Le Informazioni Presenti Sul Sito Non Costituiscono Consulenza Medica. Non Vendiamo Nulla. L'Accuratezza Della Traduzione Non È Garantita. Disclaimer



Pulmicort Respules

Riepilogo della droga

Cosa sono i respule di Pulmicort?

Pulmicort respules (budesonide) La sospensione dell'inalazione è un inalatore di corticosteroidi utilizzato per il trattamento di mantenimento dell'asma e AS profilattico terapia nei bambini da 12 a 8 anni. I respule di pulmicort sono disponibili in generico forma budesonide.

Quali sono gli effetti collaterali dei respule di Pulmicort?

Gli effetti collaterali comuni dei respule di Pulmicort sono:



  • naso che cola o soffocante
  • starnuti
  • tosse
  • mal di gola
  • gola secca
  • nascosto
  • nausea
  • vomito
  • diarrea
  • dolori di stomaco
  • patch bianchi o piaghe all'interno della bocca o sulle labbra
  • mal di testa
  • raucedine
  • Cambiamenti vocali o
  • cattivo gusto in bocca.

Gli effetti collaterali gravi dei respule di polmicort includono:



  • Infezioni fungine (in particolare Candida spp)
  • infezioni batteriche
  • gravi reazioni allergiche
  • Infezioni alle orecchie
  • disturbi endocrini
  • disturbi della crescita
  • Disturbi degli occhi
  • depressione e
  • depressione immunitaria.

Cerca cure mediche o chiama il 911 contemporaneamente se hai i seguenti gravi effetti collaterali:

  • Sintomi di occhiali gravi come la perdita di visione improvvisa del tunnel della visione sfocata Dolore alla visione o gonfiore o vedere aloni attorno alle luci;
  • Sintomi cardiaci gravi come battiti cardiaci irregolari o martellanti veloci; svolazzando nel petto; fiato corto; e vertigini improvvise Accendino o svenire;
  • Grave mal di testa confusione Il braccio del linguaggio bloccato o la debolezza delle gambe problemi perdite perdita di coordinamento sentendoti instabili muscoli molto rigidi ad alta febbre abbondante sudorazione o tremori.

Questo documento non contiene tutti i possibili effetti collaterali e altri possono verificarsi. Verificare con il tuo medico ulteriori informazioni sugli effetti collaterali.



Dosaggio per i respule di polmicort

Pulmicort Respules (Budesonide Incalation Suspension) è disponibile una sospensione sterile per l'inalazione tramite nebulizzatore a getto ed è disponibile in punti di forza di 0,25 0,5 e 1 mg per 2 ml all'interno di un'ampule resposta.

Quali sostanze farmacologiche o integratori interagiscono con i respule Pulmicort?

I respule di pulmicort possono interagire con HIV / Aiuta gli antibiotici antibiotici o antidepressivi. Dì al medico tutti i farmaci e gli integratori che usi.

Pulmicort Respules durante la gravidanza e l'allattamento al seno

L'uso in gravidanza dovrebbe essere fatto solo se chiaramente necessario. Pulmicort Respules può passare nel latte materno e possono danneggiare un bambino che allatta. Consulta il medico prima dell'allattamento al seno. Il farmaco e i dosaggi sono progettati per l'uso nella popolazione pediatrica dai 12 mesi a 8 anni.

Ulteriori informazioni

Il nostro Centro farmacologico per effetti collaterali di Pulmicourt fornisce una visione completa delle informazioni disponibili sui farmaci sui potenziali effetti collaterali durante l'assunzione di questo farmaco.

Informazioni sui farmaci FDA

/p>

Descrizione per i respule Pulmicort

Budesonide Il componente attivo di Pulmicort Respules® (sospensione per inalazione di budesonide) è un corticosteroide designato chimicamente come (rs) -11β 16α 17 21-tetraidrossipregna-1 4-diene-3 20dione ciclico 16 17-acetale con butiraldeide. La budesonide è fornita come una miscela di due epimeri (22R e 22). La formula empirica di budesonide è c 25 H 34 O 6 e il suo peso molecolare è 430,5. La sua formula strutturale è:

La budesonide è una polvere da bianca a bianca insapore insapore che è praticamente insolubile in acqua e in eptana con parsimonia solubile in etanolo e liberamente solubile in cloroformio. Il suo coefficiente di partizione tra ottanolo e acqua a pH 7,4 è 1,6 x 10 3 .

Pulmicort Respules (Budesonide Inalation Suspension) è una sospensione sterile per l'inalazione tramite nebulizzatore a getto e contiene il principio di ingrediente attivo (micronizzato) e gli ingredienti inattivi disodio edetato di sodio sodio sodio sodio sodio citrato citrato citrato citrato citrato citrato citrato citrato polisorbato 80 e acqua per l'iniezione. Sono disponibili tre punti di forza della dose in ampule monodose (ampule Respules ™): 0,25 mg 0,5 mg e 1 mg per 2 ml di ampoli di respule. Per i respule di Pulmicort (sospensione dell'inalazione di budesonide) come tutti gli altri trattamenti nebulizzati, la quantità consegnata ai polmoni dipenderà dai fattori del paziente utilizzato dal nebulizzatore del getto e alle prestazioni del compressore. Utilizzando il sistema compressore Master pari-LC-jet plus nebulizer/pari in vitro Condizioni La dose media consegnata sul bocchino (% dose nominale) era di circa il 17% a una portata media di 5,5 L/min. Il tempo medio di nebulizzazione era di 5 minuti o meno. I respule Pulmicort devono essere somministrati dai nebulizzatori a getto a portate adeguate tramite maschere o bocchini [vedi Dosaggio e amministrazione ].

Usi per i respule di pulmicort

Trattamento di mantenimento dell'asma

Pulmicort Respules è indicato per il trattamento di mantenimento dell'asma e come terapia profilattica nei bambini da 12 mesi a 8 anni.

Limiti di utilizzo

  • Pulmicort Respules non è indicato per il sollievo del broncospasmo acuto.

Dosaggio per i respule di polmicort

La dose iniziale raccomandata e la dose più alta raccomandata di respule di Pulmicort basate su una terapia di asma precedente sono elencati nella tabella seguente.

Terapia precedente Dose iniziale consigliata Dose più alta raccomandata
Broncodilatatori da soli 0,5 mg di dose totale giornaliera somministrata una volta al giorno o due volte al giorno in dosi divise 0,5 mg di dose totale giornaliera
Corticosteroidi per inalazione 0,5 mg di dose totale giornaliera somministrata una volta al giorno o due volte al giorno in dosi divise 1 mg di dose totale giornaliera
Corticosteroidi orali 1 mg di dose totale giornaliera administered either as 0,5 mg twice daily or 1 mg once daily 1 mg di dose totale giornaliera

Raccomandazioni sul dosaggio

Le raccomandazioni sul dosaggio basate sulla terapia precedente sono le seguenti:

  • Broncodilatatori da soli: 0,5 mg once daily or 0,25 mg twice daily
  • Corticosteroidi inalati: 0,5 mg una volta al giorno o 0,25 mg due volte al giorno fino a 0,5 mg due volte al giorno
  • Corticosteroidi orali: 0,5 mg due volte al giorno o 1 mg una volta al giorno

Nei bambini sintomatici che non rispondono alla terapia non steroideale una dose iniziale di 0,25 mg una volta al giorno può essere presa in considerazione. Se il trattamento una volta al giorno non fornisce un controllo adeguato, la dose giornaliera totale dovrebbe essere aumentata e/o somministrata come dose divisa. In tutti i pazienti è auspicabile per il titrato verso il basso alla dose più bassa una volta raggiunta la stabilità dell'asma.

Indicazioni per l'uso

I respule di Pulmicort devono essere somministrati tramite nebulizzatore a getto collegato a un compressore d'aria con un flusso d'aria adeguato dotato di bocchino o maschera facciale adatta. I nebulizzatori ad ultrasuoni non sono adatti per l'adeguata somministrazione di respule Pulmicort e pertanto non sono raccomandati.

Gli effetti della miscelazione dei respule di polmicort con altri farmaci nebulizzabili non sono stati adeguatamente valutati. I respule di pulmicort devono essere somministrati separatamente nel nebulizzatore [vedi Informazioni sul paziente ].

Un nebulizzatore PARI-LC-JET Plus (con maschera o bocchino) collegato a un compressore Master Pari è stato utilizzato per consegnare respule di polmicort a ciascun paziente in 3 studi clinici controllati negli Stati Uniti. La sicurezza e l'efficacia dei respule di Pulmicort erogati da altri nebulizzatori e compressori non sono stati stabiliti.

Come fornito

Forme di dosaggio e punti di forza

Pulmicort Respules è disponibile in tre punti di forza ciascuno contenente 2 mL: 0,25 mg/2 ml 0,5 mg/2 ml e 1 mg/2 ml. Pulmicort Respules viene fornito in buste in alluminio sigillate con una striscia di plastica di cinque ampule a dosi singolo insieme alle istruzioni del paziente per l'uso. Ci sono 30 ampole di respule in un cartone. Ogni ampola a dosi monodose contiene 2 ml di sospensione liquida sterile.

Archiviazione e maneggevolezza

Pulmicort Respules viene fornito in buste in alluminio sigillate con una striscia di plastica di cinque ampule a dosi singolo insieme alle istruzioni del paziente per l'uso. Ci sono 30 ampole di respule in un cartone. Ogni ampola a dosi monodose contiene 2 ml di sospensione liquida sterile.

Pulmicort Respules è disponibile in tre punti di forza ciascuno contenente 2 ml:

Ndc 0186-1988-04 0,25 mg/2 ml
Ndc 0186-1989-04 0,5 mg/2 ml
Ndc 0186-1990-04 1 mg/2 ml

Pulmicort Respules should be stored upright at controlled room temperature 20-25°C (68-77°F) [see USP ] e protetto dalla luce. Quando è stata aperta una busta, la durata di conservazione delle Ampule non utilizzate è di 2 settimane quando protette. Dopo aver aperto l'involucro di lamina in alluminio, le ampole di Respules inutilizzate dovrebbero essere restituite alla busta in alluminio per proteggerli dalla luce. Eventuali respule aperte devono essere usate prontamente. Scuoti delicatamente l'ampola di Respules usando un movimento circolare prima dell'uso. Tenere fuori dalla portata dei bambini. Non congelare.

Prodotto per: Astrazeneca Pharmaceuticals LP Wilmington de 19850. Di: Astrazeneca ab Sans Sã¶dertälje Svezia. Revisionato: ottobre 2019

Effetti collaterali per i respule di pulmicort

L'uso di corticosteroidi sistemici e inalati può comportare le seguenti:

60 mg di prednisone per 5 giorni
  • Infezione da candida albicans [vedi Avvertimenti e precauzioni ]
  • Reazioni di ipersensibilità incluso l'anafilassi [vedi Avvertimenti e precauzioni ]
  • Immunosoppressione [vedi Avvertimenti e precauzioni ]
  • Ipercorticismo e soppressione surrenale [vedi Avvertimenti e precauzioni ]
  • Riduzione della densità minerale ossea [vedi Avvertimenti e precauzioni ]
  • Effetti di crescita nei pazienti pediatrici [vedi Avvertimenti e precauzioni Utilizzare in popolazioni specifiche ]
  • Glaucoma Aumento della pressione intraoculare e della cataratta [vedi Avvertimenti e precauzioni ]
  • Condizioni eosinofiliche e sindrome di Churg-Strauss [vedi Avvertimenti e precauzioni ]

Esperienza di studi clinici

Poiché gli studi clinici sono condotti in condizioni di reazione avverse ampiamente variabili osservate negli studi clinici di un farmaco non possono essere paragonati direttamente ai tassi negli studi clinici di un altro farmaco e potrebbero non riflettere i tassi osservati nella pratica.

L'incidenza di reazioni avverse comuni si basa su tre studi clinici randomizzati statunitensi randomizzati in doppio cieco in cui 945 pazienti da 12 mesi a 8 anni (98 pazienti ≥12 mesi e <2 years of age; 225 patients ≥2 and <4 years of age; and 622 patients ≥4 and ≤8 years of age) were treated with Pulmicort Respules (0.25 to 1 mg di dose totale giornaliera for 12 weeks) or vehicle placebo. The incidence and nature of adverse events reported for Pulmicort Respules was comparable to that reported for placebo. The following table shows the incidence of adverse events in U.S. controlled clinical trials regardless of relationship to treatment in patients previously receiving bronchodilators and/or inhaled corticosteroidi. This population included a total of 605 male and 340 female patients and 78.4% were Caucasian 13.8% African American 5.5% Hispanic and 2.3% Other.

Tabella 1: reazioni avverse che si verificano con un'incidenza di ≥3% in almeno un gruppo di trattamento attivo in cui l'incidenza era più alta con i respule del pulmicort rispetto al placebo

Eventi avversi Placebo del veicolo
(n = 227) %
Pulmicort Respules Total Daily Dose
0,25 mg
(n = 178) %
0,5 mg
(n = 223) %
1 mg
(n = 317) %
Disturbo del sistema respiratorio
Infezione respiratoria 36 34 35 38
Rinite 9 7 11 12
Tosse 5 5 9 8
Disturbi del meccanismo di resistenza
Otite media 11 12 11 9
Infezione virale 3 4 5 3
Moniliasi 2 4 3 4
Disturbi del sistema gastrointestinale
Gastroenterite 4 5 5 5
Vomito 3 2 4 4
Diarrea 2 4 4 2
Dolore addominale 2 3 2 3
Disturbi dell'udito e vestibolare
Infezione all'orecchio 4 2 4 5
Disturbi da sanguinamento piastrinico e coagulazione
Epistassi 1 2 4 3
Disturbi della visione
Congiuntivite 2 <1 4 2
Disturbi della pelle e delle appendici
Eruzione cutanea 3 <1 4 2

The information below includes all adverse reactions by system organ class with an incidence of 1 to <3% in at least one Pulmicort Respules treatment group where the incidence was higher with Pulmicort Respules than with placebo regardless of relationship to treatment.

Disturbi del sistema di sangue e linfatici: linfoadenopatia cervicale

Disturbi dell'orecchio e del labirinto: dora

Disturbi generali e condizioni del sito di amministrazione: Disturbo da flu-like di fatica

Disturbi del sistema immunitario: reazione allergica

Infezioni e infestazioni: infezione da occhio herpes simplex infezione da orecchio esterno

Avvelenamento da infortunio e complicazione procedurale: frattura

Disturbi del metabolismo e nutrizione: anoressia

Disturbi del tessuto muscoloscheletrico e connettivo: mialgia

Disturbi del sistema nervoso: iperkinesia

Disturbi psichiatrici: Labilità emotiva

Disturbi toracici e mediastinali respiratori: Stridor della disfonia del dolore toracico

Disturbi della pelle e dei tessuti sottocutanei: Dermatite da contatto eczema Rash Pustolar Evilus Purple

L'incidenza di eventi avversi segnalati era simile tra i 447 Pulmicort Respules (dose totale media giornaliera da 0,5 a 1 mg) e 223 pazienti pediatrici traditi da terapia convenzionali seguiti per un anno in tre studi in aperto.

Esperienza post -marketing

Le seguenti reazioni avverse sono state riportate durante l'uso post-approvazione dei respule di Pulmicort. Poiché queste reazioni sono riportate volontariamente da una popolazione di dimensioni incerte, non è sempre possibile stimare in modo affidabile la loro frequenza o stabilire una relazione causale con l'esposizione ai farmaci. Alcune di queste reazioni avverse possono anche essere state osservate negli studi clinici con respule di Pulmicort.

Disturbi endocrini: Sintomi di ipocorticismo e ipercorticismo [vedi Avvertimenti e precauzioni ]

Disturbi degli occhi: Il glaucoma della cataratta ha aumentato la pressione intraoculare [vedi Avvertimenti e precauzioni ]

Disturbi generali e condizioni del sito di amministrazione: Dolore della febbre

Disturbi del sistema immunitario: Reazioni di ipersensibilità immediata e ritardata tra cui la dermatite da contatto e orticaria di broncioedema anafilassi broncospasmo [vedi Controindicazioni Avvertimenti e precauzioni ]

Infezione e infestazione: Bronchite da faringite sinusite

Disturbi del tessuto muscoloscheletrico e connettivo: Necrosi avascolare della soppressione della crescita dell'osteoporosi della testa femorale

Disturbi del sistema nervoso: mal di testa

Disturbi psichiatrici: Sintomi psichiatrici tra cui psicosi depressione reazioni aggressive irritabilità nervosismo irrequietezza e ansia

Disturbi toracici e mediastinali respiratori: disfonia tosse e irritazione della gola

Disturbi della pelle e dei tessuti sottocutanei: pelle lividi viso irritazione della pelle

Sono stati riportati casi di soppressione della crescita per corticosteroidi inalati, compresi i rapporti post-marketing per i respule del pulmicort [vedi Avvertimenti e precauzioni Utilizzare in popolazioni specifiche ].

Interazioni farmacologiche per i respule di polmicort

Inibitori del citocromo P450 3A4

La via principale del metabolismo dei corticosteroidi tra cui la budesonide è tramite il citocromo P450 (CYP) isoenzima 3A4 (CYP3A4). Dopo la somministrazione orale di ketoconazolo un forte inibitore del CYP3A4 la concentrazione plasmatica media di budesonide somministrata per via orale. La somministrazione concomitante di un inibitore del CYP3A4 può inibire il metabolismo e aumentare l'esposizione sistemica a budesonide. La cautela dovrebbe essere esercitata quando si considera la somministrazione di co-pomicort con ketoconazolo a lungo termine e altri inibitori del CYP3A4 forti noti (ad esempio Ritonavir azanavir Clarithromycin indinavir itraconazole nefazodone nelfinavir saquinavir telithromycin) [vedi Avvertimenti e precauzioni Farmacologia clinica ].

Avvertenze per i respule di Pulmicort

Incluso come parte del PRECAUZIONI sezione.

Precauzioni per i respule di polmicort

Effetti locali

Negli studi clinici con respule di polmicort infezioni localizzate con candida albicans si sono verificate in bocca e faringe in alcuni pazienti. Le incidenze di infezioni localizzate di Candida albicans erano simili tra i gruppi di trattamento del placebo e Pulmicort. Se si sviluppano queste infezioni, possono richiedere un trattamento con un'adeguata terapia antifungina locale o sistemica e/o l'interruzione del trattamento con i respule Pulmicort. I pazienti devono sciacquare la bocca dopo l'inalazione di respule di polmicort.

Deterioramento delle malattie e episodi di asma acuto

Pulmicort Respules is not a bronchodilator and is not indicated for the rapid relief of acute bronchospasm or other acute episodes of asthma.

I pazienti devono essere istruiti a contattare immediatamente il proprio medico se gli episodi di asma non rispondono alle loro solite dosi di broncodilatatori nel corso del trattamento con le respule di Pulmicort. Durante tali episodi i pazienti possono richiedere una terapia con corticosteroidi orali.

Reazioni di ipersensibilità compresa l'anafilassi

Sono state riportate reazioni di ipersensibilità, inclusi anafilassi eruzione cutanea che dermatite orticaria angioedema e broncospasmo con l'uso di respule di polmicort. Interrompere i respule del pulmicort se si verificano tali reazioni [vedi Controindicazioni ].

Immunosoppressione

I pazienti che sono in droghe che sopprimono il sistema immunitario sono più sensibili alle infezioni rispetto agli individui sani. La varicella e il morbillo, ad esempio, possono avere un percorso più grave o addirittura fatale nei bambini o negli adulti sensibili che usano corticosteroidi. Nei bambini o negli adulti che non hanno avuto queste malattie o sono state adeguatamente immunizzate cure particolari per evitare l'esposizione. Non è noto il modo in cui la via della dose e la durata della somministrazione di corticosteroidi influiscono sul rischio di sviluppare un'infezione diffusa. Non è noto anche il contributo della malattia sottostante e/o del precedente trattamento corticosteroide al rischio. Se esposto al pollo

La terapia di vaccinaio con immunoglobulina di varicella zoster (VZIG) o immunoglobulina endovenosa raggruppata (IVIG), a seconda dei casi. Se esposta alla profilassi del morbillo con immunoglobulina intramuscolare raggruppata (IG) può essere indicata (vedere i rispettivi inserti del pacchetto per informazioni complete di prescrizione di VZIG e IG). Se la varicella di pollo sviluppa il trattamento con antivirale gli agenti possono essere considerati.

Il decorso clinico della varicella o dell'infezione da morbillo nei pazienti in corticosteroidi inalati non è stato studiato. Tuttavia, uno studio clinico ha esaminato la reattività immunitaria dei pazienti con asma da 12 mesi a 8 anni che sono stati trattati con respule di Pulmicort. Uno studio clinico non randomizzato in aperto non ha esaminato la reattività immunitaria del vaccino contro la varicella in 243 pazienti con asma da 12 mesi a 8 anni di età che sono stati trattati con respule di Pulmicort 0,25 mg a 1 mg al giorno (n = 151) o non corticosteroidi di asma non corticosteroidi). La percentuale di pazienti che sviluppavano un titolo anticorpo sieroprotettivo di ≥5,0 (valore GPELISA) in risposta alla vaccinazione era simile nei pazienti trattati con respule di Pulmicort (85%) rispetto ai pazienti trattati con terapia per asma non corticosteroidi (90%). Nessun paziente trattato con respule di polmicort ha sviluppato la varicella a causa della vaccinazione.

I corticosteroidi inalati dovrebbero essere usati con cautela se nei pazienti con infezione da tubercolosi attiva o quiescente del tratto respiratorio non trattato non trattate infezioni virali batteriche o parassita del tratto; o herpes simplex oculare.

Trasferimento di pazienti dalla terapia corticosteroide sistemica

Sono necessarie particolari cure per i pazienti che vengono trasferiti da corticosteroidi sistematicamente attivi a corticosteroidi inalati perché i decessi dovuti all'insufficienza surrenale si sono verificati nei pazienti asmatici durante e dopo il trasferimento da corticosteroidi sistemici a corticosteroidi inalati meno sistematicamente disponibili. Dopo il ritiro dai corticosteroidi sistemici sono necessari diversi mesi per il recupero della funzione di assezione ipotalamica-ipofisi-surrene (HPA).

I pazienti che sono stati precedentemente mantenuti su 20 mg o più al giorno di prednisone (o suo equivalente) possono essere più suscettibili in particolare quando i loro corticosteroidi sistemici sono stati quasi completamente ritirati.

Durante questo periodo di soppressione dell'asse HPA, i pazienti con soppressione possono presentare segni e sintomi di insufficienza surrenale se esposti all'infezione da chirurgia del trauma (in particolare gastroenterite) o altre condizioni associate a gravi perdita di elettroliti. Sebbene i respule di Pulmicort possano fornire il controllo dei sintomi dell'asma durante questi episodi nelle dosi raccomandate, fornisce sistemicamente quantità fisiologiche di glucocorticosteroidi e non fornisce l'attività mineralocorticoide necessaria per far fronte a queste emergenze.

Durante i periodi di stress o un grave attacco di asma che sono stati ritirati dai corticosteroidi sistemici devono essere istruiti a riprendere immediatamente corticosteroidi orali (in grandi dosi) e di contattare i loro medici per ulteriori istruzioni. Questi pazienti dovrebbero anche essere istruiti a trasportare una carta di identificazione medica che indica che potrebbero aver bisogno di corticosteroidi sistemici supplementari durante i periodi di stress o un grave attacco di asma.

I pazienti che richiedono corticosteroidi orali devono essere svezzati lentamente dall'uso di corticosteroidi sistemici dopo il trasferimento in respule di Pulmicort. Inizialmente i respule di Pulmicort devono essere utilizzati contemporaneamente alla normale dose di mantenimento del paziente di corticosteroide sistemico. Dopo circa una settimana il ritiro graduale del corticosteroide sistemico può essere avviato riducendo la dose giornaliera giornaliera o alternativa. Ulteriori riduzioni incrementali possono essere fatte dopo un intervallo di una o due settimane a seconda della risposta del paziente. Generalmente questi decrementi non dovrebbero superare il 25% della dose di prednisone o il suo equivalente. È fortemente raccomandato un lento tasso di ritiro.

Funzione polmonare (FEV 1 o sono PEF) beta-agonista I sintomi dell'uso e dell'asma devono essere attentamente monitorati durante il ritiro dei corticosteroidi orali. Oltre al monitoraggio dei segni e dei sintomi dell'asma, i pazienti dovrebbero essere osservati per segni e sintomi di insufficienza surrenale come nausea e vomito e ipotensione di debolezza della mortalità della fatica.

Il trasferimento di pazienti da terapia corticosteroide sistemica a respule di polmicort può non mascherare le condizioni allergiche o di altre immunologiche precedentemente soppresse dalla terapia corticosteroide sistemica, ad es. rinite congiuntivite Condizioni eosinofile Eczema e artrite [vedi Dosaggio e amministrazione ].

Durante il ritiro dai corticosteroidi orali, i pazienti possono sperimentare sintomi di astinenza da corticosteroidi sistematicamente attivi (ad es. Depressione del dolore del dolore articolare e/o muscolare) nonostante il mantenimento o persino il miglioramento della funzione respiratoria.

Ipercorticismo e soppressione surrenale

Pulmicort Respules will often help control asthma symptoms with less suppression of HPA function than therapeutically equivalent oral doses of prednisone. Since individual sensitivity to effects on cortisol production exists physicians should consider this information when prescribing Pulmicort Respules. Because of the possibility of systemic absorption of inhaled corticosteroidi patients treated with Pulmicort Respules should be observed carefully for any evidence of systemic corticosteroid effects. Particular care should be taken in observing patients post-operatively or during periods of stress for evidence of inadequate adrenal response. It is possible that systemic corticosteroid effects such as hypercorticism and adrenal suppression (including adrenal crisis) may appear in a small number of patients particularly when budesonide is administered at higher than recommended doses over prolonged periods of time. If such effects occur the dosage of Pulmicort Respules should be reduced slowly consistent with accepted procedures for tapering of systemic corticosteroidi and for management of asthma.

Riduzione della densità minerale ossea

Sono state osservate diminuzioni della densità minerale ossea (BMD) con la somministrazione a lungo termine di prodotti contenenti corticosteroidi inalati. Il significato clinico dei piccoli cambiamenti nella BMD per quanto riguarda i risultati a lungo termine non è noto. I pazienti con importanti fattori di rischio per una riduzione del contenuto di minerali ossei come la storia familiare di immobilizzazione prolungata di osteoporosi scarsa alimentazione o uso cronico di farmaci che possono ridurre la massa ossea (ad esempio anticonvulsiranti e corticosteroidi) devono essere monitorati e trattati con standard di cura stabiliti.

Effetti sulla crescita

I corticosteroidi per via orale per via orale, incluso la budesonide, possono causare una riduzione della velocità di crescita quando somministrati a pazienti pediatrici. Monitorare la crescita dei pazienti pediatrici che ricevono abitualmente i respule di polmicort (ad esempio tramite stadiometria). Per ridurre al minimo gli effetti sistemici dei corticosteroidi per via orale per via orale, inclusi i respule del polmicort, ogni paziente dovrebbe essere titolato alla sua dose efficace più bassa [vedi Utilizzare in popolazioni specifiche ].

Glaucoma And Cataracts

Glaucoma increased intraocular pressure and cataracts have been reported following the long-term administration of inhaled corticosteroidi including budesonide. Therefore close monitoring is warranted in patients with a change in vision or with a history of increased intraocular pressure glaucoma and/or cataracts.

Broncospasmo paradossale e sintomi delle vie aeree superiori

Come con altri farmaci per asma inalati il ​​broncospasmo con un aumento immediato del respiro sibilante dopo il dosaggio. Se si verifica un broncospasmo acuto a seguito di dosaggio con respule di polmicort, dovrebbe essere trattato immediatamente con un broncodilatatore inalato ad azione rapida. Il trattamento con respule di Pulmicort deve essere sospeso e la terapia alternativa istituita.

Condizioni eosinofiliche e sindrome di Churg-Strauss

In rari casi, i pazienti in corticosteroidi inalati possono presentare condizioni eosinofile sistemiche. Alcuni di questi pazienti hanno caratteristiche cliniche di vasculite coerenti con la sindrome di Churg-Strauss una condizione che viene spesso trattata con terapia sistemica di corticosteroidi. Questi eventi di solito ma non sempre sono stati associati alla riduzione e/o al ritiro della terapia corticosteroidi orale in seguito all'introduzione di corticosteroidi inalati. Gli operatori sanitari dovrebbero essere attenti a eosinofilia Vasculite cutanea che peggiora i sintomi polmonari complicanze cardiache e/o neuropatia che presentano nei loro pazienti. Non è stata stabilita una relazione causale tra budesonide e queste condizioni sottostanti.

Interazioni farmacologiche con forti inibitori del citocromo P450 3A4

La cautela dovrebbe essere esercitata quando si considera la somministrazione di co -pomicort con ketoconazolo e altri forti inibitori del CYP3A4 noti (ad esempio ritonavir atazanavir chiaritromicina indinavir itraconazole nefazolo nefazole nefazodone nefazodone nelfinavir saquinavir telithromin) perché si verificava l'effetto di sistema di sistema di bomita Interazioni farmacologiche Farmacologia clinica ].

Informazioni sulla consulenza del paziente

Amministrazione con un nebulizzatore a reazione

I pazienti devono essere consigliati che i respule di Pulmicort debbano essere somministrati con un nebulizzatore a getto collegato a un compressore con un flusso d'aria adeguato dotato di bocchino o maschera facciale adatta. I nebulizzatori ad ultrasuoni non sono adatti per l'adeguata somministrazione di respule Pulmicort e pertanto non sono raccomandati. Gli effetti della miscelazione dei respule di polmicort con altri farmaci nebulizzabili non sono stati adeguatamente valutati. I respule di pulmicort devono essere somministrati separatamente nel nebulizzatore [vedi Dosaggio e amministrazione ].

Candidiasi orale

I pazienti devono essere informati che le infezioni localizzate con candida albicans si sono verificate in bocca e faringe in alcuni pazienti. Se la candidosi orofaringea si sviluppa, dovrebbe essere trattata con un'adeguata terapia antifungina locale o sistemica (cioè orale), pur continuando a continuare la terapia con le respule di polmicort, ma a volte la terapia con respule di Pulmicort potrebbe essere temporaneamente interrotta sotto una stretta supervisione medica. Si consiglia il risciacquo della bocca dopo l'inalazione [vedi Avvertimenti e precauzioni ].

Non per sintomi acuti

Pulmicort Respules is not meant to relieve acute asthma symptoms and extra doses should not be used for that purpose. Acute symptoms should be treated with an inhaled short-acting beta -agonist such as albuterol. (The healthcare professional should provide that patient with such medication and instruct the patient in how it should be used). Patients should be instructed to notify their healthcare professional immediately if they experience any of the following:

  • Decrescente efficacia della beta ad azione breve inalata 2 - Agonisti
  • Necessità di più inalazioni del solito di beta ad azione breve inalata 2 -agonisti
  • Una riduzione significativa della funzione polmonare come indicato dal medico

I pazienti non devono interrompere la terapia con i respule Pulmicort senza guida medica/fornitore poiché i sintomi possono ripresentarsi dopo l'interruzione [vedi Avvertimenti e precauzioni ].

Ipersensibilità compresa l'anafilassi

Sono state riportate reazioni di ipersensibilità, inclusi anafilassi eruzione cutanea che dermatite orticaria angioedema e broncospasmo con l'uso di respule di polmicort. Interrompere i respule del pulmicort se si verificano tali reazioni [vedi Controindicazioni Avvertimenti e precauzioni ].

Immunosoppressione

I pazienti che sono in dosi immunosoppressori di corticosteroidi dovrebbero essere avvertiti di evitare l'esposizione a varicella o morbillo e se esposti per consultare il proprio medico senza indugio. Se si verifica l'esposizione a una persona del genere e il bambino non ha avuto la varicella o è stato adeguatamente vaccinato, un medico dovrebbe essere consultato senza indugio. I pazienti devono essere informati del potenziale peggioramento delle infezioni virali batteriche o parassiti della tubercolosi esistente di tubercolosi o herpes simplex oculare [vedi Avvertimenti e precauzioni ].

Ipercorticismo e soppressione surrenale

I pazienti devono essere consigliati che i respule del polmicort possono causare effetti corticosteroidi sistemici dell'ipercorticismo e della soppressione surrenale. Inoltre, i pazienti devono essere istruiti che si sono verificati decessi dovuti all'insufficienza surrenale durante e dopo il trasferimento da corticosteroidi sistemici. I pazienti devono rastremarsi lentamente dai corticosteroidi sistemici se si trasferiscono i respule Pulmicort [vedi Avvertimenti e precauzioni ].

Riduzione della densità minerale ossea

I pazienti che hanno un rischio maggiore di ridotta BMD dovrebbero essere consigliati che l'uso di corticosteroidi può comportare un rischio aggiuntivo [vedi Avvertimenti e precauzioni ].

Velocità di crescita ridotta

I pazienti devono essere informati che i corticosteroidi per via orale per via orale, inclusi i respule di Pulmicort, possono causare una riduzione della velocità di crescita quando somministrati a pazienti pediatrici. Gli operatori sanitari dovrebbero seguire da vicino la crescita di bambini e adolescenti che prendono corticosteroidi per qualsiasi percorso [vedi Avvertimenti e precauzioni ].

Effetti oculari

L'uso a lungo termine di corticosteroidi inalati può aumentare il rischio di alcuni problemi oculari (cataratta o glaucoma); Gli esami oculistici regolari dovrebbero essere considerati [vedi Avvertimenti e precauzioni ].

Usa quotidianamente

I pazienti dovrebbero essere consigliati di utilizzare i respule di pulmicort a intervalli regolari una o due volte al giorno poiché la sua efficacia dipende dall'uso regolare. Il massimo beneficio non può essere raggiunto per 4-6 settimane o più dopo il trattamento. Se i sintomi non migliorano in quel lasso di tempo o se la condizione peggiora i pazienti devono essere istruiti a contattare il proprio professionista sanitario.

Vedere le informazioni e le istruzioni di accompagnamento per l'uso.

Tossicologia non clinica

Mutagenesi della carcinogenesi compromissione della fertilità

In uno studio di due anni sui ratti Sprague-Dawley, la Budsonide ha causato un aumento statisticamente significativo dell'incidenza dei gliomi nei ratti maschi a una dose orale di 50 mcg/kg (rispettivamente circa 0,5 e 0,1 volte il MRHDID negli adulti e nei bambini da 12 mesi a 8 anni di età su un MCG/m²). No tumorigenicity was seen in male rats at oral doses up to 25 mcg/kg (approximately 0.2 and 0.04 times respectively the MRHDID in adults and children 12 months to 8 years of age on a mcg/m² basis) and in female rats at oral doses up to 50 mcg/kg (approximately 0.5 and 0.1 times respectively MRHDID in adults and children 12 months to 8 years of age on a mcg/m² base). In due ulteriori studi di due anni sui ratti di Fischer e Sprague-Dawley maschili non hanno causato gliomi a una dose orale di 50 mcg/kg (rispettivamente circa 0,5 e 0,1 volte l'MRHDID negli adulti e nei bambini da 12 mesi a 8 anni di età su un MCG/m²). Tuttavia, nei ratti di Sprague-Dawley maschili, la Budsonide ha causato un aumento statisticamente significativo dell'incidenza dei tumori epatocellulari a una dose orale di 50 mcg/kg (circa 0,5 e 0,1 volte rispettivamente il MRHDID negli adulti e nei bambini da 12 mesi a 8 anni di età su una base MCG/m). I corticosteroidi di riferimento concomitante (prednisolone e triamcinolone acetonide) in questi due studi hanno mostrato risultati simili.

In uno studio di 91 settimane sui topi budesonide non ha causato cancerogenicità correlata al trattamento a dosi orali fino a 200 mcg/kg (approssimativamente equivalente e rispettivamente 0,1 volte il MRHDID negli adulti e nei bambini da 12 mesi a 8 anni di età su una base MCG/m²).

La budesonide non era mutagenica o clastogena in sei diversi sistemi di test: Ames Salmonella Test del micronucleo del topo del topo del topo del topo Test del cromosoma Test di aberrazione del cromosoma Test di aberrazione dei linfociti umani nella coltura letale recessiva legata al sesso nella Drosophila melanogaster e analisi della riparazione della DNA nella coltura degli epatociti di ratto.

La fertilità e le prestazioni riproduttive non sono state influenzate nei ratti a dosi sottocutanee fino a 80 mcg/kg approssimativamente equivalenti al MRHDID negli adulti su base MCG/m². Tuttavia, ha causato una diminuzione della vitalità prenatale e della vitalità nei cuccioli alla nascita e durante l'allattamento insieme a una diminuzione del guadagno di peso corporeo materno a dosi sottocutanee di 20 mcg/kg e al di sopra di circa 0,2 volte rispetto al mRHDID negli adulti su base MCG/m². Non sono stati osservati tali effetti a 5 mcg/kg (circa 0,05 volte il MRHDID negli adulti su base MCG/m²).

Utilizzare in popolazioni specifiche

Gravidanza

Riepilogo del rischio

Non ci sono studi adeguati ben controllati su respule di polmicort nelle donne in gravidanza. Tuttavia, ci sono studi pubblicati sull'uso di budesonide, il principio attivo nei respule di Pulmicort nelle donne in gravidanza. Negli studi sulla riproduzione degli animali la budesonide somministrata dalla via sottocutanea ha causato anomalie strutturali è stata embriocidentale e ridotto i pesi fetali nei ratti e nei conigli a meno della dose di inalazione giornaliera umana massima (MRHDID) ma questi effetti non sono stati osservati nei ratti che hanno ricevuto una dosi inalata circa 2 volte l'MRHDID (vedi Dati ). Gli studi sulle donne in gravidanza non hanno dimostrato che la budesonide inalata aumenta il rischio di anomalie quando somministrate durante la gravidanza. L'esperienza con corticosteroidi orali suggerisce che i roditori sono più inclini alle anomalie strutturali dell'esposizione ai corticosteroidi rispetto all'uomo.

Non è noto il rischio di background stimato di importanti difetti alla nascita e aborto delle popolazioni indicate. Nella popolazione generale degli Stati Uniti il ​​rischio di background stimato di gravi difetti alla nascita e aborto spontaneo nelle gravidanze clinicamente riconosciute è rispettivamente dal 2% al 4% e dal 15% al ​​20%.

Considerazioni cliniche

Rischio materno e/o embrione/o fetale associato alla malattia

Nelle donne con asma scarsamente o moderatamente controllato c'è un aumentato rischio di diversi esiti avversi perinatali come la preeclampsia nella madre e la prematurità a basso peso alla nascita e piccoli per l'età gestazionale nel neonato. Le donne in gravidanza con asma dovrebbero essere attentamente monitorate e i farmaci adeguati, se necessario per mantenere un controllo ottimale dell'asma.

Manodopera o parto

Non ci sono studi umani ben controllati che hanno studiato gli effetti dei respule di Pulmicort durante il travaglio e il parto.

Dati

Dati umani

Gli studi sulle donne in gravidanza non hanno dimostrato che la budesonide inalata aumenta il rischio di anomalie quando somministrate durante la gravidanza. I risultati di un ampio studio epidemiologico di coorte prospettico basato sulla popolazione che riesaminano i dati di tre registri svedesi che coprono circa il 99% delle gravidanze dal 1995-97 (cioè registro delle nascite mediche svedesi; Registro delle malformazioni congenite; Registro della cardiologia del bambino) non indicano alcun rischio maggiore per il rischio di malinformazioni congenite dall'uso dell'hudenide infittura durante la gravidanza precoce. Le malformazioni congenite sono state studiate nei bambini del 2014 nati da madri che hanno riferito dell'uso di budesonide inalato per l'asma all'inizio della gravidanza (di solito 10-12 settimane dopo l'ultimo periodo mestruale) del periodo in cui si verificano la maggior parte delle principali malformazioni degli organi. Il tasso di malformazioni congenite registrate era simile rispetto al tasso di popolazione generale (rispettivamente 3,8% contro 3,5%). Inoltre, dopo l'esposizione alla budesonide inalata, il numero di neonati nati con fessure orofacciali era simile al numero previsto nella popolazione normale (rispettivamente 4 bambini contro 3,3).

Questi stessi dati sono stati utilizzati in un secondo studio che portava il totale a 2534 neonati le cui madri sono state esposte alla budesonide inalata. In questo studio il tasso di malformazioni congenite tra i bambini le cui madri sono state esposte alla budesonide inalata durante la gravidanza precoce non era diverso dal tasso per tutti i neonati durante lo stesso periodo (NULL,6%).

Dati sugli animali

In uno studio sulla fertilità e sulla riproduzione, i ratti maschi sono stati sottoposti a dosaggio per 9 settimane e femmine per 2 settimane prima dell'abbinamento e durante il periodo di accoppiamento. Le femmine furono dososte fino a quando lo svezzamento della loro prole. La budesonide ha causato una diminuzione della vitalità prenatale e della vitalità nei cuccioli alla nascita e durante l'allattamento insieme a una diminuzione del guadagno di peso corporeo materno a dosi 0,2 volte il mRHDID (su base MCG/m² a dosi sottocutanee materne di 20 mcg/kg/giorno e oltre). Non sono stati osservati tali effetti a una dose 0,05 volte il MRHDID (su base MCG/m² a una dose sottocutanea materna di 5 mcg/kg/giorno).

In uno studio di sviluppo embrionale-fete di conigli in gravidanza dosati durante il periodo di organogenesi dai giorni di gestazione 6-18 la budesonide ha prodotto la perdita fetale ridotta di peso fetale e anomalie scheletriche a dosi 0,5 volte la mRHDID (su un mCG/m²-basi a un dose sottocutaneo materno di 25 mcg/kg/day). In uno studio di sviluppo embrionale-fetale nei ratti in gravidanza dosati durante il periodo di organogenesi dai giorni di gestazione 6-15 la budesonide ha prodotto effetti fetali avversi simili a dosi circa 5 volte il mRHDID (su una base di MCG/m² in una dose sottocutanea materna di 500 mcg/kg/giorno). In un altro studio di sviluppo embrionale-fetale nei ratti in gravidanza, non sono state osservate anomalie strutturali o effetti embriocidali a dosi circa 2 volte il mRHDID (su base MCG/m² a dosi di inalazione materna fino a 250 mcg/kg/giorno).

In uno studio di sviluppo post-natale per-e post-natale i ratti dosati dal Giorno della Gestazione 15 al Giorno del Postpartum 21, la Budesonide non ha avuto effetti sulla consegna ma hanno avuto un effetto sulla crescita e sullo sviluppo della prole. La sopravvivenza della prole è stata ridotta e la prole sopravvissuta ha ridotto i pesi corporei medi alla nascita e durante l'allattamento a dosi inferiori a 0,2 volte la mRHDID e più in alto (su una base di MCG/m² a dosi sottocutanee materne di 20 mcg/kg/giorno e superiore). Questi risultati si sono verificati in presenza di tossicità materna.

Lattazione

Riepilogo del rischio

Non ci sono dati disponibili sugli effetti dei respule di Pulmicort sul bambino allattato al seno o sulla produzione di latte. Budesonide come altri corticosteroidi inalati è presente nel latte umano [vedi Dati ]. The developmental and health benefits of breastfeeding should be considered along with the mother’s clinical need for Pulmicort Respules and any potential adverse effects on the breastfed infant from Pulmicort Respules or from the underlying maternal condition.

Dati

I dati umani con budesonide consegnati tramite inalatore in polvere secca indicano che la dose orale giornaliera totale di budesonide disponibile nel latte materno al bambino è di circa lo 0,3% e l'1% della dose inalata dalla madre [vedi Farmacologia clinica ].

Uso pediatrico

La sicurezza ed efficacia nei bambini da sei mesi a 12 mesi è stata valutata ma non stabilita. Sicurezza ed efficacia nei bambini sono stati stabiliti da 12 a 8 anni [vedi Farmacologia clinica Reazioni avverse ].

È stato condotto uno studio di 12 settimane in 141 pazienti pediatrici da 6 a 12 mesi con asma da lieve a moderato o sibilante ricorrente/persistente. Tutti i pazienti sono stati randomizzati a ricevere 0,5 mg o 1 mg di respule di Pulmicort o placebo una volta al giorno. La funzione dell'asse surrenale è stata valutata con un test di stimolazione ACTH all'inizio e alla fine dello studio e i cambiamenti medi rispetto al basale in questa variabile non hanno indicato la soppressione surrenale nei pazienti che hanno ricevuto respule di polmicort rispetto al placebo. Tuttavia, su base individuale 7 pazienti in questo studio (6 nei bracci di trattamento dei respule di Pulmicort e 1 nel braccio placebo) hanno sperimentato un passaggio dall'avere un normale livello di cortisolo stimolato ad avere un livello subnormale alla settimana 12 [vedi Farmacologia clinica ]. Pneumonia was observed more frequently in patients treated with Pulmicort Respules than in patients treated with placebo (N = 2 1 and 0) in the Pulmicort Respules 0,5 mg 1 mg and placebo groups respectively.

In questo studio di 12 settimane è stato notato anche un effetto dose-dipendente sulla crescita. I bambini nel braccio placebo hanno registrato una crescita media di 3,7 cm in 12 settimane rispetto a 3,5 cm e 3,1 cm nei bracci di Pulmicort rispettivamente da 0,5 mg e 1 mg. Ciò corrisponde a riduzioni medie stimate (IC 95%) nella velocità di crescita di 12 settimane tra il placebo e il Pulmicort respule da 0,5 mg di 0,2 cm (da -0,6 a 1,0) e tra il placebo e il Pulmicort respule 1 mg di 0,6 cm (-0,2 a 1,4). Questi risultati supportano che l'uso di respule di polmicort nei neonati da 6 a 12 mesi di età può provocare effetti sistemici e sono coerenti con i risultati della soppressione della crescita in altri studi con corticosteroidi per inalazione.

Studi clinici controllati hanno dimostrato che i corticosteroidi inalati possono causare una riduzione della velocità di crescita nei pazienti pediatrici. In questi studi la riduzione media della velocità di crescita era di circa un centimetro all'anno (intervallo da 0,3 a 1,8 cm all'anno) e sembra essere correlata alla dose e alla durata dell'esposizione. Questo effetto è stato osservato in assenza di prove di laboratorio di soppressione dell'asse-surrenale-ipotalamo-ipofisi (HPA) che suggerisce che la velocità di crescita è un indicatore più sensibile dell'esposizione sistemica del corticosteroide in pazienti pediatrici rispetto ad alcuni test comunemente usati sulla funzione dell'Asse HPA. Gli effetti a lungo termine di questa riduzione della velocità di crescita associati ai corticosteroidi per via orale, incluso l'impatto sull'altezza finale degli adulti, sono sconosciuti. Il potenziale per raggiungere la crescita a seguito di l'interruzione del trattamento con corticosteroidi per via orale non è stato adeguatamente studiato.

In uno studio sui bambini asmatici di 5-12 anni quelli trattati con budesonide somministrati tramite un inalatore in polvere secca 200 mcg due volte al giorno (n = 311) avevano una riduzione della crescita di 1,1 centimetri rispetto a quelli che ricevono placebo (n = 418) alla fine di un anno; La differenza tra questi due gruppi di trattamento non è aumentata ulteriormente oltre tre anni di trattamento aggiuntivo. Alla fine di quattro anni i bambini trattati con l'inalatore di polvere secca di Budesonide e i bambini trattati con placebo avevano velocità di crescita simili. Le conclusioni tratte da questo studio possono essere confuse dall'uso disuguale dei corticosteroidi nei gruppi di trattamento e dall'inclusione dei dati dei pazienti che raggiungono la pubertà nel corso dello studio. La crescita dei pazienti pediatrici che ricevono corticosteroidi inalati, inclusi i respule di Pulmicort, deve essere monitorata abitualmente (ad esempio tramite stadiometria). I potenziali effetti di crescita del trattamento prolungato dovrebbero essere valutati rispetto ai benefici clinici ottenuti e ai rischi e ai benefici associati a terapie alternative. Per ridurre al minimo gli effetti sistemici dei corticosteroidi inalati, inclusi i respule del pulmicort, ogni paziente dovrebbe essere titolato alla sua dose efficace più bassa [vedi Dosaggio e amministrazione Avvertimenti e precauzioni ].

Uso geriatrico

Dei 215 pazienti in 3 studi clinici di respule di Pulmicort in pazienti adulti 65 (30%) avevano 65 anni o più mentre 22 (10%) avevano 75 anni o più. Non sono state osservate differenze complessive di sicurezza tra questi pazienti e i pazienti più giovani e altri esperienze di sorveglianza clinica o medica non hanno identificato differenze nelle risposte tra i pazienti anziani e più giovani.

Compromissione epatica

Studi farmacocinetici formali che utilizzano respule Pulmicort non sono stati condotti in pazienti con compromissione epatica. Tuttavia, poiché la budesonide è prevalentemente eliminata dalla compromissione del metabolismo epatico della funzione epatica può portare all'accumulo di budesonide nel plasma. Pertanto i pazienti con malattia epatica devono essere attentamente monitorati.

Informazioni per overdose per i respule Pulmicort

Il potenziale per effetti tossici acuti a seguito di sovradosaggio di respule di polmicort è basso. Se i corticosteroidi inalati vengono utilizzati a dosi eccessive per periodi prolungati effetti di corticosteroidi sistemici come l'ipercorticismo o la soppressione della crescita [vedi Avvertimenti e precauzioni ].

Controindicazioni per i respule Pulmicort

L'uso di Pulmicort Respules è controindicato nelle seguenti condizioni:

  • Trattamento primario dello stato asmatico o altri episodi acuti di asma in cui sono richieste misure intensive.
  • Ipersensibilità a budesonide o qualsiasi degli ingredienti di Pulmicort Respules [vedi Avvertimenti e precauzioni DESCRIZIONE Reazioni avverse ].

Farmacologia clinica for Pulmicort Respules

Meccanismo d'azione

Il budesonide è un corticosteroide antinfiammatorio che presenta una potente attività glucocorticoide e una debole attività mineralocorticoide. Nei modelli standard in vitro e animale, la Budsonide ha circa 200 volte più un'affinità più alta per il recettore glucocorticoide e una potenza anti-infiammatoria topica più alta di 1000 volte rispetto al cortisolo (dosaggio edema dell'orecchio dell'olio di croton di ratto). Poiché una misura dell'attività sistemica, la budesonide è 40 volte più potente del cortisolo quando somministrato sottocutaneamente e 25 volte più potente se somministrato per via orale nel test di involuzione del timo di ratto. Il significato clinico di questi risultati è sconosciuto.

L'attività dei respule di Pulmicort è dovuta al droga genitore budesonide. Negli studi di affinità del recettore glucocorticoide la forma 22R era due volte più attiva dell'Epimer 22S. Studi in vitro hanno indicato che le due forme di budesonide non si interconnevano.

Il meccanismo preciso delle azioni corticosteroidi sull'infiammazione nell'asma non è ben noto. L'infiammazione è un componente importante nella patogenesi dell'asma. È stato dimostrato che i corticosteroidi hanno una vasta gamma di attività inibitorie contro più tipi di cellule (ad es. Eosinofili di mastociti macrofagi e linfociti) e mediatori (ad es. Leucotrienie e citokine di istamina eicosanoidi. Le azioni antinfiammatorie dei corticosteroidi possono contribuire alla loro efficacia nell'asma.

Studi su pazienti asmatici hanno mostrato un rapporto favorevole tra attività anti-infiammatorie topiche e effetti di corticosteroidi sistemici su un'ampia gamma di dose di budesonide inalato in una varietà di formulazioni e sistemi di rilascio, tra cui una polvere secca a secco a più dose di inalazione e la sospensione dell'inalazione per la nebiscizzazione. Ciò è spiegato da una combinazione di un effetto antinfiammatorio locale relativamente elevato esteso degrado epatico del primo passaggio del farmaco assorbito per via orale (85-95%) e la bassa potenza dei metaboliti (vedi sotto ).

Farmacodinamica

Gli effetti terapeutici delle dosi convenzionali di budesonide per via orale sono ampiamente spiegati dalla sua azione locale diretta sul tratto respiratorio. Per confermare che l'assorbimento sistemico non è un fattore significativo nell'efficacia clinica della budesonide inalata Uno studio clinico su pazienti adulti con asma è stato eseguito confrontando 400 mcg di budesonide somministrato tramite un inalatore a dose misurata pressurizzata con un distanziale di tubo a 1400 mcg di budeonide orale e placebo. Lo studio ha dimostrato l'efficacia della budesonide inalata ma non la budesonide somministrata per via orale anche se l'esposizione sistemica della budesonide era comparabile per entrambi i trattamenti che indicano che il trattamento per inalazione funziona localmente nel polmone. Pertanto, l'effetto terapeutico delle dosi convenzionali di budesonide per via orale è ampiamente spiegato dalla sua azione diretta sul tratto respiratorio.

Il miglioramento del controllo dei sintomi dell'asma a seguito dell'inalazione di respule di polmicort può verificarsi entro 2-8 giorni dall'inizio del trattamento, sebbene il massimo beneficio non possa essere raggiunto per 4-6 settimane.

La budesonide somministrata tramite un inalatore in polvere secca è stata dimostrata in vari modelli di sfida (tra cui il metabisolfito di sodio di metacolina di istamina e il monofosfato di adenosina) per ridurre l'iperresponsività bronchiale nei pazienti asmatici. La rilevanza clinica di questi modelli non è certa.

Il pretrattamento con budesonide somministrato come 1600 mcg al giorno (800 mcg due volte al giorno) tramite un inalatore in polvere secca per 2 settimane ha ridotto la diminuzione della reazione acuta (reazione in fase precoce) e la diminuzione ritardata (reazione in fase tardiva) in FEV 1 A seguito di una sfida per allergeni inalata.

Effetti dell'asse HPA

Gli effetti dei respule di polmicort sugli asse ipotalamo-ipofisi-surrene (HPA) sono stati studiati in tre studi controllati da placebo in doppio cieco di 12 settimane in 293 pazienti pediatrici da 6 mesi a 8 anni con asma persistente. Per la maggior parte dei pazienti la capacità di aumentare la produzione di cortisolo in risposta allo stress valutato dal test di stimolazione della cosyntropina breve (ACTH) è rimasta intatta con il trattamento dei respule di polmicort a dosi raccomandate. Nel sottogruppo di bambini di età compresa tra 6 mesi e 2 anni (n = 21) che riceve una dose giornaliera totale di respule di polmicort equivalente a 0,25 mg (n = 5) 0,5 mg (n = 5) 1 mg (n = 8) o placebo (n = 3) La variazione media dal basale in base al raggio di cortisole ha mostrato un declino nel picco stimolato in cornisol a 12 settimane rispetto a un placebo (n = 3) il cambiamento medio dal basale in base al cornisol in stimolato con il declino del picco stimolato con il raggruppamento a 12 settimane rispetto a un placebo (n = 3) il cambiamento medio dal basale in ACTH-stimolato i livelli di cortisolo hanno mostrato un declino nel picco stimolato in corrisol a 12 settimane rispetto a un placebo (n = 3) il cambiamento medio dalla linea basale in livelli di cortisolo in stimolato con ACTH. Queste differenze medie non erano statisticamente significative rispetto al placebo. È stato condotto un altro studio di 12 settimane in 141 pazienti pediatrici da 6 a 12 mesi con asma da lieve a moderato o sibilante ricorrente/persistente. Tutti i pazienti sono stati randomizzati a ricevere 0,5 mg o 1 mg di respule di Pulmicort o placebo una volta al giorno. Un totale di 28 17 e 31 pazienti nei Pulmicort Respules 0,5 mg 1 mg e le armi placebo hanno rispettivamente una valutazione dei livelli sierici di cortisolo dopo la stimolazione del basale sia al basale che alla fine dello studio. Il cambiamento medio dal basale alla settimana 12 meno stimolato dall'acth i livelli di cortisolo basale non indicavano la soppressione surrenale nei pazienti trattati con respule di polmicort rispetto al placebo. Tuttavia, 7 pazienti in questo studio (4 dei quali hanno ricevuto Pulmicort Respules 0,5 mg 2 dei quali hanno ricevuto Pulmicort Respules 1 mg e 1 dei quali hanno ricevuto placebo) hanno mostrato uno spostamento dal normale livello di cortisolo stimolato basale (≥500 nmol/L) a un livello subnormale (a un livello subnormale ( <500 nmol/L) at Week 12. In 4 of these patients receiving Pulmicort Respules the cortisol values were near the cutoff value of 500 nmol/L.

Gli effetti dei respule di Pulmicort a dosi di 0,5 mg due volte al giorno e 1 mg e 2 mg due volte al giorno (rispettivamente 2 volte e 4 volte la dose giornaliera totale più alta raccomandata su un design di studio di dose di dose, rispettivamente a 24 ore di dose di cortisolo (6 settimane di trattamento del trattamento per il trattamento). Si è verificata una riduzione della dose nell'escrezione di cortisolo urinario a 2 e 4 volte la dose giornaliera raccomandata. Le due dosi più elevate di respule di Pulmicort (1 e 2 mg due volte al giorno) hanno mostrato un'escrezione di cortisolo urinaria statisticamente ridotta (43-52%) rispetto al periodo di corsa. La dose più alta raccomandata di Pulmicort Respules 1 mg di dose giornaliera totale non ha mostrato un'escrezione di cortisolo urinaria statisticamente ridotta rispetto al periodo di corsa.

Pulmicort Respules like other inhaled corticosteroid products may impact the HPA axis especially in susceptible individuals in younger children and in patients given high doses for prolonged periods [see Avvertimenti e precauzioni ].

Farmacocinetica

Assorbimento

Nei bambini asmatici di 4-6 anni la biodisponibilità assoluta totale (cioè orale polmonare) dopo la somministrazione di respule di Pulmicort tramite nebulizzatore a getto era di circa il 6% della dose etichettata.

Nei bambini una concentrazione plasmatica di picco di 2,6 nmol/L è stata ottenuta circa 20 minuti dopo la nebulizzazione di una dose di 1 mg. L'esposizione sistemica misurata da AUC e CMAX è simile per i bambini piccoli e gli adulti dopo l'inalazione della stessa dose di respule di polmicort.

Distribuzione

Nei bambini asmatici di 4-6 anni il volume di distribuzione allo stato stazionario di budesonide era di 3 l/kg circa lo stesso degli adulti sani. La budesonide è dell'85-90% legata alle proteine ​​plasmatiche, il grado di legame è costante nell'intervallo di concentrazione (1-100 nmol/L) ottenuto con dosi raccomandate. La budesonide ha mostrato poco o nessun legame con la globulina legante la corticosteroidi. Budesonide si equilibra rapidamente con i globuli rossi in modo indipendente dalla concentrazione con un rapporto di sangue/plasma di circa 0,8.

Metabolismo

Studi in vitro con omogenati epatici umani hanno dimostrato che la budesonide è metabolizzata rapidamente ed ampiamente. Due importanti metaboliti formati tramite biotrasformazione catalizzata del citocromo P450 (CYP) sono stati isolati e identificati come 16α-idrossiprednisolone e 6β-idrossibudesonide. L'attività corticosteroide di ciascuno di questi due metaboliti è inferiore all'1% di quella del composto genitore. Non è stata rilevata alcuna differenza qualitativa tra i modelli metabolici in vivo e in vivo. L'inattivazione metabolica trascurabile è stata osservata nei preparativi polmoni e sierici umani.

Escrezione/eliminazione

La budesonide è eliminata principalmente dal fegato. La budesonide viene escreta nelle urine e nelle feci sotto forma di metaboliti. Negli adulti è stato recuperato circa il 60% di una dose endovenosa radiomarcata nelle urine. Non è stato rilevato alcun budesonide invariato nelle urine.

Nei bambini asmatici di 4-6 anni l'emivita terminale di budesonide dopo la nebulizzazione è di 2,3 ore e la clearance sistemica è di 0,5 l/min, che è circa il 50% maggiore rispetto agli adulti sani dopo aggiustamenti per le differenze di peso.

Popolazioni speciali

Non sono state identificate differenze nella farmacocinetica dovuta al genere o all'età della razza.

Insufficienza epatica

La ridotta funzione epatica può influire sull'eliminazione dei corticosteroidi. La farmacocinetica della budesonide è stata influenzata dalla compromessa funzione epatica, come evidenziato da una disponibilità sistemica raddoppiata dopo l'ingestione orale. La farmacocinetica per via endovenosa di budesonide era tuttavia simile nei pazienti cirrotici e negli adulti sani.

Quante volte posso usare Nasonex
Madri infermieristiche

La disposizione di budesonide se consegnata dall'inalazione da un inalatore di polvere secca a dosi di 200 o 400 mcg due volte al giorno per almeno 3 mesi è stata studiata in otto donne in allattamento con asma da 1 a 6 mesi dopo il parto. L'esposizione sistemica alla budesonide in queste donne sembra essere paragonabile a quella nelle donne non in delegname con asma da altri studi. Il latte materno ottenuto oltre otto ore dopo la dose ha rivelato che la massima concentrazione di budesonide per le dosi da 400 e 800 mcg era rispettivamente di 0,39 e 0,78 nmol/L e si è verificata entro 45 minuti dal dosaggio. La dose giornaliera orale stimata di budesonide dal latte materno al bambino è di circa 0,007 e 0,014 mcg/kg/giorno per i due regimi di dose utilizzati in questo studio che rappresenta circa lo 0,3% all'1% della dose inalata dalla madre. I livelli di budesonide nei campioni plasmatici ottenuti da cinque bambini a circa 90 minuti dopo l'allattamento (e circa 140 minuti dopo la somministrazione di farmaci alla madre) erano al di sotto dei livelli quantificabili ( <0.02 nmol/L in four infants and <0.04 nmol/L in one infant) [see Utilizzare in popolazioni specifiche ].

Interazioni farmaco-farmaco

Inibitori degli enzimi del citocromo p450

Ketoconazolo

Ketoconazolo a strong inhibitor of cytochrome P450 (CYP) isoenzyme 3A4 (CYP3A4) the main metabolic enzyme for corticosteroidi increased plasma levels of orally ingested budesonide [see Avvertimenti e precauzioni Interazioni farmacologiche ].

Cimetidina

A dosi raccomandate cimetidina un inibitore non specifico degli enzimi del CYP ha avuto un effetto lieve ma clinicamente insignificante sulla farmacocinetica della budesonide orale.

Studi clinici

Tre studi clinici randomizzati per il gruppo parallelo in doppio cieco in doppio cieco di durata di 12 settimane sono stati condotti ciascuno in 1018 pazienti pediatrici da 6 mesi a 8 anni di 657 maschi e 361 femmine (798 caucasici 140 neri 56 Hisanics 3 altri 21) con persistente asma di durata della malattia vari (2 a 107 mesi). Dosi di 0,25 mg 0,5 mg e 1 mg somministrate una o due volte al giorno sono state confrontate con il placebo per fornire informazioni sul dosaggio appropriato per coprire una gamma di gravità dell'asma. Un nebulizzatore PARI-LC-JET Plus (con una maschera o un bocchino) collegato a un compressore Master Pari è stato usato per consegnare respule di polmicort ai pazienti nei 3 studi clinici controllati negli Stati Uniti. Gli endpoint co-primari erano i punteggi dei sintomi dell'asma notturni e diurni (scala 0-3). Sono stati affrontati miglioramenti in termini di variabili di efficacia primaria delle variazioni dal basale al periodo di trattamento in doppio cieco nei punteggi dei sintomi dell'asma notturna e diurna (scala 0-3) come registrato nei diari del paziente. La linea di base è stata definita come la media degli ultimi sette giorni prima della randomizzazione). Il periodo di trattamento in doppio cieco è stato definito come il periodo di trattamento medio per 12 settimane. Ognuna delle cinque dosi discusse di seguito sono state studiate in uno o due ma non tutti e tre gli studi degli Stati Uniti.

I risultati dei 3 studi clinici controllati per i dosaggi raccomandati di sospensione per inalazione di budesonide (da 0,25 mg a 0,5 mg una o due volte al giorno o 1 mg una volta al giorno fino a una dose giornaliera totale di 1 mg) in 946 pazienti da 12 mesi a 8 anni di età. Sono state osservate diminuzioni statisticamente significative nei punteggi dei sintomi diurna e diurna dell'asma a dosi di respule di Pulmicort di 0,25 mg una volta al giorno (uno studio) 0,25 mg due volte al giorno e 0,5 mg due volte al giorno rispetto al placebo. L'uso di respule di Pulmicort ha comportato una riduzione statisticamente significativa nei punteggi dei sintomi notturni o diurni, ma non sia a dosi di 1 mg una volta al giorno e 0,5 mg una volta al giorno (uno studio). La riduzione dei sintomi in risposta ai respule di Pulmicort si è verificata attraverso il genere e l'età. Riduzioni statisticamente significative della necessità di terapia broncodilatatrice sono state anche osservate a tutte le dosi di respule di Pulmicort studiate.

I miglioramenti nella funzione polmonare sono stati associati a respule di Pulmicort nel sottogruppo di pazienti in grado di eseguire test di funzionalità polmonare. Sono stati osservati aumenti statisticamente significativi in ​​FEV [Pulmicort Respules 0,5 mg una volta al giorno e 1 mg una volta al giorno (uno studio); 0,5 mg due volte al giorno] e PEF mattutino [Pulmicort Responle 1 mg una volta al giorno (uno studio); 0,25 mg due volte al giorno; 0,5 mg due volte al giorno] rispetto al placebo.

È stata osservata una riduzione numerica dei punteggi dei sintomi notturni e diurni (scala 0-3) di asma entro 2-8 giorni, sebbene il massimo beneficio non sia stato ottenuto per 4-6 settimane dopo l'avvio del trattamento. La riduzione dei punteggi dei sintomi dell'asma notturno e diurno è stata mantenuta durante le 12 settimane delle prove in doppio cieco.

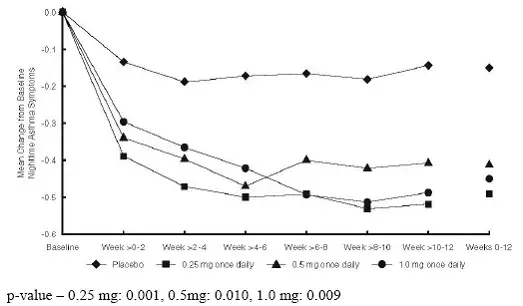
Pazienti che non hanno ricevuto terapia corticosteroide inalata

L'efficacia dei respule di Pulmicort a dosi di 0,25 mg 0,5 mg e 1 mg una volta al giorno è stata valutata in 344 pazienti pediatrici da 12 mesi a 8 anni di età con asma persistente da lieve a moderato (punteggi medi di sintomi notturni dei broncodilatatori da solo. I cambiamenti dal basale a settimane 0-12 nei punteggi dei sintomi dell'asma notturno sono mostrati nella Figura 1. I punteggi dei sintomi dell'asma notturno hanno mostrato una riduzione statisticamente significativa nei pazienti trattati con respule di polmicort rispetto al placebo. Sono state anche osservate diminuzioni simili per i punteggi dei sintomi dell'asma diurna.

Le variazioni dal basale a una fase in doppio cieco per i gruppi di trattamento della budesonide rispetto al placebo sono state apportate utilizzando l'analisi delle tecniche di varianza. Il modello includeva termini per i rispettivi cambiamenti dal basale come variabile dipendente e termini per il centro di trattamento e il trattamento per interazione centrale come variabili esplorative (vedere le figure 1-3).

Figura 1: uno studio di 12 settimane in pazienti pediatrici non in terapia corticosteroidi inalata prima dell'ingresso dello studio. Cambio di asma notturno dal basale

Pazienti precedentemente mantenuti su corticosteroidi inalati

L'efficacia dei respule di Pulmicort a dosi di 0,25 mg e 0,5 mg due volte al giorno è stata valutata in 133 pazienti pediatrici di asma da 4 a 8 anni di età precedentemente mantenuti su corticosteroidi inalati (FEV medio 1 79,5% previsto; I punteggi dei sintomi dell'asma notturno medio di base dei gruppi di trattamento variavano da 1,04 a 1,18; dose di base media di beclometasone dipropionato di 265 mcg/giorno compreso tra 42 e 1008 mcg/die; dose di base media di triamcinolone acetonide di 572 mcg/giorno che vanno tra i 200 e 1200 mcg/giorno). I cambiamenti dal basale alle settimane 0-12 nei punteggi dei sintomi dell'asma notturno sono mostrati nella Figura 2. I punteggi dei sintomi dell'asma notturno hanno mostrato una riduzione statisticamente significativa dei pazienti trattati con respule di polmicort rispetto al placebo. Sono state anche osservate diminuzioni simili per i punteggi dei sintomi dell'asma diurna.

Aumenti statisticamente significativi di FEV 1 Rispetto al placebo è stato osservato con i respule di Pulmicort alla dose di 0,5 mg due volte al giorno e nella PEF mattutina per entrambe le dosi (NULL,25 mg e 0,5 mg due volte al giorno).

Figura 2: uno studio di 12 settimane in pazienti pediatrici precedentemente mantenuti su terapia corticosteroidi inalata prima dell'ingresso dello studio. Cambio di asma notturno dal basale

Pazienti che ricevono un dosaggio una volta al giorno o due volte al giorno

L'efficacia dei respule di Pulmicort a dosi di 0,25 mg una volta al giorno 0,25 mg due volte al giorno 0,5 mg due volte al giorno e 1 mg una volta al giorno è stata valutata in 469 pazienti pediatrici da 12 mesi a 8 anni (i punteggi medi di sintomi notturni degli asma di base dei gruppi di trattamento variavano da 1,13 a 1,31). Circa il 70% non avevano precedentemente ricevuto corticosteroidi per inalazione. Le variazioni dal basale a settimane 0-12 nei punteggi dei sintomi dell'asma notturno sono mostrati nella Figura 3. Pulmicort Respules a dosi di 0,25 mg e 0,5 mg due volte al giorno e 1 mg una volta al giorno hanno dimostrato una riduzione statisticamente significativa nei punteggi dei sintomi dell'asma notturno rispetto al placebo. Sono state anche osservate diminuzioni simili per i punteggi dei sintomi dell'asma diurna.

Pulmicort Respules at a dose of 0,5 mg twice daily resulted in statistically significant increases compared to placebo in FEV 1 e a dosi di 0,25 mg e 0,5 mg due volte al giorno e 1 mg una volta al giorno aumenti statisticamente significativi della PEF mattutina.

Le prove supportano l'efficacia della stessa dose nominale di Respule di Pulmicort somministrate su un programma una volta al giorno o due volte al giorno. Tuttavia, quando tutte le misure sono considerate insieme, le prove sono più forti per il dosaggio due volte al giorno [vedi Dosaggio e amministrazione ].

Figura 3: uno studio di 12 settimane su pazienti pediatrici mantenuti solo sui broncodilatatori o sulla terapia corticosteroide inalata prima dell'ingresso dello studio. Cambio di asma notturno dal basale

Informazioni sul paziente per i respule di Pulmicort

Pulmicort Respules
(Hebe SW può aver bisogno ().
(budesonide) sospensione per inalazione

2 ml di ampule contenenti 0,25 mg 0,5 mg o 1 mg

Solo per inalazione.

Non deglutire.

Utilizzare solo i respule Pulmicort con una macchina per nebulizzatore a getto collegato a un compressore d'aria. Non utilizzare con un nebulizzatore ad ultrasuoni.

Leggi le informazioni sul paziente fornite con Pulmicort Respules prima che il bambino inizi a usarlo e ogni volta che si ottiene una ricarica. Potrebbero esserci nuove informazioni. Queste informazioni non prendono il posto di parlare con il proprio medico delle condizioni mediche o del trattamento di tuo figlio. In caso di domande su Pulmicort Respules, chiedi al tuo operatore sanitario o al farmacista.

Cos'è Pulmicort Respules?

Pulmicort Respules is an inhaled corticosteroid medicine. Pulmicort Respules is a long-term maintenance medicine used to control and prevent asthma symptoms in children ages 12 months to 8 years.

I corticosteroidi inalati aiutano a ridurre l'infiammazione nei polmoni. L'infiammazione nei polmoni può portare a sintomi dell'asma. Pulmicort Respules aiuta a ridurre il gonfiore e l'infiammazione nei polmoni e aiuta a mantenere aperte le vie aeree per ridurre i sintomi dell'asma.

Pulmicort Respules does not treat the sudden symptoms (wheezing tosse shortness of breath and dolore al petto or tightness) of an asthma attack. Always have a short-acting beta -agonist medicine (rescue inhaler) with you to treat sudden symptoms. If your child does not have an inhaled short-acting bronchodilator ask your healthcare provider to have one prescribed for your child.

Non è noto se Pulmicort Respules è sicuro o efficace nei bambini di età inferiore ai 12 mesi o più di 8 anni.

Chi non dovrebbe usare i respule Pulmicort?

NON UTILIZZARE LE RESPULE PULMICORT:

  • Per curare improvvisi sintomi di asma
  • Se il bambino è allergico a budesonide o a uno qualsiasi degli ingredienti nei respule di Pulmicort. Vedi la fine di questo opuscolo per un elenco completo di ingredienti in Pulmicort Respules.

Cosa dovrei dire al mio operatore sanitario prima di usare Pulmicort Respules?

Prima che il bambino usi Pulmicort Respules Dì al tuo medico se il bambino:

  • ha un'allergia. Vedi la sezione che non dovrebbe usare Pulmicort Respules? Esiste un elenco completo di ingredienti in Pulmicort Respules alla fine di questo opuscolo.
  • ha o recentemente avere vaioli o morbillo o recentemente è stato vicino a chiunque abbia vaiolo o morbillo.
  • ha o ha avuto la tubercolosi del tratto respiratorio.
  • ha alcuni tipi di infezioni che non sono state trattate tra cui:
  • infezioni fungine
  • infezioni batteriche
  • infezioni virali
  • Infezioni parassita
  • infezione da herpes simplex dell'occhio (herpes simplex oculare)

Pulmicort Respules may not be right for children who have had any of these types of infections.

  • ha ridotto la densità minerale ossea (resistenza ossea). Il tuo bambino è a rischio di riduzione della densità minerale ossea se lui o lei:
    • è inattivo per un lungo periodo di tempo
    • ha una storia familiare di osteoporosi
    • non mangia bene (cattiva nutrizione)
    • Prende medicinali di assottigliamento osseo (come medicinali anticonvulsivanti o corticosteroidi) per lungo tempo.
  • Ha un problema agli occhi come l'aumento della pressione nel glaucoma o nella cataratta.
  • ha problemi epatici.
  • sta pianificando di sottoporsi a un intervento chirurgico.
  • ha altre condizioni mediche.
  • è incinta o prevede di rimanere incinta. Non è noto se Pulmicort Respules danneggerà il tuo bambino non ancora nato.
  • è l'allattamento o i piani per l'allattamento al seno. Pulmicort Respules può passare nel latte materno. Tu e il tuo operatore sanitario dovreste decidere se userete Pulmicort Respules o alimentazione.

Dì al tuo operatore sanitario di tutti i medicinali che il tuo bambino prende, compresi vitamine di medicinali da prescrizione e non prescrizione. L'uso dei respule di Pulmicort con alcuni altri medicinali può influenzare reciproci causando effetti collaterali. Soprattutto dì al tuo operatore sanitario se il tuo bambino prende:

  • corticosteroidi
  • medicina anti-sequestro (anticonvulsirants)
  • medicinali che sopprimono il sistema immunitario (immunosoppressore)
  • ketoconazolo (nizoral)
  • Alcuni medicinali che possono influenzare il modo in cui il tuo fegato rompe la medicina

Chiedi al tuo operatore sanitario o al farmacista un elenco di questi medicinali se non sei sicuro.

Conosci le medicine che prende il tuo bambino. Tienilo un elenco e mostralo al tuo medico e al farmacista quando tuo figlio ottiene un nuovo medicinale.

Come dovrei usare i respule di Pulmicort?

  • Usa i respule di Pulmicort esattamente come prescritto dal tuo operatore sanitario. Il bambino deve usare regolarmente i respule di polmicort perché funzioni.
  • Pulmicort Respules comes in three strengths. Your healthcare provider has prescribed the strength that is best for your child.
  • Non smettere di usare i respule di Pulmicort e non cambiare la dose di respule di Pulmicort da parte del bambino senza parlare con il proprio operatore sanitario.
  • Pulmicort Respules is for inhaled use only. Use Pulmicort Respules with a jet nebulizer connected to an air compressor set up with a mouthpiece or face mask. Do not use an ultrasonic nebulizer to give Pulmicort Respules.
  • Non mescolare i respule di polmicort con altri medicinali di nebulizzatore. Se tuo figlio usa un altro medicinale per inalazione per trattare gli asma con il proprio operatore sanitario per istruzioni su quando usare l'altro medicinale.
  • Se il tuo bambino perde una dose, dà la dose successiva regolarmente programmata quando è dovuta. Non utilizzare i respule di pulmicort più spesso di quanto non sia stato prescritto.
  • Il miglioramento del controllo dei sintomi dell'asma con i respule di polmicort può verificarsi entro 2-8 giorni. Potrebbero essere necessarie fino a 4-6 settimane prima che si verifichi il massimo miglioramento.
  • Assicurati che tuo figlio abbia sempre una medicina beta -agonista a breve durata con lui. Il bambino dovrebbe usare la medicina beta -agonista a breve durata per i problemi respiratori tra dosi di respule di polmicort o se si verifica un improvviso attacco di asma. Chiama subito il tuo medico se:
    • La medicina di salvataggio a breve durata non funziona altrettanto bene per alleviare i sintomi dell'asma.
    • Il tuo bambino deve utilizzare i medicinali di salvataggio a breve durata più spesso del solito.
    • I problemi di respirazione di tuo figlio peggiorano con i respule Pulmicort
  • Risciacquare la bocca di tuo figlio con acqua e fargli sputare l'acqua dopo ogni trattamento di Pulmicort Respules. Non ingoiare l'acqua. Ciò diminuirà la possibilità di avere un'infezione fungina (mughetto) in bocca.
  • Se il bambino ha usato corticosteroidi a lungo termine e la dose viene ora abbassata o interrotta una scheda di avvertimento, dichiarando che il bambino potrebbe aver bisogno di corticosteroidi durante i periodi di stress o durante un attacco di asma che non migliora con i medicinali del broncodilatatore.
  • Il tuo operatore sanitario può controllare la respirazione del sangue di tuo figlio e fare esami oculistici durante l'utilizzo di Pulmicort Respules.
  • Leggi le informazioni e le istruzioni del paziente per l'uso alla fine di questo opuscolo per istruzioni dettagliate su come utilizzare i respule di Pulmicort ..

Quali sono i possibili efficaci laterali OCF Pulmicort Respules?

Pulmicort Respules may cause serious side effects including:

  • Thrush (Candida) Un'infezione fungina in bocca e gola. Di 'al tuo operatore sanitario se tuo figlio ha arrossamenti o toppe di colore bianco in bocca o in gola.
  • Peggioramento dell'asma o attacchi di asma improvvisi.
  • Reazioni allergiche. Dì al tuo medico o ottieni subito assistenza medica se il bambino ha:
    • Redness o gonfiore cutaneo
    • Grave prurito
    • gonfiore della bocca e della lingua del viso
    • difficoltà a respirare o deglutire
    • dolore al petto
    • ansia (sentimento di destino)
  • Effetti del sistema immunitario e maggiori possibilità di infezioni. Il bambino ha maggiori probabilità di ottenere infezioni quando assumono medicinali che indeboliscono il sistema immunitario. I sintomi dell'infezione possono includere: dolori alla febbre dolori di brividi che si sentono stanchi nausea e vomito. Dì al tuo operatore sanitario su qualsiasi segnale di infezione mentre il bambino usa i respule di Pulmicort.
  • Insufficienza surrenale. L'insufficienza surrenale è una condizione in cui le ghiandole surrenali non producono abbastanza ormoni steroidei. I sintomi dell'insufficienza surrenale includono la debolezza della stanchezza nausea e vomito e bassa pressione sanguigna .
  • Diminuzione della densità minerale ossea (resistenza ossea). Il tuo operatore sanitario potrebbe voler controllare il bambino per questo durante il trattamento con Pulmicort Respules.
  • Problemi di crescita rallentati o ritardati. L'operatore sanitario di tuo figlio potrebbe voler monitorare la crescita di tuo figlio durante l'utilizzo di Pulmicort Respules.
  • Problemi con gli occhi tra cui glaucoma e cataratta. L'operatore sanitario di tuo figlio può suggerire esami oculistici durante l'utilizzo di Pulmicort Respules.
  • Aumento del respiro sibilante subito dopo aver assunto Pulmicort Respules. Avere sempre una medicina broncodilatatrice per inalazione ad azione rapida con te per curare il sibilante improvviso.

Chiama il tuo medico o ottieni subito assistenza medica se tuo figlio ha uno degli effetti collaterali gravi sopra elencati.

Gli effetti collaterali più comuni dei respule di Pulmicort includono:

  • infezioni respiratorie. I sintomi possono includere il naso soffocante per il naso e la gola.
  • rinorrea
  • tosse
  • infezioni virali
  • irritazione virale e infiammazione dello stomaco e dell'intestino (gastroenterite). I sintomi della gastroenterite possono includere: nausea diarrea anoria dell'area dello stomaco e
  • vomito and loss of appetite.
  • Infezioni alle orecchie
  • nascosto
  • Eye rosa (congiuntivite)
  • eruzione cutanea

Di 'al tuo operatore sanitario se tuo figlio ha qualche effetto collaterale che lo disturba o che non scompare. Per ulteriori informazioni chiedi al proprio medico o farmacista.

Chiama il tuo medico per consulenza medica sugli effetti collaterali. È possibile segnalare gli effetti collaterali su Astrazeneca al numero 1-800-236-9933 o alla FDA al numero 1-800-FDA-1088 o www.fda.gov/medwatch.

Come dovrei conservare i respule di polmicort?

  • Conservare i respule di polmicort in una posizione verticale tra 68 ° F e 77 ° F (da 20 ° C a 25 ° C).
  • Tenere i respule di polmicort nell'involucro del foglio di alluminio per proteggere dalla luce fino a quando non è pronto per l'uso.
  • Dopo aver aperto un Pulmicort Respules, dovrebbe essere usata immediatamente.
  • Pulmicort Respules ampules can be stored for 2 weeks after opening the protective aluminium foil envelope.
  • Buttare via Pulmicort Respules Ampule se non utilizzate entro 2 settimane dall'apertura della busta protettiva in foglio di alluminio.
  • Non refrigerare o congelare.

Mantieni i respule di polmicort e tutti i medicinali fuori dalla portata dei bambini.

Informazioni generali su Pulmicort Respules

Le medicine sono talvolta prescritte per condizioni diverse da quelle elencate in un volantino di informazioni sul paziente. Non utilizzare i respule di pulmicort per una condizione per la quale non è stata prescritta. Non dare respule di polmicort ad altre persone anche se hanno gli stessi sintomi che hai. Potrebbe danneggiare loro.

Questo opuscolo di informazioni sul paziente riassume le informazioni più importanti sui respule di Pulmicort. Se desideri più informazioni, parla con il tuo medico. Puoi chiedere al tuo farmacista o operatore sanitario informazioni sui respule di Pulmicort che sono scritti per gli operatori sanitari.

Per ulteriori informazioni, visitare www.pulmicortrespules.com o chiamare Astrazeneca al numero 1-800-236-9933.

Quali sono gli ingredienti nei respule di Pulmicort?

Ingrediente attivo: budesonide

Ingredienti inattivi: Disodium edeta sodio cloruro di sodio citrato citrato citrico polisorbato 80 e acqua per iniezione.

Istruzioni per il paziente per l'uso

Importante:

Pulmicort Respules is only for use with a jet nebulizer machine. Make sure you know how to use your jet nebulizer machine before your child uses Pulmicort Respules.

Pulmicort Respules is a liquid that is turned into a mist by a nebulizer and inhaled into the lungs.

La maschera per il viso deve essere adeguatamente regolata per ottimizzare la consegna ed evitare di esporre gli occhi al farmaco nebulizzato. Gli effetti del corticosteroide sulla pelle possono essere evitati se il viso viene lavato dopo l'uso di una maschera per il viso.

1. I respule di Pulmicort sono disponibili in un involucro di lamina di alluminio protettivo sigillato.

  • Non aprire la custodia sigillata fino a quando non si è pronti per usare una dose di respule di Pulmicort.
  • Apri la busta di lamina sigillata lungo la linea tratteggiata ed elimina 1 ampola a dosi singola dalla striscia. Vedi Figura 1.
  • Registra la data in cui hai aperto il foglio sul retro della busta nello spazio fornito.
  • Restituisce le ampole di Pulmicort non aperte sulla striscia nella busta del foglio prima di conservare.

Figura 1

2 scuotere delicatamente il pulmicort respules ampola usando un movimento circolare come mostrato nella Figura 2.

Figura 2

3. Tenere il pulmicort Respules Ampule in posizione verticale senza spremere l'ampola e aprire ruotando la parte superiore come mostrato nella Figura 3.

Figura 3

4. Posizionare l'estremità aperta del Pulmicort Respules Ampule nella tazza di nebulizzatore (serbatoio) e spremere lentamente tutto il medicinale dall'ampola nella tazza di medicina del nebulizzatore, come mostrato nella Figura 4. Getta via l'ampola vuota.

Figura 4

5. Usa il nebulizzatore del getto come indicato.