Le Informazioni Presenti Sul Sito Non Costituiscono Consulenza Medica. Non Vendiamo Nulla. L'Accuratezza Della Traduzione Non È Garantita. Disclaimer
Anticholinergics, genitourinary
Vesicare
Riepilogo della droga
Cos'è Vesicare?
Vesicare (solifenacina) è un antagonista del recettore muscarinico che riduce gli spasmi muscolari del vescia I muscoli e vengono utilizzati per trattare i sintomi della vescica iperattiva come la frequenza urinaria e l'urgenza dell'incontinenza.
Quali sono gli effetti collaterali di Vesicare?
Vesicare può causare gravi effetti collaterali tra cui:
- forte mal di stomaco
- costipazione per 3 giorni o più
- dolore o bruciore quando urini
- confusione
- allucinazione
- Cambiamenti della visione
- Dolore agli occhi
- vedere aloni intorno alle luci
- poca o nessuna minzione
- Sentirsi molto assetato o caldo
- non essere in grado di urinare
- sudorazione pesante
- pelle calda e secca
- nausea
- debolezza
- Sensazione di fortine
- dolore al petto
- battiti cardiaci irregolari e
- perdita di movimento
Ottieni subito assistenza medica se hai uno qualsiasi dei sintomi sopra elencati.
Gli effetti collaterali di Vesicare includono:
- stipsi
- bocca secca
- voce rauca
- occhi secchi
- visione sfocata
- nausea
- perdita di appetito
- mal di stomaco
- bruciore di stomaco
- mal di testa
- vertigini
- sonnolenza
- sentirsi stanco
- debolezza
- febbre
- mal di gola
- dolori del corpo o
- sintomi dell'influenza.
Cerca cure mediche o chiama il 911 contemporaneamente se hai i seguenti gravi effetti collaterali:
- Sintomi di occhiali gravi come la perdita di visione improvvisa del tunnel della visione sfocata Dolore alla visione o gonfiore o vedere aloni attorno alle luci;
- Sintomi cardiaci gravi come battiti cardiaci irregolari o martellanti veloci; svolazzando nel petto; fiato corto; e vertigini improvvise Accendino o svenire;
- Grave mal di testa confusione Il braccio del linguaggio bloccato o la debolezza delle gambe problemi perdite perdita di coordinamento sentendoti instabili muscoli molto rigidi ad alta febbre abbondante sudorazione o tremori.
Questo documento non contiene tutti i possibili effetti collaterali e altri possono verificarsi. Verificare con il tuo medico ulteriori informazioni sugli effetti collaterali.
Dosaggio per Vesicare
La dose raccomandata di Vesicare è 5 mg somministrata come compressa presa una volta al giorno.
Quali sostanze o integratori di farmaci interagiscono con Vesicare?
Vesicare può interagire con gli antifungini azoli. Dì al medico tutti i farmaci e gli integratori che usi.
Vesicare durante la gravidanza e l'allattamento
Vesicare può essere dannoso per un bambino non ancora nato e non dovrebbe essere usato da donne in gravidanza. Non è noto se la solifenacina passi nel latte materno o se potrebbe danneggiare un bambino che allatta. Consulta il medico prima dell'allattamento al seno.
Ulteriori informazioni
Il nostro Centro farmacologico degli effetti collaterali di Vesicare fornisce una visione completa delle informazioni disponibili sui farmaci sui potenziali effetti collaterali quando si assume questo farmaco.
Informazioni sui farmaci FDA
- Descrizione del farmaco
- Indicazioni
- Effetti collaterali
- Avvertimenti
- Overdose
- Farmacologia clinica
- Guida ai farmaci
Descrizione per Vesicare
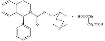
Vesicare® (solifenacina succinato) è un antagonista del recettore muscarinico. Il succinato di solifenacina chimicamente è acido butanedioico composto con (1S)-(3R) -1-azabiciclo [2.2.2] OCT-3-IL 34-diidro-1-fenil-2 (1H) Iso-chinolinecarbossilato (1: 1) con una formula empirica di C 23 H 26 N 2 O 2 • C. 4 H 6 O 4 e un peso molecolare di 480,55. La formula strutturale della solifenacina succinato è:
|
La solifenacina succinata è un cristallo bianco-bianco-giallo-pallido o polvere cristallina. È liberamente solubile a temperatura ambiente nell'acido acetico glaciale dell'acqua dimetil solfossido e metanolo. Ogni compressa VesICare contiene 5 o 10 mg di solifenacina succinato ed è formulato per la somministrazione orale. Oltre al ingrediente attivo la solifenacina succina ogni compressa di Vesicare contiene anche i seguenti ingredienti inerti: lattosio monoidrato dell'amido di mais ipromellosio 2910 magnesio stearato stearato talco polietilene glicole 8000 e dioossido di titanio con ossido giallo (tablet Vesicare 5 mg)
Usi per Vesicare
Vesicare ® è indicato per il trattamento degli adulti con vescica iperattiva con sintomi di urgenza urinaria di incontinenza e frequenza urinaria.
Dosaggio per Vesicare
Informazioni sul dosaggio
La dose orale raccomandata di Vesicare è di 5 mg una volta al giorno. Se la dose da 5 mg è ben tollerata, la dose può essere aumentata a 10 mg una volta al giorno.
Vesicare should be taken with water E swallowed whole. Vesicare can be administered with O without food.
Raccomandazioni di dosaggio in pazienti con compromissione renale
Non superare i 5 mg una volta al giorno nei pazienti con grave compromissione renale (CL cr <30 mL/min/1.73 m 2 ) [Vedere Utilizzare in popolazioni specifiche ].
Raccomandazioni di dosaggio in pazienti con compromissione epatica
Non superare i 5 mg una volta al giorno nei pazienti con compromissione epatica moderata (Child-Pugh B). Non utilizzare Vesicare in pazienti con grave compromissione epatica (Child-Pugh C) [vedi Utilizzare in popolazioni specifiche ].
Raccomandazioni sul dosaggio nei pazienti che assumono inibitori del CYP3A4
Non superare i 5 mg una volta al giorno quando Vesicare viene somministrato con forti inibitori del CYP3A4 come il ketoconazolo [vedi Interazioni farmacologiche ].
Come fornito
Forme di dosaggio e punti di forza
Compresse
- 5 mg: debossato giallo chiaro rotondo con 150
- 10 mg: debossato rosa chiaro rotondo con 151
Archiviazione e maneggevolezza
Vesicare viene fornito come compresse rotonde con rivestimento a pellicola disponibili nelle bottiglie come segue:
Ogni tablet da 5 mg è giallo chiaro e debossato con un logo e 150 ed è disponibile come segue:
Bottiglia di 30 - Ndc 51248-150-01
Ogni tablet da 10 mg è rosa chiaro e debossato con un logo e 151 ed è disponibile come segue:
Bottiglia di 30 - Ndc 51248-151-01
Bottiglia di 90 - Ndc 51248-151-03
Conservare a 25 ° C (77 ° F) con escursioni consentite da 15 ° C a 30 ° C (da 59 ° F a 86 ° F) [vedi temperatura ambiente controllata USP].
Commercializzato e distribuito da: Astellas Pharma US Inc. Revisionato: ottobre 2022
Effetti collaterali per Vesicare
Esperienza di studi clinici
Poiché gli studi clinici sono condotti in condizioni di reazione avverse ampiamente variabili osservate negli studi clinici di un farmaco non possono essere paragonati direttamente ai tassi negli studi clinici di un altro farmaco e potrebbero non riflettere i tassi osservati nella pratica.
Vesicare has been evaluated fO safety in 1811 adult patients in four rEomized placebo-controlled trials (Studies 1-4) [Vedere Studi clinici ]. Expected adverse reactions of antimuscarinic agents are bocca secca stipsi visione sfocata (accommodation abnOmalities) urinary retention E occhi secchi. The incidence of bocca secca E stipsi in patients treated with Vesicare was higher in the 10 mg dose group compared to the 5 mg dose group.
Nei quattro studi clinici in doppio cieco di 12 settimane sono stati segnalati in un paziente in un paziente tutto nel gruppo Vesicare 10 mg. L'edema angioneurotico è stato riportato in un paziente che ha assunto Vesicare 5 mg. Rispetto a 12 settimane di trattamento con VesICare, l'incidenza e la gravità delle reazioni avverse erano simili nei pazienti che sono rimasti in droga per un massimo di 12 mesi nello studio 5 [vedi Studi clinici ].
La reazione avversa più frequente che portava allo studio di interruzione è stata la bocca secca (NULL,5%). La tabella 1 elenca i tassi di reazioni avverse identificate nei quattro studi randomizzati controllati con placebo con un'incidenza maggiore del placebo e nell'1% o più dei pazienti trattati con Vesicare 5 o 10 mg una volta al giorno per fino a 12 settimane.
Tabella 1: reazioni avverse riportate da ≥ 1% dei pazienti e superando il placebo negli studi 1 2 3 e 4
| Placebo (%) | Vesicare 5 mg (%) | Vesicare 10 mg (%) | |
| Numero di pazienti | 1216 | 578 | 1233 |
| Disturbi gastrointestinali | |||
| 4.2 | 10.9 | 27.6 | |
| 2.9 | 5.4 | 13.4 | |
| 2.0 | 1.7 | 3.3 | |
| 1.0 | 1.4 | 3.9 | |
| 1.0 | 1.9 | 1.2 | |
| 0.9 | 0.2 | 1.1 | |
| Infezioni e infestazioni | |||
| 2.8 | 2.8 | 4.8 | |
| 1.3 | 2.2 | 0.9 | |
| 1.0 | 0.3 | 1.1 | |
| Disturbi del sistema nervoso | |||
| 1.8 | 1.9 | 1.8 | |
| Disturbi degli occhi | |||
| 1.8 | 3.8 | 4.8 | |
| 0.6 | 0.3 | 1.6 | |
| Disturbi renali e urinari | |||
| 0.6 | 0 | 1.4 | |
| Disturbi generali e condizioni del sito di amministrazione | |||
| 0.7 | 0.3 | 1.1 | |
| 1.1 | 1.0 | 2.1 | |
| Disturbi psichiatrici | |||
| 0.8 | 1.2 | 0.8 | |
| Disturbi toracici e mediastinali respiratori | |||
| 0.2 | 0.2 | 1.1 | |
| Disturbi vascolari | |||
| 0.6 | 1.4 | 0.5 |
Esperienza post -marketing
Le seguenti reazioni avverse sono state identificate durante l'uso post-approvazione della solifenacina succinata negli Stati Uniti e/o al di fuori degli Stati Uniti perché queste reazioni sono riportate volontariamente da una popolazione di dimensioni incerte, non è sempre possibile stimare in modo affidabile la loro frequenza o stabilire una relazione causale con l'esposizione ai farmaci.
Disturbi generali e condizioni del sito di amministrazione: Reazioni di ipersensibilità dell'edema periferica (incluso l'angiedema con esito via aerea eruzione prurito orticaria reazione anafilattica);
Disturbi del sistema nervoso: vertigini mal di testa confusione allucinaziones delirium somnolence;
Disturbi cardiaci: Torsade di estensione QT con punte di tachicardia atriale di punte;
Come ti fa sentire Norco
Disturbi epatobiliari: disturbi epatici per lo più caratterizzati da test epatici anormali AST (aspartato aminotransferasi) Alt (alanina aminotransferasi) GGT (gamma-glutamil transferasi);
Disturbi renali e urinari: Ritenzione urinaria di compromissione renale;
Disturbi del metabolismo e nutrizione: ridotta iperkalemia appetito;
Disturbi della pelle e dei tessuti sottocutanei: Dermatite esfoliativa Eritema Multiforme Dry Pelle secca;
Disturbi degli occhi: glaucoma;
Amsterdam quanti giorni
Disturbi gastrointestinali: Malattia di reflusso gastroesofageo ileo Vomito dolorante addominale Dysgeusia Sialadenite;
Disturbi toracici e mediastinali respiratori: secchezza nasale di disfonia;
Disturbi del tessuto muscoloscheletrico e connettivo: debolezza muscolare.
Interazioni farmacologiche per Vesicare
Forti inibitori del CYP3A4
La solifenacina è un substrato di CYP3A4. L'uso concomitante di ketoconazolo Un forte inibitore del CYP3A4 ha aumentato significativamente l'esposizione della solifenacina [vedi Farmacologia clinica ]. The dosage of Vesicare greater than 5 mg once daily is not recommended when concomitantly used with strong CYP3A4 inhibitOs [see Dosaggio e amministrazione ].
Avvertimenti per Vesicare
Incluso come parte del 'PRECAUZIONI' Sezione
Precauzioni per Vesicare
Reazioni di angioedema e anafilattiche
L'angioedema della lingua delle labbra del viso e/o della laringe sono stati segnalati con succinato di solifenacina. In alcuni casi l'angiedema si è verificato dopo la prima dose, tuttavia è stato segnalato che i casi si verificano ore dopo la prima dose o dopo dosi multiple. Sono state anche riportate reazioni anafilattiche in pazienti trattati con solifenacina succinato. L'angioedema associato al gonfiore delle vie aeree superiori e alle reazioni anafilattiche può essere potenzialmente letale.
Vesicare is contraindicated in patients with a known O suspected hypersensitivity to Il succinato di Solifenac [see Controindicazioni ]. If involvement of the tongue hypopharynx O larynx occurs promptly discontinue Vesicare E provide appropriate therapy E/O measures necessary to ensure a patent airway.
Conservazione urinaria
L'uso di Vesicare come altri farmaci antimuscarinici in pazienti con ostruzione dello sbocco di vescica clinicamente significativo, inclusi i pazienti con ritenzione urinaria, può comportare una maggiore ritenzione urinaria e lesioni renali. L'uso di Vesicare non è raccomandato nei pazienti con ostruzione dello sbocco di vescica clinicamente significativo ed è controindicato nei pazienti con ritenzione urinaria [vedi Controindicazioni ].
Disturbi gastrointestinali
L'uso di Vesicare come altri farmaci antimuscarinici in pazienti con condizioni associate a una ridotta motilità gastrointestinale può comportare una ridotta motilità gastrointestinale. Vesicare è controindicato nei pazienti con ritenzione gastrica [vedi Controindicazioni ]. The use of Vesicare is not recommended in patients with conditions associated with decreased gastrointestinal motility.
Effetti del sistema nervoso centrale
Vesicare is associated with antimuscarinic central nervous system (CNS) adverse reactions [see Reazioni avverse ]. A variety of CNS antimuscarinic adverse reactions have been repOted including mal di testa confusione allucinaziones E somnolence. MonitO patients fO signs of antimuscarinic CNS adverse reactions particularly after beginning treatment O increasing the dose. Advise patients not to drive O operate heavy machinery until they know how Vesicare affects them. If a patient experiences antimuscarinic CNS adverse reactions consider dose reduction O drug discontinuation.
Glaucoma ad angolo stretto controllato
Vesicare should be used with caution in patients being treated fO narrow-angle glaucoma [see Controindicazioni ].
Prolungamento del QT nei pazienti ad alto rischio di prolungamento QT
In uno studio dell'effetto della solifenacina succinata sull'intervallo QT condotto in 76 donne sane [vedi Farmacologia clinica ] Solifenacina succinata 30 mg (tre volte la più grande dose massima raccomandata nei pazienti adulti) è stata associata a un aumento medio dell'intervallo QT corretto dalla frigorifera di 8 msec (IC 4 13). L'effetto prolungamento del QT è apparso meno con la solifenacina succinata di 10 mg rispetto alla solifenacina succinata di 30 mg e l'effetto della solifenacina succinata 30 mg non è apparso così grande come quello della moxifloxacina di controllo positiva alla sua dose terapeutica.
L'uso di Vesicare non è raccomandato nei pazienti ad alto rischio di prolungamento QT, inclusi i pazienti con una storia nota di prolungamento QT e pazienti che assumono farmaci noti per prolungare l'intervallo QT.
Informazioni sulla consulenza del paziente
Consiglia al paziente di leggere l'etichettatura del paziente approvato dalla FDA ( Informazioni sul paziente ).
Reazioni di angioedema e anafilattiche
Informare i pazienti che gli angiedema e le reazioni anafilattiche sono state riportate nei pazienti trattati con Vesicare. Le reazioni di angioedema e anafilattiche possono essere pericolose per la vita. Consiglia ai pazienti di interrompere prontamente la terapia Vesicare e di consultare immediatamente l'attenzione se sperimentano edema della lingua o laringofaringe o difficoltà a respirare [vedi Controindicazioni E Avvertimenti e precauzioni ].
Conservazione urinaria
Informare i pazienti che Vesicare può causare ritenzione urinaria in pazienti con condizioni associate all'ostruzione dello sbocco di vescica [vedi Avvertimenti e precauzioni ].
Disturbi gastrointestinali
Informare i pazienti che Vesicare può causare un'ulteriore riduzione della motilità gastrointestinale nei pazienti con condizioni associate a una ridotta motilità gastrointestinale. Vesicare è stato associato alla costipazione e alla bocca secca. Consiglia ai pazienti di contattare i loro operatori sanitari se subiscono un forte dolore addominale o si stilicano per 3 o più giorni [vedi Avvertimenti e precauzioni ].
Effetti del sistema nervoso centrale
Poiché Vesicare come altri agenti antimuscarinici può causare effetti del sistema nervoso centrale o la visione offuscata consiglia ai pazienti di esercitare cautela nelle decisioni per impegnarsi in attività potenzialmente pericolose fino a quando l'effetto del farmaco sul paziente non è stato determinato [vedi Avvertimenti e precauzioni ].
Glaucoma ad angolo stretto
Informare i pazienti che vesicare come altri antimuscarinici possono causare peggioramento della condizione di glaucoma in pazienti con glaucoma ad angolo stretto [vedi Avvertimenti e precauzioni ].
Pelle secca
Informare i pazienti che vesicare come altri antimuscarinici possono causare la pelle secca a causa della riduzione della sudorazione. La prostrazione termica dovuta alla riduzione della sudorazione può verificarsi quando Vesicare viene utilizzata in un ambiente caldo [vedi Reazioni avverse ].
Tossicologia non clinica
Mutagenesi della carcinogenesi compromissione della fertilità
No increase in tumors was found following the administration of solifenacin succinate to male and female mice for 104 weeks at doses up to 200 mg/kg/day (5 and 9 times respectively of the exposure at the maximum recommended human dose [MRHD] of 10 mg) and male and female rats for 104 weeks at doses up to 20 and 15 mg/kg/day respectively ( <1 times the exposure at the MRHD).
La solifenacina succinata non era mutagenica nel in vitro Salmonella typhimurium O Hanno mostrato freddo Test di mutagenicità microbica o test di aberrazione cromosomica nei linfociti del sangue periferico umano con o senza attivazione metabolica o in in vivo Test del micronucleo nei ratti.
La solifenacina succinata non ha avuto alcun effetto sulla fertilità della funzione riproduttiva o sulla precoce sviluppo embrionale del feto nei topi maschi e femmine trattati con 250 mg/kg/giorno (13 volte l'esposizione al MRHD) della solifenacina succinata e nei ratti maschi trattati con 50 mg/kg/giorno ( <1 times the exposure at the MRHD) E female rats treated with 100 mg/kg/day (1.7 times the exposure at the MRHD) of Il succinato di Solifenac.
Utilizzare in popolazioni specifiche
Gravidanza
Riepilogo del rischio
Non ci sono studi con l'uso della solifenacina succinata nelle donne in gravidanza per informare un rischio associato al farmaco di importanti difetti alla nascita o esiti avversi materni o fetali. Non sono stati osservati risultati avversi sullo sviluppo negli studi sulla riproduzione degli animali con somministrazione orale di solifenacina succinato a topi in gravidanza durante il periodo di organogenesi a una dose con conseguente 1,2 volte l'esposizione sistemica alla massima dose umana raccomandata (MRHD) di 10 mg/die di 10 mg/die. Tuttavia, la somministrazione di dosi 3,6 volte e maggiore del MRHD durante l'organogenesi ha prodotto tossicità materna nei topi in gravidanza e ha comportato la tossicità dello sviluppo e la riduzione dei pesi corporei fetali nella prole [vedi Dati ].
Nella popolazione generale degli Stati Uniti il rischio di background stimato di gravi difetti alla nascita o aborto in gravidanza clinicamente riconosciuta è rispettivamente del 2-4% e del 15-20%.
Dati
Dati sugli animali
Somministrazione orale di 14 La solifenacina c-solifenacina su topi in gravidanza ha comportato il recupero del radiomelabel nel feto indicando che il prodotto correlato alla solifenacina può attraversare la barriera placentare. In topi in gravidanza la somministrazione di solifenacina succinata alla dose di 250 mg/kg/die (NULL,9 volte l'esposizione sistemica al MRHD di 10 mg) ha provocato una maggiore incidenza di palatoschisi e una maggiore letalità materna. La somministrazione di solifenacina succinata a topi in gravidanza durante l'organogenesi a maggiore o uguale a 3,6 volte (100 mg/kg/die e maggiore) L'esposizione sistemica all'MRHD ha comportato una riduzione dei pesi corporei fetali e una ridotta aumento del peso corporeo materno. Non è stata osservata alcuna tossicità embrione-fetale o teratogenicità nei feti di topi in gravidanza trattati con solifenacina succinato alla dose di 30 mg/kg/die (NULL,2 volte l'esposizione sistemica al MRHD). Somministrazione di solifenacina succinata a ratti e conigli in gravidanza alla dose di 50 mg/kg/giorno ( <1 times E 1.8 times the systemic exposure at the MRHD respectively) resulted in no findings of embryo-fetal toxicity. Oral pre- E post-natal administration of Il succinato di Solifenac at 100 mg/kg/day (3.6 times the systemic exposure at the MRHD) during the period of Oganogenesis through weaning resulted in reduced peripartum E postnatal survival reduced body weight gain by the pups E delayed physical development (eye opening E vaginal patency). An increase in the percentage of male offspring was also observed in litters from offspring (F2 generation) exposed to maternal doses of 250 mg/kg/day. There were no effects on natural delivery in mice treated with 1.2 times (30 mg/kg/day) the expected systemic exposure at the MRHD.
Lattazione
Riepilogo del rischio
Non ci sono informazioni sulla presenza di solifenacina nel latte umano gli effetti sul bambino allattato al seno o sugli effetti sulla produzione di latte. La solifenacina è presente nel latte di topo [vedi Dati ]. When a drug is present in animal milk it is likely that the drug will be present in human milk. The developmental E health benefits of breastfeeding should be considered along with the mother’s clinical need fO Vesicare E any potential adverse effects on the breastfed child from Vesicare O from the underlying maternal condition.
Dati
Dati sugli animali
Somministrazione orale di 14 La solifenacina C succinata a topi in allattamento ha provocato il recupero della radioattività nel latte materno. I topi femmine in allattamento somministrati per via orale la solifenacina succinata a una dose materna tossica di 100 mg/kg/die (NULL,6 volte l'esposizione sistemica all'MRHD) ha aumentato i cuccioli di mortalità per cuccioli postpartum con pesi corporei ridotti o ritardi nell'inizio del riflesso e dello sviluppo fisico. I cuccioli di dighe in allattamento somministrate per via orale la solifenacina succinata alla dose di 30 mg/kg/giorno (NULL,2 volte l'esposizione sistemica al MRHD) non ha avuto risultati avversi riconoscibili. Le concentrazioni di solifenacina nel latte animale non prevedono necessariamente la concentrazione di farmaco nel latte umano.
Uso pediatrico
La sicurezza e l'efficacia delle compresse di Vesicare non sono state stabilite nei pazienti pediatrici.
Uso geriatrico
Nei studi clinici controllati con placebo sono stati osservati una sicurezza ed efficacia simili tra pazienti geriatrici (623 pazienti ≥ 65 anni e 189 pazienti ≥ 75 anni) e pazienti adulti più giovani (1188 pazienti <65 years) treated with Vesicare [see Farmacologia clinica ].
Compromissione renale
Le concentrazioni plasmatiche di solifenacina sono maggiori nei pazienti con grave compromissione renale rispetto ai soggetti con normale funzione renale [vedi Farmacologia clinica ]. Because increased solifenacin plasma concentrations increase the risk of antimuscarinic adverse reactions the maximum recommended dose of Vesicare in patients with severe renal impairment (CL cr <30 mL/min/1.73 m 2 ) è 5 mg una volta al giorno [vedi Dosaggio e amministrazione ]. The recommended dose in patients with mild O moderate renal impairment is the same as in patients with nOmal renal function.
Compromissione epatica
Le concentrazioni plasmatiche di solifenacina sono maggiori nei pazienti con moderata compromissione epatica rispetto ai soggetti con normale funzione epatica [vedi Farmacologia clinica ]. Because increased solifenacin plasma concentrations increase the risk of antimuscarinic adverse reactions the maximum recommended dose of Vesicare in patients with moderate hepatic impairment (Child-Pugh B) è 5 mg una volta al giorno [vedi Dosaggio e amministrazione ] e Vesicare non è raccomandato per l'uso in pazienti con grave compromissione epatica (Child-Pugh C).
Genere
La farmacocinetica della solifenacina non è significativamente influenzata dal genere.
Informazioni per overdose per Vesicare
Il sovradosaggio con Vesicare può potenzialmente provocare gravi effetti antimuscarinici e deve essere trattato di conseguenza. La dose più alta ingerita in un sovradosaggio accidentale di solifenacina succinato era di 280 mg (28 volte il dosaggio massimo) in un periodo di 5 ore. Questo caso era associato a cambiamenti di stato mentale. Alcuni casi hanno riportato una diminuzione del livello di coscienza.
Le reazioni avverse antimuscariniche intollerabili (pupille fisse e dilatate offuscano il fallimento della visione offuscati di tremori di esami tallone a punta e pelle secca) si sono verificate il giorno 3 in volontari normali che assumono 50 mg al giorno (5 volte la massima dose terapeutica raccomandata) e si è risolta entro 7 giorni dopo l'interruzione della droga.
In caso di sovradosaggio con VesICare Treat con lavaggio gastrico e misure di supporto adeguate. È inoltre raccomandato il monitoraggio dell'ECG.
Controindicazioni per Vesicare
Vesicare is contraindicated in patients:
- Con ritenzione urinaria [vedi Avvertimenti e precauzioni ]
- Con ritenzione gastrica [vedi Avvertimenti e precauzioni ]
- Con glaucoma ad angolo stretto incontrollato [vedi Avvertimenti e precauzioni ] E
- Che hanno dimostrato l'ipersensibilità alla solifenacina succinata o agli ingredienti inattivi a Vesicare. Le reazioni avverse riportate hanno incluso l'anafilassi e l'angiedema [vedi Reazioni avverse ].
Farmacologia clinica fO Vesicare
Meccanismo d'azione
La solifenacina è un antagonista del recettore muscarinico competitivo. I recettori muscarinici svolgono un ruolo importante in diverse importanti funzioni colinergicamente mediate, tra cui contrazioni della muscola liscia della vescica urinaria.
Farmacodinamica
Elettrofisiologia cardiaca
L'effetto di 10 mg e 30 mg di solifenacina succinata (tre volte la dose massima raccomandata) sull'intervallo QT è stato valutato al momento della concentrazione plasmatica di picco di solifenacina in uno studio randomizzato in doppio cieco randomizzato e controllato positivo (moxifloxacina 400 mg) [vedi Avvertimenti e precauzioni ]. After receiving placebo E moxifloxacin sequentially subjects were rEomized to one of two treatment groups. One group (n=51) completed 3 additional sequential periods of dosing with Il succinato di Solifenac 10 20 E 30 mg while the second group (n=25) in parallel completed a sequence of placebo E moxifloxacin. Study subjects were female volunteers aged 19 to 79 years. The 30 mg dose of Il succinato di Solifenac (three times the highest recommended dose) was chosen fO use in this study because this dose results in a solifenacin exposure that covers those observed upon coadministration of 10 mg Vesicare with strong CYP3A4 inhibitOs (e.g. ketoconazole 400 mg). Due to the sequential dose escalating nature of the study baseline ECG measurements were separated from the final QT assessment (of the 30 mg dose level) by 33 days.
La differenza mediana dal basale nella frequenza cardiaca associata alle dosi da 10 e 30 mg di solifenacina succinato rispetto al placebo era rispettivamente di -2 e 0 battiti/minuto. Poiché è stato osservato un effetto significativo su QTC, gli effetti QTC sono stati analizzati utilizzando il braccio di controllo del placebo parallelo piuttosto che l'analisi intra-paziente pre-specificata. I risultati rappresentativi sono mostrati nella Tabella 2.
Tabella 2: variazioni di QTC in msec (IC al 90%) dal basale a TMAX (rispetto al placebo) 1
| Droga/dose | Metodo della frigorifero (usando la differenza media) |
| Solifenacina succina 10 mg | 2 (-3 6) |
| Solifenacina succina 30 mg | 8 (4 13) |
| 1. I risultati visualizzati sono quelli derivati dalla parte di progettazione parallela dello studio e rappresentano il confronto tra gli effetti di placebo del gruppo 1 e abbinati al tempo nel gruppo 2. |
La moxifloxacina è stata inclusa come controllo positivo in questo studio e data la lunghezza dello studio che il suo effetto sull'intervallo QT è stato valutato in 3 diverse sessioni. Le variazioni medie del placebo-compensate (IC al 90%) in QTCF per la moxifloxacina nelle tre sessioni erano rispettivamente 11 (7 14) 12 (8 17) e 16 (12 21).
L'effetto prolungamento dell'intervallo QT della dose di succinato di solifenacina più alta (tre volte la dose terapeutica massima) studiata non era così grande come quella della moxifloxacina di controllo positiva alla sua dose raccomandata. Tuttavia, gli intervalli di confidenza si sono sovrapposti e questo studio non è stato progettato per trarre conclusioni statistiche dirette tra i farmaci o i livelli di dose.
Farmacocinetica
Assorbimento
Dopo la somministrazione orale di Vesicare in volontari sani, le concentrazioni plasmatiche di picco (CMAX) di solifenacina sono state raggiunte entro 3-8 ore dopo la somministrazione e in stato stazionario variava rispettivamente da 32,3 a 62,9 ng/ml per le compresse di Vescare 5 e 10 mg. La biodisponibilità assoluta della solifenacina è di circa il 90% con le concentrazioni plasmatiche di solifenacina proporzionale alla dose somministrata.
Effetto del cibo
Vesicare may be administered without regard to meals. A single 10 mg dose administration of Vesicare with food increased Cmax E AUC of solifenacin by 4% E 3% respectively.
Distribuzione
Solifenac è di circa il 98% ( in vivo ) legate alle proteine plasmatiche umane principalmente alla glicoproteina α1-acido. La solifenacina è altamente distribuita ai tessuti non CNS con un volume medio di distribuzione a stato stazionario di 600 L.
Eliminazione
L'emivita di eliminazione (T1/2) della solifenacina dopo il dosaggio cronico è di circa 45-68 ore.
Metabolismo
La solifenacina è ampiamente metabolizzata nel fegato. Il percorso principale per l'eliminazione è tramite CYP3A4; tuttavia esistono percorsi metabolici alternativi. Le rotte metaboliche primarie della solifenacina sono attraverso l'ossidazione N dell'anello di chinuclidina e la 4R-idrossilazione dell'anello tetraidroisochinolina. Un metabolita farmacologicamente attivo (4R-idrossi solifenacina) che si verifica a basse concentrazioni e improbabile che contribuisca in modo significativo all'attività clinica e tre metaboliti farmacologicamente inattivi sono stati trovati nel plucuronide N e l'N-ossido e 4R-idrossi-ossido di solifenacina) nel plivaggio umano dopo il dosaggio dell'orario.
Escrezione
Dopo la somministrazione di 10 mg di 14 La solifenacina C succinata a volontari sani il 69% della radioattività è stato recuperato nelle urine e il 23% nelle feci per 26 giorni. Meno del 15% (come valore medio) della dose è stato recuperato nelle urine come solifenacina intatta. I principali metaboliti identificati nelle urine erano N-ossido di solifenacina 4R-idrossi solifenacina e 4R-idrossi-N-ossido di solifenacina e nella solifenacina di feci 4R-idrossi.
Popolazioni specifiche
Pazienti geriatrici
Studi a dose multipla di Vesicare nei volontari geriatrici (da 65 a 80 anni) hanno mostrato che i valori CMAX AUC e T1/2 di solifenacina erano più alti del 20-25% rispetto ai giovani volontari per adulti (18-55 anni). [Vedere Utilizzare in popolazioni specifiche ].
Pazienti con compromissione renale
Negli studi con solifenacina succinata 10 mg c'è stato un aumento di 2,1 volte dell'AUC e un aumento di 1,6 volte in T1/2 di solifenacina nei pazienti con grave compromissione renale rispetto ai soggetti con funzione renale normale [vedi Utilizzare in popolazioni specifiche ].
Pazienti con compromissione epatica
Negli studi con solifenacina succinata 10 mg c'è stato un aumento di 2 volte nel T1/2 e un aumento del 35% dell'AUC di solifenacina nei pazienti con moderata compromissione epatica rispetto ai soggetti con funzione epatica normale [vedi Utilizzare in popolazioni specifiche ]. Vesicare has not been studied in patients with severe hepatic impairment.
Studi sull'interazione farmacologica
Forti inibitori del CYP3A4
In uno studio crossover a seguito del blocco del CYP3A4 mediante co-somministrazione del forte inibitore del CYP3A4 ketoconazolo 400 mg una volta al giorno per 21 giorni il cMAX medio e l'AUC della solifenacina sono aumentati di 1,5 e 2,7 volte [vedi rispettivamente [vedi Dosaggio e amministrazione E Interazioni farmacologiche ].
Ciò che è più forte di Vicodin o ossicodone
Induttori del CYP3A4
Poiché la solifenacina è un substrato di induttori del CYP3A4 del CYP3A4 può ridurre la concentrazione di solifenacina.
Warfarin
In uno studio crossover i soggetti hanno ricevuto una singola dose orale di warfarin 25 mg il decimo giorno di dosaggio con la solifenacina succinata 10 mg o il placebo abbinato una volta al giorno per 16 giorni. Per R-Warfarin quando è stato somministrato con il succinato di solifenacina il cMAX medio è aumentato del 3% e l'AUC è diminuita del 2%. Per S-Warfarin quando è stato somministrato con la solifenacina succinata il CMAX medio e l'AUC sono aumentati rispettivamente del 5% e dell'1%.
Contraccettivi orali
In uno studio crossover i soggetti hanno ricevuto 2 cicli di 21 giorni di contraccettivi orali contenenti 30 ug etinil estradiolo e 150 UG Levonorgestrel. Durante il secondo ciclo i soggetti hanno ricevuto ulteriore solifenacina succinata 10 mg o placebo abbinato una volta al giorno per 10 giorni a partire dai 12 th Giorno di ricezione di contraccettivi orali. Per l'etinil estradiolo quando è stato somministrato con la solifenacina succinare il cMAX medio e l'AUC sono aumentati rispettivamente del 2% e del 3%. Per il levoonorgestrel quando è stato somministrato con la solifenacina succinare il cMAX medio e l'AUC sono diminuite dell'1%.
Digossina
In uno studio crossover i soggetti hanno ricevuto digossina (dose di carico di 0,25 mg il giorno 1 seguito da 0,125 mg dai giorni 2 a 8) per 8 giorni. Consecutivamente hanno ricevuto la solifenacina succinata 10 mg o il placebo abbinato con digossina 0,125 mg per altri 10 giorni. Quando la digossina è stata somministrata in modo conciso con la solifenacina succinata, il CMAX medio e l'AUC sono aumentati rispettivamente del 13% e del 4%.
Farmaci metabolizzati dagli enzimi del citocromo P450
In vitro Gli studi hanno dimostrato che a concentrazioni terapeutiche la solifenacina non inibisce il CYP1A1/2 2C9 2C19 2D6 o 3A4 derivate da microsomi epatici umani.
Tossicologia animale e/o farmacologia
Dati di tossicologia degli animali giovanili
Una maggiore mortalità legata alla dose senza precedenti segni clinici si è verificata nei topi giovanili trattati prima dello svezzamento per una durata di 12 settimane dal giorno 10 dopo la nascita con dosi che hanno raggiunto un effetto farmacologico. Gli animali dosati dal giorno postnatale 10 in poi avevano una mortalità più elevata rispetto alla mortalità nei topi adulti. Non è stata osservata una maggiore frequenza nella mortalità nei topi giovanili che sono stati trattati dopo lo svezzamento per una durata di 4 settimane dal giorno 21 dopo la nascita in poi. L'esposizione al plasma al giorno 10 postnatale era superiore rispetto ai topi adulti; L'esposizione sistemica al giorno 21 postnatale era paragonabile all'esposizione sistemica nei topi adulti.
Studi clinici
Vesicare was evaluated in four twelve-week double-blind rEomized placebo-controlled parallel group multicenter clinical trials fO the treatment of overactive vescia in adult patients having symptoms of urinary frequency urgency E/O urge O mixed incontinence (with a predominance of urge). Entry criteria required that patients have symptoms of overactive vescia fO ≥ 3 months duration. These studies involved 3027 patients (1811 on Vesicare E 1216 on placebo) E approximately 90% of these patients completed the 12-week studies. Two of the four studies evaluated the 5 E 10 mg Vesicare doses (Studies 1 E 2) E the other two evaluated only the 10 mg dose (Studies 3 E 4). All patients completing the 12-week studies were eligible to enter an open-label long-term extension study (Study 5) E 81% of patients enrolling completed the additional 40-week treatment period. The majOity of patients were Caucasian (93%) E female (80%) with a mean age of 58 years.
L'endpoint primario in tutte e quattro le prove era la variazione media dal basale a 12 settimane in numero di minzioni/24 ore. Gli endpoint secondari includevano una variazione media dal basale a 12 settimane in numero di episodi di incontinenza/24 ore e il volume medio annullato per minzione.
L'efficacia di VesICare era simile tra le fasce di età e il genere. La riduzione media del numero di minzioni per 24 ore era significativamente maggiore con Vesicare 5 mg (NULL,3; P <0.001) E Vesicare 10 mg (2.7; p < 0.001) compared to placebo (1.4). The mean reduction in the number of incontinence episodes per 24 hours was significantly greater with Vesicare 5 mg (1.5; p < 0.001) E Vesicare 10 mg (1.8; p < 0.001) treatment groups compared to the placebo treatment group (1.1). The mean increase in the volume voided per micturition was significantly greater with Vesicare 5 mg (32.3 mL; p < 0.001) E Vesicare 10 mg (42.5 mL; p < 0.001) compared with placebo (8.5 mL).
I risultati per gli endpoint primari e secondari nei quattro singoli studi clinici di 12 settimane su Vesicare sono riportati nelle tabelle da 3 a 6.
Tabella 3: variazioni medie dal basale alla settimana 12 negli endpoint di efficacia nello studio 1
| Parametro | Placebo (n = 253) Mean (SE) | Vesicare 5 mg (N = 266) Mean (SE) | Vesicare 10 mg (N = 264) Mean (SE) |
| Frequenza urinaria (numero di minzioni/24 ore) 1 | |||
| 12,2 (NULL,26) | 12,1 (NULL,24) | 12,3 (NULL,24) | |
| 1,2 (NULL,21) | 2,2 (NULL,18) | 2,6 (NULL,20) | |
| <0.001 | <0.001 | ||
| Numero di episodi di incontinenza/24 ore 2 | |||
| 2,7 (NULL,23) | 2,6 (NULL,22) | 2,6 (NULL,23) | |
| 0,8 (NULL,18) | 1,4 (NULL,15) | 1,5 (NULL,18) | |
| 2,7 (NULL,23) | <0.01 | <0.01 | |
| Volume annullato per micurizione [ML] 2 | |||
| 143,8 (3.37) | 149,6 (3.35) | 147.2 (3.15) | |
| 7.4 (2.28) | 32,9 (2.92) | 39.2 (3.11) | |
| <0.001 | <0.001 | ||
| 1. Endpoint primario 2. Endpoint secondario |
Tabella 4: variazioni medie dal basale alla settimana 12 negli endpoint di efficacia nello studio 2
| Parametro | Placebo (n = 281) Mean (SE) | Vesicare 5 mg (N = 286) Mean (SE) | Vesicare 10 mg (N = 290) Mean (SE) |
| Frequenza urinaria (numero di minzioni/24 ore) 1 | |||
| 12,3 (NULL,23) | 12,1 (NULL,23) | 12,1 (NULL,21) | |
| 1,7 (NULL,19) | 2,4 (NULL,17) | 2,9 (NULL,18) | |
| <0.001 | <0.001 | ||
| Numero di episodi di incontinenza/24 ore 2 | |||
| 3.2 (NULL,24) | 2,6 (NULL,18) | 2,8 (NULL,20) | |
| 1,3 (NULL,19) | 1,6 (NULL,16) | 1,6 (NULL,18) | |
| <0.01 | 0.016 | ||
| Volume annullato per micurizione [ML] 2 | |||
| 147.2 (3.18) | 148,5 (3.16) | 145,9 (3.42) | |
| 11.3 (2.52) | 31,8 (2.94) | 36.6 (3.04) | |
| <0.001 | <0.001 | ||
| 1. Endpoint primario 2. Endpoint secondario |
Tabella 5: variazioni medie dal basale alla settimana 12 negli endpoint di efficacia nello studio 3
| Parametro | Placebo (n = 309) Mean (SE) | Vesicare 10 mg (N = 306) Mean (SE) |
| Frequenza urinaria (numero di minzioni/24 ore) 1 | ||
| 11,5 (NULL,18) | 11,7 (NULL,18) | |
| 1,5 (NULL,15) | 3.0 (NULL,15) | |
| <0.001 | ||
| Numero di episodi di incontinenza/24 ore 2 | ||
| 3.0 (NULL,20) | 3.1 (NULL,22) | |
| 1.1 (NULL,16) | 2,0 (NULL,19) | |
| <0.001 | ||
| Volume annullato per micurizione [ML] 2 | ||
| 190.3 (5.48) | 183.5 (4.97) | |
| 2.7 (3.15) | 47.2 (3.79) | |
| <0.001 | ||
| 1. Endpoint primario 2. Endpoint secondario |
Tabella 6: variazioni medie dal basale alla settimana 12 negli endpoint di efficacia nello studio 4
| Parametro | Placebo (n = 295) Mean (SE) | Vesicare 10 mg (N = 298) Mean (SE) |
| Frequenza urinaria (numero di minzioni/24 ore) 1 | ||
| 11,8 (NULL,18) | 11,5 (NULL,18) | |
| 1,3 (NULL,16) | 2,4 (NULL,15) | |
| <0.001 | ||
| Numero di episodi di incontinenza/24 ore 2 | ||
| 2,9 (NULL,18) | 2,9 (NULL,17) | |
| 1,2 (NULL,15) | 2,0 (NULL,15) | |
| <0.001 | ||
| Volume annullato per micurizione [ML] 2 | ||
| 175.7 (4.44) | 174.1 (4.15) | |
| 13.0 (3.45) | 46.4 (3.73) | |
| <0.001 | ||
| 1. Endpoint primario 2. Endpoint secondario |
Informazioni sul paziente per Vesicare
Vesicare ®
(Ves-ih-care)
(Solifenacina succinato) compressa
Leggi le informazioni sul paziente fornite con Vesicare ® Prima di iniziare a prenderlo e ogni volta che ricevi una ricarica. Potrebbero esserci nuove informazioni. Questo volantino non prende il posto di parlare con il medico delle condizioni mediche o del trattamento.
Cos'è Vesicare?
Vesicare is a prescription medicine fO adulti Utilizzato per trattare i seguenti sintomi a causa di una condizione chiamata sovrattiva vescia:
- Esorta l'incontinenza urinaria: un forte bisogno di urinare con perdite o incidenti bagnati
- Urgenza: un forte bisogno di urinare subito
- Frequenza: urinare spesso
Vesicare 5 mg E 10 mg tablets are not approved fO use in children.
Chi non dovrebbe prendere Vesicare?
Non farlo Prendi Vesicare se tu:
- non sono in grado di svuotare la vescica (ritenzione urinaria)
- hanno ritardato o lento svuotamento dello stomaco (ritenzione gastrica)
- avere un problema agli occhi chiamato angolo stretto non controllato glaucoma
- sono allergici alla solifenacina succinata o a uno qualsiasi degli ingredienti di Vesicare. Vedi la fine di questo opuscolo per un elenco completo di ingredienti.
Cosa dovrei dire al mio medico prima di prendere Vesicare?
Prima di prendere VesICare dillo al tuo medico se tu:
- avere problemi di stomaco o intestinali o problemi con costipazione
- avere difficoltà a svuotare la vescica o hai un flusso di urina debole
- avere un problema agli occhi chiamato glaucoma ad angolo stretto
- avere problemi epatici
- avere problemi ai reni
- avere un raro problema cardiaco chiamato prolungamento QT
- sono incinta o prevedono di rimanere incinta. Non è noto se Vesicare danneggerà il tuo bambino non ancora nato. Parla con il tuo medico se sei incinta o hai intenzione di rimanere incinta.
- stanno allattando o pianificano di allattare. Non è noto se Vesicare passa nel latte materno. Tu e il tuo medico dovreste decidere se prendi Vesicare o l'allattamento al seno.
Racconta al tuo medico di tutte le medicine che prendi tra cui medicinali di prescrizione e non prescrizione vitamine e integratori a base di erbe. Vesicare può influire sul modo in cui altri medicinali funzionano e altri medicinali possono influire sul funzionamento di Vesicare.
Come dovrei prendere Vesicare?
- Prendi Vesicare esattamente come il tuo medico ti dice di prenderlo.
- Dovresti prendere 1 compressa VesICare 1 ora al giorno.
- Dovresti prendere Vesicare con acqua e ingoiare la compressa intera.
- Puoi prendere Vesicare con o senza cibo.
- Se perdi una dose di Vesicare, ricomincia a prendere Vesicare il giorno successivo. Non assumere 2 dosi di Vesicare lo stesso giorno.
- Se prendi troppa Vesicare chiama il tuo medico o vai immediatamente al pronto soccorso dell'ospedale più vicino.
Cosa dovrei evitare mentre prendi Vesicare?
la vitamina E inferiore è la pressione sanguigna
Vesicare can cause visione sfocata O sonnolenza. Non farlo drive O operate heavy machinery until you know how Vesicare affects you.
Quali sono i possibili effetti collaterali di Vesicare?
Vesicare può causare gravi effetti collaterali tra cui:
- Reazioni allergiche gravi. Smettila di prendere Vesicare e ottenere subito assistenza medica se hai:
- orticaria cutanea cutanea o gonfiore
- Grave prurito
- gonfiore della bocca o della lingua del viso
- difficoltà a respirare
Gli effetti collaterali più comuni di Vesicare includono:
- bocca secca
- stipsi. Call your doctO if you get severe stomach area (abdominal) pain O become constipated fO 3 O mOe days.
- Infezione del tratto urinario
- visione sfocata
Altri effetti collaterali sono stati osservati con farmaci anticolinergici come Vesicare e possono includere:
- pelle secca a causa della riduzione della sudorazione. L'esaurimento da calore o il colpo di calore possono avvenire a causa della riduzione della sudorazione quando Vesicare viene utilizzato in ambienti caldi. I sintomi possono includere:
- diminuzione della sudorazione
- vertigini
- stanchezza
- nausea
- Aumento della temperatura corporea
Di 'al medico se hai qualche effetto collaterale che ti disturba o che non scompare.
Questi non sono tutti i possibili effetti collaterali di Vesicare. Per ulteriori informazioni chiedi al medico o al farmacista.
Chiama il medico per consigli medici sugli effetti collaterali. È possibile segnalare gli effetti collaterali alla FDA al numero 1-800-FDA-1088.
Come dovrei conservare Vesicare?
- Conservare Vesicare tra 59 ° F e 86 ° F (da 15 ° C a 30 ° C). Tieni la bottiglia chiusa.
- Buttare via in modo sicuro medicine che non è più obsoleta o non più necessaria.
Mantieni Vesicare e tutti i medicinali fuori dalla portata dei bambini.
Informazioni generali sull'uso sicuro ed efficace di Vesicare
Le medicine sono talvolta prescritte a fini diversi da quelli elencati nei volantini delle informazioni sul paziente. Non usare Vesicare per una condizione per la quale non è stata prescritta. Non dare Vesicare ad altre persone anche se hanno gli stessi sintomi che hai. Potrebbe danneggiare loro.
Questo volantino riassume le informazioni più importanti su Vesicare. Se desideri più informazioni, parla con il tuo medico. Puoi chiedere al tuo medico o al farmacista informazioni su Vesicare che è scritto per gli operatori sanitari.
Quali sono gli ingredienti di Vesicare?
Ingrediente attivo: Il succinato di Solifenac
Ingredienti inattivi: lattosio monoidrato di mais amido di mais ipromellosio 2910 magnesio stearato talco polietilene glicole 8000 e biossido di titanio con ossido ferrico giallo (compresse da 5 mg di vesICare) o ossido ferrico rosso (compresse da 10 mg di vescare)
Cos'è la vescica iperattiva?
La vescica iperattiva si verifica quando non è possibile controllare le contrazioni della vescica. Quando queste contrazioni muscolari si verificano troppo spesso o non possono essere controllate, è possibile ottenere sintomi di vescica iperattiva che sono urgenza urinaria di frequenza urinaria e incontinenza urinaria (perdita).
Queste informazioni sui pazienti sono state approvate dalla Food and Drug Administration degli Stati Uniti.