Le Informazioni Presenti Sul Sito Non Costituiscono Consulenza Medica. Non Vendiamo Nulla. L'Accuratezza Della Traduzione Non È Garantita. Disclaimer
Corticosteroidi, topici
Cuoio capelluto temovate
Riepilogo della droga
Cos'è il cuoio capelluto temovate?
Temovate (clobetasol propionate) L'applicazione del cuoio capelluto 0,05% è uno steroide topico usato per trattare l'infiammazione e il prurito causato da condizioni cutanee come le reazioni allergiche eczema E psoriasi . L'applicazione del cuoio capelluto temovate è disponibile in generico modulo.
Quali sono gli effetti collaterali del cuoio capelluto temovate?
Gli effetti collaterali comuni dell'applicazione del cuoio capelluto temovate includono
- cutanea cutanea delicata
- Pruda la pelle
- bruciore/pungente o rossore
- pelle secca o cracking
- diradamento o ammorbidimento della pelle
- follicoli piliferi gonfi
- perdita di capelli temporanei
- vene di ragno
- Cambiamenti nel colore della pelle trattata
- eruzione cutanea o irritazione intorno alla bocca
- vesciche
- Pimpli
- crosta di pelle trattata e
- smagliature.
Dosaggio per cuoio capelluto temovate
Temovate should be applied in a twice-daily dose for no more than two consecutive weeks. Do not exceed 50 mL of Temovate in a single week. Do not cover treated area of skin unless directed to do so by your doctor. Talk to your doctor before giving Temovate to a child. Prolonged topical steroid use in children can cause a delay in growth.
Quali sostanze o integratori di farmaci interagiscono con il cuoio capelluto temovate?
Temovate may interact with other drugs. Tell your doctor all medications you use.
Temovate Scalp During Gravidanza or Breastfeeding
Non usare Temovate se sei incinta o l'allattamento al seno.
Ulteriori informazioni
La nostra applicazione del cuoio capelluto Temovate (Clobetasol Propionate) 0,05% di effetti farmacologici fornisce una visione completa delle informazioni disponibili sui farmaci sui potenziali effetti collaterali durante l'assunzione di questo farmaco.
Che tipo di droga è lisinopril
Informazioni sui farmaci FDA
- Descrizione del farmaco
- Indicazioni
- Effetti collaterali
- Avvertimenti
- Overdose
- Farmacologia clinica
- Guida ai farmaci
Per uso dermatologico topico solo, non per uso orale o intravaginale oftalmico
Descrizione per il cuoio capelluto temovate
L'applicazione del cuoio capelluto di temovate (clobetasol propionate) contiene il composto attivo clobetasol propionate un corticosteroide sintetico per uso dermatologico topico. Clobetasol Un analogo del prednisolone ha un alto grado di attività glucocorticoide e un leggero grado di attività mineralocorticoide.
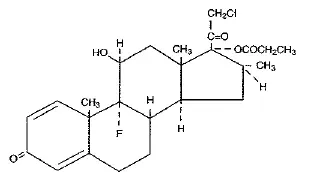
Chimicamente clobetasol propionate è (11b16b) -21- chioro-9-fluoro-11 -idrossi-16-metil-17- (1 -oxo- Propossia) Prega-14-diene-320-dione e ha la seguente formula strutturale:
|
Clobetasol Propionate ha la formula empirica C 25 H 32 Cifo 5 E a molecular weight of 467. It is a white to cream-colored crystalline powder insoluble in water.
L'applicazione del cuoio capelluto di temovate (clobetasol propionate cuoio) contiene clobetasol propionate 0,5 mg/g in una base di alcool ISO con acqua purificata (NULL,3%) Carbomero 934p e idrossido di sodio.
Usi per il cuoio capelluto temovate
L'applicazione del cuoio capelluto temovate (applicazione cuoio capelluto clobetasol) è indicata per il trattamento topico a breve termine delle manifestazioni infiammatorie e pruriche di dermatosi di calpellana sensibile a corticosteroidi da moderate a gravi. Non è raccomandato il trattamento oltre 2 settimane consecutive e il dosaggio totale non deve superare i 50 ml/settimana a causa del potenziale per il farmaco per sopprimere l'asse HPA.
Ciò che è usata per la tamsulosina
Questo prodotto non è raccomandato per l'uso in pazienti pediatrici di età inferiore ai 12 anni.
Dosaggio per cuoio capelluto temovate
L'applicazione del cuoio capelluto temovate (applicazione cuoio capelluto clobetasol) deve essere applicata alle aree del cuoio capelluto interessate due volte al giorno una volta al mattino e una volta di notte.
L'applicazione del cuoio capelluto temovate (applicazione cuoio capelluto clobetasol) è potente; Perciò Il trattamento deve essere limitato a 2 settimane consecutive e non devono essere utilizzati importi superiori a 50 ml/settimana.
L'applicazione del cuoio capelluto temovate (applicazione cuoio capelluto clobetasol) non deve essere utilizzata con medicazioni occlusive .
Uso geriatrico: Negli studi in cui i pazienti geriatrici {65 anni o più vedono PRECAUZIONI ) sono stati trattati con la sicurezza dell'applicazione del cuoio capelluto di temovate (applicazione del cuoio capelluto clobetasol) non differiva da quella nei pazienti più giovani; Pertanto non è consigliabile alcuna regolazione del dosaggio.
Come fornito
Il cuoio capelluto temovate (applicazione cuoio capelluto propionato clobetasol) 0,05% è fornito in bottiglie di spremitura di plastica 25 ml {NDC 0173-0432-00) e 50 ml (NDC 0173-0432-01). Conservare tra 4 ° e 25 ° C (39 ° e 77 ° F). Non usare vicino a una fiamma aperta.
Glaxo Wellcome Inc. Research Triangle Park NC 27709. Agosto 2000. FDA Rev Data: 4/2/2003
Effetti collaterali per il cuoio capelluto temovate
L'applicazione del cuoio capelluto temovate (applicazione cuoio capelluto clobetasol) è generalmente ben tollerata quando utilizzata per periodi di trattamento di 2 settimane.
Gli eventi avversi più frequenti riportati per l'applicazione del cuoio capelluto di Temovate (applicazione del cuoio capelluto propionato clobetasol) sono stati locali e hanno incluso la sensazione di bruciore e/o puntura che si è verificata in 29 su 294 pazienti; pustole del cuoio capelluto che si sono verificati in 3 su 294 pazienti; e formicolio e follicolite ciascuno dei quali si è verificato in 2 su 294 pazienti. Eventi avversi meno frequenti erano prurito e tensione della dermatite del cuoio capelluto perdita di capelli e irritazione agli occhi ciascuno dei quali si è verificato in 1 su 294 pazienti.
Le seguenti reazioni avverse locali sono riportate raramente quando i corticosteroidi topici vengono utilizzati come raccomandato. Queste reazioni sono elencate in un ordine di occorrenza approssimativamente decrescente: bruciore di irritazione prurito secchezza follicolite ipertricosi eruzioni acneiformi eruzioni ipopigmentazioni dermatite peroral di contatto allergico Macerazione della dermatite della dermatite della cutanea atrofila cutanea atrioe e miliari. L'assorbimento sistemico dei corticosteroidi topici ha prodotto manifestazioni di soppressione dell'asse HPA reversibili della sindrome di Cushing iperglicemia e glucosuria in alcuni pazienti. In rari casi il trattamento (o il ritiro del trattamento) della psoriasi con corticosteroidi si ritiene che abbia esacerbato la malattia o provocato la forma pustolosa della malattia, così si raccomanda la supervisione del paziente attenta.
Interazioni farmacologiche per il cuoio capelluto temovate
Nessuna informazione fornita.
Avvertenze per il cuoio capelluto temovate
Nessuna informazione fornita.
a cosa serve un unguento comode
Precauzioni per il cuoio capelluto temovate
Generale : Il clobetasol propionato è un potente corticosteroide topico che ha dimostrato di sopprimere l'asse HPA a dosi a partire da 2 g (di unguento) al giorno. L'assorbimento sistemico dei corticosteroidi topici ha portato a manifestazioni reversibili per la soppressione dell'asse HPA della sindrome di Cushing iperglicemia e glucosuria in alcuni pazienti.
Le condizioni che aumentano l'assorbimento sistemico includono l'applicazione dei corticosteroidi più potenti l'uso su ampie aree di superficie prolungate e l'aggiunta di medicazioni occlusive. Pertanto, i pazienti che hanno ricevuto una grande dose di un potente steroide topico applicato a una superficie di grandi dimensioni devono essere valutati periodicamente per l'evidenza della soppressione dell'asse HPA utilizzando i test di stimolazione del cortisolo e ACTH libero. Se si osserva che la soppressione dell'asse HPA dovrebbe essere fatto un tentativo di ritirare il farmaco per ridurre la frequenza di applicazione o per sostituire un recupero steroideo meno potente della funzione dell'asse HPA è generalmente rapido e completo al momento dell'interruzione del farmaco. Possono verificarsi segni raramente e sintomi di astinenza da steroidi che richiedono corticosteroidi sistemici supplementari.
I pazienti pediatrici possono assorbire quantità proporzionalmente maggiori di corticosteroidi topici e quindi essere più sensibili alla tossicità sistemica (vedi PRECAUZIONI : Uso pediatrico).
Se l'irritazione sviluppa corticosteroidi topici dovrebbe essere sospesa e la terapia appropriata istituita. L'irritazione è possibile se l'applicazione del cuoio capelluto temovate (clobetasol propionate cuoio) contatta l'occhio. Se ciò dovrebbe verificarsi un lavaggio immediato dell'occhio con un grande volume d'acqua.
Se la lesione infiammatoria viene infettata, è necessario istituire l'uso di un agente antifungino o antibatterico appropriato. Se una risposta favorevole non si verifica prontamente, il corticosteroide dovrebbe essere sospeso fino a quando l'infezione non è stata adeguatamente controllata.
Sebbene l'applicazione del cuoio capelluto temovate (applicazione del cuoio capelluto clobetasol) sia destinata al trattamento delle condizioni infiammatorie del cuoio capelluto, è necessario notare che alcune aree del corpo come l'inguine del viso e le ascelle sono più inclini a cambiamenti atrofici rispetto ad altre aree del corpo che segue il trattamento con corticosteroidi. L'osservazione frequente del paziente è importante se queste aree devono essere trattate.
Come con altri potenti corticosteroidi topici del cuoio capelluto temovate (applicazione del cuoio capelluto propionato clobetasol) non deve essere utilizzata nel trattamento della rosacea e della dermatite perorarale. I corticosteroidi topici in generale non devono essere utilizzati nel trattamento dell'acne o come unica terapia nella psoriasi della placca diffusa.
Test di laboratorio : I seguenti test possono essere utili nella valutazione dei pazienti per la soppressione dell'asse HPA:
Test del cortisolo gratuito urinario
Test di stimolazione ACTH
Mutagenesi della carcinogenesi compromissione della fertilità : Non sono stati condotti studi sugli animali a lungo termine per valutare il potenziale cancerogeno del propionato clobetasol.
Gli studi sul ratto a seguito di somministrazione sottocutanea a livelli di dosaggio fino a 50 mcg/kg al giorno hanno rivelato che le femmine hanno mostrato un aumento del numero di embrioni resorditi e una diminuzione del numero di feti viventi alla più alta dose.
Il propionato di clobetasol era non mutagenico in 3 diversi sistemi di test: il test Ames test del test di conversione del gene saccharomyces cerevisiae e il test di fluttuazione di E. coli b wp2.
Gravidanza : Effetti teratogenici: categoria di gravidanza C . I corticosteroidi hanno dimostrato di essere teratogeni negli animali da laboratorio quando somministrati sistematicamente a livelli di dosaggio relativamente bassi. Alcuni corticosteroidi hanno dimostrato di essere teratogeni dopo l'applicazione cutanea agli animali da laboratorio.
Quanto idrocodone è in Hycodan
Clobetasol Propionate non è stato testato per la teratogenicità quando applicato topico; Tuttavia viene assorbito percutaneamente e quando somministrato sottocutaneamente era un significativo teratogeno sia nel coniglio che nel topo. Il clobetasol propionato ha un maggiore potenziale teratogenico rispetto agli steroidi che sono meno potenti.
Gli studi di teratogenicità nei topi usando la via sottocutanea hanno portato alla fetossicità alla dose più alta testata (1 mg/kg) e alla teratogenicità a tutti i livelli di dose testati fino a 0,03 mg/kg. Queste dosi sono circa 1,4 e 0,04 volte rispettivamente la dose topica umana dell'applicazione del cuoio capelluto temovate (applicazione del cuoio capelluto clobetasol). Le anomalie osservate includevano palatoschine e anomalie scheletriche.
Nei conigli il clobetasol propionato era teratogenico a dosi di 3 e 10 mcg/kg. Queste dosi sono circa 0,02 e 0,05 volte rispettivamente la dose topica umana dell'applicazione del cuoio capelluto temovate (applicazione cuoio capelluto clobetasol). Le anomalie osservate includevano cranioschisi palatose e altre anomalie scheletriche.
Non ci sono studi adeguati e ben controllati sul potenziale teratogenico del clobetasol propionato nelle donne in gravidanza. L'applicazione del cuoio capelluto temovate (applicazione del cuoio capelluto clobetasol) deve essere utilizzata durante la gravidanza solo se il potenziale beneficio giustifica il rischio potenziale per il feto.
Madri infermieristiche: I corticosteroidi somministrati sistematicamente appaiono nel latte umano e potrebbero sopprimere la crescita interferire con la produzione di corticosteroidi endogeni o causare altri effetti spiacevoli. Non è noto se la somministrazione topica di corticosteroidi possa comportare un sufficiente assorbimento sistemico per produrre quantità rilevabili nel latte umano. Poiché molti farmaci vengono escreti nella cautela del latte umano dovrebbe essere esercitata quando l'applicazione del cuoio capelluto temovate (applicazione del cuoio capelluto propionato clobetasol) viene somministrata a una donna infermieristica.
Uso pediatrico: Non è raccomandato l'uso della applicazione del cuoio capelluto temovate (applicazione cuoio capelluto propionato clobetasol in pazienti pediatrici di età inferiore ai 12 anni.
I pazienti pediatrici possono dimostrare una maggiore suscettibilità alla soppressione dell'asse HPA indotto da corticosteroidi topici e alla sindrome di Cushing rispetto ai pazienti maturi a causa di una maggiore superficie cutanea e di peso corporeo.
Sindrome di soppressione dell'asse HPA Sindrome di ritardo della crescita lineare di ritardo ha ritardato l'aumento di peso e l'ipertensione intra-cranica sono stati riportati nei bambini che ricevono corticosteroidi topici. Le manifestazioni di soppressione surrenale nei bambini includono bassi livelli di cortisolo plasmatico e un'assenza di risposta alla stimolazione dell'ACTH. Le manifestazioni di ipertensione intracranica comprendono mal di testa fontane sporgenti e papilledema bilaterale.
Uso geriatrico: Un numero limitato di pazienti di età pari o superiore a 65 anni (n = 65) è stato trattato con applicazione cuoio capelluto di temovate (applicazione cuoio capidrista clobetasol) negli studi clinici statunitensi e non statunitensi. Mentre il numero di pazienti è troppo piccolo per consentire un'analisi separata dell'efficacia e della sicurezza, le reazioni avverse riportate in questa popolazione erano simili a quelle riportate dai pazienti più giovani. Sulla base dei dati disponibili, non è garantita l'applicazione del dosaggio del cuoio capelluto temovate (applicazione del cuoio capelluto propionato clobetasol) nei pazienti geriatrici
Informazioni per overdose per il cuoio capelluto temovate
L'applicazione temovate cuoio -applicazione topicamente (clobetasol propionate cylap dell'applicazione) può essere assorbita in quantità sufficienti per produrre effetti sistemici {vedi PRECAUZIONI ).
Controindicazioni per il cuoio capelluto temovate
L'applicazione del cuoio capelluto di temovate (applicazione del cuoio capelluto propionato clobetasol) è controindicata nei pazienti con infezioni primarie del cuoio capelluto o in pazienti che sono ipersensibili al clobetasol propionate altri corticosteroidi o qualsiasi ingrediente in questa preparazione.
Farmacologia clinica for Temovate Scalp
The corticosteroids are a class of compounds comprising steroid hormones secreted by the adrenal cortex and their synthetic analogs. In pharmacologic doses corticosteroids are used primarily for their anti-inflammatory and/or immunosuppressive effects. Topical corticosteroids such as clobetasol propionate are effective in the treatment of corticosteroid-responsive dermatoses primarily because of their anti-inflammatory antipruritic and vasoconstrictive actions. However while the physiologic pharmacologic and clinical effects of the corticosteroids are well known the exact mechanisms of their actions in each disease are uncertain.
Clobetasol propionate a corticosteroid has been shown to have topical (dermatologic) and systemic pharmacologic and metabolic effects characteristic of this class of drugs.
Farmacocinetica: l'entità dell'assorbimento percutaneo dei corticosteroidi topici tra cui il clobetasol propionato è determinato da molti fattori tra cui il veicolo l'integrità della barriera epidermica e l'uso di medicazioni occlusive (vedi Dosaggio e amministrazione ).
Come per tutti i corticosteroidi topici, il clobetasol propionato può essere assorbito dalla normale pelle intatta. L'infiammazione e/o altri processi patologici nella pelle possono aumentare l'assorbimento percutaneo. Le medicazioni occlusive aumentano sostanzialmente l'assorbimento percutaneo dei corticosteroidi topici (vedi Dosaggio e amministrazione ).
Una volta assorbiti attraverso i corticosteroidi topici della pelle entrano in modo simile percorsi farmacocinetici ai corticosteroidi somministrati sistematicamente. I corticosteroidi sono legati alle proteine plasmatiche a vari gradi. I corticosteroidi vengono metabolizzati principalmente nel Fiver e vengono quindi escreti dai reni. Alcuni dei corticosteroidi topici tra cui il clobetasol propionato e i suoi metaboliti sono anche escreti nel Anche .
A seguito di ripetute applicazione non occlusiva nel trattamento della psoriasi del cuoio capelluto ci sono alcune prove che l'applicazione del cuoio capelluto temovate (applicazione cuoio capelluto clobetasol) abbia il potenziale per premere i livelli di cortisolo plasmatico in alcuni pazienti. Tuttavia, gli effetti ipotamici-ipofisi-surrene (HPA) prodotti dal clobetasol propionato assorbiti sistematicamente si sono dimostrati transitori e reversibili al completamento di un corso di trattamento di 2 settimane.
Informazioni del paziente per il cuoio capelluto temovate
I pazienti che utilizzano l'applicazione del cuoio capelluto temovate (applicazione cuoio capelluto clobetasol) devono ricevere le seguenti informazioni e istruzioni:
Quale classe di droga è diazepam