Le Informazioni Presenti Sul Sito Non Costituiscono Consulenza Medica. Non Vendiamo Nulla. L'Accuratezza Della Traduzione Non È Garantita. Disclaimer
Anticorpi monoclonali
Costyx
Riepilogo della droga
Cos'è costyx?
Costyx (secukinumab) per iniezione è un antagonista interleuchina-17a umano usato per trattare da moderato a grave psoriasi a placche Nei pazienti adulti che sono candidati per terapia sistemica o fototerapia.
Quali sono gli effetti collaterali per costyx?
Gli effetti collaterali comuni di costyx includono:
- mal di gola e naso
- diarrea
- infezione del tratto respiratorio superiore
- seno infezione (sinusisits)
- soffocante o rinorrea
- orale herpes
- orticaria
- Il piede dell'atleta
- tonsillite
- orale tordo
- impetigine
- malattia intestinale infiammatoria
- infezione all'orecchio
- infezione agli occhi o infiammazione ( congiuntivite )
- Aumento delle transaminasi epatiche e
- Basso conta dei globuli bianchi ( Neutropenia ).
Cerca cure mediche o chiama il 911 contemporaneamente se hai i seguenti gravi effetti collaterali:
- Sintomi di occhiali gravi come la perdita di visione improvvisa del tunnel della visione sfocata Dolore alla visione o gonfiore o vedere aloni attorno alle luci;
- Sintomi cardiaci gravi come battiti cardiaci irregolari o martellanti veloci; svolazzando nel petto; fiato corto; e vertigini improvvise Accendino o svenire;
- Grave mal di testa confusione Il braccio del linguaggio bloccato o la debolezza delle gambe problemi perdite perdita di coordinamento sentendoti instabili muscoli molto rigidi ad alta febbre abbondante sudorazione o tremori.
Questo documento non contiene tutti i possibili effetti collaterali e altri possono verificarsi. Verificare con il tuo medico ulteriori informazioni sugli effetti collaterali.
Dosaggio per costyx
La dose raccomandata di costyx è di 300 mg per iniezione sottocutanea a settimane 0 1 2 3 e 4 seguita da 300 mg ogni 4 settimane. Ogni dose di 300 mg è somministrata come 2 iniezioni sottocutanee di 150 mg.
Quali sostanze o integratori di farmaci interagiscono con il costyx?
Costyx può interagire con:
- warfarin
- ciclosporina o
- VACCINI dal vivo.
Dì al medico tutti i farmaci e gli integratori che usi e tutti i vaccini che hai ricevuto di recente.
Costyx durante la gravidanza e l'allattamento
Di 'al medico se sei incinta o hai intenzione di rimanere incinta prima di usare costyx. Non è noto se questo farmaco passi nel latte materno. Consulta il medico prima dell'allattamento al seno.
Ulteriori informazioni
Il nostro costyx (secukinumab) per gli effetti collaterali iniezione Centro farmaco fornisce una visione completa delle informazioni disponibili sui farmaci sui potenziali effetti collaterali durante l'assunzione di questo farmaco.
Informazioni sui farmaci FDA
- Descrizione del farmaco
- Indicazioni
- Dosaggio
- Effetti collaterali
- Avvertimenti
- Overdose
- Farmacologia clinica
- Guida ai farmaci
Descrizione per costyx
Secukinumab è un anticorpo IgG1/κ monoclonale ricombinante che si lega specificamente a IL-17A. È espresso in una linea cellulare ricombinante di ovaio di criceto cinese (CHO). Secukinumab ha una massa molecolare di circa 151 kDa; Entrambe le catene pesanti di secukinumab contengono catene di oligosaccaride.
Iniezione costyx
L'iniezione di costyx è una soluzione sterile senza conservante da chiaro a leggermente opalescente incolore a leggermente giallo. Il costyx viene fornito in una penna sensoriale monouso con un ago da ½ pollice fisso a 27 calibri o una siringa pre-riempita a uso singolo con un ago da ½ pollice fisso a 27 calibri. Il tappo rimovibile della penna sensoriale costyx o della siringa preimpegnata contiene lattice di gomma naturale.
Ogni penna sensoriale costyx o siringa preimpegnata contiene 150 mg di secukinumab formulati in: l-istidina /istidina cloridrato monoidrato (NULL,103 mg) L-metionina (NULL,746 mg) polisorbato 80 (NULL,2 mg) Trehalosio diidrato (75.67 mg e acqua sterile per iniezione a pH di 5,8 ph di 5.8.
Cosentyx per iniezione
Il costyx per iniezione viene fornito come una polvere liofilizzata da bianco a conservante sterile a conservante in leggero giallo in fiale monouso. Ogni fiala costyx contiene 150 mg di secukinumab formulati in listidina/istidina cloridrato monoidrato (NULL,656 mg) polisorbato 80 (NULL,6 mg) e saccarosio (NULL,43 mg). Dopo la ricostituzione con 1 ml di acqua sterile per iniezione USP, il pH risultante è di circa 5,8.
Usi per costyx
Psoriasi a placche
Cosentyx® è indicato per il trattamento della psoriasi della placca da moderata a grave (PSO) in pazienti di età pari o superiore a 6 anni che sono candidati per terapia sistemica o fototerapia.
Artrite psoriasica
Il costyx è indicato per il trattamento dell'artrite psoriasica attiva (PSA) in pazienti di età pari o superiore a 2 anni.
Spondilite anchilosante
Il costyx è indicato per il trattamento di pazienti adulti con spondilite anchilosante attiva (AS).
Spondiloartrosi assiale non radiografica
Il costyx è indicato per il trattamento di pazienti adulti con spondiloartrosi assiale non radiografica attiva (NRAXSPA) con segni oggettivi di infiammazione.
Artrite correlata all'ensite
Cosentyx è indicato per il trattamento dell'artrite attivo correlata all'ingentete (ERA) in pazienti pediatrici di età pari o superiore a 4 anni.
Hidradenite suppurativa
Il costyx è indicato per il trattamento di pazienti adulti con idradenite da moderata a grave suppurativa (HS).
Dosaggio per costyx
Test e procedure prima dell'inizio del trattamento
Eseguire le seguenti valutazioni prima dell'iniziazione costyx:
- Valutare per attivo o latente tubercolosi (TB). L'iniziazione costyx non è raccomandata nei pazienti con infezione da tubercolosi attiva. Iniziare il trattamento della tubercolosi latente prima dell'inizio di costyx [vedi Avvertimenti e precauzioni ].
- Completa tutte le vaccinazioni adeguate all'età come raccomandato dalle attuali linee guida per l'immunizzazione prima di iniziare il trattamento con costyx [vedi Avvertimenti e precauzioni ].
Importanti istruzioni di amministrazione
- Cosentyx è per l'uso sotto la guida e la supervisione di un operatore sanitario.
- Penne insolite Penne sensoriali e siringhe preimpegnate sono solo per uso sottocutaneo.
- La soluzione nelle fiale è per uso endovenoso solo nei pazienti adulti.
Importanti istruzioni di somministrazione sottocutanea
I pazienti adulti possono auto-somministrare costyx o essere iniettati da un caregiver dopo un adeguato allenamento nella tecnica di iniezione sottocutanea.
I pazienti pediatrici non devono auto-somministrare costyx. Un caregiver per adulti dovrebbe preparare e iniettare costyx dopo un adeguato allenamento nella tecnica di iniezione sottocutanea.
Somministrare ogni iniezione sottocutanea in una diversa posizione anatomica (come cosce per le braccia della parte superiore o qualsiasi quadrante dell'addome) rispetto all'iniezione precedente e non in aree in cui la pelle è tenera indurita eritematosa eritematosa indurata o colpita dalla psoriasi. La somministrazione di costyx sottocutanee nel braccio esterno superiore può essere eseguita da un operatore sanitario o assistenza sanitaria.
Le istruzioni costyx per l'uso per ciascuna presentazione e resistenza contengono istruzioni più dettagliate sulla preparazione e la somministrazione di costyx per pazienti e caregiver [vedi Istruzioni per l'uso ].
Importanti istruzioni per l'infusione endovenosa
L'infusione endovenosa è solo per l'uso da parte di un operatore sanitario in un contesto sanitario. Preparare l'infusione endovenosa costyx diluendo l'iniezione costyx in fiala (i) e somministrazione in base al peso corporeo del paziente [vedi Dosaggio e amministrazione ]. Intravenous infusion may be administered only in adults with PsA AS E nr-axSPA.
Dosaggio consigliato nella psoriasi della placca
Dosaggio sottocutaneo consigliato negli adulti con PSO
Il dosaggio raccomandato negli adulti con PSO è di 300 mg per iniezione sottocutanea a settimane 0 1 2 3 e 4 e ogni 4 settimane dopo. Ogni dosaggio di 300 mg è somministrato come un'iniezione sottocutanea di 300 mg o come due iniezioni sottocutanee di 150 mg.
Per alcuni pazienti un dosaggio di 150 mg per iniezione sottocutanea a settimane 0 1 2 3 e 4 e ogni 4 settimane successivamente può essere accettabile.
Dosaggio sottocutaneo raccomandato in pazienti pediatrici di età pari o superiore a 6 anni con PSO
Il dosaggio a base di peso raccomandato nei pazienti pediatrici di età pari o superiore a 6 anni con PSO viene somministrato mediante iniezione sottocutanea a settimane 0 1 2 3 e 4 e ogni 4 settimane dopo.
- Per i pazienti <50 kg (at the time of dosing) the recommended dose is 75 mg.
- Per i pazienti ≥ 50 kg (at the time of dosing) the recommended dose is 150 mg.
Dosaggio raccomandato negli adulti con artrite psoriasica
Il costyx può essere somministrato con o senza metotrexato.
Dosaggio sottocutaneo consigliato
Per i pazienti adulti con PSA e con PSO da moderato a grave coesistente utilizzare le raccomandazioni di dosaggio e somministrazione per gli adulti con PSO [vedi Dosaggio e amministrazione ].
Per altri pazienti adulti con PSA somministrano costyx con o senza un dosaggio di carico mediante iniezione sottocutanea.
Il dosaggio consigliato negli adulti con PSA:
- Con un dosaggio di carico è di 150 mg a settimane 0 1 2 3 e 4 e ogni 4 settimane dopo.
- Senza un dosaggio di carico è di 150 mg ogni 4 settimane.
- Se un paziente continua ad avere un PSA attivo prendere in considerazione l'aumento del dosaggio a 300 mg mediante iniezione sottocutanea ogni 4 settimane. Ogni dosaggio di 300 mg è somministrato come un'iniezione sottocutanea di 300 mg o come due iniezioni sottocutanee di 150 mg.
Dosaggio endovenoso raccomandato
L'iniezione costyx per uso endovenoso (soluzione nelle fiale) richiede diluizione prima della somministrazione endovenosa. Il regime di dosaggio endovenoso raccomandato negli adulti con PSA:
- Con un dosaggio di caricamento è di 6 mg/kg di dose di carico indicata alla settimana 0 seguita da 1,75 mg/kg ogni 4 settimane dopo (dosaggio di mantenimento).
- Senza un dosaggio di carico è di 1,75 mg/kg ogni 4 settimane.
Somministrare come infusione endovenosa per un periodo di 30 minuti [vedi Dosaggio e amministrazione ].
Dosi totali superiori a 300 mg per infusione non sono raccomandati per la dose di mantenimento di 1,75 mg/kg negli adulti con PSA [vedi Dosaggio e amministrazione ].
Dosaggio raccomandato in pazienti pediatrici di età pari o superiore a 2 anni con artrite psoriasica giovanile
Il costyx può essere somministrato con o senza metotrexato.
Il dosaggio sottocutaneo basato sul peso raccomandato in pazienti pediatrici di età pari o superiore a 2 anni con PSA a settimane 0 1 2 3 e 4 e ogni 4 settimane successivamente è il seguente:
- Per i pazienti ≥ 15 kg E <50 kg the recommended dose is 75 mg.
- Per i pazienti ≥ 50 kg the recommended dose is 150 mg.
Dosaggio raccomandato negli adulti con spondilite anchilosante
Dosaggio sottocutaneo consigliato
Somministrare costyx con o senza un dosaggio di carico mediante iniezione sottocutanea in pazienti adulti con AS attivo. Il dosaggio consigliato:
- Con un dosaggio di carico è di 150 mg a settimane 0 1 2 3 e 4 e ogni 4 settimane dopo.
- Senza un dosaggio di carico è di 150 mg ogni 4 settimane.
- Se un paziente continua ad avere attivo come considerare di aumentare il dosaggio a 300 mg ogni 4 settimane mediante iniezione sottocutanea. Ogni dosaggio di 300 mg è somministrato come un'iniezione sottocutanea di 300 mg o come due iniezioni sottocutanee di 150 mg.
Dosaggio endovenoso raccomandato
L'iniezione costyx per uso endovenoso (soluzione nelle fiale) richiede diluizione prima della somministrazione endovenosa. Il regime di dosaggio endovenoso raccomandato in pazienti adulti con AS attivo:
- Con un dosaggio di caricamento è di 6 mg/kg di dose di carico indicata alla settimana 0 seguita da 1,75 mg/kg ogni 4 settimane dopo (dosaggio di mantenimento).
- Senza un dosaggio di carico è di 1,75 mg/kg ogni 4 settimane.
Somministrare come infusione endovenosa per un periodo di 30 minuti [vedi Dosaggio e amministrazione ].
Dosi totali superiori a 300 mg per infusione non sono raccomandati per la dose di mantenimento di 1,75 mg/kg in pazienti con AS [vedi Dosaggio e amministrazione ].
Dosaggio raccomandato negli adulti con spondiloartrosi assiale non radiografica
Dosaggio sottocutaneo consigliato
Somministrare costyx con o senza un dosaggio di carico mediante iniezione sottocutanea in pazienti adulti con NRAXSPA attivo. Il dosaggio consigliato:
- Con un dosaggio di carico è di 150 mg a settimane 0 1 2 3 e 4 e ogni 4 settimane dopo.
- Senza un dosaggio di carico è di 150 mg ogni 4 settimane.
Dosaggio endovenoso raccomandato
L'iniezione costyx per uso endovenoso (soluzione nelle fiale) richiede diluizione prima della somministrazione endovenosa. Il regime di dosaggio endovenoso raccomandato in pazienti adulti con NR-AXSPA attivo:
- Con un dosaggio di caricamento è di 6 mg/kg di dose di carico indicata alla settimana 0 seguita da 1,75 mg/kg ogni 4 settimane dopo (dosaggio di mantenimento).
- Senza un dosaggio di carico è di 1,75 mg/kg ogni 4 settimane.
Somministrare come infusione endovenosa per un periodo di 30 minuti [vedi Dosaggio e amministrazione ].
Dosi totali superiori a 300 mg per infusione non sono raccomandati per la dose di mantenimento di 1,75 mg/kg in pazienti con NRAXSPA [vedi Dosaggio e amministrazione ].
Dosaggio raccomandato in artrite correlata all'ensite
Il costyx può essere somministrato solo come iniezione sottocutanea in pazienti pediatrici di età pari o superiore a 4 anni con era attiva.
Il dosaggio a base di peso raccomandato nei pazienti pediatrici di età pari o superiore a 4 anni con ERA viene somministrato mediante iniezione sottocutanea a settimane 0 1 2 3 e 4 e ogni 4 settimane successive:
- Per i pazienti ≥ 15 kg E <50 kg the recommended dose is 75 mg.
- Per i pazienti ≥ 50 kg the recommended dose is 150 mg.
Dosaggio raccomandato in hidradenite suppurativa
La dose raccomandata in pazienti adulti con HS da moderato a grave è di 300 mg per iniezione sottocutanea a settimane 0 1 2 3 e 4 e ogni 4 settimane dopo.
Se un paziente non risponde adeguatamente, considera di aumentare il dosaggio a 300 mg ogni 2 settimane. Ogni dosaggio di 300 mg è somministrato come un'iniezione sottocutanea di 300 mg o come due iniezioni sottocutanee di 150 mg.
Preparazione per l'uso di penna penna non orare di pinte di penna e siringhe predefinite
Penne nonrexe cosentyx Penne sensoriali e siringhe preimpegnate sono solo per iniezione sottocutanea. Prima dell'iniezione sottocutanea rimuovere costyx dal frigorifero e consentire a costyx di raggiungere la temperatura ambiente (da 15 a 30 minuti per la penna sensoriale la siringa predefinita da 150 mg/ml e 75 mg/0,5 ml; da 30 a 45 minuti per la penna insolita e la siringa pre -riempita da 300 mg/2 m
Il cappuccio rimovibile della penna sensorEady costyx 150 mg/ml e le siringhe prefettite costyx (150 mg/ml 75 mg/0,5 ml) contengono lattice in gomma naturale e non devono essere gestiti da individui sensibili al lattice [vedi Avvertimenti e precauzioni ].
Ispezionare visivamente costyx per il particolato e lo scolorimento prima della somministrazione. L'iniezione costyx è una soluzione da chiaro a leggermente opalescente incolore a leggermente giallo. Non utilizzare se il liquido contiene particelle visibili è scolorito o nuvoloso. Scartare qualsiasi prodotto inutilizzato.
Effetti collaterali a lungo termine di Faslodex
Preparazione e somministrazione di costyx per uso endovenoso
Costyx (per uso endovenoso) deve essere diluito prima dell'infusione. Usando la tecnica asettica preparare costyx (per uso endovenoso) come segue:
Passaggio 1. Calcolo del volume
- Calcola il volume totale di costyx per la soluzione di uso endovenoso (in ml) richiesta in base al peso corporeo effettivo del paziente come segue:
- La dose di carico (6 mg/kg) è 0,24 ml/kg
- La dose di mantenimento (NULL,75 mg/kg) è 0,07 ml/kg
- Utilizzare il numero di fiale in base al volume totale necessario (una fiala contiene 5 ml di soluzione costyx).
Passaggio 2. Diluizione
- Il prodotto farmaceutico parenterale deve essere ispezionato visivamente per il particolato e lo scolorimento prima della somministrazione ogni volta che la soluzione e il permesso del contenitore. Non utilizzare se si nota particulati o scolocoli.
- Seguire la tabella 1 per la dimensione della sacca di infusione raccomandata in base al peso corporeo del paziente.
Tabella 1: sacche di infusione consigliate per diluizione e preparazione di costyx per uso endovenoso in base al peso corporeo e alla dose
| Peso corporeo al momento del dosaggio | Per la dose di carico (6 mg/kg) sacca per infusione raccomandata | Per dose di manutenzione (NULL,75 mg/kg) sacca di infusione raccomandata |
| Maggiore di 52 kg | 100 ml | 100 ml |
| Meno o uguale a 52 kg | 100 ml | 50 ml* |
| *Se non è disponibile una borsa di infusione da 50 ml, utilizzare una borsa per infusione da 100 ml e ritirare e scartare 50 ml di soluzione salina usando la tecnica asettica e continuare a seguire le fasi di preparazione e somministrazione. |
- Dalla sacca di infusione preleva e scartare un volume di iniezione di cloruro di sodio 0,9% USP uguale al volume calcolato della soluzione costyx richiesta per la dose del paziente [vedi Dosaggio e amministrazione ].
- Dalla fiala (i) ritira il volume calcolato (ml) della soluzione costyx e aggiungi lentamente nella borsa per infusione USP di iniezione di cloruro di sodio allo 0,9%. Per mescolare la soluzione invertire delicatamente la borsa per evitare la schiuma. Non agitare.
- Scartare il prodotto costyx inutilizzato in fiale perché non contiene conservanti.
Consentire la soluzione costyx diluita per l'infusione di riscaldarsi a temperatura ambiente prima dell'inizio dell'infusione endovenosa. Somministrare la soluzione costyx diluita per l'infusione il più presto possibile. Se non somministrato, memorizzare immediatamente la soluzione diluita:
- A temperatura ambiente da 20 ° C a 25 ° C (da 68 ° F a 77 ° F) per non più di 4,5 ore dall'inizio della preparazione (perforare la prima fiala) al completamento dell'infusione.
- In refrigerazione da 2 ° C a 8 ° C (da 36 ° F a 46 ° F) per non più di 24 ore dall'inizio dell'ora della preparazione (perforare la prima fiala) al completamento dell'infusione. Questa volta include la refrigerazione della soluzione diluita e il tempo per consentire alla soluzione diluita di riscaldarsi a temperatura ambiente. Proteggi la soluzione diluita dalla luce durante lo stoccaggio in refrigerazione.
Passaggio 3. Amministrazione
- Utilizzare solo un set di infusioni con un filtro sterile non pirogenico a basso legame di proteina (dimensione dei pori 0,2 micrometro).
- Somministrare l'infusione ad una portata di circa 3,3 ml/minuto per una borsa da 100 ml o 1,7 ml/min per una borsa da 50 ml (tempo di somministrazione totale: 30 minuti).
- Quando la somministrazione è completa a filo la linea con l'iniezione di cloruro di sodio allo 0,9% USP per garantire che sia stata somministrata tutta la soluzione costyx per l'infusione nella linea.
- Non infondere costyx in concomitanza nella stessa linea endovenosa con altri farmaci. Nessun fisico o Biochimico Sono stati condotti studi di compatibilità per valutare la somministrazione di co -somministrazione IV di costyx con altri farmaci.
Come fornito
Dosaggio Forms And Strengths
Iniezione per uso sottocutaneo:
- 300 mg/2 ml come una soluzione da chiaro a opalescente incolore a leggermente giallastra in una penna insolita monodosa
- 300 mg/2 ml come una soluzione da chiaro a opalescente incolore a leggermente giallastro in una siringa pre-piegata a dose
- 150 mg/ml come una soluzione da chiaro a opalescente incolore a leggermente giallastro in una penna sensoriale monodose
- 150 mg/ml come una soluzione da chiaro a opalescente incolore a leggermente giallastro in una siringa pre-riempita a dose
- 75 mg/0,5 ml come una soluzione da chiaro a opalescente incolore a leggermente giallastro in una siringa pre-riempita a dose (per pazienti pediatrici inferiori a 50 kg)
Iniezione per uso endovenoso:
125 mg/5 ml come una soluzione da chiaro a opalescente incolore a leggermente giallastra in una fiala monodosaggio per diluizione prima dell'infusione endovenosa (solo per uso di assistenza sanitaria).
Costyx L'iniezione (Secukinumab) è una soluzione da chiaro a opalescente incolore a leggermente giallastra disponibile come segue:
Iniezione costyx For Subcutaneous Use
Costyx 300 mg/2 mL UnoReady pen
Ndc 1
Costyx 300 mg/2 mL (150 mg/mL) prefilled syringe
Ndc 0078-1070-97: cartone di una siringa pre-riempita (iniezione) (iniezione)
Costyx 150 mg/mL Sensoready pen
Ndc 1
Ndc 0078-0639-68: cartone di una penna sensoriale a dose singola da 150 mg/ml (iniezione)
Costyx 150 mg/mL prefilled syringe
Ndc 0078-0639-98: cartone di due siringhe preimpegnate a dose monodosa (iniezione)
Ndc 1
Costyx 75 mg/0.5 mL prefilled syringe (for pediatric patients less than 50 kg)
Ndc 1
Il cappuccio rimovibile della penna sensoriale costyx da 150 mg/ml e siringa preimpegnata e la siringa pre -piegata da 75 mg/0,5 ml contiene lattice in gomma naturale. Ogni penna Unoready da 300 mg/2 ml 150 mg/ml di penna sensoready e 300 mg/2 ml 150 mg/ml e 75 mg/0,5 ml di siringa preiegualata è dotata di una protezione di sicurezza dell'ago.
Piano B BE UN PASSAGGI ATTIVI ATTIVI
Iniezione costyx For Intravenous Use
Ndc 0078-1168-61: cartone contenente una soluzione da 125 mg/5 ml (25 mg/mL) in una fiala a dose singola per diluizione prima dell'infusione endovenosa.
Archiviazione e maneggevolezza
Refrigera l'iniezione costyx per uso sottocutaneo (300 mg/2 ml di penna non orare 150 mg/ml di penne sensoriali e 150 mg/mL e 75 mg/0,5 ml di siringhe preiedate) e iniezione costyx per uso endovenoso a 2 ° C a 8 ° C (36 ° F a 46 ° F). Mantieni i prodotti nel cartone originale per proteggere dalla luce fino al momento dell'uso. Non congelare. Per evitare la schiuma non scuotere. Costyx non contiene un conservante; Scartare qualsiasi porzione inutilizzata.
Se rimosso dalla refrigerazione costyx 150 mg/ml di penne sensorie e 150 mg/ml e 75 mg/0,5 ml di siringhe preiepite:
- Può essere immagazzinato fino a 4 giorni a temperatura ambiente non per superare i 30 ° C (86 ° F).
- Scrivi la data in cui costyx viene rimosso e restituito al frigorifero nello spazio fornito sul cartone.
- Scartare se immagazzinato al di fuori del frigorifero per 4 giorni.
- Può essere restituito al frigorifero solo una volta e deve essere immagazzinato da 2 ° C a 8 ° C (da 36 ° F a 46 ° F) fino a quando viene utilizzato o scaduto.
Prodotto da: Novartis Pharmaceuticals Corporation East Hannover New Jersey 07936. Revisionato: settembre 2024
Effetti collaterali per costyx
Le seguenti reazioni avverse sono discusse in maggior dettaglio altrove nell'etichettatura:
- Infezioni [vedi Avvertimenti e precauzioni ]
- Reazioni di ipersensibilità [vedi Avvertimenti e precauzioni ]
- Malattia intestinale infiammatoria [vedi Avvertimenti e precauzioni ]
- Eruzioni eczematose [vedi Avvertimenti e precauzioni ]
Esperienza di studi clinici
Poiché gli studi clinici sono condotti in condizioni di reazione avverse ampiamente variabili osservate negli studi clinici di un farmaco non possono essere paragonati direttamente ai tassi negli studi clinici di un altro farmaco e potrebbero non riflettere i tassi osservati nella pratica.
Reazioni avverse negli studi clinici di costyx sottocutaneo
Reazioni avverse dagli studi clinici sugli adulti con PSO
Un totale di 3430 soggetti adulti con PSO sono stati trattati con costyx in studi clinici controllati e non controllati. Di questi soggetti del 1641 sono stati trattati con costyx per almeno 1 anno.
Sono state raggruppate quattro studi di fase 3 controllati con placebo in soggetti PSO (prove PSO1 PSO2 PSO3 e PSO4) per valutare la sicurezza di costyx rispetto al placebo fino a 12 settimane dopo l'inizio del trattamento. In totale sono stati valutati 2077 soggetti (691 nel gruppo costyx 300 mg 692 nel gruppo costyx 150 mg e 694 nel gruppo placebo). I soggetti randomizzati a costyx hanno ricevuto 300 mg o 150 mg dosi sottocutaneamente alle settimane 0 1 2 3 e 4 seguite dalla stessa dose ogni 4 settimane [vedi Studi clinici ].
La tabella 2 riassume le reazioni avverse che si sono verificate ad un tasso di almeno l'1% e ad un tasso più elevato nei gruppi costyx rispetto al gruppo placebo durante il periodo controllato con placebo di 12 settimane di queste prove.
Tabella 2: reazioni avverse riportate da oltre l'1% dei soggetti adulti con PSO (e ad un tasso più elevato nei soggetti trattati con costyx) fino alla settimana 12 nelle prove PSO1 PSO2 PSO3 e PSO4
| Reazioni avverse | Costyx | Placebo (N = 694) N (%) | |
| 300 mg (N = 691) N (%) | 150 mg (N = 692) N (%) | ||
| Rinofaringngite | 79 (11.4) | 85 (12.3) | 60 (8.6) |
| Diarrea | 28 (4.1) | 18 (2.6) | 10 (1.4) |
| Infezione del tratto respiratorio superiore | 17 (2.5) | 22 (3.2) | 5 (NULL,7) |
| Rinite | 10 (1.4) | 10 (1.4) | 5 (NULL,7) |
| Herpes orale | 9 (1.3) | 1 (NULL,1) | 2 (NULL,3) |
| Faringite | 8 (1.2) | 7 (1.0) | 0 (0) |
| Orticaria | 4 (NULL,6) | 8 (1.2) | 1 (NULL,1) |
| Rhinorrea | 8 (1.2) | 2 (NULL,3) | 1 (NULL,1) |
Reazioni avverse that occurred in subjects treated with Costyx at rates less than 1% in the placebo-controlled period of Trials PsO1 PsO2 PsO3 E PsO4 through Week 12 included: senoitis tinea pedis congiuntivite tonsillite orale cEidiasis impetigine otitis media otitis externa IBD Aumento delle transaminasi epatiche e Neutropenia.
Infezioni
Nel periodo controllato con placebo degli studi clinici in PSO (un totale di 1382 soggetti trattati con le infezioni da placebo sono state riportate nel 28,7% dei soggetti trattati con il 18,9% dei soggetti trattati con placebo.
Nell'intero periodo di trattamento (un totale di 3430 soggetti PSO trattati con costyx per un massimo di 52 settimane per la maggior parte dei soggetti) sono state riportate nel 47,5% dei soggetti trattati con costyx (NULL,9 per soggetto di follow-up) e sono state segnalate infezioni gravi nell'1,2% dei soggetti trattati con costyx (NULL,015 per follow-up).
I dati di fase 3 hanno mostrato una tendenza crescente per alcuni tipi di infezione con concentrazioni sieriche di secukinumab sierica. Infezioni di candida Herpes Infezioni virali Le infezioni della pelle stafilococcica e le infezioni che richiedono il trattamento sono aumentate con l'aumentare della concentrazione sierica di secukinumab.
Nell'estensione del PSO Open. La sepsi è stata segnalata in 5 soggetti trattati con costyx (NULL,2 per 100 anni).
La neutropenia è stata osservata in porzione controllata degli studi clinici. La maggior parte dei casi di neutropenia associata al costyx era transitoria e reversibile. Non sono state associate infezioni gravi a casi di neutropenia.
Nell'estensione in aperto delle prove PSO1 e PSO2 Neutropenia (ANC <1 x 10 9 /L) è stato riportato nell'1% dei soggetti trattati con costyx (NULL,3 per 100 anni). Alcuni casi di gravi infezioni sono stati associati alla neutropenia; Tuttavia, la relazione causale non è stata stabilita.
Malattia intestinale infiammatoria
Casi di IBD in alcuni casi sono stati osservati gravi nei soggetti trattati con costyx negli studi clinici. Nel programma PSO con 3430 soggetti esposti a costyx per l'intero periodo di trattamento per un massimo di 52 settimane (2725 soggetti) c'erano 3 casi (NULL,11 per 100 soggetti anni) di esacerbazione di casi di Cd 2 (NULL,08 per 100 soggetti) di esacerbazione di UC e 2 casi (NULL,08 per 100 anni) di nuovo UC all'inizio. Non ci sono stati casi di IBD in soggetti di Placebotreated (n = 793; 176 anni) durante il periodo controllato con placebo di 12 settimane.
Un caso di esacerbazione della malattia di Crohn in un soggetto trattato con soggetto costyx è stato riportato in porzioni di etichette aperte di studi clinici in PSO.
Reazioni avverse dagli studi clinici su soggetti pediatrici con PSO
La sicurezza di costyx è stata valutata in due studi di fase 3 in soggetti pediatrici con PSO.
- Il primo è stato un placebo in doppio cieco randomizzato e uno studio di 236 settimane controllato attivo (prova PSO8) che ha arruolato 162 soggetti pediatrici di età pari o superiore a 6 anni con PSO grave (definito dal punteggio PASI ≥ 20 un punteggio di IGA modificato nel 2011 di 4 e coinvolgendo ≥ 10% della superficie corporea [BSA]) che erano candidati per la terapia sistemica. I 162 soggetti sono stati randomizzati a ricevere placebo un controllo attivo biologico o costyx. Nei gruppi costyx i soggetti con peso corporeo (BW) meno di 25 kg hanno ricevuto 75 mg di soggetti con BW 25 a meno di 50 kg hanno ricevuto 75 mg o 150 mg (2 volte la dose raccomandata) e i soggetti con BW di almeno 50 kg hanno ricevuto 150 mg o 300 mg (2 volte la dose raccomandata). I soggetti sono stati dosati a settimane 0 1 2 3 e 4 e ogni 4 settimane dopo.
- Il secondo studio è stato uno studio randomizzato di 208 settimane di 208 settimane (prova PSO9; NCT03668613) di 84 soggetti pediatrici di età pari o superiore a 6 anni con PSO da moderato a grave (definito da un punteggio PASI ≥ 12 IGA MOD 2011 di ≥ 3 e BSA coinvolgendo ≥ 10% a randomizzazione) che sono stati randomizzati in due braccia [ARMS per b. 75 mg <50 kg or 150 mg for ≥ 50 kg; E Arm 2: 75 mg for BW < 25 kg 150 mg for BW ≥ 25 kg E < 50 kg or 300 mg for BW ≥ 50 kg]. Subjects were dosed at Weeks 0 1 2 3 E 4 E every 4 weeks thereafter.
Il profilo di sicurezza di costyx riportato in questi studi era coerente con il profilo di sicurezza riportato nelle prove PSO per adulti.
Infezioni
Un caso di stafilococco resistente alla meticillina (MRSA) è stata segnalata la sindrome da shock tossico (TSS) in un soggetto pediatrico trattato in costyx durante il periodo controllato con placebo.
Nel pool di sicurezza pediatrica che comprende tutti i soggetti che hanno assunto almeno una dose di costyx durante i periodi di trattamento [198 soggetti (287 soggetti anni)] 22 (11%) soggetti segnalati ≥ criteri di terminologia comuni per eventi avversi (CTCAE) di grado 2 neutropenia (≥ 1000 a <1500 cells/mm³) with 57% of subjects folBassoed for one year or more E 30% of subjects folBassoed for two years or more. During the placebo-controlled period which included a total of 80 pediatric subjects treated with Costyx E 41 subjects treated with placebo up to 12 weeks ≥ CTCAE Grade 2 Neutropenia was reported in 3 (4%) of the subjects treated with Costyx compared with no subjects treated with placebo. No serious infections were associated with cases of Neutropenia.
Reazioni avverse dagli studi clinici sugli adulti con PSA
Costyx was studied in two placebo-controlled PsA trials with 1003 adult patients (703 patients on Costyx E 300 patients on placebo). Of the 703 patients who received Costyx 299 patients received a subcutaneous loading dose of Costyx (PsA1) E 404 patients received an intravenous loading dose of secukinumab (PsA2) folBassoed by Costyx administered by subcutaneous injection every four weeks. During the 16-week placebo-controlled period of the trials in patients with PsA the overall proportion of patients with adverse events was similar in the secukinumab E placebo-treatment groups (59% E 58% respectively). The adverse events that occurred at a proportion of at least 2% E at a higher proportion in the Costyx groups than the placebo groups during the 16-week placebo-controlled period were nasopharyngitis infezione del tratto respiratorio superiore headache nausea E hypercholesterolemia. The safety profile observed in adult patients with PsA treated with Costyx is consistent with the safety profile in the PsO trials in adults.
Simile agli studi clinici nei pazienti con PSO c'era una percentuale maggiore di pazienti con infezioni nei gruppi costyx (29%) rispetto al gruppo placebo (26%).
Ci sono stati casi di CD e UC nel gruppo Secukinumab che includevano pazienti che hanno avuto esacerbazioni o lo sviluppo di nuove malattie. Ci sono stati tre casi di IBD di cui due pazienti hanno ricevuto secukinumab e uno ha ricevuto placebo.
Reazioni avverse dagli studi clinici sugli adulti con AS
Costyx was studied in two placebo-controlled AS trials with 590 adult patients (394 patients on Costyx E 196 patients on placebo). Of the 394 patients who received Costyx 145 patients received a subcutaneous load of Costyx (study AS1) E 249 received an intravenous loading dose of secukinumab (study AS2) folBassoed by Costyx administered by subcutaneous injection every four weeks. During the 16-week placebo-controlled period of the trials in patients with AS the overall proportion of patients with adverse events was higher in the secukinumab groups than the placebo-treatment groups (66% E 59% respectively). The adverse events that occurred at a proportion of at least 2% E at a higher proportion in the Costyx groups than the placebo groups during the 16-week placebocontrolled period were nasopharyngitis nausea E infezione del tratto respiratorio superiore. The safety profile observed in patients with AS treated with Costyx is consistent with the safety profile in PsO clinical trials. In a third controlled trial of AS (study AS3) the safety profile of the 300 mg dose of Costyx was consistent with the safety profile of the 150 mg dose of Costyx.
Simile agli studi clinici nei pazienti con PSO c'era una percentuale maggiore di pazienti con infezioni nei gruppi costyx (31%) rispetto al gruppo placebo (18%).
Nell'originale AS Program con 571 pazienti esposti a costyx c'erano 8 casi di IBD durante l'intero periodo di trattamento [5 casi di Crohn (NULL,7 per 100 anni di pazienti) e 3 casi di UC (NULL,4 per 100 anni di anni)]. Durante il periodo di 16 settimane controllato con placebo c'erano 2 esacerbazioni della malattia di Crohn e 1 nuovo caso UC a insorgenza che era un grave evento avverso nei pazienti trattati con costyx rispetto a nessuno dei pazienti trattati con placebo. Durante il resto dello studio in cui tutti i pazienti hanno ricevuto il paziente costyx 1 ha sviluppato la malattia di Crohn 2, i pazienti hanno avuto esacerbazioni di Crohn che il paziente ha sviluppato UC e 1 paziente ha avuto un'esacerbazione UC.
Reazioni avverse dagli studi clinici sugli adulti con NR-AXSPA
Costyx was studied in one rEomized double-blind placebo-controlled nr-axSpA trial with 555 adult patients (185 patients received a loading Costyx dose 184 patients did not receive a loading Costyx dose E 186 patients received placebo). The safety profile for patients with nr-axSpA treated with Costyx was overall similar to the safety profile seen in patients with AS E other previous experience with Costyx. Patients in nr-axSpA1 trial who received the loading dosing regimen compared to those without the loading regimen had higher incidence of infections E infestations (92 per 100 patient-years versus 72 per 100 patient-years) including nasopharyngitis infezione del tratto respiratorio superiore E urinary tract infection E gastrointestinal disorders (27 per 100 patient-years versus 22 per 100 patient-years) including gastritis Bassoer abdominal pain colitis diarrea E hematochezia.
Reazioni avverse dagli studi clinici in pazienti pediatrici con artrite psoriasica giovanile (JPSA) ed era
Costyx was studied in one double-blind placebo-controlled event-driven rEomized trial in 86 pediatric patients aged 2 to less than 18 years old with JPsA E ERA. The safety profile reported in this trial was consistent with the safety profile of Secukinumab.
Reazioni avverse dagli studi clinici sugli adulti con HS
Costyx was studied in two 52-week rEomized double-blind placebo-controlled HS trials with 1084 adult subjects (361 subjects received Costyx 300 mg every 2 weeks 360 subjects received Costyx 300 mg every 4 weeks E 363 subjects received placebo) with a total of 901 subject-years of Costyx exposure (the median duration of exposure for subjects treated with Costyx was 360 days). The safety profile of Costyx observed in these HS trials was consistent with the known safety profile of Costyx observed in the PsO trials.
Infezioni
Durante i periodi del periodo controllato con placebo di 16 settimane che hanno ricevuto costyx 300 mg ogni 2 settimane avevano la più alta incidenza di infezioni fungine (NULL,3%) rispetto ai soggetti che hanno ricevuto costyx 300 mg ogni 4 settimane (NULL,2%) e soggetti che hanno ricevuto placebo (NULL,8%). Con un'esposizione più lunga il tasso di infezioni fungine è rimasto più elevato per i soggetti che hanno ricevuto costyx 300 mg ogni 2 settimane (NULL,7/100 anni) rispetto ai soggetti che hanno ricevuto costyx 300 mg ogni 4 settimane (NULL,1/100 anni). La maggior parte dei casi è stata segnalata come non grave non grave e si è risolta con un trattamento antimicotico.
Malattia intestinale infiammatoria
Nella porzione di etichetta aperta degli studi clinici HS cinque (NULL,7%) reazioni avverse IBD sono state riportate tutte gravi e hanno portato al ritiro del farmaco di prova e si sono verificati solo in soggetti trattati con costyx 300 mg ogni 2 settimane. Non ci sono stati casi IBD in soggetti trattati con costyx 300 mg ogni 4 settimane.
Reazioni avverse di costyx per via endovenosa
La sicurezza del costyx endovenoso si basa sull'esposizione farmacocinetica e sull'estrapolazione della sicurezza stabilita dei costyx sottocutanei nei pazienti con PSA AS e NR-AXSPA [vedi Farmacologia clinica ].
Esperienza post -marketing
Le seguenti reazioni avverse sono state riportate durante l'uso post-approvazione di costyx. Poiché sono riportati volontariamente da una popolazione di dimensioni incerte, non è sempre possibile stimare in modo affidabile la loro frequenza o stabilire una relazione causale con l'esposizione ai farmaci.
Disturbi della pelle e del tessuto sottocutaneo: eruzioni eczematose (eruzioni atopiche simili a dermatite eczema dyshidrotico ed eritroderma) [vedi Avvertimenti e precauzioni ] e Pyoderma Gangrenosum.
Infezioni: bacterial viral E fungal opportunistic infections including esophageal cEidiasis tracheobronchial cEidiasis cutaneous aspergillosis cytomegalovirus gastroenteritis/colitis herpes simplex encephalitis herpes simplex keratitis Pneumocystis jiroveci pneumonia Hepatitis B virus reactivation histoplasmosis toxoplasmosis [see Avvertimenti e precauzioni ]
Interazioni farmacologiche per costyx
Alcuni substrati del CYP450
L'aumento delle concentrazioni di citochine (ad es. IL-17) durante l'infiammazione cronica associata a determinate malattie tra cui PSO PSA come era NR-AXSPA e HS può sopprimere la formazione di enzimi del CYP.
All'inizio o dall'interruzione di costyx nei pazienti che ricevono substrati CYP450 concomitanti, in particolare quelli in cui una riduzione minima della concentrazione può ridurre l'efficacia del substrato del CYP o un aumento minimo della concentrazione del substrato del CYP. Farmacologia clinica ].
Avvertimenti per costyx
Incluso come parte del PRECAUZIONI sezione.
Precauzioni per costyx
Infezioni
Costyx may increase the risk of infections. In clinical trials a higher rate of infections was observed in Costyx treated subjects compared to placebo-treated subjects. In placebo-controlled clinical trials in subjects with moderate to severe PsO higher rates of common infections such as nasopharyngitis (11.4% versus 8.6%) infezione del tratto respiratorio superiore (2.5% versus 0.7%) E mucocutaneous infections with cEida (1.2% versus 0.3%) were observed in subjects treated with Costyx compared to placebo-treated subjects. A similar increase in risk of infection in subjects treated with Costyx was seen in placebo-controlled trials in subjects with PsA AS E nraxSpA. The incidence of some types of infections including fungal infections appeared to be dose-dependent in clinical trials [see Reazioni avverse ].
Nell'impostazione post-marketing gravi infezioni opportunistiche virali e fungine batteriche e alcune infezioni fatali sono state riportate in pazienti che hanno ricevuto inibitori dell'IL-17 tra cui costyx. Sono stati riportati casi di riattivazione del virus dell'epatite B [vedi Reazioni avverse ].
Attenzione all'esercizio quando si considera l'uso di costyx in pazienti con infezione cronica o una storia di infezione ricorrente. Chiedere ai pazienti di chiedere consulenza medica se si verificano segni o sintomi che suggeriscono un'infezione. Se un paziente sviluppa una grave infezione, monitora attentamente il paziente e interrompe il costyx fino a quando l'infezione non si risolve.
Se si verificano segni di riattivazione del virus dell'epatite B, consultare uno specialista dell'epatite. Cosentyx non è raccomandato per l'uso in pazienti con epatite virale attiva.
Reazioni di ipersensibilità
L'anafilassi e i casi di orticaria si sono verificati in soggetti trattati con costyx negli studi clinici. Se si verifica un'anafilattica o altra grave reazione allergica, la somministrazione di costyx deve essere sospesa immediatamente e la terapia appropriata iniziata [vedi Controindicazioni ].
Valutazione pre-trattamento per la tubercolosi
Valutare i pazienti per l'infezione da TB attiva o latente prima di iniziare il trattamento con costyx. Evitare la somministrazione di costyx a pazienti con infezione da tubercolosi attiva. Iniziare il trattamento della TB latente prima di somministrare costyx. Considera la terapia anti-TB prima dell'inizio di costyx in pazienti con una storia passata di tubercolosi latenti o attivi in cui non è possibile confermare un corso adeguato di trattamento. Monitorare attentamente i pazienti per segni e sintomi della tubercolosi attiva durante e dopo il trattamento.
Nei casi di ambientazione post -marketing sono stati riportati in cui i pazienti con una storia di tubercolosi latente (TB) che sono stati trattati con costyx hanno sviluppato TB attivo.
Malattia intestinale infiammatoria
Malattia intestinale infiammatoria (IBD) exacerbations in some cases serious E/or leading to discontinuation of Costyx occurred in Costyx treated subjects during clinical trials in PsO PsA AS nr-axSpA E HS. In adult subjects con HS the incidence of IBD was higher in subjects who received Costyx 300 mg every 2 weeks (Ulcerative Colitis [UC] 1 case EAIR 0.2/100 subject-years; Crohn's Disease [CD] 1 case EAIR 0.2/100 subject-years) compared to subjects who received Costyx 300 mg every 4 weeks (IBD 1 case EAIR 0.2/100 subject-years). In addition new onset IBD cases occurred in subjects treated with Costyx in clinical trials. In an exploratory trial in 59 subjects with active Crohn's disease [Costyx is not approved for the treatment of Crohn's disease] there were trends toward greater disease activity E increased adverse reactions in subjects treated with Costyx as compared to placebo-treated subjects.
ATTENZIONE DELL'ESTRAZIONE Quando si prescrive costyx ai pazienti con IBD. I pazienti trattati con costyx devono essere monitorati per segni e sintomi di IBD [vedi Reazioni avverse ].
Eruzioni eczematose
Nei rapporti post-marketing casi di gravi eruzioni eczematose tra cui eruzioni atopiche simili a dermatite eczema dyshidrotico e eritroderma sono stati riportati in pazienti che hanno ricevuto costyx; Alcuni casi hanno provocato il ricovero in ospedale. L'inizio delle eruzioni eczematose era variabile che variava da giorni a mesi dopo la prima dose di costyx.
Potrebbe essere necessario interrompere il trattamento per risolvere l'eruzione eczematosa. Alcuni pazienti sono stati trattati con successo per eruzioni eczematose mentre continuavano a costyx.
Rischio di ipersensibilità negli individui sensibili al lattice
I cappucci rimovibili della penna sensoriale costyx 150 mg/ml e le siringhe pre-riempite da 1 ml di costyx e 0,5 ml contengono un lattice di gomma naturale che può causare una reazione di ipersensibilità negli individui sensibili al lattice. Non è stato studiato l'uso sicuro di costyx 150 mg/ml di Sensoready Pen o 1 ml e 0,5 ml di siringhe preiepite in individui sensibili al lattice.
Immunizzazioni
Prima di iniziare la terapia con costyx considerare il completamento di tutte le immunizzazioni adeguate all'età secondo le attuali linee guida per l'immunizzazione. Il costyx può alterare la risposta immunitaria di un paziente ai vaccini vivi. Evita l'uso di vaccini vivi nei pazienti trattati con costyx [vedi Farmacologia clinica ].
Informazioni sulla consulenza del paziente
Consiglia al paziente di leggere l'etichettatura del paziente approvato dalla FDA ( Guida ai farmaci E Istruzioni per l'uso ).
Infezioni
Informare i pazienti che i costyx possono ridurre la capacità del loro sistema immunitario di combattere le infezioni e che possono verificarsi gravi infezioni tra cui infezioni opportunistiche con l'uso di costyx. Istruire i pazienti dell'importanza di comunicare qualsiasi storia di infezioni al medico e contattare il proprio medico se sviluppano sintomi di infezione [vedi Avvertimenti e precauzioni ].
Ipersensibilità
Consiglia ai pazienti di cercare un medico immediato se presentano sintomi di gravi reazioni di ipersensibilità [vedi Avvertimenti e precauzioni ].
Eruzioni eczematose
Informare i pazienti che le reazioni cutanee che assomigliano all'eczema possono verificarsi con l'uso di costyx. Istruire i pazienti a chiedere consulenza medica se sviluppano segni o sintomi dell'eczema [vedi Avvertimenti e precauzioni ].
Rischio di ipersensibilità negli individui sensibili al lattice
Consiglia ai pazienti sensibili al lattice che i tappi di rimozione della penna sensorEady da 150 mg/ml costyx e la siringhe preiedate da 1 ml e 0,5 ml di 0,5 ml di in gomma che possono causare una reazione allergica in individui sensibili al lattice [vedi Avvertimenti e precauzioni ].
Immunizzazione
Consiglio ai pazienti che la vaccinazione con vaccini vivi non è raccomandata durante il trattamento costyx. Istruire i pazienti a informare il medico che stanno assumendo costyx prima di una potenziale vaccinazione [vedi Avvertimenti e precauzioni ].
Istruzioni sulla tecnica di iniezione sottocutanea
Se un paziente o un caregiver deve somministrare per via sottocutanea cosentyx usando la penna sensoriale innovativa o la siringa preimpegnata istruirlo nelle tecniche di iniezione e valutare la loro capacità di iniettare sottocutaneamente per garantire la corretta somministrazione di costyx [vedi Dosaggio e amministrazione Guida ai farmaci E Istruzioni per l'uso ].
paxil provoca ipertensione
Per i pazienti pediatrici informano i pazienti e gli operatori sanitari che i pazienti pediatrici non devono auto-somministrare costyx.
Inserire i pazienti o gli operatori sanitari nella tecnica della siringa e dello smaltimento degli aghi adeguati e consiglia loro di non riutilizzare questi articoli. Chiedere ai pazienti di iniettare l'intera quantità di costyx in base alle direzioni fornite nella Guida dei farmaci e alle istruzioni per l'uso.
Magazzinaggio
Istruire i pazienti a conservare il costyx in frigorifero da 2 ° C a 8 ° C (da 36 ° F a 46 ° F) e di scartare cosentyx scaduto o inutilizzato.
Informare i pazienti che se rimosso dalla refrigerazione costyx 150 mg/ml di penne sensorose 150 mg/mL e 75 mg/0,5 ml di siringhe preiempite possono essere conservate per un massimo di 4 giorni a temperatura ambiente non superano 86 ° F (30 ° C). Istruire i pazienti a scartare se tenuti al di fuori del frigorifero per 4 giorni [vedi Come fornito / Archiviazione e maneggevolezza ].
Tossicologia non clinica
Mutagenesi della carcinogenesi compromissione della fertilità
Non sono stati condotti studi sugli animali per valutare il potenziale cancerogeno o mutageno di costyx. Alcune letterature pubblicate suggeriscono che l'IL-17A promuove direttamente l'invasione delle cellule tumorali in vitro, mentre altri rapporti indicano che IL-17A promuove il rifiuto del tumore mediato dalle cellule T. L'esaurimento di IL-17A con un anticorpo neutralizzante ha inibito lo sviluppo del tumore nei topi. La rilevanza dei risultati sperimentali nei modelli di topo per il rischio di malignità nell'uomo è sconosciuta.
Non sono stati osservati effetti sulla fertilità nei topi maschi e femmine che sono stati somministrati un analogo murino di secukinumab a dosi sottocutanee fino a 150 mg/kg una volta alla settimana prima e durante il periodo di accoppiamento.
Utilizzare in popolazioni specifiche
Gravidanza
Riepilogo del rischio
I dati umani disponibili limitati con uso di costyx nelle donne in gravidanza sono insufficienti per informare un rischio associato al farmaco di risultati avversi dello sviluppo. In uno studio di sviluppo embrionale-fetica non sono stati osservati effetti avversi sullo sviluppo nei neonati nati da scimmie in gravidanza dopo la somministrazione sottocutanea di sedukinumab durante l'organogenesi a dosi fino a 30 volte la massima dose umana raccomandata (MRHD) (vedi Dati ).
Il rischio di background di importanti difetti alla nascita e aborto spontaneo per la popolazione indicata non è noto; Tuttavia, il rischio di fondo nella popolazione generale degli Stati Uniti dei principali difetti alla nascita è dal 2% al 4% e di aborto spontaneo è dal 15% al 20% delle gravidanze clinicamente riconosciute.
Dati
Dati sugli animali
È stato condotto uno studio di sviluppo di embrioni di Fetal in scimmie Cynomolgus con secukinumab. Non sono state osservate malformazioni o tossicità embrione-fetale nei feti di scimmie in gravidanza che sono state somministrate secukinumab settimanali dalla rotta sottocutanea durante il periodo di organogenesi a dosi fino a 30 volte il MRHD (su base mg/kg a una dose materna di 150 mg/kg).
Uno studio di tossicità per lo sviluppo pre e post natale è stato condotto in topi con un analogo murino di secukinumab. Non sono stati osservati effetti correlati al trattamento sullo sviluppo morfologico o immunologico funzionale nei feti di topi in gravidanza che sono stati somministrati l'analogo murino di secukinumab nei giorni di gestazione 6 11 e 17 e nei giorni postpartum 4 10 e 16 a dosi fino a 150 mg/kg/dose.
Lattazione
Riepilogo del rischio
Non è noto se il secukinumab sia escreto nel latte umano o assorbito sistematicamente dopo l'ingestione. Non ci sono dati sugli effetti di costyx sul bambino allattato al seno o sugli effetti sulla produzione di latte. I benefici per lo sviluppo e la salute dell'allattamento dovrebbero essere considerati insieme alla necessità clinica della madre di costyx e a potenziali effetti avversi sul bambino allattato al seno da costyx o dalla condizione materna sottostante.
Uso pediatrico
Somministrazione sottocutanea
Psoriasi di placca pediatrica
La sicurezza e l'efficacia di costyx sono state stabilite per il trattamento di PSO da moderato a grave nei pazienti pediatrici di età pari o superiore a 6 anni che sono candidati per la terapia sistemica o la fototerapia [vedi Reazioni avverse E Studi clinici ].
Non sono state stabilite sicurezza ed efficacia di costyx nei pazienti pediatrici con PSO di età inferiore ai 6 anni.
Artrite psoriasica giovanile
La sicurezza e l'efficacia di costyx sono state stabilite per il trattamento della JPSA attiva nei pazienti pediatrici di età pari o superiore a 2 anni che pesano 15 kg o più [vedi Reazioni avverse E Studi clinici ].
Non è stata stabilita la sicurezza e l'efficacia di costyx nei pazienti pediatrici di età inferiore ai 2 anni con JPSA o con un peso corporeo inferiore a 15 kg.
Artrite correlata all'ensite
La sicurezza e l'efficacia di costyx per il trattamento dell'era attiva nei pazienti pediatrici di età pari o superiore a 4 anni che pesano 15 kg o più sono stati stabiliti [vedi Reazioni avverse E Studi clinici ].
La sicurezza e l'efficacia di costyx nei pazienti pediatrici di età inferiore ai 4 anni o con peso corporeo non sono stati stabiliti meno di 15 kg.
Hidradenite suppurativa
La sicurezza e l'efficacia di costyx nei pazienti pediatrici con HS non sono stati stabiliti.
Amministrazione endovenosa
La sicurezza e l'efficacia del costyx endovenoso nei pazienti pediatrici non sono stati stabiliti.
Uso geriatrico
Dei 3430 soggetti PSO esposti a costyx sottocutanei negli studi clinici un totale di 230 (7%) avevano 65 anni o più di età e 32 (1%) i soggetti avevano 75 anni o più. Sebbene non siano state osservate differenze nella sicurezza o nell'efficacia tra i soggetti di età pari o superiore a 65 anni e più giovani soggetti adulti, il numero di soggetti di età pari o superiore a 65 anni non era sufficiente per determinare se rispondono in modo diverso dai soggetti adulti più giovani.
Dei 1060 soggetti con HS esposti a costyx negli studi clinici per un totale di 14 (NULL,3%) avevano 65 anni in più. Gli studi clinici in HS non includevano un numero sufficiente di soggetti di età pari o superiore a 65 anni per determinare se rispondono in modo diverso dai soggetti adulti più giovani.
Informazioni per overdose per costyx
In caso di sovradosaggio si raccomanda di monitorare il paziente per eventuali segni o sintomi di reazioni avverse e che il trattamento sintomatico appropriato venga istituito. Prendi in considerazione la possibilità di contattare la linea di aiuto per il veleno (1-800-222-1222) o un tossicologo medico per ulteriori raccomandazioni di gestione del sovradosaggio.
Controindicazioni per costyx
Costyx is contraindicated in patients with a previous serious hypersensitivity reaction to secukinumab or to any of the excipients in Costyx. Cases of anaphylaxis have been reported during treatment with Costyx [see Avvertimenti e precauzioni ].
Farmacologia clinica for Cosentyx
Meccanismo d'azione
Secukinumab è un anticorpo monoclonale IgG1 umano che si lega selettivamente con le citochine interleuchina-17A (IL-17A) e ne inibisce l'interazione con il recettore IL-17. L'IL-17A è una citochina naturale che è coinvolta nelle normali risposte infiammatorie e immunitarie. Secukinumab inibisce il rilascio di citochine e chemochine proinfiammatorie.
Farmacodinamica
Livelli elevati di IL-17A si trovano nelle placche psoriasiche e nelle lesioni HS. Il trattamento con costyx può ridurre i neutrofili epidermici e i livelli di IL-17A nelle placche psoriatiche. I livelli sierici di IL-17A totale (IL-17A liberi e sedukinumab) misurati alla settimana 4 e alla settimana 12 sono stati aumentati dopo il trattamento secukinumab. Queste attività di farmacodinamica si basano su piccoli studi esplorativi. La relazione tra queste attività farmacodinamiche e i meccanismi con cui Secukinumab esercita i suoi effetti clinici è sconosciuta.
Un numero aumentato di IL-17A che produce linfociti e cellule immunitarie innate e livelli aumentati di IL-17A sono stati trovati nel sangue dei pazienti con PSA e AS. Un numero maggiore di linfociti che produce IL-17A è stato trovato anche in pazienti con NR-AXSPA.
Risposta immunitaria ai vaccini non Live durante il trattamento
Le persone sane che hanno ricevuto una singola dose di 150 mg di costyx 2 settimane prima della vaccinazione con un vaccino d'influenza stagivate non avevano un vaccino d'influenza stagionale approvato dal gruppo di polisaccaridico di gruppo non approvato non U.S.. L'efficacia clinica dei vaccini meningococcici e influenzali non è stata valutata in pazienti sottoposti a trattamento con costyx [vedi Avvertimenti e precauzioni ].
Farmacocinetica
Farmacocinetica FolBassoing Somministrazione sottocutanea
La farmacocinetica osservata (PK) di Secukinumab ha somministrato sottocutaneamente in pazienti con PSA PSO AS e NRAXSPA erano simili. Il PK Secukinumab è simile anche nei pazienti pediatrici con ERA e PSO per lo stesso regime di dosaggio a più livelli.
La concentrazione media di depressione allo stato stazionario di secukinumab era inferiore di circa il 26% nei soggetti HS rispetto a quella dei soggetti PSO.
Assorbimento
A seguito di una singola dose sottocutanea di 150 mg o 300 mg (somministrate come due iniezioni di 150 mg) di costyx nei soggetti PSO secukinumab ha raggiunto la media di picco (± DS) concentrazioni sieriche (CMAX) di 13,7 ± 4,8 mcg/ml e 27,3 ± 9,5 mcg/ml rispettivamente di circa 6 giorni dopo la dose.
Following multiple subcutaneous doses of COSENTYX (administered as one or two injections of 150 mg) the mean (± SD) serum trough concentrations of secukinumab ranged from 22.8 ± 10.2 mcg/mL (150 mg) to 45.4 ± 21.2 mcg/mL (300 mg) at Week 12. At the 300 mg dose at Week 4 and Week 12 the mean trough concentrations resulted from La penna sensorbile era di circa il 30% superiore a quella della siringa preimpegnata. A seguito di dosi sottocutanee multiple di 300 mg somministrate tramite la penna Unoready da 300 mg/2 ml, le concentrazioni di depressione sierica media di secukinumab erano generalmente coerenti con quelle del precedente studio Sensore Ready Pen utilizzato per fornire 300 mg.
Concentrazioni di secukinumab a stato stazionario sono state raggiunte entro la settimana 24 dopo i regimi di dosaggio costyx di ogni 4 settimane. Le concentrazioni medi (± DS) sullo stato stazionario variavano da 16,7 ± 8,2 mcg/ml (150 mg) a 34,4 ± 16,6 mcg/ml (300 mg somministrati come due iniezioni di 150 mg).
In soggetti sani e soggetti con biodisponibilità PSO Secukinumab variava dal 55% al 77% dopo una dose costyx sottocutanea di 150 mg o 300 mg (somministrati come due iniezioni di 150 mg).
A seguito di amministrazioni sottocutanee di 300 mg di costyx a settimane 0 1 2 3 e 4 e poi ogni 2 settimane successive, le concentrazioni di secukinumab stazionarie sono state raggiunte entro la settimana 24 in entrambi gli studi HS. Le concentrazioni medi (± DS) sullo stato stazionario erano 55,7 ± 28,9 mcg/mL e 50,5 ± 28,2 mcg/ml nella prova HS 1 e HS sperimentali 2 rispettivamente.
Distribuzione
Il volume medio di distribuzione durante la fase terminale (VZ) a seguito di una singola somministrazione endovenosa variava da 7,10 a 8,60 L nei soggetti PSO.
Le concentrazioni di secukinumab nel fluido interstiziale nella pelle lesionale e non lesionale dei soggetti PSO variavano dal 27% al 40% di quelli in siero a 1 e 2 settimane dopo una singola dose sottocutanea di costyx 300 mg (somministrata da due iniezioni di 150 mg).
Eliminazione
Metabolismo
Il percorso metabolico di secukinumab non è stato caratterizzato. Come si prevede che un anticorpo monoclonale IgG1 IgG1 igukinumab sia degradato in piccoli peptidi e aminoacidi attraverso percorsi catabolici nello stesso modo delle IgG endogene.
Escrezione
La clearance sistemica media (CL) variava da 0,14 L/giorno a 0,22 L/giorno e l'emivita media variava da 22 a 31 giorni in soggetti PSO a seguito di somministrazione endovenosa e sottocutanea in tutte le prove PSO.
In un'analisi PK della popolazione il CL sistemico medio nei soggetti con HS era 0,26 L/giorno. L'emivita media di eliminazione, come stimata dall'analisi PK della popolazione, era di 23 giorni nei soggetti HS.
Dose linearità
Secukinumab ha mostrato PK dose-proporzionale in soggetti con PSO su una dose di una gamma da 25 mg (circa 0,083 volte la dose raccomandata) a 300 mg dopo le amministrazioni sottocutanee.
Peso
La clearance di secukinumab e il volume della distribuzione aumentano all'aumentare del peso corporeo.
Popolazioni specifiche
Pazienti con compromissione epatica o renale
Non è stato condotto alcun processo formale sull'effetto della compromissione epatica o renale sul PK di Secukinumab.
Pazienti geriatrici
L'analisi della popolazione PK ha indicato che l'autorizzazione di secukinumab non è stata significativamente influenzata dall'età nei soggetti adulti con PSO PSA e AS. I soggetti di età pari o superiore a 65 anni avevano un apparente spazio di secukinumab simile a soggetti di età inferiore ai 65 anni.
Pazienti pediatrici
In un pool di due studi pediatrici soggetti con PSO da moderato a grave (di età pari o superiore a 6 anni) sono stati somministrati costyx sottocutanei al regime di dosaggio pediatrico raccomandato. At Week 24 secukinumab steady state mean ± SD serum trough concentrations were 32.6 ± 10.8 mcg/mL (n = 8) 19.8 ± 6.96 mcg/mL (n = 24) and 27.3 ± 10.1 mcg/mL (n = 36) in subjects who weighed less than 25 kg and received 75 mg of subcutaneous COSENTYX subjects who weighed at least 25 kg and less than 50 kg and received 75 mg di costyx sottocutaneo e soggetti che pesavano almeno 50 kg e hanno ricevuto rispettivamente 150 mg di costyx sottocutaneo.
In uno studio pediatrico i pazienti con JPSA e ERA (da 2 a meno di 18 anni) sono stati somministrati costyx sottocutanei al regime di dosaggio pediatrico raccomandato. Alla settimana 24 pazienti che pesavano almeno 15 kg e meno di 50 kg e pazienti che pesavano almeno 50 kg avevano una concentrazione di depressione stazionaria media ± SD di 25,2 ± 5,45 mcg/ml (n = 10) e 27,9 ± 9,57 mcg/ml (n = 19) rispettivamente.
Interazioni farmacologiche
Substrati di citocromo P450
Nei soggetti adulti con Midazolam PSO (substrato CYP3A4) era simile quando somministrato da solo o quando somministrato a seguito di una singola o cinque amministrazioni sottocutanee settimanali di 300 mg di costyx [vedi Interazioni farmacologiche ].
Farmacocinetica FolBassoing Amministrazione endovenosa
A seguito di una somministrazione endovenosa di 1,75 mg/kg di dose di mantenimento ogni quattro settimane con o senza una dose di carico di 6 mg/kg al giorno 0 Le concentrazioni di secukinumab [a stato stazionario di secukinumab (CMINSS) sono le concentrazioni di secukinumab (cmins). somministrazione sottocutanea di 150 mg e 300 mg di dosi di costyx somministrate ogni quattro settimane.
Immunogenicità
L'incidenza osservata di anticorpi antidroga dipende fortemente dalla sensibilità e dalla specificità del dosaggio.
Le differenze nei metodi di dosaggio precludono confronti significativi dell'incidenza di anticorpi anti-farmaco (ADA) negli studi descritti di seguito con l'incidenza di ADA in altri studi tra cui quelli di costyx (secukinumab).
L'immunogenicità di costyx è stata valutata utilizzando un test immunologico basato su elettrochemiluminescenza. Meno dell'1% dei soggetti trattati con anticorpi costyx ha sviluppato anticorpi per secukinumab fino a 52 settimane di trattamento. Tuttavia, questo test ha limiti nel rilevare anticorpi anti-Secukinumab in presenza di secukinumab; Pertanto l'incidenza dello sviluppo degli anticorpi potrebbe non essere stata determinata in modo affidabile.
In un massimo di 52 settimane di trattamento in studi controllati in pazienti con PSO PSA come NR-AXSPA HS HS Pediatric PSO JPSA e ERA [vedi Studi clinici ] L'incidenza di anticorpi anti-Secukinumab (indicata come ADA) era inferiore all'1% (25 su 6268 in totale soggetti trattati con costyx). Dei soggetti trattati con costyx che hanno sviluppato ADA circa l'8% ha sviluppato anticorpi neutralizzanti. A causa della bassa presenza di ADA, è sconosciuto l'effetto di questi anticorpi sulla farmacokinetica la sicurezza o l'efficacia di costyx.
Studi clinici
Psoriasi della placca per adulti
Four multicenter randomized double-blind placebo-controlled trials of subcutaneous COSENTYX (Trials PsO1 PsO2 PsO3 and PsO4) enrolled 2403 subjects (691 randomized to COSENTYX 300 mg 692 to COSENTYX 150 mg 694 to placebo and 323 to a biologic active control) 18 years of age and older with PsO who had a minimum BSA involvement of 10% and L'area della psoriasi e l'indice di gravità (PASI) ottengono un punteggio maggiore o uguale a 12 e che erano candidati per la fototerapia o la terapia sistemica. In questi studi ogni dose di 300 mg è stata somministrata come due iniezioni di 150 mg.
- La prova PSO1 (NCT01365455) ha registrato 738 soggetti (245 randomizzati a costyx 300 mg 245 a costyx 150 mg e 248 a placebo). I soggetti hanno ricevuto un trattamento sottocutaneo a settimane 0 1 2 3 e 4 seguiti dal dosaggio ogni 4 settimane. I soggetti randomizzati a ricevere placebo che non erano responder alla settimana 12 sono stati attraversati per ricevere costyx (300 mg o 150 mg) alle settimane 12 13 14 15 e 16 seguite dalla stessa dose ogni 4 settimane. Tutti i soggetti sono stati seguiti per un massimo di 52 settimane dopo la prima somministrazione del trattamento di prova.
- PROVA PSO2 (NCT01358578) registrato 1306 soggetti (327 randomizzati a costyx 300 mg 327 a costyx 150 mg 326 a placebo e 323 a un controllo attivo biologico). I soggetti hanno ricevuto un trattamento sottocutaneo a settimane 0 1 2 3 e 4 seguiti dal dosaggio ogni 4 settimane. Soggetti randomizzati a ricevere placebo che non erano responder alla settimana 12 attraversati per ricevere costyx (300 mg o 150 mg) alle settimane 12 13 14 15 e 16 seguite dalla stessa dose ogni 4 settimane. Tutti i soggetti sono stati seguiti per un massimo di 52 settimane dopo la prima somministrazione del trattamento di prova.
- La prova PSO3 (NCT01555125) ha registrato 177 soggetti (59 randomizzati a costyx 300 mg 59 a costyx 150 mg e 59 a placebo) e hanno valutato la tollerabilità di sicurezza e l'usabilità della siringa di auto-amministrazione cosentyx attraverso la siringa pre-riempimento per 12 settimane. I soggetti hanno ricevuto un trattamento sottocutaneo a settimane 0 1 2 3 e 4 seguito dalla stessa dose ogni 4 settimane per un massimo di 12 settimane in totale.
- La prova PSO4 (NCT01636687) ha registrato 182 soggetti (60 randomizzati a costyx 300 mg 61 a costyx 150 mg e 61 a placebo) e hanno valutato la tollerabilità di sicurezza e l'usabilità dell'auto-somministrazione costyx tramite penna sensoriale per 12 settimane. I soggetti hanno ricevuto un trattamento sottocutaneo a settimane 0 1 2 3 e 4 seguito dalla stessa dose ogni 4 settimane per un massimo di 12 settimane in totale.
Endpoint
In tutti gli studi gli endpoint sono stati la proporzione di soggetti che hanno ottenuto una riduzione del punteggio PASI di almeno il 75% (PASI 75) dalla linea di base alla settimana 12 e il successo del trattamento (chiaro o quasi chiaro) sulla valutazione globale dell'investigatore modificato nel 2011 (IGA). Altri risultati valutati includevano la percentuale di soggetti che hanno ottenuto una riduzione del punteggio PASI di almeno il 90% (PASI 90) dal basale alla settimana 12 di mantenimento dell'efficacia alla settimana 52 e miglioramenti nel dolore e nel ridimensionamento del prurito alla settimana 12 in base al diario dei sintomi della psoriasis.
Il PASI è un punteggio composito che prende in considerazione sia la percentuale di BSA interessata sia la natura e la gravità dei cambiamenti psoriatici all'interno delle regioni interessate (eritema e ridimensionamento di indurimento). L'IGA è una scala di 5 categorie che include 0 = Clear 1 = quasi chiare 2 = lieve 3 = moderata o 4 = indica grave la valutazione complessiva del medico della gravità della psoriasi incentrata sull'eritema e il ridimensionamento di Indurimento. Il successo del trattamento di chiaro o quasi chiaro consisteva in nessun segno di psoriasi o colorazione da normale a rosa delle lesioni nessun ispessimento della placca e nessuna al ridimensionamento focale minimo.
Caratteristiche della malattia di base
In tutti i gruppi di trattamento il punteggio PASI di base variava da 11 a 72 con una mediana di 20 e il punteggio IGA di base variava da moderato (62%) a grave (38%). Dei 2077 soggetti PSO inclusi negli studi controllati con placebo, il 79% era biologico-nativo (non ha mai ricevuto un trattamento precedente con biologici) e il 45% erano fallimenti non biologici (non ha risposto a un trattamento precedente con terapie non biologiche). Dei soggetti che hanno ricevuto un trattamento precedente con biologici oltre un terzo erano fallimenti biologici. Circa dal 15% al 25% dei soggetti di prova aveva una storia di artrite psoriasica.
Risposta clinica
I risultati delle prove PSO1 e PSO2 sono presentati nella Tabella 3.
Tabella 3: esiti clinici alla settimana 12 negli adulti con PSO nelle prove PSO1 e PSO2 (trattamento sottocutaneo)
| Prova PSO1 | Prova PSO2 | |||||
| Costyx 300 mg (N = 245) N (%) | Costyx 150 mg (N = 245) N (%) | Placebo (N = 248) N (%) | Costyx 300 mg (N = 327) N (%) | Costyx 150 mg (N = 327) N (%) | Placebo (N = 326) N (%) | |
| Risposta PASI 75 | 200 (82) | 174 (71) | 11 (4) | 249 (76) | 219 (67) | 16 (5) |
| Iga di chiaro o quasi chiaro | 160 (65) | 125 (51) | 6 (2) | 202 (62) | 167 (51) | 9 (3) |
I risultati delle prove PSO3 e PSO4 sono presentati nella Tabella 4.
Tabella 4: esiti clinici alla settimana 12 negli adulti con PSO nelle prove PSO3 e PSO4 (trattamento sottocutaneo)
| Prova PSO3 | Prova PSO4 | |||||
| Costyx 300 mg (N = 59) N (%) | Costyx 150 mg (N = 59) N (%) | Placebo (N = 248) N (%) | Costyx 300 mg (N = 60) N (%) | Costyx 150 mg (N = 61) N (%) | Placebo (N = 61) N (%) | |
| Risposta PASI 75 | 44 (75) | 41 (69) | 0 (0) | 52 (87) | 43 (70) | 2 (3) |
| Iga di chiaro o quasi chiaro | 40 (68) | 31 (53) | 0 (0) | 44 (73) | 32 (52) | 0 (0) |
L'esame del sesso di età e dei sottogruppi razziali non ha identificato le differenze in risposta a costyx tra questi sottogruppi. Sulla base delle analisi dei sottogruppi post-hoc in soggetti con soggetti PSO da moderati a gravi con peso corporeo più basso e una gravità della malattia inferiore può ottenere una risposta accettabile con costyx 150 mg.
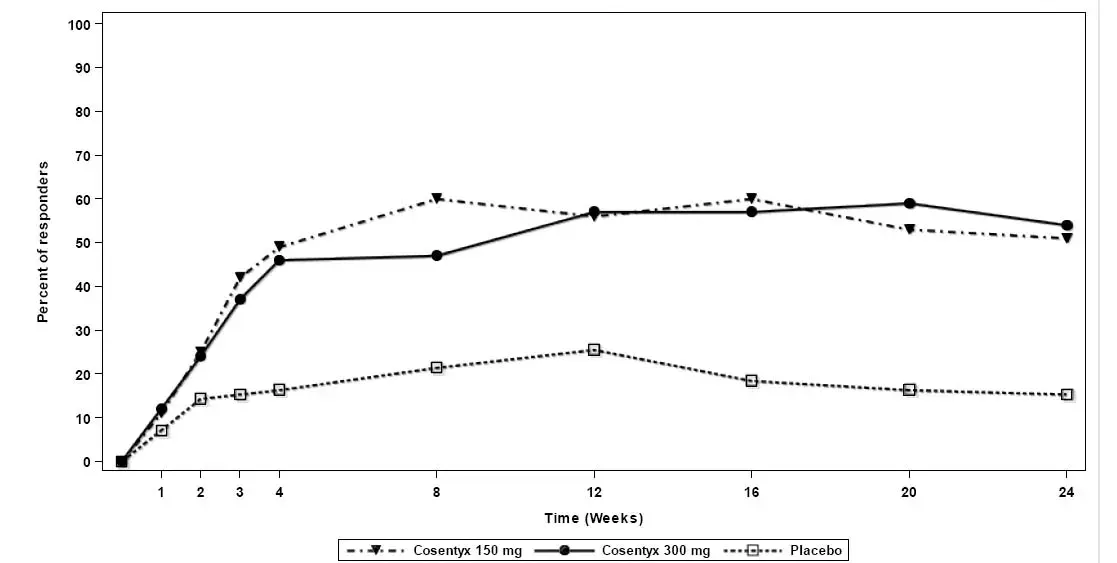
PASI 90 response at Week 12 was achieved with COSENTYX 300 mg and 150 mg compared to placebo in 59% (145/245) and 39% (95/245) versus 1% (3/248) of subjects respectively (Trial PsO1) and 54% (175/327) and 42% (137/327) versus 2% (5/326) of subjects respectively (Trial Pso2). Risultati simili sono stati osservati nelle prove PSO3 e PSO4.
- Con un trattamento continuo in 52 settimane di soggetti nel processo PSO1 che erano 75 soccorritori alla settimana 12 hanno mantenuto le loro risposte nell'81% (161/200) dei soggetti trattati con costyx 300 mg e nel 72% (126/174) di soggetti trattati con cosentuex 150 mg. I soggetti PSO1 di prova che erano chiari o quasi chiari sull'IGA alla settimana 12 hanno anche mantenuto le loro risposte nel 74% (119/160) di soggetti trattati con costyx 300 mg e nel 59% (74/125) di soggetti trattati con costyx 150 mg.
- Analogamente nella prova PSO2 PASI 75 i soccorritori hanno mantenuto le loro risposte nell'84% (210/249) di soggetti trattati con costyx 300 mg e nell'82% (180/219) di soggetti trattati con costyx 150 mg. I soggetti PSO2 di prova che erano chiari o quasi chiari sull'IGA hanno mantenuto le loro risposte nell'80% (161/202) di soggetti trattati con costyx 300 mg e nel 68% (113/167) di soggetti trattati con costyx 150 mg.
Tra i soggetti che hanno scelto di partecipare (39%) nelle valutazioni dei pazienti hanno riportato miglioramenti degli esiti nei segni e nei sintomi relativi al dolore e al ridimensionamento del prurito alla settimana 12 rispetto al placebo (prove PSO1 e PSO2) utilizzando il diario dei sintomi della psoriasi.
Lesioni della psoriasi del cuoio capelluto
Uno studio randomizzato controllato con placebo (prova PSO5; NCT02267135) ha registrato 102 soggetti con lesioni della psoriasi da moderata a grave del cuoio capelluto definito con un punteggio di gravità del cuoio capelluto di psoriasi (PSSI) di maggiore o uguale a 12 un punteggio di cuoiolo di IGA solo di 3 o più e al 30% di scala. In questa prova il 62% dei soggetti aveva almeno il 50% della superficie del cuoio capelluto colpita. In questo studio ogni dose di 300 mg è stata somministrata come due iniezioni di 150 mg. Le proporzioni di soggetti che raggiungono un punteggio del cuoio capelluto IGA solo di 0 o 1 (chiaro o quasi chiaro) erano rispettivamente del 56,9% e del 5,9% per i 300 mg di costyx e per i gruppi placebo.
300 mg/2 mL Pre-filled Syringe And 300 mg/2 mL UnoReady Pen
Due studi randomizzati in doppio cieco controllati con placebo (PSO6 e PSO7) hanno arruolato 336 soggetti di almeno 18 anni con PSO da moderato a grave che sono candidati per terapia sistemica o fototerapia per valutare la sicurezza e l'efficacia del costyx 300 mg somministrato in sottocutazione con un singolo mg/2 ml preparato a preparato mL (prove di prova per proiettili. NCT02748863 214 pazienti) o con una singola penna Unoready da 300 mg/2 ml (sperimentazione PSO7 NCT03589885 122 pazienti) rispetto a due iniezioni sottocutanee usando una siringa preimpostata da 150 mg/1 ml. Gli endpoint co-primari per entrambi gli studi erano la proporzione di soggetti che hanno raggiunto una risposta PASI 75 e la mod 2011 di IgA Clear
Tabella 5: esiti clinici alla settimana 12 negli adulti con PSO nelle prove PSO6 e PSO7 (trattamento sottocutaneo)
| Prova PSO6 | PROVA PSO7 | |||||
| Costyx 300 mg | Placebo (N = 71)% | Costyx 300 mg | Placebo (N = 40)% | |||
| 2 ml di PFS (N = 72) % | Due 1 ml di PFS (N = 71)% | 2 ml di penna (N = 41)% | Due 1 ml di PFS (N = 41)% | |||
| Iga di chiaro o quasi chiaro | 76 | 69 | 1 | 76 | 68 | 8 |
| Risposta PASI 75 | 89 | 82 | 2 | 95 | 83 | 10 |
| Risposta PASI 90 | 67 | 70 | 2 | 76 | 62 | 5 |
| Abbreviazione: siringa PFS prefettita. I dati mancanti sono stati imputati utilizzando l'imputazione multipla. |
Psoriasi di placca pediatrica
Un placebo randomizzato in doppio cieco a 52 settimane (studio controllato attivo (prova PSO8; NCT02471144) ha arruolato 162 soggetti pediatrici di età pari o superiore a 6 anni di età e più con la psoriasi di placca grave per la terapia sistematica.
I soggetti sono stati randomizzati a ricevere il placebo sottocutaneo costyx o un controllo attivo biologico. Nei gruppi costyx i soggetti con BW meno di 25 kg hanno ricevuto 75 mg di soggetti con BW 25 a meno di 50 kg hanno ricevuto 75 mg o 150 mg (2 volte la dose raccomandata) e i soggetti con BW almeno 50 kg hanno ricevuto 150 mg o 300 mg (2 volte la dose raccomandata). In questo studio ogni dose di 300 mg è stata somministrata come due iniezioni sottocutanee di 150 mg. I soggetti nei gruppi costyx e placebo hanno ricevuto un trattamento sottocutaneo a settimane 0 1 2 3 e 4 seguiti da un dosaggio ogni 4 settimane. Alla settimana 12 i soggetti randomizzati al placebo che non erano responder erano passati a costyx (dose in base al peso corporeo) e hanno ricevuto costyx alle settimane 12 13 14 e 15 seguite dalla stessa dose ogni 4 settimane a partire dalla settimana 16.
Caratteristiche di base
Complessivamente il 60% dei soggetti era femminile l'83% era bianco, la mediana BW era di 50,6 kg e l'età media era di 13,5 anni con il 23% dei soggetti inferiori a 12 anni. Al basale il punteggio PASI mediano era di 26 (variato da 17 a 60) e il 99% dei soggetti aveva un punteggio di 4 2011 modificato IGA di 4 (grave). Circa il 43% dei soggetti ha avuto una precedente esposizione alla fototerapia del 53% alla terapia sistemica convenzionale il 3% ai biologici e il 9% aveva un'artrite psoriasica concomitante.
Endpoint
Gli endpoint co-primari erano la proporzione di soggetti che hanno ottenuto una riduzione del punteggio PASI di almeno il 75% (PASI 75) dal basale alla settimana 12 e la percentuale di soggetti che hanno raggiunto un punteggio di chiaro modificato IGA
Risposta clinica
La tabella 6 presenta i risultati di efficacia alla settimana 12 negli strati di peso di base per il dosaggio approvato nella prova PSO8.
Tabella 6: esiti clinici alla settimana 12 in soggetti pediatrici con PSO grave nello studio PSO8 (trattamento sottocutaneo)
| Peso corporeo <50 kg | Peso corporeo ≥ 50 kg | Totale | ||||
| Costyx 75 mg (N = 22) N (%) | Placebo (N = 20) N (%) | Costyx 150 mg (N = 21) N (%) | Placebo (N = 21) N (%) | Costyx a (N = 43) N (%) | Placebo N (%) | |
| Iga di chiaro o quasi chiaro | 7 (32) | 1 (5) | 17 (81) | 1 (5) | 24 (56) | 2 (5) |
| Risposta PASI 75 | 12 (55) | 2 (10) | 18 (86) | 4 (19) | 30 (70) | 6 (15) |
| Risposta PASI 90 | 9 (41) | 1 (5) | 17 (81) | 0 (0) | 26 (60) | 1 (2) |
| L'imputazione non rispondente è stata utilizzata per gestire i valori mancanti. a Costyx treated subjects received 75 mg for subjects less than 50 kg E 150 mg for subjects at least 50 kg body weight. |
Artrite psoriasica adulta
La sicurezza e l'efficacia di costyx sono state valutate nei pazienti del 1999 in 3 studi randomizzati in doppio blind-blind (PSA1 PSA2 e PSA3) in pazienti adulti di età pari o superiore a 18 anni con PSA attivo (maggiore o uguale a 3 giunti di droga (NAST-RHARD) nonostante le medicine non steridei (NAMARDEGATICO NATOUMATICO (NASDEUMATICO DI MATURA DI MAGATICO) terapia. I pazienti in questi studi avevano una diagnosi di PSA di almeno 5 anni in tutti gli studi.
- Lo studio PSA1 (NCT 01752634) ha valutato 397 pazienti che sono stati trattati con 75 mg 150 mg o 300 mg di costyx (somministrati come due iniezioni sottocutanee di 150 mg) a settimane 0 1 2 3 e 4 seguite dalla stessa dose sottocutanea ogni 4 settimane. I pazienti che hanno ricevuto il placebo sono stati ri-randomizzati per ricevere costyx sottocutanei (150 mg o 300 mg ogni 4 settimane) alla settimana 16 o alla settimana 24 in base allo stato del risponditore. L'endpoint primario era la percentuale di pazienti che hanno raggiunto una risposta ACR20 alla settimana 24.
- Studio PSA2 (NCT 01392326) ha valutato 606 pazienti che sono stati trattati con sedukinumab endovenoso 10 mg/kg o placebo a settimane 0 2 e 4 seguiti da 75 mg o 150 mg di trattamento costyx sottocutaneo (o placebo) ogni 4 settimane. I pazienti che hanno ricevuto il placebo sono stati ri-randomizzati per ricevere costyx sottocutanei (75 mg o 150 mg ogni 4 settimane) alla settimana 16 o alla settimana 24 in base allo stato del risponditore.
- Studio PSA3 (NCT 02404350) ha valutato 996 pazienti che sono stati trattati con 150 mg o 300 mg di costyx (somministrati come due iniezioni sottocutanee di 150 mg) a settimane 0 1 2 3 e 4 seguite dalla stessa dose sottocutanea ogni 4 settimane o una volta ogni 4 settimane di costyx 150 mg. I pazienti trattati con placebo hanno ricevuto costyx sottocutaneo 150 mg o 300 mg per randomizzazione basale alla settimana 16 o alla settimana 24 in base allo stato del risponditore. L'endpoint primario era la risposta ACR20 alla settimana 16 con l'endpoint secondario chiave la variazione dal basale nel punteggio acuto totale modificato (MTSS) alla settimana 24.
Caratteristiche della malattia di base
Al basale oltre il 61% e il 42% dei pazienti presentavano rispettivamente entesite e dattilite. Complessivamente il 31% dei pazienti ha interrotto il trattamento precedente con agenti anti-TNFα a causa della mancanza di efficacia o intolleranza. Inoltre, circa il 53% dei pazienti di entrambi gli studi presentava un uso concomitante di metotrexato (MTX). I pazienti con diversi sottotipi di PSA sono stati arruolati tra cui l'artrite poliarticolare senza evidenza di noduli reumatoidi (80%) artrite periferica asimmetrica (63%) coinvolgimento interfalangeo distale (58%) spondilite con artrite periferica (20%) e artrite mutilani (7%).
Risposta clinica
In PSA1. I pazienti trattati con 150 mg o 300 mg di costyx hanno dimostrato una maggiore risposta clinica tra cui ACC20. ACR50. e ACR70 rispetto ai pazienti trattati con placebo alla settimana 24 (Tabella 7). Le risposte erano simili nei pazienti indipendentemente dal trattamento concomitante MTX. Le risposte sono state osservate indipendentemente dal precedente anti-TNFO. esposizione.
Nei pazienti con PSO coesistente che riceve costyx (n = 99) le lesioni cutanee della psoriasi sono migliorate con il trattamento rispetto al placebo come misurato dall'indice di gravità dell'area della psoriasi (PASI).
Tabella 7: risposte a Nello studio PSAL alla settimana 16 e alla settimana 24 (trattamento sottocutaneo)
| Costyx 150 mg (N = 100) | Costyx 300 mg (N = 100) | Placebo (N = 98) | Differenza dal placebo (95% CL) | ||
| Costyx 150 mg | Costyx 300 mg | ||||
| Risposta ACR20 | |||||
| Settimana 16 (%) | 60 | 57 | 18 | 42 (30 54) | 38 (26. 51) |
| Settimana 24 (%) | 51 | 54 | 15 | 36 (24 48) | 39 (27.51) |
| Risposta ACR50 | |||||
| Settimana 16 (%) | 37 | 35 | 6 | 31 (21 42) | 28 (18. 39) |
| Settimana 24 (°/O) | 35 | 35 | 7 | 28 (18.38) | 28 (17 38) |
| Risposta ACR70 | |||||
| Settimana 16 (%) | 17 | 15 | 2 | 15 (723) | 13 (5.20) |
| Settimana 24 (%) | 21 | 20 | 1 | 20 (12 28) | 19 (11.27) |
| a I pazienti che soddisfacevano i criteri di fuga (meno del 20% di miglioramento dei conteggi d'articolazione tenera o gonfio) alla settimana 16 erano considerati non responder. |
La percentuale di pazienti che hanno raggiunto una risposta ACR20 per visita è mostrata nella Figura 1. I pazienti sul placebo che hanno ricevuto costyx senza un regime di carico hanno ottenuto risposte ACR20 simili nel tempo (dati non mostrati).
Figura 1: percentuale dei pazienti adulti che hanno raggiunto la risposta ACR 20 a Nello studio PSAL fino alla settimana 24 (trattamento sottocutaneo)
|
a I pazienti che soddisfacevano i criteri di fuga (meno del 20% di miglioramento dei conteggi d'articolazione tenera o gonfio) alla settimana 16 erano considerati non responder.
I miglioramenti nei componenti dei criteri di risposta ACR nello studio PSA1 sono mostrati nella Tabella 8.
Tabella 8: variazione media dal basale nei componenti ACR alla settimana 16 a (Studio PSA1) (trattamento sottocutaneo)
| Costyx 150 mg (N = 100) | Costyx 300 mg (N = 100) | Placebo (N = 98) | |
| Numero di articolazioni gonfie | |||
| Basale | 12.0 | 11.2 | 12.1 |
| Cambiamento medio alla settimana 16 | -4.86 | -5.83 | -3.22 |
| Numero di articolazioni di gara | |||
| Basale | 24.1 | 20.2 | 23.5 |
| Cambiamento medio alla settimana 16 | -10.70 | -10.01 | -1.77 |
| Valutazione del dolore da parte del paziente | |||
| Basale | 58.9 | 57.7 | 55.4 |
| Cambiamento medio alla settimana 16 | -22.91 | -23.97 | -7.98 |
| Valutazione globale del paziente | |||
| Basale | 62.0 | 60.7 | 57.6 |
| Cambiamento medio alla settimana 16 | -25.47 | -25.40 | -8.25 |
| Valutazione globale del medico | |||
| Basale | 56.7 | 55.0 | 55.0 |
| Cambiamento medio alla settimana 16 | -29.24 | -34.71 | -14.95 |
| INDICE DI DISABILITÀ (HAQ) | |||
| Basale | 1.2200 | 1.2828 | 1.1684 |
| Cambiamento medio alla settimana 16 | -0.45 | -0.55 | -0.23 |
| CRP (Mg/L) | |||
| Basale | 14.15 | 10.88 | 7.87 |
| Cambiamento medio alla settimana 16 b | -8.41 | -7.21 | 0.79 |
| a Vengono visualizzati i dati della settimana 16 anziché della settimana 24 per fornire un confronto tra le armi prima della fuga di placebo a costyx. b Cambiamento medio in base ai dati osservati. |
I miglioramenti nei punteggi di entesite e dattilite sono stati osservati in ciascun gruppo costyx rispetto al placebo alla settimana 24.
Risposta radiografica
Nell'inibizione dello studio PSA3 della progressione del danno strutturale è stata valutata radiograficamente ed espressa dagli MTS modificati e dai suoi componenti il punteggio di erosione (ES) e il punteggio di restringimento dello spazio articolare (JSN) alla settimana 24 rispetto al basale. Le radiografie di mani e piedi sono state ottenute alla settimana di base 16 e/o alla settimana 24 e hanno segnato indipendentemente da almeno due lettori che sono stati accecati dal gruppo di trattamento e di visita al numero. Trattamento con costyx sottocutaneo 150 mg senza una dose di carico 150 mg con una dose di carico e 300 mg con una dose di carico ha inibito significativamente la progressione del danno dell'articolazione periferica rispetto al trattamento con placebo misurato da una base a 0,0) 75,7% 70,9% e 76,5% per costyx 150 mg senza una dose di carico 150 mg 300 mg rispettivamente rispetto al 68,2% per il placebo.
Tabella 9: tasso di variazione per 24 settimane nel punteggio acuto totale modificato (trattamento sottocutaneo)
| Trattamento | N | Tasso di variazione per 24 settimane | Differenza dal placebo (IC 95%) |
| Costyx 150 mg without a loading dose | 210 | -0.10 | -0.61 (-0.95 -0.26) |
| Costyx 150 mg with a loading dose | 213 | 0.14 | -0.37 (-0.71 -0.03) |
| Costyx 300 mg with a loading dose | 217 | 0.03 | -0.48 (-0.82 -0.14) |
| Placebo | 296 | 0.51 | - |
Risultati di un modello di effetti misti lineari che ha escluso i dati dopo la fuga per i soggetti placebo che hanno ricevuto la terapia di fuga alla settimana 16. Il modello assume una progressione approssimativamente lineare nel tempo e stima una differenza di velocità (pendenze) di progressione per 24 settimane per confrontare i bracci del trattamento.
Funzione fisica
Improvement in physical function as assessed by Health Assessment Questionnaire-Disability Index (HAQ-DI) demonstrated that the proportion of patients who achieved at least -0.3 improvement in HAQ-DI score from baseline was greater in the subcutaneous COSENTYX 150 mg and 300 mg groups compared to the placebo group at Weeks 16 and 24. At Week 16 in PsA1 study estimated mean change from baseline was -0.23 in the placebo group compared with -0,45 nel gruppo costyx 150 mg e -0,55 nel gruppo costyx 300 mg.
Trattamento Of Adult Patients With Active Artrite psoriasica With Intravenous Costyx
L'efficacia del costyx endovenoso nel trattamento di pazienti adulti con PSA attivo è stata estrapolata dall'efficacia stabilita del costyx sottocutaneo in pazienti adulti con PSA attivo basato sull'esposizione farmacocinetica [vedi Farmacologia clinica ].
Spondilite anchilosante
La sicurezza e l'efficacia dei costyx sottocutanei sono state valutate in 816 pazienti adulti (18 anni e più di età) con attivi come in tre studi randomizzati in doppio cieco controllati con placebo (AS1 AS2 e AS3). I pazienti avevano una malattia attiva come definito dall'indice di attività della malattia della spondilite da anchilosina (BASDAI) maggiore o uguale a 4 nonostante la terapia antitumidica non-infiammatoria (FANS) o la malattia modificando la terapia antisumatica (DMARD).
- Lo studio AS1 (NCT01649375) ha valutato 219 pazienti che sono stati trattati con 75 mg o 150 mg di trattamento cosentyx sottocutaneo a settimane 0 1 2 3 e 4 seguiti dalla stessa dose ogni 4 settimane. Alla settimana 16 i pazienti che hanno ricevuto placebo sono stati ri-randomizzati a 75 mg o 150 mg di costyx sottocutaneo ogni 4 settimane. L'endpoint primario era la percentuale di pazienti che hanno raggiunto una risposta ASAS20 alla settimana 16.
- Studio AS2 (NCT01358175) ha valutato 371 pazienti che sono stati trattati con secukinumab endovenoso 10 mg/kg a settimane 0 2 e 4 (per entrambi i bracci di trattamento) o placebo seguiti da 75 mg o 150 Mg Treatment sottocutanea ogni 4 settimane o placebo. I pazienti che hanno ricevuto il placebo sono stati ri-randomizzati per ricevere costyx sottocutanei (75 mg o 150 mg ogni 4 settimane) alla settimana 16 o alla settimana 24 in base allo stato del risponditore.
- Studio AS3 (NCT02008916) ha valutato 226 pazienti che sono stati trattati con sedukinumab endovenoso 10 mg/kg a settimane 0 2 e 4 (per entrambi i bracci di trattamento) o placebo seguiti da 150 mg o 300 mg di trattamento sottocutaneo ogni 4 settimane o placebo. I pazienti che hanno ricevuto il placebo sono stati ri-randomizzati per ricevere costyx sottocutanei (150 mg o 300 mg ogni 4 settimane) alla settimana 16. L'endpoint primario era la percentuale di pazienti che hanno raggiunto una risposta ASAS20 alla settimana 16. I pazienti sono stati accecati al regime di trattamento fino alla settimana 52 e il processo ha continuato alla settimana 156. In questo studio ogni 300 mg è stato somministrato in iniezioni di 150 mg.
Caratteristiche della malattia di base
Al basale circa il 13% e il 25% utilizzavano rispettivamente MTX o sulfasalazina concomitante. Complessivamente il 29% dei pazienti ha interrotto il trattamento precedente con agenti anti-TNFα a causa della mancanza di efficacia o intolleranza.
Risposta clinica
Nei pazienti AS1 trattati con 150 mg di costyx hanno dimostrato maggiori miglioramenti nelle risposte ASAS20 e ASAS40 rispetto ai pazienti trattati con placebo alla settimana 16 (Tabella 10). Le risposte erano simili nei pazienti indipendentemente dalle terapie concomitanti.
Tabella 10: risposte ASAS20 e ASAS40 in tutto come pazienti alla settimana 16 nello studio AS1 (trattamento sottocutaneo)
| Costyx 150 mg (n = 72) | Placebo (n = 74) | Differenza dal placebo (IC 95%) | |
| Risposta ASAS20 % | 61 | 28 | 33 (18 48) |
| Risposta ASAS40 % | 36 | 11 | 25 (12 38) |
I miglioramenti nei componenti principali dei criteri di risposta ASAS20 e altre misure di attività della malattia sono mostrati nella Tabella 11.
Tabella 11: Componenti ASAS20 e altre misure di attività della malattia alla settimana 16 (studio AS1) (trattamento sottocutaneo)
Rocephin è in forma di pillola
| Costyx 150 mg (N = 72) | Placebo (N = 74) | |||
| Basale | Cambio della settimana 16 dal basale | Basale | Cambio della settimana 16 dal basale | |
| Criteri di risposta ASAS20 | ||||
| -Paziente di valutazione globale dell'attività della malattia (0-100 mm) 1 | 67.5 | -27.7 | 70.5 | -12.9 |
| -Totale dolore spinale (0-100 mm) | 66.2 | -28.5 | 69.2 | -10.9 |
| -Basfi (0-10) 2 | 6.2 | -2.2 | 6.1 | -0.7 |
| -Infiammazione (0-10) 3 | 6.5 | -2.5 | 6.5 | -0.8 |
| Punteggio Basdai 4 | 6.6 | -2.2 | 6.8 | -0.9 |
| Basmi 5 | 3.6 | -0.51 | 3.9 | -0.22 |
| LISCRP 6 (mg l) Modifica media alla settimana 1 6 | 27.0 | -17.2 | 15.9 | 0.8 |
| 1 Percentuale dei soggetti con almeno un miglioramento del 20%e di 10 unità misurato su una scala analogica visiva (VAS) con 0 = nessuno 100 = grave. 2 Indice funzionale della spondilite anchilosante. 3 L'infiammazione è la media di due autovalutazioni riferite al paziente a Basdai. 4 Indice di attività della malattia della spondilite da vano anchilosante. 5 Indice di metrologia della spondilite da vano anchilosante. 6 Alta sensibilità C-reattiva proteina / cambiamento medio in base ai dati osservati. |
La percentuale di pazienti che hanno raggiunto le risposte ASAS20 per visita è mostrata nella Figura 2. I pazienti sul placebo che hanno ricevuto costyx senza un regime di carico hanno ottenuto risposte ASAS20 simili nel tempo (dati non mostrati).
Figura 2: risposte ASAS20 in tutti i pazienti con studio AS1 nel tempo fino alla settimana 16 (trattamento sottocutaneo)
|
Nei pazienti con AS3 SMDY trattati con costyx sottocutaneo (150 mg e 300 mg) hanno dimostrato segni e sintomi migliorati e avevano risposte di efficacia comparabili indipendentemente dalla dose superiore al placebo alla settimana 16 per gli endpoint primari e secondari. Alla settimana 16. Le risposte ASAS20 e ASAS40 erano del 58,1% e del 40,5% per 150 mg e 60,5% e 42,1% per 300 mg. rispettivamente. La percentuale di pazienti che raggiungono le risposte ASAS20 per visita è mostrata nella Figura 3.
Costyx treated patients showed improvement compared to placebo-treated patients in health-related quality of life as assessed by ASQoL at Settimana 16.
Figura 3: risposte ASAS20 in tutti i pazienti con studio AS3 nel tempo fino alla settimana 16 (trattamento sottocutaneo)
|
Trattamento Of Adult Patients With Active Spondilite anchilosante With Intravenous Costyx
L'efficacia del costyx per via endovenosa nel trattamento di pazienti adulti con attivi è stato estrapolato dall'efficacia consolidata dei pazienti con adulti costyx HI sottocutanei con attivi basati sull'esposizione farmacocinetica [vedi Farmacologia clinica ].
Spondiloartrosi assiale-radiografica
La sicurezza e l'efficacia di costyx sono state valutate in 555 pazienti adulti (18 anni e più di età) con M-Axspain attivo Uno studio di fase 3 randomizzato in doppio cieco controllato con placebo (NR-Axspal. NCT02696031). I pazienti soddisfacevano i criteri ASAS per AXSPA con segni oggettivi di infiammazione e avevano una malattia attiva come definito da un basdai maggiore o uguale a 4 una scala analogica visiva (VAS) per il dolore totale più grande o uguale a 40 (su una scala di 0-100 mm) nonostante la terapia di FANS e nessuna evidenza di cambiamenti radiografici HI le articolazioni sacroiliac che incontrerebbero la New York-criteri per As. I pazienti dovevano anche avere segni oggettivi di infiammazione con un livello di proteina C-reattiva (CRP) al di sopra del limite superiore del normale e/o evidenza di sacroiliite sull'imaging a risonanza magnetica (MRI).
I pazienti sono stati trattati con 150 mg di trattamento cosentyx sottocutaneo con un dosaggio di carico (settimane 0,1. 2. 3 e 4) o senza un dosaggio di carico (settimane 0 e 4) seguiti dalla stessa dose Eveiy 4 settimane o placebo HI Il periodo in cui i pazienti in doppio cieco (n = 555) hanno ricevuto placebo o costyx per 52 settimane. Settimana di inizio 16. È stato consentito l'aggiustamento del dosaggio o l'aggiunta di FANS e DMARD concomitanti. A partire dalla settimana 20. I pazienti sono stati autorizzati a passare a 150 mg di costyx sottocutanei mensili o altri biologici a discrezione dell'investigatore e del paziente. L'endpoint primario era almeno il 40% di miglioramento della valutazione della Società internazionale di spondiloartrite (ASAS40) alla settimana 52.
Caratteristiche della malattia di base
Circa il 10% e il 15% dei pazienti hanno utilizzato rispettivamente MTX o sulfasalazina concomitante. Complessivamente. Il 10% dei pazienti aveva ricevuto un trattamento precedente con agenti anti-TNFCT e lo aveva interrotto a causa della mancanza di efficacia o intolleranza.
Risposta clinica
Nel trattamento dello studio NR-AXSPA1 con costyx 150 mg ha comportato miglioramenti significativi nella misura dell'attività della malattia rispetto al trattamento con placebo alla settimana 16 e alla settimana 52 (Tabella 12).
Tabella 12: risposta clinica nello studio NR-AXSPA1 alla settimana 16 e alla settimana 52 (trattamento sottocutaneo)
| Numero di soggetti con risposta ASAS40 (%) | Costyx 150 mg without load (n = 184) | Costyx 150 mg with load (n = 185) | Placebo (n = 186) | Differenza dal placebo (IC 95%) | |
| Costyx 150 mg without load | Costyx 150 mg with load | ||||
| Settimana 16 | 75 (41) | 74 (40) | 52 (28) | 13 (3 22) | 12 (2 22) |
| Settimana 52 | 70 (38) | 62 (34) | 36 (19) | 19 (10 28) | 14 (5 23) |
Differenza nelle proporzioni con IC al 95% in base all'approssimazione normale.
I risultati dei componenti principali dei criteri di risposta ASAS40 nello studio NR-AXSPA1 sono mostrati nella Tabella 13.
Tabella 13: componenti principali dei criteri di risposta ASAS40 e altre misure di attività della malattia nei pazienti con NRAXSPA al basale e settimana 16 nello studio NR-AXSPA1 (trattamento sottocutaneo)
| Costyx 150 mg without loading dosage (N = 184) | Costyx 150 mg with a loading dosage (N = 185) | Placebo (N = 186) | ||||
| Basale | Cambio della settimana 16 dal basale | Basale | Cambio della settimana 16 dal basale | Basale | Cambio della settimana 16 dal basale | |
| Criteri di risposta ASAS40 | ||||||
| -Paziente globale | 71.0 | -26.2 | 72.6 | -24.1 | 68.8 | -13.8 |
| Valutazione di Attività della malattia (0-100 mm) | ||||||
| -Total Back Dolore (0-100 mm) | 72.0 | -25.5 | 73.3 | -25.0 | 70.9 | -15.6 |
| -Basfi (0-10) | 5.9 | -1.6 | 6.2 | -1.8 | 5.9 | -1.0 |
| -Infiammazione (0-10) | 6.8 | -2.8 | 7.2 | -2.8 | 6.6 | -1.7 |
| HSCRP (mg/l) Medio cambiamento alla settimana 16 | 9.8 | -4.7 | 13.4 | -7.9 | 9.2 | -2.4 |
| Basdai (0-10) | 6.9 | -2.4 | 7.1 | -2.4 | 6.8 | -1.5 |
| -Il dolori spinali | 7.6 | -3.0 | 7.8 | -3.0 | 7.5 | -2.0 |
| -Illi periferici e gonfiore (0-10) | 6.6 | -2.4 | 6.3 | -2.3 | 6.1 | -1.6 |
| Basmi | 2.8 | -0.3 | 2.9 | -0.3 | 2.8 | -0.1 |
La percentuale di pazienti che raggiungono una risposta ASAS40 per visita è mostrata nella Figura 4.
Figura 4: Risposte ASAS40 nello studio NR-AXSPA1 nel tempo fino alla settimana 16 (trattamento sottocutaneo)
|
Qualità della vita legata alla salute
Costyx treated patients showed improvement in both loading E without loading dosage aims compared to placebo-treated patients at Settimana 16 in health-related quality of life as measured by ASQoL (LS mean change: Settimana 16: -3.5 E -3.6 versus -1.8. respectively).
Trattamento Of Adult Patients With Active Non-radiographic Axial Spoiidvloarthritis With Intravenous Costyx
L'efficacia del costyx endovenoso nel trattamento di pazienti adulti con NR-AXSPA attivo è stata estrapolata dall'efficacia consolidata del cosentyx sottocutaneo nei pazienti adulti con NR-AXSPA attivo basato sull'esposizione farmacocinetica [vedi Farmacologia clinica ].
Artrite psoriasica giovanile And Artrite correlata all'ensite
L'efficacia e la sicurezza del secukinumab sottocutaneo sono state valutate in due anni. Controllato a placebo in due parti in doppio cieco. randomizzato guidato dagli eventi. Fase 3 Shidy (NCT03031782) in 86 pazienti pediatrici (da 2 a meno di 18 anni) con era attiva o JPSA come diagnosticato sulla base di una lega internazionale di associazioni modificata per la reumatologia (Ilar) dell'artrite idiopatica giovanile (JIA). Lo studio consisteva in una porzione di emergenza aperta (PAIT 1) seguita da un ritiro randomizzato (Pait 2) seguito da un trattamento con etichette aperte (parte 3). Ai pazienti sono state somministrate dosi sottocutanee di 75 mg se pesavano meno di 50 kg. o dosi sottocutanee di 150 mg se pesavano almeno 50 kg o più somministrate mediante iniezione sottocutanea a settimane 0. 1 2. 3 e 4. Eveiy 4 settimane dopo.
L'endpoint primario era il momento di svanire nella parte 2. Il bagliore della malattia è stato definito come almeno il 30% di peggioramento in almeno tre dei sei criteri di risposta JIA ACR e almeno il 30% di miglioramento in non più di uno dei sei criteri di risposta JIA ACR e un minimo di due articolazioni attive.
Nella Parte 1 aperta tutti i pazienti hanno ricevuto la secukinumab sottocutanea fino alla settimana 12. I pazienti classificati come soccorritori (raggiungendo la risposta JIA ACR30) alla settimana 12 sono entrati nella fase in doppio cieco della parte 2 e sono stati randomizzati 1: 1 per continuare il trattamento con secukinumab o iniziare il trattamento con placebo.
Caratteristiche della malattia di base
I sottotipi di pazienti JIA all'ingresso dello studio erano: ERA 60,5% e 39,5% di JPSA. Nello studio. 67,6% dei pazienti con JPSA. e il 63,5% dei pazienti con era. sono stati trattati in concomitanza con MTX.
Risposta clinica
Risposte simili sono state osservate in ogni sottotipo JIA (JPSA ed ERA). La Jia ACR 30. 50. 70. E 90 risposte per i pazienti con JPSA ed ERA alla settimana 12 sono presentate di seguito nella Tabella 14.
Tabella 14: JIA ACR 305070 e 90 risposte alla settimana 12 (trattamento sottocutaneo)
| Numero di soggetti con risposta (%) | Jia ACR 30 | Jia ACR 50 | Jia ACR 70 | Jia ACR 90 |
| JPSA (n = 34) | 31 (91) | 31 (91) | 24 (71) | 16 (47) |
| ERA (N = 52) | 44 (85) | 41 (79) | 34 (65) | 17 (33) |
Artrite psoriasica giovanile Results
Durante la parte 2. Un totale di 11 pazienti con JPSA nel gruppo placebo hanno avuto un evento di bagliori rispetto a 4 pazienti con JPSA nel gruppo Secukinumab. Il rischio di svasatura è stato ridotto dell'85% per i pazienti che hanno ricevuto secukinumab rispetto ai pazienti che hanno ricevuto placebo (rapporto di pericolo = 0,15 95% CL: da 0,04 a 0,56) (Figura 5).
Figura 5: stime di Kaplan-Meier del tempo di delazioni della malattia nella parte 2 per i pazienti con JPSA (trattamento sottocutaneo)
|
Artrite correlata all'ensite Results
Durante la parte 2. Un totale di 10 pazienti con ERA nel gruppo placebo hanno avuto un evento di bagliori rispetto a 6 pazienti con ERA nel gruppo Secukinumab. Il rischio di svasatura è stato ridotto del 53% per i pazienti che hanno ricevuto secukinumab rispetto ai pazienti che hanno ricevuto placebo (rapporto di pericolo = 0,47. 95% CL: da 0,17 a 1,32) (Figura 6). Le analisi supplementari hanno fornito prove di conferma dell'effetto terapeutico nell'era.
Figura 6: Stime di Kaplan-Meier del tempo di delazioni della malattia nella parte 2 per i pazienti con ERA (trattamento sottocutaneo)
|
Hidradenite suppurativa
Due studi randomizzati in doppio cieco controllati con placebo di 52 settimane (cioè. Studio HS 1 [NCT03713619] e HS Studia 2 [NCT03713632] hanno valutato l'efficacia e la sicurezza del cosentyx nel trattamento dei pazienti adulti con hidradenite suppurativati (HS). Ciao, entrambi i soggetti di prova sono stati randomizzati al placebo o al costyx 300 mg mediante iniezione sottocutanea a settimane 0. 1. 2. 3 e 4 seguite da 300 mg eveiy 2 settimane o eveiy 4 settimane. Alla settimana 16 i soggetti randomizzati al placebo sono stati riassegnati per ricevere costyx 300 mg a settimane 161718,19 e 20 seguiti da un costyx 300 mg eveiy 2 settimane (Q2W) o costyx 300 mg Eveiy 4 settimane (Q4w).
Basale Demographics And Disease Characteristics
Le prove HS 1 e 2 includevano 1084 soggetti adulti con HS da moderato a grave. La sperimentazione HS 1 ha valutato 541 soggetti e lo studio HS 2 ha valutato 543 soggetti di cui il 13% e l'11% hanno ricevuto una dose stabile concomitante di antibiotici sistemici HI HS Studia 1 e HS Studio 2 24% e 23% dei pazienti rispettivamente erano stati trattati con un rispettivamente con i pazienti biologici) e hanno interrotto l'agente biologico per la mancanza di efficacia o di efficacia.
Endpoint
L'endpoint primario in entrambi gli studi era la proporzione di soggetti che hanno raggiunto una risposta clinica di idradenite suppurativa (HISCR50) definita come almeno una riduzione del 50% negli ascessi e nei noduli infiammatori (AN) senza alcun aumento del numero di ascessi e/o hi il numero di fismla svuotante rispetto alla settimana 16.
Risposta clinica
Nella sperimentazione HS 1 e HS Trial 2. Una percentuale statisticamente significativamente più elevata di soggetti trattati con costyx 300 mg di Eveiy 2 settimane (dopo quattro settimane di FN) ha raggiunto una risposta HISCR50 alla settimana 16 rispetto ai pazienti trattati con placebo (vedi Tabella 15). HI Entrambi i prove HS Una percentuale più elevata di soggetti trattati con costyx 300 mg eveiy 4 settimane (dopo le prime quattro settimane) ha raggiunto HisCR50 alla settimana 16 rispetto ai soggetti trattati con placebo (vedi Tabella 15) dove è stato raggiunto il significato statistico fino alla settimana 16.
Per l'endpoint primario. Hiscr50. I soggetti che hanno ricevuto qualsiasi farmaco di salvataggio o intervento della lesione sono stati considerati guasti al trattamento e gestiti come non responder (n = 20 HI Placebo 11 in Q4W e 8 in Q2W nella prova HS 1; n = 23 HI Placebo. 17 m Q4W. E 13 M Q2W nella prova HS 2).
Sono stati osservati miglioramenti per gli endpoint primari Hi Hs Soggetti indipendentemente dal precedente o in concomitanza antibiotico Trattamento o precedente esposizione biologica.
Tabella 15: risposta clinica alla settimana 16 negli adulti con hidradenite suppurativa nello studio HS 1 e HS Studia 1
| HS Trial 1 | HS Trial 2 | |||||
| Placebo (n = 180) | Costy x 300 mg ogni 4 settimane 2 (n = 180) | Costy x 300 mg ogni 2 settimane 2 (n = 181) | Placebo (n = 183) | Costy x 300 mg ogni 4 settimane 2 (n = 180) | Costy x 300 mg ogni 2 settimane 2 (n = 180) | |
| Hiscr50 | 29,4% | 41,3% | 44,5%* | 26,1% | 42,5%* | 38,3%* |
| 1 L'imputazione multipla è stata implementata per i dati mancanti. 2 I soggetti hanno ricevuto costyx 300 mg mediante iniezione sottocutanea a settimane 0 1 2 3 e 4 seguite da 300 mg ogni 4 settimane (Q4W) o ogni 2 settimane (Q2W). *Statisticamente significativo rispetto al placebo in base alla gerarchia predefinita con alfa complessiva = 0,05 (due lati). |
Informazioni sul paziente per costyx
Costyx®
(Koe-Sen-Tix)
(Secukinumab) Iniezione per uso sottocutaneo o endovenoso
Quali sono le informazioni più importanti che dovrei sapere su costyx?
Costyx is a medicine that affects your immune system. Costyx may increase your risk of having serious side effects such as:
Infezioni. Costyx may Bassoer the ability of your immune system to fight infections E may increase your risk of infections. Some people have had serious infections while taking Costyx including tubercolosi (TB) E infections caused by bacteria fungi or viruses. Some people have died from these infections.
- Il tuo operatore sanitario dovrebbe controllarti per la tubercolosi prima di iniziare il trattamento con costyx.
- Se il tuo operatore sanitario ritiene di essere a rischio di tu
- Il tuo operatore sanitario dovrebbe guardarti da vicino per segni e sintomi della tubercolosi durante il trattamento con costyx. Non utilizzare costyx se si dispone di un'infezione da tubercolosi attiva.
Prima di iniziare il costyx dillo al tuo medico se tu:
- vengono trattati per un'infezione
- avere un'infezione che non scompare o che continua a tornare
- avere TB o essere stato in stretto contatto con qualcuno con TB
- Pensa di avere un'infezione o di avere sintomi di un'infezione come:
- febbre suda o brividi
- dolori muscolari
- tosse
- fiato corto
- Sangue nel tuo Phlegm
- perdita di peso
- pelle rossa calda o dolorosa o piaghe sul tuo corpo
- diarrea or stomach pain
- bruciare quando urini o urini più spesso del normale
Dopo aver iniziato a COSENTYX, chiama subito il tuo fornitore di assistenza sanitaria se si dispone di uno dei segni di infezione sopra elencati. Non utilizzare costyx se si dispone di segni di infezione a meno che non ti venga incaricato il proprio medico.
Vedere Quali sono i possibili effetti collaterali di costyx? Per ulteriori informazioni sugli effetti collaterali.
per cosa è buono la vitamina ginseng
Cos'è costyx?
Costyx is a prescription medicine used to treat:
- Le persone di età pari o superiore a 6 anni con psoriasi di placca da moderata a grave (PSO) che coinvolgono ampie aree o molte aree del corpo e che possono beneficiare di prendere iniezioni o pillole (terapia sistemica) o fototerapia (trattamento usando la sola luce ultravioletta o UV o con terapia sistemica)
- persone di età pari o superiore a 2 anni con artrite psoriasica attiva (PSA)
- adulti con spondilite anchilosante attiva (AS)
- Adulti con spondiloartrosi assiale non radiografica attiva (NR-AXSPA) e segni oggettivi di infiammazione
- Persone di età pari o superiore a 4 anni con artrite correlata all'ingentete (ERA)
- Adulti con hidradenite suppurativa (HS) da moderato a grave (HS)
Non è noto se costyx è sicuro ed efficace nei bambini:
- meno di 6 anni con PSO
- meno di 2 anni e pesa meno di 33 libbre (15 kg) con PSA attivo
- meno di 4 anni e pesa meno di 33 libbre (15 kg) con era attiva
- con HS
Non usare costyx se tu:
- hanno avuto una grave reazione allergica a secukinumab o uno qualsiasi degli altri ingredienti in costyx. Vedi la fine di questa guida ai farmaci per un elenco completo di ingredienti in costyx.
Prima di usare costyx racconta al tuo operatore sanitario su tutte le condizioni mediche, incluso se tu:
- avere una qualsiasi delle condizioni o dei sintomi elencati nella sezione Quali sono le informazioni più importanti che dovrei sapere su costyx?
- avere una malattia infiammatoria intestinale (malattia di Crohn o colite ulcerosa).
- sono allergici al lattice. Il cappuccio dell'ago sulla penna sensoriale costyx e 150 mg/mL e 75 mg/0,5 ml di siringhe preimpegnate contiene lattice.
- hanno recentemente ricevuto o dovrebbe ricevere un'immunizzazione (vaccino). Le persone che prendono costyx non dovrebbero ricevere vaccini vivi. I bambini dovrebbero essere aggiornati con tutti i vaccini prima di iniziare il costyx.
- sono incinta o prevedono di rimanere incinta. Non è noto se Cosentyx può danneggiare il tuo bambino non ancora nato. Tu e il tuo operatore sanitario dovreste decidere se utilizzerete il costyx.
- stanno allattando o pianificano di allattare. Non è noto se costyx passa nel latte materno.
Dì al tuo operatore sanitario di tutti i medicinali che prendi, tra cui prescrizione e medicine da banco vitamine e integratori a base di erbe.
Conosci le medicine che prendi. Mantieni un elenco dei tuoi medicinali per mostrare il tuo medico e il tuo farmacista quando ottieni un nuovo medicinale.
Come riceverò costyx?
Quando somministrato per via sottocutanea (sotto la pelle)
Leggi le istruzioni dettagliate per l'uso fornite con il tuo costyx per informazioni su come preparare e iniettare una dose di costyx e come gettare correttamente (smaltire) costyx usato.
- Usa il costyx esattamente come prescritto dal tuo medico.
- Costyx comes in a single-dose UnoReady pen single-dose Sensoready pen or single-dose prefilled syringes (300 mg/2 mL 150 mg/mL 75 mg/0.5 mL) that you or your caregiver may use at home to give injections.
- Il tuo operatore sanitario deciderà quale tipo di costyx e quale dose è giusta per te.
- Se il tuo operatore sanitario decide che tu o un caregiver potete dare le tue iniezioni di costyx a casa, dovresti ricevere una formazione sul modo giusto per preparare e iniettare costyx. Non cercare di iniettare il costyx fino a quando a te o al tuo caregiver non ti è stato mostrato come iniettare costyx dal vostro operatore sanitario.
- I bambini non dovrebbero iniettare se stessi con costyx. Un caregiver per adulti dovrebbe preparare e iniettare costyx dopo aver ricevuto l'addestramento sul modo giusto per prepararsi e iniettare cosentyx.
- Non gestire il cappuccio dell'ago della penna sensoriale costyx o la siringa preimpegnata da 75 mg/0,5 ml o 150 mg/ml se si è sensibili al lattice.
- Costyx is given as an injection under your skin (subcutaneous injection) in your upper legs (thighs) or stomach-area (abdomen) by you or a caregiver. A caregiver or healthcare provider may also give you an injection of Costyx in your upper outer arm.
- Non farlo Fai un'iniezione in un'area della pelle che è tenera con ferita rossa o dura o in un'area della pelle che è influenzata dalla psoriasi.
- Ogni iniezione deve essere data in un sito diverso. Non utilizzare l'area da 2 pollici attorno all'ombelico (ombelico).
- Se inietti più costyx di quanto prescritto chiama il tuo medico o la linea di aiuto velenosa al numero 1-800-222-1222 o vai immediatamente al pronto soccorso più vicino.
Quando somministrato per via endovenosa (per vena)
- Ti verrà somministrato costyx da un operatore sanitario attraverso un ago posto in una vena (infusione). Ci vogliono circa 30 minuti per darti la dose completa di costyx.
- Il tuo operatore sanitario ti dirà quante volte dovresti ricevere costyx.
- Se perdi un appuntamento per ricevere costyx, fissare un altro appuntamento il prima possibile.
Quali sono i possibili effetti collaterali di costyx?
Costyx may cause serious side effects including:
- Vedere Quali sono le informazioni più importanti che dovrei sapere su costyx?
- Reazioni allergiche gravi. Ottieni subito un aiuto medico di emergenza se si ottengono uno dei seguenti sintomi di una grave reazione allergica:
- Sentiti svelte o guai che respirano o si tengono in tenuta
- eruzione cutanea
- gonfiore delle palpebre per il viso labbra per la bocca o gola
- tenuta toracica
- orticaria (red itchy bumps)
Se si dispone di una grave reazione allergica, non dà un'altra iniezione di costyx.
- Malattia intestinale infiammatoria. Nuovi casi di malattia infiammatoria intestinale o riacutizzazioni possono verificarsi con costyx e talvolta possono essere gravi. Se hai una malattia infiammatoria intestinale (colite ulcerosa o malattia di Crohn), racconta al tuo operatore sanitario se hai peggioramento dei sintomi della malattia durante il trattamento con costyx o sviluppi nuovi sintomi di mal di stomaco o diarrea.
- Reazioni cutanee gravi che sembrano eczema Può accadere durante il trattamento con costyx da giorni a mesi dopo la prima dose e talvolta può portare al ricovero. Il tuo operatore sanitario può interrompere temporaneamente il trattamento con costyx se si sviluppano gravi reazioni cutanee. Dì al tuo medico se hai uno dei seguenti segni o sintomi:
- arrossamento o eruzione cutanea
- prurito
- piccoli dossi o toppe
- La tua pelle è asciutta o sembra in pelle
- vesciche sulle mani o sui piedi che trasudano o diventano croccanti
- peeling della pelle
Gli effetti collaterali più comuni di costyx includono:
- sintomi a freddo
- diarrea
- infezione del tratto respiratorio superiores
Questi non sono tutti i possibili effetti collaterali di costyx.
Chiama il medico per consigli medici sugli effetti collaterali. È possibile segnalare gli effetti collaterali alla FDA al numero 1-800-FDA-1088.
Come dovrei archiviare cosentyx?
- Conservare costyx in frigorifero da 36 ° F a 46 ° F (da 2 ° C a 8 ° C).
- Mantieni il costyx nel cartone originale fino a quando non è pronto per l'uso per proteggere dalla luce.
- Se si utilizza la penna senentyx sensorEady o costyx 75 mg/0,5 ml o 150 mg/ml di siringa pre -piegata:
- Può essere conservato a temperatura ambiente fino a 30 ° C (a 86 ° F) per un massimo di 4 giorni.
- Scrivi la data da cui è stato rimosso e restituito al frigorifero nello spazio fornito sul cartone.
- Gettalo via se è stato immagazzinato al di fuori del frigorifero per 4 giorni.
- Può essere restituito al frigorifero solo 1 volta e deve essere immagazzinato tra 36 ° F e 46 ° F (da 2 ° C a 8 ° C) fino a quando non lo usi o fino alla scadenza.
- Non farlo freeze Costyx.
- Non farlo shake Costyx.
- Buttare via qualsiasi costyx scaduto o inutilizzato.
Mantieni costyx e tutti i medicinali fuori dalla portata dei bambini.
Informazioni generali sull'uso sicuro ed efficace di costyx.
Le medicine sono talvolta prescritte a fini diversi da quelli elencati in una guida ai farmaci. Non utilizzare costyx per una condizione per la quale non è stata prescritta. Non dare costyx ad altre persone anche se hanno gli stessi sintomi che hai. Potrebbe danneggiare loro. Puoi chiedere al tuo farmacista o operatore sanitario informazioni su Cosentyx che è scritto per gli operatori sanitari.
Quali sono gli ingredienti in costyx?
Ingrediente attivo: Secukinumab.
Ingredienti inattivi:
L-istidina/istidina cloridrato monoidrato polisorbato lisorbato 80 diidrato di trealosio e acqua sterile per l'iniezione.
Questa guida ai farmaci è stata approvata dalla Food and Drug Administration degli Stati Uniti.