Le Informazioni Presenti Sul Sito Non Costituiscono Consulenza Medica. Non Vendiamo Nulla. L'Accuratezza Della Traduzione Non È Garantita. Disclaimer
Come funzionano gli agenti anti-Anginali?
Innopran XL
Riepilogo della droga
Cos'è Innopran XL?
Innopran XL (propranololo cloridrato) è un beta-bloccante usato per trattare i tremori angina (dolore al petto) ipertensione ( ipertensione ) Disturbi del ritmo cardiaco e altre condizioni cardiache o circolatori. Innopran XL è anche usato per trattare o prevenire attacco di cuore e per ridurre la gravità e la frequenza dell'emicrania.
Quali sono gli effetti collaterali di Innopran XL?
Gli effetti collaterali comuni di Innopran XL includono:
- vertigini
- Accendino O
- stanchezza mentre il corpo si adatta al farmaco
Altri effetti collaterali di Innopran XL includono:
- nausea
- vomito
- dolori di stomaco
- Crampi allo stomaco
- diarrea
- stipsi
- Cambiamenti della visione
- problemi a dormire (insonnia)
- insolito sogni
- Diminuzione del desiderio sessuale
- impotenza E
- Difficoltà ad avere un orgasmo
Cerca cure mediche o chiama il 911 contemporaneamente se hai i seguenti gravi effetti collaterali:
- Sintomi di occhiali gravi come la perdita di visione improvvisa del tunnel della visione sfocata Dolore alla visione o gonfiore o vedere aloni attorno alle luci;
- Sintomi cardiaci gravi come battiti cardiaci irregolari o martellanti veloci; svolazzando nel petto; fiato corto; e improvviso vertigini giuria o svenuta;
- Grave mal di testa confusione Il braccio del linguaggio bloccato o la debolezza delle gambe problemi perdite perdita di coordinamento sentendoti instabili muscoli molto rigidi ad alta febbre abbondante sudorazione o tremori.
Questo documento non contiene tutti i possibili effetti collaterali e altri possono verificarsi. Verificare con il tuo medico ulteriori informazioni sugli effetti collaterali.
Dosaggio per innopran xl
La dose di partenza di Innopran XL è di 80 mg, ma potrebbe essere necessario un aggiustamento per una dose di 120 mg. Prendi una volta al giorno prima di coricarsi costantemente a stomaco vuoto o con il cibo.
Quali sostanze o integratori di farmaci interagiscono con Innopran XL?
Innopran XL può interagire con la clonidina digitale dobutamina Haloperidol Isoproterenolo Sangue Flurners antidepressivi Inibitori MAO aspirina O other NSAIDs (nonsteroidal anti-inflammatOy drugs) doxazosin prazosin terazosin heart medications amiodarone propafenone quinidine O ACE inibitori . Dì al medico tutti i farmaci e gli integratori che usi.
Innopran XL durante la gravidanza o l'allattamento
Durante la gravidanza, l'innoprand XL dovrebbe essere usato solo quando prescritto. I bambini esposti a questo farmaco durante la gravidanza possono avere a basso peso alla nascita a basso livello di zucchero nel sangue o respiro cardiaco lento. Discuti i rischi e i benefici con il medico. Questo farmaco passa nel latte materno. Consulta il medico prima dell'allattamento al seno.
Ulteriori informazioni
Il nostro Centro farmacologico di Innopran XL (propranolol cloridrato) fornisce una visione completa delle informazioni disponibili sui farmaci sui potenziali effetti collaterali quando si assume questo farmaco.
Che tipo di pillola è L368
Informazioni sui farmaci FDA
- Descrizione del farmaco
- Indicazioni
- Dosaggio
- Effetti collaterali
- Interazioni farmacologiche
- Avvertimenti
- Overdose
- Farmacologia clinica
- Guida ai farmaci
AVVERTIMENTO
Ischemia cardiaca dopo brusca sospensione
A seguito di una brusca interruzione della terapia con i beta-bloccanti delle esacerbazioni di angina pectoris e infarto del miocardio si sono verificati.
Durante l'interruzione di Innopran XL somministrato cronicamente in particolare nei pazienti con cardiopatia ischemica, riduce gradualmente la dose per un periodo di 1-2 settimane e monitora i pazienti. Se l'angina peggiora notevolmente o l'insufficienza coronarica acuta si sviluppa in tempi di ripresa prontamente temporaneamente e prende altre misure appropriate per la gestione dell'angina instabile. Avvertire i pazienti contro l'interruzione o l'interruzione della terapia senza il consiglio del medico.
Poiché la malattia dell'arteria coronarica è comune e può non essere riconosciuta, evitare bruscamente l'interruzione della terapia XL innopran anche nella trattata del paziente solo per ipertensione. (Vedere AVVERTIMENTOS AND PRECAUZIONI ).
Descrizione per Innopran XL
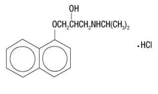
Innopran XL contiene propranololo cloridrato Un agente di blocco del recettore beta-adrenergico non selettivo per somministrazione orale come prodotto a rilascio prolungato. Innopran XL è disponibile come capsule da 80 mg e 120 mg che contengono perline a rilascio prolungato. Ognuna delle perle contiene propranololo cloridrato ed è rivestito con doppie membrane. Queste membrane sono progettate per ritardare il rilascio di propranololo cloridrato per diverse ore dopo l'ingestione seguita dal prolungato rilascio di propranololo.
L'ingrediente attivo in Innopran XL è un agente di blocco del recettore beta-adrenergico sintetico descritto chimicamente come 1- (isopropilammino) -3- (1-naftilossi) -2-propanolo idrocloruro. La sua formula strutturale è:
|
Il propranololo cloridrato è un solido cristallino bianco stabile che è prontamente solubile in acqua ed etanolo. Il suo peso molecolare è 295,81. Ogni capsula per somministrazione orale contiene sfere di zucchero etilcellulosa povidone ipromellosio ftalato dietil ftalato ipromellosio polietilenglicole glicole gelatina di biossido di titanio e ossido di ferro nero. Inoltre, le capsule di Innopran XL 120-mg contengono ossido di ferro giallo.
Usi per Innopran XL
Innopran XL è indicato per il trattamento dell'ipertensione per ridurre la pressione sanguigna. La riduzione della pressione sanguigna riduce il rischio di eventi cardiovascolari fatali e non fatali principalmente colpi e infarti miocardici. Questi benefici sono stati osservati in studi controllati di farmaci antiipertensivi da un'ampia varietà di classi farmacologiche tra cui beta-bloccanti.
Il controllo dell'ipertensione dovrebbe far parte della gestione completa del rischio cardiovascolare, compresa l'adeguata gestione del diabete dei lipidi per la terapia antitrombotica per la cessazione del fumo e l'assunzione limitata di sodio. Molti pazienti richiederanno più di un farmaco per raggiungere gli obiettivi della pressione sanguigna. Per consigli specifici sugli obiettivi e sulla gestione, consultare linee guida pubblicate come quelle del Comitato nazionale congiunto del Programma di educazione al sangue dell'ipertensione nazionale per la valutazione e il trattamento della pressione alta (JNC).
Numerosi farmaci antiipertensivi provenienti da una varietà di classi farmacologiche e con diversi meccanismi d'azione sono stati dimostrati in studi randomizzati controllati per ridurre la morbilità e la morbilità cardiovascolare e si può concludere che si tratta di riduzione della pressione sanguigna e non alcune altre proprietà farmacologiche dei farmaci che sono molto responsabili per questi benefici. Il beneficio di risultato cardiovascolare più grande e coerente è stata una riduzione del rischio di ictus, ma sono state osservate regolarmente riduzioni dell'infarto miocardico e della mortalità cardiovascolare.
L'elevata pressione sistolica o diastolica provoca un aumento del rischio cardiovascolare e l'aumento del rischio assoluto per mm Hg è maggiore a pressioni ematiche più elevate in modo che anche una modesta riduzione dell'ipertensione grave possa fornire benefici sostanziali. La riduzione del rischio relativo dalla riduzione della pressione sanguigna è simile tra le popolazioni con un rischio assoluto variabile, quindi il beneficio assoluto è maggiore nei pazienti che sono a rischio più elevato indipendentemente dalla loro ipertensione (ad esempio i pazienti con diabete o iperlipidemia) e che tali pazienti trarranno beneficio da un trattamento più aggressivo a un obiettivo di pressione sanguigna inferiore.
Alcuni farmaci antiipertensivi hanno effetti di pressione arteriosa più piccoli (come monoterapia) nei pazienti neri e molti farmaci antiipertensivi hanno ulteriori indicazioni ed effetti approvati (ad esempio sull'insufficienza cardiaca dell'angina o sulla malattia renale diabetica). Queste considerazioni possono guidare la selezione della terapia.
Dosaggio per innopran xl
Innopran XL dovrebbe essere somministrato una volta al giorno prima di coricarsi e dovrebbe essere prelevato costantemente a stomaco vuoto o con cibo. Iniziare il dosaggio a 80 mg e titolare a 120 mg al giorno, se necessario per il controllo della pressione sanguigna. Dosi superiori a 120 mg non hanno effetti aggiuntivi sulla pressione sanguigna [vedi Studi clinici ]. La risposta antiipertensiva completa si ottiene di solito entro 2-3 settimane.
Come fornito
Dosaggio FOms And Strengths
Innopran XL Le capsule di rilascio esteso sono fornite come capsule contenenti 80 mg o 120 mg di propranololo cloridrato impronte con Innopran XL. Inoltre, la resistenza di 80 mg è una capsula grigia/bianca impressa con bande segmentate da 80 e 2 mentre la resistenza di 120 mg è una capsula grigia/off-bianca impressa con 120 e 3 bande segmentate.
Archiviazione e maneggevolezza
Innopran XL (propranololo cloridrato) Le capsule di rilascio esteso sono fornite come capsule contenenti 80 mg o 120 mg di propranololo cloridrato. Sono disponibili come segue:
80 mg : Una capsula grigia/bianca impressa con bande 80 e 2 segmentate Innopran XL è disponibile in bottiglie di 30 capsule ( Ndc 62559-590-30) e campioni professionali di 7 capsule ( Ndc 62559-590-77) e 14 capsule ( Ndc 62559-590-14).
120 mg : Una capsula grigia/off-bianca impressa con bande segmentate Innopran XL e 3 bande segmentate sono disponibili in bottiglie di 30 capsule ( Ndc 62559-591-30) e campioni professionali di 7 capsule ( Ndc 62559-591-77) e 14 capsule ( Ndc 62559-591-14).
Magazzinaggio
Conservare a 25 ° C (77 ° F); Escursioni consentite a 15 ° e 30 ° C (59 ° e 86 ° F) [vedi temperatura ambiente controllata da USP] in un contenitore strettamente chiuso.
Distribuito da: Ani Pharmaceuticals Inc. Baudette MN 56623. Revisionato: Dic 2023.
Effetti collaterali fO InnoPran XL
Esperienza di studi clinici
Poiché gli studi clinici sono condotti in condizioni di reazione avverse ampiamente variabili osservate negli studi clinici di un farmaco non possono essere paragonati direttamente ai tassi negli studi clinici di un altro farmaco e potrebbero non riflettere i tassi osservati nella pratica.
Le reazioni avverse che si verificano ad un tasso di ≥3% escluso quelle riportate più comunemente nel placebo riscontrato negli studi di ipertensione con il placebo XL innopran sono mostrati nella Tabella 1.
Tabella 1. Reazioni avverse emergenti dal trattamento riportate in ≥3% dei soggetti
ciprofloxacina hcl 250 mg utilizzato per
| Sistema del corpo | Placebo (N = 88) | Innopran XL | |
| 80 mg (N = 89) | 120 mg (N = 85) | ||
| Fatica | 3 (3%) | 4 (5%) | 6 (7%) |
| Vertigini (tranne Vertigo) | 2 (2%) | 6 (7%) | 3 (4%) |
| Stipsi | 0 | 3 (3%) | 1 (1%) |
Esperienza post -marketing
Oltre alle reazioni avverse riportate dagli studi clinici, le seguenti reazioni sono state identificate durante l'uso post-marketing di Innopran XL. Poiché queste reazioni sono riportate volontariamente da una popolazione di dimensioni incerte, non è sempre possibile stimare in modo affidabile la loro frequenza o stabilire una relazione causale con l'esposizione ai farmaci.
Sono state osservate le seguenti reazioni avverse e sono state riportate con l'uso di formulazioni di propranololo a rilascio immediato o sostenuto.
Allergico: Reazioni di ipersensibilità tra cui reazioni anafilattiche/anafilattoidi; faringite e agranulocitosi; Febbre erita eritematosa combinata con laringospasmo e angoscia respiratoria dolorante e mal di gola.
Autoimmune: Lupus eritematoso sistemico (LES).
Cardiovascolare: Esecerbazione dell'insufficienza arteriosa della malattia arteriosa periferica di solito di tipo Raynaud.
Sistema nervoso centrale: Depressione mentale della testa leggera Insonnia Debolezza Fatica Disturbi visivi Disturbi Vivid Dreams Vivid Perdita di memoria a breve termine LABILITÀ EMOTIVA EMOTICA Le leggermente offuscate la parestesia delle mani del sensorio.
Gastrointestinale: Nausea vomito di vomito epigastrico di disagio addominale crampi addominale diarrea trombosi arteriosa di colite ischemica.
Genitourinario: Impotenza maschile; La malattia di Peyronie.
Ematologico: Agranulocitosi non trombocitopenica Purpura trombocitopenica Purpura.
Muscoloscheletrico: Miopatia miotonia.
Pelle e mucose: Sindrome di Stevens-Johnson tossico di necrolisi epidermica Occhi secchi dermatite eritema multiforme orticaria reazioni simili a LASS e eruzioni di psoriaisiformi.
Interazioni farmacologiche fO InnoPran XL
Interazioni farmacocinetiche farmaco-farmaco
Impatto del propranololo su altri farmaci
Warfarin
Warfarin concentrations are increased when administered with propranolol. MonitO prothrombin time accOdingly [see Farmacologia clinica ].
Propafenone
La co-somministrazione del propranololo aumenta le concentrazioni plasmatiche di propafenone. Monitorare i pazienti per i sintomi dell'esposizione eccessiva al propafenone tra cui bradicardia e ipotensione posturale [vedi Farmacologia clinica ].
Impatto di altri farmaci sul propranololo
Inibitori CYP2D6 CYP1A2 e CYP2C19
Inibitori del CYP2D6 (ad esempio bupropion fluoxetina paroxetina chinidine) inibitori del CYP1A2 (ad esempio ciprofloxacina enoxamina fluvoxamina) e cyp2C19 inibitori (ad esempio fluconazolo fluvoxamine ticlopidina) aumentano l'esposizione a propranolol quando co-amministers quando è innopanister (addominister con innopanisters (innopRand (innopransd (innopanisd (innopanisd (INSIBITORI INPORAN (INPORAN SUFLAVAN (Fluconazole fluvoxamine ticlopidina) aumentano l'esposizione a propranilol quando è stato innopanisterd (innopanisterd (innopRans haved. Monitorare i pazienti per bradicardia e ipotensione [vedi Farmacologia clinica ].
Induttori CYP1A2 e CYP2C19
Gli induttori del CYP1A2 (ad esempio fumo di fenitoina montelukast) e gli induttori del CYP2C19 (ad esempio rifampin) riducono i livelli plasmatici di propranololo con conseguente perdita di efficacia [vedi Farmacologia clinica ].
Cholestyramina e Colestipol
La colestyramina o il colestipolo somministrato riduce significativamente le concentrazioni plasmatiche del propranololo co-somministrato che può comportare una perdita di efficacia [vedi Farmacologia clinica ].
Interazioni farmacodinamiche farmaco-farmaco
Agonisti adrenergici: i beta-bloccanti possono antagonizzare gli effetti antiipertensivi della clonidina e l'ipertensione di rimbalzo può derivare se la clonidina viene ritirata bruscamente. Se la clonidina e un beta-bloccante vengono co-somministrati, ritira il beta-bloccante diversi giorni prima del ritiro della clonidina.
Alpha Blocker
La co-somministrazione di beta-bloccanti con alfa-bloccante (ad esempio prazosina) è stata associata al prolungamento dell'ipotensione e della sincope di prima dose.
Dobutamina
Il propranololo può ridurre la sensibilità all'ecocardiografia dello stress da dobutamina nei pazienti sottoposti a valutazione per l'ischemia miocardica.
Antidepressivi
L'effetto ipotensivo degli inibitori MAO o degli antidepressivi triciclici può essere esacerbato quando somministrato con beta-bloccanti. Monitorare i pazienti per ipotensione posturale.
Farmaci antinfiammatori non steroidei
I farmaci antinfiammatori non steroidei (FANS) possono attenuare l'effetto antiipertensivo degli agenti di blocco beta-adrenorecettore. Monitorare la pressione sanguigna.
Avvertimenti per Innopran XL
Incluso come parte del 'PRECAUZIONI' Sezione
Precauzioni per Innopran XL
Ischemia cardiaca dopo brusca sospensione
A seguito di una brusca interruzione della terapia con i beta-bloccanti delle esacerbazioni di angina pectoris e infarto del miocardio si sono verificati.
Durante l'interruzione di Innopran XL somministrato cronicamente in particolare nei pazienti con cardiopatia ischemica, riduce gradualmente la dose per un periodo di 1-2 settimane e monitora i pazienti. Se l'angina peggiora notevolmente o l'insufficienza coronarica acuta si sviluppa in tempi di ripresa prontamente temporaneamente e prende altre misure appropriate per la gestione dell'angina instabile. Avvertire i pazienti contro l'interruzione o l'interruzione della terapia senza il consiglio del medico.
Poiché la malattia dell'arteria coronarica è comune e può non essere riconosciuta, evitare bruscamente l'interruzione della terapia XL innopran anche nei pazienti trattati solo per ipertensione.
Insufficienza cardiaca
I beta-bloccanti come Innopran XL possono causare depressione della contrattilità miocardica e possono precipitare insufficienza cardiaca e shock cardiogenico. Se si sviluppano segni o sintomi dell'insufficienza cardiaca, trattano il paziente secondo le linee guida raccomandate. Potrebbe essere necessario abbassare la dose di Innopran XL o interrompere.
Mantenere durante la chirurgia maggiore
La terapia beta-bloccante somministrata in modo cronico, incluso l'innopran, non dovrebbe essere regolarmente ritirata prima dell'intervento maggiore; Tuttavia, la compromissione del cuore di rispondere agli stimoli adrenergici riflessi può aumentare i rischi di anestesia generale e procedure chirurgiche.
Ipoglicemia
I beta-bloccanti possono prevenire segnali di avvertimento precoce di ipoglicemia come la tachicardia e aumentare il rischio di ipoglicemia grave o prolungata in qualsiasi momento durante il trattamento, specialmente nei pazienti con diabete mellito o bambini e pazienti che stanno digiunando (ad es. Chirurgia che non mangia regolarmente o vomito). Se si verifica una grave ipoglicemia, i pazienti devono essere istruiti a cercare un trattamento di emergenza.
Tireotossicosi
Innopran XL may mask clinical signs of hyperthyroidism such as tachycardia. Avoid abrupt withdrawal of beta-blockade which may precipitate a thyroid stOm.
Bradicardia
Bradicardia including sinus pause heart block E cardiac arrest have occurred with the use of Innopran XL. Patients with first-degree atrioventricular block sinus node dysfunction O conduction disOders (including Wolff-Parkinson-White) may be at increased risk. The concomitant use of beta-adrenergic blockers E non-dihydropyridine calcium channel blockers (e.g. verapamil E diltiazem) digoxin O clonidine increases the risk of significant bradycardia. MonitO heart rate E rhythm in patients receiving Innopran XL. If severe bradycardia develops reduce O stop Innopran XL.
Ridotta efficacia dell'epinefrina nel trattamento dell'anafilassi
I pazienti trattati con bloccanti beta adrenergici trattati con epinefrina per una grave reazione anafilattica possono essere meno sensibili alle dosi tipiche di epinefrina. In questi pazienti considerano altri farmaci (ad es. Fluidi endovenosi glucagone).
Tossicologia non clinica
Mutagenesi della carcinogenesi compromissione della fertilità
Carcinogenesi
Negli studi sulla somministrazione dietetica in cui i topi e i ratti sono stati trattati con propranololo HCl per un massimo di 18 mesi a dosi fino a 150 mg/kg/giorno non vi era alcuna prova della tumorigenesi correlata al farmaco. Su una superficie corporea, questa dose nel topo e nel ratto è rispettivamente uguale e circa il doppio del MRHD di 640 mg di propranololo HCl.
Mutagenesi
Sulla base di risultati diversi dai test AMES eseguiti da diversi laboratori, un effetto genotossico di propranololo HCl è equivoco nei batteri ( S. Typhimurium Filtrare il 1538).
Effetti collaterali dello zocor negli anziani
Compromissione della fertilità
Anche gli effetti del propranololo sulla fertilità sono equivoci. Non sono stati riportati effetti sulla fertilità in uno studio con ratti maschi e femmine esposti all'HCL propranololo nelle loro diete a concentrazioni fino allo 0,05% (circa 50 mg/kg di peso corpore anomalie dello sperma e riduzione del testosterone; Tutti gli effetti erano pienamente reversibili entro 60 giorni dalla sospensione del propranololo. Uno studio separato sui topi maschi che riceveva propranololo orale (10 o 15 mg/kg di peso corporeo) in acqua una volta al giorno ha riportato entrambe le dosi alterate la spermatogenesi e la ridotta motilità dello sperma; Un minor numero di femmine rimase incinta e le femmine incinte avevano meno siti di impianto e feti vitali. Inoltre, quando i conigli femminili venivano iniettati con propranololo 7 mg/kg a intervalli di tre ore (8 volte al giorno è circa il doppio dei conteggi di spermatozoi negli ovidotti e meno lo sperma attaccato e penetrato nelle uova.
Utilizzare in popolazioni specifiche
Gravidanza
Riepilogo del rischio
L'esperienza prolungata con il propranololo nelle donne in gravidanza per diversi decenni basata su studi interventistici e osservazionali pubblicati non ha identificato un rischio associato al farmaco di importanti difetti alla nascita o altri risultati materni avversi. La bradicardia ipoglicemia e la depressione respiratoria sono state osservate con l'uso di beta-bloccanti incluso il propranololo in utero vicino al momento della consegna. Esistono segnalazioni incoerenti di restrizione di crescita intrauterina con l'uso di beta-bloccanti incluso il propranololo durante la gravidanza. L'ipertensione non trattata durante la gravidanza può portare a gravi esiti avversi per la madre e il feto (vedi Considerazioni cliniche E Dati ).
Il rischio di background stimato di principali difetti alla nascita e aborto spontaneo per la popolazione indicata non è noto. Tutte le gravidanze hanno un rischio di fondo di perdita di difetti alla nascita o altri risultati avversi. Nella popolazione generale degli Stati Uniti il rischio di background stimato di gravi difetti alla nascita e aborto spontaneo nelle gravidanze clinicamente riconosciute è rispettivamente dal 2% al 4% e dal 15% al 20%.
Considerazioni cliniche
Rischio materno e/o embrione/o fetale associato alla malattia
L'ipertensione in gravidanza aumenta il rischio materno di diabete gestazionale pre-eclampsia complicanze premature e complicanze del parto (ad es. Necessità di sezione cesarea e emorragia post-partum) Ipertensione aumenta il rischio fetale per la restrizione della crescita intrauterina e la morte intrauterina. Le donne in gravidanza con ipertensione devono essere attentamente monitorate e gestite di conseguenza.
Reazioni avverse fetali/neonatali
Il propranololo attraversa la placenta. I neonati nati da madri che ricevono propranololo durante la gravidanza possono essere a rischio di ipoglicemia bradicardia e depressione respiratoria. Monitorare i neonati esposti al propranololo durante la gravidanza e gestire di conseguenza.
Dati
Dati sugli animali
In una serie di studi di tossicologia riproduttiva e dello sviluppo, il propranololo è stato somministrato ai ratti da gavage o nella dieta durante la gravidanza e l'allattamento. A dosi di 150 mg/kg/die, ma non a dosi di 80 mg/kg/die (equivalenti al massimo dose giornaliera orale umana raccomandata (MRHD) su una base della superficie corporea) era associato all'embritossicità (ridotta dimensione della lettiera e aumento dei tassi di riassorbimento) nonché a tossicità neonatale (decesso). Il propranololo HCL è stato anche somministrato (nell'alimentazione) ai conigli (durante la gravidanza e l'allattamento) a dosi fino a 150 mg/kg/giorno (circa 5 volte il MRHD). Non è stata osservata alcuna prova di embrione o tossicità neonatale.
Lattazione
Riepilogo del rischio
Il propranololo è presente nel latte umano a bassi livelli, ma il rischio correlato per un bambino allattato al seno non è noto. Non ci sono dati sugli effetti del propranololo sulla produzione di latte.
I benefici per lo sviluppo e la salute dell'allattamento dovrebbero essere considerati insieme alla necessità clinica della madre di Innopran XL e a potenziali effetti avversi sul bambino allattato al seno da Innopran XL o dalla condizione materna sottostante.
Femmine e maschi di potenziale riproduttivo
Infertilità
Maschi
Sulla base dei beta-bloccanti della letteratura pubblicati, incluso il propranololo, può causare disfunzione erettile. Nei ratti propranololo inibisce la spermatogenesi [vedi Tossicologia non clinica ].
Uso pediatrico
La sicurezza ed efficacia del propranololo nei pazienti pediatrici non è stata stabilita.
Uso geriatrico
Studi clinici di Innopran XL non includevano un numero sufficiente di soggetti di età pari o superiore a 65 anni per determinare se rispondono in modo diverso dai soggetti più giovani. Altra esperienza clinica segnalata non ha identificato differenze nelle risposte tra i pazienti anziani e più giovani. In generale, la selezione della dose per un paziente anziano dovrebbe essere cauta di solito a partire dalla fascia bassa dell'intervallo di dosaggio che riflette la maggiore frequenza della ridotta funzione renale e cardiaca epatica e di malattia concomitante o altra terapia farmacologica.
hotel di lusso a Vancouver BC
Compromissione renale
L'esposizione al propranololo è aumentata nei pazienti con compromissione renale. Inizia la terapia XL innopran in pazienti con funzionalità renale alterata alla dose più bassa (80 mg) una volta al giorno e monitora i pazienti per la bradicardia e ipotensione marcate [vedi Farmacologia clinica ].
Compromissione epatica
L'esposizione al propranololo è aumentata nei pazienti con compromissione epatica. Inizia la terapia XL innopran in pazienti con funzionalità epatica compromessa alla dose più bassa (80 mg) una volta al giorno e monitora i pazienti per la bradicardia e l'ipotensione marcate [vedi Farmacologia clinica ].
Informazioni per overdose per Innopran XL
La maggior parte delle overdose di propranololo sono lievi e rispondono alle cure di supporto.
Il propranololo non è significativamente dializzabile.
L'ipotensione e la bradicardia sono stati segnalati a seguito di sovradosaggio di propranololo e dovrebbero essere trattati in modo appropriato. Il glucagone può esercitare potenti effetti inotropi e cronotropici e può essere particolarmente utile per il trattamento dell'ipotensione o della funzione miocardica depressa dopo un sovradosaggio di propranololo.
Il glucagone deve essere somministrato da 50 a 150 mcg/kg per via endovenosa seguita da un gocciolamento continuo da 1 a 5 mg/ora per un effetto cronotropico positivo. Gli inibitori della dopamina o della fosfodiesterasi di isoproterenolo possono anche essere utili. L'epinefrina può tuttavia provocare ipertensione incontrollata. La bradicardia può essere trattata con atropina o isoproterenolo. La bradicardia grave può richiedere un ritmo cardiaco temporaneo.
Monitorare lo stato neurocardizionale della pressione arteriosa dell'impulso elettrocardiogramma e l'equilibrio di assunzione e uscita. L'isoproterenolo e l'aminofillina possono essere usati per il broncospasmo.
Controindicazioni per Innopran XL
Innopran XL is contraindicated in patients with:
- Shock cardiogenico o insufficienza cardiaca decompensata
- Sinus Bradicardia Sindrome del seno malato e maggiore del blocco di primo grado a meno che non sia in atto un pacemaker permanente
- Asma bronchiale
- L'ipersensibilità nota (ad es. Reazione anafilattica) al propranololo cloridrato o uno qualsiasi dei componenti di Innopran XL
Farmacologia clinica fO InnoPran XL
Meccanismo d'azione
Il meccanismo dell'effetto antiipertensivo del propranololo non è stato stabilito. Tra i fattori che contribuiscono all'azione antiipertensiva sono: (1) la riduzione della gittata cardiaca (2) l'inibizione del rilascio di renina da parte dei reni e (3) diminuzione del deflusso tonico del nervo simpatico dai centri vasomotori nel cervello. Sebbene la resistenza periferica totale possa aumentare inizialmente, si rialzò o al di sotto del livello di pretrattamento con uso cronico. Gli effetti del propranololo sul volume del plasma sembrano essere minori e un po 'variabili.
Farmacodinamica
Il propranololo è un agente di blocco del recettore beta-adrenergico non selettivo che non possiede altra attività del sistema nervoso autonomo. Concorre in particolare con agenti di stimolazione del recettore beta-adrenergico per i siti di recettori disponibili. Dei 2 enantiomeri del propranololo, l'enantiomero S blocca i recettori beta-adrenergici. Quando l'accesso ai siti beta-recettori viene bloccato dalle risposte inotropiche e vasodilatorie cronotropiche di propranololo alla stimolazione beta-adrenergica sono diminuiti proporzionalmente. A dosaggi maggiori di quanto richiesto per il blocco beta il propranololo esercita anche un'azione di membrana simile a chinidina o anestetica che influisce sul potenziale di azione cardiaca. Il significato dell'azione della membrana nel trattamento delle aritmie è incerto.
Farmacocinetica
Assorbimento
Il propranololo è altamente lipofilo ed è quasi completamente assorbito dopo la somministrazione orale. Tuttavia, subisce un elevato metabolismo di primo passaggio da parte del fegato e in media solo circa il 25% del propranololo raggiunge la circolazione sistemica.
Uno studio ad effetti alimentari monodose in 36 soggetti sani ha mostrato che un pasto ad alto contenuto di grassi somministrato con Innopran XL alle 22:00. Aumento del tempo di ritardo da 3 a 5 ore e il tempo per raggiungere la massima concentrazione da 11,5 a 15,4 ore senza alcun effetto sull'AUC.
A seguito della somministrazione a dosi multiple di Innopran XL alle 22:00 In condizioni di digiuno il tempo di ritardo dello stato stazionario era compreso tra 4 e 5 ore e le concentrazioni plasmatiche di picco di propranololo sono state raggiunte circa 12-14 ore dopo il dosaggio. I livelli di depressione del propranololo sono stati raggiunti da 24 a 27 ore dopo il dosaggio e persistevano per 3-5 ore dopo la dose successiva.
I livelli plasmatici di propranololo hanno mostrato aumenti dose-proporzionali dopo una somministrazione singola e multipla di 80 120 e 160 mg di innopran XL.
A stato stazionario la biodisponibilità di una dose di 160 mg di capsule a lunga durata di idrocloruro di propranololo e propranololo non differiva significativamente.
Distribuzione
Circa il 90% del propranololo circolante è legato alle proteine plasmatiche (albumina e glicoproteina acida alfa1). Il legame è selettivo enantiomero. L'isomero S è preferenzialmente legato alla glicoproteina Alpha1 e l'isomero R preferibilmente legato all'albumina. Il volume di distribuzione del propranololo è di circa 4 litri.
Metabolismo ed eliminazione
Il propranololo è ampiamente metabolizzato con la maggior parte dei metaboliti che appaiono nelle urine. Il propranololo viene metabolizzato attraverso 3 percorsi primari: idrossilazione aromatica (principalmente 4-idrossilazione) N-dealkilazione N seguita da un'ulteriore ossidazione della catena laterale e glucuronidazione diretta. È stato stimato che i contributi percentuali di questi percorsi al metabolismo totale sono rispettivamente del 42% 41% e del 17%, ma con notevole variabilità tra le persone. I 4 principali metaboliti sono il propranololo glucuronide naftiloxilattico di acido e acido glucuronico e coniugati di solfato del 4-idrossi propranololo.
In vitro Gli studi hanno indicato che l'idrossilazione aromatica del propranololo è catalizzata principalmente dal CYP2D6 polimorfico. L'ossidazione della catena laterale è mediata principalmente dal CYP1A2 e in una certa misura dal CYP2D6. Il 4-idrossi propranololo è un debole inibitore del CYP2D6.
Il propranololo è anche un substrato per CYP2C19 e un substrato per il trasportatore di efflusso intestinale P-glicoproteina (P-GP). Gli studi suggeriscono tuttavia che la P-gp non è una dose limitante per l'assorbimento intestinale del propranololo nel solito intervallo di dose terapeutica.
In soggetti sani non è stata osservata alcuna differenza tra i metabolizzatori del CYP2D6 (EMS) e i poveri metabolizzatori (PMS) per quanto riguarda la clearance orale o l'emivita di eliminazione. La clearance parziale alla 4-idrossi propranololo era significativamente più alta e l'acido naftiloxilattico era significativamente più bassa nelle EM rispetto alla PMS.
Nei soggetti normali che ricevevano dosi orali di concentrazioni di enantiomer di propranololo racemico hanno superato quelle dell'enantiomero R dal 40 al 90% a causa del metabolismo epatico stereoselettivo.
L'emivita di eliminazione del propranololo era di circa 8 ore.
Popolazioni specifiche
Pediatrico
La farmacocinetica di Innopran XL non è stata studiata in pazienti di età inferiore ai 18 anni.
Il norethindrone è come pillola anticoncezionale
Geriatrico
La farmacocinetica di Innopran XL non è stata studiata in pazienti di età superiore ai 65 anni. In uno studio su 12 anziani (da 62 a 79 anni) e 12 giovani (25-33 anni) soggetti sani somministrati propranololo a rilascio immediato, la clearance dell'enantiomero S del propranololo era ridotta negli anziani. Inoltre, le emivite di R-e Spropranololo erano prolungate negli anziani rispetto ai giovani (11 ore contro 5 ore).
Genere
In uno studio sulla dose-proporzionalità, la farmacocinetica di Innopran XL è stata valutata in 22 volontari sani maschi e 14 femmine. A seguito di dosi singole in condizioni di digiuno, l'AUC medio e la CMAX erano circa il 49% e il 16% più in alto per le femmine in tutta la gamma di dosaggi. L'emivita media di eliminazione era più lunga nelle femmine che nei maschi (11 ore contro 7,5 ore).
Gara
Uno studio condotto su 12 soggetti maschi bianchi e 13 afroamericani che assumono propranololo a rilascio immediato hanno mostrato allo stato stazionario la clearance di R e S-propicolo era di circa il 76% e il 53% in più negli afro-americani rispetto ai bianchi rispettivamente.
Compromissione renale
La farmacocinetica del propranololo dopo la somministrazione di Innopran XL non è stata valutata in pazienti con compromissione renale. In uno studio condotto in 5 pazienti con insufficienza renale cronica 6 pazienti con dialisi regolare e 5 soggetti sani che hanno ricevuto una singola dose orale di 40 mg di propranololo le concentrazioni plasmatiche di picco (CMAX) di propranololo nel gruppo di insufficienza renale cronica (47 ± 9 ng). soggetti (26 ± 1 ng/ml). Anche la clearance al plasma propranololo è stata ridotta nei pazienti con insufficienza renale cronica.
L'insufficienza renale cronica è stata associata a una diminuzione del metabolismo dei farmaci attraverso la regolazione in calo dell'attività epatica del citocromo P450.
Il propranololo non è significativamente dializzabile.
Compromissione epatica
La farmacocinetica del propranololo dopo la somministrazione di Innopran XL non è stata valutata in pazienti con compromissione epatica. Tuttavia il propranololo è ampiamente metabolizzato dal fegato. In uno studio condotto in 7 pazienti con cirrosi e 9 soggetti sani che hanno ricevuto 80 mg di propranololo orale ogni 8 ore per 7 dosi per la concentrazione di propranololo non legata allo stato stazionario in pazienti con cirrosi era 3 volte quella dei controlli. Nella cirrosi l'emivita è aumentata a 11 ore rispetto a 4 ore.
Interazioni farmaco-farmaco
Impatto del propranololo su altri farmaci
L'effetto del propranololo sull'esposizione ad altri farmaci è mostrato nella Tabella 2.
Tabella 2 Impatto del propranololo su altri farmaci
| Altro farmaco | Effetto sulla loro esposizione |
| Amide Anestetics (mepivicaina Lidocaine bupivacaina) | Aumentato |
| Warfarin | Aumentato |
| Propafenone | Aumentato> 200% |
| Nifedipina | Aumentato 80% |
| Verapamil | Nessuno |
| Pravastatin Lovastatin | Diminuito il 20% |
| Fluvastatina | Nessuno |
| Zolmitriptan | Aumentato 60% |
| Rizatriptan | Aumentato 80% |
| Tioridazina | Aumentato 370% |
| Diazepam | Aumentato |
| Oxazepam triazolam lorazepam alprazolam | Nessuno |
| Teofillina | Aumentato 70% |
Impatto di altri farmaci sul propranololo
L'effetto del propranololo sull'esposizione ad altri farmaci è mostrato nella Tabella 3.
Tabella 3 Impatto di altri farmaci sull'esposizione al propranololo
| Altro farmaco | Effetto sull'esposizione al propranololo |
| Inibitori di CYP2D6 CYP1A2 o CYP2C19 | Aumentato |
| Induttori di CYP1A2 o CYP2C19 | Diminuito |
| Chinidina | Aumentato> 200% |
| Nisoldipina | Aumentato 50% |
| Nicardipina | Aumentato 80% |
| Clorpromazina | Aumentato 70% |
| Cimetidina | Aumentato 50% |
| COLESTIPOL COLESTERAMINA | Diminuito 50% |
| Alcool | Aumentato |
| Diazepam | Nessuno |
| Verapamil | Nessuno |
| Metoclopramide | Nessuno |
| Ranitidina | Nessuno |
| Lansoprazolo | Nessuno |
| Omeprazolo | Nessuno |
| Alcool | Aumentare acutamente o diminuire cronicamente |
| Propafenone | Aumentato 200% |
| Chinidina | Aumentato 200% |
| Cimetidina | Aumentato 40% |
| Idrossido di alluminio | Diminuito 50% |
| Diazepam | Nessuno |
| Nisoldipina nicardipine nifedipine | Aumentato 50-80% |
Studi clinici
Ipertensione
In uno studio dose-risposta parallelo in doppio; Innopran XL ha ridotto significativamente la pressione sistolica e diastolica quando sono state prese misurazioni circa 16 ore dopo. L'effetto della pressione diastolica composta dal placebo per le dosi da 80 e 120 mg era rispettivamente -3,0 e -4,0 mm Hg. Dosi più elevate di Innopran XL (160 640 mg) non avevano un ulteriore effetto di abbassamento della pressione del sangue rispetto a 120 mg. Gli effetti antiipertensivi di Innopran XL sono stati osservati negli anziani (≥65 anni) e uomini e donne. C'erano troppo pochi pazienti non bianchi per valutare l'efficacia di Innopran XL in questi pazienti.
Informazioni sul paziente per Innopran XL
- Consiglia ai pazienti di non interrompere o interrompere l'utilizzo di Innopran XL senza il consiglio di un medico.
- Consiglia i pazienti con insufficienza cardiaca consultare il proprio medico se sperimentano segni o sintomi di peggioramento dell'insufficienza cardiaca come l'aumento di peso o l'aumento della mancanza di respiro.
- Informare i pazienti o gli operatori sanitari che esiste un rischio ipoglicemia Quando Innopran XL viene somministrato ai pazienti che stanno digiunando o che stanno vomitando. Istruire i pazienti o gli operatori sanitari come monitorare i segni di ipoglicemia [vedi AVVERTIMENTOS AND PRECAUZIONI ].
Per ulteriori informazioni sul prodotto, visitare www.anipharmaceuticals.com o chiamare il numero 1-800-308-6755.