Le Informazioni Presenti Sul Sito Non Costituiscono Consulenza Medica. Non Vendiamo Nulla. L'Accuratezza Della Traduzione Non È Garantita. Disclaimer



Plegridy

Riepilogo della droga

Cos'è Plegridy?

L'autoiniettore plegridy (peginterferon beta-1a) è un beta-1a interferone usato per trattare i pazienti con forme recidivanti di sclerosi multipla .

Quali sono gli effetti collaterali del plegridy?

Gli effetti collaterali comuni dell'autoiniettore plegridy includono:



  • Reazioni del sito di iniezione (arrossamento del dolore gonfiore caloroso cutario contuso)
  • Malattia simile all'influenza
  • febbre
  • mal di testa
  • dolori muscolari o articolari
  • brividi
  • debolezza
  • nausea e
  • vomito

Cerca cure mediche o chiama il 911 contemporaneamente se hai i seguenti gravi effetti collaterali:



  • Sintomi di occhiali gravi come la perdita di visione improvvisa del tunnel della visione sfocata Dolore alla visione o gonfiore o vedere aloni attorno alle luci;
  • Sintomi cardiaci gravi come battiti cardiaci irregolari o martellanti veloci; svolazzando nel petto; fiato corto; e vertigini improvvise Accendino o svenire;
  • Grave mal di testa confusione Il braccio del linguaggio bloccato o la debolezza delle gambe problemi perdite perdita di coordinamento sentendoti instabili muscoli molto rigidi ad alta febbre abbondante sudorazione o tremori.

Questo documento non contiene tutti i possibili effetti collaterali e altri possono verificarsi. Verificare con il tuo medico ulteriori informazioni sugli effetti collaterali.

Dosaggio per plegridy

Il dosaggio raccomandato di plegridy è iniettato per 125 microgrammi per via sottocutanea ogni 14 giorni.



Quali sostanze o integratori di farmaci interagiscono con il plegridy?

Plegridy può interagire con altri farmaci. Dì al medico tutti i farmaci e gli integratori che usi.

Plegridy durante la gravidanza e l'allattamento

Durante la gravidanza il plegridy dovrebbe essere usato solo se prescritto. Non è noto se questo farmaco passi nel latte materno. Consulta il medico prima dell'allattamento al seno.

Ulteriori informazioni

Il nostro Centro farmacologico per gli effetti collaterali di Plegridy (Peginterferon Beta-1A) fornisce una visione completa delle informazioni disponibili sui farmaci sui potenziali effetti collaterali durante l'assunzione di questo farmaco.

Informazioni sui farmaci FDA

Descrizione per plegridy

Plegridy (peginterferon beta-1A) è un interferone beta-1a a cui una singola molecola lineare lineare Dalton (DA) Methoxy Poly (etilenglicolico) -O-2-metilpropionaldeide è covalentemente attaccata al gruppo alfa ammino del residuo di aminoacidi N-terminali.

La porzione di interferone beta-1A di plegridy è prodotta come una proteina glicosilata usando cellule di ovaio cinese geneticamente ingegnerizzate in cui è stato introdotto il gene beta dell'interferone umano. La sequenza di aminoacidi dell'interferone ricombinante beta-1A è identica a quella della controparte beta dell'interferone umano. La massa molecolare di plegridy è di circa 44000 Da in linea con la massa della proteina (circa 20000 da) le frazioni di carboidrati (circa 2500 da) e il poli (glicole etilenico). Tuttavia, a causa della natura estesa e flessibile della catena poli (etilenglicole) attaccata, l'apparente massa di plegridy in soluzione è maggiore di 300000 da. L'aumento più di 10 volte della massa apparente di plegridy rispetto all'interferone beta-1a ha dimostrato di contribuire alla ridotta spazio in vivo .

Plegridy 125 microgrammi contiene 125 microgrammi di interferone beta-1A più 125 microgrammi di poli (etilenglicole). L'uso dello standard internazionale dell'Organizzazione mondiale della sanità per l'interferone beta plegridy ha uno specifico antivirale attività di circa 100 milioni di unità internazionali (MIU) per mg di proteina determinata usando un in vitro Saggio di effetto citopatico. Plegridy 125 microgrammi contiene circa 12 miu di attività antivirale. Plegridy non contiene conservanti.

Penna plegridy a dosi monodose

La penna plegridy è composta da un autoiniettore che circonda una siringa di vetro pre-piegata contenente 0,5 ml di una soluzione sterile in acqua per iniezione di 63 94 o 125 microgrammi di peginterferone beta-1A 15,8 mg di l-arginina HCl 0,79 mg di sodio acetato 0,25 mg di acido acetico e 0,025 mg di l-arginina 0,79 mg di sodio acetato 0,25 mg di acido acetico e 0025 20. Il pH è circa 4,8.

Siringa plegridy a dosi monodose

Una siringa preimpegnata di plegridy per iniezione sottocutanea contiene 0,5 ml di una soluzione sterile in acqua per iniezione di 63 94 o 125 microgrammi di peginterferone beta-1A 15,8 mg di l-arginina HCl 0,79 mg di sodio acetato di acetato di sodio. 4.8.

Usi per plegridy

Plegridy è indicato per il trattamento di forme recidivanti di sclerosi multipla (SM) per includere la sindrome clinicamente isolata malattia recidivante e la malattia progressiva secondaria attiva negli adulti.

Dosaggio per plegridy

Informazioni sul dosaggio

Il plegridy può essere somministrato solo per via sottocutanea (SC) o intramuscolare (IM). Dosaggio di manutenzione consigliato dopo la titolazione iniziale (vedere la tabella 1 e la tabella 2) Il dosaggio raccomandato di plegridy è 125 â

Per iniezione sottocutanea

I pazienti possono ruotare siti di iniezione tra l'addome posteriore della parte superiore del braccio o della coscia.

Per iniezione intramuscolare

I pazienti possono ruotare siti di iniezione tra le cosce sinistro e destro.

Iniziazione del trattamento

La titolazione della dose all'inizio del trattamento può aiutare a migliorare i sintomi simili a un'influenza che possono verificarsi all'inizio del trattamento con interferoni. L'uso profilattico e simultaneo di analgesici e/o antipiretici può prevenire o migliorare i sintomi simili a un'influenza a volte sperimentati durante il trattamento con plegridy.

Non è stato studiato il passaggio tra le rotte sottocutanee e intramuscolari di somministrazione e viceversa. Non si prevede che la titolazione della dose debba essere ripetuta per migliorare i sintomi simili a un'influenza se si passa tra le vie di somministrazione sottocutanea e intramuscolare o viceversa in base alla bioequivalenza dimostrata tra le due rotte di somministrazione.

Somministrazione sottocutanea di plegridy

I pazienti che usano plegridy per la prima volta dovrebbero iniziare il trattamento con 63 microgrammi il giorno 1. Il giorno 15 (14 giorni dopo) la dose viene aumentata a 94 microgrammi raggiungendo la dose completa di 125 microgrammi il giorno 29 (dopo altri 14 giorni). I pazienti continuano con la dose completa (125 microgrammi) ogni 14 giorni successivi (vedi Tabella 1). È disponibile un pacchetto di avviamento plegridy contenente due penne o siringhe predefinite: 63 microgrammi (dose 1) e 94 microgrammi (dose 2).

Tabella 1: programma per la titolazione della dose sottocutanea

Dose Tempo a Importo (microgrammi) Colore della penna o dell'etichetta della siringa
Dose 1 Il giorno 1 63 Arancia
Dose 2 Il giorno 15 94 Blu
Dose 3 Il giorno 29 e ogni 14 giorni successivi 125 (dose completa) Grigio
a Dosed every 14 days
Somministrazione intramuscolare di plegridy

Per i pazienti che usano iniettati iniettati per la plegridy per la prima volta, il plegridy deve essere titolato usando il kit di titolazione plegridy progettato per l'uso con la siringa preimpegnata. Il kit di titolazione plegridy viene fornito separatamente e contiene due dispositivi di titolazione da utilizzare solo con siringhe preimpegnate con plegridy per l'uso intramuscolare.

I pazienti devono iniziare il trattamento con 63 microgrammi (clip giallo) il giorno 1. Il giorno 15 (14 giorni dopo) la dose viene aumentata a 94 microgrammi (clip viola) raggiungendo la dose completa di 125 microgrammi il giorno 29 (dopo altri 14 giorni). I pazienti continuano con la dose completa (125 microgrammi) ogni 14 giorni successivi (vedi Tabella 2).

Tabella 2: programma per la titolazione della dose intramuscolare

Dose Tempo a Importo (microgrammi) Clip di titolazione
Dose 1 Il giorno 1 63 Giallo
Dose 2 Il giorno 15 94 Viola
Dose 3 Il giorno 29 e ogni 14 giorni successivi 125 (dose completa) Non sono necessarie clip
a Dosed every 14 days

Importanti istruzioni di amministrazione (tutte le forme di dosaggio)

Gli operatori sanitari dovrebbero formare i pazienti nella tecnica adeguata per le iniezioni sottocutanee auto-somministrazione usando la penna predefinita o la siringa o le iniezioni intramuscolari usando la siringa preimpegnata. I prodotti farmaceutici parentali dovrebbero essere ispezionati visivamente per il particolato e lo scolorimento prima della somministrazione. Consiglia ai pazienti e ai caregiver di ruotare i siti di iniezione con ciascuna somministrazione per ridurre al minimo la probabilità di reazioni del sito di iniezione gravi tra cui la necrosi o l'infezione localizzata [vedi Avvertimenti e precauzioni ].

Una volta rimosso dal frigorifero, il plegridy dovrebbe essere lasciato scaldare a temperatura ambiente (circa 30 minuti) prima dell'iniezione. Non utilizzare fonti di calore esterne come l'acqua calda per riscaldare il plegridy.

Ogni penna plegridy e siringa per iniezione sottocutanea sono fornite con l'ago prede. La siringa plegridy preiepilata per l'iniezione intramuscolare viene fornita come siringa preimpegnata con un ago separato. Sia siringhe preimpegnate sia intramuscolari che sottocutanee e le penne pre-riempite sottocutaneamente somministrate sono per l'uso una tantum in un solo paziente e devono essere scartati dopo l'uso.

Premedicazione per sintomi simili all'influenza

L'uso profilattico e simultaneo di analgesici e/o antipiretici può prevenire o migliorare i sintomi simili a un'influenza a volte sperimentati durante il trattamento con plegridy.

Come fornito

Forme di dosaggio e punti di forza

Plegridy è una soluzione da chiara a leggermente opalescente e incolore a leggermente gialla.

Somministrazione sottocutanea
  • Iniezione : 125 mcg/0,5 ml in una penna predefinita a dose o una siringa pre-riempita a dose singola
  • Iniezione : 63 mcg/0,5 ml in una penna pre-piegata a dose o una siringa pre-riempita a dose
  • Iniezione : 94 mcg/0,5 ml in una penna pre-piegata a dose o una siringa pre-riempita a dose singola
Somministrazione intramuscolare
  • Iniezione : 125 mcg/0,5 ml in una siringa pre-riempita a dose singola

Plegridy L'iniezione (Peginterferon beta-1A) è una soluzione sterile priva di conservanti da chiaro a leggermente opalescente e incolore a leggermente giallo fornita come una penna pre-riempita a dose singola da 0,5 ml o una siringa pre-riempita a dose singola 0,5 ml.

Somministrazione sottocutanea

Plegridy L'iniezione (Peginterferon beta-1A) per uso sottocutaneo viene fornita come una penna predefinita a dosi o una siringa pre-riempita a dosi singolo con un tappo di gomma e un ago staccato da 0,5 pollici da 0,5 pollici con uno scudo di ago rigido nelle seguenti configurazioni di imballaggio:

Cartone contenente due-125 mcg/0,5 ml di penne pre-piegate a dosi monodose di plegridy ( Ndc 64406-011-01).

Cartone di avviamento contenente due penne pre-piegate a dosi monodose; La dose 1 fornisce 63 mcg/0,5 ml di plegridy e la dose 2 fornisce 94 mcg/0,5 ml di plegridy ( Ndc 64406-012-01).

Cartone contenente due-125 mcg/0,5 ml siringhe preimpegnate a dosi monodose di plegridy ( Ndc 64406-015-01).

Cartone di avviamento contenente due siringhe pre-piegate a dosi monodosatta; La dose 1 fornisce 63 mcg/0,5 ml di plegridy e la dose 2 fornisce 94 mcg/0,5 ml di plegridy ( Ndc 64406-016-01).

Somministrazione intramuscolare

Plegridy L'iniezione (Peginterferon beta-1A) per uso intramuscolare viene fornita come una siringa pre-riempita a dosi con un tappo di gomma e un ago piccante da 1,25 pollici da 23 pollici fornito separatamente con la ssergia nelle seguenti configurazioni di imballaggio:

Cartone contenente due-125 mcg/0,5 ml siringhe preimpegnate a dosi monodose di plegridy ( Ndc 64406-017-01).

Il kit di titolazione plegridy deve essere prescritto e erogato separatamente per l'inizio del trattamento. Il kit di titolazione contiene due clip di titolazione: la clip gialla (per la dose 1) consente una dose consegnata di 63 mcg di plegridy e la clip viola (per dose 2) consente una dose consegnata di 94 mcg di plegridy.

Archiviazione e maneggevolezza

Conservare le penne preimpegnate plegridy e le siringhe preimpegnate in un frigorifero compreso tra 2 ° C e 8 ° C (da 36 ° F a 46 ° F) nel cartone originale chiuso per proteggere dalla luce fino a quando non è pronto per l'iniezione. Non congelare. Scartare se congelato.

Se la refrigerazione non è disponibile, la plegridy può essere immagazzinata a temperatura ambiente fino a 25 ° C (77 ° F) per un periodo fino a 30 giorni protetto dalla luce. Plegridy può essere rimosso e restituito a un frigorifero, se necessario. Il tempo totale combinato dalla refrigerazione non deve superare i 30 giorni.

Plegridy prefilled syringe for intramuscular administration contains natural rubber latex which may cause allergic reactions.

Smaltire in un contenitore tagliente o altro contenitore di plastica dura o metallo sigillabile. Seguire sempre le normative locali per lo smaltimento.

Prodotto da: Biogen Inc. Cambridge MA 02142. Revisionato: luglio 2023

Effetti collaterali per plegridy

Le seguenti gravi reazioni avverse sono discusse in modo più dettagliato in altre sezioni di etichettatura:

  • Lesione epatica [vedi Avvertimenti e precauzioni ]
  • Depressione e suicidio [vedi Avvertimenti e precauzioni ]
  • Anafilassi e altre reazioni allergiche [vedi Avvertimenti e precauzioni ]
  • Iniezione Site Reactions Including Necrosis [Vedere Avvertimenti e precauzioni ]
  • Insufficienza cardiaca congestizia [Vedere Avvertimenti e precauzioni ]
  • Diminuzione della conta del sangue periferica [vedi Avvertimenti e precauzioni ]
  • Microangiopatia trombotica [vedi Avvertimenti e precauzioni ]
  • Ipertensione arteriosa polmonare [vedi Avvertimenti e precauzioni ]
  • Disturbi autoimmuni [vedi Avvertimenti e precauzioni ]
  • Convulsioni [vedi Avvertimenti e precauzioni ]

Esperienza di studi clinici

Poiché gli studi clinici sono condotti in condizioni di reazione avversa ampiamente variabili osservate negli studi clinici di plegridy non possono essere confrontati direttamente con i tassi negli studi clinici di altri farmaci e potrebbero non riflettere i tassi osservati nella pratica.

Plegridy Via Somministrazione sottocutanea

Negli studi clinici (Studio 1 e Studio 2) un totale di 1468 pazienti con sclerosi multipla recidivata ricevuta plegridy mediante iniezione sottocutanea per un massimo di 177 settimane (41 mesi) con un'esposizione complessiva equivalente a 1932 anni. Un totale di 1093 pazienti hanno ricevuto almeno 1 anno e 415 pazienti almeno 2 anni di trattamento con plegridy. Un totale di 512 e 500 pazienti ha ricevuto rispettivamente 125 microgrammi plegridy ogni 14 giorni o ogni 28 giorni durante la fase controllata dal placebo dello studio 1 (anno 1). L'esperienza nell'anno 2 dello Studio 1 e nello studio di estensione della sicurezza a 2 anni (Studio 2) è stata coerente con l'esperienza nella fase di 1 anno controllata dal placebo dello studio 1.

Nella fase controllata dal placebo dello studio 1 le reazioni di farmaco avverse più comuni per plegridy 125 microgrammi sottocutaneamente ogni 14 giorni erano sito di iniezione di eritema simile a una malattia simile a una pyrexia di mal di testa più di almeno 2% in più rispetto al sito di iniezione di placei. L'evento avverso più comunemente riportato che ha portato alla sospensione nei pazienti trattati con plegridy 125 microgrammi sottocutaneamente ogni 14 giorni era una malattia simile all'influenza (in meno dell'1% dei pazienti).

La tabella 3 riassume le reazioni avverse riportate in 48 settimane da pazienti trattati nella fase controllata dal placebo dello studio 1 che hanno ricevuto plegridy sottocutanee 125 microgrammi (n = 512) o placebo (n = 500) ogni 14 giorni.

Tabella 3: reazioni avverse nella fase di 48 settimane controllata dal placebo dello studio 1 con un'incidenza del 2% in più per il plegridy che per il placebo

Plegridy
(N = 512) %
Placebo
(N = 500) %
Disturbi del sistema nervoso
Mal di testa 44 33
Disturbi gastrointestinali
Nausea 9 6
Vomito 5 2
Disturbi del tessuto muscoloscheletrico e connettivo
Mialgia 19 6
Artralgia 11 7
Disturbi generali e condizioni del sito di amministrazione
Iniezione site erythema 62 7
Influenza come una malattia 47 13
Pyrexia 45 15
Brividi 17 5
Iniezione site pain 15 3
Astenia 13 8
Iniezione site pruritus 13 1
Ipertermia 4 1
Dolore 5 3
Iniezione site edema 3 0
Iniezione site warmth 3 0
Iniezione site hematoma 3 1
Iniezione site rash 2 0
Indagini
La temperatura corporea è aumentata 6 3
Alanina aminotransferasi è aumentato 6 3
L'aminotransferasi aspartata è aumentato 4 2
Gamma-glutamil-transferasi è aumentato 3 1
Disturbo della pelle e del tessuto sottocutaneo
Prurito 4 1
Sintomi simili all'influenza

La malattia simile all'influenza è stata sperimentata dal 47% dei pazienti che ricevevano plegridy 125 microgrammi ogni 14 giorni e il 13% dei pazienti che hanno ricevuto placebo. Meno dell'1% dei pazienti trattati con plegridy nello studio 1 ha interrotto il trattamento a causa di sintomi simili alla influenza.

Confronto tra somministrazione sottocutanea e intramuscolare

Uno studio crossover in aperto ha analizzato i risultati di 130 volontari sani per valutare la bioequivalenza di dosi singole di 125 microgrammi di plegridy somministrati come iniezione sottocutanea e intramuscolare (Studio 3).

Le reazioni avverse più comunemente riportate (con incidenza> 10% in entrambi i braccio) in entrambi i periodi di trattamento sono state i brividi (36% in IM vs 27% in SC) (22% in IM vs 14% in SC) di mal di testa (36% in IM vs 41% in SC) Doling del sito di iniezione (11% in IM vs 15% in SC) e iniezione del sito Erytema (2% in SC). Le reazioni complessive del sito di iniezione sono state riportate nel 14% tramite percorso IM rispetto al 32% tramite rotta SC.

Immunogenicità

Come per tutte le proteine ​​terapeutiche, c'è un potenziale per l'immunogenicità.

Il rilevamento della formazione di anticorpi dipende fortemente dalla sensibilità e dalla specificità del dosaggio. Inoltre, l'incidenza osservata dell'anticorpo (compresa l'anticorpo neutralizzante) in un test può essere influenzata da diversi fattori tra cui la metodologia del test, i tempi di gestione dei campioni dei farmaci concomitanti di raccolta del campione e la malattia sottostante. Per questi motivi il confronto dell'incidenza di anticorpi negli studi descritti di seguito con l'incidenza di anticorpi in altri studi o con altri prodotti beta-1a di interferone può essere fuorviante.

Nello studio 1 meno dell'1% dei pazienti trattati con Plegridy SC ogni 14 giorni per 1 anno ha sviluppato anticorpi neutralizzanti. Circa il 7% dei pazienti trattati con SC plegridy ha sviluppato anticorpi per la porzione di glicole polietilenico.

Non sono stati condotti studi formali per quanto riguarda l'immunogenicità della via intramuscolare di somministrazione di plegridy.

Esperienza post -marketing

Le seguenti reazioni avverse sono state identificate durante l'uso post-approvazione del plegridy. Poiché queste reazioni sono riportate volontariamente da una popolazione di dimensioni incerte, non è sempre possibile stimare in modo affidabile la loro frequenza o stabilire una relazione causale con l'esposizione ai farmaci.

Reazioni anafilattiche

Nell'esperienza post marketing sono state riportate reazioni di ipersensibilità gravi, inclusi casi di anafilassi a seguito di somministrazione plegridy [vedi Avvertimenti e precauzioni ].

Lesione epatica

Nell'esperienza post marketing non sono stati riportati casi di epatite non infettiva (compresa l'epatite grave) a seguito di somministrazione di plegridy [vedi Avvertimenti e precauzioni ].

Ipertensione arteriosa polmonare

Nell'esperienza post -marketing è stata segnalata l'ipertensione arteriosa polmonare dopo la somministrazione di plegridy [vedi Avvertimenti e precauzioni ].

Interazioni farmacologiche per plegridy

Nessuna informazione fornita

Avvertimenti per plegridy

Incluso come parte del PRECAUZIONI sezione.

Precauzioni per plegridy

Lesione epatica

Le lesioni epatiche gravi, incluso l'epatite da epatite autoimmune e sono stati riportati rari casi di grave insufficienza epatica con beta di interferone. È stato anche riportato un aumento asintomatico delle transaminasi epatiche e in alcuni pazienti si è ripresentata al momento della ricarica con l'interferone beta.

Sono stati osservati elevazioni negli enzimi epatici e lesioni epatiche con l'uso di plegridy negli studi clinici. L'incidenza di aumenti nelle transaminasi epatiche era maggiore nei pazienti che assumono plegridy rispetto a quelli che assumono placebo. L'incidenza di aumenti di alanina aminotransferasi superiore a 5 volte il limite superiore del normale era dell'1% nei pazienti trattati con placebo e del 2% nei pazienti trattati con plegridy. L'incidenza di aumenti di aspartato aminotransferasi superiore a 5 volte il limite superiore della normale era inferiore all'1% nei pazienti trattati con placebo e inferiore all'1% nei pazienti trattati con plegridy. In 2 pazienti si sono verificati aumenti di transaminasi epatiche sieriche combinate con bilirubina elevata. Entrambi i casi si sono risolti dopo l'interruzione del plegridy.

Casi di epatite non infettiva sono stati riportati in ambito post -marketing con l'uso di plegridy.

Monitorare i pazienti per segni e sintomi di lesioni epatiche.

Depressione e suicidio

L'ideazione suicidaria della depressione e il suicidio si verificano più frequentemente nei pazienti che ricevono beta di interferone rispetto ai pazienti che ricevono placebo.

Negli studi clinici l'incidenza complessiva di eventi avversi relativi alla depressione e all'ideazione suicidaria nei pazienti con sclerosi multipla era dell'8% sia nei gruppi plegridy che a placebo. L'incidenza di eventi seri legati alla depressione e all'ideazione suicidaria era simile e inferiore all'1% in entrambi i gruppi.

Consiglia ai pazienti di segnalare immediatamente qualsiasi sintomo di depressione o ideazione suicidaria al proprio operatore sanitario. Se un paziente sviluppa depressione o altri sintomi psichiatrici gravi, considera di fermare il trattamento con plegridy.

Anafilassi e altre reazioni allergiche

Le reazioni allergiche gravi sono rare complicanze del trattamento con beta interferone; L'anafilassi è stata segnalata con l'uso di plegridy nell'impostazione post -marketing.

Meno dell'1% dei pazienti trattati con plegridy ha subito una grave reazione allergica come l'angiedema o l'orticaria. Coloro che hanno avuto gravi reazioni allergiche si sono riprese prontamente dopo il trattamento con antistaminici o corticosteroidi. Interrompere il plegridy se si verifica una grave reazione allergica.

La copertura di gomma protettiva della siringa preimpegnata di plegridy per la somministrazione intramuscolare contiene lattice di gomma naturale che può causare reazioni allergiche e non deve essere gestita da individui sensibili al lattice. Non è stato studiato l'uso sicuro della siringa pre-riempita plegridy in individui sensibili al lattice.

Iniezione Site Reactions Including Necrosis

Iniezione site reactions including injection site necrosis can occur with the use of interferon beta including Plegridy.

Negli studi clinici sulla plegridy sottocutanea l'incidenza delle reazioni del sito di iniezione (ad es. Site di iniezione Il dolore del dolore dell'eritema o dell'edema) era del 66% nel gruppo plegridy e dell'11% nel gruppo placebo; L'incidenza di gravi reazioni del sito di iniezione è stata del 3% nel gruppo plegridy e dello 0% nel gruppo placebo. Un paziente su 1468 pazienti che ha ricevuto plegridy in studi clinici ha sperimentato necrosi in siti di iniezione. L'infortunio si è risolto con cure mediche standard.

Nello studio 3 che ha confrontato le singole dosi di plegridy intramuscolare e sottocutaneo [vedi Reazioni avverse ] L'incidenza delle reazioni del sito di iniezione (ad es. Sito di iniezione eritema dolore prurito o edema) era del 14% nel gruppo plegridy intramuscolare e del 32% nel gruppo plegridy sottocutaneo.

Iniezione site abscesses E cellulitis have been reported in the postmarketing setting with use of interferon beta. Some cases required treatment with hospitalization for surgical drainage E intravenous antibiotics.

Valuta periodicamente la comprensione e l'uso del paziente di tecniche e procedure di auto-iniezione asettiche, in particolare se si è verificata necrosi del sito di iniezione.

Le decisioni di interrompere la terapia a seguito di necrosi in un singolo sito di iniezione dovrebbero essere basate sull'entità della necrosi. Per i pazienti che continuano la terapia con plegridy dopo che si è verificata la necrosi del sito di iniezione, evita la somministrazione di plegridy vicino all'area interessata fino a quando non è completamente guarita. Se si verificano più lesioni del sito di iniezione di cambiamento o interrompere il plegridy fino a quando non si verifica la guarigione.

Insufficienza cardiaca congestizia

Congestizio insufficienza cardiaca La cardiomiopatia e la cardiomiopatia con insufficienza cardiaca congestizia si verificano nei pazienti che ricevono beta di interferone.

Negli studi clinici l'incidenza di eventi cardiovascolari è stato del 7% sia nei gruppi di trattamento plegridy che di placebo. Non sono stati segnalati eventi cardiovascolari gravi nel gruppo Plegridy.

Monitorare i pazienti con una malattia cardiaca significativa per il peggioramento delle loro condizioni cardiache durante l'inizio e la continuazione del trattamento con plegridy.

Diminuzione della conta del sangue periferica

L'interferone beta può causare una riduzione della conta del sangue periferica in tutte le linee cellulari, tra cui rari casi di pancitopenia e trombocitopenia grave.

Negli studi clinici diminuiscono nella conta dei globuli bianchi al di sotto di 3,0 x 10 9 /L si è verificato nel 7% dei pazienti sottoposti a plegridy e nell'1% di ricezione di placebo. Non vi è alcuna associazione apparente tra diminuzioni della conta dei globuli bianchi e un aumentato rischio di infezioni o infezioni gravi. L'incidenza di diminuzioni clinicamente significative nei conteggi dei linfociti (inferiore a 0,5 x 10 9 /L) Conte di neutrofili (sotto 1,0 x 10 9 /L) e conta piastriniche (sotto 100 x 10 9 /L) erano tutti inferiori all'1% e simili nei gruppi placebo e plegridy. Sono stati riportati due casi gravi in ​​pazienti trattati con plegridy: un paziente (meno dell'1%) ha avuto una trombocitopenia grave (definita come una conta piastrinica inferiore o uguale a 10 x 10 9 /L) e un altro paziente (meno dell'1%) hanno avuto grave Neutropenia (definito come un conteggio dei neutrofili inferiore o uguale a 0,5 x 10 9 /L). In entrambi i pazienti con la conta delle cellule recuperate dopo l'interruzione del plegridy. Rispetto al placebo non c'erano differenze significative nella conta dei globuli rossi nei pazienti trattati con plegridy.

Monitorare i pazienti per il sanguinamento delle infezioni e i sintomi dell'anemia. Monitorare la conta dei globuli completi e la conta delle cellule ematiche bianche differenziali e la conta piastrinica durante il trattamento con plegridy. I pazienti con mielosoppressione possono richiedere un monitoraggio più intenso dei conteggi delle cellule ematiche.

Microangiopatia trombotica

Casi di microangiopatia trombotica (TMA) tra cui Purpura trombocitopenica trombotica e sindrome emolitica uremica alcuni fatali sono stati riportati con prodotti beta di interferone. I casi sono stati segnalati diverse settimane o anni dopo aver avviato i prodotti beta di interferone. Interrompere il plegridy se i sintomi clinici e i risultati di laboratorio coerenti con il TMA si verificano e gestiscono come indicato clinicamente.

Ipertensione arteriosa polmonare

Casi di ipertensione arteriosa polmonare (PAH) sono stati riportati in pazienti trattati con prodotti beta di interferone tra cui plegridy. La PAH si è verificata in pazienti trattati con prodotti beta di interferone in assenza di altri fattori che contribuiscono. Molti dei casi riportati hanno richiesto il ricovero in ospedale, incluso un caso con beta di interferone in cui il paziente ha subito un trapianto di polmone. L'APH si è sviluppato in vari punti temporali dopo aver avviato la terapia con prodotti beta di interferone e può verificarsi diversi anni dopo l'avvio del trattamento.

I pazienti che sviluppano sintomi inspiegabili (ad es. Dispnea nuova o crescente affaticamento) devono essere valutati per PAH. Se sono state esclusi eziologie alternative e una diagnosi di PAH è confermata il trattamento di interruzione e gestisce come indicato clinicamente.

Disturbi autoimmuni

Sono stati segnalati disturbi autoimmuni di più organi bersaglio, tra cui iper-e ipotiroidismo e epatite autoimmune idiopatica con trombocitopenia e epatite autoimmune.

Negli studi clinici l'incidenza dei disturbi autoimmuni era inferiore all'1% nei gruppi di trattamento plegridy e placebo.

Se i pazienti sviluppano un nuovo disturbo autoimmune, considera di fermare il plegridy.

Convulsioni

Convulsioni are associated with the use of interferon beta.

L'incidenza delle convulsioni in studi clinici di sclerosi multipla era inferiore all'1% nei pazienti che ricevevano plegridy e placebo.

ATTENZIONE DELL'ESTRAZIONE Quando si somministra plegridy a pazienti con disturbo convulsivo.

Informazioni sulla consulenza del paziente

Consiglia al paziente di leggere l'etichettatura del paziente approvato dalla FDA ( Guida ai farmaci E Istruzioni per l'uso ).

Istruzioni per la tecnica e le procedure di autoiniezione

Fornire istruzioni appropriate per i metodi di auto-iniezione, inclusi attentamente revisione della guida ai farmaci plegridy e istruzioni per l'uso. Istruire i pazienti nell'uso della tecnica asettica durante la somministrazione di plegridy.

Informare i pazienti che un operatore sanitario dovrebbe mostrare loro o il loro caregiver come prepararsi a iniettare plegridy prima di somministrare la prima dose. Dì ai pazienti di non riutilizzare aghi o siringhe e istruire i pazienti con procedure di smaltimento sicuro. Informare i pazienti di smaltire gli aghi e le siringhe usati in un contenitore resistente alla foratura e istruire i pazienti in merito a smaltimento sicuro di contenitori completi.

Consiglia i pazienti
  • ruotare le aree di iniezione con ogni dose per ridurre al minimo la probabilità di reazioni del sito di iniezione [vedi Avvertimenti e precauzioni ]. For subcutaneous administration the usual injection sites are the abdomen back of the upper arm E thigh. For intramuscular administration alternate injections between the left E right thigh.
  • Non iniettare in un'area del corpo in cui la pelle è irritata da infezione o sfregiata in alcun modo arrossata
  • Per controllare il sito di iniezione dopo 2 ore per il gonfiore e la tenerezza
  • contattare il loro professionista sanitario se hanno una reazione della pelle e non si chiarisce da pochi giorni
Gravidanza

Consiglia ai pazienti di avvisare il proprio operatore sanitario se rimangono incinta durante il trattamento o prevedono di rimanere incinta [vedi Utilizzare in popolazioni specifiche ].

Malattia epatica

Consiglio ai pazienti che durante l'uso dell'interferone beta sono stati riportati gravi lesioni epatiche, inclusi rari casi di insufficienza epatica. Consiglia i pazienti di sintomi di disfunzione epatica e istruiranno i pazienti a segnalarli immediatamente al proprio medico [vedi Avvertimenti e precauzioni ].

Depressione e suicidio

Consiglia ai pazienti che l'idea suicidaria della depressione e il suicidio sono stati segnalati con l'uso dell'interferone beta. Istruire i pazienti a segnalare immediatamente i sintomi della depressione o dei pensieri del suicidio al proprio medico [vedi Avvertimenti e precauzioni ].

Anafilassi e altre reazioni allergiche

Consiglia i pazienti dei sintomi di reazioni allergiche e anafilassi e istruire i pazienti a cercare un medico immediato se si verificano questi sintomi. Informare i pazienti con sensibili al lattice che la siringa preimpegnata plegridy per la somministrazione intramuscolare contiene lattice di gomma naturale [vedi Avvertimenti e precauzioni ].

Iniezione Site Reactions Including Necrosis

Consiglio ai pazienti che possono verificarsi reazioni del sito di iniezione e che le reazioni possono includere necrosi del sito di iniezione. Chiedi ai pazienti di segnalare prontamente qualsiasi interruzione nella pelle associata a gonfiore o drenaggio di scolorimento blu-nero o drenaggio del fluido dal sito di iniezione [vedi Avvertimenti e precauzioni ].

Malattia cardiaca

Consiglio dei pazienti che il peggioramento della significativa malattia cardiaca è stato riportato in pazienti che utilizzano beta di interferone. Consiglia i pazienti di sintomi del peggioramento delle condizioni cardiache e istruire i pazienti a segnalarli immediatamente al proprio medico [vedi Avvertimenti e precauzioni ].

Ipertensione arteriosa polmonare

Informare i pazienti che la PAH si è verificata in pazienti trattati con prodotti beta di interferone tra cui la plegridy. Istruire i pazienti a segnalare prontamente nuovi sintomi come l'affaticamento nuovo o crescente o la mancanza di respiro al proprio operatore sanitario [vedi Avvertimenti e precauzioni ].

Confisca

Consiglia i pazienti che le convulsioni sono state riportate in pazienti che utilizzano plegridy. Istruire i pazienti a segnalare immediatamente convulsioni al proprio medico [vedi Avvertimenti e precauzioni ].

Sintomi simili all'influenza

Informare i pazienti che i sintomi simili all'influenza sono comuni dopo l'inizio della terapia con plegridy. L'uso profilattico e simultaneo di analgesici e/o antipiretici può prevenire o migliorare i sintomi simili a un'influenza a volte sperimentati durante il trattamento con interferone [vedi Dosaggio e amministrazione E Reazioni avverse ].

Tossicologia non clinica

Mutagenesi della carcinogenesi compromissione della fertilità

Carcinogenesi

Il potenziale cancerogeno del plegridy non è stato testato negli animali.

Mutagenesi

Plegridy was not mutagenic when tested in an in vitro bacterial reverse mutation (Ames) test E was not clastogenic in an in vitro assay in human lymphocytes.

Compromissione della fertilità

Nelle scimmie somministrate beta di interferone mediante iniezione sottocutanea nel corso di un ciclo mestruale sono stati osservati l'anovulazione delle irregolarità mestruali e la riduzione dei livelli sierici di progesterone. Questi effetti sono stati reversibili dopo l'interruzione del farmaco.

Utilizzare in popolazioni specifiche

Gravidanza

Riepilogo del rischio

I dati di un ampio studio di coorte basato sulla popolazione e altri studi pubblicati per diversi decenni non hanno identificato un rischio associato ai farmaci di gravi difetti alla nascita con l'uso di prodotti beta di interferone durante la gravidanza precoce. I risultati relativi a un potenziale rischio di basso peso alla nascita o aborto con l'uso di prodotti beta di interferone in gravidanza sono stati incoerenti (vedi Dati ). In a study in pregnant monkeys administration of interferon beta during pregnancy resulted in an increased rate of abortion (see Dati ).

Nella popolazione generale degli Stati Uniti il ​​rischio di background stimato di gravi difetti alla nascita e aborto in gravidanza clinicamente riconosciuta è rispettivamente del 2-4% e del 15-20%. Il rischio di background di importanti difetti alla nascita e aborto spontaneo per la popolazione indicata non è noto.

Dati

Dati umani

La maggior parte degli studi osservazionali che riportavano le gravidanze esposte ai prodotti beta dell'interferone non ha identificato un'associazione tra l'uso di prodotti beta di interferone durante la gravidanza precoce e un aumentato rischio di gravi difetti alla nascita.

In uno studio di coorte basato sulla popolazione condotto in Finlandia e la Svezia i dati sono stati raccolti dal 1996-2014 in Finlandia e 2005-2014 in Svezia su 2831 esiti di gravidanza da donne con SM. 797 gravidanze erano nelle donne esposte solo all'interferone beta. Non sono state riscontrate prove di un aumentato rischio di importanti difetti alla nascita tra le donne con SM esposte a prodotti beta di interferone rispetto alle donne con SM che non erano disposte a qualsiasi terapia non steroide per la SM (n = 1647) all'interno dello studio. Non sono stati osservati rischi aumentati per aborti spontanei e gravidanze ectopiche sebbene vi siano state limitazioni nell'ottenere l'acquisizione completa dei dati per questi risultati rendendo più difficile l'interpretazione dei risultati.

Due piccoli studi di coorte che hanno esaminato le gravidanze esposte a prodotti beta di interferone (senza differenziarsi tra sottotipi di prodotti beta di interferone) hanno suggerito che una diminuzione del peso alla nascita medio può essere associata all'esposizione beta dell'interferone durante la gravidanza, ma questa scoperta non è stata confermata in studi osservazionali più ampi. Due piccoli studi hanno osservato una maggiore prevalenza di aborto sebbene la scoperta fosse statisticamente significativa in uno studio. La maggior parte degli studi ha arruolato i pazienti più avanti in gravidanza, il che ha reso difficile accertare la vera percentuale di aborti. In un piccolo studio di coorte è stato osservato un rischio significativamente aumentato di nascita pretermine dopo l'esposizione beta dell'interferone durante la gravidanza.

Dati sugli animali

Plegridy has not been tested for developmental toxicity in pregnant animals. In monkeys given interferon beta by subcutaneous injection every other day during early pregnancy no adverse effects on embryofetal development were observed. Abortifacient activity was evident following 3 to 5 doses.

Lattazione

Riepilogo del rischio

La letteratura pubblicata limitata ha descritto la presenza di prodotti beta-1a di interferone nel latte umano a bassi livelli. Non ci sono dati sugli effetti dell'interferone beta-1A sulla produzione di latte. Pertanto, i benefici per lo sviluppo e la salute dell'allattamento dovrebbero essere considerati insieme alla necessità clinica della madre di plegridy e a potenziali effetti avversi sul bambino allattato al seno da plegridy o dalla condizione materna sottostante.

Uso pediatrico

La sicurezza ed efficacia nei pazienti pediatrici non è stata stabilita.

Uso geriatrico

Studi clinici sul plegridy non includevano un numero sufficiente di soggetti di età pari o superiore a 65 anni per determinare se rispondono in modo diverso dai soggetti più giovani. Altra esperienza clinica segnalata non ha identificato differenze nelle risposte tra i pazienti anziani e più giovani.

Compromissione renale

Monitorare le reazioni avverse dovute all'aumento dell'esposizione ai farmaci in pazienti con grave compromissione renale [vedi Farmacologia clinica ].

Informazioni per overdose per plegridy

Nessuna informazione fornita

Controindicazioni per plegridy

Plegridy is contraindicated in patients with a history of hypersensitivity to natural or recombinant interferon beta or peginterferon or any other component of Plegridy [Vedere Avvertimenti e precauzioni ].

Farmacologia clinica for Plegridy

Meccanismo d'azione

Il meccanismo con cui Plegridy esercita i suoi effetti nei pazienti con sclerosi multipla non è noto.

Farmacodinamica

Non c'è no Biochimico o effetto fisiologico noto per relazionarsi direttamente con l'effetto clinico del plegridy.

Farmacocinetica

Dopo la somministrazione sottocutanea a dosi monodosa o a dosi multipla di plegridy a soggetti sani concentrazioni di picco plegridy (CMAX) e l'esposizione totale nel tempo (area sotto la curva o AUC) è aumentata in proporzione a dosi da 63 a 188 microgrammi. Plegridy non si è accumulato nel siero dopo dosi multiple di 125 microgrammi ogni 14 giorni. I parametri farmacocinetici per la plegridy, inclusi CMAX e AUC, non differivano significativamente tra volontari sani e pazienti con sclerosi multipla o tra somministrazioni a dose monodose e a dosi multiple. Tuttavia, il coefficiente di variazione tra i singoli pazienti per AUC CMAX e l'emivita era elevato (rispettivamente dal 41% al 68% dal 74% all'89% e dal 45% al ​​93%).

Assorbimento

Dopo 125 dosi sottocutanee di microgrammi di plegridy in pazienti con sclerosi multipla, la concentrazione massima si è verificata tra 1 e 1,5 giorni, il CMAX medio era di 280 pg/mL e l'AUC per l'intervallo di dosaggio di 14 giorni era di 34,8 ng.hr/ml.

Distribuzione

Nei pazienti con sclerosi multipla che assumono 125 dosi sottocutanee di plegridy ogni 14 giorni il volume stimato di distribuzione era di 481 litri.

Metabolismo ed eliminazione

I meccanismi di clearance per la plegridy includono catabolismo ed escrezione. Il principale percorso di eliminazione è renale. L'emivita è di circa 78 ore nei pazienti con sclerosi multipla. La clearance media dello stato stazionario di plegridy è di circa 4,1 L/ora. Plegridy non è ampiamente metabolizzato nel fegato.

La farmacocinetica di 125 μg di singola dose di plegridy somministrata per via sottocutanea e intramuscolare era simile.

Popolazioni specifiche

Il genere e l'età del peso corporeo non richiedono una regolazione del dosaggio.

La compromissione renale può aumentare CMAX e AUC per plegridy. I risultati di uno studio farmacocinetico su pazienti con lieve moderata e grave compromissione renale (clearance della creatinina da 50 a 80 30 a 50 e meno del 30 ml/minuto) hanno mostrato aumenti al di sopra del normale per CMAX del 27% 26% e 42% e per aumenti di AUC del 30% 40% e 53%. L'emivita era di 53 49 e 82 ore in pazienti con lieve moderata e grave compromissione renale rispettivamente rispetto a 54 ore nei soggetti normali.

Negli stessi argomenti di studio con malattia renale allo stadio finale che richiedeva l'emodialisi due o tre volte alla settimana aveva AUC e CMAX di valori plegridy simili a quelli dei controlli normali. Ogni sessione di emodialisi ha rimosso circa il 24% del plegridy circolante dalla circolazione sistemica [vedi Utilizzare in popolazioni specifiche ].

Studi clinici

L'efficacia del plegridy è stata dimostrata nella fase randomizzata in doppio cieco e controllato con placebo (anno 1) dello studio 1. Lo studio ha confrontato gli esiti clinici e di risonanza magnetica a 48 settimane in pazienti che hanno ricevuto plegridy 125 microgrammi (n = 512) o placebo (n = 500) dalla rotta sottocutanea una volta ogni 14 giorni.

Studio 1 I pazienti arruolati che avevano un punteggio di stato di stato di disabilità espanso al basale (EDSS) da 0 a 5 che avevano sperimentato almeno 2 recidive nei tre anni precedenti e avevano sperimentato almeno 1 recidiva nell'anno precedente. Lo studio ha escluso i pazienti con forme progressive di sclerosi multipla. L'età media della popolazione dello studio era di 37 anni la durata media della malattia era di 3,6 anni e il punteggio medio EDSS al basale era di 2,46. La maggior parte dei pazienti erano donne (71%).

Lo studio ha programmato valutazioni neurologiche al basale ogni 12 settimane e al momento di una sospetta recidiva. Le valutazioni della risonanza magnetica cerebrale erano programmate alla settimana di base 24 e alla settimana 48.

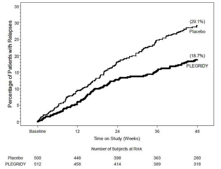
Il risultato primario era il tasso di recidiva annuale in 1 anno. Gli esiti secondari includevano la percentuale di pazienti recidivando il numero di lesioni iperintense T2 nuove o recentemente ingrandite e il tempo per confermare la progressione della disabilità. La progressione della disabilità confermata è stata definita come segue: se il punteggio EDSS di base era 0 un aumento sostenuto di 12 settimane nel punteggio EDSS di 1,5 punti; Se il punteggio EDSS di base era maggiore di 0 è stato richiesto un aumento di 12 settimane sostenuto del punteggio EDSS di 1 punto. La tabella 4 e la Figura 1 mostrano i risultati dello studio 1.

Tabella 4: Risultati clinici e MRI dello studio 1

Endpoint Plegridy 125 micrograms every 14 days Placebo valore p
Risultati clinici a 48 settimane N = 512 N = 500
Tasso di ricaduta annuale 0.26 0.40 0.0007
Riduzione relativa 36%
Proporzione di pazienti con recidive 0.19 0.29 0.0003
Riduzione del rischio relativo 39%
Proporzione di pazienti con progressione della disabilità 0.07 0.11 0.0383
Riduzione del rischio relativo 38%
Risultati della risonanza magnetica a 48 settimane N = 457 N = 476
Numero medio di lesioni iperintense T2 nuove o nuove 3.6 10.9 <0.0001
Riduzione relativa 67%
Numero medio di lesioni che migliorano GD 0.2 1.4 <0.0001
Riduzione relativa 86%

Figura 1: tempo per la prima ricaduta

Informazioni sul paziente per plegridy

Plegridy®
(Plegg-rih-dee)
(Peginterferon Beta-1A) Iniezione per uso sottocutaneo o intramuscolare

Leggi questa guida ai farmaci prima di iniziare a usare Plegridy e ogni volta che ottieni una ricarica. Potrebbero esserci nuove informazioni. Queste informazioni non prendono il posto di parlare con il proprio operatore sanitario sulla tua condizione medica o il trattamento.

Quali sono le informazioni più importanti che dovrei sapere su Plegridy?

Plegridy can cause serious side effects including:

  • Problemi epatici o peggioramento di problemi epatici tra cui insufficienza epatica e morte. I sintomi possono includere: ingiallimento della pelle o della parte bianca della nausea per la perdita di stanchezza dell'appetito che sanguina più facilmente della normale sonnolenza di confusione per sonnolenza scura e sgabelli pallidi. Durante il trattamento con Plegridy dovrai vedere il tuo operatore sanitario e fare esami del sangue regolari per verificare questi possibili effetti collaterali.
  • Depressione o pensieri suicidi. I sintomi possono includere: depressione nuova o peggiorata (sentirsi senza speranza o cattiva con te stesso) pensieri di ferire te stesso o irritabilità suicida (arrabbiarsi facilmente) nervosismo o ansia nuovo o peggioramento.

Chiama subito il tuo medico se hai uno qualsiasi dei sintomi sopra elencati.

Cos'è Plegridy?

  • Plegridy is a prescription medicine used to treat relapsing forms of sclerosi multipla (SM) per includere la sindrome clinicamente isolata malattia recidivante e la malattia progressiva secondaria attiva negli adulti.
  • Non è noto se Plegridy è sicuro ed efficace nelle persone di età inferiore ai 18 o più di 65 anni.

Non prendere plegridy se tu:

migliori offerte per hotel
  • sono allergici a interferone beta o peginterferone o uno qualsiasi degli altri ingredienti in plegridy. Vedi la fine di questa guida ai farmaci per un elenco completo di ingredienti in plegridy.

Prima di usare Plegridy racconta al tuo operatore sanitario su tutte le condizioni mediche, incluso se tu:

  • vengono trattati per una malattia mentale o hanno avuto un trattamento in passato per qualsiasi malattia mentale tra cui depressione e comportamento suicidario.
  • avere o avere problemi epatici.
  • avere o avere un basso numero di globuli.
  • avere o avere problemi di sanguinamento.
  • avere o avere problemi cardiaci.
  • avere o avere convulsioni (epilessia).
  • avere o avere problemi alla tiroide.
  • avere o avere qualsiasi tipo di malattia autoimmune (in cui il sistema immunitario del corpo attacca le cellule del corpo).
  • avere o avere una reazione allergica alla gomma o al lattice. La punta del cappuccio della siringa plegridy preiepilata per l'uso intramuscolare è realizzata in lattice di gomma naturale.
  • sono incinta o prevedono di rimanere incinta. Non è noto se Plegridy può danneggiare il tuo bambino non ancora nato. Di 'al tuo operatore sanitario se rimani incinta durante il trattamento con plegridy.
  • stanno allattando o pianificano di allattare. Plegridy può passare nel tuo latte materno. Parla con il tuo operatore sanitario del modo migliore per nutrire il tuo bambino se usi Plegridy.

Dì al tuo operatore sanitario di tutti i medicinali che prendi, tra cui prescrizione e medicine da banco vitamine e integratori a base di erbe.

Come dovrei usare plegridy?

  • Vedi le istruzioni dettagliate per l'uso per le istruzioni su come preparare e iniettare la dose di plegridy.
  • Usa Plegridy esattamente come ti dice il tuo operatore sanitario. Un operatore sanitario dovrebbe mostrarti come iniettare il tuo plegridy prima di usarlo per la prima volta.
  • Il tuo operatore sanitario ti dirà quanto plegridy iniettare e quanto spesso iniettare plegridy. Non iniettare più di quanto ti dica il tuo operatore sanitario.
  • Quando usi Plegridy per la prima volta il tuo operatore sanitario può dirti di aumentare lentamente la tua dose.
  • Se ti viene prescritto Plegridy per iniezione sotto la pelle (iniezione sottocutanea):
    • Dovresti usare un pacchetto di avviamento plegridy per regolare lentamente la dose quando inizi il trattamento.
    • Iniettare plegridy sotto la pelle dello stomaco (addome) posteriore della parte superiore del braccio o della coscia 1 volta ogni 14 giorni.
  • Se ti viene prescritto Plegridy per l'iniezione nel muscolo (iniezione intramuscolare):
    • Dovresti usare un kit di titolazione plegridy per regolare lentamente la dose quando inizi il trattamento.
    • Inietta plegridy nella tua coscia 1 volta ogni 14 giorni.
  • Se il tuo operatore sanitario cambia in cui si sta iniettando plegridy (sotto la pelle o nel muscolo) non è necessario aumentare lentamente la dose.
  • Modifica (ruotare) il sito che scegli con ogni iniezione per aiutare a ridurre la possibilità di avere una reazione del sito di iniezione. Non iniettare in un'area del corpo in cui la pelle è irritata da infezione o sfregiata in alcun modo.
  • Dopo 2 ore controlla il tuo sito di iniezione per il dolore arrossato che prude la tenerezza gonfiore una rottura nella pelle che diventa blu e nero o drena il liquido. Se hai una reazione della pelle e non si chiarisce in pochi giorni contatta il tuo operatore sanitario.
  • Utilizzare sempre una nuova penna plegridy pre -piegata o una nuova siringa pre -riempita a dose singola non aperta per ciascuna iniezione.

Quali sono i possibili effetti collaterali del plegridy?

Guarda quali sono le informazioni più importanti che dovrei sapere su Plegridy?

Plegridy may cause serious side effects including:

  • Reazioni allergiche gravi. Le reazioni allergiche gravi possono verificarsi se si assumono plegridy. I sintomi possono includere: prurito di gonfiore degli occhi del viso le labbra di lingua o gola problemi a respirare sentendo deboli ansia per la pelle cutanea cutanea colpi di pelle. Ottieni subito un aiuto di emergenza se hai uno di questi sintomi. Parla con il tuo medico prima di assumere un'altra dose di plegridy.
  • Reazioni del sito di iniezione. Plegridy may commonly cause redness pain itching or swelling at the place where your injection was given. Call your healthcare provider right away if an injection site becomes swollen E painful or the area looks infected. You may have a skin infection or an area of severe skin damage (necrosis) requiring treatment by a healthcare provider.
  • Problemi cardiaci tra cui insufficienza cardiaca congestizia. Chiama subito il tuo operatore sanitario se si hanno peggiori sintomi di insufficienza cardiaca come la mancanza di respiro o il gonfiore delle gambe o dei piedi inferiori mentre si utilizzano plegridy.
  • Problemi di sangue e cambiamenti negli esami del sangue. Plegridy can decrease your white blood cells or platelets which can cause an increased risk of infection bleeding or anemia E can cause changes in your liver function tests. Your healthcare provider will do tests to monitor for side effects while you use Plegridy.
  • microangiopatia trombotica (TMA). Il TMA è una condizione che comporta lesioni ai più piccoli vasi sanguigni del tuo corpo. Il TMA può anche causare lesioni ai cellule rosse (le cellule che trasportano ossigeno agli organi e ai tessuti) e alle piastrine (cellule che aiutano il coagulo di sangue) e a volte possono portare alla morte. Il tuo operatore sanitario potrebbe dirti di smettere di prendere Plegridy se sviluppi TMA.
  • ipertensione arteriosa polmonare. L'ipertensione arteriosa polmonare può verificarsi con prodotti beta di interferone tra cui plegridy. I sintomi possono includere affaticamento nuovo o crescente o mancanza di respiro. Contatta subito il proprio medico se si sviluppa questi sintomi.
  • Malattie autoimmuni. Problemi con sanguinamento facile o lito ghiandola tiroidea I problemi (ipertiroidismo e ipotiroidismo) e l'epatite autoimmune sono avvenuti in alcune persone che usano l'interferone beta.
  • convulsioni. Alcune persone hanno avuto convulsioni durante l'assunzione di plegridy, comprese le persone che non hanno mai avuto convulsioni prima.

Gli effetti collaterali più comuni del plegridy includono:

  • sintomi simili all'influenza. Molte persone che usano plegridy hanno sintomi simili all'influenza soprattutto all'inizio del corso della terapia. Questi sintomi non sono davvero l'influenza. Non puoi trasmetterlo a nessun altro.
    • Potresti essere in grado di gestire questi sintomi simili all'influenza prendendo dolore da banco e riduttori della febbre e bevendo molta acqua.

I sintomi simili all'influenza o altri effetti collaterali comuni di plegridy possono includere: mal di testa muscle E joint aches febbre brividi or tiredness.

Questi non sono tutti i possibili effetti collaterali del plegridy.

Chiama il medico per consigli medici sugli effetti collaterali. È possibile segnalare gli effetti collaterali alla FDA al numero 1-800-FDA-1088.

Informazioni generali sull'uso sicuro ed efficace di plegridy.

Le medicine sono talvolta prescritte a fini diversi da quelli elencati in una guida ai farmaci. Non usare plegridy per una condizione per la quale non è stata prescritta. Non dare plegridy ad altre persone anche se hanno gli stessi sintomi che hai. Potrebbe danneggiare loro. Puoi chiedere al tuo farmacista o al fornitore di assistenza sanitaria informazioni su Plegridy che è scritto per gli operatori sanitari.

Quali sono gli ingredienti in plegridy?

Ingrediente attivo: Peginterferon Beta-1a.

Ingredienti inattivi:

  • Penna predefinita a dose (solo iniezione sottocutanea): L-arginina cloridrato cloridrato polisorbato 20 e triidrato acetato di sodio in acqua sterile per iniezione.
  • Siringa pre-piegata a dose (iniezione sottocutanea e intramuscolare): L-arginina cloridrato cloridrato polisorbato 20 e triidrato acetato di sodio in acqua sterile per iniezione.

Questa guida ai farmaci è stata approvata dalla Food and Drug Administration degli Stati Uniti.

Istruzioni per l'uso

Plegridy®
(Plegg-rih-dee)
(Peginterferon Beta-1A) Iniezione per uso sottocutaneo

Siringa pre-piegata a dose singola
Pacchetto di avviamento

Come iniettare la siringa preimpegnata di plegridy

Leggi queste istruzioni per l'uso prima di iniziare a usare Plegridy e ogni volta che ricevi una ricarica della tua prescrizione. Potrebbero esserci nuove informazioni. Queste informazioni non prendono il posto di parlare con il proprio operatore sanitario sulla tua condizione medica o il trattamento.

Nota:

  • Prima di usare la siringa preimpegnata per la prima volta Il tuo operatore sanitario dovrebbe mostrare a te o al tuo caregiver come preparare e iniettare la tua siringa preimpegnata in plegridy nel modo giusto.
  • Se hai difficoltà o hai domande, chiama il numero 1-800-456-2255.
  • La siringa pre -piegata plegridy è da utilizzare solo sotto la pelle (sottocutanea).
  • Ogni siringa Plegridy preiepilata può essere utilizzata solo 1 volta. Non farlo Condividi la tua siringa preimpegnata plegridy con chiunque altro. Condividendo l'ago puoi dare loro un'infezione o ottenere un'infezione da loro.
  • Prendi la siringa preimpegnata in plegridy dal frigorifero e lascia che arrivi alla temperatura di stanza per almeno 30 minuti prima dell'iniezione.
  • Non farlo Utilizzare più di 1 siringa pre -riempita plegridy ogni 14 giorni.
  • Non farlo Usa la siringa preimpegnata in plegridy se è stata lasciata cadere o è visibilmente danneggiata.

Come dovrei conservare il plegridy?

  • Conservare il plegridy in frigorifero da 36 ° F a 46 ° F (da 2 ° C a 8 ° C).
  • Se un frigorifero non è disponibile, il plegridy può essere conservato a temperatura ambiente fino a 25 ° C (25 ° C) per un massimo di 30 giorni in totale.
  • Mantieni plegridy nel cartone originale per proteggerlo dalla luce.
  • Non farlo Freeze Plegridy.
  • Mantieni gli aghi di siringhe preimpegnati in plegridy e tutti i medicinali fuori dalla portata dei bambini.

Forniture necessarie per il pacchetto di avviamento per l'iniezione di siringa preimpegnata con plegridy (vedi Figura A):

  • 1 pacchetto di avviamento per siringa pre -piegata plegridy che contiene:
    • 1 siringa preimpegnata di plegridy 63 mcg (siringa arancione)
    • 1 siringa preimpegnata di Plegridy 94 mcg (siringa blu)

Figura A.

Forniture aggiuntive che non sono incluse nel pacchetto (vedi Figura B):

  • ALUCOLO PERSONO
  • garza pad
  • bendaggio adesivo
  • 1 contenitore tagliente per buttare via gli aghi usati e siringhe preimpegnate con plegridy. Vedere Smaltimento delle siringhe preimpegnate con plegridy usate Alla fine di queste istruzioni.
  • un'area ben illuminata e una superficie piana pulita su cui lavorare su come un tavolo

Figura b

Dose Schedule

  • Scegli la siringa Premicheggiata per la dose per la dose. Il pacchetto di avviamento per la siringa pre -piegata plegridy contiene le prime 2 iniezioni per regolare lentamente la dose.
  • Assicurati di utilizzare la siringa arancione da 63 mcg per la prima dose (il giorno 1).
  • Assicurati di utilizzare la siringa blu da 94 mcg per la tua seconda dose (il giorno 15).

Chiedi al tuo operatore sanitario quale siringa preimpegnata in plegridy dovresti usare per la tua dose corretta se non sei sicuro.

Parti della siringa preimpegnata di plegridy (vedi Figura E):

Figura E.

Prepararsi per l'iniezione:

Passaggio 1: togli la siringa preimpegnata plegridy dal frigorifero e lascia che arrivi alla temperatura di stanza per almeno 30 minuti.

  • Non farlo Utilizzare fonti di calore esterne come l'acqua calda per riscaldare la siringa preimpegnata in plegridy.

Passaggio 2: raccogli le forniture e lavati le mani

  • Trova un'area ben illuminata e una superficie piana pulita come un tavolo e raccogli tutte le forniture che dovrai regalarti o ricevere un'iniezione.
  • Lavati le mani con sapone e acqua.

Passaggio 3: controlla la siringa preimpegnata di plegridy

  • Controllare la data di scadenza stampata sulla siringa preimpegnata in plegridy (vedere la Figura F).
    • Non farlo Utilizzare la siringa preimpegnata plegridy oltre la data di scadenza.
  • Controlla che la tua medicina plegridy sia chiara e incolore (vedi Figura G).
    • Non farlo Utilizzare la siringa pre -piegata plegridy se il liquido è colorato nuvoloso o contiene particelle galleggianti.
    • Potresti vedere bolle d'aria nella tua medicina plegridy. Questo è normale e non influenzerà la dose.

Figura g

Passaggio 4: scegli e pulisci il tuo sito di iniezione

  • La siringa pre -piegata plegridy è da utilizzare solo sotto la pelle (sottocutanea).
  • La siringa pre -piegata plegridy deve essere iniettata nell'area dello stomaco della coscia (addome) o nella parte posteriore della parte superiore del braccio (vedi Figura H).
    • Non farlo Iniettare direttamente nel tuo ombelico.
    • Non farlo Iniettare in un'area del tuo corpo in cui la pelle è irritata da infezione o sfregiata.
  • Cambia (ruota) il sito di iniezione per ogni iniezione. Non farlo Utilizzare lo stesso sito di iniezione per ogni iniezione.
  • Scegli un sito di iniezione e cancella la pelle con una pulizia alcolica.
    • Non farlo Tocca di nuovo quest'area prima di dare l'iniezione.
  • Lascia asciugare il tuo sito di iniezione da solo prima di iniettare la dose.
  • Non farlo Togliti la copertura con ago con siringa preimpegnata con plegridy fino a quando non si è pronti per iniettare.

Figura h

Dare la tua iniezione:

Passaggio 5: rimuovere il coperchio con ago con siringa preimpegnato plegridy

  • Con 1 mano tieni la siringa pre -piegata plegridy. Con l'altra mano tieni fermamente il coperchio dell'ago e tira il coperchio dell'ago fuori dall'ago (vedi Figura I).
    • Stai attento Quando si rimuove la copertura dell'ago per evitare di ottenere un infortunio a bastoncino.
    • Non farlo Tocca l'ago.
    • Importante: non farlo ricapitola la siringa preimpegnata plegridy. Potresti ottenere un infortunio a bastoncino.
    • Getta via la copertura dell'ago dopo l'iniezione.

Figura I.

Passaggio 6: pizzicare delicatamente il sito di iniezione

  • Con 1 mano usa il pollice e il primo dito e pizzica la pelle attorno al sito di iniezione pulito (vedi Figura J).

Figura j

Passaggio 7: dare l'iniezione della siringa preimpegnata di plegridy

  • Con l'altra mano tieni la tua siringa pre -piegata plegridy come una matita. Usa un movimento rapido simile a un dardo e inserisci l'ago ad un angolo di 90 ° nella pelle (vedi Figura K).
  • Dopo che l'ago è a lasciare andare la pelle.

Figura k

  • Spingere lentamente lo stantuffo verso il basso fino a quando la siringa è vuota (vedi Figura L).
    • Non farlo Prendi la tua siringa preimpegnata plegridy dal tuo sito di iniezione fino a quando non hai lentamente spinto lo stantuffo fino in fondo.

Figura l

  • Tira fuori l'ago dalla pelle (vedi Figura M).
    • Se vedi il sangue nel tuo sito di iniezione, cancellalo con il pad di garza e applica una benda adesiva.
  • Importante: non farlo Ricapitola la siringa preimpegnata in plegridy. Potresti ottenere un infortunio a bastoncino.
  • Non farlo Riutilizza la tua siringa preimpegnata in plegridy.

Figura m

Dopo l'iniezione:

Passaggio 8: smaltimento delle siringhe preimpegnate con plegridy usate

  • Metti le siringhe preimpegnate con plegridy usate in un contenitore di smaltimento tagliente per la FDA subito dopo l'uso. Non farlo throw away (dispose of) Plegridy Prefilled Syringes in your household trash.
  • Se non si dispone di un contenitore di smaltimento tagliente per la FDA, è possibile utilizzare un contenitore per la casa che è:
    • Realizzato in plastica pesante
    • può essere chiuso con un coperchio resistente alla foratura aderente senza taglienti
    • in posizione verticale e stabile durante l'uso
    • Resistente alle perdite e
    • correttamente etichettato per avvertire i rifiuti pericolosi all'interno del contenitore.
  • Quando il contenitore di smaltimento di Sharps è quasi pieno, dovrai seguire le linee guida della tua comunità per il modo giusto per smaltire il contenitore di smaltimento di Sharps. Potrebbero esserci leggi statali o locali su come dovresti buttare via aghi e siringhe usate. Per ulteriori informazioni sullo smaltimento di Sharps Safe e per informazioni specifiche sullo smaltimento di Sharps nello stato in cui vivi, visitare il sito Web della FDA all'indirizzo: https://www.fda.gov/safesharpsdisposal.
  • Non farlo Smaltire il contenitore di smaltimento tagliente usato nella spazzatura domestica a meno che le linee guida della comunità non lo consentano. Non farlo Ricicla il contenitore di smaltimento tagliente usato.

Passaggio 9: controlla il tuo sito di iniezione

  • Plegridy può comunemente causare dolore al rossore o gonfiore della pelle nel sito di iniezione.
  • Dopo 2 ore controlla il sito di iniezione per gonfiore o tenerezza.
  • Chiama subito il tuo operatore sanitario se il tuo sito di iniezione diventa gonfio e doloroso o l'area sembra infetta e non guarisce in pochi giorni.

Domande?

Per domande relative al prodotto o al servizio, chiamare il numero 1-800-456-2255 o visitare il sito www.plegridy.com.

Istruzioni per l'uso

Plegridy®
(Plegg-rih-dee)
(Peginterferon Beta-1A) Iniezione per uso sottocutaneo

Penna predefinita a dose monodosa 125 mcg

Importante : Non rimuovere il tappo della penna plegridy fino a quando non si è pronti a iniettare.

Come iniettare la tua penna plegridy

Leggi queste istruzioni per l'uso prima di iniziare a usare Plegridy e ogni volta che ricevi una ricarica della tua prescrizione. Potrebbero esserci nuove informazioni. Queste informazioni non prendono il posto di parlare con il proprio operatore sanitario sulla tua condizione medica o il trattamento.

Nota:

  • Prima di usare la tua penna plegridy per la prima volta Il tuo operatore sanitario dovrebbe mostrare a te o al tuo caregiver come preparare e iniettare la tua penna plegridy nel modo giusto.
  • Se hai difficoltà o hai domande, chiama il numero 1-800-456-2255.
  • La penna plegridy è da utilizzare solo sotto la pelle (sottocutanea).
  • Ogni penna plegridy può essere utilizzata solo 1 volta. Non farlo Condividi la tua penna plegridy con chiunque altro. Condividendo la penna puoi dare loro un'infezione o ottenere un'infezione da loro.
  • Togli la penna plegridy dal frigorifero e lascia che arrivi a temperatura ambiente per almeno 30 minuti prima dell'iniezione.
  • Non farlo Usa più di 1 penna plegridy ogni 14 giorni.
  • Non farlo Usa la tua penna plegridy se è stata lasciata cadere o è visibilmente danneggiata.

Come dovrei conservare il plegridy?

  • Conservare il plegridy in frigorifero da 36 ° F a 46 ° F (da 2 ° C a 8 ° C).
  • Se un frigorifero non è disponibile, il plegridy può essere conservato a temperatura ambiente fino a 25 ° C (25 ° C) per un massimo di 30 giorni in totale.
  • Mantieni plegridy nel cartone originale per proteggerlo dalla luce.
  • Non farlo Freeze Plegridy.
  • Mantieni gli aghi plegridy penne e tutti i medicinali fuori dalla portata dei bambini.

Forniture necessarie per l'iniezione di penna plegridy:

  • 1 Plegridy 125 mcg Penna (vedi Figura A)

Prima dell'uso - parti della tua penna plegridy (Figura A)

Figura A.

Importante: non farlo remove the Plegridy Pen cap until you are ready to inject. If you remove the cap before you are ready to inject do not re-cap the pen. Re-capping could cause the pen to lock.

Forniture aggiuntive che non sono incluse nel pacchetto (vedi Figura B):

  • ALUCOLO PERSONO
  • garza pad
  • bendaggio adesivo
  • 1 contenitore tagliente per buttare via aghi usati e penne plegridy. Vedi lo smaltimento delle penne plegridy usate alla fine di queste istruzioni.
  • un'area ben illuminata e una superficie piana pulita su cui lavorare su come un tavolo

Figura b

Prepararsi per l'iniezione:

Passaggio 1: togli la penna plegridy dal frigorifero e lascia che arrivi a temperatura per almeno 30 minuti.

  • Non farlo Usa sorgenti di calore esterne come l'acqua calda per riscaldare la penna plegridy.

Passaggio 2: raccogli le forniture e lavati le mani

  • Trova un'area ben illuminata e una superficie piana pulita come un tavolo e raccogli tutte le forniture che dovrai regalarti o ricevere un'iniezione.
  • Lavati le mani con sapone e acqua.

Passaggio 3: controlla la tua penna plegridy (vedi Figura C)

  • Controlla la finestra di stato di iniezione sulla penna plegridy. Prima di dare l'iniezione, dovresti vedere le strisce verdi nella finestra dello stato di iniezione.
    • Non farlo Usa Plegridy Pen se non si vede le strisce verdi nella finestra dello stato di iniezione.
  • Controlla la data di scadenza stampata sulla tua penna plegridy.
    • Non farlo Usa Plegridy Pen oltre la data di scadenza.
  • Controlla la finestra di medicina sulla tua penna plegridy e assicurati che la medicina plegridy sia chiara e incolore.
    • Non farlo Usa Plegridy Pen se il liquido è colorato nuvoloso o contiene particelle galleggianti.
    • Potresti vedere le bolle d'aria nella finestra della medicina. Questo è normale e non influenzerà la dose.

Figura c

Passaggio 4: scegli e pulisci il tuo sito di iniezione

  • La penna plegridy è da utilizzare solo sotto la pelle (sottocutanea).
  • La penna plegridy dovrebbe essere iniettata nell'addome della coscia o nella parte superiore del braccio superiore (vedi Figura D).
    • Non farlo Iniettare in un'area del tuo corpo in cui la pelle è irritata da infezione o sfregiata.
  • Cambia (ruotare) il sito di istruzione per ogni iniezione. Non farlo Utilizzare lo stesso sito di iniezione per ogni iniezione.
  • Scegli un sito di iniezione e cancella la pelle con una pulizia alcolica.
    • Non farlo Tocca di nuovo quest'area prima di dare l'iniezione.
  • Lascia asciugare il tuo sito di iniezione da solo prima di iniettare la dose.

Figura d

Dare la tua iniezione:

Passaggio 5: rimuovere il tappo della penna plegridy

  • Tirare via il tappo della penna plegridy e mettilo da parte (vedi Figura E).
    • L'ago è coperto dalla copertura dell'ago e l'ago non sarà visto.
  • Importante information:
    • Non farlo Toccare o pulire il coperchio dell'ago. Potresti ottenere un infortunio a bastoncino o la penna può bloccare.
    • Non farlo Ricapitola la tua penna plegridy. Questo potrebbe bloccare la penna.
  • La tua penna plegridy è pronta a iniettare dopo che il cappuccio è stato rimosso.

Figura E.

Passaggio 6: dare l'iniezione

  • Posiziona la tua penna plegridy sul sito di iniezione prescelta.
    • Dovresti tenere la penna plegridy con un angolo di 90 ° rispetto al sito di iniezione in modo da poter vedere le strisce verdi nella finestra di stato di iniezione (vedere la Figura F).

Figura f

    • Non farlo Usa la tua penna plegridy a meno che tu non vedi strisce verdi nella finestra dello stato di iniezione.

Nota: Preparati a iniettare prima di iniziare a premere la penna plegridy sul tuo sito di iniezione. Dopo aver iniziato a premere il coperchio dell'ago si bloccherà quando viene sollevato dal sito.

  • Premi fermamente e tieni premuto la penna plegridy sul tuo sito di iniezione. Questo inserirà l'ago e inizierà l'iniezione (vedi Figura G).

Figura g

    • Sentirai un suono di clic.
  • Continua a tenere saldamente la penna plegridy sul tuo sito di iniezione fino a quando il suono di clic non si è fermato (vedere la Figura H).
    • Non farlo Sollevare la penna plegridy dal sito di iniezione fino a quando il suono di clic non si interrompe e si vede segnali verdi nella finestra di stato di iniezione.

Figura h

Se non si sente fare clic su suoni o non si vede segnali verdi nella finestra dello stato di iniezione dopo aver tentato di dare l'iniezione che la tua penna plegridy potrebbe essere bloccata e dovresti chiamare il numero 1-800-456-2255.

Passaggio 7: rimuovere la penna plegridy dal tuo sito di iniezione

  • Dopo che il suono di clic ha smesso di sollevare la penna plegridy dal tuo sito di iniezione. L'ago verrà coperto e si bloccherà (vedi Figura I).

Figura I.

Passaggio 8: controlla e assicurati di aver ricevuto la tua dose completa di plegridy (vedi Figura J)

  • Controllare la finestra di stato di iniezione. Dovresti vedere segni verdi nella finestra dello stato di iniezione.
  • Controlla la finestra della medicina. Dovresti vedere uno stantuffo giallo nella finestra della medicina.
    • Se vedi il sangue al tuo sito di iniezione, cancellalo con garza e applica una benda adesiva.

Figura j

Dopo l'iniezione:

Dopo l'uso - parti della tua penna plegridy (Figura K)

Figura k

Importante: non farlo Tocca la copertura dell'ago in alcun modo. Potresti ottenere un infortunio a bastoncino.

Nota: After the pen has been removed from the injection site the needle cover will lock to protect against needle stick injury. Non farlo Ricapitola la tua penna plegridy.

Passaggio 9: smaltimento delle penne plegridy usate

  • Metti le tue penne plegridy usate in un contenitore di smaltimento tagliente con FDA subito dopo l'uso. Non farlo throw away (dispose of) Plegridy Pens in your household trash.
  • Se non si dispone di un contenitore di smaltimento tagliente per la FDA, è possibile utilizzare un contenitore per la casa che è:
    • Realizzato in plastica pesante
    • può essere chiuso con un coperchio resistente alla foratura aderente senza taglienti
    • in posizione verticale e stabile durante l'uso
    • Resistente alle perdite e
    • correttamente etichettato per avvertire i rifiuti pericolosi all'interno del contenitore.
  • Quando il contenitore di smaltimento di Sharps è quasi pieno, dovrai seguire le linee guida della tua comunità per il modo giusto per smaltire il contenitore di smaltimento di Sharps. Potrebbero esserci leggi statali o locali su come dovresti buttare via aghi e penne usate. Per ulteriori informazioni sullo smaltimento di Sharps Safe e per informazioni specifiche sullo smaltimento di Sharps nello stato in cui vivi, visitare il sito Web della FDA all'indirizzo: https://www.fda.gov/safesharpsdisposal.
  • Non farlo Smaltire il contenitore di smaltimento tagliente usato nella spazzatura domestica a meno che le linee guida della comunità non lo consentano. Non farlo Ricicla il contenitore di smaltimento tagliente usato.
  • Non farlo Ricapitola la tua penna plegridy.

Passaggio 10: controlla il tuo sito di iniezione

  • Plegridy può comunemente causare dolore al rossore o gonfiore della pelle nel sito di iniezione.
  • Dopo 2 ore controlla il sito di iniezione per gonfiore o tenerezza. Chiama subito il tuo operatore sanitario se il tuo sito di iniezione diventa gonfio e doloroso o l'area sembra infetta e non guarisce in pochi giorni.

Domande?

Per domande relative al prodotto o al servizio, chiamare il numero 1-800-456-2255 o visitare il sito www.plegridy.com.

Istruzioni per l'uso

Plegridy®
(Plegg-rih-dee)
(Peginterferon Beta-1A) Iniezione per uso sottocutaneo

Penna predefinita a dose singola

Pacchetto di avviamento

Importante: non farlo Rimuovere il tappo della penna plegridy fino a quando non sei pronto a iniettare. Come iniettare la tua penna plegridy

Leggi queste istruzioni per l'uso prima di iniziare a usare Plegridy e ogni volta che ricevi una ricarica della tua prescrizione. Potrebbero esserci nuove informazioni. Queste informazioni non prendono il posto di parlare con il proprio operatore sanitario sulla tua condizione medica o il trattamento.

Nota:

  • Prima di usare la tua penna plegridy per la prima volta Il tuo operatore sanitario dovrebbe mostrare a te o al tuo caregiver come preparare e iniettare la tua penna plegridy nel modo giusto.
  • Se hai difficoltà o hai domande, chiama il numero 1-800-456-2255.
  • La penna plegridy è da utilizzare solo sotto la pelle (sottocutanea).
  • Ogni penna plegridy può essere utilizzata solo 1 volta. Non farlo Condividi la tua penna plegridy con chiunque altro. Condividendo la penna puoi dare loro un'infezione o ottenere un'infezione da loro.
  • Togli la penna plegridy dal frigorifero e lascia che arrivi a temperatura ambiente per almeno 30 minuti prima dell'iniezione.
  • Non farlo Usa più di 1 penna plegridy ogni 14 giorni.
  • Non farlo Usa la tua penna plegridy se è stata lasciata cadere o è visibilmente danneggiata.

Come dovrei conservare il plegridy?

  • Conservare il plegridy in frigorifero da 36 ° F a 46 ° F (da 2 ° C a 8 ° C).
  • Se un frigorifero non è disponibile, il plegridy può essere conservato a temperatura ambiente fino a 25 ° C (25 ° C) per un massimo di 30 giorni in totale.
  • Mantieni plegridy nel cartone originale per proteggerlo dalla luce.
  • Non farlo Freeze Plegridy.
  • Mantieni gli aghi plegridy penne e tutti i medicinali fuori dalla portata dei bambini.

Forniture necessarie per il pacchetto di avviamento per l'iniezione di penna plegridy (vedi Figura A):

  • 1 pacchetto di avviamento per penna plegridy che contiene:
    • 1 Plegridy 63 McG Pen (Penna arancione)
    • 1 Plegridy 94 McG Pen (Penna blu)

Figura A.

Forniture aggiuntive che non sono incluse nel pacchetto (vedi Figura B):

  • ALUCOLO PERSONO
  • garza pad
  • bendaggio adesivo
  • 1 contenitore tagliente per buttare via aghi usati e penne plegridy. Vedere Smaltimento delle penne plegridy usate Alla fine di queste istruzioni.
  • un'area ben illuminata e una superficie piana pulita su cui lavorare su come un tavolo

Figura b

Dose Schedule

  • Scegli la penna plegridy giusta per la tua dose. Il pacchetto di avviamento per la penna plegridy contiene le prime 2 iniezioni per regolare lentamente la dose.
  • Assicurati di utilizzare la penna arancione da 63 mcg per la tua prima dose (il giorno 1).
  • Assicurati di utilizzare la penna blu da 94 mcg per la tua seconda dose (il giorno 15).

Chiedi al tuo operatore sanitario quale penna plegridy dovresti usare per la tua dose corretta se non sei sicuro.

Prima dell'uso - parti della penna plegridy prima dell'uso (vedi Figura E):

Figura E.

Importante: non farlo remove the Plegridy Pen cap until you are ready to inject. If you remove the cap before you are ready to inject do not re-cap the pen. Re-capping could cause the pen to lock.

Prepararsi per l'iniezione:

Passaggio 1: togli la penna plegridy dal frigorifero e lascia che arrivi a temperatura ambiente per almeno 30 minuti.

  • Non farlo Usa sorgenti di calore esterne come l'acqua calda per riscaldare la penna plegridy.

Passaggio 2: raccogli le forniture e lavati le mani

  • Trova un'area ben illuminata e una superficie piana pulita come un tavolo e raccogli tutte le forniture che dovrai regalarti o ricevere un'iniezione.
  • Lavati le mani con sapone e acqua.

Passaggio 3: controlla la tua penna plegridy (vedi Figura F)

  • Controlla la finestra di stato di iniezione sulla penna plegridy. Prima di dare l'iniezione, dovresti vedere le strisce verdi nella finestra dello stato di iniezione.
    • Non farlo Usa Plegridy Pen se non si vede le strisce verdi nella finestra dello stato di iniezione.
  • Controlla la data di scadenza stampata sulla tua penna plegridy.
    • Non farlo Usa Plegridy Pen oltre la data di scadenza.
  • Controlla la finestra di medicina sulla tua penna plegridy e assicurati che la medicina plegridy sia chiara e incolore.
    • Non farlo Usa Plegridy Pen se il liquido è colorato nuvoloso o contiene particelle galleggianti.
    • Potresti vedere le bolle d'aria nella finestra della medicina. Questo è normale e non influenzerà la dose.

Figura f

Passaggio 4: scegli e pulisci il tuo sito di iniezione

  • La penna plegridy è da utilizzare solo sotto la pelle (sottocutanea).
  • La penna plegridy deve essere iniettata nell'area dello stomaco della coscia (addome) o nella parte superiore del braccio superiore (vedi Figura G).
    • Non farlo Iniettare in un'area del tuo corpo in cui la pelle è irritata da infezione o sfregiata.
  • Cambia (ruota) il sito di iniezione per ogni iniezione. Non farlo Utilizzare lo stesso sito di iniezione per ogni iniezione.

Figura g

  • Scegli un sito di iniezione e cancella la pelle con una pulizia alcolica.
    • Non farlo Tocca di nuovo quest'area prima di dare l'iniezione.
  • Lascia asciugare il tuo sito di iniezione da solo prima di iniettare la dose.

Dare la tua iniezione:

Passaggio 5: rimuovere il tappo della penna plegridy

  • Tirare via il tappo della penna plegridy e mettilo da parte (vedi Figura H).
    • L'ago è coperto dalla copertura dell'ago e l'ago non sarà visto.
  • Importante information:
    • Non farlo Toccare o pulire il coperchio dell'ago. Potresti ottenere un infortunio a bastoncino o la penna può bloccare.
    • Non farlo Ricapitola la tua penna plegridy. Questo potrebbe bloccare la penna.
  • La tua penna plegridy è pronta a iniettare dopo che il cappuccio è stato rimosso

Figura h

Passaggio 6: dare l'iniezione

  • Posiziona la tua penna plegridy sul sito di iniezione prescelta.
    • Dovresti tenere la tua penna plegridy ad un angolo di 90 ° dal sito di iniezione in modo da poter vedere le strisce verdi nella finestra di stato di iniezione (vedi Figura I).

Figura I.

    • Non farlo Usa la tua penna plegridy a meno che tu non vedi strisce verdi nella finestra dello stato di iniezione.

Nota: Preparati a iniettare prima di iniziare a premere la penna plegridy sul tuo sito di iniezione. Dopo aver iniziato a premere il coperchio dell'ago si bloccherà quando viene sollevato dal sito.

  • Premi fermamente e tieni premuto la penna plegridy sul tuo sito di iniezione. This will insert the needle E start your injection (See Figura j).

Figura j

    • Sentirai un suono di clic.
  • Continua a tenere saldamente la penna plegridy sul tuo sito di iniezione fino a quando il suono di clic non si è fermato (vedere la Figura K).

Figura k

    • Non farlo Sollevare la penna plegridy dal sito di iniezione fino a quando il suono di clic non si interrompe e si vede segnali verdi nella finestra di stato di iniezione.

Se non si sente fare clic su suoni o non si vede segnali verdi nella finestra dello stato di iniezione dopo aver tentato di dare aiuto all'iniezione la tua penna plegridy e dovresti chiamare il numero 1-800-456-2255.

Passaggio 7: rimuovere la penna plegridy dal tuo sito di iniezione

  • Dopo che il suono di clic ha smesso di sollevare la penna plegridy dal tuo sito di iniezione. L'ago sarà coperto dal coperchio dell'ago e bloccherà (vedi Figura L).

Figura l

Passaggio 8: controlla per assicurarti di aver ricevuto la tua dose completa di plegridy (vedi Figura M)

  • Controllare la finestra di stato di iniezione. Dovresti vedere segni verdi nello stato di iniezione.
  • Controlla la finestra della medicina. Dovresti vedere uno stantuffo giallo nella medicina.
    • Se vedi il sangue nel tuo sito di iniezione, cancellalo con il pad di garza e applica una benda adesiva.

Figura m

Dopo l'iniezione:

Dopo l'uso - parti della tua penna plegridy (Figura N)

Figura n

Importante: non farlo Tocca la copertura dell'ago in alcun modo. Potresti ottenere un infortunio a bastoncino.

Nota: After the pen has been removed from the injection site the needle cover will lock to protect against needle stick injury. Non farlo Ricapitola la tua penna plegridy.

Passaggio 9: smaltimento delle penne plegridy usate

  • Metti le tue penne plegridy usate in un contenitore di smaltimento tagliente con FDA subito dopo l'uso. Non farlo throw away (dispose of) Plegridy Pens in your household trash.
  • Se non si dispone di un contenitore di smaltimento tagliente per la FDA, è possibile utilizzare un contenitore per la casa che è:
    • Realizzato in plastica pesante
    • può essere chiuso con un coperchio resistente alla foratura aderente senza taglienti
    • in posizione verticale e stabile durante l'uso
    • Resistente alle perdite e
    • correttamente etichettato per avvertire i rifiuti pericolosi all'interno del contenitore.
  • Quando il contenitore di smaltimento di Sharps è quasi pieno, dovrai seguire le linee guida della tua comunità per il modo giusto per smaltire il contenitore di smaltimento di Sharps. Potrebbero esserci leggi statali o locali su come dovresti buttare via aghi e penne usate. Per ulteriori informazioni sullo smaltimento di Sharps Safe e per informazioni specifiche sullo smaltimento di Sharps nello stato in cui vivi, visitare il sito Web della FDA all'indirizzo: https://www.fda.gov/safesharpsdisposal.
  • Non farlo Smaltire il contenitore di smaltimento tagliente usato nella spazzatura domestica a meno che le linee guida della comunità non lo consentano. Non farlo Ricicla il contenitore di smaltimento tagliente usato.
  • Non farlo Ricapitola la tua penna plegridy.

Passaggio 10: controlla il tuo sito di iniezione

  • Plegridy può comunemente causare dolore al rossore o gonfiore della pelle nel sito di iniezione.
  • Dopo 2 ore controlla il sito di iniezione per gonfiore o tenerezza.
  • Chiama subito il tuo operatore sanitario se il tuo sito di iniezione diventa gonfio e doloroso o l'area sembra infetta e non guarisce in pochi giorni.
Istruzioni per l'uso

Plegridy®
(Plegg-rih-dee)
UN

Siringa pre-piegata a dose singola

Leggi queste istruzioni da utilizzare prima di iniziare a usare Plegridy e ogni volta che ottieni una ricarica. Potrebbero esserci nuove informazioni. Queste informazioni non prendono il posto di parlare con il proprio operatore sanitario sulla tua condizione medica o il trattamento.

Importante information:

  • La punta del cappuccio della siringa preimpegnata plegridy è realizzata in lattice di gomma naturale. Di 'al tuo operatore sanitario se sei allergico alla gomma o al lattice.
  • Segui queste istruzioni per l'uso per la siringa preimpegnata plegridy per l'uso intramuscolare (nel muscolo). Esistono diverse istruzioni per l'uso per la siringa pre -riempita plegridy per l'uso sottocutaneo (sotto la pelle).

Nota:

  • Prima di utilizzare la siringa preimpegnata in plegridy per la prima volta che il tuo operatore sanitario dovrebbe mostrare a te o al tuo caregiver come preparare e iniettare la tua siringa preimpegnata plegridy nel modo giusto.
  • Ogni siringa Plegridy preiepilata può essere utilizzata solo 1 volta. Non condividere la siringa preimpegnata con plegridy con nessun altro. Condividendo l'ago puoi dare loro un'infezione o ottenere un'infezione da loro.
  • Non farlo use more than 1 Siringa Plegridy Prempedicata every 14 days.

Come dovrei conservare il plegridy?

  • Conservare il plegridy in frigorifero da 36 ° F a 46 ° F (da 2 ° C a 8 ° C).
  • Se un frigorifero non è disponibile, il plegridy può essere conservato a temperatura ambiente fino a 25 ° C (25 ° C) per un totale di 30 giorni.
  • Puoi conservare le siringhe preimpegnate in plegridy a temperatura ambiente e poi rimetterle in frigorifero.
  • Non farlo Freeze Plegridy. Non farlo Usa plegridy che è stato congelato.
  • Conservare Plegridy nel cartone originale per proteggerlo dalla luce.

Mantieni la siringa preimpegnata in plegridy e tutti i medicinali fuori dalla portata dei bambini.

Forniture di cui avrai bisogno per l'iniezione di plegridy:

  • 1 pacchetto dose di somministrazione plegridy che contiene:
    • 1 Siringa Plegridy Prempedicata
    • Ago sterile lungo il calibro 23

Forniture aggiuntive non incluse nel pacchetto dose di amministrazione Plegridy:

  • 1 pulizia alcolica
  • 1 pad di garza
  • 1 fascia adesiva
  • Un contenitore di smaltimento tagliente per buttare via siringhe e aghi usati. Vedi dopo l'iniezione plegridy alla fine di queste istruzioni.

Preparazione della dose di plegridy:

  • Trova una superficie di lavoro piatta pulita ben illuminata come un tavolo e raccogli tutte le forniture che dovrai regalarti o ricevere un'iniezione.
  • Prendi 1 pacchetto di dose di amministrazione plegridy dal frigorifero e lascia che arrivi a temperatura ambiente per circa 30 minuti. Non utilizzare fonti di calore esterne come l'acqua calda per riscaldare la siringa pre -riempita plegridy.
  • Controllare la data di scadenza stampata sul pacchetto dose di somministrazione plegridy con siringa plegridy e il cartone esterno. Non utilizzare la siringa preimpegnata plegridy oltre la data di scadenza.
  • Lavati le mani con sapone e acqua.

Identificazione di parti della siringa preiepilata plegridy (vedere la Figura A).

Preparare l'iniezione di plegridy:

Passaggio 1: Controlla la siringa preimpegnata in plegridy (vedi Figura A):

  • La siringa non dovrebbe avere crepe o danni.
  • Verificare che il cappuccio sia intatto e non sia stato rimosso.
  • Plegridy dovrebbe apparire leggermente chiaro incolore a leggermente giallo e non dovrebbe avere particelle.

Non farlo Usa la siringa preimpegnata in plegridy se:

  • La siringa è rotta o danneggiata.
  • La soluzione è di colore nuvoloso diverso da leggermente giallo o contiene grumi o particelle.
  • Il cappuccio è stato rimosso o non è strettamente attaccato.

Se non puoi usare quella siringa dovrai ottenere una nuova siringa. Contattare Biogen al numero 1-800-456-2255.

Figura A.

Passaggio 2: Con 1 mano tenere la siringa pre -piegata plegridy proprio sotto il cappuccio e con il cappuccio rivolto verso l'alto (vedere la Figura B).

  • Assicurati di trattenere la siringa preimpegnata plegridy dalla parte increspata direttamente sotto il cappuccio.

Figura b

Passaggio 3: Con l'altra mano afferra il cappuccio e piegarlo ad un angolo di 90 ° fino a quando il tappo si scatta (vedere la Figura C e la Figura D).

Figura c

Figura d

Passaggio 4: Apri il pacchetto ad ago sterile ed elimina l'ago coperto. Tenere la siringa preimpegnata plegridy con la punta della siringa di vetro rivolta verso l'alto. Premere l'ago sulla punta del vetro della siringa preimpegnata con plegridy (vedere la Figura E).

Figura E.

Passaggio 5: Trasforma delicatamente l'ago a destra (in senso orario) fino a quando non è stretto e saldamente attaccato (vedere la Figura F).

  • Se l'ago non è saldamente attaccato, potrebbe perde e potresti non ottenere la tua dose completa di plegridy.
  • Non farlo Rimuovere il coperchio protettivo dall'ago.

Figura f

Dare l'iniezione plegridy:

  • Il tuo operatore sanitario dovrebbe mostrare a te o a un caregiver come preparare e iniettare la dose di plegridy prima che la siringa pre -riempita plegridy venga utilizzata per la prima volta. Il tuo operatore sanitario dovrebbe vederti iniettare la dose di plegridy la prima volta che viene utilizzata la siringa preimpegnata di Plegridy.
  • Inietta il tuo plegridy esattamente come ti ha mostrato il tuo operatore sanitario.
  • Il plegridy viene iniettato nel muscolo (intramuscolare).
  • Il plegridy dovrebbe essere iniettato nella coscia (vedi Figura G).
  • Cambia (ruota) i siti di iniezione per ogni dose. Non utilizzare lo stesso sito di iniezione per ogni iniezione.
  • Non farlo Iniettare in un'area del corpo in cui la pelle è irritata da infezione o sfregiata in alcun modo.

Passaggio 6: Scegli la tua coscia sinistra o destra e asciuga la pelle con una pulizia alcolica (vedi Figura G). Lascia asciugare il sito di iniezione prima di iniettare la dose.

  • Non farlo Tocca di nuovo quest'area prima di dare l'iniezione.

Figura g

Passaggio 7: Tirare la copertura protettiva direttamente dall'ago (vedi Figura H). Non torcere la copertina.

Figura h

Passaggio 8: Con 1 mano allungare la pelle attorno al sito di iniezione. Con l'altra mano tenere la siringa come una matita. Usa un movimento rapido simile a un dardo e inserisci l'ago ad un angolo di 90 ° attraverso la pelle e nel muscolo (vedi Figura I). Dopo che l'ago è a lasciare andare la pelle.

Figura I.

Passaggio 9: Spingere lentamente lo stantuffo verso il basso fino a quando la siringa non è vuota (vedi Figura j).

Figura j

lurasidone altri farmaci nella stessa classe

Passaggio 10: Estrarre l'ago dalla pelle (vedi Figura K). Premere il sito di iniezione con la garza per alcuni secondi o strofinare delicatamente con un movimento circolare.

  • Se vedi il sangue dopo aver premuto il sito di iniezione per alcuni secondi, pulirlo con la garza e applicare una benda adesiva.

Figura k

Dopo l'iniezione di plegridy:

  • Non farlo ricapitolare l'ago. Il ricapitolamento dell'ago può portare a una lesione a bastone dell'ago.
  • Metti subito gli aghi usati e le siringhe in un contenitore di smaltimento tagliente per la FDA subito dopo l'uso. Non buttare via (smaltire gli aghi sciolti e le siringhe nella spazzatura domestica.
  • Se non si dispone di un contenitore di smaltimento tagliente per la FDA, è possibile utilizzare un contenitore per la casa che è:
    • Realizzato in plastica pesante
    • può essere chiuso con un coperchio resistente alla foratura aderente senza taglienti
    • in posizione verticale e stabile durante l'uso
    • resistente alle perdite e
    • correttamente etichettato per avvertire i rifiuti pericolosi all'interno del contenitore.
  • Quando il contenitore di smaltimento di Sharps è quasi pieno, dovrai seguire le linee guida della tua comunità per il modo giusto per smaltire il contenitore di smaltimento di Sharps. Potrebbero esserci leggi statali o locali su come dovresti buttare via aghi e siringhe usate. Per ulteriori informazioni sullo smaltimento di Sharps Safe e per informazioni specifiche sullo smaltimento di Sharps nello stato in cui vivi sul sito Web della FDA all'indirizzo: https://www.fda.gov/safesharpsdisposal
  • Non farlo Smaltire il contenitore di smaltimento tagliente usato nella spazzatura domestica a meno che le linee guida della comunità non lo consentano. Non farlo Ricicla il contenitore di smaltimento tagliente usato.

Controlla il tuo sito di iniezione:

  • Dopo 2 ore controlla il sito di iniezione per il dolore arrossato che prude la tenerezza gonfiore una pausa nella pelle che diventa blu e nero o scarica il liquido. Se hai una reazione della pelle e non si chiarisce in pochi giorni contatta il tuo operatore sanitario.

Informazioni generali sull'uso sicuro ed efficace di plegridy

  • Utilizzare sempre una nuova siringa e ago preimpegnati plegridy per ogni iniezione. Non riutilizzare la siringa o gli aghi preimpegnati plegridy.
  • Non farlo Condividi la siringa o gli aghi preimpegnati plegridy.

Istruzioni per l'uso

Plegridy®
(Plegg-rih-dee)
(Peginterferon Beta-1A) Iniezione per uso intramuscolare

Kit di titolazione per l'uso con il plegridy intramuscolare

Siringa pre-piegata a dose singola Only

Leggi queste istruzioni da utilizzare prima di iniziare a usare Plegridy e ogni volta che ottieni una ricarica. Potrebbero esserci nuove informazioni. Queste informazioni non prendono il posto di parlare con il proprio operatore sanitario sulla tua condizione medica o il trattamento.

Importante information: La punta del cappuccio della siringa preimpegnata plegridy è realizzata in lattice di gomma naturale. Di 'al tuo operatore sanitario se sei allergico alla gomma o al lattice.

Nota:

  • Prima di utilizzare la siringa preimpegnata in plegridy per la prima volta che il tuo operatore sanitario dovrebbe mostrare a te o al tuo caregiver come preparare e iniettare la tua siringa preimpegnata plegridy nel modo giusto.
  • Ogni siringa Plegridy preiepilata può essere utilizzata solo 1 volta. Non condividere la siringa preimpegnata con plegridy con nessun altro. Condividendo l'ago puoi dare loro un'infezione o ottenere un'infezione da loro.
  • Non farlo use more than 1 Siringa Plegridy Prempedicata every 14 days.

Come dovrei conservare il plegridy?

  • Conservare il plegridy in frigorifero da 36 ° F a 46 ° F (da 2 ° C a 8 ° C).
  • Se un frigorifero non è disponibile, il plegridy può essere conservato a temperatura ambiente fino a 25 ° C (25 ° C) per un totale di 30 giorni.
    • Puoi conservare le siringhe preimpegnate in plegridy a temperatura ambiente e poi rimetterle in frigorifero.
  • Non farlo Freeze Plegridy. Non farlo Usa plegridy che è stato congelato.
  • Conservare Plegridy nel cartone originale per proteggerlo dalla luce.

Mantieni il kit di titolazione plegridy la siringa pre -riempita plegridy e tutti i medicinali fuori dalla portata dei bambini.

Forniture di cui avrai bisogno per l'iniezione di plegridy:

  • 1 kit di titolazione plegridy che contiene:
    • 1 clip giallo
    • 1 clip viola
  • 1 pacchetto dose di somministrazione plegridy che contiene:
    • 1 Siringa Plegridy Prempedicata
    • Ago sterile lungo il calibro 23

Forniture aggiuntive non incluse nel kit di titolazione plegridy e nel pacchetto dose di somministrazione plegridy:

  • 1 pulizia alcolica
  • 1 pad di garza
  • 1 fascia adesiva
  • un contenitore di smaltimento tagliente per buttare via siringhe e aghi usati. Dopo l'iniezione plegridy Alla fine di queste istruzioni.

Preparazione della siringa preimpegnata in plegridy:

  • Trova una superficie di lavoro piatta pulita ben illuminata come un tavolo e raccogli tutte le forniture di cui hai bisogno per regalarti o ricevere un'iniezione.
  • Prendi 1 pacchetto di dose di amministrazione plegridy dal frigorifero e lascia che arrivi a temperatura ambiente per circa 30 minuti. Non utilizzare fonti di calore esterne come l'acqua calda per riscaldare la siringa pre -riempita plegridy.
  • Controllare la data di scadenza stampata sulla siringa Plegridy Prembledata Plegridy Preiughy Syringe Administration Dose Package Carton e sul cartone esterno. Non utilizzare la siringa preimpegnata plegridy oltre la data di scadenza.
  • Lavati le mani con sapone e acqua.

Identificazione di parti della siringa preiepilata plegridy (vedere la Figura A).

Preparare l'iniezione di plegridy:

Passaggio 1: Controllare la siringa preimpegnata di plegridy (Figura A):

  • La siringa non dovrebbe avere crepe o danni.
  • Verificare che il cappuccio sia intatto non sia stato rimosso.
  • Plegridy dovrebbe sembrare leggermente chiaro incolore a leggermente e non dovrebbe avere particelle.

Non farlo Usa la siringa preimpegnata in plegridy se:

  • La siringa è rotta o danneggiata.
  • La soluzione è di colore nuvoloso diverso da leggermente giallo o contiene grumi o particelle.
  • Il cappuccio è stato rimosso o non è strettamente attaccato.

Se non puoi usare quella siringa dovrai ottenere una nuova siringa. Contattare Biogen al numero 1-800-4562255.

Figura A.

Passaggio 2: Con 1 mano tenere la siringa pre -piegata plegridy proprio sotto il cappuccio e con il cappuccio rivolto verso l'alto (vedere la Figura B).

  • Assicurati di trattenere la siringa preimpegnata plegridy dalla parte increspata direttamente sotto il cappuccio.

Figura b

Passaggio 3: Con l'altra mano afferra il cappuccio e piegarlo ad un angolo di 90 ° fino a quando il tappo si scatta (vedere la Figura C e la Figura D).

Figura c

Figura d

Passaggio 4: Apri il pacchetto ad ago sterile ed elimina l'ago coperto. Tenere la siringa preimpegnata plegridy con la punta della siringa di vetro rivolta verso l'alto. Premere l'ago sulla punta del vetro della siringa preimpegnata con plegridy (vedere la Figura E).

Figura E.

Passaggio 5: Trasforma delicatamente l'ago a destra (in senso orario) fino a quando non è stretto e saldamente attaccato (vedere la Figura F).

  • Se l'ago non è saldamente attaccato, potrebbe perde e potresti non ottenere la tua dose completa di plegridy.
  • Non farlo Rimuovere il coperchio protettivo dall'ago.

Figura f

Utilizzando la siringa pre -piegata plegridy con il kit di titolazione Plegridy:

  • È necessario preparare la siringa e l'ago preimpegnati con plegridy prima di metterla nella clip di titolazione plegridy. Seguire il passaggio 1 al passaggio 5 sopra per preparare la siringa preimpegnata plegridy.
  • La tua dose plegridy può essere titolata su 2 dosi utilizzando la siringa pre -riempita con plegridy con il kit di titolazione plegridy.
    • Dose 1 (Day 1): ½ dose (yellow clip)
    • Dose 2 (Day 15): ¾ dose (purple clip)
    • Dose 3 (Day 29): a full dose (no clip needed)
  • Le 2 clip di titolazione plegridy sono solo per uso monodimensionamento solo con la siringa pre-riempita con plegridy. Non riutilizzare le clip di titolazione plegridy preiepite o titolazione plegridy.

Identificazione delle parti del kit di titolazione plegridy (vedi Figura G):

Figura g

  • La clip di titolazione plegridy ha un collare in cima che impedirà alla siringa di iniettare una dose completa (vedi Figura H). Il colletto deve assicurarsi di ricevere la dose corretta.

Figura h

Allegato la clip di titolazione plegridy:

Passaggio 6: Scegli la clip di titolazione giusta per la tua dose.

  • Dose 1 (Day 1): Choose the yellowclip to give ½ dose (See Figura I.).

Figura I.

  • Dose 2 (Day 15): Choose the purple clip to give ¾ dose (See Figura j).

Figura j

Passaggio 7: Metti la clip di titolazione corretta su una superficie piana con la porta aperta (vedi Figura K).

Figura k

Passaggio 8: Allinea la siringa pre -riempita plegridy sopra la clip di titolazione con lo stantuffo che punta a sinistra e l'ago che punta a destra (vedi Figura L).

Figura l

Passaggio 9: Spingere la siringa preimpegnata in plegridy nella clip di titolazione fino a quando entrambe le estremità si scatenano in posizione (vedere la figura M).

Figura m

Passaggio 10: Usando 2 dita spingere la porta verso il basso fino a quando si chiude sulla siringa pre -riempita plegridy (vedere la figura n).

  • Sentirai uno scatto quando la porta è chiusa nel modo giusto. Non aprire la porta dopo che è stata chiusa.

Figura n

Passaggio 11: Controlla per assicurarti che la siringa pre -riempita plegridy sia nella clip di titolazione nel modo giusto e che la porta sia strettamente chiusa.

Figura O.

Dare l'iniezione plegridy:

  • Il tuo operatore sanitario dovrebbe mostrare a te o a un caregiver come preparare e iniettare la dose di plegridy prima che la siringa pre -riempita plegridy venga utilizzata per la prima volta. Il tuo operatore sanitario dovrebbe vederti iniettare la dose di plegridy la prima volta che viene utilizzata la siringa preimpegnata di Plegridy.
  • Inietta il tuo plegridy esattamente come ti ha mostrato il tuo operatore sanitario.
  • Il plegridy viene iniettato nel muscolo (intramuscolare).
  • Il plegridy dovrebbe essere iniettato nella coscia (vedi Figura P).
  • Cambia (ruota) i siti di iniezione per ogni dose. Non utilizzare lo stesso sito di iniezione per ogni iniezione.
  • Non farlo Iniettare in un'area del corpo in cui la pelle è irritata da infetta o sfregiata in alcun modo.

Passaggio 12: Scegli la tua coscia sinistra o destra e asciuga la pelle con una pulizia alcolica (vedi Figura P). Lascia asciugare il sito di iniezione prima di iniettare la dose.

  • Non farlo Tocca di nuovo quest'area prima di dare l'iniezione.

Figura p

Passaggio 13: Tirare la copertura protettiva direttamente dall'ago (vedi Figura Q). Non torcere la copertina.

Figura q

Passaggio 14: Con 1 mano allungare la pelle attorno al sito di iniezione. Con l'altra mano tenere la siringa come una matita. Utilizzare un movimento rapido simile a un dardo e inserire l'ago ad un angolo di 90 ° attraverso la pelle e nel muscolo (vedi Figura R). Dopo che l'ago è a lasciare andare la pelle.

Figura r

Passaggio 15: Spingere lentamente lo stantuffo fino in fondo fino a quando non tocca il colletto (vedi Figura S).

Figura s

Passaggio 16: Estrarre l'ago dalla pelle (vedi Figura T). Premere il sito di iniezione con la garza per alcuni secondi o strofinare delicatamente con un movimento circolare.

  • Se vedi il sangue dopo aver premuto il sito di iniezione per alcuni secondi, pulirlo con la garza e applicare una benda adesiva.

Figura t

Dopo l'iniezione di plegridy:

  • Non farlo ricapitolare l'ago. Il ricapitolamento dell'ago può portare a una lesione a bastone dell'ago.
  • Metti subito gli aghi usati e le siringhe in un contenitore di smaltimento tagliente per la FDA subito dopo l'uso. Non buttare via (smaltire gli aghi sciolti e le siringhe nella spazzatura domestica.
  • Se non si dispone di un contenitore di smaltimento tagliente per la FDA, è possibile utilizzare un contenitore per la casa che è:
    • Realizzato in plastica pesante
    • può essere chiuso con un coperchio resistente alla foratura aderente senza taglienti
    • in posizione verticale e stabile durante l'uso
    • resistente alle perdite e
    • correttamente etichettato per avvertire i rifiuti pericolosi all'interno del contenitore.
  • Quando il contenitore di smaltimento di Sharps è quasi pieno, dovrai seguire le linee guida della tua comunità per il modo giusto per smaltire il contenitore di smaltimento di Sharps. Potrebbero esserci leggi statali o locali su come dovresti buttare via aghi e siringhe usate. Per ulteriori informazioni sullo smaltimento di Sharps Safe e per informazioni specifiche sullo smaltimento di Sharps nello stato in cui vivi sul sito Web della FDA all'indirizzo: https://www.fda.gov/safesharpsdisposal
  • Non farlo Smaltire il contenitore di smaltimento tagliente usato nella spazzatura domestica a meno che le linee guida della comunità non lo consentano. Non farlo Ricicla il contenitore di smaltimento tagliente usato.

Controlla il sito di iniezione:

  • Dopo 2 ore controlla il sito di iniezione per il dolore arrossato che prude la tenerezza gonfiore una pausa nella pelle che diventa blu e nero o scarica il liquido. Se hai una reazione della pelle e non si chiarisce in pochi giorni contatta il tuo operatore sanitario.

Informazioni generali sull'uso sicuro ed efficace di plegridy

  • Utilizzare sempre un nuovo clip e un ago di titolazione con siringa preimpegnati plegridy. Non riutilizzare la clip o l'ago di titolazione della siringa pre-riempita plegridy.
  • Non farlo Condividi la clip o l'ago di titolazione con siringa preimpegnata plegridy.
  • Puoi utilizzare la tabella seguente per tenere traccia delle tue iniezioni.

Istruzioni per l'uso

Plegridy®
(Plegg-rih-dee)
(Peginterferon Beta-1A) Iniezione per uso sottocutaneo

Siringa pre-piegata a dose singola 125 mcg

Come iniettare la siringa preimpegnata di plegridy

Leggi queste istruzioni per l'uso prima di iniziare a usare Plegridy e ogni volta che ricevi una ricarica della tua prescrizione. Potrebbero esserci nuove informazioni. Queste informazioni non prendono il posto di parlare con il proprio operatore sanitario sulla tua condizione medica o il trattamento.

Importante Information

Seguire queste istruzioni per l'uso per la siringa preimpegnata plegridy per l'uso sottocutaneo (sotto la pelle). Esistono diverse istruzioni per l'uso per la siringa pre -riempita plegridy per l'uso intramuscolare (nel muscolo).

Nota:

  • Prima di usare la siringa preimpegnata per la prima volta Il tuo operatore sanitario dovrebbe mostrare a te o al tuo caregiver come preparare e iniettare la tua siringa preimpegnata in plegridy nel modo giusto.
  • Se hai difficoltà o hai domande, chiama il numero 1-800-456-2255.
  • La siringa pre -piegata plegridy è da utilizzare solo sotto la pelle (sottocutanea).
  • Ogni siringa Plegridy preiepilata può essere utilizzata solo 1 volta. Non farlo Condividi la tua siringa preimpegnata plegridy con chiunque altro. Condividendo l'ago puoi dare loro un'infezione o ottenere un'infezione da loro.
  • Prendi la siringa preimpegnata in plegridy dal frigorifero e lascia che arrivi a temperatura ambiente per almeno 30 minuti prima dell'iniezione.
  • Non farlo Utilizzare più di 1 siringa pre -riempita plegridy ogni 14 giorni.
  • Non farlo Usa la siringa preimpegnata in plegridy se è stata lasciata cadere o è visibilmente danneggiata.

Come dovrei conservare il plegridy?

  • Conservare il plegridy in frigorifero da 36 ° F a 46 ° F (da 2 ° C a 8 ° C).
  • Se un frigorifero non è disponibile, il plegridy può essere conservato a temperatura ambiente fino a 25 ° C (25 ° C) per un massimo di 30 giorni in totale.
  • Mantieni plegridy nel cartone originale per proteggerlo dalla luce.
  • Non farlo Freeze Plegridy.
  • Mantieni gli aghi di siringhe preimpegnati in plegridy e tutti i medicinali fuori dalla portata dei bambini.

Forniture necessarie per l'iniezione di siringa preimpegnata di plegridy:

  • 1 SIRINE PLEGRIDY 125 MCG Premudo (vedi Figura A)

Figura A.

Forniture aggiuntive che non sono incluse nel pacchetto (vedi Figura B):

  • ALUCOLO PERSONO
  • garza pad
  • bendaggio adesivo
  • 1 contenitore tagliente per buttare via gli aghi usati e siringhe preimpegnate con plegridy. Vedere Smaltimento delle siringhe preimpegnate con plegridy usate Alla fine di queste istruzioni.
  • un'area ben illuminata e una superficie piana pulita su cui lavorare su come un tavolo

Figura b

Prepararsi per l'iniezione:

Passaggio 1: togli la siringa preimpegnata plegridy dal frigorifero e lascia che arrivi alla temperatura di stanza per almeno 30 minuti.

  • Non farlo Utilizzare fonti di calore esterne come l'acqua calda per riscaldare la siringa preimpegnata in plegridy.

Passaggio 2: raccogli le forniture e lavati le mani

  • Trova un'area ben illuminata e una superficie piana pulita come un tavolo e raccogli tutte le forniture che dovrai regalarti o ricevere un'iniezione.
  • Lavati le mani con sapone e acqua.

Passaggio 3: controlla la siringa preimpegnata di plegridy

  • Controllare la data di scadenza stampata sulla siringa preimpegnata in plegridy (vedere la Figura C).
    • Non farlo Utilizzare la siringa preimpegnata plegridy oltre la data di scadenza.
  • Controlla che la tua medicina plegridy sia chiara e incolore (vedi Figura D).
    • Non farlo Utilizzare la siringa pre -piegata plegridy se il liquido è colorato nuvoloso o contiene particelle galleggianti.
    • Potresti vedere bolle d'aria nella tua medicina plegridy. Questo è normale e non influenzerà la dose.

Figura d E Figura E.

Passaggio 4: scegli e pulisci il tuo sito di iniezione

  • La siringa pre -piegata plegridy è da utilizzare solo sotto la pelle (sottocutanea).
  • La siringa pre -piegata plegridy deve essere iniettata nell'addome della coscia o nella parte superiore del braccio superiore (vedi Figura E).
    • Non farlo Iniettare direttamente nel tuo ombelico.
    • Non farlo Iniettare in un'area del tuo corpo in cui la pelle è irritata da infezione o sfregiata.
  • Cambia (ruotare) il sito di istruzione per ogni iniezione. Non farlo Utilizzare lo stesso sito di iniezione per ogni iniezione.
  • Scegli un sito di iniezione e cancella la pelle con una pulizia alcolica.
    • Non farlo Tocca di nuovo quest'area prima di dare l'iniezione.
  • Lascia asciugare il tuo sito di iniezione da solo prima di iniettare la dose.
  • Non farlo Togliti la copertura con ago con siringa preimpegnata con plegridy fino a quando non si è pronti per iniettare.

Figura E.

Dare la tua iniezione:

Passaggio 5: rimuovere il coperchio con ago con siringa preimpegnato plegridy

  • Con 1 mano tieni la siringa pre -piegata plegridy. Con l'altra mano tieni fermamente il coperchio dell'ago e tira il coperchio dell'ago fuori dall'ago (vedere la Figura F).
    • Stai attento Quando si rimuove la copertura dell'ago per evitare di ottenere un infortunio a bastoncino.
    • Non farlo Tocca l'ago.
    • Importante: non farlo ricapitola la siringa preimpegnata plegridy. Potresti ottenere un infortunio a bastoncino.
    • Getta via la copertura dell'ago dopo l'iniezione.

Figura f

Passaggio 6: pizzicare delicatamente il sito di iniezione

  • Con 1 mano usare il pollice e il primo dito e pizzicare la pelle attorno al sito di iniezione pulito (vedi Figura G).

Figura g

Passaggio 7: dare l'iniezione della siringa preimpegnata di plegridy

  • Con l'altra mano tieni la tua siringa pre -piegata plegridy come una matita. Usa un movimento rapido simile a un dardo e inserisci l'ago ad un angolo di 90 ° nella pelle (vedi Figura H).
  • Dopo che l'ago è a lasciare andare la pelle.

Figura h

  • Spingere lentamente lo stantuffo verso il basso fino a quando la siringa è vuota (vedi Figura I).
    • Non farlo Prendi la tua siringa preimpegnata plegridy dal tuo sito di iniezione fino a quando non hai lentamente spinto lo stantuffo fino in fondo.

Figura I.

  • Tira fuori l'ago dalla pelle (vedi Figura J).
    • Se vedi il sangue al tuo sito di iniezione, cancellalo con garza e applica una benda adesiva.
  • Importante: non farlo Ricapitola la siringa preimpegnata in plegridy. Potresti ottenere un infortunio a bastoncino.
  • Non farlo Riutilizza la tua siringa preimpegnata in plegridy.

Figura j

Dopo l'iniezione:

Passaggio 8: smaltimento delle siringhe preimpegnate con plegridy usate

  • Metti le siringhe preimpegnate con plegridy usate in un contenitore di smaltimento tagliente per la FDA subito dopo l'uso. Non farlo throw away (dispose of) Plegridy Prefilled Syringes in yourhousehold trash.
  • Se non si dispone di un contenitore di smaltimento tagliente per la FDA, è possibile utilizzare un contenitore per la casa che è:
    • Realizzato in plastica pesante
    • può essere chiuso con un coperchio resistente alla foratura aderente senza taglienti
    • in posizione verticale e stabile durante l'uso
    • Resistente alle perdite e
    • correttamente etichettato per avvertire i rifiuti pericolosi all'interno del contenitore.
  • Quando il contenitore di smaltimento di Sharps è quasi pieno, dovrai seguire le linee guida della tua comunità per il modo giusto per smaltire il contenitore di smaltimento di Sharps. Potrebbero esserci leggi statali o locali su come dovresti buttare via aghi e siringhe usate. Per ulteriori informazioni sullo smaltimento di Sharps Safe e per informazioni specifiche sullo smaltimento di Sharps nello stato in cui vivi, visitare il sito Web della FDA all'indirizzo: https://www.fda.gov/safesharpsdisposal.
  • Non farlo Smaltire il contenitore di smaltimento tagliente usato nella spazzatura domestica a meno che le linee guida della comunità non lo consentano. Non farlo Ricicla il contenitore di smaltimento tagliente usato.

Passaggio 9: controlla il tuo sito di iniezione

  • Plegridy può comunemente causare dolore al rossore o gonfiore della pelle nel sito di iniezione.
  • Dopo 2 ore controlla il sito di iniezione per gonfiore o tenerezza.
  • Chiama subito il tuo operatore sanitario se il tuo sito di iniezione diventa gonfio e doloroso o l'area sembra infetta e non guarisce in pochi giorni.

Domande?

Per domande relative al prodotto o al servizio, chiamare il numero 1-800-456-2255 o visitare il sito www.plegridy.com.