Le Informazioni Presenti Sul Sito Non Costituiscono Consulenza Medica. Non Vendiamo Nulla. L'Accuratezza Della Traduzione Non È Garantita. Disclaimer
Antidiabetici, biguanides/dipeptil peptidasi-IV inibitori
Janumet
Riepilogo della droga
Cos'è Janumet?
Janumet (Sitagliptin/Metformina HCL) è una combinazione di medicinali per il diabete orale per le persone con diabete di tipo 2 che non utilizzano iniezioni di insulina giornaliere. Janumet non è per il trattamento del diabete di tipo 1.
Quali sono gli effetti collaterali di Janumet?
Janumet
- orticaria
- Difficoltà a respirare
- gonfiore in faccia o gola
- febbre
- mal di gola
- Brucia nei tuoi occhi
- Dolore della pelle
- Eruzione cutanea rossa o viola che si diffonde e provoca blister e peeling
- grave dolore allo stomaco superiore che si diffonde alla schiena
- nausea
- vomito
- perdita di appetito
- battiti cardiaci veloci
- Dolore muscolare insolito
- Sentirsi freddo
- vertigini
- Accendino
- stanchezza
- debolezza
- dolori di stomaco
- frequenza cardiaca irregolare
- prurito
- vesciche
- Scomposizione dello strato esterno della pelle
- dolore grave o continuo alle articolazioni
- poco o nessun urinare
- fiato corto
- gonfiore alle gambe o ai piedi e
- Rapido aumento di peso
Ottieni subito assistenza medica se hai uno qualsiasi dei sintomi sopra elencati.
Gli effetti collaterali comuni di Janumet includono:
- nausea
- vomito
- Sconturoso stomaco
- diarrea
- stipsi
- mal di testa
- debolezza
- mal di schiena
- dolore articolare o muscolare
- un gusto metallico in bocca o
- Sintomi freddi come il naso che cola o soffocante starnuting e mal di gola.
Janumet di solito non causa a basso livello di zucchero nel sangue ( ipoglicemia ). Possono verificarsi zucchero nel sangue se Janumet è prescritto con altri farmaci antidiabetici. I sintomi del basso livello di zucchero nel sangue includono la sudorazione improvvisa che scuote la fame cardiaco rapida con le vertigini della visione offuscata o le mani/i piedi formicolanti.
Cerca cure mediche o chiama il 911 contemporaneamente se hai i seguenti gravi effetti collaterali:
- Sintomi di occhiali gravi come la perdita di visione improvvisa del tunnel della visione sfocata Dolore alla visione o gonfiore o vedere aloni attorno alle luci;
- Sintomi cardiaci gravi come battiti cardiaci irregolari o martellanti veloci; svolazzando nel petto; fiato corto; e improvvise vertigini spensieratezza o svenuta;
- Grave mal di testa confusione Il braccio del linguaggio bloccato o la debolezza delle gambe problemi perdite perdita di coordinamento sentendoti instabili muscoli molto rigidi ad alta febbre abbondante sudorazione o tremori.
Questo documento non contiene tutti i possibili effetti collaterali e altri possono verificarsi. Verificare con il tuo medico ulteriori informazioni sugli effetti collaterali.
Dosaggio per Janumet
Il dosaggio di Janumet è individualizzato. Janumet viene somministrato due volte al giorno con pasti in 50 mg di sitagliptin/500 mg di metformina cloridrato o da 50 mg di sitagliptin/1000 mg di dosi di metformina cloridrato.
Quali sostanze o integratori di farmaci interagiscono con Janumet?
Iperglicemia ( glicemia alta ) può derivare se si assumi Janumet con farmaci che aumentano lo zucchero nel sangue come: diuretici di isoniazide (pillole d'acqua) steroidi fenotiazine pillole di controllo delle nascite di medicina tiroidea e altre medicine con crisi di ormoni e pillole dietetiche o medicine per il trattamento del raffreddore o delle allergie per asma. L'ipoglicemia (basso livello di zucchero nel sangue) può derivare se si prende Janumet con farmaci che abbassano lo zucchero nel sangue come: farmaci antinfiammatori non steroidei (FANS) aspirina o altri salicilati farmaci sulfA Inibitori della monoamina ossidasi (MAOIS) beta-bloccanti o probenecidi. Può anche interagire con amiloride triamterene cimetidina ranitidina digossina furosemide morfina nifedipina procainamide chinidina trimethoprim o vancomicina. Di 'al medico tutti i farmaci che usi.
Janumet durante la gravidanza o l'allattamento
Durante la gravidanza Janumet dovrebbe essere usato solo quando prescritto. Il medico può indirizzarti a utilizzare l'insulina invece di questo prodotto durante la gravidanza. La metformina può promuovere l'ovulazione e aumentare il rischio di rimanere incinta. Consulta il proprio medico sull'uso del controllo delle nascite. La metformina passa nel latte materno in piccole quantità. Non è noto se Sitagliptin passa nel latte materno. Consulta il medico prima dell'allattamento al seno.
Ulteriori informazioni
Il nostro Centro farmacologico di Janumet (Sitagliptin/Metformin HCL) fornisce una visione completa delle informazioni disponibili sui farmaci sui potenziali effetti collaterali durante l'assunzione di questo farmaco.
Informazioni sui farmaci FDA
- Descrizione del farmaco
- Indicazioni
- Effetti collaterali
- Interazioni farmacologiche
- Avvertimenti
- Overdose
- Farmacologia clinica
- Guida ai farmaci
AVVERTIMENTO
Acidosi lattica
L'acidosi lattica è una complicanza rara ma grave che può verificarsi a causa dell'accumulo di metformina. Il rischio aumenta con condizioni come la disidratazione della sepsi in eccesso di assunzione di alcol compromissione epatica Renicizzazione renale e insufficienza cardiaca congestizia acuta.
L'esordio è spesso sottile accompagnato solo da sintomi non specifici come le milli di malessere che aumentano la sonnolenza e il disagio addominale non specifico.
Le anomalie di laboratorio comprendono il basso divario anionico ad aumento del pH e il lattato nel sangue elevato.
Se si sospetta che l'acidosi Janumet debba essere sospesa e il paziente ricoverato immediatamente. [Vedi avvertimenti e PRECAUZIONI ]
Descrizione per Janumet
Le compresse di Janumet (Sitagliptin e Metformina HCL) contengono due farmaci antiiperglicemici orali utilizzati nella gestione del diabete di tipo 2: sitagliptin e metformina cloridrato.
Sitagliptin
Sitagliptin is an orally-active inhibitor of the dipeptidyl peptidase-4 (DPP-4) enzyme. Sitagliptin is present in Janumet tablets in the form of sitagliptin phosphate monohydrate. Sitagliptin phosphate monohydrate is described chemically as 7-[(3R)-3-amino-1-oxo-4-(245-trifluorophenyl)butyl]-5678tetrahydro-3-(trifluoromethyl)-124-triazolo[43-a]pyrazine phosphate (1:1) monohydrate with an empirical formula of C 16 H 15 F 6 N 5 OH. 3 Po 4 • H. 2 O e un peso molecolare di 523,32. La formula strutturale è:
|
Sitagliptin phosphate monohydrate is a white to off-white crystalline non-hygroscopic powder. It is soluble in water E NN-dimethyl formamide; slightly soluble in methanol; very slightly soluble in ethanol acetone E acetonitrile; E insoluble in isopropanol E isopropyl acetate.
Metformina cloridrato
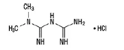
La metformina cloridrato (diamide cloridrato NN-dimetilimidodicarbonimidica) non è chimicamente o farmacologicamente correlata a qualsiasi altra classi di agenti antiiperglicemici orali. La metformina cloridrato è un composto cristallino da bianco a bianco sporco con una formula molecolare di C 4 H 11 N 5 • H.Cl E a molecular weight of 165.63. Metformina hydrochloride is freely soluble in water E is practically insoluble in acetone ether E chloroform. The pKa of metformin is 12.4. The pH of a 1% aqueous solution of metformin hydrochloride is 6.68. The structural formula is as shown:
|
Janumet
Janumet is available for oral administration as tablets containing 64.25 mg sitagliptin phosphate monohydrate E metformin hydrochloride equivalent to: 50 mg sitagliptin as free base E 500 mg metformin hydrochloride (Janumet 50 mg/500 mg) or 1000 mg metformin hydrochloride (Janumet 50 mg/1000 mg). Each film-coated tablet of Janumet contains the following inactive ingredients: microcrystalline cellulose polyvinylpyrrolidone sodium lauryl sulfate E sodium stearyl fumarate. In addition the film coating contains the following inactive ingredients: polyvinyl alcohol polyethylene glycol talc titanium dioxide red iron oxide E black iron oxide.
Usi per Janumet
Janumet is indicated as an adjunct to diet E exercise to improve glycemic control in adults with type 2 diabete mellito.
Limiti di utilizzo
Janumet should not be used in patients with type 1 diabete mellito.
Janumet has not been studied in patients with a history of pancreatitis. It is unknown whether patients with a history of pancreatitis are at increased risk for the development of pancreatitis while using Janumet. [Vedere AVVERTIMENTOS AND PRECAUZIONI ]
Dosaggio per Janumet
Dosaggio consigliato
- Prendi Janumet oralmente due volte al giorno con i pasti.
- Individuare il dosaggio di Janumet sulla base dell'attuale efficacia e tollerabilità del regime del paziente.
- La dose giornaliera consigliata massima è di 100 mg di sitagliptin e 2000 mg di metformina cloridrato (HCL).
- Non dividere o dividere le compresse di Janumet.
- La dose di partenza raccomandata in pazienti non attualmente trattati con metformina è di 50 mg di sitagliptin e 500 mg di metformina HCL due volte al giorno con un'escalation di dose graduale raccomandata per ridurre gli effetti collaterali gastrointestinali associati alla metformina.
- La dose di partenza nei pazienti già trattati con metformina dovrebbe fornire la sitagliptin dosata come 50 mg due volte al giorno (dose giornaliera totale da 100 mg) e la dose di metformina già assunta. Per i pazienti che assumono metformina HCl 850 mg due volte al giorno, la dose di partenza raccomandata di Janumet è di 50 mg sitagliptin e 1000 mg di metformina HCl due volte al giorno.
Raccomandazioni per l'uso in danni renali
- Valutare la funzione renale prima dell'inizio di Janumet e successivamente periodicamente.
- Janumet is contraindicated in patients with an estimated glomerular filtration rate (eGFR) below 30 mL/min/1.73 m 2 [Vedere Controindicazioni E AVVERTIMENTOS AND PRECAUZIONI ].
- Janumet is not recommended in patients with an eGFR between 30 E less than 45 mL/min/1.73 m 2 Poiché questi pazienti richiedono un dosaggio inferiore di sitagliptin rispetto a quello che è disponibile nel prodotto Janumet della combinazione fissa.
Interruzione delle procedure di imaging del contrasto iodinato
Interrompere Janumet al momento o prima di una procedura di imaging di contrasto iodinata in pazienti con EGFR tra 30 e 60 ml/min/1,73 m 2 ; nei pazienti con una storia di alcolismo e insufficienza cardiaca; o nei pazienti che verranno somministrati contrasto iodinato intra-arterioso. Rivalutare EGFR 48 ore dopo la procedura di imaging; Riavvia Janumet se la funzione renale è stabile [vedi AVVERTIMENTOS AND PRECAUZIONI ].
Come fornito
Forme di dosaggio e punti di forza
Compresse:
- Sitagliptin 50 mg e compresse HCl 500 mg di metformina sono compresse rivestite a pellicola a forma di capsula rosa chiaro con 575 debossi su un lato.
- Sitagliptin 50 mg e le compresse di metformina HCl 1000 mg sono compresse rivestite a pellicola a forma di capsula rossa con 577 debossi su un lato.
Archiviazione e maneggevolezza
Compresse fornite come segue:
| Contenuto | Descrizione | Come fornito | Ndc |
| 50 mg Sitagliptin e 500 mg di metformina HCl | compresse rivestite con pellicola a forma di capsule rosa chiaro con 575 debossi su un lato | bottiglie di unità di uso di 60 | Ndc 0006-0575-61 |
| bottiglie di unità di uso di 180 | Ndc 0006-0575-62 | ||
| bottiglie di massa di 1000 | Ndc 0006-0575-82 | ||
| 50 mg di sitagliptin e 1000 mg di metformina HCl | compresse con rivestimento a forma di capsula rossa con 577 debossi su un lato | bottiglie di unità di uso di 60 | Ndc 0006-0577-61 |
| bottiglie di unità di uso di 180 | Ndc 0006-0577-62 | ||
| bottiglie di massa di 1000 | Ndc 0006-0577-82 |
Conservare le escursioni di 20-25 ° C (68-77 ° F) consentite a 15-30 ° C (59-86 ° F). [Vedi la temperatura ambiente controllata da USP.]
Distribuito da Merck
Effetti collaterali for Janumet
Le seguenti reazioni avverse sono anche discusse altrove nell'etichettatura:
- Acidosi lattica [vedi AVVERTIMENTOS AND PRECAUZIONI ]
- Pancreatite [vedi AVVERTIMENTOS AND PRECAUZIONI ]
- Insufficienza cardiaca [vedi AVVERTIMENTOS AND PRECAUZIONI ]
- Insufficienza renale acuta [vedi AVVERTIMENTOS AND PRECAUZIONI ]
- Vitamina B. 12 Carenza [vedi AVVERTIMENTOS AND PRECAUZIONI ]
- Ipoglicemia con uso concomitante con insulina o secretagoghi di insulina [vedi AVVERTIMENTOS AND PRECAUZIONI ]
- Reazioni di ipersensibilità [vedi AVVERTIMENTOS AND PRECAUZIONI ]
- Artralgia grave e invalidante [vedi AVVERTIMENTOS AND PRECAUZIONI ]
- Pemfigoide Burous [vedi AVVERTIMENTOS AND PRECAUZIONI ]
Esperienza di studi clinici
Poiché gli studi clinici sono condotti in condizioni di reazione avverse ampiamente variabili osservate negli studi clinici di un farmaco non possono essere paragonati direttamente ai tassi negli studi clinici di un altro farmaco e potrebbero non riflettere i tassi osservati nella pratica.
Sitagliptin And Metformina Coadministration In Patients With Type 2 Diabetes Inadequately Controlled On Diet And Exercise
La tabella 1 riassume le reazioni avverse più comuni (≥5% dei pazienti) riportate (indipendentemente dalla valutazione dello investigatore della causalità) in uno studio fattoriale controllato con placebo di 24 settimane in cui sitagliptin e la metformina sono stati minimizzati con i pazienti con diabete di tipo 2 inadeguatamente controllato sulla dieta ed esercizio.
Tabella 1: sitagliptin e metformina si sono somministrati con i pazienti con diabete di tipo 2 in modo inadeguatamente controllato sulla dieta e sull'esercizio: reazioni avverse riportate (indipendentemente dalla valutazione dello investigatore della causalità) nel ≥5% dei pazienti che hanno ricevuto terapia di combinazione (e maggiore rispetto ai pazienti che hanno ricevuto placebo)**
| Numero di pazienti (%) | ||||
| Placebo | Sitagliptin 100 mg once daily | Metformina HCl 500 mg/ metformina HCl 1000 mg due volte al giorno † | Sitagliptin 50 mg twice daily + Metformina HCl 500 mg/ metformina HCl 1000 mg due volte al giorno † | |
| N = 176 | N = 178 | N = 364 † | N = 372 † | |
| Diarrea | 7 (4.0) | 5 (2.8) | 28 (7.7) | 28 (7.5) |
| Infezione del tratto respiratorio superiore | 9 (5.1) | 8 (4.5) | 19 (5.2) | 23 (6.2) |
| Mal di testa | 5 (2.8) | (1.1) | 14 (3.8) | 22 (5.9) |
| * Popolazione intento per il trattamento. † Dati raggruppati per i pazienti somministrati le dosi più basse e più elevate di metformina. |
Sitagliptin Add-On Therapy In Patients With Type 2 Diabetes Inadequately Controlled On Metformina Alone
In uno studio controllato con placebo di 24 settimane su Sitagliptin 100 mg somministrato una volta al giorno aggiunto a un regime di metformina due volte al giorno, non sono state riportate reazioni avverse indipendentemente dalla valutazione dello investigatore della causalità nel ≥5% dei pazienti e più comunemente rispetto ai pazienti dati. L'interruzione della terapia dovuta alle reazioni avverse cliniche era simile al gruppo di trattamento placebo (sitagliptin e metformina 1,9%; placebo e metformina 2,5%).
Reazioni avverse gastrointestinali
Le incidenze di esperienze avverse gastrointestinali preselezionate nei pazienti trattati con sitagliptin e metformina erano simili a quelle riportate per i pazienti trattati con metformina da sola. Vedi Tabella 2.
Tabella 2: reazioni avverse gastrointestinali preselezionate (indipendentemente dalla valutazione dello investigatore della causalità) riportate in pazienti con diabete di tipo 2 che ricevono sitagliptin e metformina
| Numero di pazienti (%) | ||||||
| Studio di sitagliptin e metformina in pazienti inadeguatamente controllati sulla dieta e sull'esercizio fisico | Studio del componente aggiuntivo di Sitagliptin in pazienti inadeguatamente controllati sulla sola metformina | |||||
| Placebo | Sitagliptin 100 mg once daily | Metformina HCl 500 mg/ metformina HCl 1000 mg due volte al giorno* | Sitagliptin 50 mg twice daily + Metformina HCl 500 mg/ metformina HCl 1000 mg due volte al giorno* | Placebo E Metformina HCl ≥1500 mg daily | Sitagliptin 100 mg once daily E Metformina HCl ≥1500 mg daily | |
| N = 176 | N = 179 | N = 364 | N = 372 | N = 237 | N = 464 | |
| Diarrea | 7 (4.0) | 5 (2.8) | 28 (7.7) | 28 (7.5) | 6 (2.5) | 11 (2.4) |
| Nausea | 2 (1.1) | 2 (1.1) | 20 (NULL,5) | 18 (4.8) | 2 (NULL,8) | 6 (1.3) |
| Vomito | 1 (NULL,6) | 0 (NULL,0) | 2 (NULL,5) | 8 (2.2) | 2 (NULL,8) | 5 (1.1) |
| Dolore addominale † | 4 (2.3) | 6 (3.4) | 14 (3.8) | 11 (3.0) | 9 (3.8) | 10 (2.2) |
| * Dati raggruppati per i pazienti somministrati le dosi più basse e più elevate di metformina. † Il disagio addominale è stato incluso nell'analisi del dolore addominale nello studio della terapia iniziale. |
Sitagliptin In Combination With Metformina And Glimepiride
In uno studio controllato con placebo di 24 settimane su Sitagliptin 100 mg come terapia aggiuntiva in pazienti con diabete di tipo 2 in modo inadeguatamente controllato su metformina e glimepiride (sitagliptin n = 116; placebo n = 113) Le reazioni avverse sono state riportate indipendentemente dallo investigatore di valutazione dell'investigato Ipoglicemia (Tabella 3) e mal di testa (NULL,9% 2,7%).
Sitagliptin In Combination With Metformina And Rosiglitazone
In a placebo-controlled study of sitagliptin 100 mg as add-on therapy in patients with type 2 diabetes inadequately controlled on metformin and rosiglitazone (sitagliptin N=181; placebo N=97) the adverse reactions reported regardless of investigator assessment of causality through Week 18 in ≥5% of patients treated with sitagliptin and more commonly than in patients treated with placebo were: upper Infezione del tratto respiratorio (sitagliptin 5,5%; placebo 5,2%) e rinofaringite (NULL,1%4,1%). Durante la settimana 54 Le reazioni avverse riportate indipendentemente dalla valutazione dello investigatore della causalità nel ≥5%dei pazienti trattati con sitagliptin e più comunemente rispetto ai pazienti trattati con placebo erano: infezione del tratto respiratorio superiore (sitagliptin 15,5%; 6,5%; heatbo 6,5%(NULL,5%(NULL,5%(NULL,5%(NULL,5%(NULL,5%(NULL,5%(NULL,5%(NULL,5%(NULL,5%(NULL,5%).
Sitagliptin In Combination With Metformina And Insulin
In uno studio controllato con placebo di 24 settimane su Sitagliptin 100 mg come terapia aggiuntiva in pazienti con diabete di tipo 2 inadeguatamente controllato su metformina e insulina (sitagliptin n = 229; placebo n = 233) L'unica reazione avversa segnalata indipendentemente dallo investigatore di valutazione dell'investigato Ipoglicemia (Tabella 3).
Ipoglicemia
Negli studi di cui sopra (n = 5) le reazioni avverse dell'ipoglicemia si basavano su tutte le segnalazioni di ipoglicemia sintomatica; Non era richiesta una misurazione simultanea del glucosio sebbene la maggior parte dei rapporti (77%) di ipoglicemia fossero accompagnati da una misurazione del glicemia ≤70 mg/dl. Quando la combinazione di sitagliptin e metformina è stata somministrata con un cocomino con una solfonilurea o con insulina, la percentuale di pazienti che segnalavano almeno una reazione avversa di ipoglicemia era più alta di quella osservata con il placebo e la metformina co -miniscata con una solfonilurea o con insulina (Tabella 3).
Tabella 3: incidenza e tasso di ipoglicemia* (indipendentemente dalla valutazione degli investigatori della causalità) negli studi clinici controllati con placebo sulla sitagliptin in combinazione con metformina con co-amministrazione con glimepiride o insulino
| AGGIUNDO A METFORMINA GLIMEPIRIDE (24 settimane) | Sitagliptin 100 mg + Metformina + Glimepiride | Placebo + Metformina + Glimepiride |
| N = 116 | N = 113 | |
| 19 (16.4) | 1 (NULL,9) | |
| † | 0.82 | 0.02 |
| ‡ | 0 (NULL,0) | 0 (NULL,0) |
| Componente aggiuntivo a metformina insulina (24 settimane) | Sitagliptin 100 mg + Metformina + Insulin | Placebo + Metformina + Insulin |
| N = 229 | N = 233 | |
| 35 (15.3) | 19 (8.2) | |
| † | 0.98 | 0.61 |
| ‡ | 1 (NULL,4) | 1 (NULL,4) |
| * Le reazioni avverse dell'ipoglicemia erano basate su tutte le segnalazioni di ipoglicemia sintomatica; Non era necessaria una misurazione simultanea del glucosio: popolazione intenzione a trattare. † Sulla base del numero totale di eventi (ovvero un singolo paziente potrebbe aver avuto più eventi). ‡ Eventi gravi di ipoglicemia sono stati definiti come quegli eventi che richiedono assistenza medica o esibiscono il livello/perdita di coscienza o convulsioni depresse. |
L'incidenza complessiva delle reazioni avverse riportate dell'ipoglicemia nei pazienti con diabete di tipo 2 inadeguatamente controllato sulla dieta e sull'esercizio fisico è stata dello 0,6% nei pazienti somministrati allo 0,6% in pazienti somministrati da solo sitagliptin dello 0,8% nei pazienti somministrati da solo alla metformina e dell'1,6% nei pazienti somministrati sitagiptin in combinazione con metformina. Nei pazienti con diabete di tipo 2 inadeguatamente controllato sulla sola metformina, l'incidenza complessiva delle reazioni avverse dell'ipoglicemia è stata dell'1,3% nei pazienti somministrati sitagliptin aggiuntivo e 2,1% nei pazienti somministrati placebo aggiuntivi.
Ciò che è ciprofloxacina usata per il trattamento
Nello studio della terapia di combinazione di Sitagliptin e componente aggiuntiva con metformina e rosiglitazone, l'incidenza complessiva di ipoglicemia è stata del 2,2% nei pazienti somministrati sitagliptipt aggiuntivi e 0,0% nei pazienti somministrati con il componente aggiuntivo durante la settimana 18. Attraverso la settimana 54 L'incidenza complessiva di ipoglicemia è stata del 3,9% in pazienti somministrati a un componente sit-on e 1,0% in somministrazione a compimento in seguito al placebo.
In un ulteriore studio controllato con placebo di 30 settimane su pazienti con diabete di tipo 2 inadeguatamente controllato con metformina che confronta il mantenimento del sitagliptin 100 mg rispetto al ritiro di Sitagliptin in cui iniziava il tasso di insulino e l'incidenza di Ipoglicemia sintomatica (misurazione della glicemia (misurazione della glicemia (misurazione della glicemia elaborate.
Segni vitali ed elettrocardiogrammi
Con la combinazione di sitagliptin e metformina non sono stati osservati cambiamenti clinicamente significativi nei segni vitali o in ECG (incluso nell'intervallo QTC).
Pancreatite
In a pooled analysis of 19 double-blind clinical trials that included data from 10246 patients randomized to receive sitagliptin 100 mg/day (N=5429) or corresponding (active or placebo) control (N=4817) the incidence of acute pancreatitis was 0.1 per 100 patient-years in each group (4 patients with an event in 4708 patient-years for sitagliptin and 4 patients with an event in 3942 pazienti con il controllo).
Sitagliptin
L'esperienza avversa più comune nella monoterapia di Sitagliptin riportata indipendentemente dalla valutazione dello investigatore della causalità in ≥5% dei pazienti e più comunemente rispetto ai pazienti somministrati placebo era la rinofaringite.
Metformina
Le reazioni avverse più comuni (> 5%) stabilite dovute all'inizio della terapia della metformina sono la diarrea nausea/vomito flatulenza a disagio addominale astenia e mal di testa.
Test di laboratorio
Sitagliptin
L'incidenza delle reazioni avverse di laboratorio era simile nei pazienti trattati con sitagliptin e metformina (NULL,6%) rispetto ai pazienti trattati con placebo e metformina (NULL,7%). Nella maggior parte ma non di tutti gli studi, è stato osservato un piccolo aumento della conta dei globuli bianchi (circa 200 cellule/differenza di microl nel WBC vs placebo; WBC medio basale circa 6600 cellule/microl) a causa di un piccolo aumento dei neutrofili. Questo cambiamento nei parametri di laboratorio non è considerato clinicamente rilevante.
Metformina
In studi clinici controllati di metformina della durata di 29 settimane una diminuzione dei livelli subnormali di vitamina B sierica precedentemente normale 12 I livelli senza manifestazioni cliniche sono stati osservati in circa il 7% dei pazienti. Tale diminuzione probabilmente dovuta a interferenze con b 12 assorbimento dalla b 12 -Complesso del fattore intrinseco è tuttavia molto raramente associato all'anemia e sembra essere rapidamente reversibile con l'interruzione della metformina o della vitamina B 12 supplementazione.
Esperienza post -marketing
Ulteriori reazioni avverse sono state identificate durante l'uso post -approvazione di Janumet Sitagliptin o Metformina. Poiché queste reazioni sono riportate volontariamente da una popolazione di dimensioni incerte, generalmente non è possibile stimare in modo affidabile la loro frequenza o stabilire una relazione causale con l'esposizione ai farmaci.
Reazioni di ipersensibilità tra cui anafilassi angioedema cutano orticaria vasculite cutanea e condizioni cutanee esfoliative tra cui la sindrome di Stevens-Johnson; Infezione del tratto respiratorio superiore; elevazioni enzimatiche epatiche; pancreatite acuta compresa la pancreatite emorragica e necrotizzante fatale e non fatale [vedi Indicazioni ]; peggioramento della funzione renale tra cui insufficienza renale acuta (a volte che richiede dialisi) e nefrite tubulointerstiziale; Artralgia grave e invalidante; pemfigoide bolloso; stipsi; vomito; mal di testa; mialgia; dolore all'estremità; mal di schiena; prurito; ulcerazione della bocca; stomatite; Lesioni epatocellulari epatocellulari epatocellulari colestatiche; rabdomiolisi.
Interazioni farmacologiche for Janumet
La tabella 4 presenta interazioni farmacologiche clinicamente significative con Janumet:
Tabella 4: interazioni farmacologiche clinicamente significative con Janumet
| Inibitori dell'anidrasi carbonica | |
| Impatto clinico: | Gli inibitori dell'anidrasi carbonica spesso causano una diminuzione del bicarbonato sierico e inducono acidosi metabolica ipercloromica di gap non anione. L'uso concomitante di questi farmaci con Janumet può aumentare il rischio di acidosi lattica. |
| Intervento: | Prendi in considerazione un monitoraggio più frequente di questi pazienti. |
| Esempi: | Topiramato zonisamide acetazolamide o diclorfenamide. |
| Farmaci che riducono la clearance della metformina | |
| Impatto clinico: | L'uso concomitante di farmaci che interferiscono con i comuni sistemi di trasporto tubulare renale coinvolti nell'eliminazione renale della metformina (ad es. Transporter cationico organico-2 [OCT2] / Multidrug e estrusione di tossina [Mate] inibitori) potrebbe aumentare l'esposizione sistemica alla metformina e potrebbe aumentare il rischio per l'acidosi lattica [vedi Farmacologia clinica ]. |
| Intervento: | Considera i benefici e i rischi dell'uso concomitante con Janumet. |
| Esempi: | Ranolazina vandetanib dolutegravir e cimidina. |
| Alcool | |
| Impatto clinico: | Alcool is known to potentiate the effect of metformin on lactate metabolism. |
| Intervento: | Avvertire i pazienti contro l'assunzione di alcol mentre ricevono Janumet. |
| Secretagoghi di insulina o insulina | |
| Impatto clinico: | La somministrazione di co -amministrazione di Janumet con un secretagogo dell'insulina (ad es. Sulfonilurea) o insulina può aumentare il rischio di ipoglicemia. |
| Intervento: | I pazienti che ricevono un secretagogo dell'insulina o un'insulina possono richiedere dosi più basse del secretagogo dell'insulina o dell'insulina. |
| Farmaci che colpiscono il controllo glicemico | |
| Impatto clinico: | Alcuni farmaci tendono a produrre iperglicemia e possono portare alla perdita del controllo glicemico. |
| Intervento: | Quando tali farmaci vengono somministrati a un paziente che riceve Janumet osservare da vicino il paziente per la perdita di controllo della glicemia. Quando tali farmaci vengono ritirati da un paziente che riceve Janumet osservare da vicino il paziente per l'ipoglicemia. |
| Esempi: | Tiazidi e altri corticosteroidi diuretici fenotiazine Prodotti tiroidei Estrogeni Contraccettivi orali Fenitoina Acido nicotinico Simpatico Blocchi di canali di calcio e isoniazide. |
Avvertimenti per Janumet
Incluso come parte del 'PRECAUZIONI' Sezione
Precauzioni per Janumet
Acidosi lattica
Ci sono stati casi post-marketing di acidosi lattica associata alla metformina, compresi i casi fatali. Questi casi avevano un esordio sottile e erano accompagnati da sintomi non specifici come il dolore addominale di malegie di malessere o un aumento della sonnolenza; Tuttavia si sono verificati ipotermia ipotensione e bradyarritmie resistenti con acidosi grave. L'acidosi lattica associata alla metformina era caratterizzata da elevate concentrazioni di lattato nel sangue (> 5 mmol/ litro) Acidosi anionica (senza evidenza di chetonuria o chetonemia) e un aumento del rapporto lattato/ piruvato; I livelli plasmatici di metformina erano generalmente> 5 mcg/mL. La metformina riduce l'assorbimento epatico del lattato aumentando i livelli ematici del lattato che può aumentare il rischio di acidosi lattica, specialmente nei pazienti a rischio.
Se l'acidosi lattica associata alla metformina è sospettata che le misure di supporto generali dovrebbero essere istituite prontamente in un ambiente ospedaliero insieme alla sospensione immediata di Janumet. Nei pazienti trainati da Janumet con una diagnosi o un forte sospetto di acidosi lattica pronta l'emodialisi è raccomandato per correggere l'acidosi e rimuovere la metformina accumulata (la metformina HCL è dialzabile con una clearance fino a 170 ml/min in buone condizioni emodinamiche). L'emodialisi ha spesso comportato l'inversione dei sintomi e del recupero.
Educare i pazienti e le loro famiglie sui sintomi dell'acidosi lattica e se si verificano questi sintomi istruiscono loro di interrompere Janumet e segnalare questi sintomi al proprio operatore sanitario.
Per ciascuno dei fattori di rischio noti e possibili per le raccomandazioni sull'acidosi lattica associata alla metformina per ridurre e gestire l'acidosi lattica associata alla metformina sono fornite di seguito:
Compromissione renale
I casi di acidosi lattica associati alla metformina post-marketing si sono verificati principalmente in pazienti con significativa compromissione renale. Il rischio di accumulo di metformina e acidosi lattica associata alla metformina aumenta con la gravità della compromissione renale perché la metformina viene sostanzialmente escreta dal rene. Le raccomandazioni cliniche basate sulla funzione renale del paziente includono [vedi Dosaggio e amministrazione E Farmacologia clinica ]:
- Prima di iniziare Janumet ottenere un tasso di filtrazione glomerulare stimato (EGFR).
- Janumet is contraindicated in patients with an eGFR below 30 mL/min/1.73 m 2 [Vedere Controindicazioni ].
- Janumet is not recommended in patients with an eGFR between 30 E less than 45 mL/min/1.73 m 2 Poiché questi pazienti richiedono un dosaggio inferiore di sitagliptin rispetto a quello che è disponibile nel prodotto Janumet della combinazione fissa.
- Ottieni un EGFR almeno ogni anno in tutti i pazienti che assumono Janumet. Nei pazienti ad aumentato rischio per lo sviluppo di compromissione renale (ad es. Gli anziani) la funzione renale dovrebbe essere valutata più frequentemente.
Interazioni farmacologiche
L'uso concomitante di Janumet con farmaci specifici può aumentare il rischio di acidosi lattica associata alla metformina: quelli che compromettono la funzione renale provocano un significativo cambiamento emodinamico interferiscono con l'equilibrio acido-base o aumentano l'accumulo di metformina [vedi Interazioni farmacologiche ]. Therefore consider more frequent monitoring of patients.
Età 65 o più
Il rischio di acidosi lattica associata alla metformina aumenta con l'età del paziente perché i pazienti anziani hanno una maggiore probabilità di avere una compromissione renale e cardiaca epatica rispetto ai pazienti più giovani. Valutare la funzione renale più frequentemente nei pazienti anziani [vedi Utilizzare in popolazioni specifiche ].
Studi radiologici con contrasto
La somministrazione di agenti di contrasto iodinati intravascolari nei pazienti trattati con metformina ha portato a una riduzione acuta della funzione renale e alla presenza di acidosi lattica. Fermare Janumet al momento di o prima di una procedura di imaging di contrasto iodinata in pazienti con EGFR tra 30 e 60 ml/min/1,73 m 2 ; nei pazienti con una storia di alcolismo epatico per alcolismo o insufficienza cardiaca; o nei pazienti che verranno somministrati contrasto iodinato intra-arterioso. Rivalutare l'EGFR 48 ore dopo la procedura di imaging e riavviare Janumet se la funzione renale è stabile.
Chirurgia e altre procedure
La ritenuta di cibo e fluidi durante le procedure chirurgiche o di altro tipo può aumentare il rischio di ipotensione di esaurimento del volume e compromissione renale. Janumet dovrebbe essere temporaneamente sospeso mentre i pazienti hanno limitato l'assunzione di alimenti e liquidi.
Stati ipossici
Numerosi casi post-marketing di acidosi lattica associata alla metformina si sono verificati nel contesto dell'acuto insufficienza cardiaca congestizia (in particolare se accompagnato da ipoperfusione e ipossiemia). Il collasso cardiovascolare (shock) la sepsi miocardica acuta e altre condizioni associate all'ipossiemia sono state associate ad acidosi lattica e possono anche causare azotemia prerenale. Quando si verificano tali eventi interrompere Janumet.
Assunzione eccessiva di alcol
Alcool potentiates the effect of metformin on lactate metabolism E this may increase the risk of metformin-associated lactic acidosis. Warn patients against excessive alcohol intake while receiving Janumet.
Compromissione epatica
I pazienti con compromissione epatica si sono sviluppati con casi di acidosi lattica associata alla metformina. Ciò può essere dovuto alla clearance del lattato compromessa con conseguenti livelli ematici di lattato più elevati. Pertanto evitare l'uso di Janumet in pazienti con evidenza clinica o di laboratorio di malattia epatica.
Pancreatite
Ci sono state segnalazioni post-marketing di pancreatite acuta tra cui pancreatite emorragica o necrotizzante fatale e non fatale nei pazienti che assumono Janumet. Dopo l'inizio dei pazienti di Janumet dovrebbe essere osservato attentamente per segni e sintomi della pancreatite. Se la pancreatite è sospettata che Janumet dovrebbe essere prontamente sospeso e dovrebbe essere avviata una gestione appropriata. Non è noto se i pazienti con una storia di pancreatite abbiano un rischio maggiore per lo sviluppo della pancreatite mentre si utilizza Janumet.
Insufficienza cardiaca
An association between dipeptidyl peptidase-4 (DPP-4) inhibitor treatment and heart failure has been observed in cardiovascular outcomes trials for two other members of the DPP-4 inhibitor class. These trials evaluated patients with type 2 diabete mellito E atherosclerotic cardiovascular disease.Consider the risks E benefits of Janumet prior to initiating treatment in patients at risk for heart failure such as those with a prior history of heart failure E a history of renal impairment E observe these patients for signs E symptoms of heart failure during therapy. Advise patients of the characteristic symptoms of heart failure E to immediately report such symptoms. If heart failure develops evaluate E manage according to current stEards of care E consider discontinuation of Janumet.
Insufficienza renale acuta
Ci sono stati rapporti post -marketing di peggioramento della funzione renale, incluso insufficienza renale acuta a volte richiede la dialisi. Prima di iniziare la terapia con Janumet e almeno ogni anno in seguito la funzione renale dovrebbe essere valutata. Nei pazienti in cui è previsto lo sviluppo della disfunzione renale in particolare nei pazienti anziani la funzione renale dovrebbe essere valutato più frequentemente e Janumet ha interrotto se sono presenti prove di compromissione renale. Janumet è controindicato nei pazienti con grave compromissione renale [vedi Controindicazioni E Acidosi lattica ].
Vitamina B. 12 Carenza
In studi clinici controllati di metformina della durata di 29 settimane una diminuzione dei livelli subnormali di vitamina B sierica precedentemente normale 12 I livelli sono stati osservati in circa il 7% dei pazienti. Tale diminuzione probabilmente dovuta a interferenze con b 12 assorbimento dalla b 12 -Compostare il complesso del fattore intrinseco può essere associato all'anemia ma sembra essere rapidamente reversibile con l'interruzione della metformina o della vitamina B 12 supplementazione. Certain individuals (those with inadequate vitamin B 12 o l'assunzione o l'assorbimento del calcio) sembrano essere predisposti allo sviluppo della vitamina B subnormale 12 livelli. Misurare i parametri ematologici su base annuale e vitamina B 12 Misurazioni a intervalli da 2 a 3 anni nei pazienti su Janumet e gestiscono qualsiasi anomalia [vedi Reazioni avverse ].
Ipoglicemia With Concomitant Use With Insulin Or Insulin Secretagogues
Janumet may increase the risk of ipoglicemia Se combinato con insulina e/o un secretagogo dell'insulina (ad esempio sulfonilurea) [vedi Reazioni avverse ]. A lower dose of insulin or insulin secretagogue may be required to minimize the risk of ipoglicemia when used in combination with Janumet [Vedere Interazioni farmacologiche ].
Reazioni di ipersensibilità
Ci sono state segnalazioni post -marketing di gravi reazioni di ipersensibilità nei pazienti trattati con Sitagliptin Uno dei componenti di Janumet. Queste reazioni includono anafilassi angioedema e condizioni di pelle esfoliativa tra cui la sindrome di Stevens-Johnson. L'inizio di queste reazioni si è verificato entro i primi 3 mesi dall'inizio del trattamento con Sitagliptin con alcuni rapporti che si sono verificati dopo la prima dose.
Se si sospetta una reazione di ipersensibilità, interrompere, Janumet valuta per altre potenziali cause per l'evento e istituire un trattamento alternativo per il diabete. [Vedere Reazioni avverse ]
L'angiedema è stato anche riportato con altri inibitori DPP-4. Usare cautela in un paziente con una storia di angioedema con un altro inibitore DPP-4 perché non è noto se tali pazienti saranno predisposti all'angiedema con Janumet.
Artralgia grave e invalidante
Ci sono state segnalazioni post-marketing di artralgia grave e disabilitante nei pazienti che assumono inibitori del DPP-4. Il tempo di insorgenza dei sintomi a seguito dell'inizio della terapia farmacologica variava da un giorno a anni. I pazienti hanno subito sollievo dai sintomi al momento dell'interruzione del farmaco. Un sottoinsieme di pazienti ha manifestato una recidiva di sintomi quando si riavvia lo stesso farmaco o un diverso inibitore DPP-4. Considera gli inibitori del DPP-4 come una possibile causa di dolori articolari gravi e interrompere il farmaco se appropriato.
Pemfigoide bolloso
Sono stati segnalati casi post-marketing di pemfigoide bolloso che richiedono ricovero in ospedale con l'uso dell'inibitore DPP-4. In casi segnalati i pazienti in genere si sono ripresi con un trattamento immunosoppressivo topico o sistemico e l'interruzione dell'inibitore DPP-4. Di 'ai pazienti di segnalare lo sviluppo di vesciche o erosioni durante la ricezione di Janumet. Se si sospetta che il pemfigoide bolloso Janumet debba essere interrotto e il rinvio a un dermatologo dovrebbe essere considerato per la diagnosi e il trattamento adeguato.
Wellbutrin 75 mg una volta al giorno
Informazioni sulla consulenza del paziente
Consiglia al paziente di leggere l'etichettatura del paziente approvato dalla FDA ( Informazioni sul paziente ).
Acidosi lattica
Spiega i rischi dell'acidosi lattica i suoi sintomi e condizioni che predispongono al suo sviluppo. Consiglia ai pazienti di interrompere immediatamente Janumet e di avvisare prontamente il proprio fornitore di assistenza sanitaria se si verificano myalgie di iperventilazione inspiegabile malessere insolita da sonnolenza o altri sintomi non specifici. Consiglia i pazienti contro l'assunzione eccessiva di alcol e informano i pazienti sull'importanza di test regolari della funzione renale durante la ricezione di Janumet. Istruire i pazienti a informare il proprio medico che stanno prendendo Janumet prima di qualsiasi procedura chirurgica o radiologica come interruzione temporanea potrebbe essere richiesto [vedi AVVERTIMENTOS AND PRECAUZIONI ].
Pancreatite
Informare i pazienti che è stata riportata la pancreatite acuta durante l'uso post -mercato di Janumet. Informare i pazienti che il forte dolore addominale persistente a volte si irradia nella parte posteriore che può o meno essere accompagnato dal vomito è il sintomo del segno distintivo della pancreatite acuta. Istruire i pazienti a interrompere prontamente Janumet e contattare il proprio medico se si verifica un forte dolore addominale grave [vedi AVVERTIMENTOS AND PRECAUZIONI ].
Insufficienza cardiaca
Informare i pazienti dei segni e dei sintomi dell'insufficienza cardiaca. Prima di iniziare Janumet chiedere ai pazienti una storia di insufficienza cardiaca o altri fattori di rischio per l'insufficienza cardiaca, compresa la compromissione renale da moderata a grave. Istruire i pazienti a contattare il proprio operatore sanitario il più presto possibile se si verificano sintomi di insufficienza cardiaca, incluso l'aumento della mancanza di respiro rapido aumento del peso o del gonfiore dei piedi [vedi AVVERTIMENTOS AND PRECAUZIONI ].
Vitamina B. 12 Carenza
Informare i pazienti sull'importanza del monitoraggio regolare dei parametri ematologici durante la ricezione di Janumet [vedi AVVERTIMENTOS AND PRECAUZIONI ].
Ipoglicemia
Informare i pazienti che l'incidenza dell'ipoglicemia viene aumentata quando Janumet viene aggiunto a un secretagogo dell'insulina (ad es. Sulfonilurea) o terapia insulinica. Spiega ai pazienti che ricevono Janumet in combinazione con questi farmaci i rischi dell'ipoglicemia i suoi sintomi e il trattamento e le condizioni che predispongono al suo sviluppo [vedi AVVERTIMENTOS AND PRECAUZIONI ].
Reazioni di ipersensibilità
Informare i pazienti che sono state riportate reazioni allergiche durante l'uso post -mercato di Sitagliptin Uno dei componenti di Janumet. Se i sintomi delle reazioni allergiche (compresi gli alveari eruttivi e il gonfiore della lingua e della gola delle labbra del viso che possono causare difficoltà a respirare o deglutirsi) si verificano che i pazienti devono smettere di prendere Janumet e chiedere prontamente consigli medici.
Artralgia grave e invalidante
Inform patients that severe and disabling joint pain may occur with this class of drugs. The time to onset of symptoms can range from one day to years. Instruct patients to seek medical advice if severe joint pain occurs [see AVVERTIMENTOS AND PRECAUZIONI ].
Pemfigoide bolloso
Inform patients that bullous pemphigoid may occur with this class of drugs. Instruct patients to seek medical advice if blisters or erosions occur [see AVVERTIMENTOS AND PRECAUZIONI ].
Femmine di età riproduttiva
Informare le femmine che il trattamento con Janumet può provocare l'ovulazione in alcune donne anovulatorie in premenopausa che possono portare a una gravidanza non intenzionale [vedi Utilizzare in popolazioni specifiche ].
Istruzioni di amministrazione
Informare i pazienti che le compresse non devono mai essere divise o divise prima della deglutizione.
Tossicologia non clinica
Mutagenesi della carcinogenesi compromissione della fertilità
Janumet
Non sono stati condotti studi sugli animali con i prodotti combinati a Janumet per valutare la mutagenesi della carcinogenesi o la compromissione della fertilità. I seguenti dati si basano sui risultati negli studi con sitagliptin e metformina individualmente.
Sitagliptin
È stato condotto uno studio di cancerogenicità di due anni in ratti maschi e femmine somministrati dosi orali di sitagliptin di 50 150 e 500 mg/kg/giorno. Vi è stata una maggiore incidenza di adenoma/carcinoma epatico combinato nei maschi e nelle femmine e di carcinoma epatico nelle femmine a 500 mg/kg. Questa dose si traduce in esposizioni circa 60 volte l'esposizione umana alla massima dose umana per adulti quotidiani raccomandati (MRHD) di 100 mg/giorno in base ai confronti AUC. I tumori epatici non sono stati osservati a 150 mg/kg circa 20 volte l'esposizione umana al MRHD. È stato condotto uno studio di cancerogenicità di due anni in topi maschi e femmine somministrati dosi orali di sitagliptin di 50 125 250 e 500 mg/kg/giorno. Non vi è stato alcun aumento dell'incidenza di tumori in qualsiasi organo fino a 500 mg/kg di circa 70 volte l'esposizione umana al MRHD. Sitagliptin non era mutagenica o clastogenica con o senza attivazione metabolica nel test di aberrazione del cromosoma di un cromosoma di cromosoma di criceto cinese (CHO) in vitro test citogenetico in Cho an in vitro saggio di epatocita di dna alcalina di epatociti di ratto e un in vivo Test di micronucleo.
Negli studi sulla fertilità del ratto con dosi di gavage orale di 125 250 e 1000 mg/kg i maschi sono stati trattati per 4 settimane prima dell'accoppiamento durante l'accoppiamento fino alla cessazione programmata (circa 8 settimane in totale) e le femmine sono state trattate per l'accoppiamento attraverso il giorno del 7. Confronti AUC). A dosi più elevate sono state osservate aumentate aumentate non le resorzioni nelle femmine (circa 25 e 100 volte l'esposizione umana al MRHD in base al confronto AUC).
Metformina
Studi di cancerogenicità a lungo termine sono stati condotti in ratti (durata del dosaggio di 104 settimane) e topi (durata del dosaggio di 91 settimane) a dosi fino a comprendere 900 mg/kg/giorno rispettivamente di 1500 mg/kg/giorno. Queste dosi sono entrambe circa quattro volte la massima dose giornaliera umana raccomandata di 2000 mg in base ai confronti della superficie corporea. Nessuna prova di cancerogenicità con metformina è stata trovata nei topi maschi o femmine. Allo stesso modo non vi era alcun potenziale tumorigenico osservato con la metformina nei ratti maschi. Vi è stata tuttavia una maggiore incidenza di polipi uterini stromali benigni nei ratti femmine trattati con 900 mg/kg/die.
Non c'erano prove di un potenziale mutagenico di metformina nel seguente in vitro Test: test Ames ( S. Typhimurium ) test di mutazione genica (cellule di linfoma del topo) o test di aberrazioni cromosomiche (linfociti umani). Risultati in in vivo Anche il test del micronucleo del topo era negativo. La fertilità dei ratti maschi o femmine non è stata influenzata dalla metformina quando somministrata a dosi fino a 600 mg/kg/die, che è circa tre volte la massima dose giornaliera umana raccomandata in base ai confronti della superficie corporea.
Utilizzare in popolazioni specifiche
Gravidanza
Riepilogo del rischio
I dati disponibili limitati con Janumet nelle donne in gravidanza non sono sufficienti per informare un rischio drogato per importanti difetti alla nascita e aborto spontaneo. Studi pubblicati con l'uso della metformina durante la gravidanza non hanno riportato una chiara associazione con la metformina e il principale difetto alla nascita o il rischio di aborto Dati ]. There are risks to the mother E fetus associated with poorly controlled diabetes in pregnancy [Vedere Considerazioni cliniche ]. No adverse developmental effects were observed when sitagliptin was administered to pregnant rats E rabbits during organogenesis at oral doses up to 30-times E 20-times respectively the 100 mg clinical dose based on AUC. No adverse developmental effects were observed when metformin was administered to pregnant Sprague Dawley rats E rabbits during organogenesis at doses up to 2- E 6-times respectively a 2000 mg clinical dose based on body surface area [Vedere Dati ].
Il rischio di background stimato dei principali difetti alla nascita è del 6-10% nelle donne con diabete pre-estazionale con a Emoglobina A1C> 7% ed è stato segnalato per arrivare fino al 20-25% nelle donne con emoglobina A1C> 10%. Nella popolazione generale degli Stati Uniti il rischio di background stimato di gravi difetti alla nascita e aborto in gravidanza clinicamente riconosciuta è rispettivamente del 2-4% e del 15-20%.
Considerazioni cliniche
Rischio materno e/o embrione/o fetale associato alla malattia
Il diabete scarsamente controllato in gravidanza aumenta il rischio materno di chetoacidosi diabetica preeclampsia Aborti spontanei Conclicazioni di parto pretermine e parto. Il diabete scarsamente controllato aumenta il rischio fetale per i principali difetti alla nascita ancora la nascita e la morbilità legata alla macrosomia.
Dati
Dati umani
I dati pubblicati da studi post-marketing non riportano una chiara associazione con la metformina e i principali difetti alla nascita aborto o esiti avversi materni o fetali quando la metformina viene utilizzata durante la gravidanza. Tuttavia, questi studi non possono sicuramente stabilire l'assenza di alcun rischio a causa delle limitazioni metodologiche tra cui dimensioni del campione ridotte e gruppi di comparatore incoerenti.
Dati sugli animali
Sitagliptin E Metformina
Non sono stati condotti studi sulla riproduzione degli animali con la somministrazione di co -sitagliptin e metformina.
Sitagliptin
Negli studi di sviluppo embrionale-fete sitagliptin somministrato a ratti e conigli incinti durante l'organogenesi (Giorno della Gestazione 6 a 20) non ha influenzato negativamente gli esiti di sviluppo a dosi orali fino a 250 mg/kg (30 volte la dose clinica) e 125 mg/kg (20 volte la dose clinica di 100 mg in base alla AUC. Dosi più elevate nei ratti associati alla tossicità materna hanno aumentato l'incidenza di malformazioni costali in prole a 1000 mg/kg o circa 100 volte la dose clinica basata sull'AUC. Il trasferimento placentare di Sitagliptin è stato osservato nei ratti e nei conigli incinti.
Sitagliptin administered to female rats from gestation day 6 to lactation day 21 caused no functional or behavioral toxicity in offspring of rats at doses up to 1000 mg/kg.
Metformina
Metformina did not cause adverse developmental effects when administered to pregnant Sprague Dawley rats E rabbits up to 600 mg/kg/day during the period of organogenesis. This represents an exposure of about 2- E 6-times a 2000 mg clinical dose based on body surface area (mg/m 2 ) rispettivamente per ratti e conigli.
Lattazione
Riepilogo del rischio
Non ci sono informazioni sulla presenza di Janumet nel latte umano gli effetti sul bambino allattato al seno o sugli effetti sulla produzione di latte. Rapporto di studi pubblicati limitati secondo cui la metformina è presente nel latte umano [vedi Dati ]. There are no reports of adverse effects on breastfed infants exposed to metformin. There is no information on the effects of metformin on milk production. Sitagliptin is present in rat milk E therefore possibly present in human milk [Vedere Dati ]. The developmental E health benefits of breastfeeding should be considered along with the mother’s clinical need for Janumet E any potential adverse effects on the breastfed infant from Janumet or from the underlying maternal condition.
Dati
Sitagliptin
Sitagliptin is secreted in the milk of lactating rats at a milk to plasma ratio of 4:1.
Metformina
Studi di lattazione clinica pubblicati riportano che la metformina è presente nel latte umano, il che ha provocato dosi infantili circa lo 0,11% all'1% del dosaggio adeguato al peso materno e un rapporto di latte/plasma che variava tra 0,13 e 1. Tuttavia, gli studi non sono stati progettati per stabilire decisamente il rischio di utilizzo della metformina durante la lattazione a causa di piccoli campioni di eventi limitati raccolti da infanti.
Femmine e maschi di potenziale riproduttivo
Discutere il potenziale per la gravidanza non intenzionale con le donne in premenopausa come terapia con metformina può provocare l'ovulazione in alcune donne anovulatorie.
Uso pediatrico
La sicurezza e l'efficacia di Janumet non sono state stabilite nei pazienti pediatrici.
Sono stati condotti tre studi controllati da placebo in doppio cieco di 20 settimane con estensioni di 34 settimane per valutare l'efficacia e la sicurezza di Sitagliptin in 410 pazienti pediatrici di età compresa tra 10 e 17 anni con diabete di tipo 2 inadeguatamente controllati per i pazienti con insulini di tipo 2. Al momento dell'ingresso dello studio nello studio 1 non sono stati trattati con agenti antiiperglicemici orali; I pazienti negli studi 2 e 3 erano in terapia con metformina massima tollerata. L'endpoint di efficacia primaria era il cambiamento rispetto al basale in HbA1c dopo 20 settimane di terapia. Le analisi di efficacia primaria predefinite includevano dati dello studio 1 e dati aggregati dagli studi 2 e 3 indipendentemente dal salvataggio glicemico o dall'interruzione del trattamento.
In entrambe le analisi di efficacia l'effetto del trattamento con Sitagliptin non era significativamente diverso dal placebo. Nello studio 1 la base media HbA1c era del 7,5% e il 12% dei pazienti era in terapia con insulina. Alla settimana 20 la variazione rispetto al basale nell'HbA1c nei pazienti trattati con Sitagliptin (n = 95) era dello 0,06% rispetto allo 0,23% nei pazienti trattati con placebo (n = 95) una differenza di -0,17% (IC 95%: -0,62 0,28). Negli studi 2 e 3 la base media HbA1c era dell'8,0% 15% dei pazienti era in insulina e il 72% era in dosi di metformina HCl superiori a 1500 mg al giorno. Alla settimana 20 la variazione rispetto al basale nell'HbA1c nei pazienti trattati con Sitagliptin (n = 107) era -0,23% rispetto allo 0,09% nei pazienti trattati con placebo (n = 113) una differenza di -0,33% (IC 95%: -0,70 0,05).
Uso geriatrico
Janumet
In generale, la selezione della dose per un paziente anziano dovrebbe essere cauta di solito a partire dalla fascia bassa dell'intervallo di dosaggio che riflette la maggiore frequenza della ridotta funzione renale epatica o cardiaca e di malattia concomitante o altra terapia farmacologica e il rischio più elevato di acidosi lattica. La funzione renale dovrebbe essere valutata più frequentemente nei pazienti anziani. [Vedere Controindicazioni ; AVVERTIMENTOS AND PRECAUZIONI ) E Farmacologia clinica ]
Sitagliptin
Del numero totale di soggetti (n = 3884) negli studi clinici sui pazienti di Sitagliptin 725 erano 65 anni e più mentre 61 pazienti erano 75 anni e oltre. Non sono state osservate differenze complessive nella sicurezza o nell'efficacia tra i soggetti di 65 anni e più giovani. Sebbene questa e altra esperienza clinica segnalata non abbiano identificato le differenze nelle risposte tra i pazienti anziani e più giovani, non può essere esclusa una maggiore sensibilità di alcuni anziani.
Metformina
Studi clinici controllati sulla metformina non includevano un numero sufficiente di pazienti anziani per determinare se rispondono in modo diverso dai pazienti più giovani, sebbene altre esperienze cliniche segnalate non abbiano identificato differenze nelle risposte tra i pazienti anziani e giovani.
Compromissione renale
Janumet
Janumet is not recommended in patients with an eGFR between 30 E less than 45 mL/min/1.73 m 2 Poiché questi pazienti richiedono un dosaggio inferiore di sitagliptin rispetto a quello che è disponibile nella combinazione di dose fissa del prodotto Janumet. Janumet è controindicato in gravi pazienti con danno renale con un EGFR inferiore a 30 ml/min/1,73 m 2 . [Vedere Dosaggio e amministrazione Controindicazioni AVVERTIMENTOS AND PRECAUZIONI E Farmacologia clinica ]
Sitagliptin
Sitagliptin is excreted by the kidney E sitagliptin exposure is increased in patients with renal impairment. [Vedere Farmacologia clinica ]
Metformina
Metformina is substantially excreted by the kidney E the risk of metformin accumulation E lactic acidosis increases with the degree of renal impairment.
Compromissione epatica
L'uso della metformina nei pazienti con compromissione epatica è stato associato ad alcuni casi di acidosi lattica. Janumet non è raccomandato nei pazienti con compromissione epatica. [Vedere AVVERTIMENTOS AND PRECAUZIONI .
Informazioni per overdose per Janumet
In caso di sovradosaggio con Janumet contattare il centro di controllo del velenoso. In caso di sovradosaggio è ragionevole utilizzare misure di supporto, ad es. Rimuovere il materiale non assorbito dal tratto gastrointestinale impiegando il monitoraggio clinico (incluso l'ottenimento di un elettrocardiogramma) e istituire una terapia di supporto come indicato dallo stato clinico del paziente.
Sitagliptin is modestly dialyzable. In clinical studies approximately 13.5% of the dose was removed over a 3- to 4-hour hemodialysis session. Prolonged hemodialysis may be considered if clinically appropriate. It is not known if sitagliptin is dialyzable by peritoneal dialysis.Overdose of metformin has occurred including ingestion of amounts greater than 50 grams. Ipoglicemia was reported in approximately 10% of cases but no causal association with metformin has been established. Lactic acidosis has been reported in approximately 32% of metformin overdose cases [Vedere AVVERTIMENTOS AND PRECAUZIONI ]. Metformina is dialyzable with a clearance of up to 170 mL/min under good hemodynamic conditions. Therefore hemodialysis may be useful for removal of accumulated drug from patients in whom metformin overdosage is suspected.
Controindicazioni per Janumet
Janumet is contraindicated in patients with:
- Grave compromissione renale (EGFR inferiore a 30 ml/min/1,73 m 2 ) [Vedere AVVERTIMENTOS AND PRECAUZIONI ].
- Acidosi metabolica acuta o cronica compresa la chetoacidosi diabetica.
- Storia di una grave reazione di ipersensibilità a Janumet Sitagliptin o metformina come anafilassi o angioedema. [Vedere AVVERTIMENTOS AND PRECAUZIONI E Reazioni avverse ]
Farmacologia clinica for Janumet
Meccanismo d'azione
Janumet
Janumet combines two antihyperglycemic agents with complementary mechanisms of action to improve glycemic control in patients with type 2 diabete mellito: sitagliptin a dipeptidyl peptidase-4 (DPP- 4) inhibitor E metformin HCl a member of the biguanide class.
Sitagliptin
Sitagliptin is a DPP-4 inhibitor which is believed to exert its actions in patients with type 2 diabetes by slowing the inactivation of incretin hormones. Concentrations of the active intact hormones are increased by sitagliptin thereby increasing E prolonging the action of these hormones. Incretin hormones including glucagon-like peptide-1 (GLP-1) E glucose-dependent insulinotropic polypeptide (GIP) are released by the intestine throughout the day E levels are increased in response to a meal. These hormones are rapidly inactivated by the enzyme DPP-4. The incretins are part of an endogenous system involved in the physiologic regulation of glucose homeostasis. When blood glucose concentrations are normal or elevated GLP-1 E GIP increase insulin synthesis E release from pancreatic beta cells by intracellular signaling pathways involving cyclic AMP. GLP-1 also lowers glucagon secretion from pancreatic alpha cells leading to reduced hepatic glucose production. By increasing E prolonging active incretin levels sitagliptin increases insulin release E decreases glucagon levels in the circulation in a glucose-dependent manner. Sitagliptin demonstrates selectivity for DPP-4 E does not inhibit DPP-8 or DPP-9 activity in vitro a concentrazioni che si avvicinano a quelle dalle dosi terapeutiche.
Metformina
Metformina is an antihyperglycemic agent which improves glucose tolerance in patients with type 2 diabete mellito lowering both basal E postprEial plasma glucose. Metformina decreases hepatic glucose production decreases intestinal absorption of glucose E improves insulin sensitivity by increasing peripheral glucose uptake E utilization. With metformin therapy insulin secretion remains unchanged while fasting insulin levels E day-long plasma insulin response may decrease.
Farmacodinamica
Sitagliptin
Nei pazienti con diabete mellito di tipo 2 la somministrazione di sitagliptin ha portato all'inibizione dell'attività enzimatica DPP-4 per un periodo di 24 ore. Dopo un carico di glucosio orale o un pasto, questa inibizione del DPP-4 ha comportato un aumento da 2 a 3 volte dei livelli circolanti di GLP-1 attivi e GIP hanno ridotto le concentrazioni di glucagone e una maggiore reattività del rilascio di insulina al glucosio con conseguenti concentrazioni di peptide C e insulina più elevate. L'aumento dell'insulina con la diminuzione del glucagone è stato associato a concentrazioni di glucosio a digiuno più basse e a una ridotta escursione di glucosio a seguito di un carico di glucosio orale o di un pasto.
Negli studi con soggetti sani, la sitagliptin non ha abbassato la glicemia né ha causato ipoglicemia.
Sitagliptin And Metformina Coadministration
In uno studio di due giorni su soggetti sani, la sola sitagliptin ha aumentato le concentrazioni attive di GLP-1 mentre la sola metformina ha aumentato le concentrazioni di GLP-1 attive e totali in misura simile. La somministrazione di co-sitagliptin e metformina ha avuto un effetto additivo sulle concentrazioni attive GLP-1. Sitagliptin ma non la metformina ha aumentato le concentrazioni attive GIP. Non è chiaro cosa significhino questi risultati per i cambiamenti nel controllo glicemico nei pazienti con diabete mellito di tipo 2.
Elettrofisiologia cardiaca
In uno studio crossover randomizzato controllato con placebo 79 soggetti sani sono stati somministrati una singola dose orale di sitagliptin da 100 mg sitagliptin 800 mg (8 volte la dose raccomandata) e placebo. Alla dose raccomandata di 100 mg non vi era alcun effetto sull'intervallo QTC ottenuto alla concentrazione plasmatica di picco o in qualsiasi altro momento durante lo studio. In seguito alla dose di 800 mg, il massimo aumento della variazione media corretta al placebo nel QTC dal basale a 3 ore dopo la dose è stata di 8,0 msec. Questo aumento non è considerato clinicamente significativo. Alla dose di 800 mg di picco, le concentrazioni plasmatiche sitagliptin erano circa 11 volte superiori alle concentrazioni di picco a seguito di una dose di 100 mg.
Nei pazienti con diabete di tipo 2 mellito somministrato sitagliptin 100 mg (n = 81) o sitagliptin 200 mg (n = 63) al giorno non ci sono stati cambiamenti significativi nell'intervallo di QTC in base ai dati ECG ottenuti al momento della concentrazione plasmatica di picco prevista.
Farmacocinetica
Sitagliptin
La farmacocinetica di Sitagliptin è stata ampiamente caratterizzata da soggetti sani e pazienti con diabete mellito di tipo 2. A seguito di una singola dose orale da 100 mg a volontari sani, la media del plasma AUC di Sitagliptin era di 8,52 µm • CMAX HR era 950 nm e l'emivita terminale apparente (t 1/2 ) erano 12,4 ore. Il plasma AUC di Sitagliptin è aumentato in modo dose-proporzionale e aumentato di circa il 14% a seguito di dosi di 100 mg a stato stazionario rispetto alla prima dose. I coefficienti di variazione intra-soggetto e intersoggetto per la sitagliptin AUC erano piccoli (NULL,8% e 15,1%). La farmacocinetica di Sitagliptin era generalmente simile nei soggetti sani e nei pazienti con diabete mellito di tipo 2.
Assorbimento
Sitagliptin
Dopo la somministrazione orale di una dose di 100 mg a soggetti sani, la Sitagliptin è stata rapidamente assorbita con concentrazioni plasmatiche di picco (TMAX mediano) che si verificano da 1 a 4 ore dopo la dose. La biodisponibilità assoluta di Sitagliptin è di circa l'87%.
Effetto del cibo
La somministrazione di co-somministrazione di un pasto ricco di grassi con sitagliptin non ha avuto alcun effetto sulla farmacocinetica di Sitagliptin.
Metformina
La biodisponibilità assoluta di una compressa di metformina HCL da 500 mg indicata in condizioni di digiuno è di circa il 50-60%. Studi che utilizzano singole dosi orali di compresse HCL di metformina da 500 mg a 1500 mg e 850 mg a 2550 mg (circa 1,3 volte il dosaggio giornaliero raccomandato massimo) indicano che vi è una mancanza di proporzionalità dose con dosi crescenti che è dovuta alla riduzione dell'assorbimento piuttosto che ad un'alterazione nell'eliminazione.
Effetto del cibo
Il cibo diminuisce l'estensione e leggermente ritarda l'assorbimento della metformina, come mostrato da una concentrazione plasmatica di picco medio inferiore di circa 40% (CMAX) un'area inferiore del 25% sotto la concentrazione plasmatica rispetto alla curva temporale (AUC) e un prolungazione di 35 minuti al tempo di alimentazione alimentare alimentare il tablet. La rilevanza clinica di queste diminuzioni è sconosciuta.
Distribuzione
Sitagliptin
Il volume medio di distribuzione allo stato stazionario a seguito di una singola dose endovenosa di 100 mg di sitagliptin a soggetti sani è di circa 198 litri. La frazione di Sitagliptin legata in modo reversibile alle proteine plasmatiche è bassa (38%).
Metformina
Il volume apparente di distribuzione (V/F) della metformina a seguito di singole dosi orali di compresse di metformina HCl 850 mg in media 654 ± 358 L. La metformina è trascurabilmente legata alle proteine plasmatiche in contrasto con solfoniluree che sono più del 90% legate alle proteine. Le partizioni di metformina in eritrociti molto probabilmente in funzione del tempo. A soli dosi cliniche e programmi di dosaggio delle compresse di metformina HCl, le concentrazioni plasmatiche di metformina a stato stazionario sono raggiunti entro 24-48 ore e sono generalmente <1 mcg/mL.
Eliminazione
Sitagliptin
Circa il 79% di Sitagliptin viene escreto invariato nelle urine con il metabolismo essendo un percorso minore di eliminazione. L'apparente terminale t 1/2 A seguito di una dose orale di 100 mg di sitagliptin era di circa 12,4 ore e lo spazio renale era di circa 350 ml/min.
Metformina
per cosa è usata la radice di valeriana
Dopo la somministrazione orale circa il 90% del farmaco assorbito viene eliminato attraverso la via renale entro le prime 24 ore con un'emivita di eliminazione del plasma di circa 6,2 ore. Nel sangue l'emivita di eliminazione è di circa 17,6 ore suggerendo che la massa degli eritrociti può essere un compartimento di distribuzione.
Metabolismo
Sitagliptin
Seguendo un [ 14 C] Dose orale Sitagliptin Circa il 16% della radioattività è stato escreto come metaboliti di Sitagliptin. Sei metaboliti sono stati rilevati a livelli di traccia e non dovrebbero contribuire all'attività inibitoria plasmatica DPP-4 di Sitagliptin. In vitro Gli studi hanno indicato che l'enzima primario responsabile del metabolismo limitato di Sitagliptin era CYP3A4 con il contributo del CYP2C8.
Metformina
Studi endovenosi a dose monodosa in soggetti normali dimostrano che la metformina viene escreta invariata nelle urine e non subisce il metabolismo epatico (nessun metaboliti è stato identificato nell'uomo) né l'escrezione biliare.
Escrezione
Sitagliptin
Dopo la somministrazione di un orale [ 14 C] La dose di sitagliptina a soggetti sani circa il 100%della radioattività somministrata è stato eliminato nelle feci (13%) o nelle urine (87%) entro una settimana dal dosaggio. L'eliminazione della sitagliptin si verifica principalmente attraverso l'escrezione renale e comporta una secrezione tubulare attiva.
Sitagliptin is a substrate for human organic anion transporter-3 (hOAT-3) which may be involved in the renal elimination of sitagliptin. The clinical relevance of hOAT-3 in sitagliptin transport has not been established. Sitagliptin is also a substrate of p-glycoprotein (P-gp) which may also be involved in mediating the renal elimination of sitagliptin. However cyclosporine a P-gp inhibitor did not reduce the renal clearance of sitagliptin.
Metformina
Eliminazione of metformin occurs primarily via renal excretion. Renal clearance is approximately 3.5 times greater than creatinine clearance which indicates that tubular secretion is the major route of metformin elimination.
Popolazioni specifiche
Pazienti con compromissione renale
Janumet
Non sono stati condotti studi che caratterizzano la farmacocinetica di Sitagliptin e Metformina dopo la somministrazione di Janumet nei pazienti con problemi di renale [vedi Dosaggio e amministrazione ].
Sitagliptin
È stato osservato un aumento di circa 2 volte nell'AUC plasmatico di Sitagliptin in pazienti con moderata compromissione renale con EGFR da 30 a meno di 45 ml/min/1,73 m 2 E an approximately 4-fold increase was observed in patients with severe renal impairment including patients with end-stage renal disease (ESRD) on hemodialysis as compared to normal healthy control subjects. [Vedere Dosaggio e amministrazione ]
Metformina
Nei pazienti con riduzione della funzione renale il plasma e l'emivita del sangue della metformina è prolungata e la clearance renale è ridotta [vedi Controindicazioni E AVVERTIMENTOS AND PRECAUZIONI ].
Pazienti con compromissione epatica
Janumet
Non sono stati condotti studi che caratterizzano la farmacocinetica di Sitagliptin e Metformina dopo la somministrazione di Janumet in pazienti con compromissione epatica.
Sitagliptin
Nei pazienti con compromissione epatica moderata (punteggio infantile da 7 a 9) AUC e CMAX di Sitagliptin sono aumentati di circa il 21% e il 13% rispettivamente rispetto ai controlli abbinati sani a seguito della somministrazione di una singola dose di 100 mg di sitagliptin. Queste differenze non sono considerate clinicamente significative. Non esiste esperienza clinica nei pazienti con grave compromissione epatica (punteggio infantile-pugh> 9) [vedi Utilizzare in popolazioni specifiche ].
Metformina
Non sono stati condotti studi farmacocinetici sulla metformina in pazienti con compromissione epatica.
Effetti dell'indice di massa corporea (BMI) di genere e razza
Sitagliptin
Sulla base di un'analisi farmacocinetica della popolazione o di un'analisi composita dei dati farmacocinetici disponibili e la razza BMI non hanno un effetto clinicamente significativo sulla farmacocinetica di Sitagliptin. Quando gli effetti dell'età sulla funzione renale vengono presi in considerazione, da soli l'età non ha avuto un impatto clinicamente significativo sulla farmacocinetica di Sitagliptin sulla base di un'analisi farmacocinetica della popolazione. I soggetti anziani (da 65 a 80 anni) avevano concentrazioni plasmatiche di circa il 19% più elevate di sitagliptin rispetto ai soggetti più giovani.
Metformina
I dati limitati da studi farmacocinetici controllati sulla metformina in soggetti anziani sani suggeriscono che la clearance plasmatica totale della metformina è ridotta, l'emivita è prolungata e il CMAX è aumentato rispetto ai soggetti giovani sani. Da questi dati sembra che il cambiamento nella farmacocinetica di metformina con invecchiamento sia principalmente spiegata da un cambiamento nella funzione renale.
Metformina pharmacokinetic parameters did not differ significantly between normal subjects E patients with type 2 diabete mellito when analyzed according to gender. Similarly in controlled clinical studies in patients with type 2 diabete mellito the antihyperglycemic effect of metformin was comparable in males E females.
Non sono stati condotti studi sui parametri farmacocinetici della metformina secondo la razza. Negli studi clinici controllati sulla metformina nei pazienti con diabete mellito di tipo 2 l'effetto antiiperglicemico era comparabile nei bianchi (n = 249) neri (n = 51) e ispanici (n = 24).
Studi sull'interazione farmacologica
Janumet
La somministrazione di co -somministrazione di dosi multiple di sitagliptin (50 mg) e metformina HCl (1000 mg) somministrate due volte al giorno non ha alterato in modo significativo la farmacocinetica di Sitagliptin o Metformina in pazienti con diabete di tipo 2.
Non sono stati condotti studi di interazione farmacocinetica con Janumet; Tuttavia, tali studi sono stati condotti con i singoli componenti di Janumet (Sitagliptin e Metformina HCL).
Sitagliptin
Valutazione in vitro delle interazioni farmacologiche
Sitagliptin is not an inhibitor of CYP isozymes CYP3A4 2C8 2C9 2D6 1A2 2C19 or 2B6 E is not an inducer of CYP3A4. Sitagliptin is a P-gp substrate but does not inhibit P-gp mediated transport of digoxin. Based on these results sitagliptin is considered unlikely to cause interactions with other drugs that utilize these pathways.
Sitagliptin is not extensively bound to plasma proteins. Therefore the propensity of sitagliptin to be involved in clinically meaningful drug-drug interactions mediated by plasma protein binding displacement is very low.
Valutazione in vivo delle interazioni farmacologiche
Effetti di Sitagliptin su altri farmaci
Negli studi clinici sitagliptin non ha modificato in modo significativo la farmacocinetica della metformina glyburide simvastatina rosiglitazone digossina warfarin o una contraccezione orale (etinil estradiolo e noretindrone) (Tabella 5) che fornisce in vivo Prove di una bassa propensione a causare interazioni farmacologiche con substrati del P-gp CYP2C8 CYP2C8 CYP2C8 e del trasportatore cationico organico (OCT).
Tabella 5: Effetto di Sitagliptin sull'esposizione sistemica dei farmaci minimizzati
| Droga somministrato in co -amministrazione | Dose di farmaco somministrato co -amministrato* | Dose di sitagliptin* | Rapporto medio geometrico (rapporto con/senza sitagliptin) Nessun effetto = 1.00 | ||
| AUC † | Cmax | ||||
| Digossina | 0,25 mg ‡ Una volta al giorno per 10 giorni | 100 mg ‡ Una volta al giorno per 10 giorni | Digossina | 1.11 § | 1.18 |
| Glyburide | 1,25 mg | 200 mg ‡ Una volta al giorno per 6 giorni | Glyburide | 1.09 | 1.01 |
| Simvastatin | 20 mg | 200 mg ‡ Una volta al giorno per 5 giorni | Simvastatin | 0.85 ¶ | 0.80 |
| Simvastatin Acid | 1.12 ¶ | 1.06 | |||
| Rosiglitazone | 0.98 | 0.99 | |||
| Rosiglitazone | 4 mg | 200 mg ‡ Una volta al giorno per 5 giorni | Rosiglitazone | 0.98 | 0.99 |
| Warfarin | 30 mg di dose singola il giorno 5 | 200 mg ‡ Una volta al giorno per 11 giorni | S (-) Warfarin | 0.95 | 0.89 |
| R () warfarin | 0.99 | 0.89 | |||
| Ethinil estradiolo e norethindrone | 21 giorni una volta al giorno di 35 μg di etinil estradiolo con norethindrone 0,5 mg x 7 giorni 0,75 mg x 7 giorni 1,0 mg x 7 giorni | 200 mg ‡ Una volta al giorno per 21 giorni | Etinil estradiolo | 0.99 | 0.97 |
| Noretintrone | 1.03 | 0.98 | |||
| Metformina HCl | 1000 mg ‡ due volte al giorno per 14 giorni | 50 mg ‡ due volte al giorno per 7 giorni | Metformina | 1.02 # | 0.97 |
| * Tutte le dosi somministrate come dose singola se non diversamente specificato. † AUC is reported as AUC0-∞ unless otherwise specified. ‡ Dose multipla. § AUC0-24hr. ¶ AUC0-last. # AUC0-12hr. |
Effetti di altri farmaci su Sitagliptin
I dati clinici descritti di seguito suggeriscono che Sitagliptin non è suscettibile alle interazioni clinicamente significative da farmaci amministrati in co -amministrazione (Tabella 6).
Tabella 6: Effetto dei farmaci amministrati in co -co -amministrazione sull'esposizione sistemica di Sitagliptin
| Droga somministrato in co -amministrazione | Dose di farmaco somministrato co -amministrato* | Dose di sitagliptin* | Rapporto medio geometrico (Rapporto con/senza farmaco somministrato in co -corsivo) Nessun effetto = 1.00 | ||
| AUC † | Cmax | ||||
| Ciclosporina | 600 mg una volta al giorno | 100 mg once daily | Sitagliptin | 1.29 | 1.68 |
| Metformina HCl | 1000 mg ‡ due volte al giorno per 14 giorni | 50 mg ‡ due volte al giorno per 7 giorni | Sitagliptin | 1.02 § | 1.05 |
| * Tutte le dosi somministrate come dose singola se non diversamente specificato. † AUC is reported as AUC0-∞ unless otherwise specified. ‡ Dose multipla. § AUC0-12hr. |
Metformina HCl
Tabella 7: Effetto della metformina HCL sull'esposizione sistemica dei farmaci minimizzati
| Droga somministrato in co -amministrazione | Dose di farmaco somministrato co -amministrato* | Dose di metformina hcl* | Rapporto medio geometrico (rapporto con/senza metformina) Nessun effetto = 1.00 | ||
| AUC † | Cmax | ||||
| Cimetidina | 400 mg | 850 mg | Cimetidina | 0.95 ‡ | 1.01 |
| Glyburide | 5 mg | 500 mg § | Glyburide | 0.78¶ | 0.63¶ |
| Furosemide | 40 mg | 850 mg | Furosemide | 0.87¶ | 0.69¶ |
| Nifedipina | 10 mg | 850 mg | Nifedipina | 1.10 ‡ | 1.08 |
| Propranololo | 40 mg | 850 mg | Propranololo | 1.01 ‡ | 0.94 |
| Ibuprofene | 400 mg | 850 mg | Ibuprofene | 0.97 # | 1.01 # |
| * Tutte le dosi somministrate come dose singola se non diversamente specificato. † AUC is reported as AUC0-∞ unless otherwise specified. ‡ AUC0-24hr. § GLUMETZA (compresse di release estesa HCl Metformina) 500 mg. ¶ Rapporto tra aritmetico significa valore p della differenza <0.05. # Rapporto tra mezzi aritmetici. |
Tabella 8: Effetto dei farmaci amministrati in co -co -amministrazione sull'esposizione sistemica della metformina HCL
| Droga somministrato in co -amministrazione | Dose di farmaco somministrato co -amministrato* | Dose di metformina hcl* | Rapporto medio geometrico (Rapporto con/senza farmaco somministrato in co -corsivo) Nessun effetto = 1.00 | ||
| AUC † | Cmax | ||||
| Glyburide | 5 mg | 500 mg ‡ | Metformina ‡ | 0.98 § | 0.99 § |
| Furosemide | 40 mg | 850 mg | Metformina | 1.09 § | 1.22 § |
| Nifedipina | 10 mg | 850 mg | Metformina | 1.16 | 1.21 |
| Propranololo | 40 mg | 850 mg | Metformina | 0.90 | 0.94 |
| Ibuprofene | 400 mg | 850 mg | Metformina | 1.05 § | 1.07 § |
| I farmaci che vengono eliminati dalla secrezione tubulare renale possono aumentare l'accumulo di metformina. [Vedere AVVERTIMENTOS AND PRECAUZIONI E Interazioni farmacologiche . | |||||
| Cimetidina | 400 mg | 850 mg | Metformina | 1.40 | 1.61 |
| Gli inibitori dell'anidrasi carbonica possono causare acidosi metabolica. [Vedere AVVERTIMENTOS AND PRECAUZIONI E Interazioni farmacologiche . | |||||
| Topiramato | 100 mg ¶ | 500 mg ¶ | Metformina | 1.25 ¶ | 1.17 |
| * Tutte le dosi somministrate come dose singola se non diversamente specificato. † AUC is reported as AUC0-∞ unless otherwise specified. ‡ GLUMETZA (compresse di release estesa HCl Metformina) 500 mg. § Rapporto tra mezzi aritmetici. ¶ Stato stazionario 100 mg topiramato ogni metformina da 12 ore HCl 500 mg ogni 12 ore AUC = AUC0-12HR. |
Studi clinici
La somministrazione di co -sitagliptin e metformina è stata studiata in pazienti con diabete di tipo 2 inadeguatamente controllato sulla dieta e sull'esercizio fisico e in combinazione con altri agenti antiiperglicemici. Nessuno degli studi di efficacia clinica descritti di seguito è stato condotto con Janumet; Tuttavia, è stata dimostrata la bioequivalenza di Janumet con compresse di sitagliptin e metformina HCL.
Sitagliptin And Metformina Coadministration In Patients With Type 2 Diabetes Inadequately Controlled On Diet And Exercise
Un totale di 1091 pazienti con diabete di tipo 2 e un controllo glicemico inadeguato sulla dieta e sull'esercizio fisico hanno partecipato a uno studio fattoriale randomizzato in doppio cieco randomizzato in doppio cieco progettato per valutare l'efficacia della cofinistrazione di Sitagliptin e Metformina. I pazienti con un agente antiiperglicemico (n = 541) hanno subito un esercizio dietetico e un periodo di lavaggio dei farmaci fino a 12 settimane di durata. Dopo il periodo di washout, i pazienti con controllo glicemico inadeguato (da 7,5% all'11%) sono stati randomizzati dopo aver completato un periodo di run-in placebo a cieco singolo di 2 settimane. I pazienti non su agenti antiiperglicemici all'ingresso dello studio (n = 550) con un controllo glicemico inadeguato (da 7,5% all'11%) è entrato immediatamente nel periodo di rompare a placebo a cielo singolo di 2 settimane e quindi sono stati randomizzati. Circa uguale un numero di pazienti è stato randomizzato a ricevere placebo 100 mg di sitagliptin una volta al giorno 500 mg o 1000 mg di metformina HCl due volte al giorno o 50 mg di Sitagliptin due volte al giorno in combinazione con 500 mg o 1000 mg di HCL di metformina due volte al giorno. I pazienti che non sono riusciti a raggiungere obiettivi glicemici specifici durante lo studio sono stati trattati con salvataggio di glyburide (Glibenclamide).
Sitagliptin E metformin coadministration provided significant improvements in A1C FPG E 2- hour PPG compared to placebo to metformin alone E to sitagliptin alone (Table 9 Figure 1). Mean reductions from baseline in A1C were generally greater for patients with higher baseline A1C values. For patients not on an antihyperglycemic agent at study entry mean reductions from baseline in A1C were: sitagliptin 100 mg once daily -1.1%; metformin HCl 500 mg bid -1.1%; metformin HCl 1000 mg bid -1.2%; sitagliptin 50 mg bid with metformin HCl 500 mg bid -1.6%; sitagliptin 50 mg bid with metformin HCl 1000 mg bid -1.9%; E for patients receiving placebo -0.2%. Lipid effects were generally neutral. The decrease in body weight in the groups given sitagliptin in combination with metformin was similar to that in the groups given metformin alone or placebo.
Tabella 9: parametri glicemici durante la visita finale (studio di 24 settimane) per la sola sitagliptin e metformina e in combinazione in pazienti con diabete di tipo 2 inadeguatamente controllato sulla dieta e sull'esercizio fisico*
| Placebo | Sitagliptin 100 mg once daily | Metformina HCl 500 mg twice daily | Metformina HCl 1000 mg twice daily | Sitagliptin 50 mg twice daily + Metformina HCl 500 mg twice daily | Sitagliptin 50 mg twice daily + Metformina HCl 1000 mg twice daily | |
| A1C (%) | N = 165 | N = 175 | N = 178 | N = 177 | N = 183 | N = 178 |
| 8.7 | 8.9 | 8.9 | 8.7 | 8.8 | 8.8 | |
| † ) | 0.2 | -0.7 | -0.8 | -1.1 | -1.4 | -1.9 |
| † ) | -0.8 ‡ (-1.1 -0.6) | -1.0 ‡ (-1.2 -0.8) | -1.3 ‡ (-1.5 -1.1) | -1.6 ‡ (-1.8 -1.3) | -2.1 ‡ (-2.3 -1.8) | |
| <7% | 15 (9%) | 35 (20%) | 41 (23%) | 68 (38%) | 79 (43%) | 118 (66%) |
| 32 | 21 | 17 | 12 | 8 | 2 | |
| FPG (MG/DL) | N = 169 | N = 178 | N = 179 | N = 179 | N = 183 | N = 180 |
| 196 | 201 | 205 | 197 | 204 | 197 | |
| † ) | 6 | -17 | -27 | -29 | -47 | -64 |
| † ) | -23 ‡ (-33 -14) | -33 ‡ (-43 -24) | -35 ‡ (-45 -26) | -53 ‡ (-62 -43) | -70 ‡ (-79 -60) | |
| PPG di 2 ore (Mg/DL) | N = 129 | N = 136 | N = 141 | N = 138 | N = 147 | N = 152 |
| 277 | 285 | 293 | 283 | 292 | 287 | |
| † ) | 0 | -52 | -53 | -78 | -93 | -117 |
| † ) | -52 ‡ (-67 -37) | -54 ‡ (-69 -39) | -78 ‡ (-93 -63) | -93 ‡ (-107 -78) | -117 ‡ (-131 -102) | |
| * Popolazione intento per il trattamento che utilizza l'ultima osservazione sullo studio prima della terapia di salvataggio del glyburide (Glibenclamide). † I minimi quadrati significa adeguati per lo stato di terapia antiiperglicemica precedente e il valore basale. ‡ p <0.001 compared to placebo. |
Figura 1: variazione media dal basale per A1c (%) per 24 settimane con sitagliptin e metformina da sola e in combinazione in pazienti con diabete di tipo 2 inadeguatamente controllato con dieta ed esercizio fisico*
|
| * Tutti i pazienti trattati con popolazione: minimi quadrati significa adeguati per la precedente terapia antiiperglicemica e il valore basale. |
La terapia di combinazione iniziale o il mantenimento della terapia di combinazione dovrebbero essere individualizzate e sono lasciate a discrezione del fornitore di assistenza sanitaria.
Sitagliptin Add-On Therapy In Patients With Type 2 Diabetes Inadequately Controlled On Metformina Alone
Un totale di 701 pazienti con diabete di tipo 2 hanno partecipato a uno studio randomizzato in doppio cieco randomizzato in doppio cieco progettato per valutare l'efficacia di Sitagliptin in combinazione con la metformina. I pazienti già su metformina (n = 431) alla dose di almeno 1500 mg al giorno sono stati randomizzati dopo aver completato un periodo di run-in placebo a cieco singolo di 2 settimane. I pazienti con metformina e un altro agente antiiperglicemico (n = 229) e i pazienti non su agenti antiiperglicemici (terapia off per almeno 8 settimane n = 41) sono stati randomizzati dopo un periodo di corsa di circa 10 settimane sulla metformina HCl (a una dose di almeno 1500 mg al giorno) in monoterapia. I pazienti sono stati randomizzati all'aggiunta di 100 mg di sitagliptin o placebo somministrati una volta al giorno. I pazienti che non sono riusciti a raggiungere obiettivi glicemici specifici durante gli studi sono stati trattati con salvataggio di pioglitazone.
In combinazione con la metformina Sitagliptin ha fornito miglioramenti significativi in A1C FPG e PPG di 2 ore rispetto al placebo con metformina (Tabella 10). La terapia glicemica di salvataggio è stata utilizzata nel 5% dei pazienti trattati con sitagliptin 100 mg e il 14% dei pazienti trattati con placebo. È stata osservata una riduzione simile del peso corporeo per entrambi i gruppi di trattamento.
Tabella 10: parametri glicemici alla visita finale (studio di 24 settimane) di Sitagliptin come terapia di combinazione aggiuntiva con metformina*
| Sitagliptin 100 mg once daily + Metformina | Placebo + Metformina | |
| A1C (%) | N = 453 | N = 224 |
| 8.0 | 8.0 | |
| † ) | -0.7 | -0.0 |
| † ) | -0.7 ‡ (-0.8 -0.5) | |
| <7% | 213 (47%) | 41 (18%) |
| FPG (MG/DL) | N = 454 | N = 226 |
| 170 | 174 | |
| † ) | -17 | 9 |
| Differenza dalla metformina placebo (media regolata † ) | -25 ‡ (-31 -20) | |
| PPG di 2 ore (Mg/DL) | N = 387 | N = 182 |
| 275 | 272 | |
| † ) | -62 | -11 |
| † ) | -51 ‡ (-61 -41) | |
| * Popolazione intento per il trattamento che utilizza l'ultima osservazione sullo studio prima della terapia di salvataggio pioglitazone. † I minimi quadrati significa adeguati per la precedente terapia antiiperglicemica e il valore basale. ‡ p <0.001 compared to placebo + metformin. |
Sitagliptin Add-on Therapy in Patients with Type 2 Diabetes Inadequately Controlled on the Combination of Metformina E Glimepiride
Un totale di 441 pazienti con diabete di tipo 2 hanno partecipato a uno studio randomizzato in doppio cieco randomizzato in doppio cieco progettato per valutare l'efficacia di Sitagliptin in combinazione con glimepiride con o senza metformina. I pazienti sono entrati in un periodo di trattamento in esecuzione su glimepiride (≥4 mg al giorno) da solo o glimepiride in combinazione con la metformina HCl (≥1500 mg al giorno). Dopo un periodo di run-in dose-titrazione e dose-stabile fino a 16 settimane e un periodo di corsa placebo di 2 settimane con un controllo glicemico inadeguato (da 7,5% al 10,5%) sono stati randomizzati con l'aggiunta di 100 mg di sitagliptin o placebo somministrato una volta al giorno. I pazienti che non sono riusciti a raggiungere obiettivi glicemici specifici durante gli studi sono stati trattati con salvataggio di pioglitazone.
I pazienti che hanno ricevuto sitagliptin con metformina e glimepiride hanno avuto miglioramenti significativi in A1C e FPG rispetto ai pazienti che hanno ricevuto placebo con metformina e glimepiride (Tabella 11) con riduzioni medie dal basale rispetto al placebo in A1C di -0,9% e in FPG di -21 mg/dl. La terapia di salvataggio è stata utilizzata nell'8% dei pazienti trattati con sitagliptin aggiuntivo 100 mg e il 29% dei pazienti trattati con placebo aggiuntivo. I pazienti trattati con sitagliptin aggiuntivo hanno avuto un aumento medio del peso corporeo di 1,1 kg contro il componente di addon (NULL,4 kg vs. -0,7 kg). Inoltre, sitagliptin aggiuntivo ha comportato un aumento del tasso di ipoglicemia rispetto al placebo aggiuntivo. [Vedere AVVERTIMENTOS AND PRECAUZIONI ; Reazioni avverse ]
Tabella 11: parametri glicemici alla visita finale (studio di 24 settimane) per Sitagliptin in combinazione con metformina e glimepiride*
| Sitagliptin 100 mg + Metformina E Glimepiride | Placebo + Metformina E Glimepiride | |
| A1C (%) | N = 115 | N = 105 |
| 8.3 | 8.3 | |
| † ) | -0.6 | 0.3 |
| † ) (95% CI) | -0.9 ‡ (-1.1 -0.7) | |
| <7% | 26 (23%) | 1 (1%) |
| FPG (MG/DL) | N = 115 | N = 109 |
| 179 | 179 | |
| † ) | -8 | 13 |
| † ) (95% CI) | -21 ‡ (-32 -10) | |
| * Popolazione intento per il trattamento che utilizza l'ultima osservazione sullo studio prima della terapia di salvataggio pioglitazone. † I minimi quadrati significa adeguati per lo stato di terapia antiiperglicemica precedente e il valore basale. ‡ p <0.001 compared to placebo. |
Sitagliptin Add-On Therapy In Patients With Type 2 Diabetes Inadequately Controlled On The Combination Of Metformina And Rosiglitazone
Un totale di 278 pazienti con diabete di tipo 2 hanno partecipato a uno studio randomizzato in doppio cieco randomizzato in doppio cieco progettato per valutare l'efficacia di Sitagliptin in combinazione con metformina e rosiglitazone. Pazienti in doppia terapia con metformina HCl ≥1500 mg/die e rosiglitazone ≥4 mg/die o con metformina HCl ≥1500 mg/die e pioglitazone ≥30 mg/die (passare al rosiglitazone ≥4 mg/giorno) entrata in un periodo di corsa in corsa dose di 6 settimane. I pazienti con altre doppie terapia sono stati passati alla metformina HCl ≥1500 mg/die e al rosiglitazone ≥4 mg/die in un periodo di run-in di titolazione/stabilizzazione della dose fino a 20 settimane di durata. Dopo il periodo di corsa, i pazienti con controllo glicemico inadeguato (da 7,5% all'11%) sono stati randomizzati 2: 1 all'aggiunta di 100 mg di sitagliptin o placebo somministrato una volta al giorno. I pazienti che non sono riusciti a raggiungere obiettivi glicemici specifici durante gli studi sono stati trattati con salvataggio di lipizide (o altri sulfonilurea). Il punto temporale principale per la valutazione dei parametri glicemici era la settimana 18.
In combinazione con metformina e rosiglitazone Sitagliptin ha fornito miglioramenti significativi in A1C FPG e PPG di 2 ore rispetto al placebo con metformina e rosiglitazone (Tabella 12) alla settimana 18. Ai pazienti in una riduzione media di A1c era -1,0% per i pazienti trattati con Sitagliptin e -0.3% per i pazienti trattati con un composizione in base all'analisi in base al tratto in base alla trasporto in via di viaggio in base alla popolazione di traguardo in base alla popolazione di traguardo in base al giro di un intuizione in un intuizione in un intuizione in un intuizione in via del percorso. La terapia di salvataggio è stata utilizzata nel 18% dei pazienti trattati con sitagliptin 100 mg e il 40% dei pazienti trattati con placebo. Non vi era alcuna differenza significativa tra Sitagliptin e placebo nel cambiamento di peso corporeo.
Tabella 12: parametri glicemici alla settimana 18 per Sitagliptin in terapia di combinazione aggiuntiva con metformina e rosiglitazone*
| Sitagliptin 100 mg + Metformina + Rosiglitazone | Placebo + Metformina + Rosiglitazone | |
| A1C (%) | N = 176 | N = 93 |
| 8.8 | 8.7 | |
| † ) | -1.0 | -0.4 |
| † ) (95% CI) | -0.7 ‡ (-0.9-0.4) | |
| <7% | 39 (22%) | 9 (10%) |
| FPG (MG/DL) | N = 179 | N = 94 |
| 181 | 182 | |
| † ) | -30 | -11 |
| † ) (95% CI) | -18 ‡ (-26 -10) | |
| PPG di 2 ore (Mg/DL) | N = 152 | N = 80 |
| 256 | 248 | |
| † ) | -59 | -21 |
| † ) (95% CI) | -39 ‡ (-51 -26) | |
| * Popolazione intento per il trattamento che utilizza l'ultima osservazione sullo studio prima della terapia di salvataggio di Lipizide (o altra sulfonilurea). † I minimi quadrati significa adeguati per lo stato di terapia antiiperglicemica precedente e il valore basale. ‡ p <0.001 compared to placebo + metformin + rosiglitazone. |
Sitagliptin Add-On Therapy In Patients With Type 2 Diabetes Inadequately Controlled On The Combination Of Metformina And Insulin
Un totale di 641 pazienti con diabete di tipo 2 hanno partecipato a uno studio randomizzato in doppio cieco randomizzato in doppio cieco progettato per valutare l'efficacia di Sitagliptin come componente aggiuntivo alla terapia con insulina. Circa il 75% dei pazienti stava assumendo anche metformina. I pazienti sono entrati in un periodo di trattamento di corsa a cieco singolo di 2 settimane su insulina pre-miscelata ad azione lunga o ad azione intermedia con o senza metformina HCl (≥1500 mg al giorno). I pazienti che usano insuline a breve durata sono stati esclusi a meno che l'insulina a breve durata non sia stata somministrata come parte di un'insulina pre-miscelata. Dopo il periodo di corsa, i pazienti con controllo glicemico inadeguato (da 7,5% all'11%) sono stati randomizzati all'aggiunta di 100 mg di sitagliptin (n = 229) o placebo (n = 233) somministrato una volta al giorno. I pazienti avevano una dose stabile di insulina prima dell'arruolamento senza cambiamenti nella dose di insulina consentiti durante il periodo di corsa. I pazienti che non sono riusciti a raggiungere obiettivi glicemici specifici durante il periodo di trattamento in doppio cieco dovevano avere una dose di insulina di fondo come terapia di salvataggio.
Tra i pazienti che ricevevano anche metformina, la dose mediana di insulina giornaliera (intermedia pre-miscelata o a lungo termine) al basale era di 40 unità nei pazienti trattati con Sitagliptin e 42 unità nei pazienti trattati con placebo. Il cambiamento mediano dal basale nella dose giornaliera di insulina era zero per entrambi i gruppi alla fine dello studio. I pazienti che ricevono sitagliptin con metformina e insulina hanno avuto miglioramenti significativi in A1C FPG e PPG a 2 ore rispetto ai pazienti che hanno ricevuto placebo con metformina e insulina (Tabella 13). Il cambiamento medio adeguato dal basale nel peso corporeo era di -0,3 kg nei pazienti che ricevevano sitagliptin con metformina e insulina e -0,2 kg nei pazienti che ricevevano placebo con metformina e insulina. C'è stato un aumento del tasso di ipoglicemia nei pazienti trattati con Sitagliptin. [Vedere AVVERTIMENTOS AND PRECAUZIONI E Reazioni avverse ]
Tabella 13: parametri glicemici alla visita finale (studio di 24 settimane) per Sitagliptin come terapia di combinazione aggiuntiva con metformina e insulina*
| Sitagliptin 100 mg + Metformina + Insulin | Placebo + Metformina + Insulin | |
| A1C (%) | N = 223 | N = 229 |
| 8.7 | 8.6 | |
| † ‡ ) | -0.7 | -0.1 |
| † ) (95% CI) | -0.5 § (-0.7 -0.4) | |
| <7% | 32 (14%) | 12 (5%) |
| FPG (MG/DL) | N = 225 | N = 229 |
| 173 | 176 | |
| † ) | -22 | -4 |
| † ) -22 -4 Differenza dal placebo (media regolata † ) (95% CI) | -18 § (-28 -8.4) | |
| PPG di 2 ore (Mg/DL) | N = 182 | N = 189 |
| 281 | 281 | |
| † ) | -39 | 1 |
| † ) (95% CI) | -40 § (-53 -28) | |
| * Popolazione intento per il trattamento che utilizza l'ultima osservazione sullo studio prima della terapia di salvataggio. † I minimi quadrati significa regolati per l'uso di insulina al tipo di insulina di visita di screening utilizzato durante la visita di screening (valore pre-miscelato contro non pre-miscelato [intermedio o lungo l'azione]) e valore basale. ‡ Il trattamento mediante interazione insulina Stratum non era significativo (p> 0,10). § p <0.001 compared to placebo. |
Mantenimento di Sitagliptin durante l'iniziazione e la titolazione dell'insulina glargine
Un totale di 746 pazienti con diabete di tipo 2 (durata della malattia HBA1c dell'8,8% di base di 10,8 anni) hanno partecipato a uno studio randomizzato in doppio cieco di 30 settimane per valutare l'efficacia e la sicurezza del continuo sitagliptin durante l'inizio e la velocità della glargine insilica. I pazienti che avevano una dose stabile di metformina HCl (≥1500 mg/die) in combinazione con un inibitore DPP-4 e/o solfonilurea ma con un controllo glicemico inadeguato (da 7,5% all'11%) sono stati arruolati nello studio. Quelli su metformina e sitagliptin (100 mg/die) sono entrati direttamente nel periodo di trattamento in doppio cieco; Quelli su un altro inibitore DPP-4 e/o su un solfonilurea sono entrati in un periodo di corsa di 4-8 settimane in cui sono stati mantenuti su metformina e passati a Sitagliptin (100 mg); Altri inibitori del DPP-4 e sulfoniluree sono stati interrotti. Ai pazienti randomizzati i pazienti sono stati randomizzati per continuare a Sitagliptin o per interrompere il Sitagliptin e passare a un placebo abbinato. Il giorno della randomizzazione l'insulina glargine è stata iniziata alla dose di 10 unità per via sottocutanea la sera. Ai pazienti è stato chiesto di aggiornare la loro dose di insulina la sera in base alle misurazioni del glicemia a digiuno per ottenere un obiettivo di 72-100 mg/dL.
A 30 settimane la riduzione media di A1C era maggiore nel gruppo Sitagliptin che nel gruppo placebo (Tabella 14). Alla fine dello studio il 27,3% dei pazienti nel gruppo Sitagliptin e il 27,3% nel gruppo placebo avevano un glucosio plasmatico a digiuno (FPG) nell'intervallo target; Non vi era alcuna differenza significativa nella dose di insulina tra le braccia.
Tabella 14: Modifica dal basale in A1C e FPG alla settimana 30 nel mantenimento di Sitagliptin durante l'iniziazione e la titolazione dello studio dell'insulina glargine
| Sitagliptin 100 mg +Metformina + Insulin Glargine | Placebo +Metformina + Insulin Glargine | |
| A1C (%) | N = 373 † | N = 370 † |
| 8.8 | 8.8 | |
| 6.9 | 7.3 | |
| )* | -1.9 | -1.4 |
| ) (95% CI)* | -0.4 (-0.6 -0.3) ‡ | |
| <7% | 202 (NULL,2%) | 131 (NULL,4%) |
| FPG (MG/DL) | N = 373 † | N = 370 † |
| 199 | 201 | |
| 118 | 123 | |
| )* | -81 | -76 |
| * Analisi della covarianza, inclusi tutti i dati post-baseline indipendentemente dalla sospensione del salvataggio o del trattamento. Stime del modello calcolate utilizzando l'imputazione multipla per il lavaggio del modello dell'effetto del trattamento utilizzando i dati di placebo per tutti i soggetti con dati mancanti della settimana 30. † N è il numero di pazienti randomizzati e trattati. ‡ p <0.001 compared to placebo. |
Sitagliptin Add-On Therapy vs. Glipizide Add-On Therapy In Patients With Type 2 Diabetes Inadequately Controlled On Metformina
L'efficacia di Sitagliptin è stata valutata in uno studio di non inferiorità controllato da glipizide in doppio cieco di 52 settimane in pazienti con diabete di tipo 2. I pazienti non in trattamento o su altri agenti antiiperglicemici sono entrati in un periodo di trattamento in esecuzione fino a 12 settimane di durata con monoterapia con metformina (dose di ≥1500 mg al giorno) che includeva il lavaggio di farmaci diversi dalla metformina se applicabile. Dopo il periodo di run-in quelli con controllo glicemico inadeguato (da 6,5% al 10%) sono stati randomizzati 1: 1 all'aggiunta di Sitagliptin 100 mg una volta al giorno o glipizide per 52 settimane. Ai pazienti che riceveva glipizide è stato somministrato un dosaggio iniziale di 5 mg/die e quindi titolato elettivamente nelle prossime 18 settimane a un dosaggio massimo di 20 mg/die, se necessario per ottimizzare il controllo glicemico. Successivamente la dose di glipizide doveva essere mantenuta costante ad eccezione della titola down per prevenire l'ipoglicemia. La dose media di glipizide dopo il periodo di titolazione era di 10 mg.
Dopo 52 settimane Sitagliptin e glipizide avevano riduzioni medie simili dal basale in A1c nell'analisi intent-to-trattamento (Tabella 15). Questi risultati erano coerenti con l'analisi del protocollo per protocollo (Figura 2). Una conclusione a favore della non-inferiorità della sitagliptin a glipizide può essere limitata ai pazienti con A1c basale paragonabili a quelli inclusi nello studio (oltre il 70% dei pazienti aveva A1C basale inferiore all'8% e oltre il 90% aveva A1C inferiore al 9%).
Tabella 15: parametri glicemici in uno studio di 52 settimane che confronta la sitagliptin e glipizide come terapia aggiuntiva in pazienti inadeguatamente controllati sulla metformina (popolazione intent-to-trattamento)*
| Sitagliptin 100 mg + Metformina | Metformina in GLIPIZE | |
| A1C (%) | N = 576 | N = 559 |
| 7.7 | 7.6 | |
| † ) | -0.5 | -0.6 |
| FPG (MG/DL) | N = 583 | N = 568 |
| 166 | 164 | |
| † ) | -8 | -8 |
| * L'analisi intenzionale a trattamento ha utilizzato l'ultima osservazione dei pazienti nello studio prima della sospensione. † I minimi quadrati significa adeguati per lo stato di terapia antiiperglicemica precedente e il valore A1C basale. |
Figura 2: variazione media rispetto al basale per A1C (%) per 52 settimane in uno studio che confronta la sitagliptin e illipizide come terapia aggiuntiva in pazienti inadeguatamente controllata sulla metformina (per popolazione del protocollo) *
|
| * La popolazione per protocollo per protocollo (basale media A1c del 7,5%) includeva pazienti senza importanti violazioni del protocollo che avevano osservazioni al basale e alla settimana 52. |
L'incidenza dell'ipoglicemia nel gruppo Sitagliptin (NULL,9%) è stata significativamente (P <0.001) lower than that in the glipizide group (32.0%). Patients treated with sitagliptin exhibited a significant mean decrease from baseline in body weight compared to a significant weight gain in patients administered glipizide (-1.5 kg vs. +1.1 kg).
Informazioni sul paziente per Janumet
Nessuna informazione fornita. Si prega di fare riferimento a AVVERTIMENTOS AND PRECAUZIONI sezione.