Le Informazioni Presenti Sul Sito Non Costituiscono Consulenza Medica. Non Vendiamo Nulla. L'Accuratezza Della Traduzione Non È Garantita. Disclaimer
Medicamenti
Lixtraxen
Riepilogo della droga
Cos'è Lixtraxen?
Lixtraxen 1% (soluzione di lidocaina cloridrato e iniezione di epinefrina) è una combinazione di un anestetico locale e un agente simpatomimetico (adrenergico) usato per produrre anestesia locale o regionale come tecniche di infiltrazione come le tecniche di infiltrazione centrale blocchi epidurali.
Quali sono gli effetti collaterali di Lixtraxen?
Gli effetti collaterali di lixtraxen sono rari e in genere a breve termine e includono:
- Dolore addominale
- Accendino
- nervosismo
- apprensione
- euforia
- confusione
- vertigini
- sonnolenza
- Ringing nelle orecchie (acufene)
- Visione offuscata o doppia
- vomito
- sensazioni di calore freddo o intorpidimento
- contrazione
- tremori
- convulsioni
- incoscienza
- depressione respiratoria e arresto
- sonnolenza
- Frequenza cardiaca lenta
- bassa pressione sanguigna (ipotensione)
- collasso cardiovascolare
- Reazioni allergiche (alveari gonfiore o anafilassi)
- mal di testa
- mal di schiena
- rabbrividire e
- nausea
Cerca cure mediche o chiama il 911 contemporaneamente se hai i seguenti gravi effetti collaterali:
- Sintomi di occhiali gravi come la perdita di visione improvvisa del tunnel della visione sfocata Dolore alla visione o gonfiore o vedere aloni attorno alle luci;
- Sintomi cardiaci gravi come battiti cardiaci irregolari o martellanti veloci; svolazzando nel petto; fiato corto; e improvviso vertigini giuria o svenuta;
- Grave mal di testa confusione Il braccio del linguaggio bloccato o la debolezza delle gambe problemi perdite perdita di coordinamento sentendoti instabili muscoli molto rigidi ad alta febbre abbondante sudorazione o tremori.
Questo documento non contiene tutti i possibili effetti collaterali e altri possono verificarsi. Verificare con il tuo medico ulteriori informazioni sugli effetti collaterali.
Dosaggio per lixtraxen
La dose di lixtraxen dipende dalla procedura. I volumi e le concentrazioni effettivi da utilizzare dipendono da una serie di fattori come il tipo e l'estensione della procedura chirurgica profondità di anestesia e il grado di rilassamento muscolare richiesto dalla durata dell'anestesia richiesti e dalle condizioni fisiche del paziente.
Lixtraxen nei bambini
I dosaggi di lixtraxen nei bambini dovrebbero essere ridotti commisurati al peso corporeo e alle condizioni fisiche.
Quali sostanze o integratori di farmaci interagiscono con lixtraxen?
Lixtraxen può interagire con altri medicinali come:
- Inibitori della monoamina ossidasi (MAOIS)
- Antidepressivi triciclici
- Fenotiazine
- butirofenoni
- droghe vasopressori e
- e farmaci ossitocici di tipo Ergot
Dì al medico tutti i farmaci e gli integratori che usi.
Lixtraxen durante la gravidanza e l'allattamento
Di 'al medico se sei incinta o hai intenzione di rimanere incinta prima di usare lixtraxen; Non è noto come influirebbe su un feto. Non è noto se Lixtraxen passa nel latte materno. Consulta il medico prima dell'allattamento al seno.
Ulteriori informazioni
Il nostro centro farmacologico Lixtraxen 1% (lidocaina cloridrato e di iniezione di epinefrina) fornisce una visione completa delle informazioni disponibili sui farmaci sui potenziali effetti collaterali durante l'assunzione di questo farmaco.
Questo non è un elenco completo di effetti collaterali e altri possono verificarsi. Chiama il medico per consigli medici sugli effetti collaterali. È possibile segnalare gli effetti collaterali alla FDA al numero 1-800-FDA-1088.
Informazioni sui farmaci FDA
- Descrizione del farmaco
- Indicazioni
- Effetti collaterali
- Avvertimenti
- Precauzioni
- Overdose
- Farmacologia clinica
- Guida ai farmaci
Descrizione per lixtraxen
La lidocaina cloridrato e l'iniezione di epinefrina USP sono una soluzione sterile non popolare di lidocaina cloridrato e epinefrina in acqua per iniezione per somministrazione parenterale in varie concentrazioni con caratteristiche come segue:
| Concentrazione Lidocaina HCl | Epinefrina | Lidocaina HCl (Anhyd.) MG/ML | Epinefrina mcg/mL | Cloruro di sodio mg/ml |
| 0,5% | 1: 200.000 | 5 | 5 | 8 |
| 1% | 1: 200.000 | 10 | 5 | 7 |
| 1,5% | 1: 200.000 | 15 | 5 | 6.5 |
| 2% | 1: 200.000 | 20 | 5 | 6 |
| 1% | 1: 100000 | 10 | 10 | 7 |
| 2% | 1: 100000 | 20 | 10 | 6 |
Metabisolfito di sodio 0,5 mg/mL e acido citrico anidro 0,2 mg/ml Aggiunti come stabilizzatori. Lo spazio di testa degli elenchi 1209 3177 3178 3181 3182 e 3183 sono gassati azotati. Può contenere idrossido di sodio e/o acido cloridrico per regolare il pH; Il pH è 4,5 (da 3,3 a 5,5). Vedere Come fornito sezione per varie dimensioni e punti di forza.
Le fiale a dose multipla contengono metilparaben 1 mg/ml aggiunte come conservante.
Le ampuls e le fiale monodose non contengono batteriostat o agente antimicrobico. Scartare la parte inutilizzata.
La lidocaina è un anestetico locale del tipo ammide.
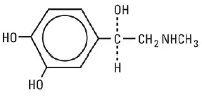
Lidocaina cloridrato USP è designato chimicamente 2- (dietil-amino) -2'6'-acetoxilidurico monoidrocloruro monoidrato monoidrato una polvere bianca liberamente solubile in acqua. Ha la seguente formula strutturale:
|
Epinefrina USP is a sympathomimetic (adrenergic) agent designated chemically as 4-[1-hydroxy-2 (methylamino) ethyl]-12 benzenediol a white microcrystalline powder. It has the following structural formula:
|
Usi per lixtraxen
Lidocaine Hydrochloride and Epinephrine Injection USP is indicated for production of local or regional anesthesia by infiltration techniques such as percutaneous injection by peripheral nerve block techniques such as brachial plexus and intercostal and by central neural techniques such as lumbar and caudal epidural blocks when the accepted procedures for these techniques as described in standard textbooks are observed.
Dosaggio per lixtraxen
La tabella 1 (dosaggi raccomandati) riassume i volumi e le concentrazioni raccomandate di iniezione di lidocaina cloridrato USP per vari tipi di procedure anestetiche. I dosaggi suggeriti in questa tabella sono per gli adulti sani normali e si riferiscono all'uso di soluzioni prive di epinefrina. Quando sono richiesti volumi più grandi, devono essere utilizzate solo soluzioni contenenti epinefrina se non nei casi in cui i farmaci vasopressori possono essere controindicati.
Ci sono stati segnalazioni avverse di eventi di condrolisi nei pazienti che hanno ricevuto infusioni intra-articolari di anestetici locali a seguito di procedure artroscopiche e di altre procedure chirurgiche. La lidocaina non è approvata per questo uso (vedi Avvertimenti E Dosaggio e amministrazione ).
Queste dosi raccomandate servono solo come guida alla quantità di anestetico richiesto per la maggior parte delle procedure di routine. I volumi e le concentrazioni effettivi da utilizzare dipendono da una serie di fattori come il tipo e l'estensione della procedura chirurgica profondità di anestesia e il grado di rilassamento muscolare richiesto dalla durata dell'anestesia richiesti e dalle condizioni fisiche del paziente. In tutti i casi dovrebbero essere fornite la concentrazione più bassa e la dose più piccola che produrrà il risultato desiderato. I dosaggi dovrebbero essere ridotti per i bambini e per i pazienti anziani e debilitati e pazienti con malattia cardiaca e/o epatica.
L'inizio dell'anestesia La durata dell'anestesia e il grado di rilassamento muscolare sono proporzionali al volume e alla concentrazione (cioè dose totale) dell'anestetico locale utilizzato. Pertanto, un aumento del volume e della concentrazione dell'iniezione di lidocaina cloridrato USP diminuirà l'insorgenza dell'anestesia prolungare la durata dell'anestesia fornirà un maggiore grado di rilassamento muscolare e aumenterà la diffusione segmentaria dell'anestesia. Tuttavia, aumentare il volume e la concentrazione dell'iniezione di lidocaina cloridrato USP può comportare una caduta più profonda della pressione sanguigna se utilizzata nell'anestesia epidurale. Sebbene l'incidenza degli effetti collaterali con la lidocaina HCL sia piuttosto bassa cautela quando si utilizzano grandi volumi e concentrazioni poiché l'incidenza degli effetti collaterali è direttamente proporzionale alla dose totale di agente anestetico locale iniettato.
Anestesia epidurale
Per una dose di test epidurale solo quanto segue disponibile Si raccomanda un prodotto specifico di lidocaina cloridrato e iniezione di epinefrina:
1,5% with epinephrine 1: 200.000 - 5 mL single-dose ampuls
Per l'anestesia epidurale solo quanto segue disponibile Sono raccomandati prodotti specifici di lidocaina cloridrato e iniezione di epinefrina:
1% with epinephrine 1: 200.000 - 30 ml single-dose vials
1,5% with epinephrine 1: 200.000 - 30 ml single-dose vials
2% with epinephrine 1: 200.000 - 20 ml single-dose vials
Sebbene queste soluzioni siano destinate specificamente all'anestesia epidurale, possono anche essere utilizzate per l'infiltrazione e il blocco nervoso periferico a condizione che siano impiegati come unità monodose. Queste soluzioni non contengono un agente batteriostatico.
Nell'anestesia epidurale il dosaggio varia con il numero di dermatomi da anestetizzato (generalmente da 2 a 3 ml di concentrazione indicata per dermatoma).
Blocco epidurale caudale e lombare
Come precauzione contro l'esperienza avversa a volte osservata in seguito alla penetrazione involontaria dello spazio subaracnoideo, una dose di prova da 2 a 3 ml di lidocaina HCL dell'1,5% deve essere somministrata almeno 5 minuti prima di iniettare il volume totale richiesto per un blocco epidurale lombare o caudale. La dose di test deve essere ripetuta se il paziente viene spostato in un modo che potrebbe aver spostato il catetere. L'epinefrina se contenuta nella dose di test (sono stati suggeriti da 10 a 15 mcg) può servire da avvertimento di iniezione intravascolare involontaria. Se iniettata in un vaso sanguigno, è probabile che questa quantità di epinefrina produca una risposta di epinefrina transitoria entro 45 secondi costituiti da un aumento della frequenza cardiaca e delle palpitazioni del palorico della pressione arteriosa sistolica e del nervosismo nel paziente non corretto. Il paziente sedato può presentare solo un aumento della velocità di impulso di 20 o più battiti al minuto per 15 o più secondi. I pazienti con beta -bloccanti potrebbero non manifestare cambiamenti nella frequenza cardiaca, ma il monitoraggio della pressione arteriosa può rilevare un aumento evanescente della pressione arteriosa sistolica. Dovrebbe essere concesso un tempo adeguato per l'inizio dell'anestesia dopo la somministrazione di ciascuna dose di test. Dovrebbe essere evitata la rapida iniezione di un grande volume di lidocaina cloridrato e iniezione di epinefrina attraverso il catetere e quando devono essere somministrate dosi frazionarie fattibili.
In caso di iniezione nota di un grande volume di soluzione anestetica locale nello spazio subaracnoideo dopo una rianimazione adeguata e se il catetere è in atto considera di tentare il recupero del farmaco drenando una moderata quantità di liquido cerebrospinale (come 10 ml) attraverso il catetere epidurale.
Dosaggi massimi consigliati
Adulti
Per gli adulti sani normali l'individuo dose massima raccomandata di lidocaina cloridrato e iniezione di epinefrina USP non devono superare i 7 mg/kg (NULL,5 mg/lb) di peso corporeo e in generale si raccomanda che la dose totale massima non supera i 500 mg. Se utilizzato senza epinefrina, la dose individuale massima non deve superare 4,5 mg/kg (2 mg/lb) di peso corporeo e in generale si raccomanda che la dose totale massima non superi i 300 mg. Per l'anestesia epidurale o caudale continua, il dosaggio massimo raccomandato non deve essere somministrato a intervalli inferiori a 90 minuti. Quando per procedure non ostetriche non può essere somministrato, quando viene utilizzato l'anestesia lombare lombare o caudale continuo per procedure non ostetriche, è possibile somministrare più farmaci se richiesto per produrre un'anestesia adeguata.
La dose massima raccomandata per periodo di 90 minuti di lidocaina cloridrato per il blocco paracervicale in pazienti ostetrici e pazienti non ostrici è di 200 mg in totale. La metà della dose totale viene generalmente somministrata su ciascun lato. Iniettare lentamente cinque minuti tra i lati (vedi anche la discussione del blocco parattericamente PRECAUZIONI ).
Bambini
È difficile raccomandare una dose massima di qualsiasi farmaco per i bambini poiché questo varia in funzione dell'età e del peso. Per i bambini di età superiore ai 3 anni che hanno una normale massa magra e uno sviluppo del corpo normale, la dose massima è determinata dall'età e dal peso del bambino. Ad esempio in un figlio di 5 anni di pesatura di 50 libbre. La dose di lidocaina HCl non deve superare i 75 e i 100 mg (da 1,5 a 2 mg/lb). L'uso di soluzioni ancora più diluite (ovvero da 0,25 allo 0,5%) e dosaggi totali non sono raccomandati 3 mg/kg (NULL,4 mg/lb) per l'induzione dell'anestesia regionale endovenosa nei bambini.
Al fine di proteggersi dalla tossicità sistemica, la concentrazione efficace più bassa e la dose efficace più bassa dovrebbero essere utilizzate in ogni momento. In alcuni casi sarà necessario diluire le concentrazioni disponibili con iniezione di cloruro di sodio allo 0,9% per ottenere la concentrazione finale richiesta.
Solo per uso epidurale
Nota
I prodotti farmaceutici parentali devono essere ispezionati visivamente per il particolato e lo scolorimento prima della somministrazione ogni volta che la soluzione e il contenitore autorizzano. Non usare l'iniezione se il suo colore è rosata o più scuro di leggermente giallo o se contiene un precipitato.
Tabella 1 Dosaggi consigliati
| Procedura | Iniezione di lidocaina cloridrato USP (senza epinefrina) | ||
| Conc. (%) | Vol. (ML) | Dose totale (mg) | |
| Infiltrazione | |||
| 0,5 o 1 | 1 a 60 | Da 5 a 300 | |
| 0.5 | Da 10 a 60 | Da 50 a 300 | |
| Blocchi nervosi periferici ad es. | |||
| 1.5 | Da 15 a 20 | 225 a 300 | |
| 2 | 1 a 5 | 20 a 100 | |
| 1 | 3 | 30 | |
| 1 | Da 3 a 5 | 30 a 50 | |
| 1 | 10 | 100 | |
| Analgesia ostetrica paracervicale (ogni lato) | 1 | 10 | 100 |
| Blocchi nervosi simpatici, ad es. | |||
| 1 | 5 | 50 | |
| 1 | 5 a 10 | 50 a 100 | |
| Blocchi neurali centrali | 1 | 20-30 | |
| Epidurale* | 1 | ||
| 1.5 | 25-30 | 200 a 300 | |
| 2 | Da 15 a 20 | ||
| 1 | Da 10 a 15 | 250 a 300 | |
| 1.5 | 20-30 | 225 a 300 | |
| Da 15 a 20 | 200 a 300 | ||
| 200 a 300 | |||
| 225 a 300 | |||
| *Dose determinata dal numero di dermatomi da anestetizzato (da 2 a 3 ml/dermatome). |
Le concentrazioni e i volumi sopra suggeriti servono solo come guida. Altri volumi e concentrazioni possono essere utilizzati a condizione che la dose totale consigliata massima non venga superata.
Stoccaggio di sterilizzazione e produzioni tecniche
Gli agenti disinfettanti contenenti metalli pesanti che causano il rilascio di rispettivi ioni (rame di zinco di mercurio ecc.) Non devono essere utilizzati per la disinfezione della pelle o della mucosa in quanto sono stati correlati agli incidenti di gonfiore ed edema. Quando si desidera la disinfezione chimica di fiale multi-dosi, si raccomanda alcol isopropilico (91%) o alcol etilico (70%). Molti marchi disponibili in commercio di alcol di sfregamento e soluzioni di alcol etilico non di grado USP contengono denaturanti che sono dannose per la gomma e quindi non devono essere utilizzate. Si raccomanda di eseguire la disinfezione chimica pulendo accuratamente il tappo della fiala o l'ampul con cotone o garza che è stato inumidito con l'alcool raccomandato appena prima dell'uso.
Non autoclave.
Come fornito
Lidocaina cloridrato e iniezione di epinefrina USP viene fornito in contenitori a dosi multiple, come mostrato di seguito:
| NDC No. | Contenitore | Misurare | Qty (in NOS) | Concentrazione del farmaco | |
| Lidocaina HCl | Epinefrina | ||||
| Dose multipla | |||||
| 70529-100-01 | Fliptop Fial | 20 ml | 1 | 1% | 1: 100000 |
| 70529-100-03 | Fliptop Fial | 20 ml | 2 | 1% | 1: 100000 |
| 70529-100-05 | Fliptop Fial | 20 ml | 3 | 1% | 1: 100000 |
| 70529-100-11 | Fliptop Fial | 30 ml | 1 | 1% | 1: 100000 |
| 70529-100-13 | Fliptop Fial | 30 ml | 2 | 1% | 1: 100000 |
| 70529-100-15 | Fliptop Fial | 30 ml | 3 | 1% | 1: 100000 |
Magazzinaggio
Conservare in un luogo fresco a secco a 25 ° C (77 ° F). Escursioni consentite a 15-30 ° C (59-86 ° F). Vedi a temperatura ambiente controllata da USP.
Sistema di iniezione Lixtraxen 1%
Contenuto (NDC 70529-100-01)
1 - 20 ml 1% di lidocaina con EPI (10 mg/ ml - 1: 100000)
1-Siringa 3cc con calibro 18-22 1-1 1/2 in ago (disegno)
Siringa 1-5cc w/ 18-22 calibro 1-1 1/2 in ago (disegno)
Siringa 1-10cc W/ 18-22 calibro 1-1 1/2 in ago (disegno)
1 - 25 calibro 1-1 1/2 in ago (amministrare)
1 - 22 calibro 3 in ago spinale (somministring)
1 - 22 calibro 6 in ago spinale (somministrato)
1 - 3x3 garza spugna quadrata sterile
Contenuto (NDC 70529-100-03)
2 - 20 ml 1% di lidocaina con EPI (10 mg/ ml - 1: 100000)
1-Siringa 3cc con calibro 18-22 1-1 1/2 in ago (disegno)
Siringa 1-5cc w/ 18-22 calibro 1-1 1/2 in ago (disegno)
Siringa 1-10cc W/ 18-22 calibro 1-1 1/2 in ago (disegno)
1 - 25 calibro 1-1 1/2 in ago (amministrare)
1 - 22 calibro 3 in ago spinale (somministring)
1 - 22 calibro 6 in ago spinale (somministrato)
1 - 3x3 garza spugna quadrata sterile
Contenuto (NDC 70529-100-05)
3 - 20 ml 1% di lidocaina con EPI (10 mg/ ml - 1: 100000)
1-Siringa 3cc con calibro 18-22 1-1 1/2 in ago (disegno)
Siringa 1-5cc w/ 18-22 calibro 1-1 1/2 in ago (disegno)
Siringa 1-10cc W/ 18-22 calibro 1-1 1/2 in ago (disegno)
1 - 25 calibro 1-1 1/2 in ago (amministrare)
1 - 22 calibro 3 in ago spinale (somministring)
1 - 22 calibro 6 in ago spinale (somministrato)
1 - 3x3 garza spugna quadrata sterile
Contenuto (NDC 70529-100-11)
1 - 30 ml 1% di lidocaina con EPI (10 mg/ ml - 1: 100000
1-Siringa 3cc con calibro 18-22 1-1 1/2 in ago (disegno)
Siringa 1-5cc w/ 18-22 calibro 1-1 1/2 in ago (disegno)
Siringa 1-10cc W/ 18-22 calibro 1-1 1/2 in ago (disegno)
1 - 25 calibro 1-1 1/2 in ago (amministrare)
1 - 22 calibro 3 in ago spinale (somministring)
1 - 22 calibro 6 in ago spinale (somministrato)
1 - 3x3 garza spugna quadrata sterile
Contenuto (NDC 70529-100-13)
2 - 30 ml 1% di lidocaina con EPI (10 mg/ ml - 1: 100000)
1-Siringa 3cc con calibro 18-22 1-1 1/2 in ago (disegno)
Siringa 1-5cc w/ 18-22 calibro 1-1 1/2 in ago (disegno)
Siringa 1-10cc W/ 18-22 calibro 1-1 1/2 in ago (disegno)
1 - 25 calibro 1-1 1/2 in ago (amministrare)
1 - 22 calibro 3 in ago spinale (somministring)
1 - 22 calibro 6 in ago spinale (somministrato)
1 - 3x3 garza spugna quadrata sterile
Contenuto (NDC 70529-100-15)
3 - 30 ml 1% di lidocaina con EPI (10 mg/ ml - 1: 100000)
1-Siringa 3cc con calibro 18-22 1-1 1/2 in ago (disegno)
Siringa 1-5cc w/ 18-22 calibro 1-1 1/2 in ago (disegno)
Siringa 1-10cc W/ 18-22 calibro 1-1 1/2 in ago (disegno)
1 - 25 calibro 1-1 1/2 in ago (amministrare)
1 - 22 calibro 3 in ago spinale (somministring)
1 - 22 calibro 6 in ago spinale (somministrato)
1 - 3x3 garza spugna quadrata sterile
Assemblato e distribuito da IT3 Medical LLC. 190 E Stacy Road; Ste 306-298 Allen TX 75002-8734
Per domande o commenti: [e-mail www.it3-dice.com. Revisionato: gennaio 2019
Effetti collaterali per lixtraxen
Sistemico
Le esperienze avverse a seguito della somministrazione di lidocaina HCL sono simili in natura a quelle osservate con altri agenti anestetici locali ammidici. Queste esperienze avverse sono in generale correlate alla dose e possono derivare da alti livelli plasmatici causati da un rapido assorbimento a dosaggio eccessivo o iniezione intravascolare involontaria o possono derivare da un'idiosincrasia di ipersensibilità o una tolleranza ridotta da parte del paziente. Le esperienze avverse gravi sono generalmente di natura sistemica. I seguenti tipi sono quelli più comunemente riportati:
Sistema nervoso centrale
Le manifestazioni del CNS sono eccitatorie e/o depressive e possono essere caratterizzate da un nervosismo di verniciatura di euforia confusione euforia confusione sonnolenza scompagglianza che si offuscano o vomito visione doppia di vomito di calore freddo o intorpidimento che contrappone i tremori convulsions incoscienza depressione respiratoria e arresto. Le manifestazioni eccitatorie possono essere molto brevi o non possono verificarsi affatto la prima manifestazione di tossicità può essere sonnolenza che si fonde nell'incoscienza e nell'arresto respiratorio.
La sonnolenza seguendo la somministrazione di lidocaina HCL è di solito un segno precoce di un livello elevato del farmaco e può verificarsi come conseguenza del rapido assorbimento.
Sistema cardiovascolare
Le manifestazioni cardiovascolari sono generalmente depressive e sono caratterizzate dall'ipotensione bradicardia e dal collasso cardiovascolare che possono portare ad un arresto cardiaco.
Allergico
Allergico reactions are characterized by cutaneous lesions urticaria edema or anaphylactoid reactions. Allergico reactions may occur as a result of sensitivity either to local anesthetic agents or to the methylparaben used as a preservative in the multiple dose vials. Allergico reactions including anaphylactic reactions may occur as a result of sensitivity to lidocaine but are infrequent. If allergic reactions do occur they should be managed by conventional means. The detection of sensitivity by skin testing is of doubtful value.
Non ci sono state segnalazioni di sensibilità incrociata tra lidocaina cloridrato e procainamide o tra lidocaina cloridrato e chinidina.
Neurologico
Le incidenze di reazioni avverse associate all'uso di anestetici locali possono essere correlate alla dose totale di anestetico locale somministrato e dipendono anche dal particolare farmaco usato la via di somministrazione e lo stato fisico del paziente. In una revisione prospettica di 10440 pazienti che hanno ricevuto lidocaina HCL per anestesia spinale, sono state riportate le incidenze di reazioni avverse in circa il 3 percento ciascuno per i mal di testa di mal di testa e mal di schiena; 2 percento per brividi; e meno dell'1 percento ciascuno per i sintomi del nervo periferico nausea inadeguatezza respiratoria e visione doppia. Molte di queste osservazioni possono essere correlate alle tecniche anestetiche locali con o senza un contributo dell'anestetico locale.
Nella pratica del blocco epidurale caudale o lombare occasionale involontaria involontaria dello spazio subaracnoideo da parte del catetere. I successivi effetti avversi possono dipendere in parte dalla quantità di farmaco somministrato in modo subdurale. Questi possono includere un blocco spinale di variazione variabile (incluso il blocco spinale totale) ipotensione secondaria al blocco spinale perdita di vescica e controllo intestinale e perdita di sensazione perineale e funzione sessuale. Il deficit sensoriale motorio e/o autonomo (controllo dello sfintere) persistente di alcuni segmenti spinali più bassi con recupero lento (diversi mesi) o recupero incompleto sono stati riportati in rari casi in cui è stato tentato un blocco epidurale caudale o lombare. Il mal di schiena e il mal di testa sono stati notati anche seguendo l'uso di queste procedure anestetiche.
Sono stati segnalati casi di lesioni permanenti ai muscoli extraoculari che richiedono una riparazione chirurgica a seguito di somministrazione di retrobulbar.
Ematologico
Metemoglobinemia.
Interazioni farmacologiche per lixtraxen
Interazioni farmacologiche clinicamente significative
La somministrazione di soluzioni anestetiche locali contenenti epinefrina o noradrenalina a pazienti che ricevono inibitori della monoamina ossidasi o antidepressivi triciclici può produrre grave ipertensione prolungata.
Le fenotiazine e i butirofenoni possono ridurre o invertire l'effetto del pressale dell'epinefrina.
L'uso concomitante di questi agenti dovrebbe essere generalmente evitato. In situazioni in cui la terapia concorrente è necessaria un monitoraggio attento del paziente è essenziale.
La somministrazione concomitante di farmaci vasopressori (per il trattamento dell'ipotensione correlati a blocchi ostetrici) e farmaci ossitocici di tipo ERGOT possono causare gravi ipertensione persistente o incidenti cerebrovascolari.
Avvertimenti for Lixtraxen
Lidocaina cloridrato e iniezione di epinefrina USP per infiltrazione e blocco nervoso devono essere impiegati solo da medici che sono esperti di diagnosi e gestione della tossicità dose-dose e di altre emergenze acute che potrebbero derivare dal blocco per essere impiegati solo per la management e le cose da fare solo per la gestione emessa e le cose da fare solo dopo aver assunto una reazione ecumerata e correlata. (Vedi anche Reazioni avverse E PRECAUZIONI ). DELAY IN PROPER MANAGEMENT OF DOSE-RELATED TOXICITY UNDERVENTILATION FROM ANY CAUSE AND/OR ALTERED SENSITIVITY MAY LEAD TO THE DEVELOPMENT OF ACIDOSIS CARDIAC ARREST AND POSSIBLY DEATH.
Le infusioni intra-articolari degli anestetici locali a seguito di procedure artroscopiche e di altre procedure chirurgiche sono un uso non approvato e ci sono stati segnalazioni post-marketing di condrolisi in pazienti che hanno ricevuto tali infusioni. La maggior parte dei casi segnalati di condrolisi ha coinvolto l'articolazione della spalla; I casi di condrolisi gleno-umile sono stati descritti in pazienti pediatrici e adulti a seguito di infusioni intra-articolari di anestetici locali con e senza epinefrina per periodi da 48 a 72 ore. Non ci sono informazioni sufficienti per determinare se periodi di infusione più brevi non sono associati a questi risultati. Il tempo di insorgenza di sintomi come la rigidità del dolore articolare e la perdita di movimento possono essere variabili ma può iniziare già dal 2 ° mese dopo l'intervento chirurgico. Attualmente non esiste un trattamento efficace per la condrolisi; I pazienti che hanno manifestato condrolisi hanno richiesto ulteriori procedure diagnostiche e terapeutiche e alcune richieste artroplastica o sostituzione della spalla.
Per evitare che l'aspirazione di iniezione intravascolare dovrebbe essere eseguita prima che venga iniettata la soluzione anestetica locale. L'ago deve essere riposizionato fino a quando non può essere suscitato alcun ritorno di sangue dall'aspirazione. Si noti tuttavia che l'assenza di sangue nella siringa non garantisce che l'iniezione intravascolare sia stata evitata.
Le soluzioni anestetiche locali contenenti conservanti antimicrobici (ad es. Methylparaben) non devono essere utilizzate per l'anestesia epidurale o spinale perché la sicurezza di questi agenti non è stata stabilita per quanto riguarda l'iniezione intratecale o intenzionale o accidentale.
L'iniezione di lidocaina cloridrato e epinefrina contiene metabisolfito di sodio un solfito che può causare reazioni di tipo allergico tra cui sintomi anafilattici e episodi asmatici meno gravi in alcune persone sensibili. La prevalenza complessiva della sensibilità ai solfito nella popolazione generale è sconosciuta e probabilmente bassa. La sensibilità ai solfito è vista più frequentemente negli asmatici che nelle persone non asmatiche.
Le reazioni anafilattiche possono verificarsi dopo la somministrazione di lidocaina cloridrato (vedi Reazioni avverse ).
In caso di reazione grave interrompere l'uso del farmaco.
Precauzioni for Lixtraxen
Generale
La sicurezza e l'efficacia della lidocaina HCL dipendono da una corretta tecnica corretta precauzioni e prontezza per le emergenze. I libri di testo standard dovrebbero essere consultati per tecniche e precauzioni specifiche per varie procedure di anestetici regionali.
Attrezzatura della rianimazione L'ossigeno e altri farmaci per la rianimazione dovrebbero essere disponibili per l'uso immediato (vedi Avvertimenti E Reazioni avverse ). The lowest dosage that results in effective anesthesia should be used to avoid high plasma levels E serious adverse effects. Syringe aspirations should also be performed before E during each supplemental injection when using indwelling catheter techniques. During the administration of epidural anesthesia it is recommended that a test dose be administered initially E that the patient be monitored for central nervous system toxicity E cardiovascular toxicity as well as for signs of unintended intrathecal administration before proceeding. When clinical conditions permit consideration should be given to employing local anesthetic solutions that contain epinephrine for the test dose because circulatory changes compatible with epinephrine may also serve as a warning sign of unintended intravascular injection. An intravascular injection is still possible even if aspirations for blood are negative. Repeated doses of lidocaine HCl may cause significant increases in blood levels with each repeated dose because of slow accumulation of the drug or its metabolites. Tolerance to elevated blood levels varies with the status of the patient. Debilitated elderly patients acutely ill patients E children should be given reduced doses commensurate with their age E physical condition. Lidocaina HCl should also be used with caution in patients with severe shock or heart block.
L'anestesia epidurale lombare e caudale dovrebbe essere usata con estrema cautela nelle persone con le seguenti condizioni: deformità spinali della malattia neurologica esistente e ipertensione grave.
Le soluzioni anestetiche locali contenenti un vasocostrittore devono essere utilizzate con cautela e in quantità attentamente circoscritte nelle aree del corpo fornite dalle arterie finali o avendo altrimenti apporto di sangue compromesso. I pazienti con malattia vascolare periferica e quelli con malattia vascolare ipertensiva possono presentare una risposta vasocostrittore esagerata. Possono derivare lesioni ischemiche o necrosi. I preparativi contenenti un vasocostrittore devono essere usati con cautela nei pazienti durante o in seguito alla somministrazione di potenti agenti anestetici generali poiché le aritmie cardiache possono verificarsi in tali condizioni.
Il monitoraggio attento e costante di segni vitali cardiovascolari e respiratori (adeguatezza della ventilazione) e lo stato di coscienza del paziente dovrebbe essere realizzato dopo ogni iniezione anestetica locale. Dovrebbe essere tenuto presente in tali momenti che l'ansia irrequieta dell'ansia vertigini della visione offuscata la depressione o la sonnolenza possono essere segnali di avvertimento precoce della tossicità del sistema nervoso centrale.
Poiché gli anestetici locali di tipo ammide sono metabolizzati dall'iniezione di lidocaina epatica deve essere usato con cautela nei pazienti con malattia epatica. I pazienti con grave malattia epatica a causa della loro incapacità di metabolizzare gli anestetici locali normalmente sono a maggior rischio di sviluppare concentrazioni plasmatiche tossiche. La lidocaina dovrebbe anche essere usata con cautela nei pazienti con compromissione della funzione cardiovascolare poiché potrebbero essere meno in grado di compensare i cambiamenti funzionali associati al prolungamento della conduzione di A-V prodotta da questi farmaci.
Molti farmaci utilizzati durante la condotta dell'anestesia sono considerati potenziali agenti che innescano per ipertermia maligna familiare. Poiché non è noto se gli anestetici locali di tipo ammide possano innescare questa reazione e poiché non è possibile prevedere in anticipo la necessità di anestesia generale supplementare. I primi segni inspiegabili della tachycardia tachypnea labili della pressione arteriosa e dell'acidosi metabolica possono precedere l'elevazione della temperatura. L'esito positivo dipende dalla diagnosi precoce che la pronta sospensione del sospetto che innesca gli agenti e l'istituzione del trattamento, compresa la terapia dell'ossigeno, ha indicato misure di supporto e dantrolene (consultare l'inserto del pacchetto endovenoso del dantrolene sodio prima dell'uso).
Una tecnica del laccio emostatico adeguata come descritto nelle pubblicazioni e nei libri di testo standard è essenziale nelle prestazioni dell'anestesia regionale endovenosa. Per questa tecnica non devono essere utilizzate soluzioni contenenti epinefrina o altri vasocostrittori.
Lidocaina HCl should be used with caution in persons with known drug sensitivities. Patients allergic to para-amino-benzoic acid derivatives ( procaine tetracaine benzocaine etc.) have not shown cross-sensitivity to lidocaine HCl.
Usa nella zona della testa e del collo
Piccole dosi di anestetici locali iniettati nell'area della testa e del collo tra cui blocchi di ganglio dentali e stellati retrobulbari possono produrre reazioni avverse simili alla tossicità sistemica osservata con iniezioni intravascolari non intenzionali di dosi più grandi. Sono state riportate convulsioni di confusione depressione respiratoria e/o arresto respiratorio e stimolazione cardiovascolare o depressione. Queste reazioni possono essere dovute a iniezioni intra-arteriose dell'anestetico locale con flusso retrogrado alla circolazione cerebrale. I pazienti che ricevono questi blocchi dovrebbero avere la loro circolazione e la loro respirazione monitorata ed essere costantemente osservati. Le attrezzature e il personale di rianimazione per il trattamento delle reazioni avverse dovrebbero essere immediatamente disponibili. Le raccomandazioni di dosaggio non devono essere superate (vedi Dosaggio e amministrazione ).
Interazioni di test di droga/laboratorio
L'iniezione intramuscolare di lidocaina HCL può comportare un aumento dei livelli di fosfocinasi della creatina. Pertanto, l'uso di questa determinazione enzimatica senza separazione isoenzimatica come test diagnostico per la presenza di infarto miocardico acuto può essere compromesso dall'iniezione intramuscolare di lidocaina HCl.
Tossicologia non clinica
Mutagenesi della carcinogenesi compromissione della fertilità
Non sono stati condotti studi sulla lidocaina HCl negli animali per valutare il potenziale cancerogeno e mutagenico o l'effetto sulla fertilità.
Gravidanza
Effetti teratogeni
Gravidanza Category B. Reproduction studies have been performed in rats at doses up to 6.6 times the human dose E have revealed no evidence of harm to the fetus caused by lidocaine HCl. There are however no adequate E well-controlled studies in pregnant women. Animal reproduction studies are not always predictive of human response. Generale consideration should be given to this fact before administering lidocaine HCl to women of childbearing potential especially during early pregnancy when maximum organogenesis takes place.
Manodopera e consegna
Gli anestetici locali attraversano rapidamente la placenta e quando usati per l'anestesia a blocchi paracvicale epidurale o per il blocco caudale può causare vari gradi di tossicità fetale e neonatale materna (vedi Farmacologia clinica Farmacocinetica E Metabolismo ). The potential for toxicity depends upon the procedure performed the type E amount of drug used E the technique of drug administration. Adverse reactions in the parturient fetus E neonate involve alterations of the central nervous system peripheral vascular tone E cardiac function.
L'ipotensione materna è risultata dall'anestesia regionale. Gli anestetici locali producono vasodilatazione bloccando i nervi simpatici. Elevare le gambe della paziente e posizionarla sul lato sinistro aiuterà a prevenire la riduzione della pressione sanguigna. Anche la frequenza cardiaca fetale dovrebbe essere monitorata continuamente ed è altamente consigliabile il monitoraggio del fetale elettronico.
L'anestesia paratterervicale spinale epidurale può alterare le forze del parto attraverso i cambiamenti nella contrattilità uterina o gli sforzi espulsivi materni. In uno studio, l'anestesia a blocchi paracervicali è stata associata a una diminuzione della durata media del lavoro di primo stadio e facilitazione della dilatazione cervicale. Tuttavia, è stato anche riferito che l'anestesia spinale ed epidurale prolunga la seconda fase del travaglio rimuovendo l'impulso riflesso del partuziale di arrestarsi o interferendo con la funzione motoria. L'uso di anestesia ostetrica può aumentare la necessità di assistenza per le pinze.
L'uso di alcuni prodotti anestetici anestetici durante il travaglio e il parto possono essere seguiti da una ridotta forza e tono muscolare per il primo giorno o due della vita. Il significato a lungo termine di queste osservazioni è sconosciuto. La bradicardia fetale può verificarsi nel 20-30 percento dei pazienti che hanno ricevuto anestesia del blocco nervoso paracervicale con gli anestetici locali di tipo ammide e può essere associato ad acidosi fetale. La frequenza cardiaca fetale dovrebbe essere sempre monitorata durante l'anestesia paratterervicale. Il medico dovrebbe valutare i possibili vantaggi contro i rischi quando si considera un blocco paracervicale nella tossiemia di prematurità della gravidanza e dell'angoscia fetale. Un'attenta aderenza al dosaggio raccomandato è della massima importanza nel blocco paracervicale ostetrico. Il mancato raggiungimento di un'analgesia adeguata con dosi raccomandate dovrebbe suscitare sospetto di iniezione intracranica intravascolare o fetale. Casi compatibili con iniezione intracranica fetale non intenzionale di soluzione anestetica locale a seguito di un blocco paracervicale o pudendele previsto o entrambi. I bambini così colpiti presenti con depressione neonatale inspiegabile alla nascita che si correla con alti livelli sierici anestetici locali e spesso manifestano convulsioni entro sei ore. L'uso rapido di misure di supporto combinate con l'escrezione urinaria forzata dell'anestetico locale è stato utilizzato con successo per gestire questa complicazione.
Caso clinici di convulsioni materne e collasso cardiovascolare a seguito dell'uso di alcuni anestetici locali per il blocco paracervicale all'inizio della gravidanza (come anestesia per l'aborto elettivo) suggeriscono che l'assorbimento sistemico in queste circostanze potrebbe essere rapido. La dose massima raccomandata di ciascun farmaco non deve essere superata. L'iniezione deve essere effettuata lentamente e con aspirazione frequente. Consentire un intervallo di 5 minuti tra i lati.
Madri infermieristiche
Non è noto se questo farmaco sia escreto nel latte umano. Poiché molti farmaci vengono escreti nel latte umano, dovrebbe essere esercitata quando la lidocaina HCL viene somministrata a una donna di cura.
Cosa ti fa Ambien
Uso pediatrico
I dosaggi nei bambini dovrebbero essere ridotti commisurati all'età del peso corporeo e delle condizioni fisiche (vedi Dosaggio e amministrazione ).
Informazioni per overdose per lixtraxen
Le emergenze acute dagli anestetici locali sono generalmente correlate agli alti livelli plasmatici riscontrati durante l'uso terapeutico di anestetici locali o a iniezione subaracnoide non intenzionale di soluzione anestetica locale (vedi Reazioni avverse Avvertimenti AND PRECAUZIONI ).
Gestione delle emergenze anestetiche locali
La prima considerazione è la prevenzione meglio realizzata mediante un monitoraggio attento e costante dei segni vitali cardiovascolari e respiratori e lo stato di coscienza del paziente dopo ogni iniezione anestetica locale. Al primo segno di cambiamento dovrebbe essere somministrato ossigeno.
Il primo passo nella gestione delle convulsioni, nonché sottoventilazione o apnea a causa dell'iniezione non intenzionale subaracnoideo di soluzione farmacologica consiste in immediata attenzione al mantenimento di una via aerea brevettata e alla ventilazione assistita o controllata con ossigeno e un sistema di consegna in grado di consentire la pressione delle vie aeree positive immediate da parte della maschera. Immediatamente dopo l'istituzione di queste misure ventilatorie, l'adeguatezza della circolazione dovrebbe essere valutata tenendo presente che i farmaci usati per trattare le convulsioni a volte dedicano la circolazione quando somministrati per via endovenosa. Le convulsioni dovessero persistere nonostante un adeguato supporto respiratorio e se lo stato della circolazione consente piccoli incrementi di un barbiturico che agisce ultra-short (come tiopentale o tiamilale) o una benzodiazepina (come diazepam) può essere somministrato per via endovenosa. Il medico dovrebbe essere familiare prima dell'uso di anestetici locali con questi farmaci anticonvulsivanti. Il trattamento di supporto della depressione circolatoria può richiedere la somministrazione di fluidi endovenosi e, se appropriato, un vasopressore come diretto dalla situazione clinica (ad esempio efedrina).
Se non trattati immediatamente sia le convulsioni che la depressione cardiovascolare possono causare aritmie di bradicardia di ipossia acidosi e arresto cardiaco. La sottoventilazione o l'apnea dovuta all'iniezione subaracnoide involontaria di soluzione anestetica locale può produrre questi stessi segni e portare anche ad un arresto cardiaco se il supporto ventilatorio non è istituito. Se l'arresto cardiaco dovrebbe verificarsi misure di rianimazione cardiopolmonare standard.
L'intubazione endotracheale che impiega farmaci e tecniche familiari al medico può essere indicata dopo la somministrazione iniziale di ossigeno per maschera se si incontra difficoltà nel mantenimento di una via aerea brevetti o se è indicato un supporto ventilatorio prolungato (assistito o controllato).
La dialisi ha un valore trascurabile nel trattamento del sovradosaggio acuto con lidocaina HCl.
La LD50 orale di lidocaina HCl in ratti femminili non divertenti è 459 (da 346 a 773) mg/kg (come sale) e 214 (da 159 a 324) mg/kg (come sale) nei ratti a digiuno.
Controindicazioni per lixtraxen
Lidocaina HCl is contraindicated in patients with a known history of hypersensitivity to local anesthetics of the amide type.
Farmacologia clinica for Lixtraxen
Meccanismo d'azione
Lidocaina HCl stabilizes the neuronal membrane by inhibiting the ionic fluxes required for the initiation E conduction of impulses thereby effecting local anesthetic action.
Emodinamica
Livelli ematici eccessivi possono causare variazioni della resistenza periferica totale della gittata cardiaca e della pressione arteriosa media. Con il blocco neurale centrale questi cambiamenti possono essere attribuibili al blocco di fibre autonomiche un effetto depressivo diretto dell'agente anestetico locale su vari componenti del sistema cardiovascolare e/o del recettore beta-adrenergico che stimola l'azione dell'epinefrina quando presente. L'effetto netto è normalmente una modesta ipotensione quando i dosaggi raccomandati non vengono superati.
Farmacocinetica And Metabolismo
Le informazioni derivate da diverse formulazioni e usi si rivelano che la lidocaina HCL è completamente assorbita in seguito alla somministrazione parenterale il suo tasso di assorbimento a seconda di vari fattori come il sito di somministrazione e la presenza o l'assenza di un agente vasocostrittore. Ad eccezione della somministrazione intravascolare, i livelli ematici più alti si ottengono dopo il blocco nervoso intercostale e il più basso dopo la somministrazione sottocutanea.
Il legame plasmatico della lidocaina HCL dipende dalla concentrazione di farmaci e la frazione legata diminuisce con l'aumentare della concentrazione. A concentrazioni da 1 a 4 mcg di base libera per ml da 60 all'80 percento della lidocaina HCL è legato alle proteine. Il legame dipende anche dalla concentrazione plasmatica della glicoproteina alfa-1-acido.
Lidocaina HCl crosses the blood-brain E placental barriers presumably by passive diffusion.
Lidocaina HCl is metabolized rapidly by the liver E metabolites E unchanged drug are excreted by the kidneys. Biotransformation includes oxidative N-dealkylation ring hydroxylation cleavage of the amide linkage E conjugation. N-dealkylation a major pathway of biotransformation yields the metabolites monoethylglycinexylidide E glycinexylidide. The pharmacological/toxicological actions of these metabolites are similar to but less potent than those of lidocaine HCl. Approximately 90% of lidocaine HCl administered is excreted in the form of various metabolites E less than 10% is excreted unchanged. The primary metabolite in urine is a conjugate of 4-hydroxy-26- dimethylaniline.
L'emivita di eliminazione della lidocaina HCl a seguito di un'iniezione di bolo endovenosa è in genere da 1,5 a 2 ore. A causa della velocità rapida con cui la lidocaina HCL viene metabolizzata qualsiasi condizione che colpisce la funzione epatica può alterare la cinetica HCL di lidocaina. L'emivita può essere prolungata due o più volte nei pazienti con disfunzione epatica. La disfunzione renale non influisce sulla cinetica HCL di lidocaina ma può aumentare l'accumulo di metaboliti.
Fattori come l'acidosi e l'uso di stimolanti e depressivi del SNC influenzano i livelli del SNC di lidocaina HCL necessari per produrre effetti sistemici palese. Le manifestazioni avverse oggettive diventano sempre più evidenti con l'aumentare dei livelli plasmatici venosi superiori a 6 mcg di base libera per ml. Nella scimmia rhesus i livelli ematici arteriosi da 18 a 21 mcg/mL hanno dimostrato di essere soglia per l'attività convulsiva.
Informazioni sul paziente per lixtraxen
Se i pazienti appropriati devono essere informati in anticipo che possono sperimentare una perdita temporanea della sensazione e l'attività motoria di solito nella metà inferiore del corpo dopo una corretta somministrazione di anestesia epidurale.