Le Informazioni Presenti Sul Sito Non Costituiscono Consulenza Medica. Non Vendiamo Nulla. L'Accuratezza Della Traduzione Non È Garantita. Disclaimer
Agenti antipiastrinici, ematologici
Brilinta
Riepilogo della droga
Cos'è Brilinta?
Brilinta (ticagrelor) è un amocchetta per ridurre cardiovascolare morte e attacco di cuore nei pazienti con sindromi coronarie acute (ACS). Brilinta funziona impedendo la formazione di nuovi Caglieri di sangue Mantenendo così il flusso sanguigno nel corpo per aiutare a ridurre il rischio di un altro evento cardiovascolare.
Quali sono gli effetti collaterali per Brilinta?
Gli effetti collaterali comuni di Brilinta includono:
- lividi
- sanguinante più facilmente
- naso
- mal di testa
- vertigini
- tosse
- nausea
- diarrea
- battito cardiaco irregolare
- ipertensione
- mal di schiena
- bassa pressione sanguigna
- affaticamento e
- dolore al petto.
Dì al tuo medico se si verificano gravi effetti collaterali di Brilinta, incluso:
dose mancata di effetti collaterali Lexapro
- sanguinamento grave o sanguinamento incontrollabile
- fiato corto
- urina colorata (rosso rosa o marrone)
- sgabelli rossi o neri (sembra catrame)
- tosseing or vomiting that produces blood or Caglieri di sangue or
- vomito che assomiglia a fondi di caffè
- Sintomi di occhiali gravi come la perdita di visione improvvisa del tunnel della visione sfocata Dolore alla visione o gonfiore o vedere aloni attorno alle luci;
- Sintomi cardiaci gravi come battiti cardiaci irregolari o martellanti veloci; svolazzando nel petto; fiato corto; e improvviso vertigini giuria o svenuta;
- Grave mal di testa confusione Il braccio del linguaggio bloccato o la debolezza delle gambe problemi perdite perdita di coordinamento sentendoti instabili muscoli molto rigidi ad alta febbre abbondante sudorazione o tremori.
- infarto miocardico
- stent trombosi E
- morte
Cerca cure mediche o chiama il 911 contemporaneamente se hai i seguenti gravi effetti collaterali:
Questo documento non contiene tutti i possibili effetti collaterali e altri possono verificarsi. Verificare con il tuo medico ulteriori informazioni sugli effetti collaterali.
Dosaggio per Brilinta
Brilinta dovrebbe essere avviata con due compresse da 90 mg come trattamento continua di carico con 90 mg due volte al giorno. Dopo la dose di caricamento iniziale di aspirina (di solito 325 mg) Utilizzare Brilinta con una dose di manutenzione giornaliera di aspirina di 75-100 mg. Un paziente che manca una dose di Brilinta dovrebbe prendere una compressa da 90 mg (la loro dose successiva) al suo tempo programmato.
Quali sostanze o integratori di farmaci interagiscono con Brilinta?
I pazienti che hanno ricevuto una dose di carico di clopidogrel possono essere avviati su Brilinta.
Brilinta durante la gravidanza e l'allattamento
Non ci sono studi adeguati e ben controllati sull'uso di Brilinta nelle donne in gravidanza. Brilinta dovrebbe essere utilizzata durante la gravidanza solo se il potenziale beneficio giustifica il rischio potenziale per il feto. Non è noto se il ticagrelor o i suoi metaboliti attivi siano escreti nel latte umano. Poiché molti farmaci sono escreti nel latte umano e a causa del potenziale di gravi reazioni avverse nei neonati infermieristici di Brilinta, dovrebbe essere presa una decisione se interrompere l'assistenza infermieristica o interrompere il farmaco tenendo conto dell'importanza del farmaco per la madre.
Ulteriori informazioni
I pazienti dovrebbero evitare l'interruzione del trattamento con Brilinta. Se la Brilinta deve essere temporaneamente interrotta, riavvialo il prima possibile. L'interruzione di Brilinta aumenterà il rischio di:
Il nostro Centro farmacologico degli effetti collaterali di Brilinta fornisce una visione completa delle informazioni disponibili sui farmaci sui potenziali effetti collaterali quando si assume questo farmaco.
Informazioni sui farmaci FDA
- Descrizione del farmaco
- Indicazioni
- Dosaggio
- Effetti collaterali
- Interazioni farmacologiche
- Avvertimenti
- Overdose
- Farmacologia clinica
- Guida ai farmaci
AVVERTIMENTO
(A) rischio sanguinante (b) dose di aspirina ed efficacia di Brilinta
- Rischio sanguinante
- Brilinta come altri agenti antipiastrinici può causare un sanguinamento a volte fatale significativo.
- Non utilizzare la Brilinta in pazienti con sanguinamento patologico attivo o una storia di emorragia intracranica.
- Non avviare Brilinta in pazienti sottoposti a chirurgia dell'innesto di bypass coronarico urgente (CABG).
- Se possibile, gestire il sanguinamento senza interrompere Brilinta. L'arresto di Brilinta aumenta il rischio di successivi eventi cardiovascolari.
- Dose di aspirina e efficacia di Brilinta
- Le dosi di manutenzione di aspirina superiori a 100 mg riducono l'efficacia di Brilinta e dovrebbero essere evitate.
Descrizione per Brilinta
Brilinta contiene il ticagrelor un inibitore della ciclopentiltriazolopirimidina dell'attivazione piastrinica e dell'aggregazione mediata dal recettore ADP p2y12. Chimicamente è (1S2S3R5S) -3- [7-{[(1R2S) -2- (34-difluorofenil) ciclopropil] amino} -5 (propylthio) -3H- [123] -Triazolo [45-D] pirimidina-3-lyn] -5- (2-hydossyetossy-dio-diol-diol-diolo-diolo-diolo-diolo [45-d] pirimidina-3-il] -5- (2-hydossyethossy) La formula empirica di ticagrelor è c 23 H 28 F 2 N 6 O 4 S e il suo peso molecolare è 522,57. La struttura chimica del ticagrelor è:
|
Il ticagrelor è una polvere cristallina con solubilità acquosa di circa 10 μg/mL a temperatura ambiente.
Le compresse di Brilinta 90 mg per somministrazione orale contengono 90 mg di ticagrelor e i seguenti ingredienti: manniitol dibasico fosfato di calcio di sodio glicolato glicolato idrossipropil cellulosio cellulosa magnesio stearato stefferato idrossipropil -metilcellulosio in titanio di dioossido polietilene glicélene di ossido di ossido.
Brilinta da 60 mg compresse per somministrazione orale contengono 60 mg di ticagrelor e i seguenti ingredienti: mannitolo dibasico fosfato di calcio di sodio glicolato glicolato idrossipropil cellulosa magnesio stearato stearato idrossipropil -metilcellulosio di dioossido di dioossido di ossido di ossido ferrico e ferrico di ossido di ossido ferrico e ferrico di ossido di ossido ferrico e ferrico di ossido di ossido ferrico.
Usi per Brilinta
Sindrome coronarica acuta o una storia di infarto miocardico
Brilinta è indicata per ridurre il rischio di infarto miocardico cardiovascolare (CV) (MI) e ictus in pazienti con sindrome coronarica acuta (ACS) o una storia di MI. Per almeno i primi 12 mesi dopo l'ACS è superiore a Clopidogrel.
Brilinta riduce anche il rischio di trombosi dello stent in pazienti che sono stati stentati per il trattamento dell'ACS [vedi Studi clinici ].
Malattia coronarica ma nessun ictus o infarto miocardico precedente
Brilinta è indicata per ridurre il rischio di un primo infarto miocardico in pazienti con malattia coronarica (CAD) ad alto rischio per tali eventi [vedi Studi clinici ]. While use is not limited to this setting the efficacy of Brilinta was established in a population with type 2 diabete mellito (T2DM).
Ictus ischemico acuto o attacco ischemico transitorio (TIA)
Brilinta è indicato per ridurre il rischio di ictus nei pazienti con ictus ischemico acuto (punteggio della scala dell'ictus NIH ≤5) o attacco ischemico transitorio ad alto rischio (TIA) [vedi Studi clinici ].
Dosaggio per Brilinta
Istruzioni generali
Consiglia ai pazienti che mancano una dose di Brilinta per prendere la loro prossima dose al momento previsto.
Per i pazienti che non sono in grado di deglutire compresse integrali di Brilinta integrali possono essere frantumati miscelati con acqua e ubriachi. La miscela può anche essere somministrata tramite un tubo nasogastrico (CH8 o superiore) [vedi Farmacologia clinica ]. Do not administer Brilinta with another oral P2Y 12 inibitore piastrinico. Evitare l'aspirina a dosi più alte di quanto raccomandato [vedi Studi clinici ].
Sindrome coronarica acuta o una storia di infarto miocardico
Iniziare il trattamento con una dose di carico di 180 mg di Brilinta. Somministrare la prima dose di manutenzione di 90 mg di Brilinta da 6 a 12 ore dopo la dose di carico. Somministrare 90 mg di Brilinta due volte al giorno durante il primo anno dopo un evento ACS. Dopo un anno somministrare 60 mg di Brilinta due volte al giorno.
Iniziare Brilinta con una dose di manutenzione giornaliera di aspirina da 75 mg a 100 mg. Tuttavia, nei pazienti che hanno subito un intervento coronarico percutaneo (PCI), considerare una singola terapia antipiastrinica con Brilinta in base al rischio in evoluzione di eventi trombotici contro sanguinanti [vedi AVVERTIMENTOS ANd PRECAUTIONS E Studi clinici ].
Malattia coronarica ma nessun ictus o infarto miocardico precedente
Somministrare 60 mg di Brilinta due volte al giorno.
Generalmente utilizzare Brilinta con una dose di manutenzione giornaliera di aspirina da 75 mg a 100 mg [vedi Studi clinici ].
Ictus ischemico acuto o attacco ischemico transitorio (TIA)
Inizia il trattamento con una dose di carico di 180 mg di Brilinta e quindi continua con 90 mg due volte al giorno per un massimo di 30 giorni. Somministrare la prima dose di manutenzione da 6 a 12 ore dopo la dose di carico.
Usa Brilinta con una dose di carico di aspirina (da 300 mg a 325 mg) e una dose di mantenimento giornaliera di aspirina da 75 mg a 100 mg [vedi Studi clinici ].
Come fornito
Dosaggio Forms And Strengths
Brilinta (Ticagrelor) 90 mg viene fornito come una compressa rotonda di pellicola gialla gialla marcata con una 90 sopra T su un lato.
Brilinta (Ticagrelor) 60 mg viene fornito come una tavoletta rotonda con rivestimento rosa biconvex contrassegnato con 60 sopra T su un lato.
Archiviazione e maneggevolezza
Brilinta (Ticagrelor) 90 mg viene fornito come una compressa rotonda di pellicola gialla Biconvex con 90 sopra T su un lato:
Bottiglie di 60 - Nd C 0186-0777-60
Dose dell'unità ospedaliera da 100 conteggi - NdC 0186-0777-39
Brilinta (Ticagrelor) 60 mg viene fornito come una compressa rotonda di pellicola rosa Biconvex con 60 sopra T su un lato:
Bottiglie di 60 - NdC 0186-0776-60
Archiviazione e maneggevolezza
Conservare a 25 ° C (77 ° F); Escursioni consentite a 15-30 ° C (da 59 a 86 ° F) [vedi temperatura ambiente controllata da USP].
Distribuito da: Astrazeneca Pharmaceuticals LP Wilmington de 19850. Revisionato: nov 2024
Effetti collaterali for Brilinta
Le seguenti reazioni avverse sono anche discusse altrove nell'etichettatura:
- Sanguinante [vedi AVVERTIMENTOS ANd PRECAUTIONS ]
- Dispnea [vedi AVVERTIMENTOS ANd PRECAUTIONS ]
Esperienza di studi clinici
Poiché gli studi clinici sono condotti in condizioni di reazione avverse ampiamente variabili osservate negli studi clinici di un farmaco non possono essere paragonati direttamente ai tassi negli studi clinici di un altro farmaco e potrebbero non riflettere i tassi osservati nella pratica.
Brilinta has been evaluated for safety in more than 58000 patients.
Sanguinamento in Platone (riduzione del rischio di eventi trombotici in ACS)
La Figura 1 è un diagramma di tempo per il primo evento di sanguinamento principale non Cabg.
Figura 1-Kaplan-Meier stima del tempo al primo evento sanguinante maggiore non definito da Platone (Platone)
|
La frequenza di sanguinamento in Platone è riassunta nelle tabelle 1 e 2. Circa la metà dei principali eventi di sanguinamento non cabg erano nei primi 30 giorni.
Tabella 1-Bleed non cabg correlati (Platone)
| Brilinta* N = 9235 | Clopidogrel N = 9186 | |
| N (%) pazienti con evento | N (%) pazienti con evento | |
| Platone maggiore minore | 713 (7.7) | 567 (6.2) |
| 362 (3.9) | 306 (3.3) | |
| 171 (1.9) | 151 (1.6) | |
| 15 (NULL,2) | 16 (NULL,2) | |
| 26 (NULL,3) | 15 (NULL,2) | |
| Platone Minor Bleed: Richiede un intervento medico per fermare o trattare il sanguinamento. Platone Major Bleed: uno dei seguenti: fatale; intracranico; intrapericardiale con tamponamento cardiaco; shock ipovolemico o ipotensione grave che richiede un intervento; disabilitante significativamente (ad es. Intraoculare con perdita di visione permanente); associato a una diminuzione di Hb di almeno 3 g/dL (o una caduta dell'ematocrito (HCT) di almeno il 9%); trasfusione di 2 o più unità. Platone Major Bleeded Fatal/pericoloso per la vita: qualsiasi sanguinamento importante come descritto sopra e associato a una diminuzione di HB di oltre 5 g/dL (o una caduta dell'ematocrito (HCT) di almeno il 15%); trasfusione di 4 o più unità. Fatale: Un evento sanguinante che ha portato direttamente alla morte entro 7 giorni. * 90 mg di offerta |
Nessun fattore demografico basale ha alterato il rischio relativo di sanguinamento con Brilinta rispetto al clopidogrel.
In Platone 1584 i pazienti sono stati sottoposti a chirurgia CABG. Le percentuali di quei pazienti che hanno sanguinato sono mostrate nella Figura 2 e nella Tabella 2.
Figura 2-Sanguinamento correlato a CABG Major fatale/pericoloso per la vita dall'ultima dose di dose di studio alla procedura CABG (Platone)
|
| L'asse X è giorni dall'ultima dose di dose di studio prima del CABG. Il protocollo Platone ha raccomandato una procedura per trattenere il farmaco di studio prima di CABG o altri importanti interventi chirurgici senza indossare. Se la chirurgia era un farmaco di studio elettivo o non urgente, veniva interrotto temporaneamente come segue: se la pratica locale doveva consentire che gli effetti antipiastrinanti si dissipassero prima che le capsule di chirurgia (clopidogrel cieco) erano trattenuti 5 giorni prima dell'intervento e le compresse (ticagrelor in cieco) erano trattenute per un minimo di 24 ore e un massimo di 72 ore prima di chirurgia. Se la pratica locale doveva eseguire un intervento chirurgico senza aspettare la dissipazione di capsule e compresse di effetti antipiastrinici venivano trattenuti 24 ore prima dell'intervento e l'uso di aprotinina o altri agenti emostatici. Se la pratica locale doveva utilizzare il monitoraggio IPA per determinare quando si poteva eseguire un intervento chirurgico sia le capsule che i tablet venivano trattenuti contemporaneamente e le solite procedure di monitoraggio seguivano. T ticagrelor; C clopidogrel. |
Tabella 2-sanguinamento correlato al CABG (Platone)
| Brilinta* N = 770 | Clopidogrel N = 814 | |
| N (%) pazienti con evento | N (%) pazienti con evento | |
| Platone Total Major | 626 (81.3) | 666 (81.8) |
| 337 (NULL,8) | 350 (43.0) | |
| 6 (NULL,8) | 7 (NULL,9) | |
| Platone Major Bleed: uno dei seguenti: fatale; intracranico; intrapericardiale con tamponamento cardiaco; shock ipovolemico o ipotensione grave che richiede un intervento; disabilitante significativamente (ad es. Intraoculare con perdita di visione permanente); associato a una diminuzione di Hb di almeno 3 g/dL (o una caduta dell'ematocrito (HCT) di almeno il 9%); trasfusione di 2 o più unità. Platone Major Bleeded Fatal/pericoloso per la vita: qualsiasi sanguinamento importante come descritto sopra e associato a una diminuzione di HB di oltre 5 g/dL (o una caduta dell'ematocrito (HCT) di almeno il 15%); trasfusione di 4 o più unità. * 90 mg di offerta |
Quando la terapia antipiastrinica è stata arrestata 5 giorni prima che il sanguinamento maggiore del CABG si verificasse nel 75% dei pazienti trattati con Brilinta e il 79% su clopidogrel.
Altre reazioni avverse in Platone
Le reazioni avverse che si sono verificate ad un tasso del 4% o più in Platone sono mostrate nella Tabella 3.
Tabella 3-Percentuale di pazienti che segnalano reazioni avverse non emorragiche almeno il 4% o più in entrambi i gruppi e più frequentemente su Brilinta (Platone)
| Brilinta* N = 9235 | Clopidogrel N = 9186 | |
| Dispnea | 13.8 | 7.8 |
| Vertigini | 4.5 | 3.9 |
| Nausea | 4.3 | 3.8 |
| * 90 mg di offerta |
Sanguinamento in pegasus (prevenzione secondaria in pazienti con storia di infarto miocardico)
L'esito generale degli eventi sanguinanti nello studio di Pegasus è mostrato nella Tabella 4.
Tabella 4 - Eventi sanguinanti (Pegasus)
| Brilinta* N = 6958 | Placebo N = 6996 | |
| Eventi / 1000 anni di pazienti | Eventi / 1000 anni di pazienti | |
| Timi Major | 8 | 3 |
| 1 | 1 | |
| 2 | 1 | |
| Timi Major or Minor | 11 | 5 |
| Timi Major: Sanguinamento fatale o qualsiasi sanguinamento intracranico o segni clinicamente palesi di emorragia associati a una goccia di emoglobina (HGB) di ≥5 g/dL o una caduta dell'ematocrito (HCT) di ≥15%. Fatale: Un evento sanguinante che ha portato direttamente alla morte entro 7 giorni. Timi Minor: Clinicamente evidente con una diminuzione di 3-5 g/dL nell'emoglobina. * 60 mg di offerta |
Il profilo sanguinante di Brilinta 60 mg rispetto alla sola aspirina era coerente tra più sottogruppi predefiniti (ad esempio per età di razza di genere di genere regione geografica Condizioni concomitanti con terapia concomitante Stent e storia medica) per eventi di sanguinamento maggiore o minore.
Altre reazioni avverse in pegasus
Le reazioni avverse che si sono verificate in Pegasus a tassi del 3% o più sono mostrate nella Tabella 5.
Tabella 5-Reazioni avverse non emorragiche riportate in> 3,0% dei pazienti nel gruppo di trattamento Ticagrelor 60 mg (PEGASUS)
| Brilinta* N = 6958 | Placebo N = 6996 | |
| Dispnea | 14,2% | 5,5% |
| Vertigini | 4,5% | 4,1% |
| Diarrea | 3,3% | 2,5% |
| *60 mg di offerta |
Sanguinamento in tesi (prevenzione dei principali eventi CV in pazienti con CAD e diabete mellito di tipo 2)
La curva del tempo di Kaplan-Meier al primo evento di sanguinamento principale di Timi è presentata nella Figura 3.
Figura 3 -tempo al primo evento di sanguinamento principale di Timi (Thetis)
|
| T = ticagrelor; P = placebo; N = numero di pazienti |
Gli eventi sanguinanti in tesi sono mostrati di seguito nella Tabella 6.
Tabella 6 - Eventi sanguinanti (Thetis)
| Brilinta N = 9562 | Placebo N = 9531 | |
| Eventi / 1000 anni di pazienti | Eventi / 1000 anni di pazienti | |
| Timi Major | 9 | 4 |
| Timi Major or Minor | 12 | 5 |
| Timi Major or Minor or Requiring medical attention | 46 | 18 |
| Sanguinamento fatale | 1 | 0 |
| Emorragia intracranica | 3 | 2 |
Sanguinamento nei tales (riduzione del rischio di ictus in pazienti con ictus ischemico acuto o TIA)
La curva Kaplan-Meier del corso del tempo di gusto gravi eventi di sanguinamento è presentata nella Figura 4.
Figura 4: corso di gusto gravi eventi sanguinanti
|
| KM%: percentuale di Kaplan-Meier valutata al giorno 30; T = ticagrelor; P = placebo; N = numero di pazienti Vuoi grave: Uno dei seguenti: sanguinamento fatale sanguinamento intracranico (escluso le trasformazioni emorragiche asintomatiche di infarzioni cerebrali ischemiche ed escluse le microemorragie <10 mm evident only on gradient-echo magnetic resonance imaging) bleeding that caused hemodynamic compromise requiring intervention (e.g. systolic blood pressure <90 mmg Hg that required blood or fluid replacement or vasopressor/inotropic support or surgical intervention). |
Sanguinamento intracranico e sanguinamento fatale nei tales
In totale c'erano 21 emorragie intracraniche (ICH) per Brilinta e 6 ICH per placebo. Sanguine fatali quasi tutto si è verificato in 11 per Brilinta e in 2 per il placebo.
Bradicardia
In un sottostudio di Holter di circa 3000 pazienti in Platone, più pazienti avevano pause ventricolari con Brilinta (NULL,0%) rispetto al clopidogrel (NULL,5%) nella fase acuta; I tassi erano rispettivamente del 2,2% e dell'1,6% dopo 1 mese. Platone pegasus tesi e tales hanno escluso i pazienti ad aumentato rischio di eventi bradicardici (ad esempio pazienti con sindrome del seno malato 2 nd o 3 Rd Grado AV Block o Sincope correlata al bradicardico e non protetto con un pacemaker).
Anomalie di laboratorio
Acido urico sierico
Nei livelli di acido urico sierico di Platone sono aumentati di circa 0,6 mg/dL dal basale su Brilinta 90 mg e circa 0,2 mg/dl su clopidogrel. La differenza è scomparsa entro 30 giorni dalla discontinzione del trattamento. Le segnalazioni di gotta non differivano tra i gruppi di trattamento in Platone (NULL,6% in ciascun gruppo).
Nei livelli di acido urico sierico di Pegasus aumentavano di circa 0,2 mg/dL dalla linea di base sulla Brilinta 60 mg e non è stata osservata alcuna elevazione solo sull'aspirina. La gotta si è verificata più comunemente nei pazienti con Brilinta che nei pazienti solo con aspirina (NULL,5% 1,1%). Le concentrazioni medie sieriche di acido urico sono diminuite dopo l'arresto del trattamento.
Creatinina sierica
In Platone un aumento> 50% dei livelli sierici di creatinina è stato osservato nel 7,4% dei pazienti sottoposti a Brilinta 90 mg rispetto al 5,9% dei pazienti che hanno ricevuto clopidogrel. Gli aumenti in genere non hanno progredito con il trattamento in corso e spesso sono diminuiti con la terapia continua. Sono state osservate prove di reversibilità dopo l'interruzione anche in quelli con i maggiori aumenti del trattamento. I gruppi di trattamento a Platone non differivano per eventi avversi gravi renali come insufficienza renale acuta di nefropatia o oliguria tossica.
Nella concentrazione sierica di creatinina sierica di Pegasus è aumentata di> 50% in circa il 4% dei pazienti che hanno ricevuto Brilinta 60 mg in modo simile alla sola aspirina. La frequenza degli eventi avversi correlati renali era simile per il solo ticagrelor e aspirina, indipendentemente dall'età e dalla funzione renale al basale.
Esperienza post -marketing
Le seguenti reazioni avverse sono state identificate durante l'uso post-approvazione di Brilinta. Poiché queste reazioni sono riportate volontariamente da una popolazione di dimensioni sconosciute, non è sempre possibile stimare in modo affidabile la loro frequenza o stabilire una relazione causale con l'esposizione ai farmaci.
Disturbi del sistema di sangue e linfatici: La purpura trombocitopenica trombotica (TTP) è stata raramente segnalata con l'uso di Brilinta. Il TTP è una condizione grave che può verificarsi dopo una breve esposizione ( <2 weeks) E requires prompt treatment.
Disturbi del sistema immunitario: Reazioni di ipersensibilità incluso l'angiedema [vedi Controindicazioni ].
Disturbi respiratori: Apnea del sonno centrale Cheyne-Stokes Respirazione
Disturbi della pelle e dei tessuti sottocutanei: Eruzione cutanea
Interazioni farmacologiche for Brilinta
Forti inibitori del CYP3A
I forti inibitori del CYP3A aumentano sostanzialmente l'esposizione al ticagrelor e aumentano così il rischio di sanguinamento della dispnea e altri eventi avversi. Evita l'uso di forti inibitori del CYP3A (ad esempio ketoconazolo itraconazolo voriconazolo chlaritromicina nefazodone ritonavir saqinavir nelfinavir indinavir azanavir e telitromicina) [vedi Farmacologia clinica ].
Forti induttori del CYP3A
I forti induttori del CYP3A riducono sostanzialmente l'esposizione al ticagrelor e quindi riducono l'efficacia del ticagrelor. Evita l'uso con forti induttori di CYP3A (ad esempio la fenitoina di rifampina carbamazepina e fenobarbital) [vedi Farmacologia clinica ].
Oppioidi
Come con altri P2y orali 12 Inibitori della co-somministrazione di agonisti degli oppiacei ritardano e riducono l'assorbimento del ticagrelor e il suo metabolita attivo presumibilmente a causa dello svuotamento gastrico rallentato [vedi Farmacologia clinica ]. Consider the use of a parenteral anti-platelet agent in acute coronary syndrome patients requiring co-administration of morphine or other opioid agonists.
Simvastatin Lovastatin Rosuvastatin
Brilinta increases serum concentrations of simvastatin E lovastatin because these drugs are metabolized by CYP3A4. Avoid simvastatin E lovastatin doses greater than 40 mg [see Farmacologia clinica ].
Brilinta aumenta la concentrazione sierica di rosuvastatina perché la rosuvastatina è un substrato BCRP [vedi Farmacologia clinica ].
Digossina
Brilinta inhibits the P-glycoprotein transporter; monitor digoxin levels with initiation of or change in Brilinta therapy [see Farmacologia clinica ].
metoprololo succina con o senza cibo
Avvertimenti per Brilinta
Incluso come parte del 'PRECAUZIONI' Sezione
Precauzioni per Brilinta
Rischio di sanguinamento
I farmaci che inibiscono la funzione piastrinica tra cui la Brilinta aumentano il rischio di sanguinamento [vedi Interruzione della Brilinta nei pazienti trattati per la malattia coronarica E Reazioni avverse ].
Pazienti trattati per ictus ischemico acuto o TIA
Non è raccomandato i pazienti di NIHSS> 5 e i pazienti che ricevono trombolisi sono stati esclusi dai tales e l'uso di Brilinta in tali pazienti.
Interruzione della Brilinta nei pazienti trattati per la malattia coronarica
L'interruzione di Brilinta aumenterà il rischio di ictus di infarto del miocardio e morte nei pazienti trattati per la malattia coronarica. Se la Brilinta deve essere temporaneamente sospesa (ad es. Per trattare il sanguinamento o per un intervento chirurgico significativo), riavvialo il prima possibile. Quando possibile terapia di interruzione con Brilinta per cinque giorni prima dell'intervento chirurgico che ha un grande rischio di sanguinamento. Riprendi Brilinta non appena si ottiene l'emostasi.
Dispnea
Negli studi clinici di circa il 14% (Platone e Pegasus) al 21% (Thetis) di pazienti trattati con Brilinta sviluppata dispnea. La dispnea era generalmente da lieve a moderata di intensità e spesso si è risolta durante il trattamento continuo, ma ha portato a studiare l'interruzione del farmaco nello 0,9% (Platone) 1,0% (tales) 4,3% (PEGASUS) e 6,9% (tesi) dei pazienti.
In un sottostudio di Platone 199 soggetti sono stati sottoposti a test di funzionalità polmonare, indipendentemente dal fatto che abbiano riportato dispnea. Non vi era alcuna indicazione di un effetto avverso sulla funzione polmonare valutata dopo un mese o dopo almeno 6 mesi di trattamento cronico.
Se un paziente sviluppa una nuova dispnea prolungata o peggiorata che è determinata per essere correlata a Brilinta non è necessario un trattamento specifico; Continua a Brilinta senza interruzione, se possibile. Nel caso di intollerabile dispnea che richiede l'interruzione di Brilinta, considera di prescrivere un altro agente antipiastrinico.
Bradyarritmia
Brilinta can cause ventricular pauses [see Reazioni avverse ]. Bradyarritmia including AV block have been reported in the postmarketing setting. Patients with a history of sick sinus syndrome 2 nd o 3 Rd Il blocco AV di laurea o la sincope correlata alla bradicardia non protetta da un pacemaker sono stati esclusi dagli studi clinici e possono essere ad aumentato rischio di sviluppare bradyarritmie con ticagrelor.
Grave compromissione epatica
Evita l'uso di Brilinta in pazienti con grave compromissione epatica. È probabile che una grave compromissione epatica aumenti la concentrazione sierica di ticagrelor. Non ci sono studi sui pazienti con Brilinta con grave compromissione epatica [vedi Farmacologia clinica ].
Apnea del sonno centrale
L'apnea del sonno centrale (CSA) tra cui la respirazione di Cheyne-Stokes (CSR) è stata segnalata nell'ambientazione post-marketing in pazienti che assumono ticagrelor, incluso recidiva o peggioramento di CSA/CSR dopo la ricarica. Se si sospetta l'apnea del sonno centrale, considera un'ulteriore valutazione clinica.
Interferenze di test di laboratorio
Test funzionali falsi negativi per la trombocitopenia indotta da eparina (HIT)
Brilinta has been reported to cause false negative results in platelet functional tests (including the heparin-induced platelet aggregation (HIPA) assay) for patients with Heparin Induced Thrombocytopenia (HIT). This is related to inhibition of the P2Y 12 -regrettore sulle piastrine di donatori sane nel test di Ticagrelor nel siero/plasma del paziente interessato. Sono necessarie informazioni sul trattamento concomitante con Brilinta per l'interpretazione dei test funzionali HIT. Sulla base del meccanismo dell'interferenza di Brilinta, non si prevede che Brilinta abbia un impatto sul test degli anticorpi PF4 per Hit.
Informazioni sulla consulenza del paziente
Consiglia al paziente di leggere l'etichettatura del paziente approvato dalla FDA ( Guida ai farmaci ).
Consigliare i pazienti le dosi quotidiane di aspirina non devono superare i 100 mg ed evitare di assumere altri farmaci che contengono aspirina.
Consiglia ai pazienti che loro:
- Sanguinerà e lividi più facilmente
- Richiederà più tempo del solito per smettere di sanguinare
- Dovrebbe denunciare un sanguinamento prolungato o eccessivo imprevisti o sangue nelle feci o nelle urine.
Consiglia ai pazienti di contattare il proprio medico se sperimentano una mancanza di respiro inaspettata soprattutto se grave.
Consiglia ai pazienti di informare medici e dentisti che stanno prendendo Brilinta prima di qualsiasi intervento chirurgico o procedura dentale.
Consiglia alle donne che l'allattamento al seno non è raccomandato durante il trattamento con Brilinta [vedi Utilizzare in popolazioni specifiche ].
Tossicologia non clinica
Mutagenesi della carcinogenesi compromissione della fertilità
Carcinogenesi
Il ticagrelor non era cancerogeno nel topo a dosi fino a 250 mg/kg/giorno o nel ratto maschile a dosi fino a 120 mg/kg/giorno (19 e 15 volte l'MRHD di 90 mg due volte al giorno sulla base dell'AUC rispettivamente). Carcinomi uterini Gli adenocarcinomi uterini e gli adenomi epatocellulari sono stati osservati in ratti femmine a dosi di 180 mg/kg/giorno (29 volte la dose massima raccomandata di 90 mg due volte al giorno sulla base di AUC) mentre 60 mg/kg/giorno (8 volte l'MRHD basato su AUC) non era carcinogenica in ratti.
Mutagenesi
Il ticagrelor non ha dimostrato la genotossicità quando è testato nel test del linfoma del topo di mutagenicità batterica di Ames e nel test del micronucleo del ratto. Il metabolita attivo O-demetilato non ha dimostrato la genotossicità nel test del test di Ames e del linfoma del topo.
Compromissione della fertilità
Ticagrelor non ha avuto alcun effetto sulla fertilità maschile a dosi fino a 180 mg/kg/giorno o sulla fertilità femminile a dosi fino a 200 mg/kg/giorno (> 15 volte il MRHD sulla base di AUC). Dosi di ≥10 mg/kg/giorno somministrate ai ratti femmine hanno causato una maggiore incidenza di cicli di estrus di durata irregolare (NULL,5 volte l'MRHD in base all'AUC).
Utilizzare in popolazioni specifiche
Gravidanza
Riepilogo del rischio
I dati disponibili dai casi clinici con l'uso di Brilinta nelle donne in gravidanza non hanno identificato un rischio associato al farmaco di gravi difetti alla nascita abortificazione o risultati avversi materni o fetali. Il ticagrelor somministrato a ratti in gravidanza e conigli incinta durante l'organogenesi ha causato anomalie strutturali nella prole a dosi materne da circa 5 a 7 volte la dose umana raccomandata massima (MRHD) in base alla superficie corporea. Quando il ticagrelor è stato somministrato ai topi durante la gestazione tardiva e l'allattamento la morte del cucciolo e gli effetti sulla crescita del cucciolo sono stati osservati a circa 10 volte il MRHD (vedi Dati ).
Il rischio di background stimato di principali difetti alla nascita e aborto spontaneo per la popolazione indicata non è noto. Tutte le gravidanze hanno un rischio di fondo di perdita di difetti alla nascita o altri risultati avversi. Nella popolazione generale degli Stati Uniti il rischio di background stimato di gravi difetti alla nascita e aborto in gravidanza clinicamente riconosciuta è rispettivamente dal 2 al 4% e dal 15 al 20%.
Dati
Dati sugli animali
Negli studi di tossicologia riproduttiva, i ratti in gravidanza hanno ricevuto ticagrelor durante l'organogenesi a dosi da 20 a 300 mg/kg/giorno. 20 mg/kg/giorno è approssimativamente uguale al MRHD di 90 mg due volte al giorno per un essere umano da 60 kg su un mg/m 2 base. Gli esiti avversi nella prole si sono verificati a dosi di 300 mg/kg/giorno (NULL,5 volte il MRHD su un mg/m 2 base) e incluso lobo epatico soprannumerario e le costole di ossificazione incompleta della sternebra dell'articolazione sfollata di bacino e sternebra disallinea/disallineato. Alla dosaggio medio di 100 mg/kg/giorno (NULL,5 volte il MRHD su un mg/m 2 base) è stato visto uno sviluppo ritardato di fegato e scheletro. Quando i conigli incinti hanno ricevuto il ticagrelor durante l'organogenesi a dosi da 21 a 63 mg/kg/giorno dei feti esposti alla dose materna più alta di 63 mg/kg/giorno (NULL,8 volte il MRHD su un mg/m 2 Base) aveva avuto uno sviluppo ritardato della cistifellea e l'ossificazione incompleta del pubis ioidale e della sterna.
In uno studio prenatale/postnatale i ratti in gravidanza hanno ricevuto ticagrelor a dosi da 10 a 180 mg/kg/giorno durante la gestazione e l'allattamento tardivi. La morte e gli effetti del cucciolo sulla crescita del cucciolo sono stati osservati a 180 mg/kg/die (circa 10 volte il MRHD su un mg/m 2 base). Effetti relativamente minori come ritardi nello sviluppo di pinna e l'apertura degli occhi si sono verificati a dosi di 10 e 60 mg/kg (circa metà e 3,2 volte il MRHD su un mg/m 2 base).
Lattazione
Riepilogo del rischio
Non ci sono dati sulla presenza di ticagrelor o dei suoi metaboliti nel latte umano gli effetti sul bambino allattato al seno o sugli effetti sulla produzione di latte. Il ticagrelor e i suoi metaboliti erano presenti nel latte di ratto a concentrazioni più elevate rispetto al plasma materno. Quando un farmaco è presente nel latte animale, è probabile che il farmaco sia presente nel latte umano. L'allattamento al seno non è raccomandato durante il trattamento con Brilinta.
Uso pediatrico
La sicurezza e l'efficacia di Brilinta non sono state stabilite nei pazienti pediatrici. L'efficacia non è stata dimostrata in uno studio adeguato e ben controllato condotto in 101 pazienti pediatrici trattati con Brilinta di età compresa <18 for reducing the rate of vaso-occlusive crises in sickle cell disease.
Uso geriatrico
Circa la metà dei pazienti in Platone Pegasus tesi e tales avevano ≥65 anni di età e almeno il 15% aveva ≥75 anni di età. Non sono state osservate differenze complessive nella sicurezza o nell'efficacia tra i pazienti anziani e più giovani.
Compromissione epatica
Il ticagrelor è metabolizzato dal fegato e la funzione epatica compromessa può aumentare i rischi di sanguinamento e altri eventi avversi. Evita l'uso di Brilinta in pazienti con grave compromissione epatica. C'è un'esperienza limitata con Brilinta in pazienti con moderata compromissione epatica; Considera i rischi e i benefici del trattamento rilevando il probabile aumento dell'esposizione al ticagrelor. Non è necessario un aggiustamento del dosaggio nei pazienti con lieve compromissione epatica [vedi AVVERTIMENTOS ANd PRECAUTIONS E Farmacologia clinica ].
Compromissione renale
Non è necessario un aggiustamento del dosaggio nei pazienti con compromissione renale [vedi Farmacologia clinica ].
Pazienti con malattia renale allo stadio terminale in dialisi
Studi di efficacia clinica e sicurezza con Brilinta non hanno arruolato i pazienti con la malattia renale allo stadio terminale (ESRD) in dialisi. Nei pazienti con ESRD mantenuti su emodialisi intermittente nessuna differenza clinicamente significativa nelle concentrazioni di ticagrelor e il suo metabolita e l'inibizione piastrinica sono attesi rispetto a quelli osservati nei pazienti con normale funzione renale [vedi Farmacologia clinica ]. It is not known whether these concentrations will lead to similar efficacy E safety in patients with ESRD on dialysis as were seen in PLATONE Pegasus Thetis E Thales.
Informazioni per overdose per Brilinta
Al momento non esiste un trattamento noto per invertire gli effetti di Brilinta e Ticagrelor non è dialzabile. Il trattamento del sovradosaggio dovrebbe seguire la pratica medica standard locale. Il sanguinamento è l'effetto farmacologico atteso del sovradosaggio. Se si verifica un sanguinamento appropriati misure di supporto.
La trasfusione di piastrine non ha invertito l'effetto antipiastrinico di Brilinta in volontari sani ed è improbabile che abbia un beneficio clinico nei pazienti con sanguinamento.
Altri effetti del sovradosaggio possono includere effetti gastrointestinali (diarrea di vomito di nausea) o pause ventricolari. Monitorare l'ECG.
Controindicazioni per Brilinta
Storia dell'emorragia intracranica
Brilinta is contraindicated in patients with a history of intracranial hemorrhage (ICH) because of a high risk of recurrent ICH in this population [see Studi clinici ].
Sanguinamento attivo
Brilinta is contraindicated in patients with active pathological bleeding such as peptic ulcer or intracranial hemorrhage [see AVVERTIMENTOS ANd PRECAUTIONS E Reazioni avverse ].
Ipersensibilità
Brilinta is contraindicated in patients with hypersensitivity (e.g. angioedema) to ticagrelor or any component of the product.
Farmacologia clinica for Brilinta
Meccanismo d'azione
Il ticagrelor e il suo principale metabolita interagiscono in modo reversibile con il recettore ADP P2Y12 piastrinico per prevenire la trasduzione del segnale e l'attivazione piastrinica. Ticagrelor e il suo metabolita attivo sono approssimativamente equilibri.
Farmacodinamica
L'inibizione dell'aggregazione piastrinica (IPA) da parte del ticagrelor e del clopidogrel è stata confrontata in uno studio di 6 settimane che esamina gli effetti di inibizione piastrinica acuta e cronica in risposta a 20 μM di ADP come agonista di aggregazione piastrinica.
L'inizio dell'IPA è stato valutato il primo giorno dello studio a seguito di dosi di carico di 180 mg di ticagrelor o 600 mg di clopidogrel. Come mostrato nella Figura 5 IPA era più elevato nel gruppo Ticagrelor in tutti i tempi. L'effetto IPA massimo di Ticagrelor è stato raggiunto a circa 2 ore ed è stato mantenuto per almeno 8 ore.
L'offset di IPA è stato esaminato dopo 6 settimane su ticagrelor 90 mg due volte al giorno o clopidogrel 75 mg di nuovo al giorno in risposta a 20 μm di ADP.
Come mostrato nella Figura 6 IPA massimo medio dopo l'ultima dose di ticagrelor era dell'88% e del 62% per il clopidogrel. L'inserto nella Figura 6 mostra che dopo 24 ore di IPA nel gruppo Ticagrelor (58%) era simile all'IPA nel gruppo clopidogrel (52%) che indica che i pazienti che perdono una dose di ticagrelor mantenevano comunque l'IPA simile all'IPA di trogolo dei pazienti trattati con clopidogrel. Dopo 5 giorni di IPA nel gruppo Ticagrelor era simile all'IPA nel gruppo placebo. Non è noto come il rischio sanguinante o la pista di rischio trombotico con IPA per ticagrelor o clopidogrel.
Figura 5: inibizione media dell'aggregazione piastrinica (± SE) a seguito di singole dosi orali di ticagrelor da 180 mg di placebo o clopidogrel da 600 mg
|
Figura 6: inibizione media dell'aggregazione piastrinica (IPA) dopo 6 settimane sul ticagrelor placebo 90 mg due volte al giorno o clopidogrel 75 mg al giorno
Unico IS-2 Bacillus Coagulans
|
Il passaggio da clopidogrel a Brilinta ha comportato un aumento assoluto dell'IPA del 26,4% e da Brilinta a Clopidogrel ha comportato una riduzione assoluta dell'IPA del 24,5%. I pazienti possono essere passati da clopidogrel a Brilinta senza interruzione dell'effetto antipiastrinico [vedi Dosaggio e amministrazione ].
Farmacocinetica
Ticagrelor dimostra farmacocinetica proporzionale dose che sono simili nei pazienti e volontari sani.
Assorbimento
Brilinta can be taken with or without food. Assorbimento of ticagrelor occurs with a median tmax of 1.5 h (range 1.0â€4.0). The formation of the major circulating metabolite AR-C124910XX (active) from ticagrelor occurs with a median tmax of 2.5 h (range 1.5-5.0).
La biodisponibilità assoluta media del ticagrelor è di circa il 36%(intervallo 30%-42%). L'ingestione di un pasto ricco di grassi non ha avuto alcun effetto sul ticagrelor CMAX ma ha comportato un aumento del 21% di AUC. Il CMAX del suo principale metabolita è stato ridotto del 22% senza cambiamenti nell'AUC.
Brilinta as crushed tablets mixed in water given orally or administered through a nasogastric tube into the stomach is bioequivalent to whole tablets (AUC E Cmax within 80-125% for ticagrelor E AR-C124910XX) with a median tmax of 1.0 hour (range 1.0 †4.0) for ticagrelor E 2.0 hours (range 1.0 â€8.0) for AR-C124910XX.
Distribuzione
Il volume stazionario della distribuzione del ticagrelor è 88 L. ticagrelor e il metabolita attivo è ampiamente legato alle proteine plasmatiche umane (> 99%).
Metabolismo
Il CYP3A4 è il principale enzima responsabile del metabolismo del ticagrelor e la formazione del suo principale metabolita attivo. Il ticagrelor e il suo principale metabolita attivo sono deboli substrati e inibitori della glicoproteina p deboli. L'esposizione sistemica al metabolita attivo è di circa il 30-40% dell'esposizione del ticagrelor. Ticagrelor è un inibitore del BCRP.
Escrezione
La via principale dell'eliminazione del ticagrelor è il metabolismo epatico. Quando viene somministrato il ticagrelor radiomarcato, il recupero medio della radioattività è di circa l'84% (58% nelle feci del 26% nelle urine). I recuperi del ticagrelor e del metabolita attivo nelle urine erano entrambi inferiori all'1% della dose. È molto probabile che la via principale di eliminazione per il principale metabolita del ticagrelor sia una secrezione biliare. Il t½ medio è di circa 7 ore per il ticagrelor e 9 ore per il metabolita attivo.
Popolazioni specifiche
Gli effetti della compromissione renale di etnia di genere di genere e lieve compromissione epatica sulla farmacocinetica del ticagrelor sono presentati nella Figura 7. Gli effetti sono modesti e non richiedono un aggiustamento della dose.
Pazienti con malattia renale allo stadio terminale in emodialisi
Nei pazienti con malattia renale in stadio finale sull'emodialisi AUC e CMAX di Brilinta 90 mg somministrate in un giorno senza dialisi erano rispettivamente del 38% e del 51% rispetto ai soggetti con funzione renale normale. Un simile aumento dell'esposizione è stato osservato quando Brilinta è stata somministrata immediatamente prima della dialisi dimostrando che Brilinta non è dializzabile. L'esposizione del metabolita attivo è aumentata in misura minore. L'effetto IPA di Brilinta era indipendente dalla dialisi nei pazienti con malattia renale allo stadio finale e simile agli adulti sani con normale funzione renale.
Figura 7: Impatto di fattori intrinseci sulla farmacocinetica del ticagrelor
|
Effetti di altri farmaci su Brilinta
Il CYP3A4 è il principale enzima responsabile del metabolismo del ticagrelor e la formazione del suo principale metabolita attivo. Gli effetti di altri farmaci sulla farmacocinetica del ticagrelor sono presentati nella Figura 8 come cambiamento rispetto al ticagrelor dato da solo (test/riferimento). I forti inibitori del CYP3A (ad esempio ketoconazolo itraconazolo e claritromicina) aumentano sostanzialmente l'esposizione al ticagrelor. Gli inibitori del CYP3A moderati hanno effetti minori (ad es. Diltiazem). Gli induttori del CYP3A (ad es. Rifampin) riducono sostanzialmente i livelli ematici di ticagrelor. Gli inibitori della P-GP (ad es. Ciclosporina) aumentano l'esposizione al ticagrelor.
La co-somministrazione di 5 mg di morfina endovenosa con 180 mg di dose di carico di ticagrelor ha ridotto l'esposizione media di ticagrelor osservata fino al 25% negli adulti sani e fino al 36% nei pazienti con ACS sottoposti a PCI. TMAX è stato ritardato di 1-2 ore. L'esposizione del metabolita attivo è diminuita in misura simile. La co-somministrazione della morfina non ha ritardato o diminuito l'inibizione piastrinica negli adulti sani. L'aggregazione piastrinica media era più alta fino a 3 ore dopo la dose di carico nei pazienti con ACS co-somministrati con morfina.
La co-somministrazione di fentanil endovenoso con 180 mg di dose di carico di ticagrelor nei pazienti con ACS sottoposti a PCI ha comportato effetti simili sull'esposizione al ticagrelor e l'inibizione piastrinica.
Figura 8: Effetto dei farmaci co-somministrati sulla farmacocinetica del ticagrelor
|
*Vedere Dosaggio e amministrazione
Effetti di Brilinta su altri farmaci
Gli studi sul metabolismo in vitro dimostrano che il ticagrelor e il suo principale metabolita attivo sono deboli inibitori dei potenziali attivatori del CYP3A4 del CYP3A5 e degli inibitori del trasportatore di P-GP. Gli studi sul metabolismo in vitro lo dimostrano. Ticagrelor è un inibitore del BCRP. Ticagrelor e AR-C124910XX non hanno dimostrato di non avere alcun effetto inibitorio sull'attività umana CYP1A2 CYP2C19 e CYP2E1. Per specifici effetti in vivo sulla farmacocinetica della simvastatina atorvastatina etinil estradiolo levonorgesterolo tolbutamide digossina e ciclosporina vedi Figura 9.
Figura 9: Impatto di Brilinta sulla farmacocinetica dei farmaci co-somministrati
|
Farmacogenomica
In una coorte genetica sostanza di Platone il tasso di eventi trombotici CV nel braccio Brilinta non dipendeva dallo stato della perdita di funzione CYP2C19.
Studi clinici
Sindromi coronarie acute e prevenzione secondaria dopo infarto miocardico
PLATONE
PLATONE (NCT00391872) was a rEomized double-blind study comparing Brilinta (N = 9333) to clopidogrel (N = 9291) both given in combination with aspirina E other stEaRd therapy in patients with acute coronary syndromes (ACS) who presented within 24 hours of onset of the most recent episode of chest pain or symptoms. The study’s primary endpoint was the composite of first occurrence of cardiovascolare morte non-fatal MI (excluding silent MI) or non-fatal stroke.
I pazienti che erano già stati trattati con clopidogrel potevano essere arruolati e randomizzati a entrambi i trattamenti di studio. Sono stati esclusi i pazienti con precedenti sanguinamenti gastrointestinali di emorragia intracranica o con diatesi di sanguinamento noto o disturbo di coagulazione. I pazienti che assumono anticoagulanti sono stati esclusi dai partecipanti e i pazienti che hanno sviluppato un'indicazione per l'anticoagulazione durante lo studio sono stati interrotti dal farmaco dello studio. I pazienti potevano essere inclusi se vi fosse intenzione di gestire l'ACS dal punto di vista medico o invasivo, ma la randomizzazione del paziente non era stratificata da questo intento.
Tutti i pazienti randomizzati a Brilinta hanno ricevuto una dose di carico di 180 mg seguita da una dose di mantenimento di 90 mg due volte al giorno. I pazienti nel braccio clopidogrel sono stati trattati con una dose di carico iniziale di clopidogrel 300 mg se la terapia clopidogrel non era già stata somministrata. I pazienti sottoposti a PCI potrebbero ricevere ulteriori 300 mg di clopidogrel a discrezione degli investigatori. È stata raccomandata una dose di manutenzione giornaliera di aspirina 75-100 mg, ma sono state ammesse dosi di aspirina di manutenzione più elevate in base al giudizio locale. I pazienti sono stati trattati per almeno 6 mesi e per un massimo di 12 mesi.
I pazienti Platone erano prevalentemente maschi (72%) e caucasici (92%). Circa il 43% dei pazienti era> 65 anni e il 15% era> 75 anni. L'esposizione mediana allo studio del farmaco era di 276 giorni. Circa la metà dei pazienti ha ricevuto clopidogrel pre-studio e circa il 99% dei pazienti ha ricevuto aspirina in qualche momento durante Platone. Circa il 35% dei pazienti stava ricevendo una statina al basale e il 93% ha ricevuto una statina durante Platone.
La tabella 7 mostra i risultati dello studio per l'endpoint composito primario e il contributo di ciascun componente all'endpoint primario. Sono mostrate analisi endpoint secondarie separate per il verificarsi complessiva di MI di morte CV e ictus e mortalità generale.
Tabella 7: pazienti con eventi di risultato (Platone)
| Brilinta* N = 9333 | Clopidogrel N = 9291 | Hazard Ratio (95% CI) | valore p | |
| Eventi / 1000 anni di pazienti | Eventi / 1000 anni di pazienti | |||
| Composito di morte cv mi o ictus | 111 | 131 | 0.84 (NULL,77 0,92) | 0.0003 |
| Morte cv | 32 | 43 | 0.74 | |
| Non-fatal MI | 64 | 76 | 0.84 | |
| Ictus non fatale | 15 | 12 | 1.24 | |
| Endpoint secondari † | ||||
| Morte cv | 45 | 57 | 0.79 (NULL,69 0,91) | 0.0013 |
| ME‡ | 65 | 76 | 0.84 (NULL,75 0,95) | 0.0045 |
| Colpo‡ | 16 | 14 | 1.17 (NULL,91 1,52) | 0.22 |
| Mortalità per tutte le cause | 51 | 65 | 0.78 (NULL,69 0,89) | 0.0003 |
| *Dosata a 90 mg di offerta. † NOTA: i tassi dei primi eventi per i componenti CV Death MI e Sictus sono i tassi effettivi per i primi eventi per ciascun componente e non si sommano al tasso complessivo degli eventi nell'endpoint composito. ‡ Incluso pazienti che avrebbero potuto avere altri eventi non fatali o morire. |
La curva di Kaplan-Meier (Figura 10) mostra il tempo alla prima occorrenza dell'endpoint composito primario dell'MI non fatale di morte CV o dell'ictus non fatale nello studio generale.
Figura 10: tempo alla prima occorrenza della morte CV MI o ictus (Platone)
|
Le curve si separano per 30 giorni [riduzione del rischio relativo (RRR) 12%] e continuano a divergere durante il periodo di trattamento di 12 mesi (RRR 16%).
Tra 11289 pazienti con PCI che ricevevano qualsiasi stent durante Platone c'era un rischio inferiore di trombosi dello stent (NULL,3% per definito giudicato) rispetto al clopidogrel (NULL,9%) (HR 0,67 IC 95% 0,50-0,91; P = 0,009). I risultati sono stati simili per gli stent di metallo e metallo nudo.
Sono state esaminate una vasta gamma di farmaci basali simultanei demografici e altre differenze di trattamento per la loro influenza sui risultati. Alcuni di questi sono mostrati nella Figura 11. Tali analisi devono essere interpretate con cautela poiché le differenze possono riflettere il gioco di possibilità tra un gran numero di analisi. La maggior parte delle analisi mostra effetti coerenti con i risultati complessivi, ma ci sono due eccezioni: una scoperta di eterogeneità per regione e una forte influenza della dose di mantenimento dell'aspirina. Questi sono considerati ulteriormente di seguito.
La maggior parte delle caratteristiche mostrate sono caratteristiche di base ma alcune riflettono determinazioni post-randomizzazione (ad es. Dose di mantenimento dell'aspirina Uso di PCI).
Figura 11: Analisi dei sottogruppi di (Platone)
|
Nota: la figura sopra presenta gli effetti in vari sottogruppi la maggior parte delle quali sono caratteristiche di base e la maggior parte delle quali sono state pre-specificate. I limiti di confidenza al 95% che sono mostrati non tengono conto di quanti confronti sono stati effettuati né riflettono l'effetto di un fattore particolare dopo l'aggiustamento per tutti gli altri fattori. L'apparente omogeneità o eterogeneità tra i gruppi non dovrebbe essere troppo interpretata.
Differenze regionali
I risultati nel resto del mondo rispetto agli effetti in Nord America (Stati Uniti e Canada) mostrano un effetto minore in Nord America numericamente inferiore al controllo e guidato dal sottoinsieme statunitense. Il test statistico per il confronto USA/non USA è statisticamente significativo (p = 0,009) e la stessa tendenza è presente sia per la morte CV che per l'M non fatale. I risultati individuali e i valori p nominali come tutte le analisi dei sottoinsieme necessitano di un'interpretazione cauta e potrebbero rappresentare i risultati casuali. La coerenza delle differenze sia nella mortalità CV che nei componenti MI non fatali, tuttavia, supporta la possibilità che la scoperta sia affidabile.
Un'ampia varietà di differenze di base e procedurali tra Stati Uniti e non USA (compresi l'uso invasivo e pianificato di gestione medica pianificata degli inibitori GPIIB/IIIA di eluizione di farmaci e stent a metallo nudo) è stata esaminata per vedere se potevano spiegare le differenze regionali, ma con un'eccezione della dose di mantenimento dell'aspirazione non sembrava portare a differenze in outcome.
Dose di aspirina
Il protocollo Platone ha lasciato la scelta della dose di mantenimento dell'aspirina fino allo investigatore e i modelli di utilizzo erano diversi nei siti statunitensi da siti al di fuori degli Stati Uniti. Circa l'8% degli investigatori non statunitensi ha somministrato dosi di aspirina superiori a 100 mg e circa il 2% ha somministrato dosi superiori a 300 mg. Negli Stati Uniti il 57% dei pazienti ha ricevuto dosi superiori a 100 mg e il 54% ha ricevuto dosi superiori a 300 mg. I risultati complessivi hanno favorito la Brilinta se utilizzata con dosi a bassa manutenzione (≤100 mg) di aspirina e risultati analizzati dalla dose di aspirina erano simili negli Stati Uniti e altrove. La Figura 10 mostra i risultati complessivi della dose mediana di aspirina. La Figura 12 mostra i risultati per regione e dose.
Figura 12: CV Death Mi ictus mediante dose di aspirina di mantenimento negli Stati Uniti e fuori dagli Stati Uniti (Platone)
|
Come qualsiasi analisi del sottoinsieme non pianificata, in particolare una in cui la caratteristica non è una vera caratteristica di base (ma può essere determinata dalla pratica di investigatore usuale), le analisi di cui sopra devono essere trattate con cautela. È notevole tuttavia che la dose di aspirina prevede il risultato in entrambe le regioni con un modello simile e che il modello è simile per i due componenti principali dell'endpoint primario CV Morte e l'MI non fatale.
Nonostante la necessità di trattare tali risultati con cautela, sembrano esserci buone ragioni per limitare il dosaggio di mantenimento dell'aspirina che accompagna il ticagrelor a 100 mg. Dosi più elevate non hanno un beneficio consolidato nell'impostazione ACS e vi è un forte suggerimento che l'uso di tali dosi riduce l'efficacia della Brilinta.
Pegasus
Lo studio PEGASUS TIMI-54 (NCT01225562) era uno studio di gruppo parallele a doppio cieco randomizzato da 21162-paziente. Due dosi di ticagrelor o 90 mg due volte al giorno o 60 mg due volte al giorno somministrate con 75 .150 mg di aspirina sono state confrontate con la sola terapia con aspirina nei pazienti con storia di IM. L'endpoint primario era il composito della prima occorrenza di MI non fatale di morte CV e ictus non fatale. La morte di CV e la mortalità per tutte le cause sono state valutate come endpoint secondari.
I pazienti erano idonei a partecipare se avevano ≥50 anni con una storia da 1 a 3 anni prima della randomizzazione e avevano almeno uno dei seguenti fattori di rischio per gli eventi cardiovascolari trombotici: età ≥65 anni diabete mellito richiedere farmaci almeno un'altra precedente evidenza di MI di malattia coronarica multisele o clearance della creatinina <60 mL/min. Patients could be rEomized regaRdless of their prior ADP receptor blocker therapy or a lapse in therapy. Patients requiring or who were expected to require renal dialysis during the study were excluded. Patients with any previous intracranial hemorrhage gastrointestinal bleeding within the past 6 months or with known bleeding diathesis or coagulation disoRder were excluded. Patients taking anticoagulants were excluded from participating E patients who developed an indication for anticoagulation during the trial were discontinued from study drug. A small number of patients with a history of stroke were included. Based on information external to Pegasus 102 patients with a history of stroke (90 of whom received study drug) were terminated early E no further such patients were enrolled.
I pazienti sono stati trattati per almeno 12 mesi e fino a 48 mesi con un tempo di follow -up mediano di 33 mesi.
I pazienti erano prevalentemente maschi (76%) caucasici (87%) con un'età media di 65 anni e il 99,8%dei pazienti ha ricevuto una terapia di aspirina precedente.
La curva di Kaplan-Meier (Figura 13) mostra il tempo alla prima occorrenza dell'endpoint composito primario del MI non fatale di morte CV o dell'ictus non fatale.
Figura 13: tempo alla prima occorrenza della morte CV MI o ictus (Pegasus)
|
The = TICAREROROR BID CI = intervallo di confidenza; HR = rapporto hazard; km = kaplan-meier; N = numero di pazienti.
Entrambi i regimi da 60 mg e 90 mg di Brilinta in combinazione con aspirina erano superiori all'aspirina da sola nel ridurre l'incidenza della morte CV MI o dell'ictus. Le riduzioni assolute del rischio per la sola aspirina Brilinta Plus vs. aspirina sono state rispettivamente dell'1,27% e dell'1,19% per i regimi 60 e 90 mg. Sebbene i profili di efficacia dei due regimi fossero simili, la dose più bassa presentava rischi più bassi di sanguinamento e dispnea.
La tabella 8 mostra i risultati per il regime di aspirina da 60 mg più contro l'aspirina da sola.
Tabella 8: Incidenze dei componenti endpoint compositi primari compositi compositi e endpoint secondari (Pegasus)
| Brilinta* N = 7045 | Placebo N = 7067 | HR (IC al 95%) | valore p | |
| Eventi / 1000 anni di pazienti | Eventi / 1000 anni di pazienti | |||
| Tempo per la prima morte CV MI o ictus † | 26 | 31 | 0.84 (NULL,74 0,95) | 0.0043 |
| Cv decesso ‡ § | 9 | 11 | 0.83 (NULL,68 1.01) | |
| Infarto miocardico§ | 15 | 18 | 0.84 (NULL,72 0,98) | |
| Colpo | 5 | 7 | 0,75 (NULL,57 0,98) | |
| Mortalità per tutte le cause‡ | 16 | 18 | 0.89 (NULL,76 1.04) | |
| Ci = intervallo di confidenza; Cv = cardiovascolare; HR = rapporto hazard; Mi = infarto miocardico; N = numero di pazienti. *60 mg di offerta † Endpoint composito primario ‡ Endpoint secondari § Il tasso di eventi per i componenti CV Death MI e Sictus sono calcolati dal numero effettivo di primi eventi per ciascun componente. |
In Pegasus la riduzione del rischio relativo (RRR) per l'endpoint composito da 1 a 360 giorni (17% RRR) e da 361 giorni e in poi (16% RRR) erano simili.
L'effetto del trattamento di Brilinta 60 mg rispetto all'aspirina è apparso simile nella maggior parte dei sottogruppi predefiniti vede la Figura 14.
Figura 14: analisi dei sottogruppi di ticagrelor 60 mg (Pegasus)
|
NOTA: la figura sopra presenta gli effetti in vari sottogruppi tutti caratteristici di base e la maggior parte dei quali sono stati pre-specificati. I limiti di confidenza al 95% che sono mostrati non tengono conto di quanti confronti sono stati effettuati né riflettono l'effetto di un fattore particolare dopo l'aggiustamento per tutti gli altri fattori. L'apparente omogeneità o eterogeneità tra i gruppi non dovrebbe essere troppo interpretata.
Malattia coronarica ma nessun ictus o infarto miocardico precedente
Thetis
Lo studio THETIS (NCT01991795) era uno studio di gruppo parallelo in doppio cieco in cui 19220 pazienti con CAD e CAD e Diabete di tipo 2 Mellito (T2DM) ma nessuna storia di MI o ictus è stata randomizzata a Brilinta o placebo due volte al giorno su uno sfondo di 75-150 mg di aspirina. L'endpoint primario era il composito della prima occorrenza di MI di morte CV e ictus. CV Death Mi ictus ischemico e morte per tutte le cause sono stati valutati come endpoint secondari.
I pazienti erano idonei a partecipare se avevano ≥ 50 anni con CAD definito come una storia di PCI o CABG o prove angiografiche di stenosi del lume ≥ 50% di almeno 1 arteria coronarica e T2DM trattati per almeno 6 mesi con farmaci per abbassare il glucosio. Sono stati esclusi i pazienti con precedenti sanguinamenti gastrointestinali di emorragia intracerebrale negli ultimi 6 mesi di diatesi e disturbo della coagulazione. I pazienti che assumono anticoagulanti o antagonisti del recettore dell'ADP sono stati esclusi dai partecipanti e i pazienti che hanno sviluppato un'indicazione per tali farmaci durante lo studio sono stati interrotti dal farmaco in studio.
quanti mg in bayer aspirina
I pazienti sono stati trattati per una mediana di 33 mesi e fino a 58 mesi.
I pazienti erano prevalentemente maschi (69%) con un'età media di 66 anni. Al basale l'80% aveva una storia di rivascolarizzazione dell'arteria coronarica; Il 58% aveva subito PCI il 29% aveva subito un CABG e il 7% aveva subito entrambi. La percentuale di pazienti studiati negli Stati Uniti era del 12%. I pazienti in tesi avevano stabilito CAD e altri fattori di rischio che li mettevano a un rischio cardiovascolare più elevato.
Brilinta was superior to placebo in reducing the incidence of Morte cv MI o ictus. The effect on the composite endpoint was driven by the individual components MI E stroke; see Table 9.
Tabella 9: Endpoint composito primario Componenti endpoint primari e endpoint secondari (Thetis)
| Brilinta N = 9619 | Placebo N = 9601 | HR (IC al 95%) | valore p | |
| Eventi / 1000 anni di pazienti | Eventi / 1000 anni di pazienti | |||
| Tempo per la prima morte cv mi o ictus* | 24 | 27 | 0.90 (NULL,81 0,99) | 0.04 |
| Morte cv† | 12 | 11 | 1.02 (NULL,88 1,18) | |
| Infarto miocardico † | 9 | 11 | 0.84 (NULL,71 0,98) | |
| Colpo† | 6 | 7 | 0.82 (NULL,67 0,99) | |
| Endpoint secondari | ||||
| Morte cv | 12 | 11 | 1.02 (NULL,88 1,18) | |
| Infarto miocardico | 9 | 11 | 0.84 (NULL,71 0,98) | |
| Ictus ischemico | 5 | 6 | 0.80 (NULL,64 0,99) | |
| Morte per tutte le cause | 18 | 19 | 0.98 (NULL,87 1,10) | |
| Ci = intervallo di confidenza; Cv = cardiovascolare; HR = rapporto hazard; Mi = infarto miocardico. * Endpoint primario † Il tasso di eventi per i componenti CV Death MI e Sictus sono calcolati dal numero effettivo di primi eventi per ciascun componente. |
La curva di Kaplan-Meier (Figura 15) mostra il tempo alla prima occorrenza dell'endpoint composito primario di MI o ictus di CV.
Figura 15: tempo alla prima occorrenza della morte CV MI o ictus (Thetis)
|
T = ticagrelor; P = placebo; N = numero di pazienti.
L'effetto terapeutico di Brilinta è apparso simile nei sottogruppi di pazienti vede la Figura 16.
Figura 16: analisi dei sottogruppi di ticagrelor (Thetis)
|
NOTA: la figura sopra presenta gli effetti in vari sottogruppi tutti caratteristici di base. I limiti di confidenza al 95% che sono mostrati non tengono conto di quanti confronti sono stati effettuati né riflettono l'effetto di un fattore particolare dopo l'aggiustamento per tutti gli altri fattori. L'apparente omogeneità o eterogeneità tra i gruppi non dovrebbe essere troppo interpretata.
Ictus ischemico acuto o attacco ischemico transitorio (TIA)
Thales
Lo studio Thales (NCT03354429) era uno studio di gruppo parallele in doppio cieco casualmente di 31016 su Brilinta 90 mg due volte al giorno rispetto al placebo in pazienti con ictus ischemico acuto o attacco ischemico transitorio (TIA). L'endpoint primario fu il primo verificarsi del composito di ictus e morte fino a 30 giorni. L'ictus ischemico è stato valutato come uno degli endpoint secondari.
I pazienti erano idonei a partecipare se avevano ≥40 anni con ictus ischemico acuto non cardioembolico (punteggio NIHSS ≤5) o TIA ad alto rischio (definito come ABCD 2 Punteggio ≥6 o stenosi aterosclerotica ipsilaterale ≥50% nella carotide interna o un'arteria intracranica). I pazienti che hanno ricevuto trombolisi o trombectomia entro 24 ore prima della randomizzazione non erano ammissibili.
I pazienti sono stati randomizzati entro 24 ore dall'inizio di un ictus ischemico acuto o TIA per ricevere 30 giorni di Brilinta (90 mg due volte al giorno con una dose di carico iniziale di 180 mg) o placebo su uno sfondo di aspirina inizialmente 300-325 mg, quindi 75-100 mg al giorno. La durata del trattamento mediano è stata di 31 giorni.
Brilinta was superior to placebo in reducing the rate of the primary endpoint (composite of stroke E morte) corresponding to a relative risk reduction (RRR) of 17% E an absolute risk reduction (ARR) of 1.1% (Table 10). The effect was driven primarily by a significant reduction in the stroke component of the primary endpoint (19% RRR 1.1% ARR).
Tabella 10: Incidenze dei componenti endpoint compositi primari compositi compositi e endpoint secondario (Thales)
| Brilinta N = 5523 | Placebo N = 5493 | HR (IC al 95%) | valore p | |||
| N (pazienti con evento) | Km% | N (pazienti con evento) | Km% | |||
| Tempo per il primo ictus o la morte | 303 | 5,4% | 362 | 6,5% | 0.83 (NULL,71 0,96) | 0.015 |
| Tempo per il primo colpo* | 284 | 5,1% | 347 | 6,3% | 0.81 (NULL,69 0,95) | |
| Tempo a morte* | 36 | 0,6% | 27 | 0,5% | 1.33 (NULL,81 2,19) | |
| Endpoint secondario | ||||||
| Tempo per il primo ictus ischemico | 276 | 5,0% | 345 | 6,2% | 0,79 (NULL,68 0,93) | 0.004 |
| Ci = intervallo di confidenza; HR = rapporto hazard; Km = percentuale di Kaplan-Meier calcolata a 30 giorni; N = numero di pazienti *Il numero di pazienti con l'evento di interesse. Nel tempo ai pazienti con ictus che sono morti sono censurati al momento della morte. |
La curva Kaplan-Meier (Figura 17) mostra il tempo alla prima occorrenza dell'endpoint composito primario di ictus e morte.
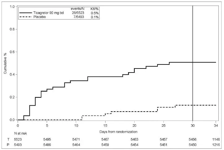
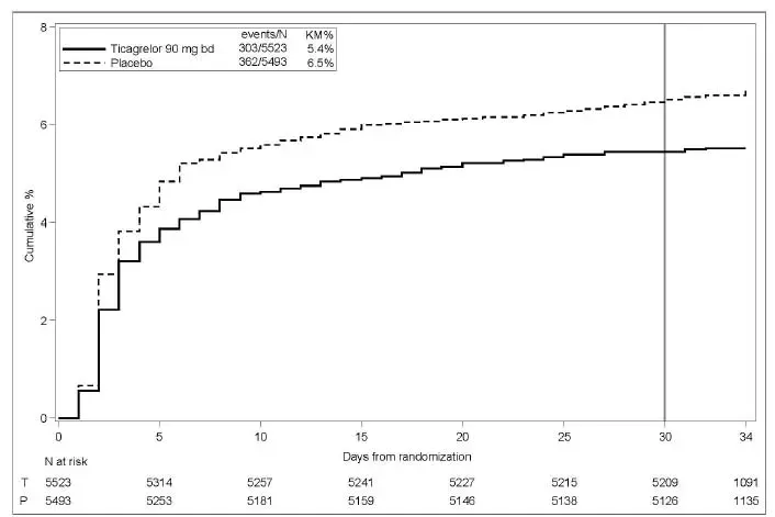
Figura 17: tempo alla prima occorrenza di ictus o morte (Thales)
|
Km%: Kaplan-Meier percentage evaluated at Day 30; T=Ticagrelor; P=placebo; N=Number of patients
Brilinta’s treatment effect on stroke E on morte accrued over the first 10 days E was sustained at 30 days. Although not studied this suggests that shorter treatment could result in similar benefit E reduced bleeding risk.
L'effetto terapeutico di Brilinta era generalmente coerente tra i sottogruppi predefiniti (Figura 18).
Figura 18: analisi dei sottogruppi di ticagrelor 90 mg (Thales)
|
NOTA: la figura sopra presenta gli effetti in vari sottogruppi che sono caratteristiche di base e sono pre-specificate. I limiti di confidenza al 95% che sono mostrati non tengono conto di quanti confronti sono stati effettuati né riflettono l'effetto di un fattore particolare dopo l'aggiustamento per tutti gli altri fattori. L'apparente omogeneità o eterogeneità tra i gruppi non dovrebbe essere troppo interpretata.
Al giorno 30 si è verificata una riduzione assoluta dell'1,2% (IC 95%: -2,1% -0,3%) nell'incidenza di ictus non emorragico e morte (esclusa il sanguinamento fatale) a favore del ticagrelor (294 eventi: 5,3%) rispetto al placebo (359 eventi: 6,5%) nell'intenzione di trattamento della popolazione. Nella stessa popolazione si è verificato un aumento assoluto dello 0,4% (IC 95%: 0,2% 0,6%) nell'incidenza di sanguinamenti gravi gusto sfavorevoli al braccio ticagrelor (28 eventi: 0,5%) rispetto al braccio placebo (7 eventi: 0,1%).
Informazioni sul paziente per Brilinta
Brilinta ®
(Brih-lin-tah)
(così gradito) compresse
Quali sono le informazioni più importanti che dovrei sapere su Brilinta?
Brilinta is used to lower your chance of having or dying from a attacco di cuore o ictus. Brilinta (E similar drugs) can cause bleeding that can be serious E sometimes lead to morte . In caso di sanguinamento grave come il sanguinamento interno, il sanguinamento può comportare la necessità di trasfusioni di sangue o chirurgia. Mentre prendi Brilinta:
- Puoi lividi e sanguina più facilmente
- È più probabile che tu abbia sanguinamento del naso
- Ci vorrà più tempo del solito per fermare qualsiasi sanguinamento
Chiama subito il tuo medico se hai uno di questi segni o sintomi di sanguinamento durante l'assunzione di Brilinta:
- sanguinamento che è grave o che non puoi controllare
- urina rosa o marrone
- Il vomito del sangue o il vomito sembrano fondi di caffè
- sgabelli rossi o neri (sembra catrame)
- tosseing up blood or Caglieri di sangue
Non smettere di prendere Brilinta senza parlare con il medico che lo prescrive per te. Le persone che sono trattate con uno stent e smettono di prendere Brilinta troppo presto hanno un rischio più elevato di ottenere un coagulo di sangue nello stent con un attacco di cuore o morire. Se fermi Brilinta a causa del sanguinamento o per altri motivi, il tuo rischio di infarto o ictus può aumentare.
Il tuo operatore sanitario può istruirti a smettere di prendere Brilinta 5 giorni prima dell'intervento. Ciò contribuirà a ridurre il rischio di sanguinamento con l'intervento chirurgico o la procedura. Il tuo operatore sanitario dovrebbe dirti quando ricominciare a prendere Brilinta il prima possibile dopo l'intervento chirurgico.
Prendendo Brilinta con l'aspirina
Brilinta is taken with aspirina unless your healthcare provider specifically tells you otherwise. Talk to your healthcare provider about the dose of aspirina that you should take with Brilinta. In most cases you should not take a dose of aspirina higher than 100 mg daily. Do not take doses of aspirina higher than what your healthcare provider tells you to take. Tell your healthcare provider if you take other medicines that contain aspirina E do not take new over-the-counter medicines with aspirina in them.
Cos'è Brilinta?
Brilinta is a prescription medicine used to:
- Riduci il rischio di infarto della morte e ictus nelle persone con un blocco del flusso sanguigno al cuore (sindrome coronarica acuta o ACS) o una storia di un attacco di cuore. Brilinta può anche ridurre il rischio di coaguli di sangue nello stent nelle persone che hanno ricevuto stent per il trattamento dell'ACS.
- Riduci il rischio di un primo infarto o un ictus nelle persone che hanno una condizione in cui il flusso sanguigno al cuore è ridotto (malattia coronarica o CAD) che sono ad alto rischio di avere un infarto o un ictus.
- Riduci il rischio di ictus nelle persone che hanno un ictus (ictus ischemico acuto) o mini-ictus (attacco ischemico transitorio o TIA).
Non è noto se Brilinta è sicura ed efficace nei bambini.
Non prendere Brilinta se tu:
- avere una storia di sanguinamento nel cervello
- stanno sanguinando adesso
- sono allergici al ticagrelor o a uno qualsiasi degli ingredienti di Brilinta. Vedi la fine di questa guida ai farmaci per un elenco completo di ingredienti a Brilinta.
Prima di prendere Brilinta racconta al tuo operatore sanitario su tutte le tue condizioni mediche se:
- hanno avuto problemi di sanguinamento in passato
- hanno avuto lesioni gravi o un intervento chirurgico recenti
- Pianificare di sottoporsi a un intervento chirurgico o di una procedura dentale. Vedere Quali sono le informazioni più importanti che dovrei sapere su Brilinta?
- avere una storia di ulcere allo stomaco o polipi del colon
- Avere problemi polmonari o respiratori come la BPCO o l'asma
- avere problemi epatici
- avere una storia di ictus
- sono incinta o prevedono di rimanere incinta. Non è noto se Brilinta danneggerà il tuo bambino non ancora nato. Tu e il tuo operatore sanitario dovreste decidere se prendi Brilinta.
- stanno allattando o pianificano di allattare. Non è noto se Brilinta passa nel latte materno. Non dovresti allattare al seno durante il trattamento con Brilinta. Parla con il tuo operatore sanitario del modo migliore per nutrire il tuo bambino durante il trattamento con Brilinta.
Di 'a tutti i tuoi operatori sanitari e dentisti che stai prendendo Brilinta. Dovrebbero parlare con il medico che ha prescritto Brilinta per te prima di sottoporsi a un intervento chirurgico o procedura.
Di 'al tuo operatore sanitario di tutte le medicine che prendi tra cui prescrizione e medicine da banco vitamine e integratori a base di erbe. Brilinta may affect the way other Il lavoro dei medicinali e altri medicinali possono influire sul modo in cui funziona Brilinta. Alcuni medicinali possono aumentare il rischio di sanguinamento.
Conosci le medicine che prendi. Tienilo un elenco per mostrare il tuo medico e il tuo farmacista quando ottieni un nuovo medicinale.
Come dovrei prendere Brilinta?
- Prendi Brilinta esattamente come prescritto dal tuo medico.
- Il tuo operatore sanitario ti dirà quante compresse Brilinta prendere e quando prenderli.
- Prendi Brilinta con l'aspirina a meno che il tuo operatore sanitario non ti dica specificamente. Vedere Quali sono le informazioni più importanti che dovrei sapere su Brilinta?
- Puoi prendere Brilinta con o senza cibo.
- Prendi Brilinta due volte al giorno le stesse volte ogni giorno.
- Se ti manca la tua dose programmata di Brilinta, prendi la tua prossima dose al suo periodo di programma. Non assumere 2 dosi contemporaneamente a meno che il tuo operatore sanitario non ti dica.
- Se prendi troppi Brilinta chiama il tuo fornitore di assistenza sanitaria o il centro di controllo del veleno locale o vai subito al pronto soccorso più vicino.
Se non sei in grado di ingoiare il / i compresse interi Puoi schiacciare le compresse Brilinta e mescolarla con acqua. Bevi subito tutta l'acqua. Riempi il bicchiere con acqua mescolare e bere tutta l'acqua.
Brilinta may also be given through certain nasogastric (NG) tubes . Ask your healthcare provider for instructions on how to take Brilinta through a NG tube.
Quali sono i possibili effetti collaterali di Brilinta?
Brilinta can cause serious side effects including:
- Guarda quali sono le informazioni più importanti che dovrei sapere su Brilinta?
Fiato corto. Di 'al tuo operatore sanitario se hai un nuovo peggioramento o una mancanza di respiro inaspettata quando sei a riposo di notte o quando stai svolgendo attività.
Battito cardiaco lento o irregolare.
Respirazione irregolare. Di 'al tuo operatore sanitario se si sviluppa modelli di respirazione irregolari quando addormentati o svegli come accelerare il rallentamento o le pause brevi nella respirazione. Il tuo operatore sanitario deciderà se hai bisogno di ulteriori valutazioni.
Questi non sono tutti i possibili effetti collaterali di Brilinta.
Chiama il medico per consigli medici sugli effetti collaterali. È possibile segnalare gli effetti collaterali alla FDA al numero 1-800-FDA-1088.
Come dovrei conservare Brilinta?
- Conservare la Brilinta a temperatura ambiente compresa tra 68 ° F e 77 ° F (da 20 ° C a 25 ° C).
Mantieni Brilinta e tutti i medicinali fuori dalla portata dei bambini.
Informazioni generali sull'uso sicuro ed efficace di Brilinta.
Le medicine sono talvolta prescritte a fini diversi da quelli elencati in una guida ai farmaci. Non usare Brilinta per una condizione per la quale non è stata prescritta. Non dare Brilinta ad altre persone anche se hanno gli stessi sintomi che hai. Potrebbe danneggiare loro. Puoi chiedere al tuo farmacista o al fornitore di assistenza sanitaria informazioni su Brilinta scritta per gli operatori sanitari.
Quali sono gli ingredienti di Brilinta?
Ingrediente attivo: ticagrelor
Compresse da 90 mg:
Effetti collaterali di Colcrys 0,6 mg
Ingredienti inattivi: mannitolo dibasico di calcio di calcio di calcio di sodio glicolato idrossipropil cellulosa magnesio stearato idrossipropil metilcellulosa titanio di diossido di biossido polietilenglicole 400 e giallo ossido ferrico.
Compresse da 60 mg:
Ingredienti inattivi: mannitolo dibasico di calcio di calcio di calcio di sodio glicolato idrossipropil cellulosa magnesio stearato stearato idrossipropil metilcellulosio di biossido di polietilenglicole 400 ossido di ossido ferrico di ossido di ossido ferrico.
Questa guida ai farmaci è stata approvata dalla Food and Drug Administration degli Stati Uniti.