Le Informazioni Presenti Sul Sito Non Costituiscono Consulenza Medica. Non Vendiamo Nulla. L'Accuratezza Della Traduzione Non È Garantita. Disclaimer
HIV, combinazioni d'arteComplesso
Riepilogo della droga
Cos'è Complera?
Compera (emtricitabina/rilpivirina/tenofovir disoproxil fumarate) è una combinazione di tre antivirale Composti usati come regime completo per il trattamento dell'infezione da HIV -1 negli adulti che non hanno avuto precedenti trattamenti antivirali. Complera fornisce un trattamento completo per l'infezione da HIV. Non prendere altri medicinali per l'HIV con complimento.
Quali sono gli effetti collaterali di Complera?
Gli effetti collaterali comuni di Complera includono:
- Nuovo o peggioramento della compromissione renale
- disturbi depressivi e
- diminuisce nella densità ossea
Altri effetti collaterali comuni di Complera sono:
- mal di testa
- stanchezza
- vertigini
- Problemi di sonno (insonnia)
- Strani sogni
- diarrea
- nausea
- eruzione cutanea
- depressione e
- Cambiamenti nella forma o nella posizione del grasso corporeo (specialmente nelle braccia gambe.
Gli effetti collaterali gravi possono includere:
- acidosi lattica e
- Epatomegalia grave con steatosi
Dosaggio per Complera
Complera è un farmaco combinato ed è disponibile solo in una forza come segue: ogni compressa contiene 200 mg di emtricitabina 27,5 mg di rilpivirina cloridrato (equivalente a 25 mg di rilpivirina) e 300 mg di tenofovir df (equivalente a 245 mg di tenofovir disoproxil) come ingredienti attivo. La dose raccomandata di Complera è una compressa presa per via orale una volta al giorno con un pasto.
Quali sostanze o integratori di farmaci interagiscono con Complera?
Complera può interagire con:
- gli anticonvulsiranti carbamazepina oxcarbazepina fenitoina fenobarbitale
- gli antimycobacteriali rifampin Rifapentine
- inibitori della pompa protonica come il dexlansoprazolo esomeprazolo lansoprazolo omeprazolo pantoprazolo rabeprazole
- Il desametasone sistemico glucocorticoide (più di una singola dose)
- Parola di San Giovanni (Hypericum Perforatum)
Complera durante la gravidanza e l'allattamento
Le donne dovrebbero parlare con i loro operatori sanitari se sono incinte o pianificano di rimanere incinta. Non è noto se Complera danneggerà i bambini non nati. Inoltre c'è un registro di gravidanza per le donne che assumono medicinali antivirali durante la gravidanza. Il suo scopo è quello di raccogliere informazioni sulla salute delle donne e dei loro bambini. Le donne dovrebbero parlare con un operatore sanitario su come prendere parte a questo registro. I Centri per il controllo e la prevenzione delle malattie (CDC) raccomandano che le madri con HIV non allattano perché possono passare l'HIV attraverso il loro latte al bambino. Non è noto se Complera può passare attraverso il latte materno e danneggiare i bambini. Le madri infermieristiche dovrebbero parlare con i loro operatori sanitari del modo migliore per nutrire i loro bambini. Complera non è raccomandata per i pazienti di età inferiore ai 18 anni.
Ulteriori informazioni
Il nostro Centro farmacologico per effetti collaterali di Complera fornisce una visione completa delle informazioni disponibili sui farmaci sui potenziali effetti collaterali durante l'assunzione di questo farmaco.
Questo non è un elenco completo di effetti collaterali e altri possono verificarsi. Chiama il medico per consigli medici sugli effetti collaterali. È possibile segnalare gli effetti collaterali alla FDA al numero 1-800-FDA-1088.
Informazioni sui farmaci FDA
- Descrizione del farmaco
- Indicazioni
- Dosaggio
- Effetti collaterali
- Interazioni farmacologiche
- Avvertimenti
- Overdose
- Farmacologia clinica
- Guida ai farmaci
AVVERTIMENTO
Acidosi lattica/epatomegalia grave con steatosi e dopo il trattamento esacerbazione acuta dell'epatite B
Acidosi lattica e grave epatomegalia con steatosi, compresi casi fatali, sono stati riportati con l'uso di analoghi nucleosidici, incluso il disoproxil di tenofovir fumarate, un componente di Complera in combinazione con altri antiretrovirali [vedi avvertimenti e PRECAUZIONI ].
Atovaquone-proguanil 250
Complera non è approvata per il trattamento dell'infezione da virus dell'epatite B cronica (HBV) e la sicurezza e l'efficacia di Complera non sono state stabilite nei pazienti coinfettati con HBV e HIV-1. Le gravi esacerbazioni acute dell'epatite B sono state riportate in pazienti che sono stati infettati con HBV e HIV-1 e hanno interrotto Emtriva o Viread che sono componenti di Complera. La funzione epatica dovrebbe essere monitorata da vicino con il follow-up clinico e di laboratorio per almeno diversi mesi in pazienti che sono stati infettati con HIV-1 e HBV e interrompere la complimento. Se l'inizio appropriato della terapia anti-epatite B può essere giustificata [vedere avvisi e PRECAUZIONI ].
Descrizione per Complera
Complera è una compressa di combinazione a dose fissa contenente emtricitabina rilpivirina cloridrato e tenofovir DF. Emtriva è il nome del marchio per emtricitabina Un analogo nucleosidico sintetico della citidina. Edurant è il nome del marchio per il rilpivirina Un inibitore della trascrittasi inversa non nucleoside. Viread è il marchio per tenofovir DF che viene convertito in vivo in tenofovir un fosfonato nucleosidico aciclico (nucleotide) analogo dell'adenosina 5'-monoposfato. Viread ed Emtriva sono i componenti di Truvada.
Le compresse Compera sono per l'amministrazione orale. Ogni compressa contiene 200 mg di emtricitabina 27,5 mg di rilpivirina cloridrato (equivalente a 25 mg di rilpivirina) e 300 mg di tenofovir df (equivalente a 245 mg di disoproxil tenofovir) come ingredienti attivi. Le compresse includono i seguenti ingredienti inattivi: lattosio pregelatinizzato lattosio monoidrato microcristallino cellulosa croscarmellosio sodio magnesio stearato povidone polisorbato 20.
Emtricitabina
Il nome chimico dell'emtricitabina è 5-Fluoro-1-[(2R5S) -2- (idrossimetil) -13-ossathiolan-5-il] citosina. L'emtricitabina è il (-) enantiomero di un analogo thio di citidina che differisce dagli altri analoghi della citidina in quanto ha un fluoro nella posizione 5.
Ha una formula molecolare di C 8 H 10 Fn 3 O 3 S e un peso molecolare di 247,24. Ha la seguente formula strutturale:
|
Emtricitabina is a white to off-white crystalline powder with a solubility of approximately 112 mg per mL in water at 25 °C.
Rilpivirina
Rilpivirina is available as the hydrochlOide salt. The chemical name fO rilpivirine hydrochlOide is 4-[[4-[[4-[(E)-2-cyanoethenyl]-26-dimethylphenyl]amino]-2-pyrimidinyl]amino]benzonitrile monohydrochlOide. Its molecular fOmula is C 22 H 18 N 6 • HCL e il suo peso molecolare è 402,88. Il cloridrato di rilpivirina ha la seguente formula strutturale:
|
Rilpivirina hydrochlOide is a white to almost white powder. Rilpivirina hydrochlOide is practically insoluble in water over a wide pH range.
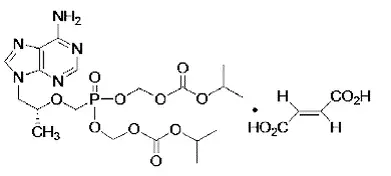
Tenofovir Disoproxil Fumarato
Tenofovir DF è un sale acido fumarico del derivato bis-isopropossicarbonilossimetil estere di tenofovir. Il nome chimico di tenofovir DF è 9-[(R) -2 [[bis [[(isopropossicarbonil) ossia]-metossi] fosfinil] metossi] propyl] adenina fumarato (1: 1). Ha una formula molecolare di C 19 H 30 N 5 O 10 P • c 4 H 4 O 4 e un peso molecolare di 635,52. Ha la seguente formula strutturale:
|
Tenofovir DF è una polvere cristallina da bianco a bianco sporco con solubilità di 13,4 mg per ml di acqua a 25 ° C. Tutti i dosaggi sono espressi in termini di tenofovir DF, tranne dove diversamente indicato.
Usi per Complera
Complera® è indicato come regime completo per il trattamento dell'infezione da HIV-1 negli adulti e nei pazienti pediatrici che pesano almeno 35 kg:
- come terapia iniziale in quelli senza storia di trattamento antiretrovirale con l'HIV-1 RNA inferiore o uguale a 100000 copie/ml all'inizio della terapia o
- Per sostituire un regime antiretrovirale stabile in coloro che sono virologicamente soppressi (RNA dell'HIV-1 inferiore a 50 copie/ml) su un regime antiretrovirale stabile per almeno 6 mesi senza fallimento del trattamento e nessuna sostituzione nota associata alla resistenza ai singoli componenti di Completa [vedi Microbiologia E Studi clinici ].
Limiti di utilizzo
- Più soggetti trattati con rilpivirina con HIV-1 RNA superiori a 100000 copie/ml all'inizio della terapia hanno sperimentato insufficienza virologica (HIV-1 RNA ≥50 copie/ml) rispetto ai soggetti trattati con rilpivirina con HIV-1 RNA inferiore o uguale a 100000 copie/ml [vedi Studi clinici ].
Dosaggio per Complera
Test prima dell'iniziazione e durante il trattamento con complimento
Prima o quando si avvia i pazienti con test di Complera per l'infezione da virus dell'epatite B [vedi AVVERTIMENTOS AND PRECAUZIONI ].
Prima dell'inizio di Complera e durante il trattamento con Complera su un programma clinicamente appropriato valutare la creatinina sierica di clearance della creatinina glucosio e proteina urinaria in tutti i pazienti. Nei pazienti con malattia renale cronica valuta anche il fosforo sierico [vedi AVVERTIMENTOS AND PRECAUZIONI ].
Dosaggio consigliato
Complera è un prodotto di combinazione a dose fissa a tre farmaci contenente 200 mg di emtricitabina (FTC) 25 mg di rilpivirina (RPV) e 300 mg di fumarato disoproxil di tenofovir (TDF). Il dosaggio raccomandato di complimento nei pazienti adulti e pediatrici che pesano almeno 35 kg è una compressa presa per via orale una volta al giorno con il cibo [vedi Utilizzare in popolazioni specifiche E Farmacologia clinica ].
Dosaggio consigliato During Gravidanza
Per i pazienti in gravidanza che sono già in Completa prima della gravidanza e sono virologicamente soppressi (RNA dell'HIV-1 meno di 50 copie per ml) una compressa di complimento presa una volta che al giorno può essere continuata. Durante la gravidanza sono state osservate esposizioni più basse di rilpivirina Una componente di Complera durante la gravidanza, pertanto la carica virale deve essere monitorata da vicino [vedi Utilizzare in popolazioni specifiche E Farmacologia clinica ].
Non raccomandato nei pazienti con compromissione renale moderata o grave
Complera non è raccomandato nei pazienti con compromissione renale moderata o grave (clearance di creatinina stimata inferiore a 50 ml al minuto) [vedi AVVERTIMENTOS AND PRECAUZIONI E Utilizzare in popolazioni specifiche ].
Dosaggio consigliato With Rifabutin Coadministration
Se Complera è somministrato in modo conciso con la rifabutina, prendi una compressa di rilpivirina da 25 mg aggiuntiva (EDURANT®) con complimento una volta al giorno con un pasto per la durata della co -amministrazione della rifabutina [vedi Interazioni farmacologiche E Farmacologia clinica ].
Come fornito
Dosaggio FOms And Strengths
Ogni compressa di Complera contiene 200 mg di emtricitabina (FTC) 27,5 mg di rilpivirina cloridrato (equivalente a 25 mg di rilpivirina [RPV]) e 300 mg di fumato disoproxil tenofovir (TDF equivalente a 245 mg di tenofovir disoprofino).
Le compresse sono violacei a forma di capsula rosa a forma di capsula debossato con GSI da un lato e di fronte a una chiacchierata dall'altra parte.
Archiviazione e maneggevolezza
Complesso Le compresse sono violacei pellicole a forma di capsula rosa debossato con GSI da un lato e di fronte a una chiacchierata dall'altra parte. Ogni bottiglia contiene 30 compresse ( Ndc 61958-1101-1) un essiccante in gel di silice e una bobina in fibra di poliestere ed è chiuso con una chiusura resistente ai bambini.
Conservare le escursioni a 25 ° C (77 ° F) consentite a 15 ° Câ € 30 ° C (59 ° Fâ € 86 ° F) [vedi A temperatura ambiente controllata da USP ].
Mantieni il contenitore strettamente chiuso.
Dispensare solo nel contenitore originale.
Prodotto e distribuito da: Gilead Sciences Inc. Foster City CA 94404. Revisionato: nov 2019
Effetti collaterali fO Complera
Le seguenti reazioni avverse sono discusse in altre sezioni dell'etichettatura:
- Gravi esacerbazioni acute dell'epatite B nei pazienti coinfettati con HIV-1 e HBV [vedi AVVERTIMENTOS AND PRECAUZIONI ].
- Reazioni della pelle e dell'ipersensibilità [vedi AVVERTIMENTOS AND PRECAUZIONI ].
- Epatotossicità [vedi AVVERTIMENTOS AND PRECAUZIONI ].
- Disturbi depressivi [vedi AVVERTIMENTOS AND PRECAUZIONI ].
- Nuovo insorgenza o peggioramento della compromissione renale [vedi AVVERTIMENTOS AND PRECAUZIONI ].
- Perdita ossea e difetti di mineralizzazione [vedi AVVERTIMENTOS AND PRECAUZIONI ].
- Acidosi lattica/epatomegalia grave con steatosi [vedi AVVERTIMENTOS AND PRECAUZIONI ].
- Sindrome di ricostituzione immunitaria [vedi AVVERTIMENTOS AND PRECAUZIONI ].
Esperienza di studi clinici
Poiché gli studi clinici sono condotti in condizioni di reazione avverse ampiamente variabili osservate negli studi clinici di un farmaco non possono essere paragonati direttamente ai tassi negli studi clinici di un altro farmaco e potrebbero non riflettere i tassi osservati nella pratica.
Reazioni avverse dall'esperienza di studi clinici in soggetti adulti
In soggetti adulti con infezione da HIV-1 senza storia di trattamento antiretrovirale
Studi C209 e C215
La valutazione della sicurezza dell'RPV utilizzata in combinazione con altri farmaci antiretrovirali si basa sui dati aggregati della settimana 96 di 1368 soggetti negli studi di fase 3 di TMC278-C209 (ECHO) e TMC278-C215 (Thrive) in soggetti antiretrovirali per adulti HIV-1-infetti. Un totale di 686 soggetti hanno ricevuto RPV in combinazione con altri farmaci antiretrovirali come regime di fondo; La maggior parte (n = 550) ha ricevuto FTC/TDF come regime di fondo. Il numero di soggetti randomizzati al braccio di controllo EFV era 682 di cui 546 hanno ricevuto FTC/TDF come regime di fondo [vedi Studi clinici ]. The median duration of exposure fO subjects in either treatment arm was 104 weeks.
Reazioni avverse osservate alla settimana 96 in soggetti che hanno ricevuto RPV o EFV FTC/TDF come regime di fondo sono mostrate nella Tabella 1. Non sono stati identificati nuovi tipi di reazioni avverse tra la settimana 48 e la settimana 96. Le reazioni avverse osservate in questo sottogruppo di soggetti erano generalmente coerenti con quelle osservate per la popolazione di pazienti complessivi che partecipavano a questi studi (riferimento alle informazioni prescritte per educamento).
La proporzione di soggetti che hanno interrotto il trattamento con RPV o EFV FTC/TDF a causa delle reazioni avverse indipendentemente dalla gravità era rispettivamente del 2% e del 5%. Le reazioni avverse più comuni che hanno portato alla sospensione sono stati i disturbi psichiatrici: 9 (NULL,6%) soggetti nel braccio RPV FTC/TDF e 12 (NULL,2%) soggetti nel braccio EFV FTC/TDF. L'eruzione cutanea ha portato alla sospensione in 1 (NULL,2%) soggetto nel braccio RPV FTC/TDF e 10 (NULL,8%) soggetti nel braccio EFV FTC/TDF.
Reazioni avverse comuni
Le reazioni avverse cliniche a RPV o EFV di almeno intensità moderata (≥grade 2) riportate in almeno il 2% dei soggetti adulti sono mostrate nella Tabella 1.
Tabella 1: reazioni avverse selezionate a (Gradi 2-4) riportati in ≥2% dei soggetti adulti che ricevono RPV o EFV in combinazione con FTC/TDF negli studi C209 e C215 (Analisi della settimana 96)
| Termine preferito | RPV FTC/TDF N = 550 | EFV FTC/TDF N = 546 |
| Disturbi depressivi b | 2% | 2% |
| Mal di testa | 2% | 2% |
| Insonnia | 2% | 2% |
| Sogni anormali | 1% | 3% |
| Vertigini | 1% | 7% |
| Nausea | 1% | 2% |
| Eruzione cutanea | 1% | 5% |
| a Le frequenze delle reazioni avverse si basano su tutti gli eventi avversi emergenti per il trattamento 2-4 valutati per essere correlati al farmaco in studio. b Include reazioni avverse riportate come disforia depressa della depressione dell'umore, l'umore della depressione maggiore ha alterato pensieri negativi tentativi di suicidio Ideazione. |
Rilpivirina
Le reazioni avverse di intensità almeno moderata (≥grade 2) che si sono verificate in meno del 2% dei soggetti trattati con RPV più uno qualsiasi dei regimi di fondo consentiti (n = 686) negli studi clinici C209 e C215 includono il sistema di assonnato per la diarresi della diarresi di vomina del vomito di aspirazione per la diarretite del corpo) glomerulonefrite glomerulonefrite mesangioproliferativa e nefrolitiasi.
In soggetti adulti con infezione da HIV-1 virologicamente
Non sono state identificate nuove reazioni avverse a Complera in soggetti stabili soppressi virologicamente che passano a Complera da un regime contenente un inibitore della proteasi potenziato con ritonavir; Tuttavia, la frequenza delle reazioni avverse è aumentata del 20% (Studio 106) dopo il passaggio a Complera.
Emtricitabina And Tenofovir df
Le reazioni avverse più comuni che si sono verificate in almeno il 10% dei soggetti adulti naive per il trattamento con infezione da HIV-1 in uno studio clinico di fase 3 di FTC e TDF in combinazione con un altro agente antiretrovirale sono stati la diarrea nausea fatica da mal di testa alla depressione della depressione anomenne e dell'eruzione. Adverse reactions that occurred in at least 5% of treatment-experienced or treatment-naive subjects receiving FTC or TDF with other antiretroviral agents in clinical trials included abdominal pain dyspepsia vomiting fever pain nasopharyngitis pneumonia sinusitis upper respiratory tract infection arthralgia back pain myalgia paresthesia peripheral neuropathy (including peripheral Neurite e neuropatia) L'ansia ha aumentato la tosse e la rinite.
È stato riportato scolorimento della pelle con una frequenza più elevata tra i soggetti trattati con FTC; È stato manifestato per iperpigmentazione sui palmi e/o sulle suole ed era generalmente lieve e asintomatico. Il meccanismo e il significato clinico sono sconosciuti.
Anomalie di laboratorio in soggetti adulti
La percentuale di soggetti trattati con RPV FTC/TDF o EFV FTC/TDF negli studi C209 e C215 con anomalie di laboratorio selezionate (gradi 1-4) che rappresentano la tossicità del peggior grado è presentata nella Tabella 2.
Tabella 2: anomalie di laboratorio selezionate (gradi 1-4) riportate in soggetti adulti che hanno ricevuto RPV o EFV in combinazione con FTC/TDF negli studi C209 e C215 (analisi della settimana 96)
| Anomalia dei parametri di laboratorio | Gamma di tossicità daids | RPV FTC/TDF N = 550 | EFV FTC/TDF N = 546 |
| BIOCHIMICA | |||
| Aumento della creatinina | |||
| Grado 1 | 1.1-1.3 x Uln | 6% | 1% |
| Grado 2 | > 1.3-1.8 x Uln | 1% | 1% |
| Grado 3 | > 1.8-3.4 x Uln | <1% | 0 |
| Grado 4 | > 3.4 x Uln | 0 | <1% |
| Aumento AST | |||
| Grado 1 | 1.25-2.5 x Uln | 16% | 19% |
| Grado 2 | > 2.5-5,0 x Uln | 4% | 7% |
| Grado 3 | > 5.0-10.0 X ULN | 2% | 3% |
| Grado 4 | > 10,0 x Uln | 1% | 1% |
| Aumento alt | |||
| Grado 1 | 1.25-2.5 x Uln | 19% | 22% |
| Grado 2 | > 2.5-5,0 x Uln | 5% | 7% |
| Grado 3 | > 5.0-10.0 X ULN | 1% | 2% |
| Grado 4 | > 10,0 x Uln | 1% | 1% |
| Bilirubina totale aumentata | |||
| Grado 1 | 1.1-1.5 x Uln | 6% | <1% |
| Grado 2 | > 1.5-2.5 x Uln | 3% | 1% |
| Grado 3 | > 2.5-5,0 x Uln | 1% | <1% |
| Aumentato colesterolo totale (a digiuno) | |||
| Grado 1 | 200-239 mg/dl | 14% | 31% |
| Grado 2 | 240-300 mg/dl | 6% | 18% |
| Grado 3 | > 300 mg/dl | <1% | 2% |
| Aumento del colesterolo LDL (digiuno) | |||
| Grado 1 | 130-159 mg/dl | 13% | 28% |
| Grado 2 | 160-190 mg/dl | 5% | 13% |
| Grado 3 | > 190 mg/dl | 1% | 4% |
| Aumentati trigliceridi (a digiuno) | |||
| Grado 2 | 500-750 mg/dl | 1% | 2% |
| Grado 3 | 751-1200 mg/dl | 1% | 2% |
| Grado 4 | > 1200 mg/dl | 0 | 1% |
| N = numero di soggetti per gruppo di trattamento Uln = limite superiore del valore normale. Nota: le percentuali sono state calcolate rispetto al numero di soggetti nella popolazione ITT con FTC TDF come regime di fondo. |
Emtricitabina Or Tenofovir df
The following Grade 3 or 4 laboratory abnormalities have been previously reported in subjects treated with FTC or TDF with other antiretroviral agents in other clinical trials: increased pancreatic amylase (> 2.0 x ULN) increased serum amylase (> 175 U/L) increased lipase (> 3.0 x ULN) increased alkaline phosphatase (> 550 U/L) increased or decreased serum glucose ( <40 or> 250 mg/dl) aumento della glicosuria (≥3) ha aumentato la creatina chinasi (M:> 990 U/L; F:> 845 U/L) Riduzione dei neutrofili ( <750/mm³) and increased hematuria (> 75 RBC/HPF).
Funzione surrenale
Nelle prove raggruppate di fase 3 di C209 e C215 in soggetti trattati con RPV più uno qualsiasi dei regimi di fondo consentiti (n = 686) alla settimana 96 c'era una variazione media complessiva rispetto al basale nel cortisolo basale di -0,69 (-1.12 0,27) microgrammi gruppo.
Nel gruppo RPV 43/588 (NULL,3%) di soggetti con un normale test di stimolazione ACTH da 250 microgrammi al basale ha sviluppato un test di stimolazione ACTH di 250 microgrammi anormale (livello di cortisolo di picco <18.1 micrograms/dL) during the trial compared to 18/561 (3.2%) in the EFV group. Of the subjects who developed an abnOmal 250 micrograms ACTH stimulation test during the trial 14 subjects in the RPV group E 9 subjects in the EFV group had an abnOmal 250 micrograms ACTH stimulation test at Settimana 96. Overall there were no serious adverse events deaths O treatment discontinuations that could clearly be attributed to adrenal insufficiency. The clinical significance of the higher abnOmal rate of 250 micrograms ACTH stimulation tests in the RPV group is not known.
Creatinina sierica
Nelle prove raggruppate di fase 3 di C209 e C215 nei soggetti trattati con RPV più uno qualsiasi dei regimi di fondo consentiti (n = 686) si è verificato un piccolo aumento della creatinina sierica per 96 settimane di trattamento con RPV. La maggior parte di questo aumento si è verificato entro le prime 4 settimane di trattamento con una variazione media di 0,1 mg/dL (intervallo da -0,3 a 0,6 mg/dl) osservata durante la settimana 96. Nei soggetti che sono entrati nella sperimentazione con un valore renale lieve o moderato il sierico aumento della creatinina osservata era simile a quella osservata nei soggetti con normale funzione renale. Questi cambiamenti non sono considerati clinicamente rilevanti e nessun trattamento sospeso a causa di aumenti della creatinina sierica. Gli aumenti della creatinina erano comparabili per lo sfondo N (t) RTI.
Lipidi sierici
I cambiamenti dal basale nel colesterolo totale LDL-colesterolo e trigliceridi sono presentati nella Tabella 3.
Tabella 3: valori lipidici riportati nei soggetti adulti che ricevono RPV o EFV in combinazione con FTC/TDF negli studi C209 e C215 a
| Significare | Dati aggregati dalla settimana 96 Analisi delle prove C209 e C215 | |||||||
| RPV FTC/TDF N = 550 | EFV FTC/TDF N = 546 | |||||||
| N | Basale | Settimana 96 | N | Basale | Settimana 96 | |||
| Significare (mg/dl) | Significare (mg/dl) | Significare Change b (mg/dl) | Significare (mg/dl) | Significare (mg/dl) | Significare Change b (mg/dl) | |||
| Colesterolo totale (a digiuno) | 430 | 162 | 164 | 2 | 401 | 160 | 186 | 26 |
| HDL-CHOLEST EROL (Fasted) | 429 | 42 | 45 | 4 | 399 | 40 | 50 | 11 |
| LDL-Choleste Rol (Fasted) | 427 | 97 | 97 | -1 | 397 | 96 | 110 | 14 |
| Trigliceridi (a digiuno) | 430 | 123 | 109 | -14 | 401 | 127 | 133 | 6 |
| N = numero di soggetti per gruppo di trattamento a Esclude i soggetti che hanno ricevuto agenti di abbassamento lipidico durante il periodo di trattamento. b La variazione dal basale è la media dei cambiamenti all'interno dei pazienti rispetto ai pazienti con valori basali e della settimana 96. |
Soggetti adulti in coincidenza con virus dell'epatite B e/o epatite C
Nei soggetti adulti coinfettati con il virus dell'epatite B o C che riceveva RPV negli studi C209 e C215, l'incidenza dell'elevazione dell'enzima epatico era più elevata rispetto ai soggetti che ricevevano RPV che non erano stati infettati. Lo stesso aumento è stato osservato anche nel braccio EFV. L'esposizione farmacocinetica di RPV nei soggetti con coinfezione era paragonabile a quella nei soggetti senza coinfezione.
Reazioni avverse dall'esperienza di studi clinici in soggetti pediatrici
Emtricitabina
Oltre alle reazioni avverse riportate nell'anemia degli adulti e l'iperpigmentazione sono state osservate rispettivamente nel 7% e nel 32% di soggetti pediatrici (da 3 mesi a meno di 18 anni) che hanno ricevuto un trattamento con FTC nel più grande di due studi pediatrici non controllati in aperto (n = 116). Per ulteriori informazioni, consultare le informazioni sulla prescrizione di EMTriva®.
Rilpivirina
La valutazione della sicurezza si basa sull'analisi della settimana 48 dello studio di fase 2 open-2 a braccio singolo TMC278-C213 in cui 36 soggetti antiretrovirali di HIV-1-infetto da 12 a meno di almeno 18 anni e pesa almeno 32 kg hanno ricevuto RPV (25 mg una volta al giorno) in combinazione con altri agenti antiretrovirali. La durata mediana dell'esposizione per i soggetti è stata di 63,5 settimane. Nessun soggetto ha interrotto il trattamento a causa di reazioni avverse. Non sono state identificate nuove reazioni avverse rispetto a quelle osservate negli adulti.
Sono state riportate reazioni avverse in 19 soggetti pediatrici (NULL,8%). La maggior parte delle reazioni avverse erano di grado 1 o 2. Le reazioni avverse più comuni riportate in almeno 2 soggetti (indipendentemente dalla gravità) includono mal di testa (NULL,4%) depressione (NULL,4%) sonnolenza (NULL,9%) nausea (NULL,1%) vertigini (NULL,3%) dolore addominale (NULL,3%) vomito (NULL,6%) ed eruzione (NULL,6%).
Le anomalie di laboratorio osservate erano paragonabili a quelle negli adulti. Per ulteriori informazioni, consultare le informazioni sulla prescrizione di eduranti.
Funzione surrenale
Nella prova TMC278-C213 alla settimana 48 la variazione media complessiva rispetto al basale nel cortisolo basale ha mostrato un aumento di 1,59 (NULL,24 2,93) microgrammi/dl.
Sei su 30 (20%) soggetti con un normale test di stimolazione ACTH da 250 microgrammi al basale hanno sviluppato un test di stimolazione ACTH di 250 microgrammi anormale (livello di cortisolo di picco <18.1 micrograms/dL) during the trial. Three of these subjects had an abnOmal 250 micrograms ACTH stimulation test at Week 48. Overall there were no serious adverse events deaths O treatment discontinuations that could clearly be attributed to adrenal insufficiency. The clinical significance of the abnOmal 250 micrograms ACTH stimulation tests is not known.
Tenofovir df
In uno studio clinico pediatrico condotto in soggetti da 12 a meno di 18 anni le reazioni avverse osservate nei soggetti pediatrici che hanno ricevuto un trattamento con TDF erano coerenti con quelle osservate negli studi clinici di TDF negli adulti [vedi AVVERTIMENTOS AND PRECAUZIONI ]. FO additional infOmation including infOmation on bone mineral density changes please consult the VIREAD® prescribing infOmation.
Esperienza post -marketing
Le seguenti reazioni avverse sono state identificate durante l'esperienza post-marketing nei pazienti che hanno ricevuto regimi contenenti RPV o TDF. Poiché le reazioni post -marketing sono riportate volontariamente da una popolazione di dimensioni incerte, non è sempre possibile stimare in modo affidabile la loro frequenza o stabilire una relazione causale con l'esposizione ai farmaci.
Complesso
Metabolismo e disturbi nutrizionali
Il peso è aumentato
Disturbi della pelle e dei tessuti sottocutanei
Reazioni gravi della pelle e dell'ipersensibilità tra cui l'abito (reazione farmacologica con eosinofilia e sintomi sistemici)
Rilpivirina
Disturbi renali e urinari
Sindrome nefrotica
Emtricitabina
Non sono state identificate reazioni avverse post -marketing per l'inclusione in questa sezione.
Tenofovir df
Disturbi del sistema immunitario
Reazione allergica incluso l'angiedema
Metabolismo e disturbi nutrizionali
acidosi lattica ipofosfatemia ipofosfatemia
Disturbi toracici e mediastinali respiratori
Dispnea
Disturbi gastrointestinali
pancreatite ha aumentato il dolore addominale dell'amilasi
Disturbi epatobiliari
Epatite epatica Epatite aumentata gli enzimi epatici (più comunemente AST Alt Gamma GT)
Disturbi della pelle e dei tessuti sottocutanei
eruzione cutanea
Disturbi del tessuto muscoloscheletrico e connettivo
rabdomiolisi osteomalacia (manifestata come dolore osseo e che può contribuire alle fratture) Miopatia di debolezza muscolare
Disturbi renali e urinari
insufficienza renale acuta insufficienza renale Necrosi tubulare acuta sindrome della tubulopatia renale prossimale Nefrite interstiziale (compresi i casi acuti) Diabete nefrogenico Insipido Insufficienza renale Aumenta la creatinina proteinuria poliuria
Disturbi generali e condizioni del sito di amministrazione
Astenia
Le seguenti reazioni avverse elencate sotto le intestazioni del sistema corporeo sopra possono verificarsi come conseguenza della tubulopatia renale prossimale: la rabdomiolisi osteomalacia ipokalemia di debolezza muscolare Ipofosfatemia.
Interazioni farmacologiche fO Complera
Non raccomandato con altri farmaci antiretrovirali
Poiché Comprera è una somministrazione completa del regime con altri farmaci antiretrovirali per il trattamento dell'infezione da HIV-1 non è raccomandato. Non sono fornite informazioni complete sulle potenziali interazioni farmaco-farmaco con altri farmaci antiretrovirali.
Questa sezione descrive le interazioni farmacologiche clinicamente rilevanti con Complera. Sono stati condotti studi sull'interazione farmaco Dosaggio e amministrazione Controindicazioni E Farmacologia clinica ].
Farmaci che inducono o inibiscono gli enzimi del CYP3A
Rilpivirina is primarily metabolized by cytochrome P450 (CYP) 3A E drugs that induce O inhibit CYP3A may thus affect the clearance of RPV [see Controindicazioni AVVERTIMENTOS AND PRECAUZIONI E Farmacologia clinica ]. Coadministration of RPV E drugs that induce CYP3A may result in decreased plasma concentrations of RPV E loss of virologic response E possible resistance to RPV O to the class of NNRTIs. Coadministration of RPV E drugs that inhibit CYP3A may result in increased plasma concentrations of RPV.
Farmaci che aumentano il pH gastrico
Coadministration of RPV with drugs that increase gastric pH may decrease plasma concentrations of RPV and loss of virologic response and possible resistance to RPV or to the class of NNRTIs. Use of RPV with proton pump inhibitors is contraindicated and use of RPV with H2-receptor antagonists requires staggered administration [see Controindicazioni E Farmacologia clinica ].
Farmaci che colpiscono la funzione renale
Poiché FTC e tenofovir sono eliminati principalmente dai reni attraverso una combinazione di filtrazione glomerulare e la somministrazione di co -amministrazione di secrezione tubulare attiva di farmaci che riducono la funzione renale o competono per la secrezione tubulare attiva può aumentare le concentrazioni sieriche del tenfovir FTC e/o di altre farmaci eliminati renali. Alcuni esempi di farmaci che vengono eliminati dalla secrezione tubulare attiva includono ma non si limitano all'acyclovir adefovir dipivoxil cidofovir ganciclovir valaciclovir valganclovir aminoglicosidi (ad es. Gentamicina) e gentamicina ad alto dosaggio o più asi [vedi AVVERTIMENTOS AND PRECAUZIONI ].
Drughi prolunganti QT
Sono disponibili informazioni limitate sul potenziale per un'interazione farmacodinamica tra RPV e farmaci che prolungano l'intervallo QTC dell'elettrocardiogramma. In uno studio su soggetti sani 75 mg una volta al giorno e 300 mg una volta al giorno dosi di RPV (3 volte e 12 volte la dose in Complera) hanno dimostrato di prolungare l'intervallo QTC dell'elettrocardiogramma [vedi AVVERTIMENTOS AND PRECAUZIONI E Farmacologia clinica ]. Consider alternatives to Complesso when coadministered with a drug with a known risk of TOsade de Pointes.
Interazioni droga significative
Importanti informazioni di interazione farmacologica per Comprera sono riassunte nella Tabella 4. Le interazioni farmacologiche descritte si basano su studi condotti con RPV o TDF FTC come singoli farmaci o con Comprera come prodotto di combinazione o sono potenziali interazioni farmacologiche [vedi Farmacologia clinica Tabelle 9-14]. Per l'elenco di farmaci controindicati [vedi Controindicazioni ].
Tabella 4: significativa interazioni farmacologiche
| Classe di droga concomitante: nome del farmaco | Effetto sulla concentrazioneB | Commento clinico |
| Antiacidi : antiacidi (ad esempio idrossido di magnesio in alluminio o carbonato di calcio) | ↔ RPV (antiacidi assunti almeno 2 ore prima o almeno 4 ore dopo RPV) ↓ RPV (assunzione concomitante) | Somministrare antiacidi almeno 2 ore prima o almeno 4 ore dopo Complera. |
| Anticonvulsiranti : carbamazepina oxcarbazepina fenobarbital phable | ↓ RPV | La somministrazione di co -collaborazione è controindicata a causa del potenziale per la perdita di risposta virologica e sviluppo della resistenza. |
| Antimycobacteriali : Rifampin Rifapentine | ↓ RPV | La somministrazione di co -collaborazione è controindicata a causa del potenziale per la perdita di risposta virologica e sviluppo della resistenza. |
| Rifabutin | ↓ RPV c | Se la Complera è somministrata con la rifabutina, una compressa aggiuntiva da 25 mg di RPV (edurant) una volta al giorno si consiglia di essere assunto in concomitanza con Complera e con un pasto per la durata della somministrazione di co -co -rifabbina. |
| Agenti antifungini azolo: fluconazolo itraconazolo ketoconazolo posaconazolo Voriconazole | ↑ RPV CD ↓ ketoconazolo CD | Non è richiesto alcun aggiustamento della dose quando Comprera è somministrato con agenti antifungini azoli. Monitorare clinicamente le infezioni fungine rivoluzionarie quando gli antifungini azoli sono amministrati con Complera. |
| Glucocorticoide (sistemico): desametasone (più di un trattamento monodose) | ↓ RPV | La somministrazione di co -collaborazione è controindicata a causa del potenziale per la perdita di risposta virologica e sviluppo della resistenza. |
| Epatite C Agenti antivirali: ledipasvir/sofosbuvir Sofosbuvir/Velpatasvir Sofosbuvir/Velpatasvir/ Voxilaprevir | ↑ tenofovir c | I pazienti che ricevono complimenti in concomitanza con Harvoni® (ledipasvir/sofosbuvir) epclusa® (sofosbuvir/velpatasvir) o vosevi® (sofosbuvir/velpatasvir/voxilaprevir) devono essere monitorati per le reazioni avverse associate a TDF. |
| Antagonisti del recettore H2: cimetidina famotidina nizatidina ranitidina | ↔ RPV CD (Famitidina impiegata 12 ore prima del RPV o 4 ore dopo il RPV) ↓ RPV CD (Famitidina presa 2 ore prima del RPV) | Somministrare gli antagonisti del recettore H2 almeno 12 ore prima o almeno 4 ore dopo la Completa. |
| Prodotti a base di erbe: San Giovanni (l'erba di San Giovanni ( Hypericum perforatum ) | ↓ RPV | La somministrazione di co -collaborazione è controindicata a causa del potenziale per la perdita di risposta virologica e sviluppo della resistenza. |
| Antibiotici macrolidi o chetolidi: Claritromicina eritromicina Telitromicina | ↑ RPV ↔ Claritromicina ↔eritromicina ↔telitromicina | Ove possibili alternative come l'azitromicina dovrebbero essere prese in considerazione. |
| Analgesici narcotici: metadone | ↑ R (-) Methadonec ↔s () metadonec ↔rpv c ↑ Metadone c (se usato con tenofovir) | Non sono necessarie aggiustamenti di dose quando si avvia la somministrazione di co -somministrazione di metadone con complimento. Tuttavia, è raccomandato il monitoraggio clinico poiché potrebbe essere necessario regolare la terapia di mantenimento del metadone in alcuni pazienti. |
| Inibitori della pompa protonica: ad es. Dexlansoprazolo esomeprazolo Lansoprazolo omeprazolo pantoprazolo rabeprazole | ↓ RPV | La somministrazione di co -collaborazione è controindicata a causa del potenziale per la perdita di risposta virologica e sviluppo della resistenza. |
| a Questo tavolo non è tutto compreso. b Aumento = ↑; Diminuire = ↓; Nessun effetto = ↔ c L'interazione è stata valutata in uno studio clinico. Sono previste tutte le altre interazioni farmaco-farmaco mostrate. d Questo studio di interazione è stato condotto con una dose superiore alla dose raccomandata per il RPV che valuta l'effetto massimo sul farmaco somministrato in co -cotto. La raccomandazione di dosaggio è applicabile alla dose raccomandata di RPV 25 mg una volta al giorno. |
Farmaci senza interazioni osservate con complimento
Non sono state osservate interazioni farmacologiche clinicamente significative tra FTC e i seguenti farmaci: Famciclovir ledipasvir/sofosbuvir sofosbuvir/velpatasvir sofosbuvir/velpatasvir/voxilaprevir o tdf.
Non sono state osservate interazioni farmacologiche clinicamente significative tra TDF e i seguenti farmaci: contraccettivi orali di entecavir metadone ribavirina sofosbuvir o tacrolimus negli studi condotti su soggetti sani.
Non sono state osservate interazioni farmacologiche clinicamente significative tra RPV e i seguenti farmaci: atorvastatin clorzoxazone ethinil estradiolo di acetaminofene: Ethinil estradiolo ledipasvir/sofosbuvir norethindrone sildenafil Simeprevir sofosbuvir sofosbuvir/velpatasvir sofosbhir/voxilur o L'RPV non ha avuto un effetto clinicamente significativo sulla farmacocinetica della digossina o della metformina.
Avvertenze per Complera
Incluso come parte del PRECAUZIONI sezione.
Precauzioni per Complera
Grave esacerbazione acuta dell'epatite B nei pazienti coinfettati con HIV-1 e HBV
Test di tutti i pazienti con HIV-1 per la presenza di virus dell'epatite B cronico (HBV) prima o quando si inizia la terapia antiretrovirale [vedi Dosaggio e amministrazione ].
Gravi esacerbazioni acute di epatite B (ad es. Deconensazione epatica e insufficienza epatica) sono state riportate in pazienti che sono stati infettati con HBV e HIV-1 e hanno interrotto prodotti contenenti FTC e/o TDF due dei componenti di Complera. I pazienti sono stati infettati con HIV-1 e HBV che interrompono la Complera devono essere attentamente monitorati con il follow-up clinico e di laboratorio per almeno diversi mesi dopo aver interrotto il trattamento con Complera. Se l'inizio appropriato della terapia anti-epatite B può essere giustificata soprattutto nei pazienti con malattia epatica avanzata o cirrosi poiché l'esacerbazione post-trattamento dell'epatite può portare a decompensa epatica e insufficienza epatica.
Reazioni della pelle e dell'ipersensibilità
Durante l'esperienza post-marketing sono state riportate reazioni cutanee e ipersensibilità gravi, inclusi casi di reazione ai farmaci con eosinofilia e sintomi sistemici (abiti) con regimi contenenti RPV. Mentre alcune reazioni cutanee sono state accompagnate da sintomi costituzionali come la febbre, altre reazioni cutanee sono state associate a disfunzioni degli organi, comprese le elevazioni nei biochimoci sierici epatici. Durante gli studi clinici di fase 3 sono state riportate eruzioni cutanee correlate al trattamento con almeno gravità di grado 2 nell'1% dei soggetti che hanno ricevuto RPV più FTC/TDF. Complessivamente la maggior parte delle eruzioni cutanee erano di grado 1 o 2 e si sono verificate nelle prime quattro o sei settimane di terapia [vedi Reazioni avverse ].
Interrompere immediatamente la completa se si sviluppano segni o sintomi di gravi reazioni della pelle o dell'ipersensibilità, ma non limitate a cutanei gravi o eruzioni cutanee accompagnate da vesciche febbre, coinvolgimento della mucosa congiuntite edema facciale angioedema epatite o eosinofilia. Lo stato clinico, compresi i parametri di laboratorio, dovrebbe essere monitorato e dovrebbe essere avviata una terapia appropriata.
Epatotossicità
Sono stati riportati eventi avversi epatici in pazienti che hanno ricevuto un regime contenente RPV. I pazienti con infezione da virus dell'epatite B o C sottostante o marcati aumenti dei test associati al fegato prima del trattamento possono essere ad aumentato rischio di peggioramento o sviluppo di aumenti dei test associati al fegato con l'uso di Comprera. Alcuni casi di tossicità epatica sono stati riportati in pazienti adulti che hanno ricevuto un regime contenente RPV che non aveva una malattia epatica preesistente o altri fattori di rischio identificabili. Test di laboratorio appropriati prima di iniziare la terapia e il monitoraggio dell'epatotossicità durante la terapia con Complera sono raccomandati nei pazienti con malattia epatica sottostante come l'epatite B o C o in pazienti con marcati aumenti dei test associati al fegato prima dell'inizio del trattamento. Il monitoraggio del test associato al fegato dovrebbe essere considerato anche per i pazienti senza disfunzione epatica preesistente o altri fattori di rischio.
Disturbi depressivi
La reazione avversa disturbi depressivi (depressione depressa della depressione dell'umore disforia depressione maggiore dell'umore ha alterato pensieri negativi sul tentativo di suicidio suicidario dell'ideazione suicidaria) sono stati segnalati con RPV. I pazienti con sintomi depressivi gravi dovrebbero cercare una valutazione medica immediata per valutare la possibilità che i sintomi siano correlati a Complera e in tal caso per determinare se i rischi della terapia continua superano i benefici.
Durante gli studi di fase 3 sugli adulti (n = 1368) per 96 settimane l'incidenza di disturbi depressivi (indipendentemente dalla gravità della causalità) riportata tra RPV (n = 686) o Efavirenz (EFV n = 682) era rispettivamente del 9% e dell'8%. La maggior parte degli eventi erano lievi o moderati di gravità. L'incidenza dei gradi 3 e 4 disturbi depressivi (indipendentemente dalla causalità) era dell'1% sia per RPV che per EFV. L'incidenza di interruzione dovuta a disturbi depressivi tra RPV o EFV era dell'1% in ciascun braccio. L'ideazione suicida è stata segnalata in 4 soggetti in ciascun braccio mentre il tentativo di suicidio è stato segnalato in 2 soggetti nel braccio RPV.
Durante lo studio di fase 2 su soggetti pediatrici da 12 a meno di 18 anni (n = 36) che ricevevano RPV per 48 settimane l'incidenza di disturbi depressivi (indipendentemente dalla gravità della causalità) era del 19,4% (7/36). La maggior parte degli eventi erano lievi o moderati di gravità. L'incidenza dei disturbi depressivi di grado 3 e 4 (indipendentemente dalla causalità) è stata del 5,6% (2/36). Nessuno dei soggetti si è interrotto a causa di disturbi depressivi. L'ideazione suicidaria e il tentativo di suicidio sono stati riportati in 1 soggetto.
Nuovo insorgenza o peggioramento della compromissione renale
È stata segnalata la compromissione renale che comprende casi di insufficienza renale acuta e sindrome di Fanconi (lesione tubulare renale con ipofosfatemia grave) con l'uso di TDF [vedi Reazioni avverse ].
Prima dell'inizio di Complera e durante il trattamento con Complera su un programma clinicamente appropriato valutare la creatinina sierica di clearance della creatinina glucosio e proteina urinaria in tutti i pazienti. Nei pazienti con malattia renale cronica valuta anche il fosforo sierico.
Complesso should be avoided with concurrent O recent use of a nephrotoxic agent (e.g. high-dose O multiple nonsteroidal anti-inflammatOy drugs [NSAIDs]) [see Interazioni farmacologiche ]. Cases of insufficienza renale acuta after initiation of high-dose O multiple NSAIDs have been repOted in HIV-infected patients with risk factOs fO renal dysfunction who appeared stable on TDF. Some patients required hospitalization E renal replacement therapy. Alternatives to NSAIDs should be considered if needed in patients at risk fO renal dysfunction.
Il dolore persistente o peggioramento del dolore osseo nelle fratture delle estremità e/o il dolore muscolare o la debolezza possono essere manifestazioni di tubulopatia renale prossimale e dovrebbe richiedere una valutazione della funzione renale nei pazienti a rischio.
Emtricitabina E TDF are principally eliminated by the kidney; however RPV is not. Since Complesso is a combination product E the dose of the individual components cannot be altered Complesso is not recommended in patients with estimated creatinine clearance below 50 mL per minute [see Utilizzare in popolazioni specifiche ].
Perdita ossea e difetti di mineralizzazione
Densità minerale ossea
Negli studi clinici negli adulti con infezione da HIV-1 TDF un componente di Complera era associato a una riduzione leggermente maggiore nella densità minerale ossea (BMD) e aumenti dei marcatori biochimici del metabolismo osseo che suggeriscono un aumento del turnover osseo rispetto ai comparatori. Anche i livelli di ormone paratiroide sierico e 125 livelli di vitamina D erano più elevati nei soggetti che ricevevano TDF.
Sono stati condotti studi clinici che valutano il TDF nei soggetti pediatrici e adolescenti. In circostanze normali, la BMD aumenta rapidamente nei pazienti pediatrici. Nei soggetti infetti da HIV-1 di età compresa tra 2 anni a meno di 18 anni gli effetti ossei erano simili a quelli osservati nei soggetti adulti e suggeriscono un aumento del turnover osseo. Il guadagno di BMD totale del corpo era inferiore nei soggetti pediatrici infetti da HIV-1 trattati con TDF rispetto ai gruppi di controllo. Tendenze simili sono state osservate nei soggetti adolescenti con infezione da epatite cronica B di età compresa tra 12 anni a meno di 18 anni. In tutti gli studi pediatrici la crescita scheletrica (altezza) sembrava non interessata.
Gli effetti dei cambiamenti associati al TDF nei marcatori BMD e biochimici sulla salute delle ossa a lungo termine e sul rischio di frattura futura sono sconosciuti. La valutazione della BMD dovrebbe essere considerata per i pazienti adulti e pediatrici che hanno una storia di frattura ossea patologica o altri fattori di rischio per l'osteoporosi o la perdita ossea. Sebbene l'effetto della supplementazione con calcio e vitamina D non sia stato studiato tale supplementazione può essere utile per tutti i pazienti. Se si sospettano anomalie ossee, è necessario ottenere una consultazione appropriata.
Difetti di mineralizzazione
Casi di osteomalacia associati alla tubulopatia renale prossimale manifestate come dolore osseo o dolore alle estremità e che possono contribuire alle fratture sono stati riportati in associazione con l'uso di TDF [vedi Reazioni avverse ]. Arthralgias E muscle pain O weakness have also been repOted in cases of proximal renal tubulopathy. Hypophosphatemia E osteomalacia secondary to proximal renal tubulopathy should be considered in patients at risk of renal dysfunction who present with persistent O wOsening bone O muscle symptoms while receiving products containing TDF [See Nuovo insorgenza o peggioramento della compromissione renale ].
Rischio di reazioni avverse o perdita di risposta virologica dovuta alle interazioni farmacologiche
L'uso concomitante di complimenti e altri farmaci può comportare interazioni farmacologiche potenzialmente significative alcune delle quali possono portare a [vedi Dosaggio e amministrazione Controindicazioni E Interazioni farmacologiche ]:
- Perdita di effetto terapeutico di Complera e possibile sviluppo della resistenza a causa della ridotta esposizione all'RPV.
- Possibili reazioni avverse clinicamente significative da maggiori esposizioni di componenti di Complera.
Nei soggetti sani 75 mg una volta al giorno e 300 mg una volta al giorno dosi di RPV (3 volte e 12 volte la dose in Complera) hanno dimostrato di prolungare l'intervallo QTC dell'elettrocardiogramma. Considera le alternative a Complera quando somministrato con un farmaco che è noto per avere il rischio di torsade de poines [vedi Interazioni farmacologiche E Farmacologia clinica ].
Vedere la Tabella 4 per le fasi per prevenire o gestire queste possibili e note significative interazioni farmacologiche, comprese le raccomandazioni sul dosaggio. Considera il potenziale per le interazioni farmacologiche precedenti e durante la terapia di Complera e rivedi i farmaci concomitanti durante la terapia di Complera.
Acidosi lattica/epatomegalia grave con steatosi
L'acidosi lattica e l'epatomegalia grave con steatosi, compresi i casi fatali, sono stati riportati con l'uso di analoghi nucleosidici, compresi i componenti TDF e FTC di Complera da soli o in combinazione con altri antiretrovirali. Il trattamento con Complera dovrebbe essere sospeso in qualsiasi paziente che sviluppi risultati clinici o di laboratorio che suggeriscono acidosi lattica o eponotossicità pronunciata (che può includere epatomegalia e steatosi anche in assenza di marcati aumenti transaminasi).
Sindrome di ricostituzione immunitaria
La sindrome di ricostituzione immunitaria è stata riportata in pazienti trattati con terapia antiretrovirale combinata, comprese i componenti di Complera. Durante la fase iniziale della combinazione di pazienti di trattamento antiretrovirale il cui sistema immunitario risponde può sviluppare una risposta infiammatoria a infezioni opportunistiche indolenti o residue (come Mycobacterium avium Infezione Cytomegalovirus Pneumocystis jirovecii polmonite [PCP] o tubercolosi) che possono richiedere ulteriori valutazioni e trattamenti.
Sono stati anche segnalati disturbi autoimmuni (come la polimiosite della malattia di Graves Guillain-Barré e l'epatite autoimmune) in cui si sono verificati anche nel contesto della ricostituzione immunitaria; Tuttavia, il tempo di insorgenza è più variabile e può verificarsi molti mesi dopo l'inizio del trattamento.
Informazioni sulla consulenza del paziente
Consiglia al paziente di leggere l'etichettatura del paziente approvato dalla FDA ( Informazioni sul paziente ).
Post-trattamento esacerbazione acuta dell'epatite B in pazienti con l'HIV-1 e HBV
Gravi esacerbazioni acute dell'epatite B sono state riportate in pazienti che sono stati infettati con HBV e HIV-1 e che hanno interrotto prodotti contenenti FTC o TDF [vedi AVVERTIMENTOS AND PRECAUZIONI ]. Advise patients to not discontinue Complesso without first infOming their healthcare provider.
Reazioni cutanee gravi e ipersensibilità
Consiglia ai pazienti di contattare immediatamente il proprio operatore sanitario se sviluppano un'eruzione cutanea. Istruisci i pazienti a smettere immediatamente di prendere in modo e rivolgersi al medico se sviluppano un'eruzione cutanea associata a uno dei seguenti sintomi in quanto può essere un segno di una reazione più grave come il vestito grave ipersensibilità: blister febbre blistre Sii un segno di una reazione più grave. I pazienti dovrebbero capire che se si verifica una grave eruzione cutanea verranno eseguite da strettamente monitorate di test di laboratorio e verrà iniziata una terapia appropriata [vedi AVVERTIMENTOS AND PRECAUZIONI ].
Epatotossicità
Informare i pazienti che l'epatotossicità è stato riportato con complimento e che si raccomanda il monitoraggio dell'epatotossicità [vedi AVVERTIMENTOS AND PRECAUZIONI ].
Disturbi depressivi
Informare i pazienti che i disturbi depressivi (depressione depressa della depressione dell'umore disforia depressione maggiore dell'umore hanno alterato i pensieri negativi del tentativo di suicidio suicidario dell'ideazione suicidaria) sono stati segnalati con complimento. Consiglia ai pazienti di cercare una valutazione medica immediata se sperimentano sintomi depressivi [vedi AVVERTIMENTOS AND PRECAUZIONI ].
Nuovo insorgenza o peggioramento della compromissione renale
Informare i pazienti che la compromissione renale, inclusi casi di insufficienza renale acuta e sindrome di Fanconi, sono stati riportati in associazione con l'uso di TDF. Complera dovrebbe essere evitato con un uso simultaneo o recente di un agente nefrotossico (ad es. FANSEGGI ALTAMENTE o multipli) [vedi AVVERTIMENTOS AND PRECAUZIONI ].
Perdita ossea e difetti di mineralizzazione
Informare i pazienti che diminuiscono nella densità minerale ossea sono stati osservati con l'uso di TDF. La valutazione della densità minerale ossea (BMD) dovrebbe essere considerata nei pazienti che hanno una storia di frattura ossea patologica o altri fattori di rischio per l'osteoporosi o la perdita ossea [vedi AVVERTIMENTOS AND PRECAUZIONI ].
Interazioni farmacologiche
Complesso may interact with many drugs E is not recommended to be coadministered with numerous drugs. Advise patients to repOt to their healthcare provider the use of any other prescription O nonprescription medication O herbal products including St. John's wOt [see Controindicazioni AVVERTIMENTOS AND PRECAUZIONI E Interazioni farmacologiche ].
Per i pazienti che ricevono rifabutina, una compressa di RPV (edurant) aggiuntiva di 25 mg una volta al giorno si raccomanda di essere assunta in concomitanza con Complera e con un pasto per la durata della somministrazione di co -amministrazione della rifabutina.
Acidosi lattica e grave epatomegalia
Informare i pazienti che sono state riportate acidosi lattica e grave epatomegalia con steatosi, compresi i casi fatali. Il trattamento con Complera deve essere sospeso in qualsiasi paziente che sviluppa sintomi clinici che suggerisce acidosi lattica o eponotossicità pronunciata [vedi AVVERTIMENTOS AND PRECAUZIONI ].
Sindrome di ricostituzione immunitaria
Informare i pazienti di informare immediatamente il proprio operatore sanitario di eventuali segni e sintomi di infiammazione da infezioni precedenti che possono verificarsi subito dopo l'inizio del trattamento anti-HIV [vedi AVVERTIMENTOS AND PRECAUZIONI ].
Istruzioni per il dosaggio
Consiglia ai pazienti che è importante prendere Complera con un normale programma di dosaggio con il cibo ed evitare le dosi mancanti. Una bevanda proteica non è un sostituto del cibo. Se il fornitore di assistenza sanitaria decide di interrompere Comprera e il paziente viene cambiato a nuovi medicinali per trattare l'HIV che include le compresse di RPV, le compresse RPV devono essere prese solo con un pasto.
Registro di gravidanza
Informare i pazienti che esiste un registro antiretrovirale di gravidanza per monitorare i risultati fetali in quelli esposti a Complera durante la gravidanza [vedi Utilizzare in popolazioni specifiche ].
Lattazione
Istruire i pazienti con infezione da HIV-1 non allattare perché l'HIV-1 può essere passato al bambino nel latte materno [vedi Utilizzare in popolazioni specifiche ].
Tossicologia non clinica
Mutagenesi della carcinogenesi compromissione della fertilità
Emtricitabina
Negli studi di cancerogenicità a lungo termine di FTC non sono stati riscontrati aumenti legati al droga nell'incidenza del tumore nei topi a dosi fino a 750 mg per kg al giorno (26 volte l'esposizione sistemica umana alla dose terapeutica di 200 mg al giorno) o nei ratti a dosi a dosi a dosi a dosi fino a 600 mg al giorno al giorno (31 volte l'esposizione terapeutica alla dose terapeutica).
La FTC non era genotossica nel test batterico della mutazione inversa (test AMES) o nei test del linfoma del topo o del micronucleo di topo.
La FTC non ha influenzato la fertilità nei ratti maschi a circa 140 volte o nei topi maschi e femmine con esposizioni di circa 60 volte più alte (AUC) rispetto agli esseri umani, data la dose giornaliera di 200 mg raccomandata. La fertilità era normale nella progenie dei topi esposti quotidianamente da prima della nascita (in utero) attraverso la maturità sessuale alle esposizioni quotidiane (AUC) di circa 60 volte superiore rispetto alle esposizioni umane alla dose giornaliera di 200 mg raccomandata.
Rilpivirina
L'RPV è stato valutato per il potenziale cancerogeno mediante somministrazione di gavage orale a topi e ratti fino a 104 settimane. Le dosi giornaliere di 20 60 e 160 mg per kg al giorno sono state somministrate a topi e dosi di 40 200 500 e 1500 mg per kg al giorno sono state somministrate ai ratti. Nei ratti non c'erano neoplasie legate al farmaco. Nei topi RPV era positivo per le neoplasie epatocellulari sia nei maschi che nelle femmine. I risultati epatocellulari osservati nei topi possono essere specifici per i roditori. Ai dosi più basse testate negli studi di cancerogenicità, le esposizioni sistemiche (basate su AUC) a RPV erano di 21 volte (topi) e 3 volte (ratti) rispetto a quelle osservate nell'uomo alla dose raccomandata (25 mg una volta al giorno).
RPV è testato negativo in assenza e presenza di un sistema di attivazione metabolica nel test di mutazione inversa in vitro AMES e al test del linfoma del topo in vitro. L'RPV non ha indotto un danno cromosomico nel test del micronucleo in vivo nei topi.
In uno studio condotto sui ratti non ci sono stati effetti sull'accoppiamento o sulla fertilità con RPV fino a 400 mg per kg al giorno una dose di RPV che mostrava tossicità materna. Questa dose è associata a un'esposizione che è circa 40 volte superiore all'esposizione nell'uomo alla dose raccomandata di 25 mg una volta al giorno.
Tenofovir df
Gli studi di carcinogenicità orale a lungo termine di TDF nei topi e nei ratti sono stati condotti a esposizioni fino a circa 16 volte (topi) e 5 volte (ratti) quelli osservati nell'uomo alla dose terapeutica per l'infezione da HIV-1. All'alta dose nei topi femmine gli adenomi epatici sono stati aumentati alle esposizioni 16 volte quella nell'uomo. Nei ratti lo studio era negativo per i risultati cancerogeni alle esposizioni fino a 5 volte che osservavano nell'uomo alla dose terapeutica.
Tenofovir df was mutagenic in the in vitro mouse lymphoma assay E negative in an in vitro bacterial mutagenicity test (Ames test). In an in vivo mouse micronucleus assay TDF was negative when administered to male mice.
Non ci sono stati effetti sulla prestazione di accoppiamento della fertilità o sullo sviluppo embrionale precoce quando il TDF è stato somministrato ai ratti maschi a una dose equivalente a 10 volte la dose umana in base ai confronti della superficie corporea per 28 giorni prima dell'accoppiamento e ai ratti femmine per 15 giorni prima dell'accoppiamento fino al giorno 7 della gestazione. Vi era tuttavia un'alterazione del ciclo estro nei ratti femmine.
Utilizzare in popolazioni specifiche
Gravidanza
Gravidanza Exposure Registry
Esiste un registro di esposizione alla gravidanza che monitora gli esiti di gravidanza nelle persone esposte a Complera durante la gravidanza. Gli operatori sanitari sono incoraggiati a registrare i pazienti chiamando il registro di gravidanza antiretrovirale (APR) al numero 1-800-258-4263.
Riepilogo del rischio
I dati disponibili dall'APR non mostrano alcun aumento del rischio complessivo di gravi difetti alla nascita con esposizione al primo trimestre per emtricitabina (FTC) Rilpivirina (RPV) o tenofovir (TDF) rispetto al tasso di fondo per i principali difetti alla nascita del 2,7% in una popolazione di riferimento statunitensi del programma di defetti congeniti Metropolitan Atlanta (vedere MacDP) (vedere MacDP) (vedere MacDP) Dati ). In a clinical trial total rilpivirine exposures were generally lower during pregnancy compared to the postpartum period [see Farmacologia clinica ]. The rate of miscarriage fO individual drugs is not repOted in the APR. The estimated background rate of miscarriage in clinically recognized pregnancies in the U.S. general population is 15-20%.
Sulla base dell'esperienza degli individui in gravidanza con infezione da HIV-1 che hanno completato uno studio clinico durante il periodo postpartum con un regime a base di RPV, sono necessari aggiustamenti di dose per i pazienti in gravidanza che sono già su un regime stabile contenente RPV prima della gravidanza e che sono virologicamente soppressi (HIV-1 RNA meno di 50 copie per ml). Durante la gravidanza sono state osservate esposizioni più basse di RPV Dati E Farmacologia clinica ].
Negli studi sugli animali non sono stati osservati effetti avversi sullo sviluppo quando i componenti di Complera sono stati somministrati separatamente durante il periodo di organogenesi alle esposizioni fino a 60 e 120 volte (topi e conigli rispettivamente FTC) e 15 e 70 volte rispettivamente i ratti e i rabi di rabbia). Confronti (vedi Dati ). Likewise no adverse developmental effects were seen when Ftc was administered to mice E RPV was administered to rats through lactation at exposures up to approximately 60 E 63 times respectively the exposure at the recommended daily dose of these components in Complesso. No adverse effects were observed in the offspring of rats when TDF was administered through lactation at tenofovir exposures of approximately 14 times the exposure at the recommended daily dosage of Complesso.
Dati
Dati umani
Le prospettive rapporti dell'APR dei principali difetti alla nascita complessiva nelle gravidanze esposti a componenti di droga di Complera vengono confrontati con un tasso di difetto alla nascita di base degli Stati Uniti. I limiti metodologici dell'APR includono l'uso di MACDP come gruppo di comparatore esterno. I limiti dell'utilizzo di un comparatore esterno includono differenze nella metodologia e nelle popolazioni, nonché confondimento a causa della malattia sottostante.
Emtricitabina
Sulla base di potenziali rapporti all'APR delle esposizioni ai regimi contenenti FTC durante la gravidanza con conseguenti nascite vive (tra cui oltre 2750 esposte nel primo trimestre e oltre 1200 esposti nel secondo/terzo trimestre) non vi è stato aumento dei difetti di nascita complessivamente principali con FTC rispetto al tasso di difetto di nascita di fondo del 2,7% nella popolazione di riferimento degli Stati Uniti del MacDP. La prevalenza dei principali difetti alla nascita nelle nascite vive è stata del 2,4% (IC 95%: dall'1,9% al 3,1%) con l'esposizione al primo trimestre ai regimi contenenti FTC e il 2,3% (IC 95%: 1,5% al 3,3%) con il secondo/terzo trimestre di esposizione al trimestre.
Rilpivirina
L'RPV in combinazione con un regime di fondo è stato valutato in uno studio clinico di 19 soggetti in gravidanza infetti da HIV-1 su un regime a base di RPV durante il secondo e il terzo trimestre e postpartum. Ciascuno dei soggetti era su un regime basato su RPV al momento dell'iscrizione. Dodici soggetti hanno completato il processo durante il periodo postpartum (6-12 settimane dopo il parto) e gli esiti della gravidanza mancano per sei soggetti. L'esposizione (C0H e AUC) di RPV totale era inferiore del 30 al 40% durante la gravidanza rispetto al postpartum (da 6 a 12 settimane). Il legame proteico di RPV era simile (> 99%) durante il secondo trimestre del secondo trimestre e il periodo postpartum [vedi Farmacologia clinica ]. One subject discontinued the trial following fetal death at 25 weeks gestation due to suspected premature rupture of membranes. Among the 12 subjects who were virologically suppressed at baseline (less than 50 copies/mL) virologic response was preserved in 10 subjects (83.3%) through the third trimester visit E in 9 subjects (75%) through the 6-12 week postpartum visit. Virologic outcomes during the third trimester visit were missing fO two subjects who were withdrawn (one subject was nonadherent to the study drug E one subject withdrew consent). Among the 10 infants with available HIV test results all were negative fO HIV-1 at the time of delivery E up to 16 weeks postpartum (all 10 infants received prophylactic treatment with zidovudine). RPV was well tolerated during pregnancy E postpartum. There were no new safety findings compared with the known safety profile of RPV in HIVâ€1-infected adults.
Sulla base di potenziali rapporti all'APR delle esposizioni ai regimi contenenti RPV durante la gravidanza (compresi oltre 290 esposti durante il primo trimestre e oltre 160 esposti nel secondo/terzo trimestre) non vi è stato un aumento significativo del rischio complessivo di gravi difetti alla nascita con RPV rispetto al tasso di difetto di nascita di fondo del 2,7% nella popolazione di riferimento degli Stati Uniti del MacDP. La prevalenza dei principali difetti alla nascita nelle nascite vive è stata dell'1,0% (IC 95%: 0,2% al 2,9%) e 1,2% (IC 95%: 0,2% al 4,4%) dopo l'esposizione del primo e del secondo/terzo trimestre del secondo/terzo trimestre rispettivamente ai regimi contenenti RPV.
Tenofovir df
Sulla base di potenziali rapporti all'APR delle esposizioni ai regimi contenenti TDF durante la gravidanza con conseguenti nascite vive (compresi oltre 3500 esposti nel primo trimestre e oltre 1500 esposti nel secondo/terzo trimestre) non vi è stato aumento del rischio complessivo di gravi difetti alla nascita rispetto al tasso di difetto di nascita di fondo del 2,7% nella popolazione di riferimento degli Stati Uniti del MacDP. La prevalenza dei principali difetti alla nascita nelle nascite vive è stata del 2,3% (IC 95%: dall'1,8% al 2,9%) con l'esposizione al primo trimestre ai regimi contenenti TDF e al 2,2% (IC 95%: 1,6% al 3,1%) con il secondo/terzo trimestre di esposizione al trimestre.
Dati sugli animali
Emtricitabina
La FTC è stata somministrata per via orale a topi in gravidanza (a 0 250 500 o 1000 mg/kg/giorno) e conigli (a 0 100 300 o 1000 mg/kg/giorno) attraverso l'organogenesi (nei giorni di gestazione da 6 a 15 e da 7 a 19 rispettivamente). Non sono stati osservati effetti tossicologici significativi negli studi di tossicità embrionale condotti con FTC nei topi alle esposizioni (AUC) circa 60 volte più alte e nei conigli circa 120 volte più alti rispetto alle esposizioni umane alla dose giornaliera raccomandata. In uno studio di sviluppo pre/postnatale nei topi FTC è stato somministrato per via orale a dosi fino a 1000 mg/kg/giorno; Non sono stati osservati effetti avversi significativi direttamente correlati al farmaco nella prole esposta quotidianamente da prima della nascita (in utero) attraverso la maturità sessuale alle esposizioni quotidiane â
Rilpivirina
L'RPV è stato somministrato per via orale a ratti in gravidanza (40 120 o 400 mg/kg/giorno) e conigli (5 10 o 20 mg/kg/giorno) attraverso l'organogenesi (rispettivamente nei giorni di gestazione da 6 a 17 e 6 a 19). Non sono stati osservati effetti tossicologici significativi negli studi di tossicità embrionale condotti con RPV in ratti e conigli alle esposizioni 15 (ratti) e 70 (conigli) tempi superiori all'esposizione nell'uomo alla dose raccomandata di 25 mg una volta al giorno. In uno studio di sviluppo pre/postnatale con RPV in cui i ratti sono stati somministrati fino a 400 mg/kg/giorno attraverso l'allattamento non sono stati rilevati effetti avversi significativi direttamente correlati al farmaco nella prole.
Tenofovir df
Il TDF è stato somministrato per via orale ai ratti in gravidanza (a 0 50 150 o 450 mg/kg/giorno) e conigli (a 0 30 100 100 o 300 mg/kg/giorno) attraverso l'organogenesi (rispettivamente nei giorni di gestazione da 7 a 17 e 6 a 18). Non sono stati osservati effetti tossicologici significativi negli studi di tossicità embrionale condotti con TDF nei ratti a dosi fino a 14 volte la dose umana in base ai confronti della superficie corporea e nei conigli a dosi fino a 19 volte la dose umana in base ai confronti della superficie corporea. In uno studio di sviluppo pre/postnatale nei ratti TDF è stato somministrato per via orale attraverso l'allattamento a dosi fino a 600 mg/kg/giorno; Non sono stati osservati effetti avversi nella prole alle esposizioni di tenofovir di circa 2,7 volte superiore alle esposizioni umane alla dose giornaliera raccomandata di Complera.
Lattazione
Riepilogo del rischio
I Centri per il controllo e la prevenzione delle malattie raccomandano che le madri infette da HIV non allattano i bambini per evitare di rischiare la trasmissione postnatale dell'HIV.
Sulla base dei dati pubblicati FTC e Tenofovir hanno dimostrato di essere presenti nel latte umano. Non ci sono dati sulla presenza di RPV nel latte umano. RPV ha dimostrato di essere presente nel latte di ratto (vedi Dati ).
Non è noto se i componenti di Complera influenzano la produzione di latte o hanno effetti sul bambino allattato al seno. A causa del potenziale per: (1) trasmissione dell'HIV (nei neonati HIV-negativi); (2) sviluppo di resistenza virale (nei neonati sieropositivi); e (3) reazioni avverse in un bambino allattato al seno simile a quelli osservati negli adulti indicano alle madri di non allattare se ricevono complimenti.
Dati
Rilpivirina
Negli animali non sono stati condotti studi per valutare direttamente l'escrezione di RPV; Tuttavia, RPV è stato misurato nei cuccioli di ratto che sono stati esposti attraverso il latte delle dighe trattate (dose fino a 400 mg/kg/giorno).
Uso pediatrico
La sicurezza e l'efficacia di Complera come regime completo per il trattamento dell'infezione da HIV-1 è stata stabilita in soggetti pediatrici di età pari o superiore a 12 anni con peso corporeo maggiore o uguale a 35 kg [vedi Dosaggio e amministrazione ]. Use of Complesso in this age group weighing at least 35 kg is suppOted by adequate E well-controlled studies of RPV+Ftc+TDF in adults with HIV-1 infection as well as data from pediatric studies of the individual components of Complesso (RPV Ftc E TDF) [see Farmacologia clinica E Studi clinici ].
Complesso should only be administered to pediatric patients with a body weight greater than O equal to 35 kg. Because Complesso is a fixed-dose combination tablet the dose of Complesso cannot be adjusted fO patients of lower weight. Safety E effectiveness fO Complesso have not been established in pediatric patients weighing less than 35 kg [see Reazioni avverse E Farmacologia clinica ].
Uso geriatrico
Studi clinici su RPV FTC o TDF non includevano un numero sufficiente di soggetti di età pari o superiore a 65 anni per determinare se rispondono in modo diverso dai soggetti più giovani. In generale la selezione della dose per i pazienti anziani dovrebbe essere cauta tenendo presente la maggiore frequenza della ridotta funzione renale e cardiaca epatica e di malattia concomitante o altra terapia farmacologica [vedi Farmacologia clinica ].
Effetti collaterali di synthroid e perdita di capelli
Compromissione renale
Poiché la complimento è una combinazione a dose fissa e non può essere regolata dalla dose, non è raccomandato in pazienti con compromissione renale moderata grave o allo stadio terminale (spazio di creatinina stimato inferiore a 50 ml al minuto) o che richiedono dialisi [vedi AVVERTIMENTOS AND PRECAUZIONI E Farmacologia clinica ].
Compromissione epatica
Non è richiesto alcun adeguamento della dose di Complera nei pazienti con compromissione epatica lieve (bambino-pugh di classe A) o moderata (classe-pugh di classe B). Complera non è stata studiata in pazienti con grave compromissione epatica (Classe Ch Child-Pugh) [vedi Farmacologia clinica ].
Informazioni per overdose per Complera
Se si verifica un overdose, il paziente deve essere monitorato per evidenza di tossicità. Il trattamento del sovradosaggio con Complera è costituito da misure di supporto generali tra cui il monitoraggio di segni vitali e l'ECG (intervallo di QT), nonché l'osservazione dello stato clinico del paziente.
Emtricitabina
Il trattamento con emodialisi rimuove circa il 30% della dose di FTC per un periodo di dialisi di 3 ore a partire da 1,5 ore dal dosaggio FTC (portata del sangue di 400 ml al minuto e una portata dializzata di 600 ml al minuto). Non è noto se FTC possa essere rimosso dalla dialisi peritoneale.
Rilpivirina
Non esiste un antidoto specifico per il sovradosaggio con RPV. L'esperienza umana del sovradosaggio con RPV è limitata. Poiché l'RPV è altamente legato alla dialisi proteica plasmatica, è improbabile che comporti una significativa rimozione di RPV.
Tenofovir df
Il tenofovir viene rimosso in modo efficiente dall'emodialisi con un coefficiente di estrazione di circa il 54%. A seguito di una singola dose di 300 mg di TDF una sessione di emodialisi di 4 ore ha rimosso circa il 10% della dose di tenofovir somministrata.
Controindicazioni per Complera
Complesso is contraindicated when coadministered with the following drugs; coadministration may result in loss of virologic response E possible resistance to Complesso O to the class of NNRTIs [see AVVERTIMENTOS AND PRECAUZIONI Interazioni farmacologiche E Farmacologia clinica ]:
- Anticonvulsiranti: carbamazepina oxcarbazepina fenobarbital phable
- Antimycobacteriali: Rifampin Rifapentine
- Glucocorticoide (sistemico): dexamethasone (mOe than a single-dose)
- Prodotti a base di erbe: St John’s wOt (Hypericum perforatum)
- Inibitori della pompa protonica: ad es. Dexlansoprazolo esomeprazolo Lansoprazolo omeprazolo pantoprazolo rabeprazole
Farmacologia clinica fO Complera
Meccanismo d'azione
Complesso is a fixed-dose combination of the antiretroviral drugs Ftc RPV E TDF [see Microbiologia ].
Farmacodinamica
Effetti sull'elettrocardiogramma
L'effetto dell'RPV alla dose raccomandata di 25 mg una volta al giorno sull'intervallo QTCF è stato valutato in uno studio di crossover controllato a placebo e attivo-attivo e attivo (moxifloxacina una volta al giorno) in 60 adulti sani con 13 misurazioni in 24 ore a stato stazionario. Le differenze massime del tempo di confidenza superiore al tempo (limite di confidenza superiore al 95%) nell'intervallo di QTCF dal placebo dopo la correzione basale erano 2,0 (NULL,0) millisecondi (cioè al di sotto della soglia della preoccupazione clinica).
Quando dosi di 75 mg una volta al giorno e 300 mg una volta al giorno di RPV (3 volte e 12 volte la dose in Complera) sono state studiate in adulti sani le differenze di massima a tempo massimo (95% di confidenza superiore) nell'intervallo di QTCF dal placebo dopo la correzione del basale erano rispettivamente 10,7 (NULL,3) e 23,3 (28.4). La somministrazione di stato stazionario di RPV 75 mg una volta al giorno e 300 mg una volta al giorno ha provocato un CMAX stazionario medio circa 2,6 volte e 6,7 volte più alto della cMAX media osservata con la dose raccomandata di 25 mg una volta giornaliera di RPV [vedi AVVERTIMENTOS AND PRECAUZIONI ].
Farmacocinetica
Complesso
In condizioni di alimentazione (il contenuto totale di calorie del pasto era di circa 400 kcal con circa 13 grammi di grassi) RPV FTC e le esposizioni di tenofovir erano simili quando si confrontavano la Complice con le capsule di Emtriva (200 mg) più compresse di edurant (25 mg) più compresse di viread (300 mg) seguendo la somministrazione a dose singola a soggetti sani (n = 34).
La somministrazione a dose singola di compresse di Complera a soggetti sani in condizioni a digiuno ha fornito un'esposizione più alta del 25% di RPV rispetto alla somministrazione di capsule di emtriva (200 mg) più compresse di eduranti (25 mg) più compresse Viread (300 mg) mentre le esposizioni di FTC e tenofovir erano comparabili (n = 15).
Metabolismo e escrezione di distribuzione dell'assorbimento
Le proprietà farmacocinetiche dei componenti di Complera sono fornite nella Tabella 5. I parametri PK di RPV FTC e tenofovir sono forniti nella Tabella 6.
Tabella 5: Proprietà farmacocinetiche dei componenti di Complera
| RPV | Ftc | Tenofovir | |
| Assorbimento | |||
| TMAX (H) | 4-5 | 1-2 | 1 |
| % Biodisponibilità orale a digiuno a | Nc | 93 | 25 f |
| Effetto di un pasto leggero (relativo al digiuno) b | ↑ 9% | ↔ | ↑ 28% |
| Effetto di un pasto standard (rispetto al digiuno) b | ↑ 16% | ↔ | ↑ 38% |
| Distribuzione | |||
| % Legata alle proteine del plasma umano | ~ 99 | <4 | <0.7 |
| Fonte di dati di legame proteico | In vitro | In vitro | In vitro |
| Metabolismo | |||
| Metabolismo | CYP3A | Non significativamente metabolizzato | |
| Eliminazione | |||
| Principale percorso di eliminazione | Metabolismo | Filtrazione glomerulare e secrezione tubulare attiva | |
| Clrenale c (ml/min) | Nc | 213 89 | 243 33 |
| t½ (h) d | 50 | 10 | 17 |
| % Della dose escreta nelle urine e | 6 | 86 | 70-80 |
| % Della dose escreta nelle feci e | 85 | ~ 14 | Nc |
| Nc=Not Calculated a Mediano b I valori si riferiscono alla variazione % in base al rapporto medio geometrico calcolato [Fed/Fasted] in AUC. Pasto leggero Compera = 390 kcal 12 g di grasso; Pasto standard di Complera = 540 kcal 21 g di grasso. Pasto ad alto contenuto di grassi non valutato. Aumento = ↑; Diminuire = ↓; Nessun effetto = ↔ c Significare ± SD d I valori T½ si riferiscono all'emivita plasmatica terminale mediana. e Dosaggio negli studi di bilanciamento di massa: FTC (somministrazione a dose singola di [14C] FTC dopo dosaggio multiplo di FTC per 10 giorni); RPV (somministrazione a dose singola di [14C] RPV); Studio sull'equilibrio di massa non condotto per tenofovir. f Biodisponibilità orale di tenofovir da Viread. |
Tabella 6: Parametri farmacocinetici per RPV FTC e tenofovir negli adulti infetti da HIV
| Parametro media ± DS | RPV a | Ftc b | Tenofovir c |
| CMAX (μg/ml) | N / a | 1,80 0,72 d | 0,30 0,09 |
| AUTAU (μg • HR/mL) | 2,24 0,85 d | 10.0 3.12 d | 2,29 0.69 e |
| C0H (μg/ml) | 0,08 0,04 d | 0,09 0,07 d | N / a |
| N / a=Not Applicable; SD=StEard Deviation a Popolazione PK Stime di RPV 25 mg una volta al giorno in TRATTAMENTO ANTIRETROVIRALE-Naã¯Ve soggetti adulti infetti da HIV-1 (dati pool di studi di fase 3 fino alla settimana 96; n = 679) b Somministrazione orale a dose multipla di FTC 200 mg a soggetti con infezione da HIV-1 (n = 20) c Singola dose da 300 mg di TDF a soggetti con infezione da HIV-1 nello stato a digiuno d Dati presented as steady state values e AUC0-24H |
Popolazioni specifiche
Pazienti geriatrici
La farmacocinetica di FTC RPV e Tenofovir non è stata completamente valutata negli anziani (65 anni in più) [vedi Utilizzare in popolazioni specifiche ].
Pazienti pediatrici
Le prove pediatriche non sono state condotte utilizzando compresse Compera. Le informazioni pediatriche si basano su studi condotti con i singoli componenti di Complera [vedi Utilizzare in popolazioni specifiche ].
Emtricitabina
La farmacocinetica di FTC allo stato stazionario è stata determinata in 27 soggetti pediatrici infetti da HIV-1 da 13 a 17 anni di età che ricevono una dose giornaliera di 6 mg/kg fino a una dose massima di soluzione orale di 240 mg o una capsula da 200 mg; 26 di 27 soggetti in questa fascia di età hanno ricevuto la capsula FTC da 200 mg. CMAX e AUC medi (± SD) erano 2,7 ± 0,9 μg/mL e 12,6 ± 5,4 μg - rispettivamente. Le esposizioni raggiunte nei soggetti pediatrici da 12 a meno di 18 anni erano simili a quelle raggiunte negli adulti che ricevevano una dose una volta giornaliera di 200 mg.
Rilpivirina
La farmacocinetica dell'RPV in soggetti pediatrici infetti da Treatment-Naã¯ve antiretrovirali-Naãpe-HIV-1 da 12 a meno di 18 anni di età ricevendo RPV 25 mg una volta al giorno erano paragonabili a quelli negli adulti con infezione da HIV-1 del trattamento che ricevevano adulti infetti da HIV-1 che ricevevano RPV 25 mg una volta al giorno (vedi Tabella 7). Non vi è stato alcun impatto clinicamente significativo del peso corporeo sulla farmacocinetica RPV nei soggetti pediatrici nello studio C213 (da 33 a 93 kg).
Tabella 7: stime farmacocinetiche di popolazione di RPV 25 mg una volta al giorno in terapia antiretrovirale-Naã¯ve soggetti pediatrici infetti da HIV-1 di età compresa tra 12 e 18 anni (dati della fase 2 fino alla settimana 48)
| Parametro | RPV 25 mg una volta al giorno N = 34 |
| AUC24H (NG • H/ML) | |
| Significare ± StEard Deviation | 2424 ± 1024 |
| Mediano (Range) | 2269 (417-5166) |
| C0H (NG/ML) | |
| Significare ± StEard Deviation | 85 ± 40 |
| Mediano (Range) | 79 (7-202) |
Tenofovir df
La farmacocinetica a stato stazionario di tenofovir è stata valutata in 8 soggetti pediatrici infetti da HIV-1 (da 12 a meno di 18 anni). La media (± SD) CMAX e Auctau sono rispettivamente 0,38 ± 0,13 μg/mL e 3,39 ± 1,22 μg - hr/ml. L'esposizione a tenofovir raggiunta in questi soggetti pediatrici che ricevevano dosi giornaliere orali di TDF 300 mg era simile alle esposizioni raggiunte negli adulti che ricevono dosi una volta al giorno di TDF 300 mg.
Genere
Non sono state osservate differenze farmacocinetiche clinicamente rilevanti in base al genere per FTC RPV e TDF.
Gara
Emtricitabina
Non sono state identificate differenze farmacocinetiche dovute alla razza in seguito alla somministrazione di FTC.
Rilpivirina
L'analisi farmacocinetica della popolazione di RPV nei soggetti infetti da HIV-1 ha indicato che la razza non ha avuto alcun effetto clinicamente rilevante sull'esposizione al RPV.
Tenofovir df
C'erano numeri sufficienti da gruppi razziali ed etnici diversi dal caucasico per determinare adeguatamente potenziali differenze farmacocinetiche tra queste popolazioni a seguito della somministrazione di TDF.
Pazienti con compromissione renale
Emtricitabina And Tenofovir df
La farmacocinetica di FTC e TDF è alterata in soggetti con compromissione renale. Nei soggetti con clearance della creatinina al di sotto di 50 ml al minuto o con la malattia renale allo stadio finale che richiede la dialisi CMAX e l'AUC di FTC e tenofovir sono aumentate [vedi AVVERTIMENTOS AND PRECAUZIONI E Utilizzare in popolazioni specifiche ].
Rilpivirina
L'analisi farmacocinetica della popolazione ha indicato che l'esposizione all'RPV era simile nei soggetti infetti da HIV-1 con lieve compromissione renale rispetto ai soggetti infetti da HIV-1 con normale funzione renale. Vi sono informazioni limitate o nessuna riguardante la farmacocinetica dell'RPV in pazienti con compromissione renale moderata o grave o nei pazienti con malattia renale allo stadio terminale e le concentrazioni di RPV possono essere aumentate a causa dell'alterazione della distribuzione dell'assorbimento dei farmaci e del metabolismo secondario alla disfunzione renale [vedi Utilizzare in popolazioni specifiche ].
Pazienti con compromissione epatica
Emtricitabina
La farmacocinetica di FTC non è stata studiata in soggetti con compromissione epatica; Tuttavia, FTC non è significativamente metabolizzato dagli enzimi epatici, quindi l'impatto della compromissione del fegato dovrebbe essere limitato.
Rilpivirina
RPV is primarily metabolized E eliminated by the liver. In a study comparing 8 subjects with mild hepatic impairment (Child-Pugh scOe A) to 8 matched controls E 8 subjects with moderate hepatic impairment (Child-Pugh scOe B) to 8 matched controls the multiple dose exposure of RPV was 47% higher in subjects with mild hepatic impairment E 5% higher in subjects with moderate hepatic impairment. RPV has not been studied in subjects with severe hepatic impairment (Child-Pugh scOe C) [see Utilizzare in popolazioni specifiche ].
Tenofovir df
La farmacocinetica del tenofovir a seguito di una dose di 300 mg di TDF è stata studiata in soggetti non infetti da HIV con compromissione epatica da moderata a grave. Non ci sono state alterazioni sostanziali nella farmacocinetica tenofovir in soggetti con compromissione epatica rispetto ai soggetti intatti.
Coinfezione del virus dell'epatite B e/o epatite C
La farmacocinetica di FTC e TDF non è stata completamente valutata in pazienti con virus dell'epatite B e/o C. L'analisi farmacocinetica della popolazione ha indicato che la coinfezione da virus dell'epatite B e/o C non ha avuto alcun effetto clinicamente rilevante sull'esposizione al RPV.
Gravidanza And Postpartum
L'esposizione (C0H e AUC24H) a RPV totale dopo l'assunzione di RPV 25 mg una volta al giorno come parte di un regime antiretrovirale era inferiore del 30 al 40% durante la gravidanza (simile per il secondo e il terzo trimestre) rispetto al postpartum (vedi Tabella 8). Tuttavia, l'esposizione durante la gravidanza non era significativamente diversa dalle esposizioni ottenute negli studi di fase 3 dei regimi contenenti RPV. Sulla base della relazione di esposizione-risposta per RPV, questa diminuzione non è considerata clinicamente rilevante nei pazienti che sono virologicamente soppressi. Il legame proteico di RPV era simile (> 99%) durante il secondo trimestre di trimestre e postpartum.
Tabella 8: risultati farmacocinetici di RPV totale dopo la somministrazione di RPV 25 mg una volta al giorno come parte di un regime antiretrovirale durante il 2 ° trimestre di gravidanza il 3 ° trimestre di gravidanza e postpartum
| Farmacocinetica of total RPV (mean ±SD tmax: median [range]) | Postpartum (6-12 settimane) (n = 11) | 2 ° trimestre di gravidanza (n = 15) | 3 ° trimestre di gravidanza (n = 13) |
| C0H NG/ML | 111 ± 69,2 | 65,0 ± 23,9 | 63,5 ± 26,2 |
| Cmin ng/ml | 84,0 ± 58,8 | 54,3 ± 25,8 | 52,9 ± 24,4 |
| Cmax ng/ml | 167 ± 101 | 121 ± 45,9 | 123 ± 47,5 |
| tmax h | 4.00 (2.03-25.08) | 4.00 (1.00-9.00) | 4.00 (2.00-24.93) |
| AUC24H Ng • H/mL | 2714 ± 1535 | 1792 ± 711 | 1762 ± 662 |
Studi sull'interazione farmacologica
Rilpivirina
RPV is primarily metabolized by cytochrome CYP3A E drugs that induce O inhibit CYP3A may thus affect the clearance of RPV. Coadministration of Complesso E drugs that induce CYP3A may result in decreased plasma concentrations of RPV E loss of virologic response E possible resistance. Coadministration of Complesso E drugs that inhibit CYP3A may result in increased plasma concentrations of RPV. Coadministration of Complesso with drugs that increase gastric pH may result in decreased plasma concentrations of RPV E loss of virologic response E possible resistance to RPV E to the class of NNRTIs.
RPV at a dose of 25 mg una volta al giorno is not likely to have a clinically relevant effect on the exposure of medicinal products metabolized by CYP enzymes.
Emtricitabina And Tenofovir df
In vitro E clinical pharmacokinetic drug-drug interaction studies have shown that the potential fO CYP-mediated interactions involving Ftc E tenofovir with other medicinal products is low.
Ftc E tenofovir are primarily excreted by the kidneys by a combination of glomerular filtration E active tubular secretion. No drug-drug interactions due to competition fO renal excretion have been observed; however coadministration of Ftc E TDF with drugs that are eliminated by active tubular secretion may increase concentrations of Ftc tenofovir E/O the coadministered drug [see Interazioni farmacologiche ].
I farmaci che riducono la funzione renale possono aumentare le concentrazioni di FTC e/o tenofovir.
Gli studi di interazione farmacologica descritti nelle tabelle 9-14 sono stati condotti con Complera (RPV/FTC/TDF) o i componenti di Complera (RPV FTC o TDF) somministrati individualmente.
Gli effetti della somministrazione di co -somministrazione di altri farmaci sui valori AUC CMAX e CMIN di RPV FTC e TDF sono riassunti rispettivamente nelle tabelle 9 10 e 11. L'effetto della somministrazione di co -co -RPV FTC e TDF sui valori AUC CMAX e CMIN di altri farmaci sono riassunti rispettivamente nelle tabelle 12 13 e 14. Per informazioni sulle raccomandazioni cliniche, consultare Interazioni farmacologiche .
Tabella 9: interazioni farmacologiche: cambiamenti nei parametri farmacocinetici per RPV in presenza dei farmaci amministrati
| Droga somministrato in co -amministrazione | Dose di farmaco somministrato co -amministrato (MG) | RPV Dose (mg) | N a | Significare % Change of RPV Pharmacokinetic Parametros b (90% CI) | ||
| Cmax | AUC | Cmin | ||||
| Acetaminofene | 500 dose singola | 150 una volta al giorno c | 16 | ↑ 9 (Da ↑ da 1 a ↑ 18) | ↑ 16 (↑ da 10 a ↑ 22) | ↑ 26 (Da ↑ da 16 a ↑ 38) |
| Atorvastatina | 40 una volta al giorno | 150 una volta al giorno c | 16 | ↓ 9 (↓ da 21 a ↑ 6) | ↓ 10 (↓ 19 a ↓ 1) | ↓ 10 (↓ da 16 a ↓ 4) |
| Clorzoxazone | 500 dose singola taken 2 hours after RPV | 150 una volta al giorno c | 16 | ↑ 17 (↑ 8 a ↑ 27) | ↑ 25 (↑ da 16 a ↑ 35) | ↑ 18 (Da ↑ da 9 a ↑ 28) |
| Etinil estradiolo/ norethindrone | 0,035 una volta al giorno/1 una volta al giorno | 25 una volta al giorno | 16 | ↔ d | ↔ d | ↔ d |
| Famotidina | 40 dose singola presa 12 ore prima del RPV | 150 dose singola c | 24 | ↓ 1 (↓ da 16 a ↑ 16) | ↓ 9 (↓ da 22 a ↑ 7) | N / a |
| 40 dose singola presa 2 ore prima del RPV | 150 dose singola c | 23 | ↓ 85 (↓ 88 a ↓ 81) | ↓ 76 (↓ 80 a ↓ 72) | N / a | |
| 40 dose singola presa 4 ore dopo il RPV | 150 dose singola c | 24 | ↑ 21 (Da ↑ da 6 a ↑ 39) | ↑ 13 (Da ↑ da 1 a ↑ 27) | N / a | |
| Ketoconazolo | 400 una volta al giorno | 150 una volta al giorno c | 15 | ↑ 30 (Da ↑ 13 a ↑ 48) | ↑ 49 (Da ↑ 31 a ↑ 70) | ↑ 76 (↑ da 57 a ↑ 97) |
| Ledipasvir/ sofosbuvir | 90/400 una volta al giorno | 25 una volta al giorno d | 14 | ↓ 3 (↓ da 12 a ↑ 7) | ↑ 2 (↓ da 6 a ↑ 11) | ↑ 12 (Da ↑ da 3 a ↑ 21) |
| Metadone | 60-100 una volta una dose individualizzata al giorno | 25 una volta al giorno | 12 | ↔ e | ↔ e | ↔ e |
| Omeprazolo | 20 una volta al giorno | 150 una volta al giorno c | 16 | ↓ 40 (↓ da 52 a ↓ 27) | ↓ 40 (↓ da 49 a ↓ 29) | ↓ 33 (↓ da 42 a ↓ 22) |
| Rifabutin | 300 una volta al giorno | 25 una volta al giorno | 18 | ↓ 31 (↓ da 38 a ↓ 24) | ↓ 42 (↓ da 48 a ↓ 35) | ↓ 48 (↓ da 54 a ↓ 41) |
| 300 una volta al giorno | 50 una volta al giorno | 18 | ↑ 43 (↑ 30 a ↑ 56) f | ↑ 16 (Da ↑ da 6 a ↑ 26) f | ↓ 7 (↓ 15 a ↑ 1) f | |
| Rifampin | 600 una volta al giorno | 150 una volta al giorno c | 16 | ↓ 69 (↓ 73 a ↓ 64) | ↓ 80 (↓ da 82 a ↓ 77) | ↓ 89 (↓ da 90 a ↓ 87) |
| Simeprevir | 25 una volta al giorno | 150 una volta al giorno | 23 | ↑ 4 (↓ da 5 a ↑ 13) | ↑ 12 (↑ da 5 a ↑ 19) | ↑ 25 (↑ da 16 a ↑ 35) |
| Sildenafil | 50 dose singola | 75 una volta al giorno | 16 | ↓ 8 (↓ 15 a ↓ 1) | ↓ 2 (↓ 8 a ↑ 5) | ↑ 4 (↓ da 2 a ↑ 9) |
| Sofosbuvir/ Velpatasvir | 400/100 una volta al giorno | 25 una volta al giorno g | 24 | ↓ 7 (↓ da 12 a ↓ 2) | ↓ 5 (↓ da 10 a 0) | ↓ 4 (↓ da 10 a ↑ 3) |
| Sofosbuvir/ Velpatasvir/ Voxilaprevir h | 400/100/100 100 Voxilaprevir i una volta al giorno | 25 una volta al giorno | 30 | ↓ 21 (↓ 26 a ↓ 16) | ↓ 20 (↓ 24 a ↓ 15) | ↓ 18 (↓ 23 a ↓ 13) |
| TDF | 300 una volta al giorno | 150 una volta al giorno c | 16 | ↓ 4 (↓ da 19 a ↑ 13) | ↑ 1 (↓ da 13 a ↑ 18) | ↓ 1 (↓ da 17 a ↑ 16) |
| N / a=not available a N = numero massimo di soggetti per CMAX AUC o CMIN b Aumento = ↑; Diminuire = ↓; Nessun effetto = ↔ c Lo studio di interazione è stato condotto con una dose superiore alla dose raccomandata per RPV (25 mg una volta al giorno) valutando l'effetto massimo sul farmaco somministrato in co -co -cofano. d Studio condotto con Complera (RPV/FTC/TDF) MONIDERATO con Harvoni â e Confronto basato su controlli storici. f Il braccio di riferimento per il confronto è stato di 25 mg Q.D. RPV somministrato da solo. g Studio condotto con Complera con co -amministrazione con EPCLUSA (Sofosbuvir/Velpatasvir). h Studio condotto con OdeFsey® (FTC/RPV/tenofovir alafenamide). i Studio condotto con ulteriori voxilaprevir 100 mg per ottenere esposizioni di voxilaprevir previste nei pazienti con infezione da HCV. |
Tabella 10: interazioni farmacologiche: cambiamenti nei parametri farmacocinetici per FTC in presenza dei farmaci amministrati
| Droga somministrato in co -amministrazione | Dose di farmaco somministrato co -amministrato (MG) | Ftc Dose (mg) | N a | Significare % Change of Ftc Pharmacokinetic Parametros b (90% CI) | ||
| Cmax | AUC | Cmin | ||||
| Famciclovir | 500 x 1 | 200 x 1 | 12 | ↔ | ↔ | N / a |
| Ledipasvir/ sofosbuvir | 90/400 una volta al giorno | 200 una volta al giorno c | 15 | ↑ 2 (↓ da 2 a ↑ 6) | ↑ 5 (Da ↑ da 2 a ↑ 8) | ↑ 6 (↓ da 3 a ↑ 15) |
| Sofosbuvir/ Velpatasvir | 400/100 una volta al giorno | 200 una volta al giorno d | 24 | ↓ 5 (↓ da 10 a 0) | ↓ 1 (↓ da 3 a ↑ 2) | ↑ 5 (↓ 1 a ↑ 11) |
| Sofosbuvir/ Velpatasvir/ Voxilaprevir | 400/100/100 Voxilaprevir e 100 una volta al giorno | 200 una volta al giorno f | 30 | ↓ 12 (↓ da 17 a ↓ 7) | ↓ 7 (↓ da 10 a ↓ 4) | ↑ 7 (Da ↑ da 1 a ↑ 14) |
| TDF | 300 una volta al giorno x 7 days | 200 una volta al giorno x 7 days | 17 | ↔ | ↔ | ↑ 20 (Da ↑ da 12 a ↑ 29) |
| N / a=not available a N = numero massimo di soggetti per CMAX AUC o CMIN b Aumento = ↑; Diminuire = ↓; Nessun effetto = ↔ c Studio condotto con Complera conduttore con Harvoni. d Studio condotto con Complera Controd con EPCLUSA. e Studio condotto con ulteriori voxilaprevir 100 mg per ottenere esposizioni di voxilaprevir previste nei pazienti con infezione da HCV. f Studio condotto con OdeFsey (FTC/RPV/Tenofovir alafenamide). |
Tabella 11: interazioni farmacologiche: cambiamenti nei parametri farmacocinetici per tenofovir in presenza dei farmaci amministrati
| Droga somministrato in co -amministrazione | Dose di farmaco somministrato co -amministrato (MG) | TDF Dose (mg) a | N b | Significare % Change of Tenofovir Pharmacokinetic Parametros c (90% CI) | ||
| Cmax | AUC | Cmin | ||||
| Entecavir | 1 una volta al giorno x 10 giorni | 300 una volta al giorno | ↔ | ↔ | ↔ | |
| Emtricitabina | 200 una volta al giorno x 7 days | 300 una volta al giorno x 7 days | 17 | ↔ | ↔ | ↔ |
| Ledipasvir/ sofosbuvir | 90/400 una volta al giorno x 10 days | 300 una volta al giorno d | 14 | ↑ 32 (↑ da 25 a ↑ 39) | ↑ 40 (Da ↑ 31 a ↑ 50) | ↑ 91 (Da ↑ da 74 a ↑ 110) |
| Sofosbuvir/ Velpatasvir | 400/100 una volta al giorno | 300 una volta al giorno | 24 | ↑ 44 (Da ↑ da 33 a ↑ 55) | ↑ 40 (Da ↑ da 34 a ↑ 46) | ↑ 84 (↑ da 76 a ↑ 92) |
| Tacrolimus | 0,05 mg/kg due volte al giorno x 7 giorni | 300 una volta al giorno e | 21 | ↑ 13 (Da ↑ da 1 a ↑ 27) | ↔ | ↔ |
| N / a=not available a I soggetti hanno ricevuto viread 300 mg al giorno. b N = numero massimo di soggetti per CMAX AUC o CMIN c Aumento = ↑; Diminuire = ↓; Nessun effetto = ↔ d Studio condotto con Complera conduttore con Harvoni. e Studio condotto con Complera Controd con EPCLUSA. |
Tabella 12: interazioni farmacologiche: cambiamenti nei parametri farmacocinetici per i farmaci amministrati in co -co -presenza in presenza di RPV
| Droga somministrato in co -amministrazione | Dose di farmaco somministrato co -amministrato (MG) | RPV Dose (mg) | N a | Significare % Change of Droga somministrato in co -amministrazione Pharmacokinetic Parametros b (90% CI) | ||
| Cmax | AUC | Cmin | ||||
| Acetaminofene | 500 dose singola | 150 una volta al giorno c | 16 | ↓ 3 (↓ da 14 a ↑ 10) | ↓ 8 (↓ 15 a ↓ 1) | N / a |
| Atorvastatina | 40 una volta al giorno | 150 una volta al giorno c | 16 | ↑ 35 (↑ 8 a ↑ 68) | ↑ 4 (↓ da 3 a ↑ 12) | ↓ 15 (↓ 31 a ↑ 3) |
| 2-idrossi-ATORVAS TATIN | 16 | ↑ 58 (Da ↑ da 33 a ↑ 87) | ↑ 39 (Da ↑ 29 a ↑ 50) | ↑ 32 (↑ da 10 a ↑ 58) | ||
| 4-idrossi-ATORVAS TATIN | 16 | ↑ 28 (↑ 15 a ↑ 43) | ↑ 23 (↑ 13 a ↑ 33) | N / a | ||
| Clorzoxazone | 500 dose singola taken 2 hours after RPV | 150 una volta al giornoc | 16 | ↓ 2 (↓ da 15 a ↑ 13) | ↑ 3 (↓ da 5 a ↑ 13) | N / a |
| Digossina | 0,5 dose singola | 25 una volta al giorno | 22 | ↑ 6 (↓ da 3 a ↑ 17) | ↓ 2 (↓ da 7 a ↑ 4) | N / a |
| Etinil estradiolo | 0,035 una volta al giorno | 25 una volta al giorno | 17 | ↑ 17 (Da ↑ da 6 a ↑ 30) | ↑ 14 (↑ da 10 a ↑ 19) | ↑ 9 (Da ↑ da 3 a ↑ 16) |
| Noretintrone | 1 mg una volta al giorno | ↓ 6 (↓ da 17 a ↑ 6) | ↓ 11 (↓ da 16 a ↓ 6) | ↓ 1 (↓ da 10 a ↑ 8) | ||
| Ketoconazolo | 400 una volta al giorno | 150 una volta al giornoc | 14 | ↓ 15 (↓ 20 a ↓ 10) | ↓ 24 (↓ 30 a ↓ 18) | ↓ 66 (↓ 75 a ↓ 54) |
| Ledipasvir | 90 una volta al giorno | 25 una volta al giorno | 41 | ↑ 1 (↓ da 3 a ↑ 5) | ↑ 2 (↓ da 3 a ↑ 6) | ↑ 2 (↓ da 2 a ↑ 7) |
| R (-) metadone | 60-100 una volta una dose individualizzata al giorno | 25 una volta al giorno | 13 | ↓ 14 (↓ 22 a ↓ 5) | ↓ 16 (↓ 26 a ↓ 5) | ↓ 22 (↓ da 33 a ↓ 9) |
| S () metadone | 13 | ↓ 13 (↓ 22 a ↓ 3) | ↓ 16 (↓ 26 a ↓ 4) | ↓ 21 (↓ da 33 a ↓ 8) | ||
| Metformina | 850 dose singola | 25 una volta al giorno | 20 | ↑ 2 (↓ da 5 a ↑ 10) | ↓ 3 (↓ da 10 a ↑ 6) | N / a |
| Omeprazolo | 20 una volta al giorno | 150 una volta al giorno c | 15 | ↓ 14 (↓ da 32 a ↑ 9) | ↓ 14 (↓ 24 a ↓ 3) | N / a |
| Rifampin | 600 una volta al giorno | 150 una volta al giorno c | 16 | ↑ 2 (↓ da 7 a ↑ 12) | ↓ 1 (↓ 8 a ↑ 7) | N / a |
| Pin a 25-desacetilrifam | 16 | ↔ (↓ da 13 a ↑ 15) | ↓ 9 (↓ 23 a ↑ 7) | N / a | ||
| Simeprevir | 150 una volta al giorno | 25 una volta al giorno | 21 | ↑ 10 (↓ da 3 a ↑ 26) | ↑ 6 (↓ da 6 a ↑ 19) | ↓ 4 (↓ da 17 a ↑ 11) |
| Sildenafil W-desmethyl- sildenafil | 50 dose singola | 75 una volta al giorno c | 16 | ↓ 7 (↓ da 20 a ↑ 8) | ↓ 3 (↓ da 13 a ↑ 8) | N / a |
| ↓ 10 (↓ 20 a ↑ 2) | ↓ 8 (↓ 15 a ↓ 1) | N / a | ||||
| Sofosbuvir GS-331007 d | 400 una volta al giorno | 25 una volta al giorno | 24 | ↑ 9 (↓ da 5 a ↑ 25) | ↑ 16 (↑ da 10 a ↑ 24) | N / a |
| ↓ 4 (↓ da 10 a ↑ 1) | ↑ 4 (Da 0 a ↑ 7) | ↑ 12 (Da ↑ da 7 a ↑ 17) | ||||
| Velpatasvir | 100 una volta al giorno | 25 una volta al giorno | 24 | ↓ 4 (↓ da 15 a ↑ 10) | ↓ 1 (↓ da 12 a ↑ 11) | ↑ 2 (↓ da 9 a ↑ 15) |
| Sofosbuvir GS-331007 d | 400 una volta al giorno | 25 una volta al giorno e | 30 | ↓ 5 (↓ da 14 a ↑ 5) | ↑ 1 (↓ da 3 a ↑ 6) | N / a |
| ↑ 2 (↓ da 2 a ↑ 6) | ↑ 4 (Da ↑ da 1 a ↑ 6) | N / a | ||||
| Velpatasvir | 100 una volta al giorno | 25 una volta al giorno e | 30 | ↑ 5 (↓ da 4 a ↑ 16) | ↑ 1 (↓ da 6 a ↑ 7) | ↑ 1 (↓ da 5 a ↑ 9) |
| Voxilaprevir | 100 100 una volta al giorno | 25 una volta al giorno e | 30 | ↓ 4 (↓ da 16 a ↑ 11) | ↓ 6 (↓ da 16 a ↑ 5) | ↑ 2 (↓ 8 a ↑ 12) |
| TDF | 300 una volta al giorno | 150 una volta al giorno c | 16 | ↑ 19 (Da ↑ da 6 a ↑ 34) | ↑ 23 (Da ↑ da 16 a ↑ 31) | ↑ 24 (↑ da 10 a ↑ 38) |
| N / a = not available a N = numero massimo di soggetti per CMAX AUC o CMIN b Aumento = ↑; Diminuire = ↓; Nessun effetto = ↔ c Lo studio di interazione è stato condotto con una dose superiore alla dose raccomandata per RPV (25 mg una volta al giorno). d Il metabolita nucleosidico circolante predominante di Sofosbuvir. e Studio condotto con odefsey. |
Tabella 13: interazioni farmacologiche: cambiamenti nei parametri farmacocinetici per i farmaci amministrati in co -co -presenza in presenza di FTC
| Droga somministrato in co -amministrazione | Dose di farmaco somministrato co -amministrato (MG) | Ftc Dose (mg) | N a | Significare % Change of Droga somministrato in co -amministrazione Pharmacokinetic Parametros b (90% CI) | ||
| Cmax | AUC | Cmin | ||||
| Famciclovir | 500 x 1 | 200 x 1 | 12 | ↔ | ↔ | N / a |
| TDF | 300 una volta al giorno x 7 days | 200 una volta al giorno x 7 days | 17 | ↔ | ↔ | ↔ |
| N / a=not available a Tutti i prove di interazione condotte su volontari sani b Nessun effetto = ↔ |
Non sono state osservate interazioni farmacologiche clinicamente significative tra FTC e Indinavir sofosbuvir/Velpatasvir sofosbuvir/velpatasvir/voxilaprevir stavudina e zidovudina.
Tabella 14: interazioni farmacologiche: cambiamenti nei parametri farmacocinetici per i farmaci amministrati in co -co -presenza in presenza di TDF
| Droga somministrato in co -amministrazione | Dose di farmaco somministrato co -amministrato (MG) | TDF Dose (mg) | N a | Significare % Change of Droga somministrato in co -amministrazione Pharmacokinetic Parametros b (90% CI) | ||
| Cmax | AUC | Cmin | ||||
| Emtricitabina | 200 una volta al giorno x 7 days | 300 una volta al giorno x 7 days | 17 | ↔ | ↔ | ↑ 20 (Da ↑ da 12 a ↑ 29) |
| Entecavir | 1 una volta al giorno x 10 giorni | 300 una volta al giorno | 28 | ↔ | ↑ 13 (↑ da 11 a ↑ 15) | ↔ |
| Tacrolimus | 0,05 mg/kg due volte al giorno x 7 giorni | 300 una volta al giorno | 21 | ↔ | ↔ | ↔ |
| N / a=not available a Tutti i prove di interazione condotte su volontari sani b Aumento = ↑; Nessun effetto = ↔ |
Non è stato osservato alcun effetto sui parametri farmacocinetici dei seguenti farmaci amministrati in co -cofano con TDF: contraccettivi orali di metadone (etinil estradiolo/norgesimo) o ribavirina.
è proair uguale a ventolin
Microbiologia
Meccanismo d'azione
Emtricitabina
Ftc a synthetic nucleoside analog of cytidine is phosphOylated by cellular enzymes to fOm emtricitabine 5'-triphosphate. Emtricitabina 5'-triphosphate inhibits the activity of the HIV-1 RT by competing with the natural substrate deoxycytidine 5'-triphosphate E by being incOpOated into nascent viral DN / a which results in chain termination. Emtricitabina 5'-triphosphate is a weak inhibitO of mammalian DN / a polymerases α β ε E mitochondrial DN / a polymerase γ.
Rilpivirina
RPV is a diarylpyrimidine non-nucleoside reverse transcriptase inhibitO of HIV-1 E inhibits HIV-1 replication by non-competitive inhibition of HIV-1 RT. RPV does not inhibit the human cellular DN / a polymerases α β E mitochondrial DN / a polymerase γ.
Tenofovir df
TDF is an acyclic nucleoside phosphonate diester analog of adenosine monophosphate. TDF requires initial diester hydrolysis fO conversion to tenofovir E subsequent phosphOylations by cellular enzymes to fOm tenofovir diphosphate. Tenofovir diphosphate inhibits the activity of HIV-1 RT by competing with the natural substrate deoxyadenosine 5'-triphosphate E after incOpOation into DN / a by DN / a chain termination. Tenofovir diphosphate is a weak inhibitO of mammalian DN / a polymerases α β E mitochondrial DN / a polymerase γ.
Attività antivirale
Emtricitabina Rilpivirina And TDF
La tripla combinazione di RPV FTC e TDF non era antagonista nella coltura cellulare.
Emtricitabina
L'attività antivirale di FTC contro gli isolati di laboratorio e clinici dell'HIV-1 è stata valutata nelle linee cellulari linfoblastoidee la linea cellulare Magi-CCR5 e le cellule mononucleate del sangue periferico. I valori di concentrazione effettiva del 50% (EC50) per FTC erano nell'intervallo di 0,0013 € 0,64 μM. L'FTC ha mostrato attività antivirale nella coltura cellulare contro le lame HIV-1 A B C D E F e G (i valori EC50 variavano da 0,007 € 0,075 μm) e ha mostrato attività specifica di deformazione contro l'HIV-2 (i valori EC50 variavano da 0,007 € 1,5 μm). Negli studi di combinazione di farmaci su FTC con inibitori della trascrittasi inversa nucleosidica (abacavir lamivudina stavudina tenofovir zidovudina) non nucleoside inversa trascrittore inibitori della trascrittasi (delavirdine EFV nevirapina e RPV) e gli inibitori della proteasi (ampavir non sono stati osservati.
Rilpivirina
RPV exhibited activity against labOatOy strains of wild-type HIV-1 in an acutely infected T-cell line with a median EC50 value fO HIV-1IIIB of 0.73 nM. RPV demonstrated limited activity in cell culture against HIV-2 with a median EC50 value of 5220 nM (range 2510â€10830 nM). RPV demonstrated antivirale activity against a broad panel of HIV-1 group M (subtype A B C D F G H) primary isolates with EC50 values ranging from 0.07â€1.01 nM E was less active against group O primary isolates with EC50 values ranging from 2.88â€8.45 nM. The antivirale activity of RPV was not antagonistic when combined with the NNRTIs EFV etravirine O nevirapine; the N(t)RTIs abacavir didanosine Ftc lamivudine stavudine tenofovir O zidovudine; the PIs amprenavir atazanavir darunavir indinavir lopinavir nelfinavir ritonavir saquinavir O tipranavir; the gp41 fusion inhibitO enfuvirtide; the CCR5 co-receptO antagonist maraviroc; O the integrase strE transfer inhibitO raltegravir.
Tenofovir df
L'attività antivirale di tenofovir contro gli isolati di laboratorio e clinici dell'HIV-1 è stata valutata nelle linee cellulari cellulari linfoblastoidee cellulari di monociti/macrofagi primari e linfociti del sangue periferico. I valori EC50 per tenofovir erano nell'intervallo di 0,04 € 8,5 μm. Il tenofovir ha mostrato attività antivirale nella coltura cellulare contro le lame HIV-1 A B C D E F G e O (i valori EC50 variavano da 0,5 € 2,2 μm) e hanno mostrato attività specifica di deformazione contro l'HIV-2 (i valori EC50 variavano da 1,6 € 5,5 μm). Negli studi di combinazione di droghe di tenofovir con NRTIS (Abacavir didanosine FTC Lamivudine Stavudine e Zidovudina) nnrtis (delavirdine EFV Nevirapina e RPV) e Pis (amprenavir indinavir Nelfinavir ritonavir saquinavir) sono stati osservati effetti antaginavir).
Resistenza
Nella coltura cellulare
Emtricitabina And Tenofovir df
Gli isolati dell'HIV-1 con ridotta suscettibilità a FTC o tenofovir sono stati selezionati nella coltura cellulare. La ridotta suscettibilità all'FTC era associata a sostituzioni M184V/I in HIV-1 RT. Gli isolati dell'HIV-1 selezionati da Tenofovir hanno espresso una sostituzione K65R in HIV-1 RT e hanno mostrato una riduzione di 2 volte 4 volte della suscettibilità al tenofovir. Inoltre, una sostituzione di K70E in HIV-1 RT è stata selezionata da tenofovir e provoca una ridotta suscettibilità di basso livello a Abacavir FTC Lamivudine e tenofovir.
Rilpivirina
RPV-resistant strains were selected in cell culture starting from wild-type HIV-1 of different Oigins E subtypes as well as NNRTI-resistant HIV-1. The frequently observed amino acid substitutions that emerged E conferred decreased phenotypic susceptibility to RPV included: L100I K101E V106I E A V108I E138K E G Q R V179F E I Y181C E I V189i G190E H221Y F227C E M230I E L.
In soggetti adulti con infezione da HIV-1 senza storia di trattamento antiretrovirale
Nella settimana 96 Analisi di resistenza aggregata per i soggetti adulti che ricevono RPV o EFV in combinazione con FTC/TDF negli studi clinici di fase 3 C209 e C215 l'emergere di resistenza era maggiore tra i virus dei soggetti in base al braccio di basi. Nell'analisi della resistenza aggregata il 61% (47/77) dei soggetti che si sono qualificati per l'analisi della resistenza (analisi della resistenza) nel braccio RPV FTC/TDF avevano un virus con la resistenza genotipica e/o fenotipica a RPV rispetto al RPV rispetto a PhAgic a Fenotype a GenOpic e PhAgic a GENOTYPIC rispetto a PhAgic a PhAgic a Fenotyy a EFV. Inoltre, la resistenza genotipica e/o fenotipica a FTC o tenofovir è emersa in virus dal 57% (44/77) dei soggetti di analisi di resistenza nel braccio RPV rispetto al 26% (11/43) nel braccio EFV.
Sostituzioni NNRTI emergenti nell'analisi della resistenza RPV dei virus dei soggetti includevano V90I K101E/P/T E138K/A/Q/G V179I/L Y181C/I V189I H221Y F227C/L e M230L, che erano associati a una variazione di PPV di RPV di 221. La sostituzione di E138K è emersa più frequentemente durante il trattamento con RPV comunemente in combinazione con la sostituzione M184i. Le sostituzioni associate alla resistenza di FTC e della lamivudina M184i o V e NRTI associate alla resistenza (K65R/N A62V D67N/G K70E Y115F K219E/R) sono emerse più frequentemente nelle materie di analisi della resistenza RPV rispetto agli argomenti di analisi della resistenza EFV (vedere la tabella).
Le sostituzioni di resistenza NNRTI- e NRTI sono emerse meno frequentemente nell'analisi di resistenza dei virus da soggetti con carichi virali basali di ≤100000 copie/mL rispetto ai virus di soggetti con carichi virali di base di 20% (9% (9% (9% (9% (9% (9% (9% (9% (9% (9% (9% (9% (9% (9% (9% (9% (9% (9% (9% (9% (9% (9% (9% (9% (9% (9% (9% (9% (9% (9% (9% (9% (9% (9% (9% (9% (9% (9% (9% (9% (9% (9% (9% (9% (9% (9% (9% (9% (9% (9% (9% (9% (9% (9% (9% (9% (9% (94%) rispetto al 77% (34/44) di nnrtince di 20% (9% () Rispetto all'80% (35/44) di sostituzioni di resistenza NRTI. Questa differenza è stata osservata anche per le singole sostituzioni di resistenza alla lamivudina e tenofovir: 22% (9/41) rispetto al 78% (32/41) per M184i/V e 0% (0/8) rispetto al 100% (8/8) per K65R/N. Inoltre, le sostituzioni di resistenza alla resistenza NNRTI e/o NRTI sono emerse meno frequentemente nell'analisi di resistenza dei virus da soggetti con conteggi di cellule CD4 basali ≥200 cellule/mm³ rispetto ai virus dei soggetti di base di cellule CD4 basali <200 cells/mm³: 32% (14/44) compared to 68% (30/44) of NNRTI-resistance substitutions E 27% (12/44) compared to 73% (32/44) of NRTI-resistance substitutions.
Tabella 15: Proporzione di sostituzioni di trascrittasi inversa frequentemente emergenti nel virus dell'HIV-1 di analisi della resistenza soggetti adulti che hanno ricevuto RPV o EFV in combinazione con FTC/TDF da prove di Fase 3 TMC278-C209 e TMC278-C215 di FACK 96.
| C209 e C215 N = 1096 | ||
| RPV FTC/TDF N = 550 | EFV FTC/TDF N = 546 | |
| Soggetti che si sono qualificati per l'analisi della resistenza | 14% (77/550) | 8% (43/546) |
| Soggetti con dati di resistenza postbaseline valutabili | 70 | 31 |
| Sostituzioni nnri emergenti b | ||
| Qualunque | 63% (44/70) | 55% (17/31) |
| V90i | 14% (10/70) | 0 |
| K101E/P/T/Q. | 19% (13/70) | 10% (3/31) |
| K103N | 1% (1/70) | 39% (12/31) |
| E138K/A/Q/G. | 40% (28/70) | 0 |
| E138K M184i c | 30% (21/70) | 0 |
| V179i/d | 6% (4/70) | 10% (3/31) |
| Y181c/i/s | 13% (9/70) | 3% (1/31) |
| V189i | 9% (6/70) | 0 |
| H221Y10% (7/70) 0emergent NRTI SostituzioniD | ||
| Qualunque | 63% (44/70) | 32% (10/31) |
| M184i/V. | 59% (41/70) | 26% (8/31) |
| K65R/N. | 11 % (8/70) | 6% (2/31) |
| A62V D67N/G K70E Y115F o K219E/R e | 20% (14/70) | 3% (1/31) |
| a Soggetti che si sono qualificati per l'analisi della resistenza b V90 L100 K101 K103 V106 V108 E138 V179 Y181 Y188 V189 G190 H221 P225 F227 e M230 c Questa combinazione di sostituzioni NRTI e NNRTI è un sottoinsieme di quelli con E138K. d A62V K65R/N D67N/G K70E L74I Y115F M184V/I L210F K219E/R e Queste sostituzioni sono emerse oltre alle sostituzioni primarie M184V/I o K65R; A62V (n = 2) D67N/G (n = 3) K70E (n = 4) Y115F (n = 2) K219E/R (n = 8) negli argomenti di analisi della resistenza RPV. |
In soggetti adulti con infezione da HIV-1 virologicamente
Studio 106: Attraverso la settimana 48 4 soggetti che sono passati a Competi (4 su 469 soggetti 0,9%) e 1 soggetto che ha mantenuto il loro regime basato sugli inibitori della proteasi ritonavir (1 su 159 soggetti 0,6%) ha sviluppato resistenza genotipica e/o fenotipica a uno studio di studio. Tutti e 4 i soggetti che avevano l'emergenza di resistenza su Complera avevano la prova della resistenza FTC e 3 dei soggetti avevano la prova della resistenza all'RPV.
Resistenza incrociata
Rilpivirina Emtricitabina E Tenofovir df:
Nella coltura cellulare
Non è stata dimostrata alcuna resistenza incrociata significativa tra varianti di HIV-1 resistenti all'RPV e FTC o tenofovir o tra varianti resistenti a FTC o tenofovir e RPV.
Rilpivirina
Virus mutante NNRTI diretto dal sito
La resistenza incrociata è stata osservata tra i NNRTI. Le singole sostituzioni NNRTI K101P Y181I e Y181V hanno conferito rispettivamente la suscettibilità a 52 volte 15 volte e 12 volte ridotta all'RPV. La combinazione di E138K e M184i ha mostrato una ridotta suscettibilità di 6,7 volte all'RPV rispetto a 2,8 volte solo per E138K. La sostituzione di K103N non ha mostrato una ridotta suscettibilità all'RPV da sola. Tuttavia, la combinazione di K103N e L100i ha comportato una ridotta suscettibilità di 7 volte all'RPV. In un altro studio la sostituzione Y188L ha comportato una ridotta suscettibilità all'RPV di 9 volte per isolati clinici e 6 volte per i mutanti diretti al sito. Combinazioni di 2 o 3 sostituzioni associate alla resistenza NNRTI hanno dato una ridotta suscettibilità all'RPV (intervallo di variazione della piega di 3,7 € 554) nel 38% e 66% dei mutanti rispettivamente.
In soggetti adulti con infezione da HIV-1 senza storia di trattamento antiretrovirale
Considering all available cell culture and clinical data any of the following amino acid substitutions when present at baseline are likely to decrease the antiviral activity of RPV: K101E K101P E138A E138G E138K E138R E138Q V179L Y181C Y181I Y181V Y188L H221Y F227C M230I M230L and La combinazione di L100i K103N.
Cross-resistance to EFV etravirine and/or nevirapine is likely after virologic failure and development of RPV resistance. In a pooled 96-week analysis for adult subjects receiving RPV in combination with FTC/TDF in the Phase 3 clinical trials TMC278-C209 and TMC278-C215 43 of the 70 (61%) RPV resistance analysis subjects with postbaseline resistance data had virus with decreased susceptibility to RPV (≥2.5 fold change). Of these 84% (n=36/43) were resistant to EFV (≥3.3-fold change) 88% (n=38/43) were resistant to etravirine (≥3.2-fold change) and 60% (n=26/43) were resistant to nevirapine (≥6-fold change). In the EFV arm 3 of the 15 (20%) EFV resistance analysis subjects had viruses with resistance to etravirine and RPV and 93% (14/15) had resistance to nevirapine. Virus from subjects experiencing virologic failure on RPV in combination with FTC/TDF developed more NNRTI resistance-associated substitutions conferring more cross-resistance to the NNRTI class and had a higher likelihood of cross-resistance to all NNRTIs in the class than subjects who failed on EFV.
Emtricitabina
Ftc-resistant isolates (M184V/I) were cross-resistant to lamivudine but retained susceptibility in cell culture to didanosine stavudine tenofovir zidovudine E NNRTIs (delavirdine EFV nevirapine E RPV). HIV-1 isolates containing the K65R substitution selected in vivo by abacavir didanosine E tenofovir demonstrated reduced susceptibility to inhibition by Ftc. Viruses harbOing substitutions conferring reduced susceptibility to stavudine E zidovudine (M41L D67N K70R L210W T215Y/F K219Q/E) O didanosine (L74V) remained sensitive to Ftc. HIV-1 containing the substitutions associated with NNRTI resistance K103N O RPV-associated substitutions were susceptible to Ftc.
Tenofovir df
Le sostituzioni K65R e K70E selezionate da tenofovir sono anche selezionate in alcuni pazienti con infezione da HIV-1 trattati con abacavir o didanosina. Gli isolati dell'HIV-1 con le sostituzioni K65R e K70E hanno anche mostrato una ridotta suscettibilità a FTC e lamivudina. Pertanto, la resistenza incrociata tra questi NRTI può verificarsi in pazienti il cui virus ospita la sostituzione K65R. Gli isolati dell'HIV-1 da pazienti (n = 20) il cui HIV-1 espresse una media di 3 sostituzioni di aminoacidi RT associate alla zidovudina (M41L D67N K70R L210W T215Y/F o K219Q/E/N) mostrato che un diminuzione di 3,1 volte nella suscettibilità al tenofovir.
I soggetti il cui virus ha espresso una sostituzione L74V senza sostituzioni associate alla resistenza alla zidovudina (n = 8) avevano una risposta ridotta al TDF. Sono disponibili dati limitati per i pazienti il cui virus ha espresso una sostituzione Y115F (n = 3) sostituzione Q151M (n = 2) o inserimento T69 (n = 4) che hanno avuto una risposta ridotta.
L'HIV-1 contenente le sostituzioni associate alla resistenza NNRTI K103N e Y181C o le sostituzioni associate a RPV erano sensibili al tenofovir.
Tossicologia animale e/o farmacologia
Tenofovir df
Tenofovir E TDF administered in toxicology studies to rats dogs E monkeys at exposures (based on AUCs) greater than O equal to 6-fold those observed in humans caused bone toxicity. In monkeys the bone toxicity was diagnosed as osteomalacia. Osteomalacia observed in monkeys appeared to be reversible upon dose reduction O discontinuation of tenofovir. In rats E dogs the bone toxicity manifested as reduced bone mineral density. The mechanism(s) underlying bone toxicity is unknown.
La prova della tossicità renale è stata osservata in 4 specie animali. L'aumento della creatinina glicosuria proteinuria fosfaturia e/o calciuria e diminuzioni del fosfato sierico sono state osservate a vari gradi in questi animali. Queste tossicità sono state notate alle esposizioni (basate su AUCS) 2 € 20 volte superiori a quelle osservate nell'uomo. Non è nota la relazione delle anomalie renali in particolare la fosfaturia con la tossicità ossea.
Studi clinici
Soggetti adulti
In soggetti adulti con infezione da HIV-1 senza storia di trattamento antiretrovirale
L'efficacia di Complera si basa sulle analisi dei dati di 48 e 96 settimane da due studi randomizzati controllati in doppio cieco (Studio C209 [ECHO] e Truvada sottoinsieme dello studio C215 [Thrive]) in soggetti infetti da HIV-1 per il trattamento-Naia (n = 1368). Gli studi sono identici nella progettazione ad eccezione del regime di fondo (BR). I soggetti sono stati randomizzati in un rapporto 1: 1 per ricevere RPV 25 mg (n = 686) una volta al giorno o EFV 600 mg (n = 682) una volta al giorno oltre a un BR. Nello studio C209 (n = 690) il BR era FTC/TDF. Nello studio C215 (n = 678) il BR consisteva in 2 NRTI: FTC/TDF (60% n = 406) lamivudina/zidovudina (30% n = 204) o abacavir lamivudina (10% n = 68).
Per i soggetti che hanno ricevuto FTC/TDF (n = 1096) negli studi C209 e C215, l'età media era di 37 anni (intervallo 18 € 78) il 78% erano maschi il 62% erano bianchi il 24% era nero e l'11% era asiatico. Il numero medio di cellule CD4 basale era di 265 celle/mm³ (intervallo 1 € 888) e il 31% aveva conteggi di cellule CD4 <200 cells/mm³. The median baseline plasma HIV-1 RNA was 5 log 10 Copie/ml (intervallo 2â € 7). I soggetti sono stati stratificati dall'HIV-1 RNA basale. Il cinquanta per cento dei soggetti aveva un carico virale basale ≤100000 copie/ml Il 39% dei soggetti aveva un carico virale di base tra 100000 copie/mL a 500000 copie/mL e l'11% dei soggetti presentava carico virale basale> 500000 copie/ml.
I risultati del trattamento per 96 settimane per il sottogruppo di soggetti che ricevono FTC/TDF negli studi C209 e C215 (Tabella 16) sono generalmente coerenti con i risultati del trattamento per tutti i soggetti partecipanti (presentati nelle informazioni di prescrizione per edurant). L'incidenza dell'insufficienza virologica era più elevata nel braccio RPV rispetto al braccio EFV alla settimana 96. I fallimenti virologici e le interruzioni dovute a eventi avversi si sono verificati principalmente nelle prime 48 settimane di trattamento.
Tabella 16: esito virologico aggregato del trattamento randomizzato degli studi C209 e C215 alla settimana 96 in soggetti adulti senza storia di trattamento antivirale in combinazione con FTC/TDF) alla settimana 96 a
| RPV FTC/TDF N = 550 | EFV FTC/TDF N = 546 | |
| HIV-1 RNA <50 copies/mL b | 77% | 77% |
| HIV-1 RNA ≥50 copies/mL c | 14% | 8% |
| Nessun dato virologico alla finestra della settimana 96 | ||
| Ragioni | ||
| Studio interrotto a causa di eventi avversi o morte d | 4% | 9% |
| Studio interrotto per altri motivi e E the last available HIV-1 RNA <50 copies/mL (O missing) | 4% | 6% |
| Mancano i dati durante la finestra ma sullo studio | <1% | <1% |
| HIV-1 RNA <50 copies/mL per base di RNA HIV-1 (copie/ml) | ||
| ≤100000 | 83% | 80% |
| > 100000 | 71% | 74% |
| HIV-1 RNA ≥50 copies/mL c per base di RNA HIV-1 (copie/ml) | ||
| ≤100000 | 7% | 5% |
| > 100000 | 22% | 12% |
| HIV-1 RNA <50 copies/mL per conteggio delle cellule CD4 basali (cellule/mm³) | ||
| <200 | 68% | 72% |
| ≥200 | 82% | 79% |
| HIV-1 RNA ≥50 copies/mL c per conteggio delle cellule CD4 basali (cellule/mm³) | ||
| <200 | 27% | 12% |
| ≥200 | 8% | 7% |
| a Le analisi erano basate sull'ultimo dati di carico virale osservato all'interno della finestra della settimana 96 (settimana 90 € 103). b La differenza prevista (IC al 95%) del tasso di risposta è dello 0,5% (da 4,5% al 5,5%) alla settimana 96. c Include soggetti che avevano ≥50 copie/mL nella settimana 96 Soggetti di finestra che si sono interrotti presto a causa della mancanza o della perdita di soggetti di efficacia che si sono interrotti per motivi diversi da un evento avverso o la mancanza o la perdita di efficacia e al momento della sospensione. d Include soggetti che hanno interrotto a causa di un evento avverso o morte se ciò non ha comportato dati virologici sul trattamento nella finestra della settimana 96. e Include soggetti che hanno interrotto per motivi diversi da un evento avverso morte o mancanza o perdita di efficacia, ad es. ha ritirato la perdita di consenso al follow-up ecc. |
Sulla base dei dati raggruppati degli studi C209 e C215, l'aumento di conteggio medio delle cellule CD4 dal basale alla settimana 96 era 226 celle/mm³ per soggetti trattati con RPV FTC/TDF e 223 celle/mm³ per soggetti trattati con EFV FTC/TDF.
In soggetti adulti con infezione da HIV-1 virologicamente
L'efficacia e la sicurezza del passaggio da un inibitore della proteasi potenziato con ritonavir in combinazione con due NRTI per Complera è stata valutata nello studio 106 Uno studio randomizzato in aperto su adulti infetti da HIV-1 soppresso virologicamente. I soggetti dovevano essere sul loro primo o secondo regime antiretrovirale senza storia di insufficienza virologica non hanno una storia di resistenza corrente o passata a nessuno dei tre componenti di Complera e devono essere stati soppressi (HIV-1 RNA <50 copies/mL) fO at least 6 months priO to screening. Subjects were rEomized in a 2:1 ratio to either switch to Complesso at baseline (Complesso arm N = 317) O stay on their baseline antiretroviral regimen fO 24 weeks (SBR arm N = 159) E then switch to Complesso fO an additional 24 weeks (N=52). Subjects had a mean age of 42 years (range 19â€73) 88% were male 77% were White 17% were Black E 17% were Hispanic/Latino. The mean baseline CD4 + cell count was 584 cells/mm³ (range 42â€1484). REomization was stratified by use of TDF E/O lopinavir/ritonavir in the baseline regimen.
I risultati del trattamento sono presentati nella Tabella 17.
Tabella 17: Risultati virologici dello studio GS-US-264-0106 in soggetti virologicamente soppressi
| Complesso Week 48 a N = 317 | Rimasto alla settimana 24 del regime di base (SBR) b N = 159 | |
| HIV-1 RNA <50 copies/mL c | 89% (283/317) | 90% (143/159) |
| HIV-1 RNA> 50 copie/ml d | 3% (8/317) | 5% (8/159) |
| Nessun dato virologico alla finestra della settimana 24 | ||
| Farmaco di studio interrotto a causa di AE o morte e | 2% (7/317) | 0% |
| Farmaco in studio interrotto per altri motivi e ultimo RNA HIV-1 disponibile <50 copies/mL f | 5% (16/317) | 3% (5/159) |
| Mancano i dati durante la finestra ma sullo studio drug | 1% (3/317) | 2% (3/159) |
| a La finestra della settimana 48 è tra il giorno 295 e 378 (inclusi). b Per i soggetti nel braccio SBR che hanno mantenuto il loro regime di base per 24 settimane e poi sono passati a Complera la finestra della settimana 24 è tra il giorno 127 e la prima giornata di dose su Complera. c La differenza prevista (IC al 95%) del tasso di risposta per il passaggio a Complera alla settimana 48 rispetto al mantenimento del regime di base alla settimana 24 (in assenza della settimana 48 risultati del gruppo SBR per progettazione dello studio) è dello 0,7% (€ 6,4% al 5,1%). d Include soggetti che avevano l'HIV-1 RNA ≥50 copie/mL nei soggetti della finestra temporale che si sono interrotti presto a causa della mancanza o della perdita di efficacia e dei soggetti che hanno interrotto motivi diversi da un evento avverso o morte e al momento della discontinuazione avevano un valore di carico virale di ≥50 copie/ml. e Include soggetti che hanno interrotto a causa di eventi avversi o morte in qualsiasi momento dal giorno 1 alla finestra temporale se ciò non ha comportato dati virologici sul trattamento durante la finestra specificata. f Include soggetti che hanno interrotto per motivi diversi da un evento avverso morte o mancanza o perdita di efficacia, ad es. ha ritirato la perdita di consenso al follow-up ecc. |
Soggetti pediatrici
La sicurezza e l'efficacia della farmacocinetica di RPV in combinazione con altri agenti antiretrovirali sono stati valutati in uno studio di fase 2 a braccio aperto a braccio singolo in terapia antiretrovirale-Naã¯ve HIV-1 soggetti pediatrici infetti da 12 a meno di 18 anni di età e pesa almeno 32 kg (TMC-C213). Trentasei (36) soggetti sono stati arruolati con un'età media di 14,5 anni (intervallo da 12 a 17 anni) e avevano il 55,6% femminile 88,9% nero e l'11,1% asiatico. La maggior parte dei soggetti (24/36) ha ricevuto RPV in combinazione con FTC e TDF. Di questi 24 soggetti 20 aveva l'HIV RNA basale ≤100000 copie/mL. Le caratteristiche di base e i risultati di efficacia alla settimana 48 sono ulteriormente descritti di seguito per i 20 soggetti.
Il numero di cellule HIV-1 di base dell'HIV-1 e delle cellule CD4 basali mediane erano 49550 (intervallo da 2060 a 92600 copie/ml) e 437,5 cellule/mm³ (intervallo da 123 a 983 cellule/mm³). Alla settimana 48 80% (16/20) dei soggetti avevano l'HIV RNA <50 copies/mL 15% (3/20) had HIV RN / a ≥50 copies/mL E one subject discontinued therapy priO to Week 48 E befOe reaching virologic suppression (HIV RN / a <50 copies/mL). At Week 48 the mean increase in CD4 + cell count from baseline was 225 cells/mm³.
Informazioni sul paziente per Complera
Complesso®
(Kom-Pleh-Rah)
(emtricitabine rilpivirina tenofovir disoproxil fumarate) compresse
IMPORTANTE: chiedi al tuo operatore sanitario o al farmacista sui medicinali che non dovrebbero essere presi con complimento.
Per ulteriori informazioni, consultare la sezione cosa dovrei dire al mio operatore sanitario prima di prendere Complera?
Quali sono le informazioni più importanti che dovrei sapere su Complera?
Complesso can cause serious side effects including:
Peggioramento dell'infezione da virus dell'epatite B (HBV). Il tuo operatore sanitario ti metterà alla prova per HBV prima di iniziare il trattamento con Complera. Se hai un'infezione da HBV e prendi Complera, il tuo HBV potrebbe peggiorare (riacpa) se smetti di prendere Complera. Una riacutizzazione è quando l'infezione da HBV torna improvvisamente in modo peggiore di prima.
- Non smettere di prendere Complera senza prima parlare con il tuo operatore sanitario.
- Non esaurirsi da Complera. Riempi la prescrizione o parla con il tuo medico prima che la tua complimento sia sparita.
- Se smetti di prendere Complera, il tuo operatore sanitario dovrà controllare spesso la salute e fare esami del sangue regolarmente per diversi mesi per controllare l'infezione da HBV. Dì al tuo operatore sanitario di eventuali sintomi nuovi o insoliti che potresti avere dopo aver smesso di prendere Complera.
Per ulteriori informazioni sugli effetti collaterali, consultare la sezione Quali sono i possibili effetti collaterali di Complera?.
Cos'è Complera?
Complesso is a prescription medicine that is used to treat Human Immunodeficiency Virus-1 (HIV-1) in people weighing at least 77 lb (35 kg) who:
- non ho mai preso medicinali per l'HIV-1 prima e che hanno una quantità di HIV-1 nel loro sangue (questo si chiama carico virale) che non è più di 100000 copie/ml prima di iniziare a prendere Complera
O - In alcune persone che hanno un carico virale che è inferiore a 50 copie/ml quando iniziano a prendere Complera per sostituire i loro attuali medicinali per l'HIV-1.
L'HIV-1 è il virus che causa AIDS (sindrome da carenza immunitaria acquisita). Comprera non cura l'HIV-1 o l'AIDS. Complera contiene 3 medicinali (emtricitabine rilpivirina tenofovir disoproxil fumarate) combinate in una compressa. L'emtricitabina (Emtriva®) e il fumarate disoproxil (viread®) sono inibitori dell'analoga della trascrittasi inversa dell'HIV-1 (NRTIS). Rilpivirinine (EDURANT®) è un inibitore della trascrittasi inversa non nucleosidico dell'HIV-1 (NNRTI). Non è noto se Complera è sicuro ed efficace nei bambini di età inferiore ai 12 anni o che pesano meno di 77 libbre (35 kg).
Chi non dovrebbe prendere Complera?
Non prendere Complera se prendi anche:
- medicine anti-sequestro:
- Carbamazepina
- oxcarbazepina
- fenobarbital
- phable
- medicinali anti-tubercolosi (anti-TB):
- rifampin
- Rifapentine
- Medicina dell'inibitore della pompa protonica (PPI) per determinati problemi di stomaco o intestinali:
- Dexlansoprazolo
- esomeprazolo
- Lansoprazolo
- omeprazolo
- pantoprazolo sodium
- rabeprazole
- Più di 1 dose di medicina steroidea desametasone o desametasone sodio fosfato
- Sanl'mba di San Giovanni ( Hypericum perforatum )
Cosa dovrei dire al mio operatore sanitario prima di prendere Complera?
Prima di prendere Complera racconta al tuo operatore sanitario su tutte le tue condizioni mediche, incluso se tu:
- Avere problemi epatici tra cui l'infezione da virus dell'epatite B o C
- avere problemi ai reni
- avere una storia di depressione o pensieri suicidi
- avere problemi ossei
- sono incinta o prevedono di rimanere incinta. Non è noto se Complera può danneggiare il tuo bambino non ancora nato. Di 'al tuo operatore sanitario se rimani incinta durante il trattamento con Complera.
Registro di gravidanza. C'è un registro di gravidanza per coloro che prendono Complera durante la gravidanza. Lo scopo di questo registro è raccogliere informazioni sulla salute di te e del tuo bambino. Parla con il tuo operatore sanitario di come puoi prendere parte a questo registro. - stanno allattando o pianificano di allattare. Non allattare al seno se stai prendendo Complera.
- Non dovresti allattare se hai l'HIV-1 a causa del rischio di passare l'HIV-1 al tuo bambino.
- Almeno due delle medicine contenute in Complera possono essere passate al tuo bambino nel latte materno.
- Parla con il tuo operatore sanitario del modo migliore per nutrire il tuo bambino durante il trattamento con Complera.
Di 'al tuo operatore sanitario di tutte le medicine che prendi tra cui prescrizione e medicine da banco vitamine e integratori a base di erbe.
Alcuni medicinali interagiscono con Complera. Mantieni un elenco dei tuoi medicinali per mostrare il tuo medico e il tuo farmacista quando ottieni un nuovo medicinale.
- Puoi chiedere al tuo operatore sanitario o al farmacista un elenco di medicinali che possono interagire con Complera.
- Non iniziare a prendere una nuova medicina senza dirlo al tuo operatore sanitario. Il tuo operatore sanitario può dirti se è sicuro prendere Complera con altri medicinali.
Come dovrei prendere Complera?
- Prendi Complera esattamente come il tuo operatore sanitario ti dice di prenderlo.
- Prendi Complera con il cibo. Prendersi Complera con il cibo è importante per aiutare a ottenere la giusta quantità di medicine nel tuo corpo. Una bevanda proteica non sostituisce il cibo. Se il tuo operatore sanitario decide di interrompere Comprera e sei passato a nuovi medicinali per trattare l'HIV-1 che includono compresse di rilpivirina, le compresse di rilpivirina dovrebbero essere prese solo con un pasto.
- Non cambiare la tua dose o smettere di prendere Complera senza prima parlare con il tuo operatore sanitario. Resta sotto la cura del proprio operatore sanitario durante il trattamento con Complera.
- Se perdi una dose di Complera entro 12 ore dal momento in cui di solito prendi la tua dose di complimento con cibo appena possibile. Quindi prendi la tua prossima dose di Complera al momento regolarmente programmato. Se perdi una dose di Complera entro più di 12 ore del tempo di solito prendi in attesa e poi prendi la dose successiva di Complera al momento regolarmente programmato.
- Non prendere più della tua dose prescritta per compensare una dose persa.
- Se prendi troppi complimenti contatta il tuo centro di controllo del veleno locale o vai immediatamente al pronto soccorso dell'ospedale più vicino.
- Quando la tua fornitura di Complera inizia a essere bassa, ottieni di più dal tuo medico o dalla farmacia. È molto importante non rimanere fuori da complimento. La quantità di virus nel sangue può aumentare se la medicina viene fermata anche per un breve periodo.
Quali sono i possibili effetti collaterali di Complera?
Complesso can cause serious side effects including:
- Guarda quali sono le informazioni più importanti che dovrei sapere su Complera?
- Grave eruzione cutanea e reazioni allergiche. L'eruzione cutanea è un effetto collaterale comune di Complera. L'eruzione cutanea può essere seria. Chiama subito il tuo operatore sanitario se ottieni un'eruzione cutanea. In alcuni casi potrebbe essere necessario essere curati in un ospedale. Se ottieni un'eruzione cutanea con uno dei seguenti sintomi, smetti di prendere Complera e chiama il tuo medico o ottieni subito un aiuto medico:
- febbre
- gonfiore delle labbra del viso lingua o gola
- vesciche per la pelle
- difficoltà a respirare o deglutire
- piaghe da bocca
- dolore sul lato destro dello stomaco (addominale)
- Redness o gonfiore degli occhi (congiuntivite)
- urina scura o color tè
- Gravi problemi epatici. In rari casi possono verificarsi gravi problemi epatici che possono portare alla morte. Dì subito al tuo operatore sanitario se si ottengono questi sintomi: la pelle o la parte bianca dei tuoi occhi trasforma le feci di colore chiaro color tè scuro giallo perdita di appetito per diversi giorni o nausea più lunga o dolore all'area dello stomaco.
- Cambiamento negli enzimi epatici. Le persone con una storia di infezione da virus dell'epatite B o C o che hanno determinati cambiamenti di enzimi epatici possono avere un aumentato rischio di sviluppare problemi epatici nuovi o peggioranti durante il trattamento con Complera. I problemi epatici possono anche verificarsi durante il trattamento con Complera nelle persone senza una storia di malattie epatiche. Il tuo operatore sanitario potrebbe essere necessario eseguire test per controllare gli enzimi epatici prima e durante il trattamento con Complera.
- Cambiamenti di depressione o umore. Di 'subito al tuo operatore sanitario se hai uno dei seguenti sintomi:
- Sentiti triste o senza speranza
- Sentiti ansioso o irrequieto
- avere pensieri di ferirti (suicidio) o hai cercato di farti del male
- Problemi renali nuovi o peggiori tra cui insufficienza renale Può accadere in alcune persone che prendono Complera. Il tuo operatore sanitario dovrebbe fare esami del sangue per controllare i reni prima di iniziare il trattamento con Comprera. Se in passato hai avuto problemi ai reni o hai bisogno di prendere un altro medicinale che può causare problemi ai reni, il tuo operatore sanitario potrebbe aver bisogno di fare esami del sangue per controllare i reni durante il trattamento con Complera.
- Problemi ossei Può accadere in alcune persone che prendono Complera. I problemi ossei includono ammorbidimento o diradamento del dolore osseo (che può portare a fratture). Potrebbe essere necessario eseguire ulteriori test per controllare le ossa.
- Troppo acido lattico nel sangue (acidosi lattica). Troppo acido lattico è una grave ma rara emergenza medica che può portare alla morte. Di 'subito al tuo operatore sanitario se si ottengono questi sintomi: debolezza o essere più stanco del solito dolore muscolare insolito a corto di respiro o mal di respirazione rapida con nausea e vomito le mani e i piedi freddi o blu si sente vertigini o avvolgenti o un battito cardiaco veloce o anormale.
- Cambiamenti nel sistema immunitario (sindrome della ricostituzione immunitaria) Può accadere quando inizi a prendere medicine per l'HIV-1. Il tuo sistema immunitario potrebbe diventare più forte e iniziare a combattere le infezioni che sono state nascoste nel tuo corpo per molto tempo. Di 'subito al tuo operatore sanitario se inizi ad avere nuovi sintomi dopo aver iniziato la medicina dell'HIV-1.
Gli effetti collaterali più comuni della rilpivirina Uno dei medicinali di Complera includono:
- depressione
- difficoltà a dormire
- mal di testa
Gli effetti collaterali più comuni di emtricitabina e tenofovir disoproxil fumate due dei medicinali in complimento includono:
- diarrea
- depressione
- nausea
- difficoltà a dormire
- stanchezza
- sogni anormali
- mal di testa
- eruzione cutanea
- vertigini
Questi non sono tutti i possibili effetti collaterali di Complera.
Chiama il tuo medico per consulenza medica sugli effetti collaterali. È possibile segnalare gli effetti collaterali alla FDA al numero 1-800-FDA-1088.
Come dovrei conservare Complera?
- Conservare la complimento a temperatura ambiente compresa tra 68 ° F e 77 ° F (da 20 ° C a 25 ° C).
- Mantieni Complera nel suo contenitore originale e mantieni il contenitore strettamente chiuso.
- Non utilizzare Complera se il sigillo sull'apertura della bottiglia è rotto o mancante.
Mantieni Complera e tutti gli altri medicinali fuori dalla portata dei bambini.
Informazioni generali sull'uso sicuro ed efficace di Complera
Le medicine sono talvolta prescritte a fini diversi da quelli elencati in un volantino delle informazioni del paziente. Non utilizzare Complera per una condizione per la quale non è stata prescritta. Non dare Complera ad altre persone anche se hanno gli stessi sintomi che hai. Potrebbe danneggiare loro. Puoi chiedere al tuo operatore sanitario o al farmacista informazioni su Complera che è scritta per gli operatori sanitari.
Per ulteriori informazioni, chiamare il numero 1-800-445-3235 o visitare www.complera.com.
Quali sono gli ingredienti di Complera?
Ingredienti attivi: emtricitabina rilpivirina cloridrato e fumarato disoproxil tenofovir.
Ingredienti inattivi: Croscarmellosio lattosio sodico monoidrato magnesio stearato microcristallino polisorbato 20 povidone amido pregelatinizzato. Il rivestimento per film di tablet contiene FD
Queste informazioni sui pazienti sono state approvate dalla Food and Drug Administration degli Stati Uniti.