Le Informazioni Presenti Sul Sito Non Costituiscono Consulenza Medica. Non Vendiamo Nulla. L'Accuratezza Della Traduzione Non È Garantita. Disclaimer
Inibitori dell'interleuchina
NUCALA
Riepilogo della droga
Cos'è NUCALA?
Nucala (Mepolizumab) è un antagonista Interleukin-5 (IL-5) Anticorpo monoclonale (Igg1 kappa) indicato per il trattamento di mantenimento aggiuntivo di pazienti con grave asma di età pari o superiore a 6 anni e con un fenotipo eosinofilo; il trattamento di pazienti adulti con granulomatosi eosinofila con poliangiite (EGPA); e il trattamento di pazienti adulti e pediatrici di età pari o superiore a 12 anni con sindrome ipereosinofila (HES) per 6 o più mesi senza una causa secondaria non ematologica identificabile.
Quali sono gli effetti collaterali di Nucala?
NUCALA
- orticaria
- Difficoltà a respirare
- gonfiore della lingua o della gola
- visione sfocata
- confusione
- tosse
- vertigini
- svenimento
- Accendino
- battito cardiaco veloce
- prurito
- eruzione cutanea
- respirazione rumorosa
- vesciche dolorose sul bagagliaio del corpo
- arrossamento della pelle
- sudorazione
- dolore al petto
- stanchezza insolita e
- debolezza
Ottieni subito assistenza medica se hai uno qualsiasi dei sintomi sopra elencati.
Gli effetti collaterali comuni di Nucala includono:
- mal di testa
- Reazioni del sito di iniezione
- mal di schiena
- fatica
- sintomi dell'influenza
- Infezione del tratto urinario (UTI)
- Dolore addominale
- prurito
- Reazioni allergiche sistemiche
- eczema E
- Spasmi muscolari
Cerca cure mediche o chiama il 911 contemporaneamente se hai i seguenti gravi effetti collaterali:
- Sintomi di occhiali gravi come la perdita di visione improvvisa del tunnel della visione sfocata Dolore alla visione o gonfiore o vedere aloni attorno alle luci;
- Sintomi cardiaci gravi come battiti cardiaci irregolari o martellanti veloci; svolazzando nel petto; fiato corto; e improvviso vertigini giuria o svenuta;
- Grave mal di testa confusione Il braccio del linguaggio bloccato o la debolezza delle gambe problemi perdite perdita di coordinamento sentendoti instabili muscoli molto rigidi ad alta febbre abbondante sudorazione o tremori.
Questo documento non contiene tutti i possibili effetti collaterali e altri possono verificarsi. Verificare con il tuo medico ulteriori informazioni sugli effetti collaterali.
Dosaggio per nula
- La dose di Nucala per l'asma grave in pazienti di età pari o superiore a 12 anni è somministrata per via sottocutanea una volta ogni 4 settimane.
- La dose di Nucala per l'asma grave in pazienti di età compresa tra 6 e 11 anni è somministrata per via sottocutanea una volta ogni 4 settimane.
- La dose di NUCALA per EGPA è di 300 mg come 3 iniezioni separate da 100 mg somministrate per via sottocutanea una volta ogni 4 settimane.
- La dose di nula per HES è di 300 mg come 3 iniezioni separate da 100 mg somministrate per via sottocutanea una volta ogni 4 settimane.
NUCALA nei bambini
- La sicurezza e l'efficacia della nula per l'asma grave e con un fenotipo eosinofilo sono state stabilite in pazienti pediatrici di età pari o superiore a 6 anni.
- La sicurezza e l'efficacia della Nucala nei pazienti pediatrici di età inferiore ai 6 anni con asma grave non sono state stabilite.
- La sicurezza e l'efficacia della nula in pazienti di età inferiore ai 18 anni con granulomatosi eosinofila con poliangiite (EGPA) non sono state stabilite.
- La sicurezza e l'efficacia della Nucala per la sindrome ipereosinofila (HES) sono state stabilite in pazienti adolescenti di età pari o superiore a 12 anni.
- La sicurezza e l'efficacia nei pazienti pediatrici di età inferiore ai 12 anni con HES non sono stati stabiliti.
Quali sostanze o integratori di farmaci interagiscono con Nucala?
Nucala può interagire con altri farmaci. Dì al medico tutti i farmaci e gli integratori che usi.
NUCALA durante la gravidanza e l'allattamento
Di 'al medico se sei incinta o hai intenzione di rimanere incinta prima di usare Nucala; Non è noto come influirebbe su un feto. Esiste un registro di esposizione alla gravidanza che monitora gli esiti di gravidanza nelle donne con asma esposte a Nucala durante la gravidanza.
- Non è noto se la Nucala passi nel latte materno.
- Consulta il medico prima dell'allattamento al seno.
Ulteriori informazioni
Il nostro NUCALA (Mepolizumab) per l'iniezione per l'uso sottocutaneo Effetti collaterali Drug Center fornisce una visione completa delle informazioni disponibili sui farmaci sui potenziali effetti collaterali durante l'assunzione di questo farmaco.
Questo non è un elenco completo di effetti collaterali e altri possono verificarsi. Chiama il medico per consigli medici sugli effetti collaterali. È possibile segnalare gli effetti collaterali alla FDA al numero 1-800-FDA-1088.
Informazioni sui farmaci FDA
- Descrizione del farmaco
- Indicazioni
- Dosaggio
- Effetti collaterali
- Avvertimenti
- Overdose
- Farmacologia clinica
- Guida ai farmaci
Descrizione per Nucala
Mepolizumab è un anticorpo monoclonale antagonista di IL-5 umanizzato. Mepolizumab è prodotto dalla tecnologia del DNA ricombinante nelle cellule di ovaia del criceto cinese. Mepolizumab ha un peso molecolare di circa 149 kDa.
Nucala viene fornita come una polvere liofilizzata da bianco sterile a bianco off-bianco per l'iniezione di SC dopo la ricostituzione. Dopo la ricostituzione con 1,2 ml di acqua sterile per iniezione USP [vedi Dosaggio e amministrazione ] La concentrazione risultante è di 100 mg/mL e offre 1 mL. Ogni fiala monodose fornisce mepolizumab da 100 mg polisorbato 80 (NULL,67 mg) fosfato di ettaidrato dibasico di sodio (NULL,14 mg) e saccarosio (160 mg) con un pH di 7,0.
Usi per Nucala
Trattamento di mantenimento dell'asma grave
Nucala è indicato per il trattamento di mantenimento aggiuntivo di pazienti adulti e pediatrici di età pari o superiore a 6 anni con asma grave e con un fenotipo eosinofilo [vedi Utilizzare in popolazioni specifiche Studi clinici ].
Limiti di utilizzo
Nucala non è indicato per il sollievo del broncospasmo acuto o dello stato asmatico [vedi Avvertimenti e precauzioni ].
Trattamento di mantenimento della rinosinusite cronica con polipi nasali
Nucala è indicata per il trattamento di mantenimento aggiuntivo della rinosinusite cronica con polipi nasali (CRSWNP) in pazienti adulti di età pari o superiore a 18 anni con una risposta inadeguata ai corticosteroidi nasali.
Trattamento di mantenimento della malattia polmonare ostruttiva cronica
Nucala è indicata per il trattamento di mantenimento aggiuntivo di pazienti adulti con malattia polmonare ostruttiva cronica inadeguatamente controllata (BPCO) e un fenotipo eosinofilo.
fluticasone 50 mcg Actuation Spray nasale
Limiti di utilizzo
Nucala non è indicato per il sollievo del broncospasmo acuto [vedi Avvertimenti e precauzioni ].
Granulomatosi eosinofila con poliangiite
La nula è indicata per il trattamento di pazienti adulti con granulomatosi eosinofila con poliangiite (EGPA).
Sindrome ipereosinofila
Nucala è indicato per il trattamento di pazienti adulti e pediatrici di età pari o superiore a 12 anni con sindrome ipereosinofila (HES) per maggiore o uguale a 6 mesi senza una causa secondaria non ematologica identificabile.
Dosaggio per nula
Dosaggio consigliato
Nucala è solo per uso sottocutaneo e dovrebbe essere iniettata nella coscia o nell'addome della parte superiore del braccio [vedi Preparazione e somministrazione di NUCALA per la fiala di iniezione Preparazione e somministrazione di autoiniezione preimpegnata di iniezione NUCALA e siringhe preimpegnate ].
Tabella 1. Dosaggio consigliato di NUCALA
| Indicazione | Adulti | Pazienti pediatrici |
| Asma grave | 100 mg ogni 4 settimane |
|
| Rinosinusite cronica con polipi nasali | 100 mg ogni 4 settimane | Non applicabile |
| Broncopneumopatia cronica ostruttiva | 100 mg ogni 4 settimane | Non applicabile |
| Granulomatosi eosinofila con poliangiite | 300 mg a Ogni 4 settimane | Non applicabile |
| Sindrome ipereosinofila | 300 mg a Ogni 4 settimane | Da 12 a 17 anni: 300 mga Ogni 4 settimane |
| a 300 mg dose is administered as 3 separate 100 mg dose injections administered at least 5 cm (approximately 2 inches) apart. |
Preparazione e somministrazione di NUCALA per fiala di iniezione
Nucala per iniezione dovrebbe essere ricostituita e somministrata da un operatore sanitario. In linea con il monitoraggio della pratica clinica dei pazienti dopo la somministrazione di agenti biologici [vedi Avvertimenti e precauzioni ].
Istruzioni per la ricostituzione
Nota: non scuotere la soluzione ricostituita durante la procedura in quanto ciò può portare a schiuma di prodotto o precipitazioni. La ricostituzione è in genere completa entro 5 minuti dopo l'aggiunta dell'acqua sterile per l'iniezione, ma potrebbe richiedere tempo in più.
- Ricostituire la nula per iniezione nella fiala con 1,2 ml di acqua sterile per l'iniezione USP preferibilmente usando una siringa da 2 o 3 ml e un ago per calibri da 21. La soluzione ricostituita conterrà una concentrazione di mepolizumab da 100 mg/ml. Non mescolare con altri farmaci.
- Dirige il flusso di acqua sterile per l'iniezione verticalmente al centro della polvere liofilizzata che può avere un aspetto simile a una torta. Girare delicatamente la fiala per 10 secondi con un movimento circolare a intervalli di 15 secondi fino a quando la polvere non viene sciolta.
- Se un dispositivo di ricostituzione meccanica (Swirler) viene utilizzato per ricostituire NUCALA per il turbinio dell'iniezione a 450 giri / min per non più di 10 minuti. In alternativa, vorticoso a 1000 giri / min per non più di 5 minuti è accettabile.
- Ispezionare visivamente la soluzione ricostituita per il particolato e la chiarezza prima dell'uso. La soluzione dovrebbe essere chiara per opalescente e incolore a giallo pallido o marrone chiaro essenzialmente privo di particelle. Piccole bolle d'aria sono tuttavia previste e accettabili. Se il particolato rimane nella soluzione o se la soluzione appare nuvolosa o lattiginosa, la soluzione non deve essere somministrata.
- Se la soluzione ricostituita non viene utilizzata immediatamente:
- Conservare sotto 30 ° C (86 ° F)
- Non congelare e
- Scartare se non usato entro 8 ore dalla ricostituzione.
Somministrazione di dose da 100 mg
- Per la somministrazione sottocutanea preferibilmente utilizzando una siringa di polipropilene da 1 ml dotata di un ago monouso da 21 a 27 calibri x 0,5 pollici (13 mm).
- Poco prima della somministrazione rimuovere 1 ml di Nucala ricostituita per iniezione. Non scuotere la soluzione ricostituita durante la procedura in quanto ciò potrebbe portare a schiuma o precipitazione del prodotto.
- Somministrare l'iniezione da 1 ml (equivalente a 100 mg di mepolizumab) sottocutanea nella coscia o addome della parte superiore del braccio.
Somministrazione di 40 mg dose
- Per la somministrazione sottocutanea preferibilmente utilizzando una siringa di polipropilene da 1 ml dotata di un ago monouso da 21 a 27 calibri x 0,5 pollici (13 mm).
- Poco prima della somministrazione rimuovere 0,4 ml di nula ricostituita per iniezione. Non scuotere la soluzione ricostituita durante la procedura in quanto ciò potrebbe portare a schiuma o precipitazione del prodotto.
- Somministrare l'iniezione da 0,4 ml (equivalente a 40 mg di mepolizumab) sottocutaneamente nella coscia o addome del braccio superiore.
Ogni fiala di nula per iniezione deve essere utilizzata per un singolo paziente e qualsiasi resto del contenuto deve essere scartato.
Preparazione e somministrazione dell'iniezione NUCALA Autoiniettore preimpegnato e siringhe preimpegnate
L'iniezione di Nucala è destinata all'uso sotto la guida di un operatore sanitario.
L'autoiniettore preimpegnato da 100 mg/ml e la siringa preimpegnata da 100 mg/ml sono solo per l'uso in adulti e adolescenti di età pari o superiore a 12 anni. Un paziente può auto-inietta o il caregiver del paziente può somministrare iniezione di NUCALA 100 mg/ml per via sottocutanea dopo che il fornitore di assistenza sanitaria ha determinato che è appropriato.
La siringa preiepilata da 40 mg/0,4 ml è solo per l'uso nei bambini di età compresa tra 6 e 11 anni e deve essere somministrata dal fornitore di assistenza sanitaria o dal caregiver del paziente. Il caregiver del paziente può somministrare l'iniezione di NUCALA di 40 mg/0,4 ml per sottocutazione dopo che il fornitore di assistenza sanitaria ha determinato che è appropriato.
Fornire un'adeguata formazione nella tecnica di iniezione sottocutanea e sulla preparazione e la somministrazione dell'iniezione di Nucala prima dell'uso [vedi Istruzioni per l'uso ].
- Rimuovere l'autoiniettore precaricato o la siringa preimpegnata dal frigorifero e lasciarlo sedere a temperatura ambiente per 30 minuti prima dell'iniezione. Non riscaldare l'iniezione di nula in nessun altro modo.
- Prima della somministrazione ispezionare visivamente la finestra dell'autoiniettore preimpegnato o la siringa preimpegnata per il particolato o lo scolorimento. L'iniezione di Nucala dovrebbe essere chiara per opalescente incolore a giallo pallido a colore marrone chiaro. Non utilizzare l'iniezione di Nucala se il prodotto mostra la nuvolosità scolorimento o il particolato. Non utilizzare l'autoiniettore preimpegnato di NUCALA o la siringa preimpegnata se lasciato cadere su una superficie dura.
- Somministrare l'iniezione sottocutanea nella coscia o nell'addome evitando i 5 cm (circa 2 pollici) attorno all'ombelico. La parte superiore del braccio può essere utilizzata anche se un caregiver amministra l'iniezione sottocutanea.
- Per l'uso in EGPA ed è assicurarsi che i siti di iniezione per ciascuna iniezione sottocutanea siano separati da almeno 5 cm (circa 2 pollici).
- Non dare mai iniezioni in aree in cui la pelle è tenera di rosso o dura.
- Se una dose viene persa, somministrare una dose il prima possibile. Successivamente il paziente può riprendere il dosaggio nel solito giorno di somministrazione. Se la dose successiva è già dovuta, somministrare come previsto.
Come fornito
Dosaggio Forms And Strengths
Per iniezione
- Da 100 mg da bianco a polvere liofilizzata bianca a bianca in una fiala monodose per la ricostituzione.
Iniezione
- 100 mg/ml come una soluzione da giallo da giallo in giallo a pallido da chiaro a opalescente in un autoiniettore a dose singola a dosi.
- 100 mg/ml come una soluzione da giallo da giallo da giallo a pallido da chiaro a opalescente in una siringa di vetro pre-riempita a dose singola.
- 40 mg/0,4 ml come una soluzione da chiaro a opalescente incolore a giallo pallido a marrone pallido in una siringa di vetro pre-piegata a dose.
Archiviazione e maneggevolezza
NUCALA per iniezione
Nucala (Mepolizumab) per iniezione è una polvere liofilizzata da bianco senza conservante sterile a bianco off-bianco per la ricostituzione e l'iniezione sottocutanea in una fiala di vetro monodose con un sigillo di ribaltamento. Il tappo della fiala non è realizzato con lattice in gomma naturale.
Nucala per iniezione è fornito come:
Fandature monodose da 100 mg in cartoni di 1 ( Ndc 0173-0881-01).
Conservare fiale sotto a 77 ° F (25 ° C). Non congelare. Conservare nel cartone originale per proteggere dalla luce.
Iniezione di Nucala
NUCALA (Mepolizumab) L'iniezione è una soluzione sterile priva di conservanti da chiaro a opalescente da giallo a pallido a marrone chiaro per l'uso sottocutaneo. Ogni autoiniettore a dose singola a dosi offre 100 mg di mepolizumab in 1 ml di soluzione. Ogni siringa pre-riempita a dosi singolo offre 100 mg di mepolizumab in 1 ml di soluzione o 40 mg di mepolizumab in 0,4 ml di soluzione. Gli autoiniettori e le siringhe non sono realizzati con lattice di gomma naturale.
NUCALA injection is supplied as:
- 100 mg/ml di autoiniettore a dose singola a dosi con ago mezzo calibrio collegato in cartoni di 1 ( Ndc 0173-0892-01).
- Siringa in vetro pre-piegata da 100 mg/ml con ago da mezzo pollice con calibro da 29 calibri con una protezione ad ago in cartoni di 1 ( Ndc 0173-0892-42).
- 40 mg/0,4 ml siringa di vetro pre-piegata a dose con ago da 29 calibri attaccati con una protezione ad ago in cartoni di 1 ( Ndc 0173-0904-42).
Prima di dispensare
Refrigerare gli autoiniettori preimpegnati e le siringhe preiepite da 36 ° F a 46 ° F (da 2 ° C a 8 ° C). Mantieni il prodotto nel cartone originale per proteggere dalla luce. Non congelare. Non agitare. Evitare l'esposizione al calore.
Dopo l'erogazione
Refrigerare gli autoiniettori preimpegnati e le siringhe preiepite da 36 ° F a 46 ° F (da 2 ° C a 8 ° C). Mantieni il prodotto nel cartone originale per proteggere dalla luce fino al momento dell'uso. Non congelare. Non agitare. Evitare l'esposizione al calore.
Se necessario, un cartone non aperto può essere conservato al di fuori del frigorifero fino a 30 ° C (30 ° C) per un massimo di 7 giorni. Scartare se lasciato fuori dal frigorifero per più di 7 giorni.
NUCALA injection must be administered within 8 hours after removal from the carton. Discard if not administered within 8 hours.
Prodotto da: GlaxoSmithkline LLC Philadelphia PA 19104 U.S. Revised: maggio 2025
Effetti collaterali per Nucala
Le seguenti reazioni avverse sono descritte in modo più dettagliato in altre sezioni:
- Reazioni di ipersensibilità [vedi Avvertimenti e precauzioni )
- Infezioni opportunistiche: herpes zoster [vedi Avvertimenti e precauzioni ]
Esperienza di studi clinici
Poiché gli studi clinici sono condotti in condizioni di reazione avversa ampiamente variabili osservate negli studi clinici di un farmaco non possono essere confrontati direttamente con i tassi negli studi clinici di un altro farmaco e potrebbero non riflettere i tassi osservati nella pratica.
Reazioni avverse nei pazienti adulti e adolescenti di età pari o superiore a 12 anni con asma grave
Un totale di 1327 pazienti con asma grave sono stati valutati in 3 studi multicentrici randomizzati controllati con placebo di durata di 24 a 52 settimane (gravi studi di asma da sogno mensa e Sirius). Di questi 1192 avevano una storia di 2 o più esacerbazioni nell'anno precedente all'iscrizione nonostante l'uso regolare di ICS ad alte dosi più ulteriori controller (i) (gravi prove di asma da sogno e mensa) e 135 pazienti hanno richiesto corticosteroidi orali (OC) oltre all'uso regolare di IC ad altissima dose più controller (S) per mantenere un controllo di asma (grave a prova di asma). Tutti i pazienti avevano marcatori di infiammazione eosinofila delle vie aeree [vedi Studi clinici ]. Of the patients enrolled 59% were female 85% were White E ages ranged from 12 a 82 years. Mepolizumab was administered subcutaneously or intravenously once Ogni 4 settimane; 263 patients received NUCALA (mepolizumab 100 mg subcutaneously) for at least 24 weeks. Serious adverse events that occurred in more than 1 patient E in a greater percentage of patients receiving NUCALA 100 mg (n = 263) than placebo (n = 257) included 1 event herpes zoster (2 patients vs. 0 patients respectively).
L'incidenza di reazioni avverse nelle prime 24 settimane di trattamento nelle 2 prove di efficacia e sicurezza di conferma Mensa e Sirius con Nucala 100 mg è mostrata nella Tabella 2.
Tabella 2. Reazioni avverse con nula con incidenza ≥3% e più comuni rispetto al placebo in pazienti con asma grave (Mensa e Sirius)
| Reazione avversa | NUCALA (Mepullizumb 100 mg Sottocutaneo) (n = 263) % | Placebo (n = 257) % |
| Mal di testa | 19 | 18 |
| Iniezione site reaction | 8 | 3 |
| Mal di schiena | 5 | 4 |
| Fatica | 5 | 4 |
| Influenza | 3 | 2 |
| Infezione del tratto urinario | 3 | 2 |
| Upperio del dolore addominale | 3 | 2 |
| Prurito | 3 | 2 |
| Eczema | 3 | <1 |
| Spasmi muscolari | 3 | <1 |
Prova di 52 settimane
Reazioni avverse dal sogno di prova dell'asma grave con 52 settimane di trattamento con mepolizumab 75 mg per via endovenosa (n = 153) o placebo (n = 155) e con incidenza ≥3% di incidenza e non è stata mostrata nella tabella 2 della tabella aratta a trargiche a allergiche. Dolore muscoloscheletrico Congestione nasale Nasofaringite nausea Faringite piressia Infezione virale di infezione virale di infezione virale Infezione e vomito. Inoltre, 3 casi di herpes zoster si sono verificati in pazienti in ricezione di mepolizumab 75 mg rispetto per via endovenosa a 2 pazienti nel gruppo placebo.
Reazioni sistemiche comprese le reazioni di ipersensibilità
Nei gravi studi sull'asma, i sogni, la mensa e Sirius hanno descritto al di sopra della percentuale di pazienti che hanno avuto reazioni sistemiche (allergiche e non allergiche) sono state del 3% nel gruppo che ricevevano nulala 100 mg e 5% nel gruppo placebo. Le reazioni allergiche/ipersensibilità sistemiche sono state riportate dall'1% dei pazienti nel gruppo che hanno ricevuto NUCALA 100 mg e 2% dei pazienti nel gruppo placebo. Le manifestazioni più comunemente riportate di reazioni allergiche/ipersensibilità sistemiche riportate nel gruppo che ricevevano NUCALA da 100 mg includevano mal di testa e mialgia. Le reazioni non allergiche sistemiche sono state riportate dal 2% dei pazienti nel gruppo che hanno ricevuto NUCALA 100 mg e il 3% dei pazienti nel gruppo placebo. Le manifestazioni più comunemente riportate di reazioni non allergiche sistemiche riportate nel gruppo che ricevevano NUCALA 100 mg includevano il lavaggio e la mialgia. La maggior parte delle reazioni sistemiche nei pazienti che hanno ricevuto NUCALA 100 mg (5/7) sono stati vissuti il giorno del dosaggio.
Iniezione Site Reactions
Iniezione site reactions (e.g. pain erythema swelling prurito burning sensation) occurred at a rate of 8% in patients receiving NUCALA 100 mg compared with 3% in patients receiving placebo.
Sicurezza a lungo termine
Novecentonovantotto pazienti hanno ricevuto nula 100 mg in studi di estensione in aperto durante i quali sono stati segnalati ulteriori casi di herpes zoster. Il profilo complessivo di eventi avversi è stato simile alle gravi studi di asma sopra descritti.
Reazione avversas In Pazienti pediatrici Etàd 6 To 11 Years With Asma grave
I dati di sicurezza per Nucala si basano su 1 studio clinico in aperto che ha arruolato 36 pazienti con asma grave di età compresa tra 6 e 11 anni. I pazienti hanno ricevuto 40 mg (per coloro che pesano <40 kg) or 100 mg (for those weighing ≥40 kg) of NUCALA administered subcutaneously once Ogni 4 settimane. Patients received NUCALA for 12 weeks (initial short phase). After a treatment interruption of 8 weeks 30 patients received NUCALA for a further 52 weeks (long phase). The adverse reaction profile for patients aged 6 to 11 years was similar to that observed in patients aged 12 years E older.
Reazione avversas In Adult Patients With Rinosinusite cronica con polipi nasali
Un totale di 407 pazienti con CRSWNP sono stati valutati in 1 studio di trattamento multicentrico di 52 settimane controllato da placebo randomizzato. I pazienti hanno ricevuto nula da 100 mg o placebo per via sottocutanea una volta ogni 4 settimane. I pazienti avevano CRSWNP ricorrenti con una storia di un precedente intervento chirurgico ed erano su corticosteroidi nasali per almeno 8 settimane prima dello screening [vedi Studi clinici ]. Of the patients enrolled 35% were female 93% were White E ages ranged from 18 to 82 years.
La tabella 3 riassume le reazioni avverse avvenute in ≥3% dei pazienti trattati con nulala e più frequentemente rispetto ai pazienti trattati con placebo nello studio CRSWNP.
Tabella 3. Reazioni avverse con nula con incidenza ≥3% e più comuni rispetto al placebo nei pazienti con rinosinusite cronica con polipi nasali
| Reazione avversa | NUCALA (Mepullizumb 100 mg Sottocutaneo) (n = 206) % | Placebo (n = 201) % |
| Dolore orofaringeo | 8 | 5 |
| Artralgia | 6 | 2 |
| Upperio del dolore addominale | 3 | 2 |
| Diarrea | 3 | 2 |
| Pyrexia | 3 | 2 |
| Secchezza nasale | 3 | <1 |
| Eruzione cutanea | 3 | <1 |
Reazioni sistemiche comprese le reazioni di ipersensibilità
Nello studio di 52 settimane la percentuale di pazienti che hanno avuto reazioni sistemiche (ipersensibilità allergiche [di tipo I] e altri) <1% in the group receiving NUCALA 100 mg E <1% in the placebo group. Systemic allergic (type I hypersensitivity) reactions were reported by <1% of patients in the group receiving NUCALA 100 mg E no patients in the placebo group. The manifestations of systemic allergic (type I hypersensitivity) reactions included urticaria erythema E eruzione cutanea E 1 of the 3 reactions occurred on the day of dosing. Other systemic reactions were reported by no patients in the group receiving NUCALA 100 mg E <1% of patients in the placebo group.
Iniezione Site Reactions
Iniezione site reactions (e.g. erythema pruritus) occurred at a rate of 2% in patients receiving NUCALA 100 mg compared with <1% in patients receiving placebo.
Reazione avversas In Adulti With Broncopneumopatia cronica ostruttiva
I dati di sicurezza seguenti riflettono la sicurezza della NUCALA negli adulti con BPCO inadeguatamente controllata e un fenotipo eosinofilo. Nucala è stata valutata in una popolazione di sicurezza aggregata che consisteva in 2089 pazienti con BPCO in 3 studi multicentrici randomizzati controllati con placebo da 52 a 104 settimane di durata di matinée e metrex [vedi Studi clinici ] e sperimentazione 3. TROB 3 ADULTI BPCO arruolati con un numero di eosinofili periferici di eosinofili ≥150 cellule/μL allo screening o ≥300 cellule/μL nell'anno precedente. La popolazione di sicurezza aggregata ha ricevuto nula da 100 mg (n = 1043) o placebo (n = 1046) somministrato sottocutaneamente una volta ogni 4 settimane, oltre alle terapie tripli inalate di fondo (ad esempio agonista beta ad azione lunga [LABA] e lama muscarinica a lunga durata di azione [LAMA].
La tabella 4 riassume le reazioni avverse che si sono verificate in ≥3% dei pazienti trattati con nulala e più frequentemente rispetto ai pazienti trattati con placebo negli studi di BPCO.
Tabella 4. Reazioni avverse con NUCALA con incidenza ≥3% e più comuni rispetto al placebo nei pazienti con malattia polmonare ostruttiva cronica in una popolazione di sicurezza aggregata (Matinee Metrex e Trial 3)
| Reazione avversa | NUCALA (Mepullizumb 100 mg Sottocutaneo) (n = 1043) % | Placebo (n = 1046) % |
| Mal di schiena | 7 | 6 |
| Diarrea | 5 | 4 |
| Tosse | 5 | 4 |
| Dolore orofaringeo | 4 | 2 |
| Infezione del tratto urinario | 4 | 3 |
| Dolore all'estremità | 4 | 3 |
Herpes zoster
Nella popolazione di sicurezza aggregata 14 pazienti (1%) nel gruppo Nucala rispetto a 7 (NULL,7%) pazienti nel gruppo placebo hanno avuto l'herpes zoster.
Reazione avversas In Patients With Granulomatosi eosinofila con poliangiite
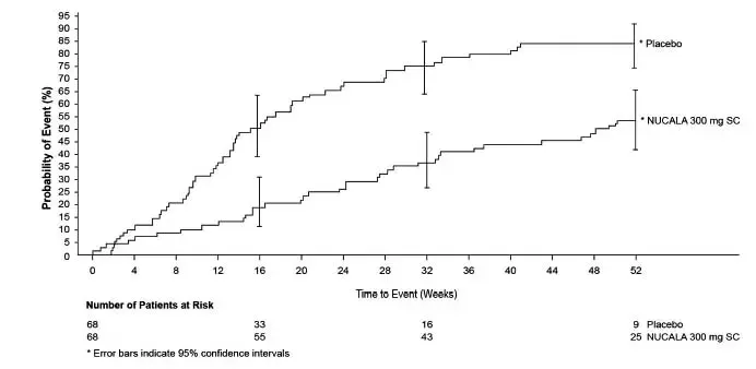
Un totale di 136 pazienti con EGPA sono stati valutati in 1 studio di trattamento multicentrico di 52 settimane multicentrico randomizzato. I pazienti hanno ricevuto 300 mg di nulala o placebo per via sottocutanea una volta ogni 4 settimane. I pazienti arruolati avevano una diagnosi di EGPA per almeno 6 mesi prima dell'iscrizione con una storia di malattia recidivante o refrattaria e si trovavano su un dosaggio stabile di prednisolone orale o prednisone di maggiore o uguale a 7,5 mg/giorno Studi clinici ]. Of the patients enrolled 59% were female 92% were White E ages ranged from 20 to 71 years. No additional adverse reactions were identified to those reported in the severe asma trials.
Reazioni sistemiche comprese le reazioni di ipersensibilità
Nello studio di 52 settimane la percentuale di pazienti che hanno avuto reazioni sistemiche (allergiche e non allergiche) è stata del 6% nel gruppo che ha ricevuto 300 mg di nulala e 1% nel gruppo placebo. Le reazioni allergiche/ipersensibilità sistemiche sono state riportate dal 4% dei pazienti nel gruppo che hanno ricevuto 300 mg di nulala e l'1% dei pazienti nel gruppo placebo. Le manifestazioni di reazioni sistemiche allergiche/ipersensibilità riportate nel gruppo che ricevevano 300 mg di nulala includevano la sensazione calda per ipertensione a fatica a fatica a scarponi eruttinati nella dispnea e allo stridor del tronco e del collo. Le reazioni non allergiche sistemiche sono state riportate da 1 (1%) paziente nel gruppo che ha ricevuto 300 mg di NUCALA e nessun paziente nel gruppo placebo. La manifestazione riportata di reazioni sistemiche non allergiche riportate nel gruppo che ricevevano 300 mg di nula era l'angiedema. La metà delle reazioni sistemiche nei pazienti che ricevevano 300 mg di nulala (2/4) sono stati sperimentati il giorno del dosaggio.
Iniezione Site Reactions
Iniezione site reactions (e.g. pain erythema swelling) occurred at a rate of 15% in patients receiving 300 mg of NUCALA compared with 13% in patients receiving placebo.
Reazione avversasIin Adult And Adolescent Patients With Sindrome ipereosinofila
Un totale di 108 pazienti adulti e adolescenti di età pari o superiore a 12 anni con HES sono stati valutati in uno studio di trattamento multicentrico di 32 settimane multicentrico di 32 settimane. I pazienti con HES secondaria non ematologica o FIP1L1-PDGFRα chinasi-positivi sono stati esclusi dallo studio. I pazienti hanno ricevuto 300 mg di nulala o placebo per via sottocutanea una volta ogni 4 settimane. I pazienti devono essere stati in una dose stabile di terapia con lo sfondo per le 4 settimane prima della randomizzazione [vedi Studi clinici ]. Of the patients enrolled 53% were female 93% were White E ages ranged from 12 a 82 years. No additional adverse reactions were identified to those reported in the severe asma trials.
Reazioni sistemiche comprese le reazioni di ipersensibilità
Nella sperimentazione non sono state riportate reazioni allergiche sistemiche allergiche (ipersensibilità di tipo I). Altre reazioni sistemiche sono state riportate da 1 (2%) paziente nel gruppo che ha ricevuto 300 mg di nulala e nessun paziente nel gruppo placebo. La manifestazione segnalata di altre reazioni sistemiche è stata una reazione cutanea multifocale vissuta il giorno del dosaggio.
Iniezione Site Reactions
Iniezione site reactions (e.g. burning prurito) occurred at a rate of 7% in patients receiving 300 mg of NUCALA compared with 4% in patients receiving placebo.
Esperienza post -marketing
Oltre alle reazioni avverse riportate dagli studi clinici, durante l'uso post-approvazione post-approvazione sono state identificate durante l'uso post-approvazione. Poiché queste reazioni sono riportate volontariamente da una popolazione di dimensioni incerte, non è sempre possibile stimare in modo affidabile la loro frequenza o stabilire una relazione causale con l'esposizione ai farmaci. Questi eventi sono stati scelti per l'inclusione a causa della loro frequenza di serietà di segnalazione o connessione causale con Nucala o una combinazione di questi fattori.
Disturbi del sistema immunitario
Reazioni di ipersensibilità compresa l'anafilassi.
Interazioni farmacologiche per Nucala
Studi di interazione droga formali non sono stati condotti con NUCALA.
Avvertimenti per Nucala
Incluso come parte del 'PRECAUZIONI' Sezione
Precauzioni per Nucala
Reazioni di ipersensibilità
Reazioni di ipersensibilità (ad es. Broncospasmo anafilassi angiedema ipotensione Eruzione cutanea di orticaria) si sono verificati dopo la somministrazione di NUCALA. Queste reazioni si verificano generalmente entro poche ore dalla somministrazione, ma in alcuni casi possono avere un inizio ritardato (cioè giorni). In caso di reazione di ipersensibilità, la nula dovrebbe essere sospesa [vedi Controindicazioni ].
Sintomi acuti di asma o malattia polmonare ostruttiva cronica o malattia deteriorata acuta
NUCALA should not be used to treat acute symptoms or acute exacerbations of asma or COPD. Non usare NUCALA to treat acute bronchospasm or status asmaticus. Patients should seek medical advice if their asma or COPD remains uncontrolled or worsens after initiation of treatment with NUCALA.
Infezioni opportunistiche: herpes zoster
Herpes Zoster si è verificato in soggetti che ricevono nula 100 mg in studi clinici controllati [vedi Reazioni avverse ]. Consider vaccination if medically appropriate.
Riduzione del dosaggio di corticosteroidi
Non interrompere bruscamente i corticosteroidi sistemici o inalati (ICS) all'inizio della terapia con NUCALA. Le riduzioni del dosaggio di corticosteroidi, se appropriato, dovrebbero essere graduali ed eseguite sotto la supervisione diretta di un medico. La riduzione del dosaggio di corticosteroidi può essere associata a sintomi di astinenza sistemica e/o condizioni di smaschera precedentemente soppresse dalla terapia corticosteroide sistemica.
Infezione parassita (elminto)
Gli eosinofili possono essere coinvolti nella risposta immunologica ad alcune infezioni da elminti. I pazienti con infezioni parassitarie note sono stati esclusi dalla partecipazione a studi clinici. Non è noto se Nucala influenzerà la risposta di un paziente contro le infezioni parassitarie. Tratta i pazienti con infezioni da elminti preesistenti prima di iniziare la terapia con NUCALA. Se i pazienti vengono infetti mentre ricevono un trattamento con NUCALA e non rispondono al trattamento anti-elminto interrompere il trattamento con NUCALA fino a quando l'infezione non si risolve.
Informazioni sulla consulenza del paziente
Consiglia al paziente di leggere l'etichettatura del paziente approvato dalla FDA ( Informazioni e istruzioni per il paziente per l'uso ).
Reazioni di ipersensibilità
Informare i pazienti che le reazioni di ipersensibilità (ad es. Anafilassi angilassi angoedema broncospasmo ipotensione orticaria elimina) si sono verificate dopo la somministrazione di nulala. Chiedere ai pazienti di contattare il proprio operatore sanitario se si verificano tali reazioni.
Non per sintomi acuti o malattie deteriorate
Informare i pazienti che Nucala non tratta sintomi di asma acuto o esacerbazioni acute di asma o BPCO. Informare i pazienti a chiedere consulenza medica se il loro asma rimane incontrollato o i sintomi della BPCO peggiorano dopo l'inizio del trattamento con NUCALA.
Infezioni opportunistiche: herpes zoster
Informare i pazienti che le infezioni da herpes zoster si sono verificate in pazienti che ricevono nulala e laddove appropriato dal punto di vista medico informano i pazienti che devono essere considerati la vaccinazione.
Riduzione del dosaggio di corticosteroidi
Informare i pazienti di non interrompere i corticosteroidi sistemici o inalati se non sotto la diretta supervisione di un medico. Informare i pazienti che la riduzione della dose di corticosteroidi può essere associata a sintomi di astinenza sistemica e/o condizioni di smaschera precedentemente soppresso dalla terapia corticosteroide sistemica.
Tossicologia non clinica
Mutagenesi della carcinogenesi compromissione della fertilità
Non sono stati condotti studi sugli animali a lungo termine per valutare il potenziale cancerogeno di Mepolizumab. La letteratura pubblicata con modelli animali suggerisce che IL-5 ed eosinofili fanno parte di una reazione infiammatoria precoce nel sito della tumorigenesi e possono promuovere il rifiuto del tumore. Tuttavia, altri rapporti indicano che l'infiltrazione di eosinofili nei tumori può promuovere la crescita del tumore. Pertanto, il rischio di malignità nell'uomo da un anticorpo a IL-5 come Mepolizumab non è noto.
La fertilità maschile e femminile non è stata influenzata in base a nessun risultato istopatologico avverso negli organi riproduttivi delle scimmie di Cynomolgus che hanno ricevuto mepolizumab per 6 mesi a dosaggi endovenosi fino a 100 mg/kg una volta ogni 4 settimane (circa 20 volte il MRHD di 300 mg in base all'AUC). Le prestazioni di accoppiamento e riproduttivo non sono state influenzate nei topi CD-1 maschili e femminili che ricevono un anticorpo analogo che inibisce l'attività dell'IL-5 murino a un dosaggio endovenoso di 50 mg/kg una volta alla settimana.
Utilizzare in popolazioni specifiche
Gravidanza
Riepilogo del rischio
I dati sull'esposizione alla gravidanza non sono sufficienti per informare il rischio associato al farmaco. Gli anticorpi monoclonali come il mepolizumab vengono trasportati attraverso la placenta in modo lineare mentre la gravidanza avanza; Pertanto è probabile che i potenziali effetti su un feto siano maggiori durante il secondo e il terzo trimestre di gravidanza. In uno studio di sviluppo prenatale e postnatale condotto nelle scimmie di Cynomolgus non vi è stata alcuna evidenza di danno fetale con somministrazione endovenosa di mepolizumab durante la gravidanza a dosi che hanno prodotto esposizioni fino a circa 9 volte l'esposizione alla massima dose umana (MRHD) di 300 mg subcutane Dati ).
Nella popolazione generale degli Stati Uniti il rischio di background stimato di gravi difetti alla nascita e aborto spontaneo nelle gravidanze clinicamente riconosciute è rispettivamente dal 2% al 4% e dal 15% al 20%.
Considerazioni cliniche
Rischio materno e/o embriofetale associato alla malattia
Nelle donne con prove di asma scarsamente o moderatamente controllate dimostrano che esiste un aumentato rischio di preeclampsia nella madre e nella prematurità a basso peso alla nascita e piccola per l'età gestazionale nel neonato. Il livello di controllo dell'asma dovrebbe essere attentamente monitorato nelle donne in gravidanza e il trattamento adeguato se necessario per mantenere un controllo ottimale.
Dati
Dati sugli animali
In uno studio di sviluppo prenatale e post -natale, le scimmie in gravidanza Cynomolgus hanno ricevuto mepolizumab dai giorni di gestazione da 20 a 140 a dosi che hanno prodotto esposizioni fino a circa 9 volte che hanno raggiunto il MRHD (su base AUC con dosi endovenose materne fino a 100 mg/kg una volta ogni 4 settimane). Mepolizumab non ha suscitato effetti avversi sulla crescita fetale o neonatale (compresa la funzione immunitaria) fino a 9 mesi dopo la nascita. Non sono stati eseguiti esami per malformazioni interne o scheletriche. Mepolizumab ha attraversato la placenta nelle scimmie di Cynomolgus. Le concentrazioni di mepolizumab erano circa 2,4 volte più alte nei neonati rispetto alle madri fino al giorno 178 dopo il parto. I livelli di mepolizumab nel latte erano ≤0,5% della concentrazione sierica materna.
In uno studio di sviluppo embrionali ed embrionali e embrionali precoce della fertilità ha ricevuto un anticorpo analogo che inibisce l'attività dell'interleuchina-5 murino (IL-5) a una dose endovenosa di 50 mg/kg una volta a settimana durante la gestazione. L'anticorpo analogo non era teratogeno nei topi. È stato riportato che lo sviluppo embriofetale dei topi carenti di IL-5 non è generalmente inalterato rispetto ai topi wild-type.
Lattazione
Riepilogo del rischio
Non ci sono informazioni sulla presenza di mepolizumab nel latte umano gli effetti sul bambino allattato al seno o sugli effetti sulla produzione di latte. Tuttavia, Mepolizumab è un anticorpo monoclonale umanizzato (IgG1 kappa) e l'immunoglobulina G (IgG) è presente nel latte umano in piccole quantità. Mepolizumab era presente nel latte di Cynomolgus Monkeys Postpartum a seguito del dosaggio durante la gravidanza [vedi Gravidanza ]. The developmental E health benefits of breastfeeding should be considered along with the mother’s clinical need for NUCALA E any potential adverse effects on the breastfed infant from mepolizumab or from the underlying maternal condition.
Uso pediatrico
Asma grave
La sicurezza e l'efficacia della nula per l'asma grave e con un fenotipo eosinofilo sono state stabilite in pazienti pediatrici di età pari o superiore a 6 anni.
L'uso di Nucala negli adolescenti di età compresa tra 12 e 17 anni è supportato da prove da prove adeguate e ben controllate su adulti e adolescenti. Un totale di 28 adolescenti di età compresa tra 12 e 17 anni con asma grave sono stati arruolati negli studi sull'asma di fase 3. Di questi 25 sono stati iscritti al processo di esacerbazione di 32 settimane (MENSA) e avevano un'età media di 14,8 anni. I pazienti avevano una storia di 2 o più esacerbazioni nell'anno precedente nonostante l'uso regolare di ICS medi o ad alte dosi più ulteriori controller con o senza OCS e avevano eosinofili nel sangue di ≥150 cellule/MCL allo screening o ≥300 cellule/MCL entro 12 mesi prima dell'arruolamento. [Vedere Studi clinici .] I pazienti avevano una riduzione del tasso di esacerbazioni che tendono a favore della Nucala. Dei 19 adolescenti che hanno ricevuto Nucala 9 hanno ricevuto 100 mg e l'apparecchiatura media in questi pazienti era del 35% in meno rispetto a quella degli adulti. Il profilo di sicurezza osservato negli adolescenti era generalmente simile a quello della popolazione complessiva negli studi di fase 3 [vedi Reazioni avverse ].
L'uso di NUCALA in pazienti pediatrici di età compresa tra 6 e 11 anni con asma grave e con un fenotipo eosinofilo è supportato da prove da studi adeguati e ben controllati su adulti e adolescenti con ulteriori dati farmacocinetici e di sicurezza nella farmacocinetica nei bambini di età compresa tra 6 e 11 anni. È stato condotto un singolo studio clinico in aperto in 36 bambini dai 6 ai 11 anni (età media: 8,6 anni 31% femmine) con asma grave. I criteri di iscrizione erano gli stessi degli adolescenti nel processo di esacerbazione di 32 settimane (MENSA). Sulla base dei dati farmacocinetici di questa prova, è stata determinata una dose sottocutanea di 40 mg ogni 4 settimane per avere un'esposizione simile ad adulti e adolescenti somministrati una dose sottocutanea di 100 mg [vedi Farmacologia clinica ].
L'efficacia della Nucala nei pazienti pediatrici di età compresa tra 6 e 11 anni è estrapolata dall'efficacia negli adulti e negli adolescenti con supporto da analisi farmacocinetiche che mostrano simili livelli di esposizione ai farmaci per 40 mg somministrati sottocutaneamente ogni 4 settimane nei bambini di età compresa tra 6 e 11 anni rispetto agli adulti e agli adolescenti [vedi Farmacologia clinica ]. The safety profile E pharmacodynamic response observed in this trial for children aged 6 to 11 years were similar to that seen in adults E adolescents [see Reazioni avverse Farmacologia clinica ].
La sicurezza e l'efficacia nei pazienti pediatrici di età inferiore ai 6 anni con asma grave non sono stati stabiliti.
Rinosinusite cronica con polipi nasali
La sicurezza e l'efficacia nei pazienti di età inferiore ai 18 anni con CRSWNP non sono state stabilite.
Broncopneumopatia cronica ostruttiva
La sicurezza e l'efficacia nei pazienti pediatrici di età inferiore ai 18 anni con BPCO non sono stati stabiliti. La BPCO è in gran parte una malattia di pazienti adulti.
Granulomatosi eosinofila con poliangiite
La sicurezza e l'efficacia nei pazienti di età inferiore ai 18 anni con EGPA non sono state stabilite.
Sindrome ipereosinofila
La sicurezza e l'efficacia di NUCALA per HES sono state stabilite in pazienti adolescenti di età pari o superiore a 12 anni. La sicurezza e l'efficacia nei pazienti pediatrici di età inferiore ai 12 anni con HES non sono stati stabiliti.
L'uso di Nucala per questa indicazione è supportato da prove di uno studio adeguato e ben controllato (NCT02836496) negli adulti e adolescenti e uno studio di estensione in aperto (NCT03306043). Un adolescente ha ricevuto NUCALA durante lo studio controllato e questo paziente e altri 3 adolescenti hanno ricevuto NUCALA durante lo studio di estensione in aperto [vedi Studi clinici ]. The 1 adolescent treated with NUCALA in the 32-week trial did not have a HES flare or an adverse event reported. All adolescents received 300 mg of NUCALA for 20 weeks in the open-label extension.
Uso geriatrico
Del numero totale di pazienti trattati con NUCALA (n = 4106) per l'asma grave HES EGPA CRSWNP e BPCO 1073 (26%) avevano 65 anni e più di età e 241 (6%) avevano 75 anni in più [vedi Studi clinici ]. No overall differences in safety E effectiveness were observed between these patients E younger patients. Other reported clinical experience has not identified differences in responses between the elderly E younger patients but greater sensitivity in some older individuals cannot be ruled out.
Informazioni per overdose per Nucala
Non esiste un trattamento specifico per un sovradosaggio con mepolizumab. Se si verifica un overdose, il paziente deve essere trattato a sostegno con un monitoraggio appropriato, se necessario. Prendi in considerazione la possibilità di contattare la linea di aiuto per il veleno (1-800-222-1222) o un tossicologo medico per ulteriori raccomandazioni di gestione del sovradosaggio.
Controindicazioni per Nucala
NUCALA is contraindicated in patients with a history of hypersensitivity to mepolizumab or excipients in the formulation [see Avvertimenti e precauzioni DESCRIZIONE ].
Farmacologia clinica for Nucala
Meccanismo d'azione
Mepolizumab è un antagonista IL-5 (IgG1 kappa). L'IL-5 è la principale citochina responsabile della crescita e della differenziazione dell'attivazione e della sopravvivenza degli eosinofili. Mepolizumab si lega a IL-5 con una costante di dissociazione di 100 pm che inibisce la bioattività di IL-5 bloccando il suo legame con la catena alfa del complesso del recettore IL-5 espresso sulla superficie cellulare eosinofila. L'infiammazione è un componente importante nella patogenesi dell'asma CRSWNP BPCO EGPA ed HES. Tipi di cellule multiple (ad esempio i mastociti eosinofili neutrofili macrofociti) e mediatori (ad esempio le citochine leucotrieni di istamina eicosanoidi) sono coinvolti nell'infiammazione. Mepolizumab mediante inibizione della segnalazione di IL-5 riduce la produzione e la sopravvivenza degli eosinofili; Tuttavia, il meccanismo dell'azione di mepolizumab nell'asma CRSWNP BPCO EGPA ed HES non è stato stabilito definitivamente.
Farmacodinamica
La risposta farmacodinamica (riduzione del sangue eosinofilo) a seguito di ripetute dosi di mepolizumab somministrate per via sottocutanea o per via endovenosa è stata valutata in soggetti adulti con asma e livelli di eosinofili di sangue> 200 cellule/MCL. I soggetti hanno ricevuto 1 su 4 trattamenti mepolizumab (somministrati ogni 28 giorni per un totale di 3 dosi): 12,5 mg sottocutanei da 125 mg sottocutanei da 250 mg sottocutanei o 75 mg endovenosi. Sessantasei dei 70 soggetti randomizzati hanno completato lo studio. Rispetto ai livelli di base eosinofili nel sangue sono diminuiti in modo dose-dipendente. Una riduzione dei livelli di eosinofili nel sangue è stata osservata in tutti i gruppi di trattamento entro il giorno 3 (48 ore dopo la dose). Il giorno 84 (4 settimane dopo la dose post-durata) la riduzione media geometrica osservata dal basale negli eosinofili nel sangue era del 64% 78% 84% e del 90% nei gruppi sottocutanei sottocutanei da 12,5 mg da 12,5 mg rispettivamente. Le dosi sottocutanee previste dal modello che forniscono il 50% e il 90% della riduzione massima degli eosinofili nel sangue al giorno 84 sono stati stimati rispettivamente di 11 e 99 mg. Questi risultati insieme ai dati di efficacia clinica dalla sperimentazione da sogno di esacerbazione dose-ranging su soggetti adulti e adolescenti con asma grave hanno sostenuto la valutazione di mepolizumab 75 mg endovenoso e 100 mg sottocutane Studi clinici ]. Following subcutaneous administration of mepolizumab 100 mg ogni 4 settimane for 32 weeks in adult E adolescent subjects with severe asma (Mensa Prova) blood eosinophils were reduced to a geometric mean count of 40 cells/mcL which corresponds to a geometric mean reduction of 84% compared with placebo.
La risposta farmacodinamica (riduzione dell'eosinofilo nel sangue) è stata anche valutata in bambini di età compresa tra 6 e 11 anni con asma grave. Dopo la somministrazione sottocutanea di mepolizumab 40 mg ogni 4 settimane per 52 settimane di eosinofili di sangue sono stati ridotti a una conta media geometrica di 48 cellule/MCL. Ciò corrisponde a una riduzione media geometrica dal basale dell'85%.
L'entità della riduzione degli adolescenti degli adulti e dei bambini con asma grave è stata osservata entro 4 settimane dal trattamento ed è stata mantenuta durante i periodi di trattamento.
Dopo la somministrazione sottocutanea di NUCALA 100 mg ogni 4 settimane (per CRSWNP o BPCO) o 300 mg ogni 4 settimane (per eosinofili di sangue EGPA o HES) sono stati ridotti a una grandezza simile a quella osservata nei pazienti con asma grave rispetto al placebo.
Per gli adulti con CRSWNP dopo la somministrazione sottocutanea di mepolizumab 100 mg ogni 4 settimane per 52 settimane di eosinofili di sangue sono stati ridotti a un conteggio medio geometrico di 60 cellule/MCL. C'era una riduzione media geometrica dell'83% rispetto al placebo. Questa grandezza di riduzione è stata osservata entro 4 settimane dal trattamento ed è stata mantenuta durante il periodo di trattamento [vedi Studi clinici ].
20 mg di Vyvanse rispetto ad Adderall
Per gli adulti con BPCO dopo la somministrazione sottocutanea di mepolizumab 100 mg ogni 4 settimane per 52 a 104 settimane gli eosinofili di sangue sono stati ridotti a un conteggio medio geometrico di 50-60 cellule/MCL. C'è stata una riduzione media geometrica di circa il 79% rispetto al placebo e questa grandezza di riduzione è stata osservata entro 4 settimane dal trattamento ed è stata mantenuta durante il periodo di trattamento [vedi Studi clinici ].
Per gli adulti con EGPA dopo la somministrazione sottocutanea di mepolizumab 300 mg ogni 4 settimane per 52 settimane di eosinofili di sangue sono stati ridotti a un conteggio medio geometrico di 38 cellule/MCL. C'è stata una riduzione media geometrica dell'83% rispetto al placebo e questa grandezza di riduzione è stata osservata entro 4 settimane dal trattamento [vedi Studi clinici ].
Per gli adulti e i pazienti pediatrici di età pari o superiore a 12 anni con Hes a seguito della somministrazione sottocutanea di mepolizumab 300 mg ogni 4 settimane per 32 settimane di eosinofili di sangue sono stati ridotti a un conteggio medio geometrico di 70 cellule/MCL. C'era una riduzione media geometrica del 92% rispetto al placebo [vedi Studi clinici ].
Farmacocinetica
A seguito di un dosaggio sottocutaneo in soggetti adulti con mepolizumab asma, ha mostrato farmacocinetici proporzionali approssimativamente dose su una gamma di dose da 12,5 a 250 mg. Le proprietà farmacocinetiche di Mepolizumab osservate nei soggetti con BPCO di CRSWNP (adulti) (adulti) EGPA (adulti) o HES (adulti e adolescenti) erano simili alle proprietà farmacocinetiche osservate nei soggetti con asma grave (adulti e adolescenti).
La somministrazione sottocutanea di mepolizumab 300 mg ha avuto circa 3 volte l'esposizione sistemica di mepolizumab 100 mg.
Assorbimento
Dopo la somministrazione sottocutanea di 100 mg nella parte superiore del braccio dei soggetti adulti e adolescenti con asma, la biodisponibilità di Mepolizumab è stata stimata a circa l'80%.
A seguito di ripetute somministrazione sottocutanea una volta ogni 4 settimane vi era circa un accumulo di 2 volte allo stato stazionario.
Distribuzione
Il volume centrale della popolazione di distribuzione di mepolizumab in soggetti adulti con asma è stimato in 3,6 L per un individuo di 70 kg.
Eliminazione
Dopo la somministrazione sottocutanea di mepolizumab in soggetti adulti con asma la emivita terminale media (t 1/2 ) variava da 16 a 22 giorni. L'apparente autorizzazione sistemica di popolazione di mepolizumab in soggetti adulti e adolescenti con asma è stimato in 0,28 L/giorno per un individuo di 70 kg.
Metabolismo
Mepolizumab è un anticorpo monoclonale IgG1 umanizzato che è degradato dagli enzimi proteolitici ampiamente distribuiti nel corpo e non limitato al tessuto epatico.
Popolazioni specifiche
Gruppi razziali e pazienti maschili e femminili
Le analisi della farmacocinetica della popolazione hanno indicato che non vi è stato alcun effetto significativo della razza e del genere sulla clearance di mepolizumab.
Età
Le analisi della farmacocinetica della popolazione hanno indicato che non vi è stato alcun effetto significativo dell'età sulla clearance di mepolizumab.
Pazienti pediatrici
La farmacocinetica di Mepolizumab a seguito di somministrazione sottocutanea in soggetti di età compresa tra 6 e 11 anni con asma grave è stata studiata nella fase di trattamento iniziale di 12 settimane di uno studio clinico in aperto. Esposizioni (AUC) A seguito di somministrazione sottocutanea di 40 mg (per i bambini che pesano <40 kg) or 100 mg (for children weighing ≥40 kg) were 1.32 E 1.97 times higher respectively compared with that observed in adults E adolescents receiving 100 mg. Based on these results simulation of a 40-mg subcutaneous dose Ogni 4 settimane in children aged 6 to 11 years irrespective of body weight resulted in predicted exposures similar to that observed in adults E adolescents.
Pazienti con compromissione renale
Non sono stati condotti studi clinici per studiare l'effetto della compromissione renale sulla farmacocinetica di Mepolizumab. Sulla base delle analisi farmacocinetiche della popolazione che la clearance di mepolizumab era comparabile tra soggetti con valori di clearance della creatinina tra 50 e 80 ml/min e pazienti con normale funzione renale. Ci sono dati limitati disponibili in soggetti con valori di autorizzazione della creatinina <50 mL/min; however mepolizumab is not cleared renally.
Pazienti con compromissione epatica
Non sono stati condotti studi clinici per studiare l'effetto della compromissione epatica sulla farmacocinetica di Mepolizumab. Poiché il mepolizumab è degradato da enzimi proteolitici ampiamente distribuiti non limitati ai cambiamenti del tessuto epatico nella funzione epatica, è improbabile che abbia alcun effetto sull'eliminazione di Mepolizumab.
Studi sull'interazione farmacologica
Non sono stati condotti studi di interazione droga formali con mepolizumab. Nelle analisi di farmacocinetica della popolazione degli studi di fase 3 non vi è stata prove di un effetto di farmaci per piccole molecole amministrati in modo comune sull'esposizione a mepolizumab.
Immunogenicità
L'incidenza osservata di anticorpi antidroga dipende fortemente dalla sensibilità e dalla specificità del dosaggio. Le differenze nei metodi di dosaggio precludono confronti significativi dell'incidenza di anticorpi anti-farmaci negli studi descritti di seguito con l'incidenza di anticorpi antidroga in altri studi tra cui quelli di NUCALA o di altri prodotti di Mepolizumab.
Nei pazienti adulti e adolescenti con asma grave che ricevevano nurala 100 mg 15/260 (6%) avevano anticorpi anti-mepolizumab rilevabili. Gli anticorpi neutralizzanti sono stati rilevati in 1 paziente con asma che riceve NUCALA 100 mg. Gli anticorpi anti-mepolizumab sono leggermente aumentati (circa il 20%) la clearance di mepolizumab. Non c'erano prove di una correlazione tra titoli anticorpali anti-mepolizumab e cambiamento a livello di eosinofilo. La rilevanza clinica della presenza di anticorpi anti-mepolizumab non è nota. Nello studio clinico di bambini di età compresa tra 6 e 11 anni con asma grave che riceveva NUCALA 40 o 100 mg 2/35 (6%) avevano anticorpi anti-mepolizumab rilevabili durante la fase iniziale iniziale dello studio. Nessun bambino ha avuto anticorpi anti-mepolizumab rilevabili durante la lunga fase dello studio.
Nei pazienti che hanno ricevuto NUCALA 100 mg in 52 settimane per CRSWNP o oltre 52 a 104 settimane per la BPCO 6/196 (3%) e 35/999 (4%) avevano rispettivamente anticorpi anti-Mepolizumab rilevabili. Nei pazienti che hanno ricevuto NUCALA di 300 mg in 52 settimane per EGPA o oltre 32 settimane per HES 1/68 ( <2%) E 1/53 (2%) had detectable anti-mepolizumab antibodies respectively. No neutralizing antibodies were detected in any of these patients. Because of the low occurrence of anti-drug antibodies the effect of these antibodies on the pharmacokinetics pharmacodynamics safety E/or effectiveness of NUCALA is unknown.
La frequenza riportata degli anticorpi anti-mepolizumab può sottovalutare la frequenza effettiva a causa della minore sensibilità al dosaggio in presenza di un'alta concentrazione di farmaci. I dati riflettono la percentuale di pazienti i cui risultati dei test erano positivi per gli anticorpi a Mepolizumab in test specifici.
Studi clinici
Asma grave
Il programma di sviluppo dell'asma per NUCALA in pazienti di età pari o superiore a 12 anni includeva 3 studi randomizzati in doppio cieco controllati con placebo: 1 studio dose-range ed esacerbazione (Dream NCT01000506) e 2 studi di conferma (mensa NCT01691521 e Sirius NCT01691508). Mepolizumab veniva somministrato ogni 4 settimane in tutte e 3 le prove come componente aggiuntivo al trattamento in background. Tutti i pazienti hanno continuato la loro terapia di asma di fondo per tutta la durata degli studi.
Prova di dose-range e esacerbazione
Il sogno è stato uno studio di riduzione della riduzione della dose e dell'esacerbazione di 52 settimane in pazienti con asma grave con una storia di 2 o più esacerbazioni nell'anno precedente nonostante l'uso regolare di ICS ad alte dosi più ulteriori controller (S) con o senza OCS. I pazienti arruolati in questo studio dovevano avere almeno 1 dei seguenti 4 criteri pre-specificati nei 12 mesi precedenti: conteggio degli eosinofili nel sangue ≥300 cellule/MCl espettorato Eosinofili Conte ≥3% Expirato Concentrazione di ossido ≥50 ppb o deterioramento del deterioramento dell'asthma dopo ≤25% di riduzione nella manutenzione regolare/OC. Sono stati valutati tre dosaggi endovenosi di mepolizumab (75 250 e 750 mg) una volta ogni 4 settimane rispetto al placebo. I risultati di questo studio e lo studio farmacodinamico hanno supportato la valutazione di Mepolizumab 75 mg per via endovenosa e 100 mg per via sottocutanea negli studi successivi [vedi Farmacologia clinica ]. NUCALA is not indicated for intravenous use E should only be administered by the subcutaneous route.
Prove di conferma
Un totale di 711 pazienti con asma grave sono stati studiati nei 2 studi di conferma (Mensa e Sirius). In questi 2 studi i pazienti dovevano avere eosinofili nel sangue di ≥150 cellule/MCL allo screening (entro 6 settimane dal dosaggio) o eosinofili di sangue di ≥300 cellule/MCL entro 12 mesi dall'iscrizione. Lo screening di eosinofili nel sangue di ≥150 criterio di cellule/MCL è stato derivato da analisi esplorative dei dati della sperimentazione da sogno. La mensa era una sperimentazione controllata da placebo e controllata da 32 settimane in pazienti con asma grave con una storia di 2 o più esacerbazioni nell'anno precedente nonostante l'uso regolare di IC ad alte dosi più ulteriori controller con o senza OCS. I pazienti hanno ricevuto mepolizumab 75 mg per via endovenosa (n = 191) nula da 100 mg (n = 194) o placebo (n = 191) una volta ogni 4 settimane per 32 settimane.
Sirius era uno studio di riduzione OCS di 24 settimane in pazienti con asma grave che richiedevano OC giornalieri oltre all'uso regolare di ICS ad alte dosi più ulteriori controller / i per mantenere il controllo dell'asma. I pazienti nello studio Sirius non dovevano avere una storia di esacerbazioni nell'anno precedente. I pazienti hanno ricevuto nula da 100 mg (n = 69) o placebo (n = 66) una volta ogni 4 settimane per 24 settimane. L'uso di OCS medio di base era simile nei 2 gruppi di trattamento: 13,2 mg nel gruppo placebo e 12,4 mg nel gruppo che riceveva Nucala 100 mg.
I dati demografici e le caratteristiche di base di queste 3 prove sono fornite nella Tabella 5.
Tabella 5. Feti demografici e caratteristiche di base di gravi studi sull'asma
| SOGNO (N = 616) | Mensa (N = 576) | Sirius (N = 135) | |
| Anni di età medi | 49 | 50 | 50 |
| Femmina n (%) | 387 (63) | 328 (57) | 74 (55) |
| Bianco n (%) | 554 (90) | 450 (78) | 128 (95) |
| Durata degli anni dell'asma significa | 19 | 20 | 19 |
| Mai fumato n (%) | 483 (78) | 417 (72) | 82 (61) |
| FEV di base 1 L | 1.88 | 1.82 | 1.95 |
| Baseline % previsto FEV 1 | 60 | 61 | 59 |
| Reversibilità al basale % | 25 | 27 | 26 |
| Baseline Post-Saba FEV 1 /Fvc | 0.67 | 0.66 | 0.66 |
| Conta eosinofili medi geometrici alle cellule basali/MCL | 250 | 290 | 240 |
| Numero medio di esacerbazioni nell'anno precedente | 3.6 | 3.6 | 3.1 |
| Fev 1 = volume espiratorio forzato in 1 secondo SABA = beta2-agonista ad azione breve Fvc = capacità vitale forzata |
Esacerbazioni
L'efficacia è stata valutata in Dream e Mensa utilizzando un endpoint della frequenza di esacerbazioni definite come un peggioramento dell'asma che richiede l'uso di corticosteroidi orali/sistemici e/o visite di ospedale e/o dipartimento di emergenza. Per i pazienti con OC di mantenimento, un'esacerbazione che richiede OCS è stata definita come l'uso di corticosteroidi orali/sistemici almeno il doppio della dose esistente per almeno 3 giorni. Rispetto ai pazienti con placebo che hanno ricevuto nula da 100 mg o mepolizumab 75 mg hanno sperimentato per via endovenosa meno esacerbazioni. Inoltre, rispetto al placebo, ci sono state meno esacerbazioni che richiedono visite di ricovero e/o dipartimento di emergenza e esacerbazioni che richiedono solo ricovero ospedaliero in pazienti con NUCALA 100 mg (Tabella 6).
Tabella 6. Tasso di esacerbazioni in gravi prove di asma sogno e mensa (popolazione intenzione a trattare)
| Prova | Trattamento | Esacerbazioni per Year | ||
| Valutare | Differenza | Valutare Ratio (95% CI) | ||
| Tutte le esacerbazioni | ||||
| SOGNO | Placebo (n = 155) | 2.40 | ||
| Mepolyzumab 75 mg IV (n = 153) | 1.24 | 1.16 | 0.52 (NULL,39 0,69) | |
| Mensa | Placebo (n = 191) | 1.74 | ||
| Mepolyzumab 75 mg IV (n = 191) | 0.93 | 0.81 | 0.53 (NULL,40 0,72) | |
| NUCALA 100 mg SC (n = 194) | 0.83 | 0.91 | 0.47 (NULL,35 0,64) | |
| Esacerbazioni requiring hospitalization/emergency room visit | ||||
| SOGNO | Placebo (n = 155) | 0.43 | ||
| Mepolyzumab 75 mg IV (n = 153) | 0.17 | 0.26 | 0.40 (NULL,19 0,81) | |
| Mensa | Placebo (n = 191) | 0.20 | ||
| Mepolyzumab 75 mg IV (n = 191) | 0.14 | 0.06 | 0.68 (NULL,33 1,41) | |
| NUCALA 100 mg SC (n = 194) | 0.08 | 0.12 | 0.39 (NULL,18 0,83) | |
| Esacerbazioni requiring hospitalization | ||||
| SOGNO | Placebo (n = 155) | 0.18 | ||
| Mepolyzumab 75 mg IV (n = 153) | 0.11 | 0.07 | 0.61 (NULL,28 1,33) | |
| Mensa | Placebo (n = 191) | 0.10 | ||
| Mepolyzumab 75 mg IV (n = 191) | 0.06 | 0.04 | 0.61 (NULL,23 1,66) | |
| NUCALA 100 mg SC (n = 194) | 0.03 | 0.07 | 0.31 (NULL,11 0,91) | |
| CI = intervallo di confidenza IV = SC endovenoso = sottocutaneo. |
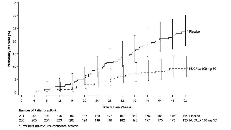
Il tempo di esacerbazione prima era più lungo per i gruppi che ricevevano nula da 100 mg e mepolizumab 75 mg rispetto al placebo in mensa (Figura 1).
Figura 1. Curva di incidenza cumulativa di Kaplan-Meier per il tempo alla prima esacerbazione (mensa)
|
| IV = SC endovenoso = sottocutaneo |
SOGNO data were explored to determine criteria that could identify patients likely to benefit from treatment with NUCALA. The exploratory analysis suggested that baseline blood eosinophil count of ≥150 cells/mcL was a potential predictor of treatment benefit. Exploratory analysis of Mensa data also suggested that baseline blood eosinophil count (obtained within 6 weeks of initiation of dosing) of ≥150 cells/mcL was a potential predictor of efficacy E showed a trend of greater exacerbation benefit with increasing blood eosinophil count. In Mensa patients enrolled solely on the basis of the historical blood eosinophil count of ≥300 cells/mcL in the previous 12 months but who had a baseline blood eosinophil count <150 cells/mcL had virtually no exacerbation benefit following treatment with NUCALA 100 mg compared with placebo.
Il questionario di controllo dell'asma-5 (ACQ-5) è stato valutato in Trials Dream e Sirius e il questionario respiratorio di San Giorgio (SGRQ) è stato valutato nella prova 2. Nella prova 1 il tasso di soccorritore ACQ-5 (definito come una riduzione del punteggio di 0,5 o più come soglia) per la soglia (per la soglia) per il 75 mg di mepolizuma era il 47% rispetto al 50% rispetto a un BACBOGE per il traguardo rispetto a un sezione di 0,5 anni (ATTENZE (ATTIVO DI AMBAO) per il 47% rispetto al 50% rispetto a una sondaggio di 6% rispetto a un barebo rispetto a un barebo (rattimo (rattimo) 1,1 (intervallo di confidenza al 95% [CI]: 0,7 1,7). In mensa il tasso di soccorritore ACQ-5 per il braccio di trattamento per Nucala 100 mg era del 57% rispetto al 45% per il placebo con un o 1,8 (IC 95%: 1,2 2,8). In mensa il tasso di soccorritore SGRQ (definito come una diminuzione del punteggio di 4 o più come soglia) per il braccio di trattamento per Nucala 100 mg era del 71% rispetto al 55% per il placebo con un OR o 2,1 (IC 95%: 1,3 3,2).
Riduzione orale del corticosteroide
Asma grave Prova Sirius evaluated the effect of NUCALA 100 mg on reducing the use of maintenance OCS. Efficacy was assessed using an endpoint of the percent reduction of OCS dose during Weeks 20 to 24 compared with baseline dose while maintaining asma control. Patients were classified according to their change in OCS use during the trial with the following categories: 90% a 100% decrease 75% to <90% decrease 50% a <75% decrease> 0% a <50% decrease E no improvement (i.e. no change or any increase or lack of asma control or withdrawal of treatment). Compared with placebo patients receiving NUCALA 100 mg achieved greater reductions in daily maintenance OCS dose while maintaining asma control. Sixteen (23%) patients in the group receiving NUCALA 100 mg versus 7 (11%) in the placebo group had a 90% a 100% reduction in their OCS dose. Twenty-five (36%) patients in the group receiving NUCALA 100 mg versus 37 (56%) in the placebo group were classified as having no improvement for OCS dose. Additionally 54% of patients receiving NUCALA 100 mg achieved at least a 50% reduction in the daily prednisone dose compared with 33% of patients receiving placebo (95% CI for difference: 4% 37%). An exploratory analysis was also performed on the subgroup of 29 patients in Prova 3 who had an average baseline E screening blood eosinophil count <150 cells/mcL. Five (29%) patients in the group receiving NUCALA 100 mg versus 0 (0%) in the placebo group had a 90% a 100% reduction in their dose. Four (24%) patients in the group receiving NUCALA 100 mg versus 8 (67%) in the placebo group were classified as having no improvement for OCS dose. The ACQ E SGRQ were also assessed in Sirius E showed results similar to those in Mensa.
Funzione polmonare
Modifica dal basale nel volume espiratorio forzato medio in 1 secondo (FEV 1 ) è stato misurato in tutte e 3 le prove ed è presentato nella Tabella 7. Rispetto a Placebo Nucala da 100 mg non ha fornito miglioramenti coerenti nella variazione media rispetto al basale nel FEV 1 .
Tabella 7. Modifica dalla linea di base in FEV 1 (ml) in gravi studi sull'asma
| Prova | Differenza from Placebo in Significare Modifica from FEV di base 1 (Ml) (IC al 95%) | ||
| Settimana 12 | Settimana 24 | Settimane 32/52 | |
| SOGNO a | 10 (-87 108) | 5 (-98 108) | 61 (-39 161) b |
| Mensa c | 52 (-30 134) | 76 (-6 159) | 98 (11 184) d |
| Sirius c | 56 (-91 203) | 114 (-42 271) | N / a |
| Fev 1 = volume espiratorio forzato in 1 secondo CI = intervallo di confidenza. a Dose = 75 mg per via endovenosa. b Fev 1 alla settimana 52. c Dose = 100 mg sottocutanei. d Fev 1 alla settimana 32. |
L'effetto di mepolizumab sulla funzione polmonare è stato anche studiato in uno studio controllato con placebo di 12 settimane che arruolava i pazienti con asma su una dose moderata di ICS con evidenza di sintomi e compromissione della funzione polmonare. L'iscrizione non dipendeva da una storia di esacerbazioni o da un conteggio di eosinofili pre-specificato. Cambia dal basale in FEV 1 Alla settimana 12 era numericamente più basso nei gruppi di trattamento di Mepolizumab rispetto al gruppo placebo.
Rinosinusite cronica con polipi nasali
Un totale di 407 pazienti adulti con CRSWNP sono stati valutati in uno studio multicentrico di 52 settimane multicentrico randomizzato in doppio cieco (NCT03085797). I pazienti hanno ricevuto nula da 100 mg o placebo somministrato per via sottocutanea una volta ogni 4 settimane mentre continuava la terapia corticosteroide nasale. I pazienti devono aver ricevuto corticosteroide nasale di fondo per ≥8 settimane di pre-screening. I pazienti avevano CRSWNP ricorrenti e sintomatici e hanno subito almeno 1 intervento chirurgico per la rimozione di polipi nasali nei 10 anni precedenti. I pazienti dovevano avere sintomi di ostruzione nasale con un punteggio di scala analogica visiva (VAS) di> 5 su un punteggio massimo di 10. I pazienti dovevano anche avere un punteggio endoscopico del polipo nasale bilaterale (NPS) di ≥5 su 8 con NPS ≥2 in ciascuna cavità nasale. I pazienti hanno riportato un'ostruzione nasale VAS punteggi quotidianamente posizionando un singolo segno su una linea continua etichettata da 0 (nessuna) a 100 (per quanto tu possa immaginare). La distanza lungo la linea è stata convertita in una scala da 0 a 10 punti per il punteggio. Per i polipi NPS su ciascun lato del naso sono stati classificati su una scala categorica (0 = Nessun polipi 1 = piccoli polipi nel Medio Meatus che non raggiungevano il bordo inferiore del Concha medio 2 = polipi che raggiungono il bordo inferiore del turbante medio 3 = grandi polipi che raggiungono il bordo inferiore del turbina inferiore della mediazione media/obsole che catturano quasi il turbante di grande turbina Il Meatus inferiore) per un punteggio totale da 0 a 8. Le scansioni CT del seno non sono state eseguite al basale né durante il trattamento per valutare l'opacificazione del seno.
Gli endpoint co-primari sono stati cambiati dal basale alla settimana 52 in NP endoscopiche totali (scala da 0 a 8) come classificato da valutatori in cieco indipendenti e cambiamenti dalla linea di base nel punteggio VAS di ostruzione nasale (0-10 scala) durante le settimane da 49 a 52. L'endpoint secondario chiave è stato il tempo per la prima chirurgia nasale (polimectomia nasale) fino alla settimana 52 in questo processo. Altri endpoint secondari sono stati cambiati dalla linea di base nella perdita del punteggio VAS durante le settimane da 49 a 52 e nella proporzione dei pazienti che richiedono steroidi sistemici per i polipi nasali fino alla settimana 52. Tutti i punteggi VAS sono stati raccolti quotidianamente dai pazienti e riportati su una scala 0 a 10 (0 = nessuno 10 = come si può immaginare).
I dati demografici e le caratteristiche di base dei pazienti in questo studio sono forniti nella Tabella 8.
Tabella 8. Feti demografici e caratteristiche basali nella rinosinusite cronica con polipi nasali
| N = 407 | |
| Anni di età medi | 49 |
| Femmina n (%) | 143 (35) |
| Bianco n (%) | 379 (93) |
| Durata media CRSWNP in anni (SD) | 11.4 (8.4) |
| Pazienti con un intervento chirurgico ≥1 negli ultimi 10 anni (%) | 407 (100) |
| Pazienti con ≥3 interventi chirurgici negli ultimi 10 anni (%) | 124 (30) |
| Uso OCS (corso ≥1) negli ultimi 12 mesi N (%) | 197 (48) |
| NP endoscopici bilaterali medi a (SD) intervallo 0-8 | 5.5 (1.29) |
| OSDRUZIONE NASAL media VAS SCOPO (SD) Range 0-10 | 9,0 (NULL,83) |
| Cellule eosinofili di sangue medio geometrico/MCL (IC al 95%) | 390 (360 420) |
| Asma n (%) | 289 (71) |
| Aerd n (%) | 108 (27) |
| CRSWNP = Rinosinusite cronica con polipi nasali SD = deviazione standard OCS = NPS corticosteroide orale = Punteggio del polipo nasale VAS = scala analogica visiva CI = intervallo di confidenza AERD = malattia respiratoria espirata aspirina. a Come classificato da valutatori in cieco indipendenti. |
Punteggio del polipo nasale endoscopico e punteggi della scala analogica visiva dell'ostruzione nasale
I pazienti che hanno ricevuto Nucala 100 mg hanno avuto un miglioramento statisticamente significativo (diminuzione) nelle NP bilaterali alla settimana 52 e il punteggio di ostruzione nasale da VAS dalle settimane 49 a 52 alla fine del periodo di trattamento di 52 settimane (Tabella 9).
Tabella 9. Analisi degli endpoint nella rinosinusite cronica con polipi nasali
| Punteggi a (allineare) | Placebo N = 201 | NUCALA 100 mg n = 206 | Differenza media vs. placebo (95% CI) | ||
| Basale Significare (SD) | Significare Modifica b (SE) | Basale Significare (SD) | Significare Modifica b (SE) | ||
| NPS | 5.6 | 0.06 | 5.4 | -0.87 | -0.93 |
| (0-8) | (1.41) | (0.14) | (1.17) | (0.14) | (-1.31 -0.55) |
| Nasale | 9.02 | -2.54 | 8.92 | -4.40 | -1.86 |
| ostruzione (0-10) | (NULL,83) | (NULL,25) | (NULL,83) | (NULL,25) | (-2.53 -1.19) |
| SD = Deviazione standard SE = Errore standard CI = Intervallo di confidenza NPS = Punteggio polipico nasale alla settimana 52. a Ai pazienti con chirurgia nasale è stato assegnato il peggior punteggio possibile per il periodo dopo la chirurgia nasale. I dati mancanti sono stati imputati in base a dati disponibili sul trattamento attraverso i bracci del trattamento. Le imputazioni sono state fatte gradualmente per visita e condizionate sui dati delle precedenti visite con le stesse covariate utilizzate nel modello di analisi. b Mezzi minimi quadrati dall'analisi utilizzando misure ripetute con modello misto con covariate del gruppo di regione geografica del gruppo di trattamento e punteggio di base e registro (E) Baseline Eosinofili Conteggi di interazione Visita Termini di interazione per la visita tramite basale e visita per trattamento. |
Nasale Polypectomy
L'endpoint secondario chiave era il tempo alla prima chirurgia nasale (polipectomia nasale) fino alla settimana 52. La percentuale di pazienti che ha subito un intervento chirurgico è stata significativamente ridotta del 57% (rapporto di rischio [HR]: 0,43 IC 95%: 0,25 0,76) nel gruppo trattati con NUCALA 100 mg rispetto al gruppo placebo (Figura 2). Entro la settimana 52 18 (9%) pazienti che hanno ricevuto Nucala 100 mg hanno subito un intervento chirurgico rispetto a 46 (23%) pazienti nel gruppo placebo.
Figura 2. Grafico del tempo di Kaplan-Meier al primo intervento chirurgico nasale in rinosinusite cronica con polipi nasali
|
| SC = sottocutaneo. |
Rinosinusite cronica aggiuntiva con punteggi dei sintomi di polipi nasali
Per i pazienti che hanno ricevuto un miglioramento statisticamente significativo da 100 mg di NUCALA in perdita di odore rispetto al placebo e sono stati osservati anche miglioramenti nei singoli punteggi dei sintomi VAS rispetto ai pazienti nel gruppo placebo nelle 4 settimane prima della fine del periodo di trattamento di 52 settimane (Tabella 10).
Tabella 10: punteggi dei sintomi della scala analogica aggiuntivi valutati alle settimane 49-52
| Punteggi VAS a (allineare) | Placebo N = 201 | NUCALA 100 mg n = 206 | Significare Differenza vs. placebo (95% CI) | ||
| Basale Significare (SD) | Significare Modifica b (SE) | Basale Significare (SD) | Significare Modifica b (SE) | ||
| Perdita di odore | 9,68 (NULL,60) | -1,46 (NULL,24) | 9,63 (NULL,83) | -2,92 (NULL,24) | -1.46 |
| (0-10) | (-2.11 -0.81) | ||||
| Nasale discharge c | 8.78 (1.25) | -2,49 (NULL,26) | 8.78 (1.07) | -4,38 (NULL,25) | -1.89 |
| (0-10) | -(-2.58 -1.20) | ||||
| Muco alla gola c | 8.58 (1.63) | -2,37 (NULL,26) | 8.51 (1.61) | -4,07 (NULL,26) | -1.70 |
| (0-10) | (-2.41 -0.99) | ||||
| Dolore facciale c | 7,77 (NULL,72) | -2,04 (NULL,28) | 7,76 (NULL,51) | -3,73 (NULL,27) | -1.69 |
| (0-10) | (-2.43 -0,95) | ||||
| VAS = scala analogica visiva SD = deviazione standard SE = errore standard CI = intervallo di confidenza. a Ai pazienti con chirurgia nasale è stato assegnato il punteggio peggiore possibile per il periodo dopo la chirurgia nasale. I dati mancanti sono stati imputati in base a dati disponibili sul trattamento attraverso i bracci del trattamento. Le imputazioni sono state fatte gradualmente per visita e condizionate sui dati delle precedenti visite con le stesse covariate utilizzate nel modello di analisi. b Mezzi meno quadrati da un'analisi che utilizza misure ripetute con modello misto con covariate del gruppo di regione geografica del gruppo di trattamento e punteggio di base e registro (E) Baseline Eosinofili Conti di interazione Visita Termini di interazione per visitare per base e visitare per trattamento. c Questo endpoint non è stato prespecificato nel piano di analisi per adattarsi alla molteplicità |
Riduzione di corticosteroidi
Trattamento with NUCALA 100 mg significantly reduced the need for systemic steroids for nasal polyps vs. placebo up to Week 52 (OR: 0.58 95% CI: 0.36 0.92). In patients who received NUCALA 100 mg 52 (25%) required ≥1 course of systemic steroids compared with 74 (37%) in the placebo group throughout the 52-week treatment period.
Risultati in pazienti con asma di comorbilità
In 289 (71%) pazienti con analisi pre-specificate dell'asma co-morbido hanno mostrato miglioramenti negli endpoint co-primari coerenti con quelli osservati nella popolazione complessiva nei pazienti che hanno ricevuto Nucala 100 mg rispetto al placebo. Inoltre, sulla base di un'analisi post-hoc in questi pazienti, vi è stata una risposta maggiore dal basale alla settimana 52 nel controllo dell'asma, misurato dall'ACQ-5 per NUCALA 100 mg rispetto al placebo (57% dei pazienti Nucala ha raggiunto la riduzione della soglia del soccorritore di ≥0,5 rispetto al 35% rispetto al gruppo placebo con una o di 2,42 [95% Ci 1.11]).
Broncopneumopatia cronica ostruttiva
L'efficacia della Nucala come trattamento di mantenimento aggiuntivo per pazienti adulti con malattia polmonare ostruttiva cronica (BPCO) e un fenotipo eosinofilo è stata valutata in due studi multicentrici randomizzati in doppio cieco controllato (NCT02105948]. Le due prove hanno arruolato un totale di 1640 adulti che sono stati randomizzati a ricevere nula da 100 mg o placebo somministrato per sottocutanea ogni 4 settimane per una durata del trattamento da 52 a 104 settimane in matinée o 52 settimane in Metrex. Mentre 1640 adulti sono stati arruolati nei due studi clinici (Matinee e Metrex), la popolazione di efficacia era composta da 1266 adulti.
Entrambi gli studi hanno arruolato i pazienti con una diagnosi di BPCO con limitazione del flusso d'aria da moderato a grave (FEV post-broncodilatatore 1 /Fvc ratio <0.7 E post-bronchodilator Fev 1 dal 20% all'80% previsto) e almeno 2 esacerbazione della BPCO moderata o 1 grave nell'anno precedente nonostante abbia ricevuto la tripla terapia per inalazione.
Nel matinée i pazienti dovevano avere un numero minimo di eosinofili di eosinofili di 300 cellule/MCL durante lo screening. In Metrex non vi era alcun requisito minimo di conteggio degli eosinofili nel sangue, ma la randomizzazione era stratificata per conteggio eosinofilo del sangue basale: ≥150 cellula/MCL allo screening o ≥300 cellula/MCL nei 12 mesi precedenti o conta eosinofila del sangue <150 cells/mcL at screening with no evidence of blood eosinophil count ≥300 cell/mcL in the previous 12 months. There was insufficient data from Metrex to support the efficacy of NUCALA in patients with COPD with blood eosinophil count <150 cells/mcL at screening with no evidence of blood eosinophil count ≥300 cell/mcL in the previous 12 months. Thus the efficacy population (N = 1266) included patients from MATINÉE (n = 804) E patients from Metrex who had a blood eosinophil count ≥150 cell/mcL at screening or ≥300 cell/mcL in the previous 12 months (n = 462). The data from this efficacy population is described below.
Le caratteristiche demografiche e basali della popolazione di efficacia di matinée e metrex sono fornite nella Tabella 11 di seguito.
Tabella 11: dati demografici e caratteristiche di base dei pazienti con malattia polmonare ostruttiva cronica negli studi di matinée e metrexa
| MATINÉE | Metrex a | |
| N = 804 | N = 462 | |
| Significare age (y) (SD) | 66 (8.0) | 65 (8.4) |
| Femmina n (%) | 253 (31) | 163 (35) |
| Bianco n (%) | 673 (84) | 391 (85) |
| Asiatico N (%) | 112 (14) | 5 (1) |
| Nero o afroamericano N (%) | 10 (1) | 6 (1) |
| Altro/multiplo N (%) | 9 (1) | 60 (13) |
| Ispanico/latino n (%) | 189 (24) | 75 (16) |
| Fumatori attuali n (%) | 222 (28) | 134 (29) |
| Storia media del fumo (pacchetto-anno) (SD) | 43 (24.9) | 44 (NULL,8) |
| Post-bronchodilatator % previsto FEV 1 Mean (SD) | 48 (15.8) | 44 (14.8) |
| Post-bronchodilatator FEV 1 /Fvc Mean (SD) | 0,5 (NULL,12) | 0,5 (NULL,12) |
| Significare number of moderate b o grave c esacerbazioni nell'anno precedente (SD) | 2,3 (NULL,94) | 2,5 (1.29) |
| Farmaci BPCO di fondo alla randomizzazione: ICS/LAMA/LABA N (%) | 794 (99) | 454 (98) |
| Punteggio SGRQ Media (SD) | 55 (17.8) | 55 (16.7) |
| Conteggio eosinofili medio geometrico a screening cellule/MCL (IC al 95%) | 480 (470 490) | 260 (250 280) |
| SD = deviazione standard FEV 1 = Volume espiratorio forzato in 1 secondo FVC = BPCO di capacità vitale forzata = Malattia polmonare ostruttiva cronica ICS = corticosteroidi inalati LAMA = Antagonista muscarinico a lunga durata di LABA = agonista beta a lunga durata di sgrq = St. George di St. George intervallo di confidenza = intervallo di confidenza. a I pazienti con eosinofili nel sangue contano ≥150 cellule/MCL allo screening o ≥300 cellule/MCL solo nei precedenti 12 mesi. b Esacerbazioni treated with either systemic corticosteroids with or without antibiotics. c Esacerbazioni requiring hospitalization. |
Tasso annuale di esacerbazioni moderate o gravi in pazienti adulti con malattia polmonare ostruttiva cronica
L'endpoint primario per gli studi di matinée e metrex era il tasso annualizzato di esacerbazioni moderate o gravi durante i periodi di trattamento da 52 a 104 settimane e 52 settimane. Le esacerbazioni moderate sono definite per protocollo come esacerbazioni clinicamente significative che richiedono un trattamento con corticosteroidi orali/sistemici e/o antibiotici. Le esacerbazioni gravi sono definite per protocollo come esacerbazioni clinicamente significative che richiedono un ricovero ospedaliero (cioè ≥24 ore) o provocano la morte.
In entrambi gli studi Nucala ha dimostrato una riduzione statisticamente significativa del tasso annualizzato di esacerbazioni moderate o gravi rispetto al placebo quando aggiunto alla terapia tripla per inalazione (vedere Tabella 12).
Tabella 12. Tasso annualizzato di moderato a o grave b Esacerbazioni in MATINÉE E Metrex Provas
| MATINÉE | Metrex c | |||
| NUCALA N = 403 | Placebo N = 401 | NUCALA N = 233 | Placebo N = 229 | |
| Esacerbazione tasso all'anno | 0.80 | 1.01 | 1.40 | 1.71 |
| Valutare ratio vs. | 0.79 | 0.82 | ||
| placebo (95% CI) | (NULL,66 0,94) | (NULL,68 0,98) | ||
| CI = intervallo di confidenza. a Esacerbazioni treated with either systemic corticosteroids/antibiotics. b Esacerbazioni requiring hospitalization or resulting in death. c Pazienti con eosinofili basali> 150 cellule/MCL in screening o ≥300 cellula/MCL nei 12 mesi precedenti. |
Il tempo per l'analisi del primo evento ha mostrato una riduzione statisticamente significativa del rischio di esacerbazione moderata o grave per i pazienti che hanno ricevuto nulala rispetto al placebo (HR: 0,77; IC al 95%: 0,64 0,93) per 104 settimane in matinee.
NUCALA reduced the annualized rate of COPD exacerbations requiring emergency department visits E/or hospitalization when compared with placebo (rate ratio [RR] of 0.65; 95% CI: 0.43 0.96 [not statistically significant due to failure of an endpoint higher in the pre-defined testing hierarchy]) in MATINÉE.
Qualità della vita legata alla salute
In Matinee e Metrex è stata valutata il tasso di soccorritore totale del punteggio respiratorio di San Giorgio (SGRQ) (definito come percentuale di soggetti con miglioramento SGRQ rispetto al basale di almeno 4 punti) alla settimana 52. In matinee il tasso di soccorritore era del 50% nel gruppo Nucala rispetto al 46% nel gruppo placebo (n = 783 odds ratio [o]: 1,17; IC al 95%: 0,87 1,57). Nella popolazione di efficacia di Metrex il tasso di soccorritore era del 42% nel gruppo Nucala rispetto al 40% nel gruppo placebo (n = 451 odds ratio [OR]: 1,08; IC al 95%: 0,74 1,59).
Granulomatosi eosinofila con poliangiite
Un totale di 136 pazienti adulti con EGPA sono stati valutati in uno studio multicentrico di 52 settimane multicentrico randomizzato (NCT02020889). I pazienti hanno ricevuto 300 mg di nulala o placebo somministrato per via sottocutanea una volta ogni 4 settimane mentre continuavano la loro terapia OCS stabile. A partire dalla settimana 4 OCS è stato rastrellato durante il periodo di trattamento a discrezione dell'investigatore. L'efficacia è stata valutata in questo studio utilizzando i punti di endpoint della durata totale della remissione nel periodo di trattamento di 52 settimane definito come punteggio di attività di vasculite di Birmingham (BVAS) = 0 (nessuna vasculite attiva) più prednisolone o dose di prednone inferiore o uguale a 4 mg/giorno e la proporzione di pazienti nella remissione in entrambe la settimana 38 di trattamento. Il BVAS è uno strumento completato per il medico per valutare la vasculite clinicamente attiva che probabilmente richiederebbe un trattamento dopo l'esclusione di altre cause.
I dati demografici e le caratteristiche di base dei pazienti in questo studio sono forniti nella Tabella 13.
Tabella 13. Fedi e caratteristiche basali nella granulomatosi eosinofila con poliangiite
| N = 136 | |
| Anni di età medi | 48.5 |
| Femmina n (%) | 80 (59) |
| Bianco n (%) | 125 (92) |
| Durata di EGPA anni media (SD) | 5.5 (4.63) |
| Storia di> 1 recidiva confermata negli ultimi 2 anni N (%) | 100 (74) |
| Malattia refrattaria N (%) | 74 (54) |
| 68 (50) | |
| 6 (4) | |
| Basale oral corticosteroid a dose giornaliera mg mediana (intervallo) | 12 (NULL,5-50) |
| Ricevere terapia immunosoppressiva b N (%) | 72 (53) |
| EGPA = granulomatosi eosinofila con poliangiite SD = deviazione standard. a Prednisone o prednisolone equivalente. b per esempio. acido micofenolico azathioprine methotrexato |
Remissione
I pazienti che hanno ricevuto 300 mg di nula hanno ottenuto un tempo significativamente maggiore in remissione rispetto al placebo. Una percentuale significativamente più elevata di pazienti che ricevono 300 mg di Nucala ha raggiunto la remissione sia alla settimana 36 che alla settimana 48 rispetto al placebo (Tabella 14). I risultati dei componenti di remissione sono anche mostrati nella Tabella 14. Inoltre significativamente più pazienti che hanno ricevuto 300 mg di remissione hanno raggiunto Nucala entro le prime 24 settimane e sono rimasti in remissione per il resto del periodo di trattamento del processo di 52 settimane rispetto al placebo (19% per 300 mg di nula contro l'1% per placebo; o: 19,7; 95% CI: 2.3 16).
Tabella 14. Remissione e componenti di remissione nella granulomatosi eosinofila con poliangiite
| Remissione (OCS ≤4 mg/giorno BVAS = 0) | OCS ≤4 mg/giorno | BVAS = 0 | ||||
| Placebo n = 68 | NUCALA 300 mg n = 68 | Placebo n = 68 | NUCALA 300 mg n = 68 | Placebo n = 68 | NUCALA 300 mg n = 68 | |
| Durata maturata per 52 settimane n (%) | ||||||
| 0 | 55 (81) | 32 (47) | 46 (68) | 27 (40) | 6 (9) | 3 (4) |
| > 0 a <12 weeks | 8 (12) | 8 (12) | 12 (18) | 5 (7) | 15 (22) | 13 (19) |
| 12 a <24 weeks | 3 (4) | 9 (13) | 6 (9) | 12 (18) | 11 (16) | 5 (7) |
| 24 a <36 weeks | 0 | 10 (15) | 2 (3) | 10 (15) | 17 (25) | 2 (3) |
| ≥36 settimane | 2 (3) | 9 (13) | 2 (3) | 14 (21) | 19 (28) | 45 (66) |
| Odds Ratio (Nucala/Placebo) a | 5.9 | 5.1 | 3.7 | |||
| (95% CI) | (2.7 13.0) | (2.5 10.4) | (1.8 7.6) | |||
| Proporzione di pazienti in entrambe le settimane 36 e 48 | ||||||
| Pazienti N (%) | 2 (3) | 22 (32) | 7 (10) | 28 (41) | 23 (34) | 34 (50) |
| Odds Ratio (Nucala/Placebo) a | 16.7 | 6.6 | 1.9 | |||
| (95% CI) | (3.6 77.6) | (2.6 17.1) | (NULL,9 4.2) | |||
| OCS = BVAS corticosteroide orale = punteggio di attività vasculite di Birmingham CI = intervallo di confidenza. a Un rapporto di probabilità> 1 favorisce la Nucala. |
Inoltre, è stato dimostrato un vantaggio statisticamente significativo per questi endpoint utilizzando la remissione definita come BVAS = 0 più prednisolone/prednisone ≤7,5 mg/die.
Ricaduta
Il tempo di ricaduta prima (definito come peggioramento correlato all'asma della vasculite o ai sintomi sino-nasali che richiedeva un aumento della dose di corticosteroidi o terapia immunosoppressiva o ricovero) era significativamente più lungo per i pazienti che ricevevano 300 mg di nulala rispetto al placebo con un HR di 0,32 (IC 95%: 0,21 0,5) (Figura 3). Inoltre, i pazienti che hanno ricevuto 300 mg di Nucala hanno avuto una riduzione del tasso di recidiva rispetto ai pazienti che hanno ricevuto placebo (RR: 0,50; IC al 95%: 0,36 0,70 per 300 mg di NUCALA rispetto al placebo). L'incidenza e il numero di tipi di recidiva (vasculite asma sino-nasale) erano numericamente più bassi con la nulala rispetto al placebo.
Figura 3. Grafico del tempo di Kaplan-Meier per la prima ricaduta nella granulomatosi eosinofila con poliangiite
|
| SC = sottocutaneo. |
Riduzione di corticosteroidi
I pazienti che hanno ricevuto 300 mg di NUCALA hanno avuto una riduzione significativamente maggiore nella dose media di OCS giornaliera rispetto ai pazienti che hanno ricevuto placebo durante le settimane da 48 a 52 (Tabella 15).
Tabella 15. Dose corticosteroide orale giornaliera media durante le settimane da 48 a 52 nella granulomatosi eosinofila con poliangiite
| Numero (%) dei pazienti | ||
| Placebo n = 68 | NUCALA 300 mg n = 68 | |
| 0 | 2 (3) | 12 (18) |
| > 0 a ≤4.0 mg | 3 (4) | 18 (26) |
| > Da 4,0 a ≤7,5 mg | 18 (26) | 10 (15) |
| > 7,5 mg | 45 (66) | 28 (41) |
| Confronto: Nucala/Placebo a | ||
| Odds ratio b | 0.20 | |
| 95% CI | 0,09 0,41 | |
| CI = intervallo di confidenza. a Analizzato utilizzando un modello di probabilità proporzionale con covariate del gruppo di trattamento basale basale del corticosteroidi orale dose giornaliera del punteggio di attività di vasculite di Birmingham e regione. b Un rapporto di probabilità <1 favors NUCALA. |
ASMA CONTROLLE DOMANITÀ-6 (ACQ-6)
L'ACQ-6 Un questionario a 6 elementi completato dal paziente è stato sviluppato per misurare l'adeguatezza del controllo dell'asma e il cambiamento nel controllo dell'asma. Il tasso di soccorritore ACQ-6 sul trattamento durante le settimane da 48 a 52 (definito come una riduzione del punteggio di 0,5 o più rispetto al basale) era del 22% per 300 mg di nuclela e il 16% per il placebo (OR: 1,56; IC al 95%: 0,63 3,88 per 300 mg di nula rispetto al placebo).
Sindrome ipereosinofila
Un totale di 108 pazienti adulti e adolescenti di età pari o superiore a 12 anni con HES per almeno 6 mesi sono stati valutati in uno studio multicentrico di 32 settimane multicentrico a placebo randomizzato (NCT02836496). I pazienti con HES secondaria non ematologica (ad es. Ipersensibilità farmacologica Infezione parassita Infezione da HIV Malignità non ematologica) o FIP1L1-PDGFRα chinasi-positivo Hes sono stati esclusi dallo studio. I pazienti hanno ricevuto 300 mg di nulala o sottocutanea placebo una volta ogni 4 settimane mentre continuavano la loro terapia di Hes stabile. I pazienti che entravano nello studio avevano sperimentato almeno 2 pazzi di HES negli ultimi 12 mesi e un numero di eosinofili nel sangue di 1000 cellule/MCL o superiore durante lo screening. I razzi di Hes storici per i criteri di ingresso della sperimentazione sono stati definiti come peggioramento dei sintomi clinici o conteggi di eosinofili di eosinofili che richiedono un'escalation in terapia. I pazienti devono essere in terapia stabile per le 4 settimane prima della randomizzazione. La terapia HES potrebbe includere terapia immunosoppressiva o citotossica cronica o episodica.
L'efficacia di Nucala in HES è stata stabilita in base alla proporzione di pazienti che hanno avuto un bagliore HES durante il periodo di trattamento di 32 settimane. Un bagliore HES è stato definito come un peggioramento dei segni e dei sintomi clinici di HES o crescente eosinofili (in almeno 2 occasioni) con conseguente necessità di aumentare l'OCS o aumentare/aggiungere la terapia di HES citotossica o immunosoppressiva.
I dati demografici e le caratteristiche di base dei pazienti in questo studio sono forniti nella Tabella 16.
Tabella 16. Feti demografici e caratteristiche di base nella sindrome ipereosinofila
L'amoxicillina può causare un'infezione da lievito
| N = 108 | |
| Anni di età medi (SD) | 46.0 (15.78) |
| Femmina n (%) | 57 (53) |
| Bianco n (%) | 100 (93) |
| Significare duration of HES years | 5.55 |
| SD = deviazione standard Hes = sindrome ipereosinofila |
Razzi
Lo studio ha confrontato la percentuale di pazienti che hanno avuto un bagliore HES o si sono ritirati dalla sperimentazione nei gruppi di trattamento Nucala e Placebo (Tabella 17). Nel corso del periodo di trattamento di 32 settimane, l'incidenza del bagliore di Hes nel periodo di trattamento è stata del 56% per il gruppo placebo e il 28% per il gruppo trattati con nulala (riduzione del 50%).
Tabella 17. Panoramica dei razzi della sindrome ipereosinofila
| Numero (%) dei pazienti | ||
| Placebo n = 54 | NUCALA 300 mg n = 54 | |
| Pazienti con ≥1 hes fiammeggiare o che si sono ritirati dalla sperimentazione | 30 (56) | 15 (28) |
| 28 (52) | 14 (26) | |
| 2 (4) | 1 (2) | |
| Confronto: Nucala/Placebo a | ||
| CMH P valore | 0.002 | |
| Odds ratio b | 0.28 | |
| 95% CI | (NULL,12 0,64) | |
| Hes = sindrome ipereosinofila CMH = Cochran-Mantel-Haenszel CI = intervallo di confidenza. a L'analisi ha confrontato il numero di pazienti che hanno sperimentato ≥1 Hes Flare e/o si sono ritirati prematuramente dallo studio. b Un rapporto di probabilità <1 favors NUCALA. |
È ora di bagliore
Differenza was observed between NUCALA E placebo arms in the time to first HES flare (Figure 4). The risk of first HES flare over the treatment period was 66% lower for patients treated with NUCALA compared with placebo (HR: 0.34; 95% CI 0.18 0.67 P = 0,002).
Figura 4. Curva di Kaplan-Meier per il tempo al primo bagliore della sindrome ipereosinofila
|
| SC = sottocutaneo. |
Proporzione di pazienti che hanno sperimentato razzi durante la settimana 20 alla settimana 32
Dalla settimana 20 alla settimana 32 significativamente meno pazienti hanno sperimentato un bagliore hes o si è ritirato dalla sperimentazione quando trattati con 300 mg di nulala rispetto al placebo (17% vs. 35% rispettivamente p = 0,020; OR: 0,33; IC al 95%: 0,13 0,85).
Valutare Of Razzi
I pazienti che hanno ricevuto NUCALA hanno subito significativamente meno razzi di HES durante il periodo di trattamento di 32 settimane rispetto al gruppo placebo (Tabella 18). Il trattamento con Nucala ha comportato una riduzione statisticamente significativa del 66% del tasso annualizzato dei razzi di Hes rispetto al placebo.
Tabella 18. Frequenza dei razzi
| Numero (%) dei pazienti | ||
| Placebo n = 54 | NUCALA 300 mg n = 54 | |
| 0 | 26 (48) | 40 (74) |
| 1 | 15 (28) | 11 (20) |
| 2 | 7 (13) | 3 (6) |
| 3 | 5 (9) | 0 |
| 4 | 1 (2) | 0 |
| ≥5 | 0 | 0 |
| Confronto: Nucala/Placebo | ||
| Wilcoxon P valore (unadjusted/adjusted) a | 0,002/0,02 | |
| Valutare/year | 1.46 | 0.50 |
| Valutare ratio b | 0.34 | |
| 95% CI | (NULL,19 0,63) | |
| CI = intervallo di confidenza. a Regolato P valores based on pre-specified hierarchy of endpoints. b Un rapporto di velocità <1 favors NUCALA |
Breve inventario della fatica
Breve inventario della fatica (BFI) Item 3 asks patients to record their worst level of weariness/tiredness severity during the past 24 hours (scale: 0 = no fatica to 10 = as bad as you can imagine). At baseline median BFI Item 3 scores were similar between treatment groups (4.46 for NUCALA 300 mg E 4.69 for placebo). At Week 32 BFI Item 3 scores improved with NUCALA compared with placebo (P = 0.036). The median change from baseline score for BFI Item 3 at Week 32 was -0.66 in the group treated with NUCALA E 0.32 in the placebo group.
Informazioni sul paziente per Nucala
NUCALA
(New Kah La)
(mepolizumab) per iniezione per uso sottocutaneo
NUCALA
(New Kah La)
(Mepolizumab) Iniezione per uso sottocutaneo
Cos'è NUCALA?
- NUCALA is a prescription medicine:
- Per il trattamento di mantenimento aggiuntivo dell'asma grave nelle persone di età pari o superiore a 6 anni il cui asma non è controllato con i loro attuali medicinali di asma. Nucala aiuta a prevenire gravi attacchi di asma (esacerbazioni).
NUCALA is not used to treat sudden problemi di respirazione that occur with asma. - Per il trattamento di mantenimento aggiuntivo della rinosinusite cronica con polipi nasali (CRSWNP) negli adulti la cui malattia non è controllata con corticosteroidi nasali. Nucala aiuta a ridurre i sintomi (ad esempio la congestione nasale di scarico nasale muco nella perdita di odore della gola). Nucala aiuta a ridurre le dimensioni dei polipi nasali e l'uso di medicinali corticosteroidi orali. Nucala aiuta a prevenire l'intervento chirurgico per i polipi nasali.
- Per il trattamento di mantenimento aggiuntivo della malattia polmonare ostruttiva cronica (BPCO) negli adulti la cui malattia non è controllata e che sono a rischio di riacutizzazioni e aumento dei sintomi. Nucala aiuta a prevenire riacutizzazioni dei sintomi della BPCO (esacerbazioni).
NUCALA is not used to treat sudden problemi di respirazione that can occur with COPD. - per il trattamento degli adulti con granulomatosi eosinofila con poliangiite (EGPA). Nucala aiuta a ridurre i sintomi e i razzi e può consentire al proprio operatore sanitario di ridurre la medicina corticosteroide orale.
- Per il trattamento delle persone di età pari o superiore a 12 anni con sindrome ipereosinofila (HES) per 6 mesi o più. Nucala aiuta a ridurre i sintomi e prevenire i razzi.
- Per il trattamento di mantenimento aggiuntivo dell'asma grave nelle persone di età pari o superiore a 6 anni il cui asma non è controllato con i loro attuali medicinali di asma. Nucala aiuta a prevenire gravi attacchi di asma (esacerbazioni).
- NUCALA works by targeting inflammation that plays a major role in severe asma CRSwNP COPD EGPA E HES. NUCALA reduces blood eosinophils. Eosinophils are a type of white blood cells that may contribute to your disease.
Non è noto se Nucala è sicuro ed efficace in:
- Bambini con asma grave di età inferiore ai 6 anni.
- bambini e adolescenti con BPCO CRSWNP o EGPA di età inferiore ai 18 anni; O
- Bambini con Hes di età inferiore ai 12 anni.
Non usare NUCALA Se sei allergico a mepolizumab o a uno qualsiasi degli ingredienti di Nucala. Vedi la fine di questo opuscolo per un elenco completo di ingredienti a Nucala.
Prima di ricevere NUCALA, racconta al tuo operatore sanitario su tutte le condizioni mediche, anche se tu:
- avere un'infezione parassita (elminto).
- stanno assumendo medicinali corticosteroidi orali o inalati. Non farlo Smetti di prendere i medicinali corticosteroidi se non istruiti dal tuo operatore sanitario. Ciò può far tornare altri sintomi che sono stati controllati dalla medicina corticosteroide.
- sono incinta o prevedono di rimanere incinta. Non è noto se Nucala può danneggiare il tuo bambino non ancora nato.
- stanno allattando o pianificano di allattare. Tu e il tuo operatore sanitario dovreste decidere se userete Nucala e l'allattamento al seno. Non dovresti fare entrambi senza parlare prima con il tuo operatore sanitario.
- Dì al tuo operatore sanitario di tutti i medicinali che prendi, tra cui prescrizione e medicine da banco vitamine e integratori a base di erbe.
- Non farlo stop taking your other medicines unless instructed to do so by your healthcare provider.
Come riceverò NUCALA?
Il tuo operatore sanitario prescriverà la dose giusta per te a seconda di ciò per cui sei trattato.
Quando l'iniezione è data da un operatore sanitario:
- Un operatore sanitario inietterà NUCALA sotto la pelle (per via sottocutanea) ogni 4 settimane.
Quando l'iniezione è data da un caregiver paziente o paziente con una siringa preimpegnata o autoiniettore preimpegnato:
- NUCALA may be prescribed as a single-dose prefilled autoinjector for people 12 years of age E older or as a single-dose prefilled syringe for people 6 years of age E older.
- Usa Nucala ogni 4 settimane esattamente come ti dice il tuo operatore sanitario.
- Prima di utilizzare NUCALA, il tuo operatore sanitario mostrerà a te o al tuo caregiver come dare le iniezioni.
- Leggi le istruzioni per l'uso fornite con Nucala per istruzioni sul modo giusto per dare le iniezioni a casa.
- Dovresti iniettare NUCALA sotto la pelle (sottocutaneamente) nella coscia o nello stomaco (addome). Anche un caregiver può dare l'iniezione nella parte superiore del braccio.
- Se perdi una dose inietta una dose il prima possibile. Quindi continua (riprendi) l'iniezione sul tuo normale programma di dosaggio. Se non ti accorgi di aver perso una dose fino a quando non è il momento della tua prossima dose programmata, iniettare la successiva dose programmata come previsto. Se non sei sicuro di quando iniettare NUCALA, chiamare il tuo operatore sanitario.
Quali sono i possibili effetti collaterali di Nucala?
NUCALA can cause serious side effects including:
- Reazioni allergiche (ipersensibilità) inclusa l'anafilassi . Le reazioni allergiche gravi possono verificarsi dopo aver ricevuto l'iniezione di Nucala. Le reazioni allergiche a volte possono accadere ore o giorni dopo aver ottenuto una dose di nula. Dì al tuo operatore sanitario o ottieni subito un aiuto di emergenza se hai uno dei seguenti sintomi di una reazione allergica:
- gonfiore della bocca e della lingua del viso
- problemi di respirazione
- svenimento vertigini feeling lightheaded (low blood pressure)
- eruzione cutanea
- orticaria
- infezioni da herpes zoster. Le infezioni da herpes zoster che possono causare l'herpes zoster sono avvenute nelle persone che hanno ricevuto Nucala.
Gli effetti collaterali più comuni di Nucala includono : Reazioni del sito di iniezione di mal di testa (dolore di rossore del dolore prurito o una sensazione ardente nel sito di iniezione) dolori alla schiena e stanchezza (affaticamento). Il dolore alla bocca/gola e dolori articolari sono stati segnalati con CRSWNP. La diarrea e la tosse sono state segnalate con BPCO.
Questi non sono tutti i possibili effetti collaterali della Nucala.
Chiama il medico per consigli medici sugli effetti collaterali. È possibile segnalare gli effetti collaterali alla FDA al numero 1-800-FDA-1088.
Come dovrei conservare Nucala?
- Conservare autoiniettori preimpegnati e siringhe preimpegnate in frigorifero tra 36 ° F e 46 ° F (da 2 ° C a 8 ° C).
- Mantieni gli autoiniettori preimpegnati e le siringhe preimpegnate nel cartone originale fino al momento di utilizzo per proteggere dalla luce.
- Non farlo congelare. Non farlo scuotere. Tenere lontano dal calore.
- Se necessario, un cartone non aperto può essere conservato al di fuori del frigorifero fino a 30 ° C (30 ° C) per un massimo di 7 giorni.
- Buttare via in modo sicuro autoiniettori e siringhe preimpegnate se il cartone non aperto viene lasciato fuori dal frigorifero per più di 7 giorni.
- Autoiniettori preimpegnati e siringhe preimpegnate devono essere utilizzati entro 8 ore dopo averli eliminati dal cartone. Buttare via in modo sicuro se non usato entro 8 ore.
- Buttare via in modo sicuro medicine che non è più obsoleta o non più necessaria.
Mantieni la Nucala e tutte le medicine fuori dalla portata dei bambini.
Informazioni generali sull'uso sicuro ed efficace di Nucala.
Le medicine sono talvolta prescritte a fini diversi da quelli elencati in un volantino delle informazioni del paziente. Non dare Nucala ad altre persone anche se hanno gli stessi sintomi che hai. Potrebbe danneggiare loro. Puoi chiedere al tuo farmacista o operatore sanitario informazioni su NUCALA che è scritta per gli operatori sanitari.
Quali sono gli ingredienti di Nucala?
Ingrediente attivo: Mepolizumab.
Ingredienti inattivi (fiale) : polisorbato 80 sodio fosfato dibasico ettaidrato e saccarosio.
Ingredienti inattivi (autoiniettori preimpegnati e siringhe preimpegnate): acido citrico monoidrato EDTA disodio diidrato polisorbato 80 sodio fosfato dibasico Eptaidrato e saccarosio. Per ulteriori informazioni su Nucala, chiamare il numero 1-888-825-5249 o visitare il nostro sito Web all'indirizzo www.nucala.com.
Queste informazioni sui pazienti sono state approvate dalla Food and Drug Administration degli Stati Uniti.
Istruzioni per l'uso
NUCALA
(Mepolizumab) Iniezione per uso sottocutaneo 100 mg/mL
Autoiniettore preimpegnato
Informazioni importanti
NUCALA is a prescription medicine that is injected under the skin (subcutaneous) from a single-dose prefilled autoinjector. You E your caregiver should be trained on how to prepare E perform your injection before trying to do it yourself.
Le seguenti istruzioni forniscono le informazioni necessarie per utilizzare correttamente l'autoiniettore preimpegnato con la protezione dell'ago giallo.
Prima di iniziare l'iniezione è importante leggere e comprendere queste istruzioni e quindi seguirle attentamente in modo da completare ogni passaggio con successo.
Informazioni di archiviazione
- Conservare in frigorifero da 36 ° F a 46 ° F (da 2 ° C a 8 ° C).
- Tieniti nel cartone originale fino al momento di utilizzo per proteggere dalla luce.
- Non farlo congelare. Non farlo scuotere. Tenere lontano dal calore.
- Se necessario, un cartone non aperto può essere conservato al di fuori del frigorifero fino a 30 ° C (30 ° C) per un massimo di 7 giorni.
- Buttare via in modo sicuro l'autoiniettore preimpegnato se viene lasciato fuori dal frigorifero nel cartone non aperto per più di 7 giorni.
- L'autoiniettore preimpegnato deve essere utilizzato entro 8 ore dopo averlo tolto dal cartone. Lancialo in sicurezza se non viene utilizzato entro 8 ore.
- Buttare via in modo sicuro medicine che non è più obsoleta o non più necessaria.
Mantieni la Nucala e tutte le medicine fuori dalla portata dei bambini.
Avvertimenti
- Non farlo Utilizzare l'autoiniettore precaricato più di 1 volta. Lancia via l'autoiniettore in un contenitore di smaltimento tagliente per la FDA dopo l'iniezione.
- Non farlo Condividi l'autoiniettore preimpegnato con altre persone. Puoi dare ad altre persone una grave infezione o potresti avere una grave infezione da loro.
- Non farlo Utilizzare l'autoiniettore prefetterato se è stato lasciato cadere o sembra danneggiato.
Conosci il tuo autoiniettore precaricato
|
Forniture in cartone
1 autoiniettore preimpegnato
Forniture non in cartone
- Tampone alcolica
- Batuffolo o garza
- Bendaggio adesivo
- Contenitore di smaltimento di Sharps (vedere il passaggio 8 Lancia via l'autoiniettore usato alla fine di queste istruzioni per l'uso per le istruzioni di smaltimento adeguate.)
Preparare
1. Elimina l'autoiniettore preimpegnato
|
- Elimina il cartone dal frigorifero e assicurati che i sigilli di sicurezza non siano rotti.
- Rimuovere il vassoio dal cartone.
- Sbucciare il coperchio in plastica trasparente dall'angolo del vassoio.
- Tenendo il centro dell'autoiniettore preimpegnato (vicino alla finestra di ispezione) togliere attentamente l'autoiniettore preimpegnato dal vassoio.
- Posizionare l'autoiniettore precaricato su una superficie piana pulita a temperatura ambiente lontano dalla luce solare diretta e fuori dalla portata dei bambini.
- Non farlo Utilizzare l'autoiniettore prefetterato se il sigillo di sicurezza sul cartone è rotto. Contatta GSK per ulteriori informazioni al numero 1-888-825-5249.
- Non farlo Rimuovere il tappo ago trasparente in questo passaggio.
2. Ispeziona e attendi 30 minuti prima dell'uso
|
- Verificare che la data di scadenza sull'etichetta dell'autoiniettore preimpegnato non sia passata.
- Guarda il medicinale nella finestra di ispezione. Dovrebbe essere chiaro da giallo pallido a colore marrone chiaro e senza nuvolosità o particelle.
- È normale vedere 1 o più bolle d'aria.
- Attendere 30 minuti (e non più di 8 ore) prima dell'uso.
- Non farlo Utilizzare se la data di scadenza è passata.
- Non farlo Riscalda il tuo autoiniettore precaricato in acqua calda a microonde o luce solare diretta.
- Non farlo Utilizzare se il medicinale è nuvoloso o scolorito o ha particelle. Contatta GSK per ulteriori informazioni al numero 1-888-825-5249.
- Non farlo Usa l'autoiniettore preimpegnato se è stato lasciato fuori dal cartone per più di 8 ore.
3. Scegli il tuo sito di iniezione
|
- Puoi iniettare tra le cosce o l'addome.
- Se stai dando l'iniezione a qualcun altro come caregiver o operatore sanitario, puoi anche iniettare nella parte superiore del braccio.
- Se hai bisogno di più di 1 iniezione per completare la dose, lasciare almeno 2 pollici tra ciascun sito di iniezione.
- Non farlo Iniettare dove la pelle è contusa tenera rossa o dura.
- Non farlo Iniettare entro 2 pollici dal tuo ombelico.
4. Pulisci il tuo sito di iniezione
|
- Lavati le mani con sapone e acqua.
- Pulisci il tuo sito di iniezione pulendo la pelle con un tampone di alcol e consentendo alla pelle di asciugare l'aria.
- Non farlo Tocca nuovamente il tuo sito di iniezione pulito fino a quando non hai terminato l'iniezione.
Iniettare
5. Rimuovere il tappo ago trasparente
|
- Rimuovere il tappo ago trasparente dall'autoiniettore preimpegnato tirandolo via dalla protezione dell'ago giallo (come mostrato). Potrebbe essere necessaria un po 'di forza per rimuovere il tappo di ago chiaro.
- Potresti vedere una goccia di medicina alla fine dell'ago. Questo è normale.
- Assicurati di iniettare entro 5 minuti dopo aver rimosso il tappo di ago chiaro.
- Fare Non premere la protezione dell'ago giallo con le dita. Ciò potrebbe attivare troppo presto l'autoiniettore preimpegnato e causare un infortunio all'ago.
- Non farlo Rieporre il berretto ago trasparente sull'autoiniettore prefetterato. Ciò potrebbe accidentalmente iniziare l'iniezione.
6. Inizia l'iniezione
|
- Tenere l'autoiniettore preimpegnato con la sua finestra di ispezione rivolta a te.
- Posizionare l'autoiniettore precaricato dritto sul sito di iniezione con la protezione dell'ago giallo piatto sulla superficie della pelle come mostrato.
- Per iniziare l'iniezione, spingere il raggruppamento dell'autoiniettore fino in fondo e mantenere l'autoiniettore trattenuto contro la pelle. Questo farà scivolare la protezione dell'ago giallo nell'autoiniettore.
- Dovresti sentire il primo clic per farti sapere che l'iniezione è iniziata.
- L'indicatore giallo si sposterà attraverso la finestra di ispezione mentre ricevi la dose.
- Non farlo Sollevare l'autoiniettore in questo passaggio in quanto potrebbe comportare un'iniezione incompleta.
- Non farlo Utilizzare l'autoiniettore se la protezione dell'ago giallo non scivola nell'autoiniettore. Gettalo via in un contenitore tagliente FDACLEAREATO.
- Non farlo Prova a usare l'autoiniettore capovolto con la protezione dell'ago giallo rivolta verso l'alto contro il pollice.
7. Completa l'iniezione
|
- L'iniezione potrebbe richiedere fino a 15 secondi per essere completato.
- Continua a tenere giù l'autoiniettore fino a sentire il 2 nd Fare clic sul tappo del tappo ha smesso di muoversi e la finestra di ispezione è riempita con l'indicatore giallo.
- Dopo aver sentito il 2 ° clic, continuare a trattenere e conta a 5 prima di sollevare l'autoiniettore dalla pelle.
- Se non si sente il secondo clic:
- Verificare che la finestra di ispezione sia riempita con l'indicatore giallo o
- Tenere premuto l'autoiniettore per 15 secondi per assicurarti che l'iniezione sia completa.
- Potrebbe esserci una piccola goccia di sangue nel sito di iniezione. Questo è normale. Premi un batuffolo di cotone o una garza sull'area e applica una benda adesiva se ne hai bisogno.
- Non farlo Sollevare l'autoiniettore fino a quando non hai sentito il 2 nd Fare clic sulla finestra è stato riempito con l'indicatore giallo e hai contato fino a 5.
- Non farlo Strofina il tuo sito di iniezione.
- Non farlo Ripone il berretto ago trasparente sull'autoiniettore.
Smaltire
8. Getta via il tuo autoiniettore usato
|
Metti subito il tuo autoiniettore utilizzato e il tappo di ago trasparente in un contenitore di smaltimento tagliente per la FDA subito dopo l'uso.
Se non si dispone di un contenitore di smaltimento tagliente per la FDA, è possibile utilizzare un contenitore per la casa che è:
- realizzato in plastica pesante;
- in grado di chiudere con un coperchio resistente alla foratura aderente senza taglienti essere in grado di uscire;
- in posizione verticale e stabile durante l'uso;
- resistente alle perdite; E
- correttamente etichettato per avvertire i rifiuti pericolosi all'interno del contenitore.
Quando il contenitore di smaltimento di Sharps è quasi pieno, dovrai seguire le linee guida della tua comunità per il modo giusto per smaltirlo. Potrebbero esserci leggi statali o locali su come dovresti buttare via autoiniettori usati.
Per ulteriori informazioni sullo smaltimento di Sharps Safe e per informazioni specifiche sullo smaltimento di Sharps nello stato in cui vivi, visitare il sito Web della FDA all'indirizzo: www.fda.gov/safesharpsdisposil.
- Non farlo Getta via il tuo contenitore di smaltimento tagliente usato nella spazzatura domestica a meno che le linee guida della comunità non lo consentano.
- Non farlo Ricicla il contenitore di smaltimento tagliente usato.
Mantieni il contenitore di smaltimento di Sharps fuori dalla portata dei bambini.
Domande frequenti
1. Cosa succede se il medicinale sembra nuvoloso, la data di scadenza è passata o l'autoiniettore preimpegnato sembra danneggiato?
Contatta GSK per ulteriori informazioni al numero 1-888-825-5249.
2. Posso cambiare (ruotare) il sito di iniezione per l'autoiniettore preimpegnato?
Puoi cambiare (ruotare) il sito (addome della coscia o la parte superiore del braccio) o spostare l'autoiniettore fintanto che non hai iniziato a premere verso il basso. Quando viene premuta la protezione dell'ago giallo, l'iniezione inizierà subito.
3. Perché devo iniettare entro 5 minuti dalla rimozione del tappo ago chiaro?
Ciò impedisce alla medicina di asciugare nell'ago. Potrebbe influire su quanta medicina ottieni.
4. Cosa succede se rimuovo l'autoiniettore prima del 2 nd Fare clic sul tappo del tappo ha smesso di muoversi o la finestra di ispezione non è riempita con l'indicatore giallo?
In tal caso, potresti non aver ricevuto la tua dose completa. Contatta GSK per ulteriori informazioni al numero 1-888-825-5249.
5. Chi contatto se ho bisogno di aiuto con la mia iniezione?
Il tuo operatore sanitario sarà in grado di aiutarti con altre domande che potresti avere.
Istruzioni per l'uso
NUCALA
(Mepolizumab) Iniezione per uso sottocutaneo 100 mg/mL
Siringa preimpegnata
Informazioni importanti
NUCALA is a prescription medicine that is injected under the skin (subcutaneous) from a single-dose prefilled syringe. You E your caregiver should be trained on how to prepare E perform your injection before trying to do it yourself.
Le seguenti istruzioni forniscono le informazioni necessarie per utilizzare correttamente la siringa preimpegnata con la protezione automatica dell'ago.
Prima di iniziare l'iniezione è importante leggere e comprendere queste istruzioni e quindi seguirle attentamente in modo da completare ogni passaggio con successo.
Informazioni di archiviazione
- Conservare in frigorifero da 36 ° F a 46 ° F (da 2 ° C a 8 ° C).
- Tieniti nel cartone originale fino al momento di utilizzo per proteggere dalla luce.
- Non farlo congelare. Non farlo scuotere. Tenere lontano dal calore.
- Se necessario, un cartone non aperto può essere conservato al di fuori del frigorifero fino a 30 ° C (30 ° C) per un massimo di 7 giorni.
- Buttare via in modo sicuro la siringa preimpegnata se viene lasciata fuori dal frigorifero nel cartone non aperto per più di 7 giorni.
La siringa preimpegnata deve essere utilizzata entro 8 ore dopo averlo tolto dal cartone. Lancialo in sicurezza se non viene utilizzato entro 8 ore.
Buttare via in modo sicuro medicine che non è più obsoleta o non più necessaria.
Mantieni la Nucala e tutte le medicine fuori dalla portata dei bambini.
Avvertimenti
- Non farlo Utilizzare la siringa preimpegnata più di 1 volta. Getta via la siringa in un contenitore di smaltimento tagliente per la FDA dopo l'iniezione.
- Non farlo Condividi la siringa preimpegnata con altre persone. Puoi dare ad altre persone una grave infezione o potresti avere una grave infezione da loro.
- Non farlo Usa la siringa preimpegnata se è stata lasciata cadere o sembra danneggiata.
Conosci la tua siringa preimpegnata
|
Forniture in cartone
1 siringa preimpegnata
Forniture non in cartone
- Tampone alcolica
- Batuffolo o garza
- Bendaggio adesivo
- Contenitore di smaltimento di Sharps (vedi Passaggio 8 Lancia via la siringa usata alla fine di queste istruzioni per l'uso per le istruzioni di smaltimento adeguate.)
Preparare
1. Elimina la siringa predefinita
|
- Elimina il cartone dal frigorifero e assicurati che i sigilli di sicurezza non siano rotti.
- Rimuovere il vassoio dal cartone.
- Sbucciare il coperchio in plastica trasparente dall'angolo del vassoio.
- Tenendo il centro della siringa predefinita (vicino alla finestra di ispezione) togliere attentamente la siringa pre -riempita dal vassoio.
- Posizionare la siringa preimpegnata su una superficie piana pulita a temperatura ambiente lontano dalla luce solare diretta e fuori dalla portata dei bambini.
- Non farlo Utilizzare la siringa preimpegnata se il sigillo di sicurezza sul cartone è rotto. Contatta GSK per ulteriori informazioni al numero 1-888-825-5249.
- Non farlo Rimuovere il tappo dell'ago grigio in questo passaggio.
2. Ispeziona e attendi 30 minuti prima dell'uso
|
- Verificare che la data di scadenza sull'etichetta della siringa preimpegnata non sia passata.
- Guarda il medicinale nella finestra di ispezione. Dovrebbe essere chiaro da giallo pallido a colore marrone chiaro e senza nuvolosità o particelle.
- È normale vedere 1 o più bolle d'aria.
- Attendere 30 minuti (e non più di 8 ore) prima dell'uso.
- Non farlo Utilizzare se la data di scadenza è passata.
- Non farlo Riscalda la siringa pre -piegata in un microonde acqua calda o in luce solare diretta.
- Non farlo Utilizzare se il medicinale è nuvoloso o scolorito o ha particelle. Contatta GSK per ulteriori informazioni al numero 1-888-825- 5249.
- Non farlo Usa la siringa preimpegnata se è stata lasciata fuori dal cartone per più di 8 ore.
3. Scegli il tuo sito di iniezione
|
- Puoi iniettare tra le cosce o l'addome.
- Se stai dando l'iniezione a qualcun altro come caregiver o operatore sanitario, puoi anche iniettare nella parte superiore del braccio.
- Se hai bisogno di più di 1 iniezione per completare la dose, lasciare almeno 2 pollici tra ciascun sito di iniezione.
- Non farlo Iniettare dove la pelle è contusa tenera rossa o dura.
- Non farlo Iniettare entro 2 pollici dal tuo ombelico.
4. Pulisci il tuo sito di iniezione
|
- Lavati le mani con sapone e acqua.
- Pulisci il tuo sito di iniezione pulendo la pelle con un tampone di alcol e consentendo alla pelle di asciugare l'aria.
- Non farlo Tocca nuovamente il tuo sito di iniezione pulito fino a quando non hai terminato l'iniezione.
Iniettare
5. Rimuovere il cappuccio dell'ago grigio
|
- Rimuovere il cappuccio dell'ago grigio dalla siringa pre -riempimento estraendolo dall'ago (come mostrato). Potrebbe essere necessaria una certa forza per rimuovere il cappuccio dell'ago grigio.
- Potresti vedere una goccia di medicina alla fine dell'ago. Questo è normale.
- Assicurati di iniettare entro 5 minuti dopo aver rimosso il cappuccio dell'ago grigio.
- Non farlo Lascia che l'ago tocchi qualsiasi superficie.
- Non farlo Tocca l'ago.
- Non farlo Tocca lo stantuffo bianco in questo passaggio. Questo potrebbe accidentalmente spingere la medicina e non otterrai la tua dose completa.
- Non farlo Prova a rimuovere eventuali bolle d'aria dalla siringa pre -piegata.
- Non farlo Rimetti il cappuccio dell'ago grigio sulla siringa prefettita. Ciò potrebbe causare un infortunio a aghi.
6. Inizia l'iniezione
|
- Usa la mano libera per pizzicare la pelle attorno al sito di iniezione. Continua a pizzicare la pelle durante l'iniezione.
- Inserire l'intero ago nella pelle pizzicata con un angolo di 45 ° come mostrato.
- Sposta il pollice allo stantuffo bianco e usa le altre dita per trattenere la presa del dito bianco.
- Spingi lentamente verso il basso sullo stantuffo bianco per iniettare la tua dose completa.
7. Completa l'iniezione
|
- Assicurati che lo stantuffo bianco venga spinto fino in fondo fino a quando il tappo non raggiunge il fondo della siringa e che tutta la medicina sia iniettata.
- Solleva lentamente il pollice. Ciò consentirà allo stantuffo bianco di emergere e l'ago si ritrae automaticamente (tira su) nel corpo della siringa.
- Dopo l'iniezione è completa rilasciare la pelle pizzicata.
- Potrebbe esserci una piccola goccia di sangue nel sito di iniezione. Questo è normale. Premi un batuffolo di cotone o una garza sull'area e applica una benda adesiva se ne hai bisogno.
- Non farlo Strofina il tuo sito di iniezione.
- Non farlo Metti il cappuccio dell'ago grigio sulla siringa.
Smaltire
8. Getta via la siringa usata
|
Se non si dispone di un contenitore di smaltimento tagliente per la FDA, è possibile utilizzare un contenitore per la casa che è:
- realizzato in plastica pesante;
- in grado di chiudere con un coperchio resistente alla foratura aderente senza taglienti essere in grado di uscire;
- in posizione verticale e stabile durante l'uso;
- resistente alle perdite; E
- correttamente etichettato per avvertire i rifiuti pericolosi all'interno del contenitore.
Quando il contenitore di smaltimento di Sharps è quasi pieno, dovrai seguire le linee guida della tua comunità per il modo giusto per smaltirlo. Potrebbero esserci leggi statali o locali su come dovresti buttare via siringhe usate.
Per ulteriori informazioni sullo smaltimento di Sharps Safe e per informazioni specifiche sullo smaltimento di Sharps nello stato in cui vivi, visitare il sito Web della FDA all'indirizzo: www.fda.gov/safesharpsdisposil.
- Non farlo Getta via il tuo contenitore di smaltimento tagliente usato nella spazzatura domestica a meno che le linee guida della comunità non lo consentano.
- Non farlo Ricicla il contenitore di smaltimento tagliente usato.
Mantieni il contenitore di smaltimento di Sharps fuori dalla portata dei bambini.
Domande frequenti
1. Cosa succede se il medicinale sembra nuvoloso che la data di scadenza è passata o la siringa preimpegnata sembra danneggiata?
Contatta GSK per ulteriori informazioni al numero 1-888-825-5249.
2. Posso cambiare (ruotare) il sito di iniezione per la siringa preimpegnata?
Puoi cambiare (ruotare) il sito (addome della coscia o la parte superiore del braccio) purché non abbia iniziato a iniettare la medicina.
3. Perché devo iniettare entro 5 minuti dalla rimozione del cappuccio dell'ago grigio?
Ciò impedisce alla medicina di asciugare nell'ago. Potrebbe influire su quanta medicina ottieni.
4. Cosa succede se l'ago non si ritira (tira su) nella protezione dell'ago?
Immediatamente e mettere con cura la siringa e il cappuccio dell'ago nel contenitore di smaltimento dei taglieri per la FDA e contattare GSK per ulteriori informazioni al numero 1-888-825-5249.
5. Chi contatto se ho bisogno di aiuto con la mia iniezione?
Il tuo operatore sanitario sarà in grado di aiutarti con altre domande che potresti avere.
Istruzioni per l'uso
NUCALA
(Mepolizumab) Iniezione per uso sottocutaneo 40 mg/0.4 mL
Siringa preimpegnata
Informazioni importanti
NUCALA is a prescription medicine that is injected under the skin (subcutaneous) from a single-dose prefilled syringe. You should be trained on how to prepare E perform the injection before trying to do it yourself.
modo più economico per ottenere una camera d'albergo
Le seguenti istruzioni forniscono le informazioni necessarie per utilizzare correttamente la siringa preimpegnata con la protezione automatica dell'ago.
Prima di iniziare l'iniezione è importante leggere e comprendere queste istruzioni e quindi seguirle attentamente in modo da completare ogni passaggio con successo.
Informazioni di archiviazione
- Conservare in frigorifero da 36 ° F a 46 ° F (da 2 ° C a 8 ° C).
- Tieniti nel cartone originale fino al momento di utilizzo per proteggere dalla luce.
- Non farlo congelare. Non farlo scuotere. Tenere lontano dal calore.
- Se necessario, un cartone non aperto può essere conservato al di fuori del frigorifero fino a 30 ° C (30 ° C) per un massimo di 7 giorni.
- Buttare via in modo sicuro la siringa preimpegnata se viene lasciata fuori dal frigorifero nel cartone non aperto per più di 7 giorni.
La siringa preimpegnata deve essere utilizzata entro 8 ore dopo averlo tolto dal cartone. Lancialo in sicurezza se non viene utilizzato entro 8 ore.
Buttare via in modo sicuro medicine che non è più obsoleta o non più necessaria.
Mantieni la Nucala e tutte le medicine fuori dalla portata dei bambini.
Avvertimenti
- Non farlo Utilizzare la siringa preimpegnata più di 1 volta. Getta via la siringa in un contenitore di smaltimento tagliente per la FDA dopo l'iniezione.
- Non farlo Condividi la siringa preimpegnata con altre persone. Puoi dare ad altre persone una grave infezione o potresti avere una grave infezione da loro.
- Non farlo Usa la siringa preimpegnata se è stata lasciata cadere o sembra danneggiata.
Conoscere la siringa preimpegnata
|
Forniture in cartone
1 siringa preimpegnata
Forniture non in cartone
- Tampone alcolica
- Batuffolo o garza
- Bendaggio adesivo
- Contenitore di smaltimento di Sharps (vedere il passaggio 8 getta via la siringa usata alla fine di queste istruzioni per l'uso per le istruzioni di smaltimento adeguate.)
Preparare
1. Elimina la siringa predefinita
|
- Elimina il cartone dal frigorifero e assicurati che i sigilli di sicurezza non siano rotti.
- Rimuovere il vassoio dal cartone.
- Sbucciare il coperchio in plastica trasparente dall'angolo del vassoio.
- Tenendo il centro della siringa predefinita (vicino alla finestra di ispezione) togliere attentamente la siringa pre -riempita dal vassoio.
- Posizionare la siringa preimpegnata su una superficie piana pulita a temperatura ambiente lontano dalla luce solare diretta e fuori dalla portata dei bambini.
- Non farlo Utilizzare la siringa preimpegnata se il sigillo di sicurezza sul cartone è rotto. Contatta GSK per ulteriori informazioni al numero 1-888-825-5249.
- Non farlo Rimuovere il tappo dell'ago grigio in questo passaggio.
2. Ispeziona e attendi 30 minuti prima dell'uso
|
- Verificare che la data di scadenza sull'etichetta della siringa preimpegnata non sia passata.
- Guarda il medicinale nella finestra di ispezione. Dovrebbe essere chiaro da giallo pallido a di colore marrone chiaro e senza
- nuvolosità o particelle.
- È normale vedere 1 o più bolle d'aria.
- Attendere 30 minuti (e non più di 8 ore) prima dell'uso.
- Non farlo Utilizzare se la data di scadenza è passata.
- Non farlo Riscalda la siringa pre -piegata in un microonde acqua calda o in luce solare diretta.
- Non farlo Utilizzare se il medicinale è nuvoloso o scolorito o ha particelle. Contatta GSK per ulteriori informazioni al numero 1-888-825-5249.
- Non farlo Usa la siringa preimpegnata se è stata lasciata fuori dal cartone per più di 8 ore.
3. Scegli il sito di iniezione
|
- Puoi iniettare tra le cosce addome o la parte superiore del braccio.
- Non farlo Iniettare dove la pelle è contusa tenera rossa o dura.
- Non farlo Iniettare entro 2 pollici dal pulsante dell'ombelico.
4. Pulisci il sito di iniezione
|
- Lavati le mani con sapone e acqua.
- Pulisci il sito di iniezione pulendo la pelle con un tampone di alcol e consentendo alla pelle di asciugare l'aria.
- Non farlo Tocca nuovamente il sito di iniezione pulito fino a quando non hai terminato l'iniezione.
Iniettare
5. Rimuovere il cappuccio dell'ago grigio
|
- Rimuovere il cappuccio dell'ago grigio dalla siringa pre -riempimento estraendolo dall'ago (come mostrato). Potrebbe essere necessaria una certa forza per rimuovere il cappuccio dell'ago grigio.
- Potresti vedere una goccia di medicina alla fine dell'ago. Questo è normale.
- Assicurati di iniettare entro 5 minuti dopo aver rimosso il cappuccio dell'ago grigio.
- Non farlo Lascia che l'ago tocchi qualsiasi superficie.
- Non farlo Tocca l'ago.
- Non farlo Tocca lo stantuffo bianco in questo passaggio. Ciò potrebbe accidentalmente far uscire la medicina e la dose completa non verrà fornita.
- Non farlo Prova a rimuovere eventuali bolle d'aria dalla siringa pre -piegata.
- Non farlo Rimetti il cappuccio dell'ago grigio sulla siringa prefettita. Ciò potrebbe causare un infortunio a aghi.
6. Avviare l'iniezione
|
- Usa la mano libera per pizzicare la pelle attorno al sito di iniezione. Continua a pizzicare la pelle per tutta l'iniezione.
- Inserire l'intero ago nella pelle pizzicata con un angolo di 45 ° come mostrato.
- Sposta il pollice allo stantuffo bianco e usa le altre dita per trattenere la presa del dito bianco.
- Spingi lentamente verso il basso sullo stantuffo bianco per iniettare la dose completa.
7. Completa l'iniezione
|
- Assicurati che lo stantuffo bianco sia spinto fino in fondo fino a quando il tappo non raggiunge il fondo della siringa e che tutta la medicina sia iniettata.
- Solleva lentamente il pollice. Ciò consentirà allo stantuffo bianco di emergere e l'ago si ritrae automaticamente (tira su) nel corpo della siringa.
- Dopo l'iniezione è completa rilasciare la pelle pizzicata.
- Potrebbe esserci una piccola goccia di sangue nel sito di iniezione. Questo è normale. Premi un batuffolo di cotone o una garza sull'area e applica una benda adesiva se ne hai bisogno.
- Non farlo strofinare il sito di iniezione.
- Non farlo Metti il cappuccio dell'ago grigio sulla siringa.
Smaltire
8. Getta via la siringa usata
|
Metti subito dopo l'uso la siringa usata e il cappuccio per ago grigio in un contenitore di smaltimento di FDA-pulitedsharps dopo l'uso.
Se non si dispone di un contenitore di smaltimento tagliente per la FDA, è possibile utilizzare un contenitore per la casa che è:
- realizzato in plastica pesante;
- in grado di chiudere con un coperchio resistente alla foratura aderente senza taglienti essere in grado di uscire;
- in posizione verticale e stabile durante l'uso;
- resistente alle perdite; E
- correttamente etichettato per avvertire i rifiuti pericolosi all'interno del contenitore.
Quando il contenitore di smaltimento di Sharps è quasi pieno, dovrai seguire le linee guida della tua comunità per il modo giusto per smaltirlo. Potrebbero esserci leggi statali o locali su come dovresti buttare via siringhe usate.
Per ulteriori informazioni sullo smaltimento di Sharps Safe e per informazioni specifiche sullo smaltimento di Sharps nello stato in cui vivi, visitare il sito Web della FDA all'indirizzo: www.fda.gov/safesharpsdisposil.
- Non farlo Getta via il contenitore di smaltimento di Sharps usato nella spazzatura domestica a meno che le linee guida della comunità non lo consentano.
- Non farlo Ricicla il contenitore di smaltimento tagliente usato.
Mantieni il contenitore di smaltimento di Sharps fuori dalla portata dei bambini.
Domande frequenti
1. Cosa succede se il medicinale sembra nuvoloso che la data di scadenza è passata o la siringa preimpegnata sembra danneggiata?
Contatta GSK per ulteriori informazioni al numero 1-888-825-5249.
2. Posso cambiare (ruotare) il sito di iniezione per la siringa preimpegnata?
Puoi cambiare (ruotare) il sito (addome della coscia o la parte superiore del braccio) purché non abbia iniziato a iniettare la medicina.
3. Perché devo iniettare entro 5 minuti dalla rimozione del cappuccio dell'ago grigio?
Ciò impedisce alla medicina di asciugare nell'ago. Potrebbe influire su quanta medicina ottieni.
4. Cosa succede se l'ago non si ritira (tira su) nella protezione dell'ago?
Immediatamente e mettere con cura la siringa e il cappuccio dell'ago nel contenitore di smaltimento dei taglieri per la FDA e contattare GSK per ulteriori informazioni al numero 1-888-825-5249.
5. Chi contatto se ho bisogno di aiuto con l'iniezione?
Il medico sarà in grado di aiutarti con altre domande che potresti avere.
Queste istruzioni per l'uso sono state approvate dalla Food and Drug Administration degli Stati Uniti.