymerphone in Opana er può causare spasmo dello sfintere di Oddi. Gli oppioidi possono causare aumenti della sierica amilasi. Valutare regolarmente i pazienti con malattia del tratto biliare, compresa la pancreatite acuta per il peggioramento dei sintomi.
Aumento del rischio di convulsioni nei pazienti con disturbi convulsivi
L'ossymerphone nell'opana ER può aumentare la frequenza delle convulsioni nei pazienti con disturbi convulsivi e può aumentare il rischio di convulsioni che si verificano in altre ambientazioni cliniche associate a convulsioni. Valutare regolarmente i pazienti con una storia di disturbi convulsivi per il peggioramento del controllo delle crisi durante la terapia Opana ER.
Ritiro
Non interrompere bruscamente l'opana in un paziente dipendente fisicamente dagli oppioidi. Quando si interrompe l'opana in un paziente fisicamente dipendente raddrizza il dosaggio. La rapida assorbimento di ossimorfone in un paziente dipendente fisicamente dagli oppioidi può portare a una sindrome da astinenza e al ritorno del dolore [vedi Dosaggio e amministrazione E Abuso e dipendenza da droghe ].
Inoltre, evitare l'uso di agonisti/antagonisti misti (ad esempio pentazocina nalbuphina e butorfanolo) e agonisti parziali (ad esempio buprenorfina) analgesici nei pazienti che ricevono un analgesico agonista oppioide compreso l'opana ER. In questi pazienti agonisti mesi/antagonisti e analgesici agonisti parziali possono ridurre l'effetto analgesico e/o possono precipitare i sintomi di astinenza [vedi Interazioni farmacologiche ].
Rischio di macchinari di guida e operazione
Opana è may impair the mental or physical abilities needed to perform potentially hazardous activities such as driving a car or operating machinery. Warn patients not to drive or operate dangerous machinery unless they are tolerant to the effects of Opana è E know how they will react to the medication.
Informazioni sulla consulenza del paziente
Consiglia al paziente di leggere l'etichettatura del paziente approvato dalla FDA ( Guida ai farmaci ).
Stoccaggio e smaltimento
A causa dei rischi associati a un uso improprio e abuso di ingestione accidentale consiglia ai pazienti di conservare Opana in modo sicuro fuori dalla vista e dalla portata dei bambini e in un luogo non accessibile da altri, compresi i visitatori della casa. Informare i pazienti che lasciare Opana ER non garantito può comportare un rischio mortale per gli altri in casa [vedi AVVERTIMENTOS AND PRECAUZIONI E Abuso e dipendenza da droghe ].
Consiglia ai pazienti e ai caregiver che quando i medicinali non sono più necessari, dovrebbero essere eliminati prontamente. Opana ER non utilizzato o inutilizzato scaduto dovrebbe essere smaltato per sciacquare i farmaci inutilizzati nel gabinetto se un'opzione di ritorno al droga non è prontamente disponibile. Informare i pazienti che possono visitare www.fda.gov/drugdisposposal per un elenco completo di medicinali raccomandati per lo smaltimento per lavaggio e ulteriori informazioni sullo smaltimento di medicinali inutilizzati.
Abuso e uso improprio della dipendenza
Informare i pazienti che l'uso di opana ER anche se considerato come raccomandato può comportare abusi e uso improprio che possono portare al sovradosaggio o alla morte [vedi AVVERTIMENTOS AND PRECAUZIONI ]. Instruct patients not to share Opana è with others E to take steps to protect Opana è from theft or misuse.
Depressione respiratoria potenzialmente letale
Informare i pazienti del rischio di depressione respiratoria potenzialmente letale, comprese le informazioni secondo cui il rischio è maggiore quando si avvia opana er o quando il dosaggio è aumentato e che può verificarsi anche a dosi raccomandate.
Educare i pazienti e gli operatori sanitari su come riconoscere la depressione respiratoria e sottolineare l'importanza di chiamare il 911 o ottenere immediatamente assistenza medica di emergenza in caso di sovradosaggio noto o sospetto [vedi AVVERTIMENTOS AND PRECAUZIONI ].
Ingestione accidentale
Informare i pazienti che l'ingestione accidentale in particolare da parte dei bambini può provocare depressione o morte respiratoria [vedi AVVERTIMENTOS AND PRECAUZIONI ].
Interazioni con benzodiazepine e altri depressivi del SNC
Informare i pazienti e gli operatori sanitari che possono verificarsi effetti additivi potenzialmente fatali se l'opana viene utilizzata con benzodiazepine o altri depressivi del SNC, inclusi l'alcol e non usarlo in concomitanza se non supervisionato da un operatore sanitario [vedi AVVERTIMENTOS AND PRECAUZIONI Interazioni farmacologiche ].
Istruire i pazienti a non consumare bevande alcoliche, nonché prodotti da prescrizione e da banco che contengono alcol durante il trattamento con opana ER. La co-ingestione di alcol con opana ER può comportare un aumento dei livelli plasmatici e un sovradosaggio potenzialmente fatale di ossimorfone [vedi AVVERTIMENTOS AND PRECAUZIONI ].
Accesso al paziente al naloxone per il trattamento di emergenza del sovradosaggio di oppiacei
Discutere con il paziente e il caregiver la disponibilità di naloxone per il trattamento di emergenza del sovradosaggio di oppiacei sia quando si iniziano e rinnova il trattamento con Opana. Informare i pazienti e gli operatori sanitari sui vari modi per ottenere il naloxone come consentito dal singolo stato di erogazione e prescrizione di requisiti o linee guida per la prescrizione di naloxone (ad esempio prescrizione direttamente da un farmacista o come parte di un programma basato sulla comunità) [vedi Dosaggio e amministrazione AVVERTIMENTOS AND PRECAUZIONI ].
Educare pazienti e caregiver su come riconoscere i segni e i sintomi di un sovradosaggio.
Spiega ai pazienti e ai caregiver che gli effetti del naloxone sono temporanei e che devono chiamare il 911 o ottenere subito assistenza medica di emergenza in tutti i casi di sovradosaggio di oppioidi noto o sospetto anche se viene somministrato il naloxone [vedi Sovradosaggio ].
Se viene prescritto il naloxone consigliano anche pazienti e caregiver:
- Come trattare con naloxone in caso di overdose di oppiacei
- Per dire alla famiglia e agli amici del loro naloxone e tenerlo in un posto in cui la famiglia e gli amici possono accedervi in emergenza
- Leggere le informazioni sul paziente (o altro materiale educativo) che arriveranno con il loro naloxone. Sottolinea l'importanza di farlo prima che si verifichino un'emergenza da oppiacei in modo che il paziente e il caregiver sappiano cosa fare.
Iperalgesia e allodinia
Informare i pazienti e gli operatori sanitari di non aumentare il dosaggio di oppioidi senza consultare prima un medico. Consiglia ai pazienti di consultare un medico se sperimentano sintomi di iperalgesia, incluso il peggioramento del dolore aumentato la sensibilità al dolore o al nuovo dolore [vedi AVVERTIMENTOS AND PRECAUZIONI Reazioni avverse ].
Anafilassi angioedema e altre reazioni di ipersensibilità
Informare i pazienti che l'anafilassi e altre reazioni di ipersensibilità sono state riportate con ingredienti contenuti in opana ER. Consiglia ai pazienti come riconoscere tale reazione e quando consultare il medico [vedi Controindicazioni AVVERTIMENTOS AND PRECAUZIONI Reazioni avverse ].
Sindrome di Seroton
Informare i pazienti che gli oppioidi potrebbero causare una condizione rara ma potenzialmente potenzialmente letale chiamata sindrome serotoninica derivante dalla concomitante somministrazione di farmaci serotoninergici. Avvertire i pazienti dei sintomi della sindrome della serotonina e di consultare immediatamente un medico se si sviluppano i sintomi. Istruire i pazienti a informare i loro medici se stanno assumendo o pianificano di assumere farmaci serotoninergici [vedi Interazioni farmacologiche ].
Interazione MAOI
Informare i pazienti per evitare di assumere Opana ER mentre si utilizzano farmaci che inibiscono la monoamina ossidasi. I pazienti non devono iniziare i maois durante l'assunzione di ossimorfone [vedi Interazioni farmacologiche ].
Importanti istruzioni di amministrazione
Istruire ai pazienti come prendere correttamente Opana er, compreso i seguenti:
- Opana è is designed to work properly only if swallowed intact. Taking cut broken chewed crushed or dissolved Opana è tablets can result in a fatal overdose [see Dosaggio e amministrazione ].
- Utilizzare opana esattamente come prescritto per ridurre il rischio di reazioni avverse potenzialmente letali (ad esempio depressione respiratoria) [vedi Dosaggio e amministrazione AVVERTIMENTOS AND PRECAUZIONI ].
Importanti istruzioni di interruzione
Al fine di evitare lo sviluppo dei sintomi di astinenza, istruire i pazienti a non interrompere l'operta senza discutere prima di un piano affusolato con il prescrittore [vedi Dosaggio e amministrazione ].
Guida o funzionamento di macchinari pesanti
Informare i pazienti che Opana ER può compromettere la capacità di svolgere attività potenzialmente pericolose come la guida di un'auto o la gestione di macchinari pesanti. Consiglia ai pazienti di non svolgere tali compiti fino a quando non saranno come reagiranno al farmaco [vedi AVVERTIMENTOS AND PRECAUZIONI ].
Stipsi
Consiglia ai pazienti il potenziale per una grave costipazione, comprese le istruzioni di gestione e quando consultare cure mediche [vedi Reazioni avverse Farmacologia clinica ].
Insufficienza surrenale
Informare i pazienti che Opana ER potrebbe causare insufficienza surrenale una condizione potenzialmente pericolosa per la vita. L'insufficienza surrenale può presentare sintomi e segni non specifici come la nausea che vomito l'anoressia di debolezza delle vertigini e la bassa pressione sanguigna. Consiglia ai pazienti di consultare un medico se sperimentano una costellazione di questi sintomi [vedi AVVERTIMENTOS AND PRECAUZIONI ].
Ipotensione
Informare i pazienti che Opana ER può causare ipotensione e sincope ortostatiche. Indiicare ai pazienti come riconoscere i sintomi della bassa pressione sanguigna e come ridurre il rischio di gravi conseguenze dovrebbero verificarsi ipotensione (ad esempio sedersi o sdraiarsi con cura da una posizione seduta o sdraiata).
Gravidanza
Sindrome da astinenza da oppiacei neonatali
Informare le donne pazienti con potenziale riproduttivo che l'uso dell'opana ER per un lungo periodo di tempo durante la gravidanza può provocare sindrome da astinenza da oppiacei neonatali che possono essere pericolose per la vita se non riconosciute e trattate [vedi AVVERTIMENTOS AND PRECAUZIONI Utilizzare in popolazioni specifiche ].
Tossicità dell'embrione-fetale
Informare le donne pazienti con potenziale riproduttivo che Opana ER può causare danni fetali e informare il proprio operatore sanitario di una gravidanza nota o sospetto [vedi Utilizzare in popolazioni specifiche ].
Lattazione
Consiglia ai pazienti che l'allattamento al seno non è raccomandato durante il trattamento con opana ER [vedi Utilizzare in popolazioni specifiche ].
Infertilità
Informare i pazienti che l'uso di oppioidi per un lungo periodo di tempo può causare una ridotta fertilità. Non è noto se questi effetti sulla fertilità siano reversibili [vedi Reazioni avverse Utilizzare in popolazioni specifiche ].
Tossicologia non clinica
Mutagenesi della carcinogenesi compromissione della fertilità
Carcinogenesi
Non è stata osservata alcuna evidenza di potenziale cancerogeno negli studi sugli animali a lungo termine su topi e ratti. L'idrocloruro di ossimorfone è stato somministrato ai ratti Sprague Dawley (NULL,5 5 e 10 mg/kg/giorno nei maschi e 5 10 e 25 mg/kg/giorno nelle femmine) per 2 anni per gavage orale. L'esposizione sistemica sui farmaci (AUC) alle dosi più alte testate nei ratti maschi e femmine era 4,8 volte e 21,2 volte l'esposizione umana alla dose rispettivamente di 20 mg/die. L'idrocloruro di ossimorfone è stato somministrato a topi CD-1 maschili e femminili (10 25 75 e 150 mg/kg/giorno) per 2 anni per gavage orale. L'esposizione sistemica sui farmaci (AUC) a 150 mg/kg/giorno nei topi maschi e femmine era 205 volte e 243 volte l'esposizione umana alla dose rispettivamente di 20 mg/die.
Mutagenesi
Ossimorfone hydrochloride was not mutagenic when tested in the in vitro bacterial reverse mutation assay (Ames test) or in an in vitro mammalian cell chromosome aberration assay performed with human peripheral blood lymphocytes. Ossimorfone hydrochloride tested positive in both the rat E mouse in vivo micronucleus assays. An increase in micronucleated polychromatic erythrocytes occurred in mice given doses ≥250 mg/kg E in rats given doses of 20 E 40 mg/kg. A subsequent study demonstrated that oxymorphone hydrochloride was not aneugenic in mice following administration of up to 500 mg/kg. Additional studies indicate that the increased incidence of micronucleated polychromatic erythrocytes in rats may be secondary to increased body temperature following oxymorphone administration. Doses associated with increased micronucleated polychromatic erythrocytes also produce a marked rapid increase in body temperature. Pretreatment of animals with sodium salicylate minimized the increase in body temperature E prevented the increase in micronucleated polychromatic erythrocytes after administration of 40 mg/kg oxymorphone.
Compromissione della fertilità
I ratti femmine sono stati trattati con cloridrato di ossimorfone a partire da 14 giorni prima dell'accoppiamento attraverso il giorno della gestazione 7 tramite dosi di gavage orale di 5 10 o 25 mg/kg/die (NULL,4 4,9 o 12,2 volte la dose giornaliera umana di 20 mg/giorno in base alla superficie corporea rispettivamente). I ratti maschi sono stati trattati tramite gavage orale con le stesse dosi di cloridrato di ossimorfone a partire da 28 giorni prima e durante l'accoppiamento. Nei ratti femmine un aumento della lunghezza del ciclo estro e una diminuzione del numero medio di siti di impianto di embrioni vitali e corpora lutea sono stati osservati a 4,9 volte la dose umana di 20 mg/die. Non sono stati osservati effetti avversi di ossimorfone sulla funzione riproduttiva maschile o sui parametri dello sperma.
Utilizzare in popolazioni specifiche
Gravidanza
Riepilogo del rischio
L'uso di analgesici oppioidi per un lungo periodo di tempo durante la gravidanza può causare sindrome da astinenza da oppiacei neonatali [vedi AVVERTIMENTOS AND PRECAUZIONI ]. Available data with Opana è in pregnant women are insufficient to inform a drug-associated risk for major birth defects E miscarriage.
Negli studi sulla riproduzione degli animali ha ridotto la sopravvivenza postnatale dei cuccioli e una maggiore incidenza di cuccioli nati morti è stato osservato dopo il trattamento orale di ratti in gravidanza con ossimorfone durante la gestazione e attraverso l'allattamento a dosi 2,4 e 12 volte la dose giornaliera umana di 20 mg/die (HDD). I pesi fetali ridotti sono stati osservati con la somministrazione orale di ossimorfone a ratti in gravidanza e conigli durante l'organogenesi alle esposizioni fino a 4,9 e 48,8 volte l'HDD [vedi Dati ]. Based on animal data advise pregnant women of the potential risk to a fetus.
Il rischio di background di importanti difetti alla nascita e aborto spontaneo per la popolazione indicata non è noto. Tutte le gravidanze hanno un rischio di fondo di perdita di difetti alla nascita o altri risultati avversi. Nella popolazione generale degli Stati Uniti il rischio di background stimato di importanti difetti alla nascita e aborto nelle gravidanze riconosciute cliniche è rispettivamente dal 2 al 4% e dal 14 al 20%.
Considerazioni cliniche
Reazioni avverse fetali/neonatali
L'uso di analgesici oppioidi per un lungo periodo di tempo durante la gravidanza per scopi medici o non medici può causare dipendenza fisica nella sindrome da astinenza da oppiacei neonati e neonatali poco dopo la nascita. La sindrome da astinenza da oppiacei neonatali presenta l'iperattività irritabilità e il modello di sonno anormale a pianto ad alto pianto di vomito di vomito e il mancato aumento del peso. La durata e la gravità dell'inizio della sindrome da prelievo neonatale degli oppiacei variano in base alla durata degli oppioidi specifica dei tempi di utilizzo e alla quantità di ultimo uso materno e tasso di eliminazione del farmaco da parte del neonato. Osservare i neonati per i sintomi della sindrome da astinenza da oppiacei neonatali e gestire di conseguenza [vedi AVVERTIMENTOS AND PRECAUZIONI ].
Manodopera o parto
Gli oppioidi attraversano la placenta e possono produrre depressione respiratoria e effetti pyscho-fisiologici nei neonati. Un antagonista oppioide come il naloxone deve essere disponibile per l'inversione della depressione respiratoria indotta da oppioidi nel neonato. Opana ER non è raccomandato per l'uso nelle donne durante e immediatamente prima del travaglio quando l'uso di analgesici di recitazione più brevi o altre tecniche analgesiche è più appropriata. Gli analgesici degli oppioidi, incluso Opana ER, possono prolungare il lavoro attraverso azioni che riducono temporaneamente la durata della forza e la frequenza delle contrazioni uterine. Tuttavia, questo effetto non è coerente e può essere compensato da un aumento del tasso di dilatazione cervicale che tende ad accorciare il lavoro. Monitorare i neonati esposti a analgesici oppioidi durante il travaglio per segni di eccesso di sedazione e depressione respiratoria.
Dati
Dati sugli animali
I ratti in gravidanza sono stati trattati con cloridrato di ossimorfone dal giorno della gestazione 6 a 17 tramite dosi di gavage orale di 5 10 o 25 mg/kg/giorno (NULL,4 4,9 o 12,2 volte l'HDD in base alla superficie corporea rispettivamente). I pesi fetali medi ridotti sono stati osservati a 4,9 volte l'HDD. La tossicità materna è stata osservata in tutti i gruppi di trattamento (riduzione del consumo di cibo e pesi corporei in tutti i gruppi e mortalità nel gruppo ad alte dose).
I conigli incinti sono stati trattati con cloridrato di ossimorfone dal giorno della gestazione 7 a 20 tramite dosi di gavage orale di 10 25 o 50 mg/kg/giorno (NULL,8 24,4 o 48,8 volte l'HDD basato sulla superficie del corpo). I pesi fetali medi ridotti sono stati osservati a 48,8 volte l'HDD. La tossicità materna è stata osservata in tutti i gruppi di trattamento (riduzione del consumo di cibo e pesi corporei).
I ratti in gravidanza sono stati trattati con cloridrato di ossimorfone dal giorno della gestazione 6 al giorno di allattamento 20 tramite dosi di gavage orale di 1 5 10 o 25 mg/kg/giorno (NULL,5 2,4 4,9 o 12,2 volte l'HDD in base alla superficie corporea rispettivamente). L'aumento della morte neonatale (giorno postnatale 0-1) è stata osservata a 2,4 volte l'HDD. La riduzione della sopravvivenza del cucciolo durante la prima settimana di vita ha ridotto il peso alla nascita del cucciolo e ha ridotto l'aumento di peso post -natale è stato notato a 4,9 volte l'HDD. La tossicità materna è stata osservata in tutti i gruppi di trattamento (riduzione del consumo di cibo e pesi corporei in tutti i gruppi e mortalità nei gruppi 10 e 25 mg/kg/giorno).
In uno studio pubblicato difetti del tubo neurale (esencefalia e cranioschisi) sono stati osservati a seguito di somministrazione sottocutanea di 153 mg/kg di cloridrato ossimorfone (NULL,2 volte l'HDD) il giorno della gestazione 8 a criceti in gravidanza. Questa dose ha anche prodotto una significativa tossicità materna (decessi materni del 20%).
Lattazione
Riepilogo del rischio
Non ci sono informazioni sulla presenza di ossimorfone nel latte umano gli effetti sul bambino allattato al seno o sugli effetti sulla produzione di latte. A causa del potenziale di gravi reazioni avverse tra cui l'eccesso di sedazione e la depressione respiratoria in un bambino allattato al seno consigli sui pazienti che l'allattamento al seno non è raccomandato durante il trattamento con opana ER.
Considerazioni cliniche
Monitorare i bambini esposti a ossimorfone attraverso il latte materno per l'eccesso di sedazione e depressione respiratoria. I sintomi di astinenza possono verificarsi nei neonati allattati quando viene arrestata la somministrazione materna di un analgesico oppiaceo o quando l'allattamento al seno viene interrotto.
Femmine e maschi di potenziale riproduttivo
Infertilità
L'uso di oppioidi per un lungo periodo di tempo può causare una ridotta fertilità nelle femmine e nei maschi di potenziale riproduttivo. Non è noto se questi effetti sulla fertilità siano reversibili [ Farmacologia clinica E Tossicologia non clinica ].
Uso pediatrico
La sicurezza e l'efficacia dell'opana ER nei pazienti di età inferiore ai 18 anni non sono state stabilite. Sono stati condotti due studi in aperto in un totale di 42 pazienti pediatrici di età compresa tra 7 e 17 anni che richiedono un trattamento con oppioidi continuo. I dati disponibili sulla sicurezza ed efficacia erano inconcludenti per l'uso cronico di Opana ER. Dati limitati da uno degli studi hanno suggerito che Opana ER non è raccomandato per il dolore post-chirurgico.
Uso geriatrico
Del numero totale di soggetti negli studi clinici di Opana ER, il 27% era di 65 e più mentre il 9% era di 75 e oltre. Non sono state osservate differenze complessive nell'efficacia tra questi soggetti e i soggetti più giovani. Ci sono stati diversi eventi avversi che sono stati osservati più frequentemente nei soggetti 65 e oltre rispetto ai soggetti più giovani. Questi eventi avversi includevano le vertigini confusione di sonnolenza e nausea. In età media maggiore di 65 anni era associata ad un aumento dell'OUC e CMAX di Oxymorfone. Inizia il dosaggio con Opana ER in pazienti di età pari o superiore a 65 anni usando la dose da 5 mg e rivaluta spesso il paziente per segni di depressione respiratoria e del sistema nervoso centrale quando si iniziano e titolano Opana ER [vedi AVVERTIMENTOS AND PRECAUZIONI ]. For patients on prior opioid therapy start at 50% of the starting dose for a younger patient on prior opioids E titrate slowly.
Ossimorfone is known to be substantially excreted by the kidney E the risk of adverse reactions to this drug may be greater in patients with impaired renal function. Because the elderly patients are more likely to have decreased renal function care should be taken in dose selection E it may be useful to monitor renal function.
Compromissione epatica
I pazienti con lieve compromissione epatica hanno un aumento della biodisponibilità di ossimorfone rispetto ai soggetti con normale funzione epatica. Nei pazienti con oppioidi-Naã¯ve con lieve compromissione epatica iniziano l'opana ER usando la dose da 5 mg e valutano regolarmente i pazienti per la depressione del sistema nervoso respiratorio e centrale. Opana ER è controindicata per i pazienti con compromissione epatica moderata e grave [vedi Dosaggio e amministrazione Controindicazioni AVVERTIMENTOS AND PRECAUZIONI Farmacologia clinica ]. For patients on prior opioid therapy start at the 50% of the dose for that a patient with normal hepatic function on prior opioids E titrate slowly.
Compromissione renale
È stato dimostrato che i pazienti con compromissione renale da moderate a gravi hanno un aumento della biodisponibilità dell'ossymorfone rispetto ai soggetti con normale funzione renale [vedi Farmacologia clinica ]. Start opioid-naïve patients with the 5 mg dose of Opana è E titrate slowly while regularly evaluating for respiratory E central nervous system depression [see Dosaggio e amministrazione ]. For patients on prior opioid therapy start at 50% of the dose for a patient with normal renal function on prior opioids E titrate slowly.
Le informazioni per overdose per opana sono
Presentazione clinica
Il sovradosaggio acuto con ossimorfone può manifestarsi mediante sonnolenza della depressione respiratoria che progredisce allo stupore o al coma flaccidità del muscolo scheletrico freddo e la pelle umida con le pupille restritte e in alcuni casi edema polmonare bradicardia ipotensione ipoglicemia Russa atipica e morte parziale o completata per l'ostruzione delle vie aeree. La midriasi marcata piuttosto che la miosi si può vedere con grave ipossia in situazioni di overdose [vedi Farmacologia clinica ].
Trattamento del sovradosaggio
In caso di priorità di overdose sono il ristabilimento di un brevetto e le vie aeree protette e l'istituzione di ventilazione assistita o controllata, se necessario. Impiegare altre misure di supporto (compresi i vasopressori di ossigeno) nella gestione di shock circolatorio e edema polmonare come indicato. L'arresto cardiaco o le aritmie richiederanno misure di supporto vitale avanzate.
Gli antagonisti degli oppioidi come il naloxone sono antidoti specifici alla depressione respiratoria risultante dal sovradosaggio di oppioidi. Per la depressione respiratoria o circolatoria clinicamente significativa secondaria al sovradosaggio di ossimorio somministrare un antagonista oppioide.
Poiché la durata dell'inversione degli oppiacei dovrebbe essere inferiore alla durata dell'azione di ossimorfone in opana monitorare con cura il paziente fino a quando la respirazione spontanea non viene ristabilita in modo affidabile. Opana ER continuerà a rilasciare OxyMorphone e aggiungi al carico di Oxymerphone per 24-48 ore o più a seguito di ingestione che richiede un monitoraggio prolungato. Se la risposta agli antagonisti degli oppiacei è non ottimale o solo brevemente in natura, somminisca ulteriori antagonisti come indicato dalle informazioni di prescrizione del prodotto.
In un individuo dipendente fisicamente dalla somministrazione di oppioidi del solito dosaggio raccomandato dell'antagonista precipiterà una sindrome da astinenza acuta. La gravità dei sintomi di astinenza sperimentati dipenderà dal grado di dipendenza fisica e dalla dose dell'antagonista somministrato. Se viene presa la decisione di trattare una grave depressione respiratoria nella somministrazione fisica del paziente dell'antagonista, dovrebbe essere iniziata con cura e mediante titolazione con dosi più piccole del solito dell'antagonista.
Controindicazioni per opana er
Opana è is contraindicated in patients with:
- Depressione respiratoria significativa [vedi AVVERTIMENTOS AND PRECAUZIONI ]
- Asma bronchiale acuto o grave in un ambiente non monitorato o in assenza di attrezzature per la rianimazione [vedi AVVERTIMENTOS AND PRECAUZIONI ]
- Ipersensibilità (ad es. Anafilassi) a Oxymerphone Qualsiasi altro ingrediente in Opana ER [vedi AVVERTIMENTOS AND PRECAUZIONI E Reazioni avverse ].
- Compromissione epatica moderata e grave [vedi AVVERTIMENTOS AND PRECAUZIONI E Farmacologia clinica ]
- Ostruzione gastrointestinale conosciuta o sospetta, incluso ileo paralitico [vedi AVVERTIMENTOS AND PRECAUZIONI ]
Farmacologia clinica for Opan | ER
Meccanismo d'azione
Ossimorfone is a full opioid agonist E is relatively selective for the mu-opioid receptor although it can bind to other opioid receptors at higher doses. The principal therapeutic action of oxymorphone is analgesia. Like all full opioid agonists there is no ceiling effect for analgesia with oxymorphone. Clinically dosage is titrated to provide adequate analgesia E may be limited by adverse reactions including respiratory E CNS depression.
Il meccanismo preciso dell'azione analgesica è sconosciuto. Tuttavia, specifici recettori oppioidi del SNC per composti endogeni con attività simili agli oppioidi sono stati identificati in tutto il cervello e il midollo spinale e si ritiene che svolgano un ruolo negli effetti analgesici di questo farmaco.
Sensazione calda nella testa e nel collo
Farmacodinamica
Interazione deprendente/alcol del SNC
Gli effetti farmacodinamici additivi possono essere previsti quando l'opana viene utilizzata in combinazione con l'alcol altri oppioidi o droghe illecite che causano depressione del sistema nervoso centrale.
Effetti sul sistema nervoso centrale
Ossimorfone produces respiratory depression by direct action on brain stem respiratory centers. The respiratory depression involves a reduction in the responsiveness of the brain stem respiratory centers to both increases in carbon dioxide tension E electrical stimulation.
Ossimorfone causes miosis even in total darkness. Pinpoint pupils are a sign of opioid overdose but are not pathognomonic (e.g. pontine lesions of hemorrhagic or ischemic origin may produce similar findings). Marked mydriasis rather than miosis may be seen with hypoxia in overdose situations.
Effetti sul tratto gastrointestinale e su altri muscoli lisci
Ossimorfone causes a reduction in motility associated with an increase in smooth muscle tone in the antrum of the stomach E duodenum. Digestion of food in the small intestine is delayed E propulsive contractions are decreased. Propulsive peristaltic waves in the colon are decreased while tone is increased to the point of spasm resulting in stipsi. Other opioid-induced effects may include a reduction in biliary E pancreatic secretions spasm of sphincter of Oddi E transient elevations in serum amylase.
Effetti sul sistema cardiovascolare
Ossimorfone produces peripheral vasodilation which may result in orthostatic hypotension or syncope. Release of histamine can occur E may contribute to opioid-induced hypotension. Manifestations of histamine release E/ or peripheral vasodilation may include pruritis flushing red eyes sudorazione E/or orthostatic hypotension.
Effetti sul sistema endocrino
Gli oppioidi inibiscono la secrezione di ormone adrenocorticotropico (ACTH) cortisolo e ormone luteinizzante (LH) nell'uomo [vedi Reazioni avverse ]. They also stimulate prolactin growth hormone (GH) secretion E pancreatic secretion of insulin E glucagon.
L'uso di oppioidi per un lungo periodo di tempo può influenzare l'asse ipotalamo-ipofisi-gonadico che porta a carenza di androgeni che possono manifestarsi come bassa libido impotenza Disfunzione erettile amenorrea o infertilità. Il ruolo causale degli oppioidi nella sindrome clinica dell'ipogonadismo non è noto perché i vari stress di vita fisico e psicologici che possono influenzare i livelli di ormoni gonadali non sono stati adeguatamente controllati negli studi condotti fino ad oggi [vedi Reazioni avverse ].
Effetti sul sistema immunitario
È stato dimostrato che gli oppioidi hanno una varietà di effetti sui componenti del sistema immunitario nei modelli in vitro e animale. Il significato clinico di questi risultati è sconosciuto. Nel complesso, gli effetti degli oppioidi sembrano essere modestamente immunosoppressivi.
Rapporti di concentrazione-efficacia
La concentrazione analgesica minima efficace varierà ampiamente tra i pazienti, specialmente tra i pazienti che sono stati precedentemente trattati con agonisti oppioidi. La concentrazione analgesica minima efficace di ossimorfone per ogni singolo paziente può aumentare nel tempo a causa di un aumento dello sviluppo del dolore di una nuova sindrome del dolore e/o sviluppo della tolleranza analgesica [vedi Dosaggio e amministrazione ].
Relazioni di reazione avverse alla concentrazione
Esiste una relazione tra l'aumento della concentrazione plasmatica di ossimorfone e l'aumento della frequenza delle reazioni avverse oppioidi dose-correlate come gli effetti del SNC di vomito di nausea e la depressione respiratoria. Nei pazienti tolleranti agli oppiacei la situazione può essere modificata dallo sviluppo della tolleranza alle reazioni avverse legate agli oppioidi [vedi Dosaggio e amministrazione ].
Farmacocinetica
Assorbimento
La biodisponibilità orale assoluta dell'ossymerphone è di circa il 10%.
I livelli di stato stazionario sono raggiunti dopo tre giorni di somministrazione di dose multipla. In condizioni single e stazionarie stazionarie, è stata stabilita la proporzionalità della dose per le dosi di opana ER da 5 mg 10 mg e 40 mg per i livelli plasmatici di picco (CMAX) sia per l'estensione dell'assorbimento (AUC) (vedere la Tabella 6).
Tabella 6: parametri farmacocinetici medi (± DS) Opana ER
| Regime | Dosaggio | CMAX (NG/ML) | AUC (NG • HR/ML) | T ½ (HR) |
| Dose singola | 5 mg | 0,27 0,13 | 4.54 2.04 | 11.30 10.81 |
| 10 mg | 0,65 0,29 | 8.94 4.16 | 9.83 5.68 | |
| 20 mg | 1,21 0,77 | 17.81 7.22 | 9.89 3.21 | |
| 40 mg | 2,59 1.65 | 37.90 16.20 | 9.35 2.94 | |
| Dose multipla a | 5 mg | 0,70 0,55 | 5.60 3.87 | N / a |
| 10 mg | 1,24 0,56 | 9.77 3.52 | N / a | |
| 20 mg | 2.54 1.35 | 19.28 8.32 | N / a | |
| 40 mg | 4.47 1.91 | 36.98 13.53 | N / a | |
| N / a=not applicable a Risultati dopo 5 giorni di dosaggio Q12h. |
Effetto alimentare
Due (2) studi hanno esaminato l'effetto del cibo sulla biodisponibilità di singole dosi di 20 e 40 mg di opana ER in volontari sani. In entrambi gli studi dopo la somministrazione di opana ER il CMAX è stato aumentato di circa il 50% nei soggetti alimentati rispetto ai soggetti a digiuno. Un simile aumento di CMAX è stato anche osservato con la soluzione di ossimorfone.
L'AUC è rimasto invariato in uno studio e aumentato di circa il 18% nell'altro studio su soggetti alimentati a seguito della somministrazione di Opana ER. L'esame dell'AUC suggerisce che la maggior parte della differenza tra le condizioni della Fed e del digiuno si verifica nelle prime quattro ore dopo la somministrazione di dose. Dopo che il dosaggio orale con una singola dose di 40 mg un livello plasmatico di ossimorfone di picco di 2,8 ng/mL è raggiunto a 1 ora in soggetti a digiuno e un picco di 4,25 ng/ml è raggiunto a 2 ore in soggetti alimentati e che oltre il punto temporale di 12 ore c'è molto poca differenza nelle curve. Di conseguenza, Opana er dovrebbe essere dosata almeno un'ora prima o due ore dopo aver mangiato [vedi Dosaggio e amministrazione ].
Distribuzione
Non sono stati condotti studi formali sulla distribuzione di ossimorfone in vari tessuti. Oxymerphone non è ampiamente legato alle proteine plasmatiche umane; Il legame è compreso tra il 10% e il 12%.
Eliminazione
Metabolismo
Ossimorfone is highly metabolized principally in the liver E undergoes reduction or conjugation with glucuronic acid to form both active E inactive metabolites. The two major metabolites of oxymorphone are oxymorphone-3-glucuronide E 6-OH-oxymorphone. The mean plasma AUC for oxymorphone-3-glucuronide is approximately 90-fold higher than the parent compound. The pharmacologic activity of the glucuronide metabolite has not been evaluated. 6-OH-oxymorphone has been shown in animal studies to have analgesic bioactivity. The mean plasma 6-OH-oxymorphone AUC is approximately 70% of the oxymorphone AUC following single oral doses but is essentially equivalent to the parent compound at steady-state.
Escrezione
Perché Oxymerphone è ampiamente metabolizzato <1% of the administered dose is excreted unchanged in the urine. On average 33% to 38% of the administered dose is excreted in the urine as oxymorphone-3-glucuronide E less than 1% excreted as 6-OH-oxymorphone in subjects with normal hepatic E renal function. In animals given radiolabeled oxymorphone approximately 90% of the administered radioactivity was recovered within 5 days of dosing. The majority of oxymorphone-derived radioactivity was found in the urine E feces.
Popolazioni specifiche
Pazienti geriatrici
Le concentrazioni plasmatiche allo stato stazionario di ossimorfone 6-OH-ossimorfone e ossimorfone-3-glucuronide sono circa il 40% più alte nei soggetti anziani (≥65 anni) rispetto ai soggetti giovani (18-40 anni). In età media maggiore di 65 anni era associata a un aumento di 1,4 volte dell'AUC di Oxymerphone e ad un aumento di 1,5 volte di CMAX. Questa osservazione non sembra correlata a una differenza nel metabolismo del peso corporeo o all'escrezione di ossimorfone [vedi Utilizzare in popolazioni specifiche ].
Sesso
L'effetto del sesso è stato valutato a seguito di dosi single e multiple di opana ER in volontari adulti maschi e femmine. C'era una tendenza costante per i soggetti femminili ad avere AUCS e valori CMAX leggermente più alti rispetto ai soggetti maschili; Tuttavia, non sono state osservate differenze sessuali quando AUCSS e CMAX sono stati regolati dal peso corporeo.
Compromissione epatica
La biodisponibilità di ossimorfone somministrato per via orale è notevolmente aumentata nei pazienti con malattia epatica da moderata a grave. La disposizione di ossimorfone è stata confrontata in sei pazienti con cinque pazienti lievi con un paziente moderato e un paziente con grave compromissione epatica e 12 soggetti con normale funzione epatica. La biodisponibilità dell'ossymorfone è stata aumentata di 1,6 volte in pazienti con lieve compromissione epatica e di 3,7 volte in pazienti con moderata compromissione epatica. In un paziente con grave compromissione epatica la biodisponibilità è stata aumentata di 12,2 volte. L'emivita di Oxymerphone non è stata significativamente influenzata dalla compromissione epatica.
Compromissione renale
Dati from a pharmacokinetic study involving 24 patients with renal dysfunction show an increase of 26% 57% E 65% in oxymorphone bioavailability in mild (creatinine clearance 51-80 mL/min; n=8) moderate (creatinine clearance 30-50 mL/min; n=8) E severe (creatinine clearance <30 mL/min; n=8) patients respectively compared to healthy controls.
Studi sull'interazione farmacologica
Alcool Interaction
Uno studio in vivo sull'effetto dell'alcol (40% 20% 4% e 0%) sulla biodisponibilità di una singola dose di 40 mg di opana ER in volontari a digiuno sano ha dimostrato un effetto altamente variabile su CMAX con concomitante somministrazione di alcol e opana ER. La variazione di CMAX variava da una diminuzione del 50% ad un aumento del 270% in tutte le condizioni studiate. Dopo la somministrazione di 240 ml di etanolo al 40%, la CMAX è aumentata in media del 70% e fino al 270% nei singoli soggetti. A seguito della concomitante somministrazione di 240 ml di etanolo al 20%, il CMAX è aumentato in media del 31% e fino al 260% nei singoli soggetti. A seguito della concomitante somministrazione di 240 ml di etanolo al 4%, il CMAX è aumentato del 7% in media e fino al 110% per i singoli soggetti. Dopo il dosaggio orale con una singola dose di 40 mg in soggetti a digiuno, il livello plasmatico di ossimorfone medio è di 2,4 ng/mL e il TMAX mediano è di 2 ore. Dopo la co-somministrazione di Opana ER e alcol (240 ml di etanolo al 40%) in soggetti a digiuno, il livello medio di ossimorfone è di 3,9 ng/mL e il TMAX mediano è di 1,5 ore (intervallo 0,75-6 ore). L'AUC medio di Oxymerphone era più alto del 13% dopo la co-somministrazione di 240 ml di alcol del 40%. L'AUC non è stato essenzialmente influenzato nei soggetti a seguito della co-somministrazione di Opana ER ed etanolo (240 ml di etanolo del 20% o del 4%).
Studi in vitro hanno dimostrato che Opana ER non rilascia OxyMorphone più rapidamente in 500 ml di soluzioni HCl 0,1N contenenti etanolo (4% 20% e 40%)
Istruire i pazienti a evitare l'uso dell'alcol quando si prendono Opana er.
Studi in vitro hanno rivelato poca o nessuna biotrasformazione di ossimorfone a 6-OH-ossimorfone da parte delle principali isoforme del citocromo P450 (CYP P450) a concentrazioni di plasma di ossimorio terapeuticamente rilevanti.
Non è stata osservata alcuna inibizione di nessuna delle principali isoforme del CYP P450 quando l'ossymorfone è stato incubato con microsomi epatici umani a concentrazioni di ≤15,1 μg/mL. Un'inibizione dell'attività del CYP3A4 si è verificata a concentrazioni di ossimorfone ≥45,3 μg/mL. Pertanto non si prevede che Oxymerphone o i suoi metaboliti fungeranno da inibitori di uno dei principali enzimi CYP P450 in vivo.
Gli aumenti dell'attività delle isoforme del CYP 2C9 e del CYP 3A4 si sono verificate quando Oxymorphone è stato incubato con epatociti umani. Tuttavia, le compresse di interazione clinica sui farmaci con compresse di release esteso di cloridrato ossimorfone hanno mostrato alcuna induzione del CYP450 3A4 o dell'attività enzimatica 2C9 che indica che non è necessaria alcuna regolazione della dose per interazioni cyp 3A4 o 2C9.
Studi clinici
L'efficacia e la sicurezza di Opana ER sono state valutate in studi clinici controllati in doppio cieco in pazienti con oppioidi-Naã¯ve e esperienze di oppioidi con dolore da moderato a grave, incluso il lombalgia.
Studio di 12 settimane nei pazienti con oppioidi-naãpe con lombalgia
I pazienti con lombalgia cronica che erano in modo subitomicamente sensibile alla loro terapia non oppioide sono entrati in una fase di titolazione della dose di etichetta aperta di 4 settimane. I pazienti hanno iniziato la terapia con due giorni di trattamento con Opana ER 5 mg ogni 12 ore. Successivamente i pazienti sono stati titolati a una dose stabilizzata con incrementi da 5 a 10 mg ogni 12 ore ogni 3-7 giorni. Dei pazienti che erano in grado di stabilizzarsi entro il periodo di titolazione in aperto, il punteggio VAS medio ± DS allo screening era di 69,4 ± 11,8 mm e al basale (inizio del periodo in doppio cieco) erano 18,5 ± 11,2 mm e 19,3 ± 11,3 mm per i gruppi di Oxymerphone e Placebo rispettivamente. Il sessantatre per cento dei pazienti arruolati è stato in grado di titolare a una dose tollerabile e sono stati randomizzati in una fase di trattamento in doppio cieco di 12 settimane con placebo o la loro dose stabilizzata di opana ER. Le dosi stabilizzate ± SD media erano 39,2 ± 26,4 mg e 40,9 ± 25,3 mg rispettivamente per i gruppi Opana ER e placebo; Le dosi totali giornaliere variavano da 10 a 140 mg. Durante i primi 4 giorni di trattamento in doppio cieco, è stato concesso un numero illimitato di Opana una formulazione a rilascio immediato (IR) di compresse da 5 mg di ossimorfone ogni 4-6 ore come analgesia supplementare; Successivamente il numero di opana era limitato a due compresse al giorno. Questo è stato un metodo di rastrellimento per ridurre al minimo i sintomi di astinenza da oppiacei nei pazienti con placebo. Il sessantotto per cento dei pazienti trattati con opana ER ha completato il trattamento di 12 settimane rispetto al 47% dei pazienti trattati con placebo. Opana ER ha fornito un'analgesia superiore rispetto al placebo. L'effetto analgesico di Opana ER è stato mantenuto durante il periodo di trattamento in doppio cieco nell'89% dei pazienti che hanno completato lo studio. Questi pazienti hanno riportato una riduzione di nessun cambiamento o un aumento ≤ 10 mm nel punteggio VAS dal giorno 7 fino alla fine dello studio.
La percentuale di pazienti con vari gradi di miglioramento dallo screening allo studio dell'endpoint è mostrata nella Figura 1. La cifra è cumulativa in modo che i pazienti il cui cambiamento dal basale sia ad esempio il 30% sono anche inclusi ad ogni livello di miglioramento inferiore al 30%. Ai pazienti che non ha completato lo studio è stato assegnato un miglioramento dello 0%.
Figura 1: riduzione percentuale dell'intensità media del dolore dallo screening alla visita finale
Studio di 12 settimane in pazienti con esperienza di oppioidi con lombalgia
I pazienti in terapia cronica di oppiacei sono entrati in una fase di titolazione di 4 settimane di emergenza aperta con Opana ER dosata ogni 12 ore a una dose equianalgesica approssimata del loro farmaco oppioide pre-studio. Dei pazienti che sono stati in grado di stabilizzarsi entro il periodo di titolazione in aperto emergente, il punteggio VAS medio ± DS allo screening era di 69,5 ± 17,0 mm e al basale (inizio del periodo in doppio cieco) erano 23,9 ± 12,1 mm e 22,2 ± 10,8 mm rispettivamente per i gruppi di Oxymerphone e Placebo. I pazienti stabilizzati sono entrati in una fase di trattamento in doppio cieco di 12 settimane con placebo o la loro dose stabilizzata di opana ER. Le dosi stabilizzate con ± DS media ± DS erano 80,9 ± 59,3 mg e 93,3 ± 61,3 mg rispettivamente per i gruppi Opana ER e placebo; Le dosi totali giornaliere variavano da 20-260 mg. Durante i primi 4 giorni di trattamento in doppio cieco è stato concesso un numero illimitato di compresse Opana da 5 mg ogni 4-6 ore come analgesia supplementare; Successivamente il numero di opana era limitato a due compresse al giorno. Questo è stato un metodo di rastrellimento per ridurre al minimo i sintomi di astinenza da oppiacei nei pazienti con placebo. Il cinquantasette per cento dei pazienti è stato titolato a una dose stabilizzata entro circa 4 settimane dalla titolazione della dose di Opana ER. Il settanta percento dei pazienti trattati con Opana ER e il 26% dei pazienti trattati con placebo hanno completato il trattamento di 12 settimane. Opana ER ha fornito un'analgesia superiore rispetto al placebo. L'effetto analgesico di Opana ER è stato mantenuto durante il periodo di trattamento in doppio cieco nell'80 % dei pazienti che hanno completato lo studio. Questi pazienti hanno riportato una riduzione di nessun cambiamento o un aumento di ≤10 mm nel punteggio VAS dal giorno 7 fino alla fine dello studio.
La percentuale di pazienti con vari gradi di miglioramento dallo screening allo studio dell'endpoint è mostrata nella Figura 2. La cifra è cumulativa in modo che i pazienti il cui cambiamento dal basale sia ad esempio il 30% sono anche inclusi ad ogni livello di miglioramento inferiore al 30%. Ai pazienti che non ha completato lo studio è stato assegnato un miglioramento dello 0%.
Figura 2: riduzione percentuale dell'intensità media del dolore dallo screening alla visita finale
Le informazioni del paziente per Opana sono
Opana®s
(O-Pan-A)
(Oxymerphone cloridrato) compresse a rilascio prolungato per uso orale
Opana è is:
- Una forte medicina del dolore da prescrizione che contiene un oppioide (narcotico) che viene utilizzato per gestire un dolore grave e persistente che richiede un lungo periodo di trattamento con una medicina del dolore da oppiacei quotidiane quando altri medicinali per il dolore non trattano abbastanza bene il dolore o non puoi tollerarli.
- Una medicina del dolore oppiacei a lunga durata (a rilascio prolungato) che può metterti a rischio di sovradosaggio e morte. Anche se prendi la tua dose correttamente come prescritto, sei a rischio di abuso di dipendenti da oppiacei e abusi che possono portare alla morte.
- Da non prendere su base necessaria.
Informazioni importanti su Opana ER:
- Ottieni un aiuto di emergenza o chiama subito il 911 se prendi troppo Opana ER (overdose). Quando inizi a prendere Opana ER quando la tua dose viene cambiata o se prendi troppo (overdose) gravi o pericolosi per la vita che possono causare la morte. Parla con il tuo operatore sanitario di Naloxone un medicinale per il trattamento di emergenza di un sovradosaggio di oppiacei.
- Prendere opana con altri medicinali di oppiacei benzodiazepine alcol o altri depressivi del sistema nervoso centrale (compresi i farmaci di strada) può causare una grave sonnolenza che ha ridotto i problemi di respirazione della consapevolezza coma e morte.
- Non dare mai a nessuno il tuo opana er. Potrebbero morire per prenderlo. Vendere o regalare Opana er è contro la legge.
- Conservare Opana er in modo sicuro fuori dalla vista e della portata dei bambini e in un luogo non accessibile da altri, compresi i visitatori della casa.
Non prendere opana er se hai:
- gravi problemi di asma che respirano o altri problemi polmonari.
- un blocco intestinale o ha un restringimento dello stomaco o dell'intestino.
Prima di prendere Opana er Tell al tuo operatore sanitario se hai una storia di:
- convulsioni per lesioni alla testa
- Problemi di tiroide renale epatica
- problemi urinanti
- Problemi di pancreas o cistifellea
- Abuso di droghe di strada o da prescrizione per la dipendenza da alcol Overdose di oppiacei o problemi di salute mentale.
Di 'al tuo operatore sanitario se sei:
- Notare il tuo dolore peggiorare. Se il tuo dolore peggiora dopo che Opana er non prendi più Opana er senza prima parlare con il tuo operatore sanitario. Parla con il tuo medico se il dolore che hai aumenta se ti senti più sensibile al dolore o se hai un nuovo dolore dopo aver assunto Opana.
- incinta o pianificare di rimanere incinta. L'uso di opana er per un lungo periodo di tempo durante la gravidanza può causare sintomi di astinenza nel tuo neonato che potrebbe essere pericoloso per la vita se non riconosciuto e trattato.
- allattamento al seno. Non raccomandato durante il trattamento con Opana er. Potrebbe danneggiare il tuo bambino.
- Vivere in una famiglia in cui ci sono bambini piccoli o qualcuno che ha abusato di strade o farmaci da prescrizione.
- assumere medicinali da prescrizione o da banco vitamine o integratori a base di erbe. Prendere opana er con alcuni altri medicinali può causare gravi effetti collaterali che potrebbero portare alla morte.
Quando prendi Opana ER:
- Non cambiare la tua dose. Prendi Opana EN esattamente come prescritto dal tuo operatore sanitario. Utilizzare la dose più bassa possibile per il tempo più breve necessario.
- Prendi la tua dose prescritta ogni 12 ore contemporaneamente ogni giorno a stomaco vuoto almeno 1 ora prima o 2 ore dopo i pasti. Non prendere più della tua dose prescritta in 24 ore. Se ti perdi una dose, prendi la tua prossima dose nel tuo solito tempo.
- Ingoiare Opana er intero. Non tagliare la pausa masticare la cotta sciogliere o iniettare opana er perché ciò può farti sovradosaggio e morire.
- Chiama il tuo medico se la dose che stai assumendo non controlla il dolore.
- Non smettere di prendere Opana er senza parlare con il tuo medico.
- Smaltire l'opana indesiderata o inutilizzata scaduta e si è prontamente ridotta nel gabinetto se un'opzione di ritorno di droga non è prontamente disponibile. Visita www.fda.gov/drugdisposal per ulteriori informazioni sullo smaltimento di medicinali inutilizzati.
Mentre prendono Opana er no:
- Guidare o utilizzare macchinari pesanti fino a quando non sai come Opana ER ti colpisce. Opana er può farti sonno vertigini o stordito.
- Bevi alcol o usa medicinali da prescrizione o da banco che contengono alcol. L'uso di prodotti contenenti alcol durante il trattamento con Opana ER può farti sovradosaggio e morire.
I possibili effetti collaterali di Opana ER:
- stipsi nausea sleepiness vomito tiredness mal di testa vertigini abdominal pain. Call your healthcare provider if you have any of these symptoms E they are severe.
Ottieni assistenza medica di emergenza o chiama subito il 911 se hai:
- Trouble di respirare la mancanza di respiro del respiro frenetico dolore toracano gonfiore della lingua del viso o della gola o delle mani alveari che prudevano eruzione cutanea escursione, testa di luce quando si muovono le posizioni sentendo l'agitazione lieve temperatura corporena a temperatura corporea per camminare muscoli rigidi o cambiamenti mentali come la confusione.
Questi non sono tutti i possibili effetti collaterali di Opana er. Chiama il tuo medico per consulenza medica sugli effetti collaterali. È possibile segnalare gli effetti collaterali alla FDA al numero 1-800-FDA-1088. Per ulteriori informazioni, visitare dailymed.nlm.nih.gov
Questa guida ai farmaci è stata approvata dalla Food and Drug Administration degli Stati Uniti.