Le Informazioni Presenti Sul Sito Non Costituiscono Consulenza Medica. Non Vendiamo Nulla. L'Accuratezza Della Traduzione Non È Garantita. Disclaimer
Come funzionano gli agenti di imaging per diagnosi?
Lexiscan
Riepilogo della droga
Cos'è il lexiscan?
L'iniezione lexiscana (Regadenosone) è un agente di stress che funziona aumentando il flusso sanguigno nelle arterie del cuore somministrato in preparazione per un esame radiologico (raggio X) del flusso sanguigno attraverso il cuore per testare coronaropatia .
Quali sono gli effetti collaterali del lexiscan?
Lexiscan
- Scrigette gravi
- battiti cardiaci veloci
- calore o sensazione di formicolio
- sibilante
- tenuta toracica
- difficoltà a respirare
- Dolore o pressione al torace
- dolore che si diffonde alla mascella o alla spalla
- confisca
- Accendino
- grave mal di testa
- martellando nel collo o nelle orecchie
- intorpidimento improvviso o debolezza (specialmente sul lato del corpo)
- discorso confuso e
- Problemi di equilibrio
Ottieni subito assistenza medica se hai uno qualsiasi dei sintomi sopra elencati.
Gli effetti collaterali comuni del lexiscan includono:
- mal di testa
- vertigini
- nausea
- disagio allo stomaco
- ridotto senso del gusto
- Disagio al torace delicato
- mancanza di respiro o
- Lavare (arrossamento del calore o forzare la pelle sotto la pelle).
Cerca cure mediche o chiama il 911 contemporaneamente se hai i seguenti gravi effetti collaterali:
- Sintomi di occhiali gravi come la perdita di visione improvvisa del tunnel della visione sfocata Dolore alla visione o gonfiore o vedere aloni attorno alle luci;
- Sintomi cardiaci gravi come battiti cardiaci irregolari o martellanti veloci; svolazzando nel petto; fiato corto; e improvviso vertigini giuria o svenuta;
- Grave mal di testa confusione Il braccio del linguaggio bloccato o la debolezza delle gambe problemi perdite perdita di coordinamento sentendoti instabili muscoli molto rigidi ad alta febbre abbondante sudorazione o tremori.
Questo documento non contiene tutti i possibili effetti collaterali e altri possono verificarsi. Verificare con il tuo medico ulteriori informazioni sugli effetti collaterali.
Dosaggio per lexiscan
La dose endovenosa raccomandata di lexiscano è somministrata 5 ml come iniezione rapida (di circa 10 secondi) in una vena periferica.
Quali sostanze o integratori di farmaci interagiscono con lexiscan?
Lexiscan può interagire con il dipiridamolo o la teofillina. Di 'al medico tutti i farmaci che usi.
Lexiscano durante la gravidanza o l'allattamento
Durante la gravidanza il lexiscan dovrebbe essere usato solo se prescritto. Non è noto se questo farmaco passi nel latte materno o se potrebbe danneggiare un bambino che allatta. Consulta il medico prima dell'allattamento al seno.
Ulteriori informazioni
Il nostro Centro farmacologico di effetti collaterali lexiscani (Regadenoson) fornisce una visione completa delle informazioni disponibili sui farmaci sui potenziali effetti collaterali durante l'assunzione di questo farmaco.
Informazioni sui farmaci FDA
- Descrizione del farmaco
- Indicazioni
- Effetti collaterali
- Interazioni farmacologiche
- Avvertimenti
- Overdose
- Farmacologia clinica
- Guida ai farmaci
Descrizione per lexiscan
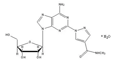
Regadenoson è un A 2a Agonista del recettore dell'adenosina che è un vasodilatatore coronarico [vedi Farmacologia clinica ]. Regadenoson è chimicamente descritto come adenosina 2- [4- [(metilammino) carbonile] -1 H -pyrazol-1-ill]-monoidrato. La sua formula strutturale è:
|
La formula molecolare per Regadenoson è C 15 H 18 N 8 O 5 • H 2 O e il suo peso molecolare è 408,37. Il lexiscan è una soluzione sterile non popoogenica per l'iniezione endovenosa. La soluzione è chiara e incolore. Each 1 mL in the 5 mL pre-filled syringe contains 0.084 mg of regadenoson monohydrate corresponding to 0.08 mg regadenoson on an anhydrous basis 10.9 mg dibasic sodium phosphate dihydrate or 8.7 mg dibasic sodium phosphate anhydrous 5.4 mg monobasic sodium phosphate monohydrate 150 mg propylene glycol 1 mg di disodio edetato diidrato e acqua per iniezione con pH tra 6,3 e 7,7.
Effetti collaterali dei farmaci per colesterolo crestor
Usi per lexiscan
Lexiscan ® L'iniezione (Regadenoson) è un agente di stress farmacologico indicato per l'imaging di perfusione miocardica di radionuclidi (MPI) in pazienti incapaci di sottoporsi a stress da esercizio adeguato.
Dosaggio per lexiscan
La dose raccomandata di lexiscan è di 5 ml (NULL,4 mg di regadenosone) somministrata come iniezione endovenosa entro 10 secondi.
- I pazienti devono essere istruiti a evitare il consumo di qualsiasi prodotto contenente metilxantine, tra cui tè al caffè caffeinati o altre bevande caffeinate, prodotti farmacologici contenenti caffeina aminofillina e teofillina per almeno 12 ore prima di un radionuclide programmata [vedi Interazioni farmacologiche E Farmacologia clinica ].
- I prodotti farmaceutici parenterali devono essere ispezionati visivamente per il particolato e lo scolorimento prima della somministrazione ogni volta che la soluzione e il permesso del contenitore. Non somministrare il lexiscan se contiene particolato o è scolorito.
- Somministrare il lexiscano come iniezione endovenosa entro 10 secondi in una vena periferica usando un catetere o un ago più grande o più grande.
- Somministrare un lavaggio salino da 5 ml immediatamente dopo l'iniezione di lexiscano.
- Somministrare l'agente di imaging di perfusione miocardica del radionuclide 10-20 secondi dopo il lavaggio salino. Il radionuclide può essere iniettato direttamente nello stesso catetere di Lexiscan.
Come fornito
Forme di dosaggio e punti di forza
- Siringa pre-riempita a dose: una soluzione chiara incolore contenente Regadenoson 0,4 mg/5 ml (NULL,08 mg/mL).
Archiviazione e maneggevolezza
Lexiscan viene fornito come soluzione sterile senza conservanti contenente 0,08 mg/ml di Regadenoson nel seguente pacchetto:
- Ansyr di plastica pre-riempita da 5 ml a dose ® Siringhe con montaggio Luer-Lock ( Ndc 0469-6501-89).
Conservare a temperatura ambiente controllata 25 ° C (77 ° F); Escursioni consentite a 15 ° a 30 ° C (59 ° - 86 ° F).
Siringhe prodotte da: Hospira Inc. Lake Forest IL 60045 USA. Revisionato: maggio 2018
Effetti collaterali for Lexiscan
Le seguenti reazioni avverse sono discusse in modo più dettagliato in altre sezioni dell'etichettatura.
- Ischemia miocardica [vedi Avvertimenti e precauzioni ]
- Blocco nodale sinoatriale e atrioventricolare [vedi Avvertimenti e precauzioni ]
- Fibrillazione atriale/flutter atriale [vedi Avvertimenti e precauzioni ]
- Ipersensibilità compresa l'anafilassi [vedi Avvertimenti e precauzioni ]
- Ipotensione [vedi Avvertimenti e precauzioni ]
- Ipertensione [vedi Avvertimenti e precauzioni ]
- Broncocostrizione [vedi Avvertimenti e precauzioni ]
- Sequestro [vedi Avvertimenti e precauzioni ]
- Incidente cerebrovascolare (ictus) [vedi Avvertimenti e precauzioni ]
Esperienza di studi clinici
Poiché gli studi clinici sono condotti in condizioni di reazione avverse ampiamente variabili osservate negli studi clinici di un farmaco non possono essere paragonati direttamente ai tassi negli studi clinici di un altro farmaco e potrebbero non riflettere i tassi osservati nella pratica.
Durante lo sviluppo clinico 1651 pazienti sono stati esposti al lexiscano con la maggior parte della ricezione di 0,4 mg come iniezione endovenosa rapida (≤ 10 secondi). La maggior parte di questi pazienti ha ricevuto il lexiscano in due studi clinici che hanno arruolato i pazienti che non avevano una storia di malattia polmonare broncospastica e nessuna storia di un blocco di conduzione cardiaca di maggiore blocco AV di primo grado tranne i pazienti con pacemaker artificiali funzionanti. In questi studi (Studi 1 e 2) 2015 i pazienti sono stati sottoposti a imaging di perfusione miocardica dopo la somministrazione di lexiscano (n = 1337) o adenoscan (n = 678). La popolazione aveva 26-93 anni (mediana 66 anni) 70% maschi e principalmente caucasico (76% caucasico al 7% afroamericano 9% ispanico 5% asiatico). La tabella 1 mostra le reazioni avverse più frequentemente riportate.
Complessivamente qualsiasi reazione avversa si è verificata a tassi simili tra i gruppi di studio (80% per il gruppo lexiscano e l'83% per il gruppo adenoscano). L'aminofillina è stata utilizzata per trattare le reazioni nel 3% dei pazienti nel gruppo lexiscano e il 2% dei pazienti nel gruppo adenoscano. La maggior parte delle reazioni avverse è iniziata subito dopo il dosaggio e generalmente si è risolta in circa 15 minuti ad eccezione del mal di testa che si è risolto nella maggior parte dei pazienti entro 30 minuti.
Tabella 1 Reazioni avverse negli studi 1 e 2 raggruppati (frequenza ≥ 5%)
| Lexiscan N = 1337 | Adenoscan n = 678 | |
| Dispnea | 28% | 26% |
| Mal di testa | 26% | 17% |
| Arrossamento | 16% | 25% |
| Disagio al torace | 13% | 18% |
| Angina pectoris o depressione del segmento ST | 12% | 18% |
| Vertigini | 8% | 7% |
| Dolore al petto | 7% | 10% |
| Nausea | 6% | 6% |
| Disagio addominale | 5% | 2% |
| Dysgeusia | 5% | 7% |
| Sentirsi caldo | 5% | 8% |
Anomalie ECG
La frequenza delle anomalie ritmo o della conduzione a seguito di lexiscan o adenoscan è mostrata nella Tabella 2 [vedi Avvertimenti e precauzioni ].
Tabella 2 ritmo o anomalie della conduzione* negli studi 1 e 2
| Lexiscan N / N Valutable (%) | Adenoscan N / N Valutable (%) | |
| Ritmo o anomalie della conduzione † | 332/1275 (26%) | 192/645 (30%) |
| Anomalie ritmiche | 260/1275 (20%) | 131/645 (20%) |
| PACS | 86/1274 (7%) | 57/645 (9%) |
| PVCS | 179/1274 (14%) | 79/645 (12%) |
| Blocco AV di primo grado (prolungamento di PR> 220 msec) | 34/1209 (3%) | 43/618 (7%) |
| Secondo gradi di blocco | 1/1209 (NULL,1%) | 9/618 (1%) |
| Di anomalie di conduzione (diverse da blocchi) | 1/1209 (NULL,1%) | 0/618 (0%) |
| Anomalie di conduzione ventricolare | 64/1152 (6%) | 31/581 (5%) |
| * Gli ECG a 12 piloti sono stati registrati prima e per un massimo di 2 ore dopo il dosaggio. † Include anomalie del ritmo (PACS PVCS fibrillazione atriale/flutter che vagaggio atriale pacemaker supraventricolare o ventricolare) o anomalie di conduzione incluso il blocco AV. |
Anomalie respiratorie
In uno studio randomizzato controllato con placebo di 999 pazienti con asma (n = 532) o malattia polmonare ostruttiva cronica stabile (n = 467) l'incidenza complessiva di reazioni avverse respiratorie pre-specificate era maggiore nel gruppo lexiscano rispetto al gruppo placebo (P <0.001). Most respiratory adverse reactions resolved without therapy; a few patients received aminophylline or a short-acting bronchodilator. No differences were observed between treatment arms in the reduction of> 15% dal basale a due ore in FEV1 (Tabella 3).
Tabella 3 Effetti avversi respiratori*
| Coorte di asma | Coorte cronica ostruttiva polmonare (BPCO) | |||
| Lexiscan (N = 356) | Placebo (N = 176) | Lexiscan (N = 316) | Placebo (N = 151) | |
| Reazione avversa respiratoria pre-specificata complessiva † | 12,9% | 2,3% | 19,0% | 4,0% |
| 10,7% | 1,1% | 18,0% | 2,6% | |
| 3,1% | 1,1% | 0,9% | 0,7% | |
| Fev 1 Riduzione> 15% ‡ | 1,1% | 2,9% | 4,2% | 5,4% |
| * Tutti i pazienti hanno continuato l'uso dei loro farmaci respiratori come prescritto prima della somministrazione di lexiscan. † I pazienti possono aver riportato più di un tipo di reazione avversa. Le reazioni avverse sono state raccolte fino a 24 ore dopo la somministrazione di farmaci. Le reazioni avverse respiratorie pre-specificate includevano il disturbo ostruttivo di dispnea di dispnea di dispnea e tachypnea. ‡ Cambiare dal basale a 2 ore. |
Compromissione renale
In uno studio randomizzato controllato con placebo di 504 pazienti (lexiscan N = 334 e placebo n = 170) con una diagnosi o fattori di rischio per la malattia coronarica e NKFK/DOQI Stage III o IV Renarment (definito come GFR 15-59 ml/min/1,73 m2) non sono stati segnalati eventi avversi gravi durante il periodo di follow-up 24-Haur.
Stress da esercizio inadeguato
In uno studio multicentrico apremi in aperto che valuta la somministrazione lexiscana a seguito di inadeguata stress da esercizio 1147 i pazienti sono stati randomizzati in uno dei due gruppi. Ogni gruppo è stato sottoposto a due procedure di imaging di perfusione miocardica di stress lexiscano (MPI). Il gruppo 1 ha ricevuto lexiscan 3 minuti dopo l'esercizio inadeguato nel primo stress lexiscano (MPI 1). Il gruppo 2 ha riposato 1 ora dopo un esercizio inadeguato per consentire all'emodinamica di tornare al basale prima di ricevere lexiscan (MPI 1). Entrambi i gruppi sono tornati per un secondo MPI di stress 1-14 giorni dopo e hanno ricevuto lexiscan senza esercizio fisico (MPI 2).
Le reazioni avverse più comuni sono simili nel tipo e nell'incidenza a quelle nella Tabella 1 sopra per entrambi i gruppi. I tempi della somministrazione di lexiscan dopo un esercizio inadeguato non hanno alterato il profilo di reazione avversa comune.
La tabella 4 mostra un confronto di eventi cardiaci di interesse per i due gruppi [vedi Avvertimenti e precauzioni ]. The cardiac events were numerically higher in Group 1.
Tabella 4 eventi cardiaci di interesse nello studio di stress da esercizio inadeguato
| Evento cardiaco* | Gruppo 1 / MPI 1 Lexiscan 3 minutes following exercise (N = 575) | Gruppo 2 / MPI 1 Lexiscan 1 ora dopo l'esercizio (N = 567) |
| Anomalia ECG Holter/12-Lead | 17 (NULL,0%) | 3 (NULL,5%) |
| 13 (NULL,3%) | 2 (NULL,4%) | |
| 3 (NULL,5%) | 1 (NULL,2%) | |
| Sindrome coronarica acuta | 1 (NULL,2%) | 0 |
| Infarto miocardico | 1 (NULL,2%) | 0 |
| * Un evento cardiaco clinicamente significativo è stato definito come uno dei seguenti eventi trovati sull'ECG Holter ECG/12 a 12 anni entro un'ora dopo la somministrazione di Regadenoson: aritmie ventricolari (tachicicardia prolungata a fibrillazione ventricolare torsade de potas del flutter ventricolare); Depressione ST-T (≥ 2 mm); Elevazione ST-T (≥ 1 mm); Block AV (2: 1 AV BLOCK AV Mobitz I Av Mobitz II Blocco cardiaco completo); arresto del seno> 3 secondi di durata O
|
Esperienza post-marketing
Le seguenti reazioni avverse sono state riportate dall'esperienza di marketing mondiale con Regadenoson. Poiché queste reazioni sono riportate volontariamente da una popolazione di dimensioni incerte, non è sempre possibile stimare in modo affidabile la loro frequenza o stabilire una relazione causale con l'esposizione ai farmaci.
Diclofenac Sodio Rilascio ritardato di 50 mg
Cardiovascolare
Infarto miocardico cardiac arrest ventricular arrhythmias supraventricular tachyarrhythmias including atrial fibrillation with rapid ventricular response (new-onset or recurrent) atrial flutter heart block (including thirddegree block) asystole marked hypertension symptomatic hypotension in association with transient ischemic attack acute coronary syndrome (ACS) confiscas E syncope [see Avvertimenti e precauzioni ] sono stati segnalati. Alcuni eventi hanno richiesto l'intervento con fluidi e/o aminofillina [vedi OVERDOSE ]. QTc prolongation shortly after Lexiscan administration has been reported.
Sistema nervoso centrale
Tremore convulsioni attaccanti ischemici transitori e incidente cerebrovascolare compresa l'emorragia intracranica [vedi Avvertimenti e precauzioni ].
Gastrointestinale
Il dolore addominale occasionalmente grave è stato segnalato pochi minuti dopo la somministrazione lexiscana in associazione con vomito di nausea o mialgie; La somministrazione di aminofillina un antagonista dell'adenosina sembrava ridurre il dolore. Diarrea e incontinenza fecale sono stati anche segnalati dopo l'amministrazione lexiscana.
Ipersensibilità
Anafilassi angioedema cardiaco o arresto respiratorio Il disagio respiratorio ridotto ha ridotto l'ipotensione della toppata della gola che si sono verificate eruzioni cutanee e hanno richiesto un trattamento tra cui la rianimazione [vedi Avvertimenti e precauzioni ].
Muscoloscheletrico
Muscoloscheletrico pain has occurred typically 10-20 minutes after Lexiscan administration; the pain was occasionally severe localized in the arms E lower back E extended to the buttocks E lower legs bilaterally. Administration of aminophylline appeared to lessen the pain.
Respiratorio
Respiratorio arrest dyspnea E sibilante have been reported following Lexiscan administration.
Interazioni farmacologiche for Lexiscan
Non sono stati condotti studi di interazione farmacocinetica formale con lexiscan.
Effetti di altri farmaci sul lexiscano
- Le metilxantine (ad es. La caffeina aminofillina e teofillina) sono antagonisti del recettore dell'adenosina non specifici che interferiscono con l'attività di vasodilatazione del lexiscan [vedi Farmacologia clinica E Informazioni sul paziente ]. Patients should avoid consumption of any products containing methylxanthines as well as any drugs containing theophylline or aminophylline for at least 12 hours before Lexiscan administration. Aminophylline may be used to attenuate severe or persistent adverse reactions to Lexiscan [see OVERDOSE ].
- Negli studi clinici il lexiscan è stato somministrato a pazienti che assumono altri farmaci cardioattivi (ad es. Blocchi di β-bloccanti dei bloccanti del calcio ACE-inibitori di nitrati glicosidi cardiaci e bloccanti del recettore dell'angiotensina) senza reazioni avverse riportate o effetti apparenti sull'efficacia.
- Il dipiridamolo può cambiare gli effetti del lexiscano. Quando possibile, trattenere il dipiridamolo per almeno due giorni prima dell'amministrazione Lexiscan.
Effetto del lexiscano su altre droghe
Regadenoson non inibisce il metabolismo dei substrati per il CYP1A2 CYP2C8 CYP2C9 CYP2C19 CYP2D6 o CYP3A4 nei microsomi epatici umani che indicano che è improbabile alterare la farmacocinetica dei farmaci metabolizzati da questi enzimi P450.
Avvertimenti per lexiscan
Incluso come parte del 'PRECAUZIONI' Sezione
Precauzioni per lexiscan
Ischemia miocardica
Aritmie ventricolari di infarto miocardico fatale e non fatale (MI) e arresto cardiaco dopo l'iniezione lexiscana. Evitare l'uso in pazienti con sintomi o segni di ischemia miocardica acuta, ad esempio angina instabile o instabilità cardiovascolare; Questi pazienti possono essere a maggior rischio di gravi reazioni cardiovascolari al lexiscano. Le attrezzature per la rianimazione cardiaca e il personale addestrato dovrebbero essere disponibili prima di amministrare lexiscan. Aderire alla durata raccomandata dell'iniezione [vedi Dosaggio e amministrazione ]. As noted in an animal study longer injection times may increase the duration E magnitude of increase in coronary blood flow [see Farmacologia clinica ]. If serious reactions to Lexiscan occur consider the use of aminophylline an adenosine antagonist to shorten the duration of increased coronary blood flow induced by Lexiscan [see OVERDOSE ].
Blocco nodale sinoatriale e atrioventricolare
Gli agonisti del recettore dell'adenosina, incluso il lexiscano, possono deprimere i nodi SA e AV e possono causare blocco AV di primo o terzo grado o bradicardia del seno che richiede un intervento. Negli studi clinici Blocco AV di primo grado (prolungamento di PR> 220 msec) sviluppato nel 3% dei pazienti entro 2 ore dalla somministrazione lexiscana; Il blocco AV di secondo grado transitorio con un battito lasciato cadere è stato osservato in un paziente che riceve lexiscan. Nell'esperienza post-marketing, il blocco cardiaco di terzo grado e l'asysole a pochi minuti dall'amministrazione lexiscana si sono verificati [vedi Reazioni avverse ].
Fibrillazione atriale/flutter atriale
Fibrillazione atriale nuova o ricorrente con rapida risposta ventricolare e flutter atriale sono stati segnalati dopo l'iniezione lexiscana [vedi Reazioni avverse ].
Ipersensibilità Including Anaphylaxis
L'angilassi anafilassi angoedema cardiaco o l'arresto respiratorio respiratorio ha ridotto la saturazione dell'ossigeno ipotensione della tensione della gola orticaria e si sono verificate eruzioni cutanee. Negli studi clinici sono state riportate reazioni di ipersensibilità in meno dell'1 % dei pazienti [vedi Reazioni avverse ]. Have personnel E resuscitative equipment immediately available.
Ipotensione
Gli agonisti del recettore dell'adenosina, compresi i lexiscani, inducono vasodilatazione arteriosa e ipotensione. Negli studi clinici è stata osservata una riduzione della pressione arteriosa sistolica (> 35 mm Hg) nel 7% dei pazienti e la riduzione della pressione diastolica (> 25 mm Hg) è stata osservata nel 4% dei pazienti entro 45 minuti dalla somministrazione lexiscana. Il rischio di una grave ipotensione può essere più elevato nei pazienti con disfunzione autonomica ipovolemia lasciata per la pericardite della malattia valvolare della stenosi coronarica principale o effusioni pericardiche o malattie arterose carotidi stenotiche con insufficienza cerebrovascolare. Nell'esperienza post-marketing Syncope Transient Ischemic Attagli e convulsioni sono stati osservati [vedi Reazioni avverse ].
Ipertensione
La somministrazione di agonisti del recettore dell'adenosina, incluso il lexiscano, può comportare aumenti clinicamente significativi della pressione arteriosa in alcuni pazienti. Tra i pazienti che hanno subito un aumento della pressione arteriosa negli studi clinici è stato osservato in pochi minuti dalla somministrazione lexiscana. La maggior parte degli aumenti si è risolta entro 10-15 minuti, ma in alcuni casi sono stati osservati aumenti a 45 minuti dopo la somministrazione [vedi Farmacologia clinica ]. In post-marketing experience cases of potentially clinically significant hypertension have been reported particularly with underlying hypertension E when low-level exercise was included in the MPI [see Reazioni avverse ].
Bronchocontstriction
Gli agonisti del recettore dell'adenosina, incluso il lexiscano, possono causare broncocostrizione della dispnea e compromesso respiratorio. La terapia del broncodilatatore appropriata e le misure di rianimazione dovrebbero essere disponibili prima e seguendo la somministrazione lexiscana [vedi Reazioni avverse Farmacologia clinica OVERDOSE E Informazioni sul paziente ].
Confisca
Lexiscan may lower the confisca threshold; obtain a confisca history. New-onset or recurrence of convulsive confiscas has occurred following Lexiscan injection. Some confiscas are prolonged E require emergent anticonvulsive management. Aminophylline may increase the risk of confiscas associated with Lexiscan injection. Methylxanthine use is not recommended in patients who experience a confisca in association with Lexiscan administration.
Incidente cerebrovascolare (ictus)
Si sono verificati incidenti cerebrovascolari emorragici e ischemici. Gli effetti emodinamici del lexiscano compresa l'ipotensione o l'ipertensione possono essere associati a queste reazioni avverse [vedi Ipotensione E Ipertensione ].
Tossicologia non clinica
Mutagenesi della carcinogenesi compromissione della fertilità
Il regadenosone era negativo nel test di aberrazione cromosomica di mutazione batterica Ames nelle cellule di ovaio del criceto cinese (CHO) e al test del micronucleo del midollo osseo di topo.
Non sono stati condotti studi sugli animali a lungo termine per valutare il potenziale cancerogeno di Lexiscan o gli effetti potenziali sulla fertilità.
Effetti collaterali IUD a 10 anni IUD
Utilizzare in popolazioni specifiche
Gravidanza
Riepilogo del rischio
Non ci sono dati disponibili sull'uso lexiscano nelle donne in gravidanza per informare un rischio associato alla droga. Negli studi sulla riproduzione degli animali sono stati osservati risultati avversi dello sviluppo con la somministrazione di regadenosone a ratti e conigli incinti durante l'organogenesi solo a dosi che hanno prodotto tossicità materna (vedi Dati ). Nella popolazione generale degli Stati Uniti il rischio di background stimato di gravi difetti alla nascita e aborto in gravidanza clinicamente riconosciuta è rispettivamente del 2-4% e del 15-20%.
Dati
Dati sugli animali
Studi riproduttivi nei ratti hanno mostrato che le dosi di regadenosone 10 e 20 volte la dose umana raccomandata massima (MRHD) basata sulla superficie corporea ha causato una riduzione dei pesi corporei fetali e significativi ritardi di ossificazione nelle falangi e metatarsal dell'arto anteriore e posteriore; La tossicità materna si è verificata anche a queste dosi. Le variazioni scheletriche sono state aumentate in tutti i gruppi trattati. Nei conigli la tossicità materna si è verificata a dosi di regadenoson somministrate durante l'organogenesi a 4 volte il MRHD; Tuttavia non ci sono stati effetti teratogeni nella prole a questa dose. A dosi più elevate 12 e 20 volte la tossicità materna MRHD si è verificata insieme ad un aumento della perdita di embrione e delle malformazioni fetali.
Lattazione
Riepilogo del rischio
Non ci sono informazioni sulla presenza di regadenosone nel latte umano gli effetti sul bambino allattato al seno o sugli effetti sulla produzione di latte. A causa del potenziale rischio di gravi reazioni cardiache nel bambino allattato al seno, consiglia alla madre infermieristica di pompare e scartare il latte materno per 10 ore dopo la somministrazione di lexiscan.
Uso pediatrico
La sicurezza ed efficacia nei pazienti pediatrici non è stata stabilita.
Uso geriatrico
Dei 1337 pazienti che ricevevano lexiscani negli studi 1 e 2 56% avevano 65 anni e oltre il 24% avevano 75 anni e oltre. I pazienti più anziani (> 75 anni di età) avevano un profilo di evento avverso simile rispetto ai pazienti più giovani ( <65 years of age) but had a higher incidence of hypotension (2% vs. ≤ 1%).
Compromissione renale
Non è necessario un aggiustamento della dose nei pazienti con compromissione renale, compresi i pazienti con malattia renale allo stadio finale e/o dipendenti dalla dialisi [vedi Farmacologia clinica ].
Informazioni per overdose per lexiscan
Lexiscan overdosage may result in serious reactions [see Avvertimenti e precauzioni ]. In a study of healthy volunteers symptoms of flushing vertigini E increased heart rate were assessed as intolerable at Lexiscan doses greater than 0.02 mg/kg.
Aminofillina per invertire gli effetti
Le metilxantine come la caffeina aminofillina e teofillina sono antagonisti del recettore dell'adenosina competitivo e l'aminofillina è stata utilizzata per interrompere gli effetti farmacodinamici persistenti. L'aminofillina può essere somministrata in dosi che vanno da 50 mg a 250 mg mediante iniezione endovenosa lenta (da 50 mg a 100 mg in 30-60 secondi). L'uso della metilxantina non è raccomandato nei pazienti che sperimentano un attacco in associazione con la somministrazione lexiscana [vedi Avvertimenti e precauzioni ].
Controindicazioni per lexiscan
Non somministrare lexiscan ai pazienti con:
- Blocco AV di secondo o terzo grado o
- disfunzione del nodo sinusale
A meno che questi pazienti non abbiano un pacemaker artificiale funzionante [vedi Avvertimenti e precauzioni ].
Farmacologia clinica for Lexiscan
Meccanismo d'azione
Regadenoson è un agonista a bassa affinità (K i ≈ 1,3 μm) per A 2a recettore dell'adenosina con almeno 10 volte di affinità inferiore per la a 1 recettore dell'adenosina (k i > 16,5 μm) e debole se qualche affinità per A 2b E A 3 Recettori dell'adenosina. Attivazione di A 2a Il recettore dell'adenosina di Regadenoson produce vasodilatazione coronarica e aumenta il flusso sanguigno coronarico (CBF).
Farmacodinamica
Flusso sanguigno coronarico
Lexiscan causes a rapid increase in CBF which is sustained for a short duration. In patients undergoing coronary catheterization pulsed-wave Doppler ultrasonography was used to measure the average peak velocity (APV) of coronary blood flow before E up to 30 minutes after administration of regadenoson (0.4 mg intravenously). Mean APV increased to greater than twice baseline by 30 seconds E decreased to less than twice the baseline level within 10 minutes [see Farmacocinetica
L'assorbimento miocardico del radiofarmaceutico è proporzionale a CBF. Poiché il lexiscano aumenta il flusso sanguigno nelle normali arterie coronarie con un aumento scarso o nullo nelle arterie stenotiche, il lexiscano provoca un assorbimento relativamente inferiore del radiofarmaceutico nei territori vascolari forniti da arterie stentiche. L'intensità dell'MPI dopo la somministrazione lexiscana è quindi maggiore nelle aree perfuse dal normale rispetto alle arterie stenoste.
Effetto della durata dell'iniezione
Uno studio sui cani ha confrontato gli effetti dell'iniezione endovenosa di 2,5 μg/kg di regadenosone (in 10 mL) in 10 secondi e 30 secondi su CBF. La durata di un duplice aumento del CBF è stata rispettivamente di 97 ± 14 secondi (n = 6) e 221 ± 20 secondi (n = 4) per le iniezioni da 10 secondi e 30 secondi. Gli effetti di picco (cioè un aumento massimo) su CBF dopo le iniezioni di 10 secondi e 30 secondi erano rispettivamente 217 ± 15% e 297 ± 33% al di sopra del basale. I tempi di picco dell'effetto su CBF erano rispettivamente di 17 ± 2 secondi e 27 ± 6 secondi.
Effetto dell'aminofillina
L'aminofillina (100 mg somministrata mediante un'iniezione endovenosa lenta su 60 secondi) iniettava 1 minuto dopo 0,4 mg di lexiscan nei pazienti sottoposti a cateterizzazione cardiaca ha dimostrato di abbreviare la durata della risposta del flusso sanguigno coronarico a Lexiscan come misurato come misurato dall'ectrasonografia Doppler a onde pulsata [vedi OVERDOSE ].
Effetto della caffeina
L'ingestione di caffeina riduce la capacità di rilevare difetti ischemici reversibili. In uno studio clinico di gruppo parallelo controllato con placebo, i pazienti con ischemia miocardica nota o sospetta hanno ricevuto un MPI di riposo/stress basale seguito da un secondo MPI di stress. I pazienti hanno ricevuto caffeina o placebo 90 minuti prima del secondo MPI di stress lexiscano. Dopo la somministrazione di caffeina (200 o 400 mg) il numero medio di difetti reversibili identificati è stato ridotto di circa il 60%. Questa diminuzione è stata statisticamente significativa [vedi Interazioni farmacologiche E Informazioni sul paziente ].
Soluzione oftalmica latanoprost 0,005 Effetti collaterali
Effetti emodinamici
Negli studi clinici la maggior parte dei pazienti ha avuto un aumento della frequenza cardiaca e una diminuzione della pressione sanguigna entro 45 minuti dalla somministrazione di lexiscan. Le massime variazioni emodinamiche dopo lexiscan e Adenoscan negli studi 1 e 2 sono riassunti nella Tabella 5.
Tabella 5 Effetti emodinamici negli studi 1 e 2
| Parametro di segno vitale | Lexiscan N = 1337 | Adenoscan N = 678 |
| Frequenza cardiaca | ||
| > 100 bpm | 22% | 13% |
| Aumento> 40 bpm | 5% | 3% |
| Pressione sanguigna sistolica | ||
| <90 mm H | 2% | 3% |
| Diminuzione> 35 mm Hg | 7% | 8% |
| ≥ 200 mm Hg | 1,9% | 1,9% |
| Aumento ≥ 50 mm Hg | 0,7% | 0,8% |
| ≥ 180 mm Hg e aumento di ≥ 20 mm Hg dal basale | 4,6% | 3,2% |
| Pressione sanguigna diastolica | ||
| <50 mm Hg | 2% | 4% |
| Diminuzione> 25 mm Hg | 4% | 5% |
| ≥ 115 mm Hg | 0,9% | 0,9% |
| Aumento ≥ 30 mm Hg | 0,5% | 1,1% |
Effetti emodinamici Following Inadequate Exercise
In uno studio clinico è stato somministrato il lexiscan per MPI a seguito di uno stress da esercizio inadeguato. Più pazienti con somministrazione lexiscana tre minuti dopo lo stress da esercizio inadeguato hanno avuto un aumento della frequenza cardiaca e una diminuzione della pressione arteriosa sistolica rispetto al lexiscano somministrato a riposo. I cambiamenti non sono stati associati a reazioni avverse clinicamente significative. Le massime variazioni emodinamiche sono presentate nella Tabella 6.
Tabella 6 Effetti emodinamici nello studio di stress da esercizio inadeguato
| Parametro di segno vitale | Gruppo 1 / MPI 1 Lexiscan 3 minutes following exercise (N = 575) | Gruppo 2 / MPI 1 Lexiscan 1 hour following exercise (N = 567) |
| Frequenza cardiaca | ||
| > 100 bpm | 44% | 31% |
| Aumento> 40 bpm | 5% | 16% |
| Pressione sanguigna sistolica | ||
| <90 mm H | 2% | 4% |
| Diminuzione> 35 mm Hg | 29% | 10% |
| ≥ 200 mm Hg | 0,9% | 0,4% |
| Aumento ≥ 50 mm Hg | 2% | 0,4% |
| ≥ 180 mm Hg e aumento di ≥ 20 mm Hg dal basale | 5% | 2% |
| Pressione sanguigna diastolica | ||
| <50 mm Hg | 3% | 3% |
| Diminuzione> 25 mm Hg | 6% | 5% |
| ≥ 115 mm Hg | 0,7% | 0,4% |
| Aumento ≥ 30 mm Hg | 2% | 1% |
Respiratorio Effects
I recettori A e di adenosina sono stati implicati nella fisiopatologia della broncocostrizione negli individui sensibili (cioè asmatici). In in vitro Studi Regadenoson non ha dimostrato di avere un'affinità di legame apprezzabile per A 2b E A 3 Recettori dell'adenosina.
In uno studio clinico randomizzato controllato con placebo su 999 pazienti con diagnosi o fattori di rischio per la malattia coronarica e l'asma simultaneo o la BPCO, l'incidenza delle reazioni avverse respiratorie (respiro sibilante di dispnea) era maggiore con lexiscani rispetto al placebo. Moderato (NULL,5%) o grave ( <1%) respiratory reactions were observed more frequently in the Lexiscan group compared to placebo [see Reazioni avverse ].
Farmacocinetica
In soggetti sani il profilo di concentrazione plasmatica di Regadenoson è di natura multi-esponenziale e meglio caratterizzato dal modello a 3 compartimenti. La massima concentrazione plasmatica di Regadenoson è raggiunta entro 1-4 minuti dall'iniezione di lexiscano e parallela all'inizio della risposta farmacodinamica. L'emivita di questa fase iniziale è di circa 2-4 minuti. Una fase intermedia segue con un'emivita in media di 30 minuti in coincidenza con la perdita dell'effetto farmacodinamico. La fase terminale consiste in un declino della concentrazione plasmatica con un'emivita di circa 2 ore [vedi Farmacodinamica ]. Within the dose range of 0.3–20 μg/kg in healthy subjects clearance terminal half-life or volume of distribution do not appear dependent upon the dose.
Un'analisi farmacocinetica della popolazione, compresi i dati di soggetti e pazienti, ha dimostrato che la clearance del regadenosone diminuisce in parallelo con una riduzione della clearance della creatinina e la clearance aumenta con un aumento del peso corporeo. L'età di genere e razza ha effetti minimi sulla farmacocinetica di Regadenoson.
Popolazioni specifiche
Pazienti compromessi renamente
La disposizione di Regadenoson è stata studiata in 18 pazienti con vari gradi di funzione renale e in 6 soggetti sani. Con aumento della compromissione renale da lieve (CLCR 50 a <80 mL/min) to moderate (CLcr 30 to < 50 mL/min) to severe renal impairment (CLcr < 30 mL/min) the fraction of regadenoson excreted unchanged in urine E the renal clearance decreased resulting in increased elimination half-lives E AUC values compared to healthy subjects (CLcr ≥ 80 mL/min). However the maximum observed plasma concentrations as well as volumes of distribution estimates were similar across the groups. The plasma concentration-time profiles were not significantly altered in the early stages after dosing when most pharmacologic effects are observed. No dose adjustment is needed in patients with renal impairment.
Pazienti con malattia renale in stadio finale
La farmacocinetica del regadenosone nei pazienti in dialisi non è stata valutata; Tuttavia in un in vitro Il regadenosone dello studio è risultato dializzabile.
Pazienti con comparimento epaticamente
L'influenza della compromissione epatica sulla farmacocinetica di Regadenoson non è stata valutata. Poiché maggiore del 55% della dose viene escreto nelle urine come farmaco invariato e i fattori che diminuiscono la clearance non influiscono sulla concentrazione plasmatica nelle prime fasi dopo il dosaggio quando si osserva che effetti farmacologici clinicamente significativi non sono necessari regolamenti dose nei pazienti con compromissione epatica.
Pazienti geriatrici
Sulla base di un'età di analisi farmacocinetica della popolazione ha un'influenza minore sulla farmacocinetica di Regadenoson. Non è necessario un aggiustamento della dose nei pazienti anziani.
Metabolismo
Il metabolismo di Regadenoson è sconosciuto negli umani. L'incubazione con il cane di ratto e i microsomi epatici umani e gli epatociti umani non hanno prodotto metaboliti rilevabili di Regadenoson.
Adderall a cosa è usato
Escrezione
Nei volontari sani il 57% della dose di regadenosone viene escreto invariato nelle urine (intervallo 19-77%) con un gioco renale al plasma medio di circa 450 ml/min, ovvero oltre il tasso di filtrazione glomerulare. Ciò indica che la secrezione tubulare renale svolge un ruolo nell'eliminazione del regadenosone.
Tossicologia animale e/o farmacologia
Cardiomiopatia
Cardiomiopatia minima (necrosi dei miociti e infiammazione) è stata osservata nei ratti a seguito della somministrazione a dose singola di regadenosone. È stata osservata una maggiore incidenza di cardiomiopatia minima nel giorno 2 nei maschi a dosi di 0,08 0,2 e 0,8 mg/kg (1/5 2/5 e 5/5) e nelle femmine (2/5) a 0,8 mg/kg. In uno studio separato sui ratti maschi la pressione arteriosa media è stata ridotta dal 30 al 50% dei valori basali fino a 90 minuti a dosi di regadenosone rispettivamente di 0,2 e 0,8 mg/kg. Nessuna cardiomiopatia è stata osservata nei ratti sacrificati 15 giorni dopo una singola somministrazione di Regadenoson. Il meccanismo della cardiomiopatia indotta da Regadenoson non è stato chiarito in questo studio ma è stato associato agli effetti ipotensivi del Regadenosone. È noto che una profonda ipotensione indotta dai farmaci vasoattivi provoca cardiomiopatia nei ratti.
Irritazione locale
La somministrazione endovenosa di lexiscano ai conigli ha provocato un'emorragia perivascolare vasculite infiammazione trombosi e necrosi con infiammazione e trombosi che persistono fino al giorno 8 (ultimo giorno di osservazione). La somministrazione perivascolare di lexiscan ai conigli ha provocato la formazione di pustole per infiammazione dell'emorragia e l'iperplasia epidermica che persistevano fino al giorno 8 ad eccezione dell'emorragia che si risolveva. La somministrazione sottocutanea di lexiscano ai conigli ha provocato un'infiammazione acuta e necrosi acuta; Il giorno è stata osservata la rigenerazione della fibra muscolare.
Studi clinici
Accordo tra lexiscan e adenoscan
L'efficacia e la sicurezza del lexiscano sono state determinate rispetto ad adenoscan in due studi randomizzati a doppio cieco (studi 1 e 2) nei pazienti del 2015 con malattia coronarica nota o sospetta che sono stati indicati per lo stress farmacologico MPI. Un totale di 1871 di questi pazienti avevano immagini considerate valide per la valutazione di efficacia primaria tra cui 1294 (69%) uomini e 577 (31%) donne con un'età media di 66 anni (intervallo 26-93 anni). Ogni paziente ha ricevuto una scansione di sollecitazione iniziale usando adenoscan (infusione di 6 minuti usando una dose di 0,14 mg/kg/min senza esercizio fisico) con un protocollo di imaging SPECT gated radionuclide. Dopo la scansione iniziale, i pazienti sono stati randomizzati a lexiscan o adenoscan e hanno ricevuto una seconda scansione di sollecitazione con lo stesso protocollo di imaging radionuclide di quello utilizzato per la scansione iniziale. Il tempo mediano tra le scansioni era di 7 giorni (intervallo di 1-104 giorni).
Le storie cardiovascolari più comuni includevano l'ipertensione (81%) CABG PTCA o lo stenting (51%) angina (63%) e la storia dell'infarto miocardico (41%) o dell'aritmia (33%); Altre storia medica includevano il diabete (32%) e la BPCO (5%). I pazienti con una storia recente di grave aritmia ventricolare non controllata infarto miocardico o angina instabile è stata esclusa una storia di un blocco AV maggiore del primo grado o con sindrome del seno malato di bradicardia sintomatica o un trapianto di cuore. Numerosi pazienti hanno assunto farmaci cardioattivi il giorno della scansione, inclusi β-bloccanti (18%) bloccanti del canale di calcio (9%) e nitrati (6%). Nella popolazione di studio aggregata il 68% dei pazienti aveva 0-1 segmenti che mostravano difetti reversibili sulla scansione iniziale il 24% aveva 2-4 segmenti e il 9% aveva ≥ 5 segmenti.
Il confronto tra le immagini ottenute con lexiscan con quelle ottenute con Adenoscan è stato eseguito come segue. Usando il modello a 17 segmenti Il numero di segmenti che mostra un difetto di perfusione reversibile è stato calcolato per lo studio iniziale di adenoscano e per lo studio randomizzato ottenuto usando lexiscan o adenoscan. Il tasso di accordo per l'immagine ottenuta con lexiscan o adenoscan rispetto all'immagine adenoscan iniziale è stato calcolato determinando la frequenza con cui i pazienti assegnati a ciascuna categoria adenoscan iniziale (0–1 2–4 5–17 segmenti reversibili) sono stati collocati nella stessa categoria con la scansione randomizzata. I tassi di accordo per Lexiscan e Adenoscan sono stati calcolati come media dei tassi di accordo tra le tre categorie determinate dalla scansione iniziale. Gli studi 1 e 2 hanno dimostrato ciascuno che il lexiscan è simile ad adenoscan nella valutazione dell'entità delle anomalie della perfusione reversibile (Tabella 7).
Tabella 7 Tassi di accordo negli studi 1 e 2
| Studio 1 | Studio 2 | |
| Adenoscan – Adenoscan Agreement Rate (± SE) | 61 ± 3% | 64 ± 4% |
| Adenoscan – Lexiscan Agreement Rate (± SE) | 62 ± 2% | 63 ± 3% |
| Differenza del tasso (lexiscan - adenoscan) (± SE) Intervallo di confidenza al 95% | 1 ± 4% -7,5 9,2% | -1 ± 5% -11,2 8,7% |
Uso del lexiscano in pazienti con stress da esercizio inadeguato
L'efficacia e la sicurezza del lexiscano somministrate 3 minuti (gruppo 1) o 1 ora (gruppo 2) a seguito di uno stress da esercizio inadeguato sono stati valutati in uno studio di non inferiorità multicentrico randomizzato in aperto. Un esercizio adeguato è stato definito come una frequenza cardiaca prevista ≥ 85% e ≥ 5 MET. SPECT MPI è stato eseguito 60-90 minuti dopo la somministrazione lexiscana in ciascun gruppo (MPI 1). I pazienti sono tornati 1-14 giorni dopo per sottoporsi a un secondo MPI di stress con lexiscan senza esercizio (MPI 2).
Tutti i pazienti sono stati indirizzati per la valutazione della malattia coronarica. Dei 1147 pazienti randomizzarono un totale di 1073 pazienti ricevette il lexiscano e avevano scansioni SPECT interpretabili in tutte le visite; 538 nel gruppo 1 e 535 nel gruppo 2. L'età media dei pazienti era di 62 anni (intervallo da 28 a 90 anni) e comprendeva 633 (59%) uomini e 440 (41%) donne.
Le immagini di MPI 1 e MPI 2 per i due gruppi sono state confrontate per la presenza o l'assenza di difetti di perfusione. Il livello di accordo tra MPI 1 e MPI 2 letture nel gruppo 1 era simile al livello di accordo tra MPI 1 e MPI 2 letture nel gruppo 2. Tuttavia, due pazienti che hanno ricevuto lexiscani 3 minuti dopo l'esercizio inadeguato hanno sperimentato una grave reazione avversa cardiaca. Non si sono verificate reazioni avverse cardiache gravi nei pazienti che hanno ricevuto lexiscan 1 ora dopo uno stress da esercizio inadeguato [vedi Reazioni avverse Farmacologia clinica ].
Informazioni sul paziente per lexiscan
Interazione farmacologica
I pazienti devono essere istruiti a evitare il consumo di prodotti contenenti metilxantine, tra cui tè al caffè caffeinati o altre bevande caffeinate, prodotti farmaceutici contenenti caffeina aminofillina e teofillina per almeno 12 ore prima di un radionuclide programmata [vedi Avvertimenti e precauzioni E Farmacologia clinica
Cardiovascolare
Consiglia ai pazienti che possono essere ad aumentato rischio di attacchi cardiaci fatali e non fatali ritmi cardiaci anormali di arresto cardiaco aumento significativo o diminuzione della pressione sanguigna o incidenti cerebrovascolari (ictus) con l'uso del lexiscano Avvertimenti e precauzioni ].
Ipersensibilità
Informare i pazienti che sono state riportate reazioni allergiche con lexiscano. Consiglia ai pazienti come riconoscere tale reazione e quando consultare il medico [vedi Avvertimenti e precauzioni ].
Respiratorio
Consiglia ai pazienti con BPCO o asma sulla necessità di somministrazione di terapia con broncodilatatore pre e post studio e di chiamare il loro medico se si verificano mancanza di respiro o difficoltà a respirare a seguito di uno studio MPI con lexiscan [vedi Avvertimenti e precauzioni ].
Confiscas
Consiglia ai pazienti che potrebbero essere ad aumentato rischio di convulsioni. Interrogare i pazienti su una storia di convulsioni [vedi Avvertimenti e precauzioni ].
Lattazione
Consiglia a una donna di pompare e scartare il latte materno per 10 ore dopo la somministrazione lexiscana [vedi Utilizzare in popolazioni specifiche ].