Le Informazioni Presenti Sul Sito Non Costituiscono Consulenza Medica. Non Vendiamo Nulla. L'Accuratezza Della Traduzione Non È Garantita. Disclaimer



AVINZA

Riepilogo della droga

Cos'è Avinza?

Avinza (morfina solfato) è un antidolorifico narcotico usato per trattare il dolore da moderato a grave. La morfina a breve durata viene presa se necessario per il dolore. La morfina a rilascio prolungato è da utilizzare quando è necessario un sollievo dal dolore 24 ore su 24.

Quali sono gli effetti collaterali di Avinza?

Gli effetti collaterali comuni di Avinza includono:



  • nausea
  • vomito
  • dolori di stomaco
  • perdita di appetito
  • perdita di peso
  • stipsi
  • diarrea
  • Accendino
  • vertigini
  • sensazione di rotazione
  • sonnolenza
  • Flushing (arrossamento del calore o sensazione di forking)
  • mal di testa
  • Problemi di memoria
  • problemi di sonno (insonnia) o
  • Strani sogni.

Di 'al medico se hai gravi effetti collaterali di Avinza, incluso:



  • Cambiamenti mentali/dell'umore (come allucinazioni di confusione dell'agitazione)
  • Forte stomaco o dolore addominale o
  • difficoltà a urinare.

Dosaggio per Avinza

La dose di Avinza è individualizzata per ciascun paziente a seconda delle condizioni mediche del paziente e di altri fattori.

Quali sostanze o integratori di farmaci interagiscono con Avinza?

Avinza può interagire con MAO inibitori di altri farmaci per narcotici Sedativi Tranquilatori muscolari rilassanti Alcol Altri medicinali che possono farti dormire o rallentare la respirazione pentazocina nalbuphina butorfanolo o buprenorfina. Dì al tuo medico tutti i farmaci che stai assumendo.



Avinza durante la gravidanza o l'allattamento

Durante la gravidanza AVINZA dovrebbe essere usata solo quando prescritta. Usarlo vicino alla data di consegna prevista non è raccomandato a causa del potenziale danno a un feto. I bambini nati da madri che hanno usato questo farmaco per un lungo periodo possono avere sintomi di astinenza come l'irritabilità anormale/persistente vomito o diarrea. Se noti uno di questi sintomi nel tuo neonato, racconta al medico. Questo farmaco passa nel latte materno e può raramente avere effetti indesiderati su un bambino infermieristico. Di 'al medico se il tuo bambino sviluppa insoliti difficoltà di sonnolenza alimentare o diffondere i problemi. Consulta il medico prima dell'allattamento al seno. Non smettere di prendere improvvisamente Avinza (morfina) o potresti avere sintomi di astinenza.

Ulteriori informazioni

Il nostro centro farmacologico di Avinza (morfina solfato) fornisce una visione completa delle informazioni disponibili sui farmaci sui potenziali effetti collaterali durante l'assunzione di questo farmaco.

Informazioni sui farmaci FDA

AVVERTIMENTO

Abuso di dipendenza e uso improprio; Depressione respiratoria potenzialmente letale; Ingestione accidentale; Sindrome da prelievo di oppiacei neonatali; e interazione con l'alcol

Quante volte iniettate Humira

Abuso e uso improprio della dipendenza

Avinza® espone pazienti e altri utenti ai rischi di abusi e abusi sulla dipendenza da oppiacei che possono portare al sovradosaggio e alla morte. Valutare il rischio di ogni paziente prima di prescrivere Avinza e monitorare regolarmente tutti i pazienti per lo sviluppo di questi comportamenti o condizioni [vedi avvisi e PRECAUZIONI ].

Depressione respiratoria potenzialmente letale

La depressione respiratoria mortale o fatale potenzialmente letale o fatale può verificarsi con l'uso di Avinza. Monitorare la depressione respiratoria soprattutto durante l'inizio di Avinza o dopo un aumento della dose. Chiedere ai pazienti di ingoiare le capsule di Avinza intere o di cospargere il contenuto della capsula su salsa di mele e deglutire immediatamente senza masticare. Schiacciamento o dissoluzione di avinza può causare rapidi rilascio e assorbimento di una dose potenzialmente fatale di morfina [vedi avvisi e PRECAUZIONI ].

Ingestione accidentale

L'ingestione accidentale anche di una dose di Avinza, specialmente da parte dei bambini, può provocare un sovradosaggio fatale di morfina [vedi avvertimenti e PRECAUZIONI ].

Sindrome da astinenza da oppiacei neonatali

L'uso prolungato di Avinza durante la gravidanza può comportare la sindrome da astinenza da oppiacei neonatali che può essere pericolosa la vita se non riconosciuta e trattata e richiede la gestione secondo i protocolli sviluppati da esperti neonatologici. Se è richiesto l'uso di oppiacei per un periodo prolungato in una donna incinta consigliare al paziente il rischio di sindrome da astinenza da oppiacei neonatali e assicurarsi che siano disponibili un trattamento adeguato [vedi avvisi e PRECAUZIONI ].

Interazione con l'alcol

Inserire i pazienti a non consumare bevande alcoliche o di utilizzare prodotti da prescrizione o non prescrizione che contengono alcol durante l'assunzione di AVINZA. La co-ingestione di alcol con Avinza può comportare un aumento dei livelli plasmatici e un sovradosaggio potenzialmente fatale di morfina [vedi avvertimenti e PRECAUZIONI ].

Descrizione per Avinza

Le capsule a rilascio esteso di Avinza sono per uso orale e contengono pellet di morfina solfato. La morfina solfato è un agonista al recettore mu-oppioide.

Ogni capsula a rilascio esteso AVINZA contiene 30 45 60 75 90 o 120 mg di morfina solfato USP e i seguenti ingredienti inattivi: copolimeri ammoniometacrilati NF NF Acido fumarico NF Povidone USP Lauril Solfato NF AMMACH SPHERES NF e Talc USP.

Il guscio della capsula contiene biossido di gelatina di gelatina di inchiostro nero d

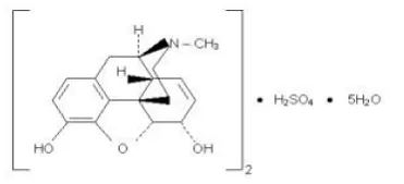
Il nome chimico del solfato di morfina è 78-didehydro-45 alfa-epoxy-17-metilmorfinan-36 alfa-diolo solfato (2: 1) (sale) pentaidrato con un peso molecolare di 758. La formula empirica è (C 17 H 19 NO 3 ) 2 • H. 2 COSÌ 4 • 5h 2 IL.

La morfina solfato è una polvere cristallina bianca inodore. È solubile in acqua e leggermente solubile in alcol ma è praticamente insolubile in cloroformio o etere. L'ottanolo: il coefficiente di partizione dell'acqua della morfina è 1,42 a pH fisiologico e la PKA è 7,9 per l'azoto terziario (la maggioranza è ionizzata a pH 7,4). La sua formula strutturale è:

Usi per Avinza

Avinza è indicata per la gestione del dolore abbastanza grave da richiedere un trattamento con oppioidi a lungo termine quotidiano a lungo termine e per il quale le opzioni di trattamento alternative sono inadeguate.

Limiti di utilizzo

  • A causa dei rischi di abuso di dipendenza e uso improprio con oppioidi anche a dosi raccomandate e a causa dei maggiori rischi di sovradosaggio e morte con formulazioni di oppioidi a rilascio prolungato riservano AVINZA per l'uso in pazienti per le opzioni di trattamento alternative (ad esempio analges non oppioidi.
  • Avinza non è indicato come analgesico come necessario (PRN).

Dosaggio per Avinza

Dosaggio iniziale

Avinza dovrebbe essere prescritta solo da operatori sanitari che sono ben informati nell'uso di potenti oppioidi per la gestione del dolore cronico.

Le capsule di Avinza 90 mg e 120 mg sono per l'uso solo nei pazienti in cui è stata stabilita la tolleranza a un oppioide di potenza comparabile. I pazienti che sono tolleranti agli oppioidi sono quelli che ricevono per una settimana o più di almeno 60 mg di morfina orale al giorno 25 mcg di fentanil transdermico per ora 30 mg di ossicodone orale al giorno 8 mg di idromorfone orale al giorno 25 mg di ossimore orale al giorno o una dose equianalgesica di un altro oppioide.

Avvia il regime di dosaggio per ciascun paziente tenendo conto individuale della precedente esperienza di trattamento analgesico del paziente e dei fattori di rischio per l'abuso e l'abuso di dipendenza [vedi AVVERTIMENTOS AND PRECAUZIONI ]. Monitor patients closely for respiratory depression especially within the first 24-72 hours of initiating therapy with AVINZA [see AVVERTIMENTOS AND PRECAUZIONI ].

Le capsule di Avinza devono essere prese intere. Schiacciare la masticazione o la dissoluzione dei pellet nelle capsule di Avinza comporterà un parto incontrollato di morfina e può portare a un sovradosaggio o alla morte [vedi AVVERTIMENTOS AND PRECAUZIONI ]. Patients who are unable to swallow AVINZA should be instructed to sprinkle the capsule contents on applesauce E immediately swallow without chewing [see Amministrazione di Avinza ].

Avinza viene somministrato a una frequenza di una volta al giorno (ogni 24 ore).

Uso di Avinza come primo analgesico oppiaceo

Iniziare il trattamento con AVINZA con 30 mg di capsula per via orale ogni 24 ore. Regolare la dose di Avinza con incrementi non superiori a 30 mg ogni 3-4 giorni.

Uso di Avinza in pazienti che non sono tolleranti agli oppiacei

La dose di partenza per i pazienti che non sono tolleranti agli oppioidi è Avinza 30 mg per via orale ogni 24 ore. I pazienti che sono tolleranti agli oppioidi sono quelli che ricevono per una settimana o più di almeno 60 mg di morfina orale al giorno 25 mcg di fentanil transdermico per ora 30 mg di ossicodone orale al giorno 8 mg di idromorfone orale al giorno 25 mg di ossimore orale al giorno o una dose equianalgesica di un altro oppioide.

L'uso di dosi iniziali più elevate nei pazienti che non sono tolleranti agli oppioidi può causare depressione respiratoria fatale.

Conversione da altri oppioidi ad Avinza

Non ci sono rapporti di conversione stabiliti da altri oppioidi ad Avinza definito da studi clinici. Interrompere tutti gli altri farmaci per oppiacei 24 ore su 24, quando viene avviata la terapia di Avinza e inizia il dosaggio usando Avinza 30 mg per via orale ogni 24 ore.

Mentre ci sono utili tabelle di equivalenti oppioidi prontamente disponibili, esiste una sostanziale variabilità inter-paziente nella potenza relativa di diversi farmaci e prodotti oppioidi. In quanto tale, è più sicuro sottovalutare i requisiti di morfina orale di un paziente e fornire farmaci per il salvataggio (ad es. Morfina a rilascio immediato) che sopravvalutare i requisiti di morfina orale 24 ore su 24 che potrebbero causare reazioni avverse.

Conversione da altre formulazioni di morfina orale in Avinza

I pazienti che ricevono altre formulazioni di morfina orale possono essere convertiti in Avinza somministrando la dose totale di morfina orale giornaliera del paziente come Avinza una volta al giorno. Avinza non dovrebbe essere somministrato più frequentemente di ogni 24 ore.

Conversione dalla morfina parenterale o da altri oppioidi non morfina (parenterale o orale) in Avinza

Quando si converte dalla morfina parenterale o da altri oppioidi non morfina (parenterale o orale) in Avinza, considera i seguenti punti generali:

Rapporto di morfina da parenterale a orale : Tra 2 e 6 mg di morfina orale può essere richiesto per fornire analgesia equivalente a 1 mg di morfina parenterale. In genere una dose di morfina che è circa tre volte il precedente requisito quotidiano della morfina parenterale è sufficiente.

Altri oppioidi parenterali o non-morfina orali al solfato di morfina orale : Raccomandazioni specifiche non sono disponibili a causa della mancanza di prove sistematiche per questi tipi di sostituzioni analgesiche. Sono disponibili dati sulla potenza relativa pubblicati ma tali rapporti sono approssimazioni. In generale, inizia con la metà del requisito di morfina giornaliera stimata come dose iniziale che gestisce l'analgesia inadeguata mediante supplementazione con morfina a rilascio immediato.

Conversione dal metadone ad Avinza

Il monitoraggio stretto è di particolare importanza quando si converte dal metadone ad altri agonisti degli oppiacei. Il rapporto tra metadone e altri agonisti degli oppioidi può variare ampiamente in funzione della precedente esposizione alla dose. Il metadone ha una lunga emivita e può accumularsi nel plasma.

La prima dose di Avinza può essere assunta con l'ultima dose di qualsiasi farmaco oppioide a rilascio immediato a causa delle caratteristiche estese a rilascio della formulazione AVINZA.

Titolazione e mantenimento della terapia

Titolare individualmente AVINZA a una dose che fornisce un'analgesia adeguata e minimizza le reazioni avverse. Rivalutare continuamente i pazienti che ricevono Avinza per valutare il mantenimento del controllo del dolore e l'incidenza relativa delle reazioni avverse, nonché il monitoraggio per lo sviluppo di abusi o uso improprio della dipendenza. La comunicazione frequente è importante tra il prescrittore altri membri del team sanitario, il paziente e il caregiver/famiglia durante i periodi di cambiamento dei requisiti analgesici, incluso la titolazione iniziale. Durante la terapia cronica rivaluta periodicamente la continua necessità di analgesici oppioidi.

Se il livello di dolore aumenta, tenta di identificare la fonte di aumento del dolore, regolando la dose di Avinza per ridurre il livello di dolore. Poiché le concentrazioni plasmatiche allo stato stazionario sono approssimate entro 2-3 giorni, è possibile eseguire regolamenti del dosaggio di Avinza ogni 3-4 giorni.

I pazienti che soffrono di dolore innovativo possono richiedere un aumento della dose di Avinza o possono aver bisogno di farmaci per il salvataggio con una dose appropriata di un analgesico a rilascio immediato. Se il livello di dolore aumenta dopo la stabilizzazione della dose, tenta di identificare la fonte di aumento del dolore prima di aumentare la dose di Avinza.

La dose giornaliera di Avinza deve essere limitata a un massimo di 1600 mg/die. Le dosi di Avinza di oltre 1600 mg/giorno contengono una quantità di acido fumarico che non è stato dimostrato per essere sicuro e che può provocare una grave tossicità renale.

Se si osservano reazioni avverse correlate agli oppiacei inaccettabili, le dosi successive possono essere ridotte. Regolare la dose per ottenere un adeguato equilibrio tra la gestione del dolore e le reazioni avverse correlate agli oppioidi.

Interruzione di Avinza

Quando un paziente non richiede più la terapia con Avinza, usa una titolazione graduale verso il basso della dose ogni 2-4 giorni per prevenire segni e sintomi di astinenza nel paziente fisicamente dipendente. Non interrompere bruscamente Avinza.

Amministrazione di Avinza

Le capsule di Avinza devono essere prese intere. Schiacciare la masticazione o la dissoluzione dei pellet in Avinza comporterà la consegna incontrollata della morfina e può portare al sovradosaggio o alla morte [vedi AVVERTIMENTOS AND PRECAUZIONI ].

In alternativa, il contenuto delle capsule di Avinza (pallini) può essere cosparso sulla salsa di mele e quindi inghiottito. Questo metodo è appropriato solo per i pazienti in grado di ingoiare in modo affidabile la salsa di mele senza masticare. Altri alimenti non sono stati testati e non devono essere sostituiti con la salsa di mele. Istruire il paziente di:

  • Cospargere i pellet su una piccola quantità di salsa di mele e consumare immediatamente senza masticare.
  • Risciacquare la bocca per garantire che tutti i pellet siano stati inghiottiti.
  • Scartare qualsiasi porzione inutilizzata delle capsule di Avinza dopo che il contenuto è stato spruzzato sulla salsa di mele.

Non somministrare i pallini di Avinza attraverso un tubo nasogastrico o gastrico.

Come fornito

Forme di dosaggio e punti di forza

Avinza contiene le palline di colore da bianco a bianco sporco hanno una capsula opaca esterna con i colori identificati di seguito e sono disponibili in sei punti di forza:

Ogni capsula a rilascio prolungato da 30 mg ha un cappuccio opaco giallo con Avinza stampata su di esso e un corpo opaco bianco stampato con 30 e 505.

Ogni capsula a rilascio prolungato da 45 mg ha un tappo opaco azzurro con Avinza stampata su di esso e un corpo opaco bianco stampato con 45 e 509.

Ogni capsula a rilascio prolungato da 60 mg ha un cappuccio opaco verde bluastro con Avinza stampata su di esso e un corpo opaco bianco stampato con 60 e 506.

Ogni capsula a rilascio prolungato da 75 mg ha un tappo arancione opaco con Avinza stampata su di esso e un corpo opaco bianco stampato con 75 e 510.

Ogni capsula a rilascio prolungato da 90 mg ha un tappo rosso opaco con Avinza stampata su di esso e un corpo opaco bianco stampato con 90 e 507.

Ogni capsula a rilascio prolungato da 120 mg ha un tappo opaco blu-viola con Avinza stampata su di esso e un corpo opaco bianco stampato con 120 e 508.

Archiviazione e maneggevolezza

30 mg Capsula a rilascio prolungato: Dimensione 3 Cappello giallo capsule e corpo opaco bianco impressa Avinza 30 mg e 505. Ndc 60793-605-01: bottiglie di 100 capsule.

45 mg capsula a rilascio prolungato: Dimensione 3 Capsule blu azzurra e corpo bianco opaco Exprinted Avinza 45 mg e 509. Ndc 60793-603-01: bottiglie di 100 capsule.

60 mg Capsula a rilascio prolungato: Dimensione 3 capsule berretto-verde bluastro e corpo opaco bianco impronte AVINZA 60 mg e 506. Ndc 60793-606-01: bottiglie di 100 capsule.

75 mg capsula a rilascio prolungato: Dimensione 1 Cappello arancione Capsule e corpo opaco bianco Exprinted Avinza 75 mg e 510. Ndc 60793-604-01: bottiglie di 100 capsule.

90 mg Capsula a rilascio prolungato: TAPSULA DEGLIE 1 Cappello rosso e corpo bianco opaco bianco Impronta Avinza 90 mg e 507. Ndc 60793-607-01: bottiglie di 100 capsule.

120 mg Capsula a rilascio prolungato: TAPSULE CAPSULE BLU-VIOLET CAPSULE e corpo opaco bianco impresso AVINZA 120 mg e 508. Ndc 60793-608-01: bottiglie di 100 capsule.

Conservare a 25 ° C (77 ° F); Escursioni consentite a 15-30 ° C (59-86 ° F). [Vedere A temperatura ambiente controllata da USP ]

Proteggere dalla luce e dall'umidità.

Dispensare in un contenitore resistente alla luce stretta come definito in USP.

ATTENZIONE: Modulo d'ordine DEA richiesto.

Prodotto per: Pfizer Inc New York NY 10017 di: Alkermes Gainesville LLC Gainesville GA. Rilasciato: aprile 2014

Effetti collaterali for Avinza

Le seguenti gravi reazioni avverse sono discusse altrove nell'etichettatura:

  • Abuso e uso improprio della dipendenza [see AVVERTIMENTOS AND PRECAUZIONI ]
  • Depressione respiratoria pericolosa per la vita [vedi AVVERTIMENTOS AND PRECAUZIONI ]
  • Sindrome da astinenza da oppiacei neonatali [see AVVERTIMENTOS AND PRECAUZIONI ]
  • Interazioni con altri depressivi del SNC [vedi AVVERTIMENTOS AND PRECAUZIONI ]
  • Effetto ipotensivo [vedi AVVERTIMENTOS AND PRECAUZIONI ]
  • Effetti gastrointestinali [vedi AVVERTIMENTOS AND PRECAUZIONI ]
  • Convulsioni [vedi AVVERTIMENTOS AND PRECAUZIONI ]

Le reazioni avverse più comuni con Avinza includono nausea e sonnolenza costipazione.

Esperienza di sperimentazione clinica

Poiché gli studi clinici sono condotti in condizioni di reazione avversa ampiamente variabili osservate negli studi clinici di un farmaco non possono essere confrontati direttamente con i tassi negli studi clinici di un altro farmaco e potrebbero non riflettere i tassi osservati nella pratica.

Negli studi clinici controllati e aperti emergenti 560 pazienti con dolore cronico maligno o non maligno sono stati trattati con Avinza. Gli eventi avversi gravi più comuni segnalati con la somministrazione di Avinza sono stati la dispnea e la sepsi di disidratazione di nausea di nausea e sepsi. (I decessi si sono verificati nei pazienti trattati per il dolore a causa della malignità sottostante.) Eventi avversi gravi causati dalla morfina includono l'apnea della depressione respiratoria e in misura minore di depressione circolatoria di depressione respiratoria shock e arresto cardiaco.

Gli eventi avversi più comuni (osservati in più del 10%) riportati dai pazienti trattati con AVINZA durante gli studi clinici almeno una volta durante la terapia sono stati la costipazione della nausea sonnolenza vomito e mal di testa. Gli eventi avversi che si verificano nel 5-10% dei pazienti in studio sono stati edema periferici di diarrea del dolore addominale Infezione del tratto urinario Infezione da lesioni accidentali Sindrome da un'influenza della schiena cutanea che sudava febbre insonnia parestesia anoressia astenia secca e dispnea. Altri effetti collaterali meno comuni previsti dagli analgesici oppioidi tra cui la morfina o osservati in meno del 5% dei pazienti che assumono avinza negli studi clinici sono:

Corpo nel suo insieme: Sindrome da ritiro malessere.

Sistema cardiovascolare: Bradicardia Ipertensione Ipotensione Palpitazioni Syncope Tachicardia.

Sistema digestivo: dyspepsia dyspepsia disfagia gastroenterite anormale di funzionalità epatica testare la sete del disturbo rettale.

Sistema emico e linfatico: Anemia trombocitopenia.

Disturbi metabolici e nutrizionali: perdita di peso edema.

Muscoloscheletrico: rigidità muscolare scheletrica.

Sistema nervoso: Sogni anormali Agitazione dell'andazione anormale Amnesia Ansia Atassia Convusione di confusione coma Delirium Euforia allucinazioni letargia nervosismo pensiero anormale del tremore vasodilatazione vertigini.

Sistema respiratorio: alterazione vocale dell'ipoventilazione dell'iCcup.

Skin e appendici: pelle secca orticaria.

Sensi speciali: Perversione del gusto del dolore agli occhi di ambliopia.

Sistema urogenitale: L'impotenza di eiaculazione anormale di eiaculazione ha ridotto la ritenzione urinaria di oliguria libido.

L'anafilassi è stata segnalata con ingredienti contenuti in Avinza. Consiglia ai pazienti come riconoscere tale reazione e quando consultare il medico.

Azelastina HCl Nasal Spray 137 mcg

Interazioni farmacologiche for Avinza

Alcool

L'uso concomitante di alcol con Avinza può provocare un aumento dei livelli plasmatici di morfina e un sovradosaggio potenzialmente fatale di morfina. Istruire i pazienti a non consumare bevande alcoliche o di utilizzare prodotti da prescrizione o non prescrizione contenenti alcol durante la terapia AVINZA [vedi Farmacologia clinica ].

Depressivi del SNC

L'uso concomitante di AVINZA con altri depressivi del SNC, tra cui sedativi ipnotici tranquillizzatori, fenotiazine generali di anestetici Altri oppioidi e alcol può aumentare il rischio di depressione respiratoria profonda coma e morte. Monitorare i pazienti che ricevono depressivi del SNC e Avinza per segni di sedazione e ipotensione della depressione respiratoria.

Quando la terapia combinata con uno dei farmaci di cui sopra è considerata la dose di uno o entrambi gli agenti, dovrebbe essere ridotta [vedi Dosaggio e amministrazione E AVVERTIMENTOS AND PRECAUZIONI ].

Agonista mista/antagonista e analgesici oppiacei agonisti parziali

L'agonista/antagonista misto (cioè la pentazocina nalbuphina e il butorfanolo) e gli analgesici agonisti parziali (buprenorfina) possono ridurre l'effetto analgesico di AVINZA o precipitare i sintomi di ritiro. Evita l'uso di agonisti/antagonisti e analgesici agonisti parziali nei pazienti che hanno ricevuto Avinza.

Rilassanti muscolari

La morfina può migliorare l'azione di blocco neuromuscolare dei rilassanti dei muscoli scheletrici e produrre un aumento del grado di depressione respiratoria. Monitorare i pazienti che ricevono rilassanti muscolari e Avinza per segni di depressione respiratoria che potrebbero essere maggiori di quanto altrimenti previsto.

Inibitori della monoamina ossidasi (MAOIS)

Gli effetti della morfina possono essere potenziati da Maois. Monitorare i pazienti in terapia simultanea con MAOI e AVINZA per un aumento della depressione del sistema nervoso respiratorio e centrale. È stato segnalato che i MAOIS potenziano gli effetti della confusione dell'ansia da morfina e della significativa depressione della respirazione o del coma. Avinza non deve essere utilizzata in pazienti che assumono MAOIS o entro 14 giorni dall'arresto di tale trattamento.

Cimetidina

Cimetidina can potentiate morphine-induced respiratory depression. There is a report of confusion E severe respiratory depression when a patient undergoing hemodialysis was concurrently administered morphine E cimetidine. Monitor patients for respiratory depression when AVINZA E cimetidine are used concurrently.

Diuretici

La morfina può ridurre l'efficacia dei diuretici inducendo il rilascio di ormone antidiuretico. La morfina può anche portare a una ritenzione acuta delle urine causando lo spasmo dello sfintere della vescica in particolare negli uomini con prostate allargate.

Anticolinergici

Anticolinergici or other medications with anticholinergic activity when used concurrently with opioid analgesics may result in increased risk of urinary retention E/or severe stipsi which may lead to paralytic ileus. Monitor patients for signs of urinary retention or reduced gastric motility when AVINZA is used concurrently with anticholinergic drugs.

Inibitori della glicoproteina P (PGP)

Gli inibitori della PGP (ad esempio chinidina) possono aumentare l'assorbimento/esposizione della morfina solfato di circa due volte. Pertanto monitorare i pazienti per i segni di depressione del sistema nervoso respiratorio e centrale quando AVINZA viene utilizzata contemporaneamente con gli inibitori della PGP.

Abuso e dipendenza da droghe

Sostanza controllata

Avinza contiene sostanza controllata da Morfina A Schedule II con un elevato potenziale di abuso simile ad altri oppioidi tra cui il metadone di metanilfone di fentanilfone ossiccodone e ossimorfone. Avinza può essere abusata ed è soggetta a dipendenza da uso improprio e diversione criminale [vedi AVVERTIMENTOS AND PRECAUZIONI ].

L'alto contenuto di droghe nelle formulazioni di rilascio esteso aumenta il rischio di risultati avversi da abusi e abusi.

Abuso

Tutti i pazienti trattati con oppioidi richiedono un attento monitoraggio per segni di abuso e dipendenza poiché l'uso di prodotti analgesici oppioidi comporta il rischio di dipendenza anche a causa di un adeguato uso medico.

L'abuso di droghe è l'uso intenzionale non terapeutico di un farmaco da banco o da prescrizione anche una volta per i suoi effetti psicologici o fisiologici gratificanti. L'abuso di droghe include ma non si limita ai seguenti esempi: l'uso di una prescrizione o un droga per il contropiede per aumentare o l'uso di steroidi per il miglioramento delle prestazioni e l'accumulo di muscoli.

La tossicodipendenza è un cluster di fenomeni cognitivi e fisiologici comportamentali che si sviluppano dopo ripetuti consumo di sostanze e includono: un forte desiderio di prendere le difficoltà della droga nel controllo del suo uso che persiste nel suo uso nonostante le conseguenze dannose una priorità più elevata data all'uso di droghe che ad altre attività e obblighi ha aumentato la tolleranza e talvolta un ritiro fisico.

Il comportamento in cerca di droghe è molto comune per i tossicodipendenti e i tossicodipendenti. Le tattiche in cerca di droghe includono chiamate di emergenza o visite verso la fine delle ore di ufficio il rifiuto di sottoporsi a test di esame adeguati o ripetute richieste di perdita di prescrizioni che manomisero le prescrizioni e la riluttanza a fornire precedenti cartelle cliniche o informazioni di contatto per altri medici di trattamento. Lo shopping medico (visitare più prescrittori) per ottenere ulteriori prescrizioni è comune tra i tossicodipendenti e le persone che soffrono di dipendenza non trattata. La preoccupazione per il raggiungimento di un adeguato sollievo dal dolore può essere un comportamento appropriato in un paziente con scarso controllo del dolore.

Abuso E addiction are separate E distinct from physical dependence E tolerance. Physicians should be aware that addiction may not be accompanied by concurrent tolerance E symptoms of physical dependence in all addicts. In addition abuse of opioids can occur in the absence of true addiction.

Avinza come altri oppioidi può essere deviato per uso non medico in canali di distribuzione illeciti. È fortemente consigliata un'attenta tenuta dei registri delle informazioni di prescrizione, tra cui la frequenza di quantità e le richieste di rinnovo, come richiesto dalla legge statale.

Una corretta valutazione del paziente adeguate pratiche di prescrizione adeguata rivalutazione periodica della terapia e adeguata distribuzione e conservazione sono misure appropriate che aiutano a ridurre l'abuso di farmaci da oppiacei.

Rischi specifici per l'abuso di Avinza

Avinza è solo per uso orale. L'abuso di Avinza rappresenta un rischio di sovradosaggio e morte. Questo rischio è aumentato con l'abuso simultaneo di Avinza con alcol e altre sostanze. L'assunzione di Avinza schiacciata o sciolta rompicata a taglio migliora il rilascio di farmaci e aumenta il rischio di sovradosaggio e morte.

A causa della presenza di talco come uno degli eccipienti nell'abuso parenterale di Avinza si prevede che provochi granulomi polmonari di infezione da necrosi dei tessuti locali e aumentato rischio di endocardite e lesioni cardiache valvolari. L'abuso di droghe parentali è comunemente associato alla trasmissione di malattie infettive come l'epatite e l'HIV.

Dipendenza

Sia la tolleranza che la dipendenza fisica possono svilupparsi durante la terapia cronica di oppioidi. La tolleranza è la necessità di aumentare le dosi di oppioidi per mantenere un effetto definito come l'analgesia (in assenza di progressione della malattia o altri fattori esterni). La tolleranza può verificarsi sia agli effetti desiderati che indesiderati dei farmaci e può svilupparsi a tassi diversi per effetti diversi.

La dipendenza fisica provoca sintomi di astinenza dopo interruzione brusca o una significativa riduzione della dose di un farmaco. Il ritiro può anche essere precipitato attraverso la somministrazione di farmaci con attività antagonista oppioide, ad es. Naloxone nalmefene Analgesici agonisti/antagonisti (pentazocina butorfanolo nalbuphina) o agonisti parziali (buprenorfina). La dipendenza fisica potrebbe non verificarsi in misura clinicamente significativa fino a dopo diversi giorni o settimane di continuo utilizzo degli oppioidi.

Avinza non dovrebbe essere bruscamente interrotta [vedi Dosaggio e amministrazione ]. If AVINZA is abruptly discontinued in a physically-dependent patient an abstinence syndrome may occur. Some or all of the following can characterize this syndrome: restlessness lacrimation rhinorrhea yawning perspiration chills myalgia E mydriasis. Other signs E symptoms also may develop including: irritability anxiety backache joint pain weakness abdominal cramps insomnia nausea anorexia vomito diarrea or increased blood pressure respiratory rate or heart rate.

Anche i bambini nati da madri dipendenti fisicamente dagli oppioidi saranno fisicamente dipendenti e possono mostrare difficoltà respiratorie e sintomi di astinenza [vedi Utilizzare in popolazioni specifiche ].

Avvertimenti per Avinza

Incluso come parte del PRECAUZIONI sezione.

Precauzioni per Avinza

Abuso e uso improprio della dipendenza

Avinza contiene morfina una sostanza controllata da un programma II. Poiché un Avinza oppiaceo espone gli utenti ai rischi di abusi e uso improprio [vedi Abuso e dipendenza da droghe ]. As modified-release products such as AVINZA deliver the opioid over an extended period of time there is a greater risk for overdose E death due to the larger amount of morphine present.

Sebbene il rischio di dipendenza in ogni individuo non sia noto, può verificarsi nei pazienti in modo appropriato di Avinza e in coloro che ottengono il farmaco illecitamente. La dipendenza può verificarsi a dosi raccomandate e se il farmaco viene abusato o abuso.

Valutare il rischio di ciascun paziente di abuso di dipendenti da oppiacei o abuso prima di prescrivere Avinza e monitorare tutti i pazienti che ricevono Avinza per lo sviluppo di questi comportamenti o condizioni. I rischi sono aumentati nei pazienti con una storia personale o familiare di abuso di sostanze (compresa la dipendenza da droga o l'alcol) o le malattie mentali (ad esempio depressione maggiore). Il potenziale per questi rischi non dovrebbe tuttavia impedire la prescrizione di Avinza per la corretta gestione del dolore in un dato paziente. I pazienti ad aumentato rischio possono essere prescritti formulazioni di oppioidi a rilascio modificato come AVINZA, ma l'uso in tali pazienti richiede una consulenza intensiva sui rischi e sull'uso corretto di Avinza insieme al monitoraggio intensivo per i segni di abuso di dipendenza e abuso.

Abuso or misuse of AVINZA by crushing chewing snorting or injecting the dissolved product will result in the uncontrolled delivery of the morphine E can result in overdose E death [see Sovradosaggio ].

Gli agonisti degli oppioidi come Avinza sono ricercati da abusatori di droga e persone con disturbi della dipendenza e sono soggetti a diversione criminale. Considera questi rischi durante la prescrizione o l'erogazione di Avinza. Le strategie per ridurre questi rischi includono la prescrizione del farmaco nella più piccola quantità appropriata e la consulenza al paziente sulla corretta disposizione del farmaco inutilizzato [vedi Informazioni sul paziente ]. Contact local state professional licensing board or state controlled substances authority for information on how to prevent E detect abuse or diversion of this product.

Depressione respiratoria potenzialmente letale

È stata segnalata una grave depressione respiratoria potenzialmente letale o fatale con l'uso di oppioidi a rilascio modificato anche se usato come raccomandato. La depressione respiratoria dall'uso di oppioidi se non immediatamente riconosciuto e trattata può portare a arresti respiratoria e morte. La gestione della depressione respiratoria può includere misure di supporto a stretto osservazione e uso di antagonisti oppioidi a seconda dello stato clinico del paziente [vedi Sovradosaggio ]. Carbon dioxide (CO2) retention from opioid-induced respiratory depression can exacerbate the sedating effects of opioids.

Mentre la depressione respiratoria mortale o fatale pericolosa per la vita può verificarsi in qualsiasi momento durante l'uso di Avinza, il rischio è maggiore durante l'inizio della terapia o dopo un aumento della dose. Monitorare attentamente i pazienti per la depressione respiratoria quando si avvia la terapia con Avinza e a seguito di aumenti della dose.

Per ridurre il rischio di depressione respiratoria è essenziale il dosaggio e la titolazione di Avinza [vedi Dosaggio e amministrazione ]. Overestimating the AVINZA dose when converting patients from another opioid product can result in fatal overdose with the first dose.

L'ingestione accidentale anche di una dose di Avinza, specialmente da parte dei bambini, può provocare depressione respiratoria e morte a causa di un sovradosaggio di morfina.

Sindrome da astinenza da oppiacei neonatali

L'uso prolungato di Avinza durante la gravidanza può provocare segni di astinenza nel neonato. La sindrome da astinenza da oppiacei neonatali a differenza della sindrome da astinenza da oppiacei negli adulti può essere pericolosa la vita se non riconosciuta e trattata e richiede la gestione secondo i protocolli sviluppati da esperti neonatologici. Se è richiesto l'uso di oppioidi per un periodo prolungato in una donna incinta consiglia il paziente il rischio di sindrome da astinenza da oppiacei neonatali e assicurarsi che sia disponibile un trattamento adeguato.

La sindrome da astinenza da oppiacei neonatali presenta l'iperattività irritabilità e il modello di sonno anormale a pianto ad alto pianto di vomito di vomito e il mancato aumento del peso. La durata e la gravità dell'inizio della sindrome da prelievo neonatale degli oppiacei variano in base alla durata degli oppioidi specifica dei tempi di utilizzo e alla quantità di ultimo uso materno e tasso di eliminazione del farmaco da parte del neonato.

Interazioni con depressivi del sistema nervoso centrale

I pazienti non devono consumare bevande alcoliche o prodotti da prescrizione o non prescrizione contenenti alcol durante la terapia di Avinza. La co-ingestione di alcol con avinza può comportare un aumento dei livelli plasmatici e un sovradosaggio potenzialmente fatale di morfina [vedi Farmacologia clinica ].

Ipotensione Sedazione profonda depressione respiratoria e morte può derivare se Avinza viene utilizzata in concomitanza con alcol o altri depressivi del sistema nervoso centrale (SNC) (ad es. Sedativi ansiolitici ipnotici neurolettici Altri oppioidi).

Quando si considera l'uso di Avinza in un paziente che assume un depressivo del SNC, valutare la durata dell'uso del depressivo del SNC e la risposta del paziente, incluso il grado di tolleranza che si è sviluppato per la depressione del SNC. Valuta inoltre l'uso da parte del paziente di alcol o droghe illecite che causano la depressione del SNC. Se la decisione di iniziare Avinza viene presa con Avinza 30 mg ogni 24 ore, monitora i pazienti per segni di sedazione e depressione respiratoria e prendere in considerazione l'uso di una dose più bassa del depressivo concomitante del SNC [vedi Interazioni farmacologiche ].

Uso nei pazienti anziani cachettici e debilitati

È più probabile che si verifichi la depressione respiratoria pericolosa per la vita nei pazienti anziani cachettici o debilitati in quanto potrebbero aver alterato la farmacocinetica o alterazione alterata rispetto ai pazienti più sani più sani. Monitorare tali pazienti da vicino in particolare quando si inizia e titola Avinza e quando Avinza viene somministrato in concomitanza con altri farmaci che preminano la respirazione [vedi Depressione respiratoria potenzialmente letale ].

Uso in pazienti con malattia polmonare cronica

Monitorare i pazienti con una malattia polmonare ostruttiva cronica significativa o del carlonevole e dei pazienti con una riduzione sostanzialmente ridotta dell'ipossia ipercapnia o depressione respiratoria preesistente per la depressione respiratoria per la depressione respiratoria, in particolare quando si inizia la terapia e la titolazione di Avinza come in questi pazienti anche in pazienti terapeutiche di Avinza può diminuire la guida respiratoria per la pausa. Depressione respiratoria potenzialmente letale ]. Consider the use of alternative non-opioid analgesics in these patients if possible.

Effetto ipotensivo

Avinza può causare grave ipotensione tra cui ipotensione ortostatica e sincope nei pazienti ambulatoriali. Vi è un aumentato rischio nei pazienti la cui capacità di mantenere la pressione arteriosa è già stata compromessa da una ridotta volume del sangue o dalla somministrazione simultanea di alcuni farmaci depressivi del SNC (ad esempio fenotiazine o anestetici generali) [vedi Interazioni farmacologiche ]. Monitor these patients for signs of hypotension after initiating or titrating the dose of AVINZA. In patients with circulatory shock AVINZA may cause vasodilation that can further reduce cardiac output E blood pressure. Avoid the use of AVINZA in patients with circulatory shock.

Uso in pazienti con lesioni alla testa o aumento della pressione intracranica

Monitorare i pazienti che assumono AVINZA che possono essere suscettibili agli effetti intracranici della ritenzione di CO2 (ad esempio quelli con evidenza di una maggiore pressione intracranica o tumori cerebrali) per segni di sedazione e depressione respiratoria, in particolare quando si inizia la terapia con AVINZA. Avinza può ridurre la trasmissione respiratoria e la conseguente ritenzione di CO2 può aumentare ulteriormente la pressione intracranica. Gli oppioidi possono anche oscurare il percorso clinico in un paziente con un lesione alla testa.

Evita l'uso di Avinza in pazienti con coscienza o coma compromessa.

Utilizzare in pazienti con condizioni gastrointestinali

Avinza è controindicata nei pazienti con ileo paralitico. Evita l'uso di AVINZA in pazienti con altro ostruzione gastrointestinale.

La morfina in Avinza può causare spasmo dello sfintere di Oddi. Monitorare i pazienti con malattia del tratto biliare, compresa la pancreatite acuta per il peggioramento dei sintomi. Gli oppioidi possono causare aumenti dell'amilasi sierica.

Utilizzare in pazienti con disturbi convulsivi o convulsivi

La morfina in Avinza può aggravare le convulsioni nei pazienti con disturbi convulsivi e può indurre o aggravare le convulsioni in alcuni contesti clinici. Monitorare i pazienti con una storia di disturbi convulsivi per il peggioramento del controllo delle convulsioni durante la terapia AVINZA.

Evitamento del ritiro

Evita l'uso di agonisti/antagonisti misti (cioè pentazocina nalbuphina e butorfanolo) o analgesici agonisti parziali (buprenorfina) nei pazienti che hanno ricevuto o ricevono un corso di terapia con un agonista oppioide analgesico, incluso Avinza. In questi pazienti l'agonista/antagonista misto e gli analgesici agonisti parziali possono ridurre l'effetto analgesico e/o possono precipitare i sintomi di astinenza.

Quando si interrompe l'Avinza gradualmente rastrella la dose [vedi Dosaggio e amministrazione ]. Do not abruptly discontinue AVINZA.

Macchinari di guida e operazione

Avinza può compromettere le capacità mentali o fisiche necessarie per svolgere attività potenzialmente pericolose come la guida di un'auto o i macchinari operativi. Avvertire i pazienti di non guidare o utilizzare macchinari pericolosi a meno che non siano tolleranti agli effetti di Avinza e sappiano come reagiranno al farmaco.

Informazioni sulla consulenza del paziente

Consiglia al paziente di leggere l'etichettatura del paziente approvata dalla FDA (guida ai farmaci e istruzioni per l'uso).

Abuso e uso improprio della dipendenza

Informare i pazienti che l'uso di Avinza anche se considerato come raccomandato può comportare abusi e uso improprio che possono portare a un sovradosaggio o alla morte [vedi AVVERTIMENTOS AND PRECAUZIONI ]. Instruct patients not to share AVINZA with others E to take steps to protect AVINZA from theft or misuse.

Depressione respiratoria potenzialmente letale

Informare i pazienti del rischio di depressione respiratoria potenzialmente letale, comprese le informazioni secondo cui il rischio è maggiore quando si inizia Avinza o quando la dose è aumentata e che può verificarsi anche a dosi raccomandate [vedi AVVERTIMENTOS AND PRECAUZIONI ]. Advise patients how to recognize respiratory depression E to seek medical attention if breathing difficulties develop.

Ingestione accidentale

Informare i pazienti che l'ingestione accidentale soprattutto nei bambini può provocare depressione respiratoria o morte [vedi AVVERTIMENTOS AND PRECAUZIONI ]. Instruct patients to take steps to store AVINZA securely E to dispose of unused AVINZA by flushing the capsules down the toilet.

Sindrome da astinenza da oppiacei neonatali

Informare le donne pazienti con potenziale riproduttivo che l'uso prolungato di Avinza durante la gravidanza può provocare sindrome da astinenza da oppiacei neonatali che possono essere potenzialmente letali e trattate [vedi AVVERTIMENTOS AND PRECAUZIONI ].

Interazioni con l'alcol e altri depressivi del SNC

Istruisci i pazienti a non consumare bevande alcoliche, nonché prodotti da prescrizione e da banco che contengono alcol durante il trattamento con Avinza. La co-ingestione di alcol con avinza può comportare un aumento dei livelli plasmatici e un sovradosaggio potenzialmente fatale di morfina [vedi AVVERTIMENTOS AND PRECAUZIONI ].

Informare i pazienti che possono verificarsi effetti additivi potenzialmente gravi se Avinza viene utilizzata con alcol o altri depressivi del SNC e non utilizzare tali farmaci se non supervisionato da un operatore sanitario.

Importanti istruzioni di amministrazione

Istruire ai pazienti come prendere correttamente Avinza, compreso i seguenti:

  • Ingoiare le capsule di Avinza integrali o spruzzare il contenuto della capsula sulla salsa di mele e quindi deglutire immediatamente senza masticare
  • Non schiacciare la masticazione o dissolvere i pellet nelle capsule
  • Usando Avinza esattamente come prescritto per ridurre il rischio di reazioni avverse potenzialmente letali (ad es. Depressione respiratoria)
  • Non interrompere Avinza senza prima discutere la necessità di un regime di assorbimento con il prescrittore
Ipotensione

Informare i pazienti che AVINZA può causare ipotensione e sincope ortostatiche. Indiicare ai pazienti come riconoscere i sintomi della bassa pressione sanguigna e come ridurre il rischio di gravi conseguenze dovrebbero verificarsi ipotensione (ad esempio sedersi o sdraiarsi con cura da una posizione seduta o sdraiata).

Guida o funzionamento di macchinari pesanti

Informare i pazienti che Avinza può compromettere la capacità di svolgere attività potenzialmente pericolose come la guida di un'auto o la gestione di macchinari pesanti. Consiglia ai pazienti di non svolgere tali compiti fino a quando non saranno come reagiranno al farmaco.

Stipsi

Consiglia ai pazienti il ​​potenziale per una grave costipazione, comprese le istruzioni di gestione e quando cercare cure mediche.

Anafilassi

Informare i pazienti che l'anafilassi è stata segnalata con ingredienti contenuti in Avinza. Consiglia ai pazienti come riconoscere tale reazione e quando consultare il medico.

Gravidanza

Consiglia alle pazienti che Avinza può causare danni fetali e informare il prescrittore se sono in gravidanza o pianificano di rimanere incinta.

Smaltimento di Avinza inutilizzata

Consiglia ai pazienti di eliminare le capsule inutilizzate nel gabinetto quando Avinza non è più necessaria.

Tossicologia non clinica

Mutagenesi della carcinogenesi compromissione della fertilità

Carcinogenesi

Non sono stati condotti studi sugli animali per valutare il potenziale cancerogeno della morfina solfato.

Mutagenesi

Non sono stati condotti studi formali per valutare il potenziale mutageno della morfina. Nella letteratura pubblicata la morfina è risultata mutagena in vitro Aumentare la frammentazione del DNA nelle cellule T umane. È stato segnalato che la morfina è mutagenica nel test del micronucleo del topo in vivo e positiva per l'induzione di aberrazioni cromosomiche negli spermatidi di topo e nei linfociti murini. Studi meccanicistici suggeriscono che gli effetti clastogenici in vivo riportati con morfina nei topi possono essere correlati ad aumenti dei livelli di glucocorticoidi prodotti dalla morfina in questa specie. Contrariamente ai risultati positivi di cui sopra in vitro Studi in letteratura hanno anche dimostrato che la morfina non ha indotto aberrazioni cromosomiche nei leucociti o nelle traslocazioni umane o nelle mutazioni letali in Drosophila.

bellissime vacanze convenienti
Compromissione della fertilità

Non sono stati condotti studi non clinici formali per valutare il potenziale della morfina di compromettere la fertilità. Diversi studi non clinici della letteratura hanno dimostrato effetti avversi sulla fertilità maschile nel ratto dall'esposizione alla morfina. Uno studio in cui i ratti maschi venivano somministrati morfina solfato sottocutaneamente prima dell'accoppiamento (fino a 30 mg/kg due volte al giorno) e durante l'accoppiamento (20 mg/kg due volte al giorno) con femmine non trattate una serie di effetti riproduttivi avversi, compresa la riduzione della gravidanza totale di pseudopregnies inumitali. Studi della letteratura hanno anche riportato cambiamenti nei livelli ormonali (cioè corticosterone sierico ormonale di luteinizzazione del testosterone) a seguito di trattamento con morfina. Questi cambiamenti possono essere associati agli effetti riportati sulla fertilità nel ratto.

Utilizzare in popolazioni specifiche

Gravidanza

Considerazioni cliniche

Reazioni avverse fetali/neonatali

L'uso prolungato di analgesici oppioidi durante la gravidanza per scopi medici o non medici può causare dipendenza fisica nella sindrome da astinenza da oppiacei neonati e neonatali poco dopo la nascita. Osservare i neonati per i sintomi della sindrome da astinenza da oppiacei neonatali come una scarsa rigidità e convulsioni dell'irritabilità della diarrea e convulsioni e gestire di conseguenza [vedi AVVERTIMENTOS AND PRECAUZIONI ].

Effetti teratogenici - Categoria della gravidanza C

Non ci sono studi adeguati e ben controllati nelle donne in gravidanza. Avinza dovrebbe essere utilizzata durante la gravidanza solo se il potenziale beneficio giustifica il rischio potenziale per il feto.

Nell'uomo la frequenza delle anomalie congenite non è più grande del previsto tra i bambini di 70 donne che sono state trattate con morfina durante i primi quattro mesi di gravidanza o in 448 donne trattate con morfina in qualsiasi momento durante la gravidanza. Inoltre, non sono state osservate malformazioni nel bambino di una donna che ha tentato il suicidio prendendo un sovradosaggio di morfina e altri farmaci durante il primo trimestre di gravidanza.

Diversi rapporti sulla letteratura indicano che la morfina somministrata per via sottocutanea durante il primo periodo gestazionale nei topi e sui criceti ha prodotto tessuti molli neurologici e anomalie scheletriche. Con un'eccezione, gli effetti che sono stati segnalati stavano seguendo dosi che erano maternamente tossiche e le anomalie rilevate erano caratteristiche di quelle osservate quando è presente la tossicità materna. In uno studio a seguito di infusione sottocutanea di dosi superiori o uguali a 0,15 mg/kg ai topi esencefalia idronefrosi emorragia intestinale diviso sternebra malformati e xifoidi malformati sono stati notati in assenza di tossicità materna. Nel solfato di morfina del criceto somministrato per via sottocutanea il giorno della gestazione 8 ha prodotto esencefalia e cranioschisi. Nei ratti trattati con infusioni sottocutanee di morfina durante il periodo di organogenesi non è stata osservata teratogenicità. In questo studio non è stata osservata alcuna tossicità materna, tuttavia è stata osservata una maggiore mortalità e ritardo della crescita nella prole. In due studi condotti nel coniglio non è stata segnalata alcuna prova di teratogenicità a dosi sottocutanee fino a 100 mg/kg.

Effetti nonteratogeni

I bambini nati da madri che hanno preso oppioidi cronicamente possono mostrare sindrome da astinenza neonatale [vedi AVVERTIMENTOS AND PRECAUZIONI ] Riduzione reversibile del volume cerebrale Dimensioni ridotte Diminuzione della risposta ventilatoria alla CO2 e aumento del rischio di sindrome della morte improvvisa infantile. La morfina solfato dovrebbe essere usata da una donna incinta solo se la necessità di analgesia oppioide supera chiaramente i potenziali rischi per il feto.

Non sono stati condotti studi controllati sull'esposizione cronica nell'utero morfina nelle donne in gravidanza. La letteratura pubblicata ha riferito che l'esposizione alla morfina durante la gravidanza negli animali è associata alla riduzione della crescita e a una serie di anomalie comportamentali nella prole. Il trattamento con morfina durante i periodi gestazionali di organogenesi nei criceti di ratti cavie e conigli ha provocato la seguente embriotossicità legata al trattamento e tossicità neonatale in uno o più studi: riduzione della lettiera e aumento della neonati di embribilità della neonati e dell'ipotibilità della neonati di neonati. Riduzione della fertilità nella prole femminile e riduzione del plasma e dei livelli testicolari di ormone luteinizzante e testosterone hanno ridotto la riduzione dei pesi dei pesi seminiferi di tubuli a base di aplasia germinale e una riduzione della spermatogenesi nella prole maschile sono stati osservati. Dimensione e vitalità della lettiera sono state osservate nella progenie dei ratti maschi somministrati sulla morfina (25 mg/kg IP) per 1 giorno prima dell'accoppiamento. Anomalie comportamentali risultanti dall'esposizione alla morfina cronica degli animali fetali includevano alterato riflesso del riflesso e delle competenze motorie lieve ritiri e alterata reattività alla morfina che persiste nell'età adulta.

Manodopera e consegna

Gli oppioidi attraversano la placenta e possono produrre depressione respiratoria nei neonati. Avinza non è da utilizzare nelle donne durante e immediatamente prima del lavoro quando gli analgesici di recitazione più brevi o altre tecniche analgesiche sono più appropriate. Gli analgesici degli oppioidi possono prolungare il lavoro attraverso azioni che riducono temporaneamente la durata della forza e la frequenza delle contrazioni uterine. Tuttavia, questo effetto non è coerente e può essere compensato da un aumento del tasso di dilatazione cervicale che tende ad accorciare il lavoro.

Madri infermieristiche

La morfina viene escreta nel latte materno con un rapporto AUC di morfina di latte a plasma di circa 2,5: 1. La quantità di morfina ricevuta dal bambino varia a seconda della concentrazione plasmatica materna la quantità di latte ingerita dal bambino e l'entità del metabolismo del primo passaggio. Monitorare da vicino i bambini delle donne infermieristiche che ricevono Avinza.

I sintomi di astinenza possono verificarsi nei neonati che allattano quando viene arrestata la somministrazione materna della morfina.

A causa del potenziale di reazioni avverse nei neonati infermieristici di Avinza, dovrebbe essere presa se interrompere l'assistenza infermieristica o interrompere il farmaco tenendo conto dell'importanza del farmaco per la madre.

Uso pediatrico

La sicurezza e l'efficacia di Avinza nei pazienti pediatrici di età inferiore ai 18 anni non sono state stabilite.

Uso geriatrico

La farmacocinetica di Avinza non è stata studiata nei pazienti anziani. Negli studi clinici di Avinza 100 pazienti che hanno ricevuto Avinza avevano 65 anni e oltre, compresi 37 pazienti di età superiore ai 74 anni. Non sono state osservate differenze complessive di sicurezza tra questi soggetti e i soggetti più giovani. [Vedere Farmacologia clinica ].

Informazioni per overdose per Avinza

Presentazione clinica

Il sovradosaggio acuto con morfina si manifesta dalla sonnolenza della depressione respiratoria che progredisce allo stupore o alla flaccidità del muscolo scheletrico del coma freddo e la pelle umida costretta e le pupille e in alcuni casi edema polmonare bradicardia ipotensione e morte. La midriasi marcata piuttosto che la miosi può essere osservata a causa della grave ipossia in situazioni di overdose.

Trattamento del sovradosaggio

In caso di priorità di overdose è il ripristino di un brevetto e le vie aeree protette e l'istituzione di ventilazione assistita o controllata, se necessario. Impiegare altre misure di supporto (compresi i vasopressori di ossigeno) nella gestione di shock circolatorio e edema polmonare come indicato. L'arresto cardiaco o le aritmie richiederanno tecniche di supporto vitale avanzate.

Gli antagonisti degli oppiacei naloxone o nalmefene sono antidoti specifici alla depressione respiratoria risultante dal sovradosaggio di oppioidi. Gli antagonisti degli oppioidi non devono essere somministrati in assenza di depressione respiratoria o circolatoria clinicamente significativa secondaria al sovradosaggio di morfina. Tali agenti dovrebbero essere somministrati con cautela a persone che sono conosciute o sospettate di dipendere fisicamente da Avinza. In tali casi un'inversione improvvisa o completa degli effetti degli oppioidi può precipitare una sindrome da astinenza acuta.

Poiché la durata dell'inversione dovrebbe essere inferiore alla durata dell'azione della morfina in Avinza monitorare attentamente il paziente fino a quando la respirazione spontanea non viene ristabilita in modo affidabile. Avinza continuerà a rilasciare la morfina e si aggiungerà al carico di morfina per 36 a 48 ore o più a seguito di ingestione che richiede un monitoraggio prolungato. Se la risposta agli antagonisti degli oppiacei è non ottimale o non sostenuto, antagonista aggiuntivo dovrebbe essere somministrato come indicato nelle informazioni di prescrizione del prodotto.

In un individuo dipendente fisicamente dalla somministrazione di oppioidi della normale dose dell'antagonista precipiterà una sindrome da astinenza acuta. La gravità dei sintomi di astinenza sperimentati dipenderà dal grado di dipendenza fisica e dalla dose dell'antagonista somministrato. Se viene presa la decisione di trattare una grave depressione respiratoria nella somministrazione fisica del paziente dell'antagonista, dovrebbe essere iniziata con cura e per titolazione con dosi più piccole del solito dell'antagonista.

Controindicazioni per Avinza

Avinza è controindicata nei pazienti con:

  • Depressione respiratoria significativa
  • Asma bronchiale acuto o grave in un ambiente non monitorato o in assenza di attrezzature per la rianimazione
  • Ileo paralitico noto o sospetto
  • Ipersensibilità (ad esempio anafilassi) alla morfina [vedi Reazioni avverse ]

Farmacologia clinica for Avinza

Meccanismo d'azione

Morfina solfato Un agonista oppioide è relativamente selettivo per il recettore MU sebbene possa interagire con altri recettori degli oppioidi a dosi più elevate. Oltre all'analgesia, gli effetti ampiamente diversi della morfina includono i cambiamenti di sonnolenza nella depressione respiratoria dell'umore che hanno ridotto la motilità gastrointestinale di nausea vomito e alterazioni del sistema nervoso endocrino e autonomo.

La morfina produce sia la sua terapeutica che i suoi effetti avversi per interazione con una o più classi di specifici recettori degli oppioidi situati in tutto il corpo. La morfina funge da legame agonista completo e attivando i recettori oppioidi nei siti nella materia grigia periaqueduttale e peri-ventricolare il midollo ventro-mediale e il midollo spinale per produrre analgesia.

Farmacodinamica

Rapporti di livello plasmatico-analgesia

Mentre le relazioni plasmatiche di morfina-efficacia possono essere dimostrate in individui non tolleranti, sono influenzate da un'ampia varietà di fattori e non sono generalmente utili come guida all'uso clinico della morfina. La dose efficace nei pazienti tolleranti agli oppioidi può essere 10-50 volte più grande (o superiore) rispetto alla dose appropriata per gli individui naïve agli oppioidi. I dosaggi di morfina devono essere scelti e devono essere titolati sulla base della valutazione clinica del paziente e l'equilibrio tra effetti terapeutici e avversi.

Interazione deprendente/alcol del SNC

Si possono prevedere effetti farmacodinamici additivi quando Avinza viene utilizzata in combinazione con l'alcol altri oppioidi o droghe illecite che causano depressione del sistema nervoso centrale.

Effetti sul sistema nervoso centrale

La principale azione terapeutica della morfina è l'analgesia. Altri effetti terapeutici della morfina includono l'ansiolisi euforia e i sentimenti di rilassamento. Sebbene il meccanismo preciso dell'azione analgesica sia sconosciuto specifici recettori degli oppiacei e composti endogeni con attività simile alla morfina in tutto il cervello e il midollo spinale e probabilmente svolgeranno un ruolo nell'espressione e nella percezione degli effetti analgesici. In comune con altri oppioidi la morfina provoca in parte la depressione respiratoria da un effetto diretto sui centri respiratorie del tronco cerebrale. La morfina e gli oppioidi correlati deprimono il riflesso della tosse per effetto diretto sul centro della tosse nel midollo. Gli effetti antittusiasttivi possono verificarsi con dosi inferiori a quelle solitamente richieste per l'analgesia. La morfina provoca miosi anche nell'oscurità totale. Pinpoint Gli alunni sono un segno di overdose di oppiacei; Tuttavia, quando l'asfissia è presente durante la dose di oppiacei marcata la midriasi.

Effetti sul tratto gastrointestinale e altri muscoli lisci

Le secrezioni biliare e pancreatica gastriche sono ridotte dalla morfina. La morfina provoca una riduzione della motilità ed è associata ad un aumento del tono nell'antro dello stomaco e del duodeno. La digestione del cibo nell'intestino tenue è ritardata e le contrazioni propulsive sono ridotte. Le onde peristaltiche propulsive nel colon sono ridotte mentre il tono è aumentato al punto dello spasmo. Il risultato finale può essere costipazione. La morfina può causare un marcato aumento della pressione del tratto biliare a causa dello spasmo dello sfintere di Oddi. La morfina può anche causare spasmo dello sfintere della vescica urinaria.

Effetti sul sistema cardiovascolare

Nelle dosi terapeutiche la morfina di solito non esercita effetti importanti sul sistema cardiovascolare. La morfina produce vasodilatazione periferica che può provocare ipotensione ortostatica e svenimento. Può verificarsi il rilascio di istamina che può svolgere un ruolo nell'ipotensione indotta da oppioidi. Le manifestazioni di rilascio di istamina e/o vasodilatazione periferica possono includere gli occhi rossi e la sudorazione del prurito.

Effetti sul sistema endocrino

Gli oppioidi inibiscono la secrezione di cortisolo ACTH e l'ormone luteinizzante (LH) nell'uomo. Stimolano anche la secrezione dell'ormone della crescita della prolattina (GH) e la secrezione pancreatica di insulina e glucagone. L'uso cronico di oppioidi può influenzare l'asse ipotalamo-ipofisi-gonadico che porta a cambiamenti ormonali che possono manifestarsi come sintomi di ipogonadismo.

Gli effetti sugli oppioidi del sistema immunitario hanno dimostrato di avere una varietà di effetti sui componenti del sistema immunitario in in vitro E animal models. The clinical significance of these findings is unknown. Complessivamente the effects of opioids appear to be modestly immunosuppressive.

Farmacocinetica

Assorbimento

Avinza è costituita da due componenti un componente a rilascio immediato e un componente a rilascio prolungato.

La biodisponibilità orale della morfina è inferiore al 40% e mostra una grande variabilità inter-individuale dovuta all'ampio metabolismo pre-sistemico.

Dopo la somministrazione orale monodosaggio di una dose di 60 mg di Avinza in condizioni di digiuno, concentrazioni di morfina di circa 3-6 ng/mL sono state raggiunte entro 30 minuti dopo il dosaggio e mantenuto per l'intervallo di dosaggio di 24 ore. La farmacocinetica di Avinza ha dimostrato di essere dose-proporzionale su una singola gamma di dose orale da 30 a 120 mg in volontari sani e una gamma di dose orale multipla di almeno 30 a 180 mg in pazienti con dolore cronico da moderato a grave.

Effetto alimentare : Quando una dose di 60 mg di AVINZA è stata somministrata immediatamente a seguito di un elevato picco di morfina per pasti e valori AUC erano simili a quelli osservati quando la dose di Avinza è stata somministrata in uno stato di digiuno, sebbene il raggiungimento delle concentrazioni iniziali fosse ritardata di circa 1 ora in condizioni di alimentazione. Pertanto Avinza può essere somministrato indipendentemente dal cibo. Quando il contenuto di Avinza veniva somministrato spruzzando su mele, il tasso e l'estensione dell'assorbimento della morfina sono risultate bioequivalenti alla stessa dose quando somministrata come capsula intatta.

Stato stazionario : Le concentrazioni plasmatiche allo stato stazionario di morfina sono raggiunte da 2 a 3 giorni dopo l'inizio della somministrazione una volta al giorno di Avinza.

Le capsule di Avinza 60mg (una volta al giorno) e la soluzione orale di morfina da 10 mg (6 volte al giorno) erano ugualmente biodisponibili

Figura 1

AVINZA® (morphine sulfate) Figure 1 Illustration

Una dose una volta al giorno di AVINZA ha fornito valori CMA e AUC simili e fluttuazioni del picco (% FL CMAX-Cmin/Cav) rispetto alla somministrazione giornaliera a 6 volte della stessa dose totale giornaliera di soluzione orale di morfina (Tabella 1).

Tabella 1: media farmacocinetica media ± DS

Parametro Capsule di Avinza una volta al giorno Morfina Soluzione orale 6 volte
AUC (ng/ml.h) 273,25 ± 81,24 279,11 ± 63,00
CMAX (NG/ML) 18,65 ± 7,13 19,96 ± 4,82
CMIN (NG/ML) 6,98 ± 2,44 6,61 ± 2,15
% In 106,38 ± 78,14 116,22 ± 26,67
Distribuzione

Una volta che la morfina assorbita viene distribuita ai reni dei muscoli scheletrici dei polmoni e del cervello del tratto intestinale. Sebbene il sito di azione primario sia il SNC solo piccole quantità attraversano la barriera emato-encefalica. La morfina attraversa anche le membrane della placenta ed è stata trovata nel latte materno [vedi Utilizzare in popolazioni specifiche ]. The volume of distribution of morphine is approximately 1 to 6 L/kg E morphine is 20 to 35% reversibly bound to plasma proteins.

Metabolismo

I principali percorsi del metabolismo della morfina comprendono la glucuronidazione per produrre metaboliti tra cui morfina-3-glucuronide M3G (circa il 50%) e morfina-6-glucuronide M6G (circa 5-15%) e solfatazione nel fegato per produrre morfina-3-etere. Una piccola frazione (meno del 5%) di morfina è demetilata. M6G ha dimostrato di avere attività analgesica ma attraversa male la barriera emato-encefalica mentre M3G non ha un'attività analgesica significativa.

Escrezione

Circa il 10% di una dose di morfina viene escreto invariato nelle urine. L'eliminazione della morfina è principalmente attraverso il metabolismo epatico ai metaboliti del glucuronide M3G e M6G che vengono quindi escreti renamente. Una piccola quantità di metaboliti di glucuronide viene escreta nella bile e c'è un piccolo riciclaggio enteroepatico. Il sette al 10% della morfina somministrata viene escreto nelle feci. La clearance media del plasma adulto della morfina è di circa 20-30 ml/minuto/kg. La mezza durata terminale effettiva di morfina dopo somministrazione IV è segnalata in circa 2 ore. L'emivita di eliminazione terminale della morfina dopo una singola dose di somministrazione di Avinza è di circa 24 ore.

Popolazioni specifiche

Pazienti geriatrici

La farmacocinetica di Avinza non è stata studiata nei pazienti anziani.

Pazienti pediatrici

La farmacocinetica di Avinza non è stata studiata in pazienti pediatrici di età inferiore ai 18 anni. La gamma di resistenza alla dose disponibile potrebbe non essere appropriata per il trattamento di pazienti pediatrici molto giovani. La cosparsa della salsa di mele non è un'alternativa adatta per questi pazienti.

Genere

Un'analisi di genere dei dati farmacocinetici da soggetti sani che assumono Avinza indicava che le concentrazioni di morfina erano simili nei maschi e nelle femmine.

Gara

I soggetti cinesi somministrati in morfina endovenosa avevano una clearance più elevata rispetto ai soggetti caucasici (1852 /-116 ml /min rispetto a 1495 /- 80 ml /min).

Compromissione epatica

La farmacocinetica della morfina è alterata negli individui con cirrosi. È stato riscontrato che la clearance diminuisce con un corrispondente aumento dell'emivita. I rapporti plasmatici di M3G e M6G a morfina sono diminuiti anche in questi soggetti che indicano una diminuzione dell'attività metabolica. Non sono stati condotti studi adeguati sulla farmacocinetica della morfina in pazienti con grave compromissione epatica.

Compromissione renale

La farmacocinetica della morfina è alterata nei pazienti con insufficienza renale. L'AUC è aumentata e la clearance viene ridotta e i metaboliti M3G e M6G possono accumularsi a livelli plasmatici molto più elevati nei pazienti con insufficienza renale rispetto ai pazienti con funzione renale normale. Non sono stati condotti studi adeguati sulla farmacocinetica della morfina in pazienti con grave compromissione renale.

Interazione droga/interazione alcol

In in vitro Studi sulla dissoluzione di Avinza 30 mg miscelati con 900 ml di soluzioni tamponi contenenti etanolo (20% e 40%) La quantità di morfina rilasciata è aumentata in modo dipendente dalla concentrazione di alcol. Mentre la rilevanza di in vitro Resta da determinare i test di laboratorio che riguardano Avinza in ambito clinico, questa accelerazione del rilascio può essere correlata al rapido rilascio in vivo della dose totale di morfina che potrebbe comportare l'assorbimento di una dose potenzialmente fatale di morfina.

Studi clinici

Avinza è stata studiata in uno studio di gruppo parallelo a dosi fissa a dosaggio a dosi fissa controllata in doppio cieco in 295 pazienti con dolore da moderato a grave a causa dell'osteoartrosi. Questi pazienti avevano una precedente risposta non ottimale alla terapia di FANS acetaminofene o in terapia analgesica oppioide intermittente in precedenza. Trenta milligrammi Le capsule di Avinza somministrate una volta al giorno o la sera erano più efficaci del placebo nel ridurre il dolore.

Tabella 2: Modifica dal basale nel punteggio della sottoscala del dolore indice OA WOMAC

Complessivamente Placebo Avinza Qam QPM AVINZA
Ls significa -36.23 -75.26 a -75.39 a
Std. Errore 11.482 11.305 11.747
a P <0.05; REPEATED MEASURES ANALYSIS

Questo studio non è stato progettato per valutare gli effetti di Avinza nel corso dell'osteoartrite.

Informazioni sul paziente per Avinza

AVINZA®
(Ah-ven-zah)
(morfina solfato) capsule a rilascio esteso

Avinza è:

  • Una forte medicina del dolore da prescrizione che contiene un oppiaceo (narcotico) che viene utilizzato per gestire il dolore abbastanza grave da richiedere un trattamento a lungo termine quotidiano intorno al punto di vista con un oppioide quando altri trattamenti per il dolore come medicinali per il dolore non oppioide o medicinali di oppioidi a rilascio immediato non trattano abbastanza bene il dolore o non puoi tollerarli.
  • Una medicina del dolore oppiacei a lunga durata (a rilascio prolungato) che può metterti a rischio di sovradosaggio e morte. Anche se prendi la tua dose correttamente come prescritto, sei a rischio di abuso di dipendenti da oppiacei e abusi che possono portare alla morte.
  • Non per essere utilizzato per trattare il dolore che non è 24 ° posto.

Informazioni importanti su Avinza:

  • Ottieni subito un aiuto di emergenza se prendi troppa Avinza (sovradosaggio). Quando inizi a prendere AVINZA quando la tua dose viene cambiata o se prendi troppo (overdose) gravi o problemi di respirazione potenzialmente letale che possono causare la morte possono verificarsi.
  • Non dare mai a nessuno la tua Avinza. Potrebbero morire per prenderlo. Conservare Avinza lontano dai bambini e in un luogo sicuro per evitare di rubare o abusi. Vendere o regalare Avinza è contro la legge.

Non prendere Avinza se hai:

  • gravi problemi di asma che respirano o altri problemi polmonari.
  • un blocco intestinale o ha un restringimento dello stomaco o dell'intestino.

Prima di prendere AVINZA, racconta al tuo operatore sanitario se hai una storia di:

  • convulsioni per lesioni alla testa
  • Problemi di tiroide renale epatica
  • problemi urinanti
  • Problemi di pancreas o cistifellea
  • Abuso di droghe di strada o di droghe da prescrizione di dipendenza da alcol o problemi di salute mentale.

Di 'al tuo operatore sanitario se sei:

  • incinta o pianificare di rimanere incinta. L'uso prolungato di Avinza durante la gravidanza può causare sintomi di astinenza nel bambino neonato che potrebbe essere pericoloso per la vita se non riconosciuto e trattato.
  • allattamento al seno. Avinza passa nel latte materno e può danneggiare il tuo bambino.
  • assumere medicinali da prescrizione o da banco vitamine o integratori a base di erbe. Prendere AVINZA con alcuni altri medicinali può causare gravi effetti collaterali.

Quando prendi Avinza:

  • Non cambiare la tua dose. Prendi Avinza esattamente come prescritto dal tuo operatore sanitario.
  • Prendi la tua dose prescritta ogni 24 ore contemporaneamente ogni giorno.
  • Ingoiare Avinza intero. Non tagliare la pausa masticata Dissolve Snort o Iniect Avinza perché ciò può causare il sovradosaggio e morire.
  • Se non è possibile deglutire le capsule AVINZA, consultare le istruzioni dettagliate per l'uso.
  • Chiama il tuo medico se la dose che stai assumendo non controlla il dolore.
  • Non smettere di prendere Avinza senza parlare con il tuo operatore sanitario.
  • Dopo aver smesso di prendere Avinza eventuali capsule inutilizzate nel gabinetto.

Mentre prendono AVINZA NON:

  • Guidare o utilizzare macchinari pesanti fino a quando non sai come Avinza ti colpisce. Avinza può farti sonno vertigini o stordito.
  • Bevi alcol o usa medicinali da prescrizione o da banco contenenti alcol. L'uso di prodotti contenenti alcol durante il trattamento con AVINZA può causare un sovradosaggio e morire.

I possibili effetti collaterali di Avinza sono:

  • stipsi nausea sleepiness vomito tiredness mal di testa vertigini abdominal pain. Call your healthcare provider if you have any of these symptoms E they are severe.

Ottieni assistenza medica di emergenza se hai:

  • Trouble di respirare la mancanza di respiro del respiro fresco del dolore del torace gonfiore della lingua del viso o della gola estrema sonnolenza della luce leggera quando si cambia posizioni o ti senti svenire.

Questi non sono tutti i possibili effetti collaterali di Avinza. Chiama il medico per consigli medici sugli effetti collaterali. È possibile segnalare gli effetti collaterali alla FDA al numero 1-800-FDA-1088. Per ulteriori informazioni, visitare dailymed.nlm.nih.gov

Instructions For Use

Avinza ®
(Ah-ven-zah)
(morfina solfato) capsule a rilascio esteso

  • Se non puoi ingoiare le capsule di Avinza ®, raccontano il tuo operatore sanitario. Potrebbe esserci un altro modo per prendere Avinza ® che potrebbe essere giusto per te. Se il tuo operatore sanitario ti dice che puoi prendere Avinza® usando questo altro modo, segui questi passaggi:

AVINZA® can be opened E the pellets inside the capsule can be sprinkled over applesauce as follows:

  • Apri la capsula Avinza® e cospargi i pellet su circa un cucchiaio di salsa di mele (vedi Figura 1).

Figura 1

Sprinkle the pellets over approximately one tablespoon of applesauce - Illustration
  • Ingoia subito tutte le mele e i pallini. Non salvare nessuna delle mele e pellet per un'altra dose (vedi Figura 2).

Figura 2

Swallow all of the applesauce and pellets - Illustration
  • Sciacquare la bocca per assicurarti di aver ingoiato tutti i pellet. Non masticare i pellet (vedi Figura 3).

Figura 3

Rinse your mouth to make sure you have swallowed all of the pellets - Illustration
  • Svuota subito la capsula vuota lungo il gabinetto (vedi Figura 4).

Figura 4

Flush the empty capsule down - Illustration

Non dovresti ricevere Avinza® attraverso un tubo nasogastrico o un tubo gastrico (tubo di stomaco).

Queste istruzioni per l'uso sono state approvate dalla Food and Drug Administration degli Stati Uniti.