Le Informazioni Presenti Sul Sito Non Costituiscono Consulenza Medica. Non Vendiamo Nulla. L'Accuratezza Della Traduzione Non È Garantita. Disclaimer
Antibiotici, altriMonurolo
Riepilogo della droga
Cos'è il monurolo?
La bustina di monurolo (fosfomicina trometamina) è un antibiotico usato per curare vescia infezioni.
Quali sono gli effetti collaterali del monurolo?
Il monurolo può causare gravi effetti collaterali tra cui:
quanto costa un viaggio in Grecia?
- diarrea che è acquosa o sanguinosa e
- minzione ardente o dolorosa
Ottieni subito assistenza medica se hai uno qualsiasi dei sintomi sopra elencati.
Gli effetti collaterali comuni del monurolo includono:
- diarrea
- nausea
- Sconturoso stomaco
- mal di testa
- vertigini
- debolezza
- naso chiuso
- mal di gola
- dolore mestruale
- mal di schiena O
- prurito o scarico vaginale.
Dì al tuo medico se si verificano effetti collaterali improbabili ma gravi del monurolo, incluso:
- disagio vaginale o
- Dolore allo stomaco/addominale.
Cerca cure mediche o chiama il 911 contemporaneamente se hai i seguenti gravi effetti collaterali:
- Sintomi di occhiali gravi come la perdita di visione improvvisa del tunnel della visione sfocata Dolore alla visione o gonfiore o vedere aloni attorno alle luci;
- Sintomi cardiaci gravi come battiti cardiaci irregolari o martellanti veloci; svolazzando nel petto; fiato corto; e vertigini improvvise Accendino O passing out;
- Grave mal di testa confusione Il braccio del linguaggio bloccato o la debolezza delle gambe problemi perdite perdita di coordinamento sentendoti instabili muscoli molto rigidi ad alta febbre abbondante sudorazione o tremori.
Questo documento non contiene tutti i possibili effetti collaterali e altri possono verificarsi. Verificare con il tuo medico ulteriori informazioni sugli effetti collaterali.
Dosaggio per monurolo
Il monurolo è di solito somministrato in una sola dose. Il dosaggio raccomandato di monurolo per le donne di età pari o superiore a 18 anni per l'infezione del tratto urinario semplice (cistite acuta) è una bustina sciolta in acqua e presa per via orale.
Quali sostanze o integratori di farmaci interagiscono con il monurolo?
Il monurolo può interagire con metoclopramide (Reglan). Altri farmaci possono colpire il monurolo. Racconta al tuo medico tutti i farmaci e gli integratori da banco che usi.
Monurolo durante la gravidanza e l'allattamento
Durante la gravidanza il monurolo dovrebbe essere usato solo quando prescritto. Non è noto se questo farmaco passi nel latte materno. Consulta il medico prima dell'allattamento al seno.
Ulteriori informazioni
Il nostro centro farmacologico di bustina di bustina di monurolo (fosfomicina trometamina) fornisce una visione completa delle informazioni disponibili sui farmaci sui potenziali effetti collaterali durante l'assunzione di questo farmaco.
Informazioni sui farmaci FDA
- Descrizione del farmaco
- Indicazioni
- Effetti collaterali
- Avvertimenti
- Precauzioni
- Overdose
- Farmacologia clinica
- Guida ai farmaci
Descrizione per il monurolo
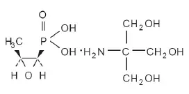
I granuli di monurolo (fosfomicina trometamina) per soluzione orale contiene antibiotici battericidi a spettro sintetico a trometamina a fosfomicina per somministrazione orale. È disponibile come bussa a dosaggio monodosaggio che contiene granuli bianchi costituiti da 5,631 grammi di fosfomicina trometamina (equivalente a 3 grammi di fosfomicina) e i seguenti ingredienti inattivi: sapore di mandarino sapore arancione sabato e saccarosio. Il contenuto della bustina deve essere sciolto in acqua. Fosfomicina trometamina A Derivato di acido fosfonico è disponibile come (1R2S)-(12-epossipropil) composto di acido fosfonico con 2-ammino-2- (idrossimetil) -13-propandiolo (1: 1). È un composto granulare bianco con un peso molecolare di 259,2. La sua formula empirica è C 3 H 7 O 4 P.C 4 H 11 NO 3 E la sua struttura chimica è la seguente:
|
Usi per il monurolo
Il monurolo è indicato solo per il trattamento di infezioni del tratto urinario semplice (cistite acuta) nelle donne a causa di ceppi sensibili di Hanno mostrato freddo E Enterococcus faecalis . Il monurolo non è indicato per il trattamento dell'ascesso di Pyelonefrite o perinefrico.
Se la persistenza o la ricomparsa della batteriuria si verificano dopo il trattamento con monurolo, devono essere selezionati altri agenti terapeutici. (Vedere PRECAUZIONI E Studi clinici sezioni.)
Dosaggio per monurolo
Il dosaggio raccomandato per le donne di età pari o superiore a 18 anni per l'infezione del tratto urinario semplice (cistite acuta) è una bustina di monurolo. Il monurolo può essere preso con o senza cibo. Il monurolo non dovrebbe essere preso nella sua forma secca. Mescolare sempre il monurolo con l'acqua prima di ingerire. (Vedere PREPARAZIONE sezione.)
Preparazione
Il monurolo dovrebbe essere preso per via orale. Versare l'intero contenuto di una busta monodose di monurolo in 3-4 once di acqua (1/2 tazza) e mescolare per dissolversi. Non usare acqua calda. Il monurolo dovrebbe essere preso immediatamente dopo essersi dissolto in acqua.
Come fornito
Archiviazione e maneggevolezza
Monurolo I granuli per la soluzione orale sono disponibili come una bustina monodosaggio contenente l'equivalente di 3 grammi di fosfomicina.
| Ndc | |
| Busta singola a dosi | 0456-4300-08 |
| Unità di unità | 0456-4300-01 |
Conservare a 25 ° C (77 ° F); Escursioni consentite a 15-30 ° C (59-86 ° F).
Mantieni questo e tutte le droghe fuori dalla portata dei bambini.
Prodotto da: Zambon Svizzera Ltd. Una consociata di Zambon S.P.A via Industria 13 6814 Cadempino Svizzera. Revisionato: ottobre 2019.
Effetti collaterali per il monurolo
Studi clinici
Negli studi clinici eventi avversi correlati al farmaco che sono stati riportati in più dell'1% della popolazione di studio di fosfomyconttrettata sono elencati di seguito:
| Eventi avversi legati al farmaco (%) nelle popolazioni di fosfomicina e comparatore | ||||
| Avverso Eventi | Fosfomicina N = 1233 | Nitrofurantoin N = 374 | Trimethoprim/ sulfametossazolo N = 428 | Ciprofoxacina N = 455 |
| Diarrea | 9.0 | 6.4 | 2.3 | 3.1 |
| Vaginite | 5.5 | 5.3 | 4.7 | 6.3 |
| Nausea | 4.1 | 7.2 | 8.6 | 3.4 |
| Mal di testa | 3.9 | 5.9 | 5.4 | 3.4 |
| Vertigini | 1.3 | 1.9 | 2.3 | 2.2 |
| Astenia | 1.1 | 0.3 | 0.5 | 0.0 |
| Dispepsia | 1.1 | 2.1 | 0.7 | 1.1 |
Negli studi clinici gli eventi avversi più frequentemente segnalati che si verificano in> 1% della popolazione dello studio indipendentemente dalla relazione sui farmaci erano: diarrea 10,4% di mal di testa 10,3% vaginite 7,6% nausea 5,2% rinite 5,5% di schiena 2,0% di dismenirro 1,8% di dismenorristica 1,8% di dismenorristica 1,8% di dismenirro 1% di asthirrorrorrorroa 1 1,7% ed eruzione cutanea 1,4%.
I seguenti eventi avversi si sono verificati negli studi clinici ad un ritmo inferiore all'1% indipendentemente dalla relazione farmacologica: feci anormali Anoressia Costipazione Disuria Disuria Disuria Disurna Febbre Flatulenza Flatulenza Sindrome da influenza Flatule Infezione Aumento della pelle Somnolico e Vompazione della pelle Somnoling.
Un paziente ha sviluppato neurite ottica unilaterale un evento considerato probabilmente correlato alla terapia del monurolo.
Esperienza post-marketing
Eventi avversi gravi dall'esperienza di marketing con il monurolo al di fuori degli Stati Uniti sono stati segnalati e includono raramente: angiedema anemia aplastica asma (esacerbazione) Necrosi epatica di ittero colestatico e megacolon tossico.
Sebbene non sia stata stabilita la causalità durante la sorveglianza post marketing, i seguenti eventi si sono verificati nei pazienti prescritti con monurolo: anafilassi e perdita dell'udito.
Emerita Pro Gest Cream Effects
Cambiamenti di laboratorio
Significativi cambiamenti di laboratorio riportati negli studi clinici statunitensi sul monurolo, indipendentemente dalla relazione farmacologica includono: l'aumento della conta eosinofila ha aumentato o ridotto la conta del WBC ha aumentato la bilirubina aumentata SGPT Aumento di SGPT Aumento della fosfatasi alcalina ridotta emoglobina ridotta ha aumentato l'emoglobina e la riduzione della conta piastrinica. I cambiamenti erano generalmente transitori e non erano clinicamente significativi.
Interazioni farmacologiche per il monurolo
Metoclopramide
Quando si è somministrato con il monurolo metoclopramide, un farmaco che aumenta la motilità gastrointestinale riduce la concentrazione sierica e l'escrezione urinaria della fosfomicina.
Altri farmaci che aumentano la motilità gastrointestinale possono produrre effetti simili.
Cimetidina
Cimetidina does not affect the pharmacokinetics of fosfomycin when coadministered with Monurolo.
Avvertimenti fO Monurol
Clostridium difficile La diarrea associata (CDAD) è stata riportata con l'uso di quasi tutti gli agenti antibatterici tra cui il monurolo e può variare in gravità dalla diarrea lieve alla colite fatale. Il trattamento con agenti antibatterici altera la normale flora del colon che porta alla crescita eccessiva di C. difficile .
C. difficile produce tossine A e B che contribuiscono allo sviluppo di CDAD. Ipertoxina che produce ceppi di C. difficile causano un aumento della morbilità e della mortalità poiché queste infezioni possono essere refrattarie alla terapia antimicrobica e possono richiedere colectomia. Il CDAD deve essere considerato in tutti i pazienti che presentano diarrea a seguito di uso antibiotico. È stata necessaria un'attenta storia medica da quando è stato segnalato che il CDAD si verifica in due mesi dopo la somministrazione di agenti antibatterici.
Se il CDAD è sospettato o confermato l'uso di antibiotici in corso non diretto contro C. difficile Potrebbe essere necessario interrompere. Appropriato TRATTAMENTO ANTIbiotico di integrazione di proteine per la gestione dei fluidi ed elettroliti C. difficile E surgical evaluation should be instituted as clinically indicated.
Precauzioni fO Monurol
Generale
Non utilizzare più di una singola dose di monurolo per trattare un singolo episodio di cistite acuta.
Le ripetute dosi giornaliere di monurolo non hanno migliorato il successo clinico o i tassi di eradicazione microbiologica rispetto alla terapia a dose singola ma hanno aumentato l'incidenza di eventi avversi. I campioni di urina per i test di coltura e suscettibilità devono essere ottenuti prima e dopo il completamento della terapia.
Informazioni per i pazienti
I pazienti devono essere informati
- Quel monurolo può essere preso con o senza cibo.
- Che i loro sintomi dovrebbero migliorare in due o tre giorni dopo aver preso il monurolo; Se non migliorato, la paziente dovrebbe contattare il suo operatore sanitario.
- Diarrea is a common problem caused by antibiotics which usually ends when the antibiotic is discontinued. Sometimes after starting treatment with antibiotics patients can develop watery E bloody stools (with O without stomach cramps E fever) even as late as two O mOe months after having taken the last dose of the antibiotic. If this occurs patients should contact their physician as soon as possible.
Mutagenesi della carcinogenesi compromissione della fertilità
Studi di cancerogenicità a lungo termine nei roditori non sono stati condotti perché il monurolo è destinato al trattamento a dose singola nell'uomo. Il monurolo non era mutagenico o genotossico nel in vitro Test di inversione batterica di Ames nei linfociti umani in coltura nelle cellule cinesi di criceto V79 e nelle in vivo Tosaggio del micronucleo del topo. Il monurolo non ha influenzato la fertilità o le prestazioni riproduttive nei ratti maschi e femmine.
Gravidanza
Effetti teratogeni
Quando somministrato intramuscolare come il sale di sodio alla dose di 1 grammo alle donne in gravidanza la fosfomicina attraversa la barriera placentare. Il monurolo attraversa la barriera placentare dei ratti; Non produce effetti teratogeni nei ratti in gravidanza a dosaggi fino a 1000 mg/kg/die (circa 9 e 1,4 volte la dose umana in base al peso corporeo e mg/m 2 rispettivamente). Se somministrati a conigli in gravidanza a dosaggi fino a 1000 mg/kg/giorno (circa 9 e 2,7 volte la dose umana in base al peso corporeo e mg/m 2 rispettivamente) Fetossicità sono state osservate. Tuttavia, queste tossicità sono state osservate a dosi maternamente tossiche e sono state considerate dovute alla sensibilità del coniglio ai cambiamenti nella microflora intestinale derivanti dalla somministrazione antibiotica. Tuttavia, non ci sono studi adeguati e ben controllati nelle donne in gravidanza. Poiché gli studi sulla riproduzione degli animali non sono sempre predittivi della risposta umana, questo farmaco dovrebbe essere usato durante la gravidanza solo se chiaramente necessario.
Madri infermieristiche
Non è noto se la trometamina di fosfomicina sia escreta nel latte umano. Poiché molti farmaci sono escreti nel latte umano e a causa del potenziale per gravi reazioni avverse nei neonati infermieristici del monurolo, dovrebbe essere presa una decisione se interrompere l'assistenza infermieristica o non somministrare il farmaco tenendo conto dell'importanza del farmaco per la madre.
Uso pediatrico
Sicurezza ed efficacia nei bambini di età pari o inferiore a 12 anni non sono stati stabiliti in studi adeguati e ben controllati.
Uso geriatrico
Gli studi clinici sul monurolo non includevano un numero sufficiente di soggetti di età pari o superiore a 65 anni per determinare se rispondono in modo diverso dai soggetti più giovani. Altra esperienza clinica segnalata non ha identificato differenze nelle risposte tra i pazienti anziani e più giovani. In generale, la selezione della dose per un paziente anziano dovrebbe essere cauta di solito a partire dalla fascia bassa dell'intervallo di dosaggio che riflette la maggiore frequenza della ridotta funzione renale e cardiaca epatica e di malattia concomitante o altra terapia farmacologica.
Informazioni per overdose per il monurolo
Negli studi di tossicologia acuta la somministrazione orale di alte dosi di monurolo fino a 5 g/kg sono state ben tollerate in topi e ratti hanno prodotto incidenze transitorie e minori di feci acquose nei conigli e hanno prodotto diarrea con anoressia nei cani che si sono verificati 2-3 giorni dopo l'amministrazione a dose singola. Queste dosi rappresentano 50-125 volte la dose terapeutica umana.
I seguenti eventi sono stati osservati in pazienti che hanno assunto il monurolo in overdose: perdita vestibolare alterata del gusto metallico e declino generale della percezione del gusto. In caso di trattamento di sovradosaggio dovrebbe essere sintomatico e di supporto.
Controindicazioni per il monurolo
Monurolo is contraindicated in patients with known hypersensitivity to the drug.
Farmacologia clinica fO Monurol
Assorbimento: la trometamina di fosfomicina viene rapidamente assorbita dopo la somministrazione orale e convertita nell'acido libero fosfomicina. La biodisponibilità orale assoluta in condizioni di digiuno è del 37%. Dopo una singola dose di 3 grammi di monurolo la concentrazione sierica massima media (± 1 DS) (CMAX) ottenuta è stata 26,1 (± 9,1) MCG/mL entro 2 ore. La biodisponibilità orale della fosfomicina è ridotta al 30% in condizioni di alimentazione. A seguito di una singola dose orale di 3 grammi di monurolo con un pasto ricco di grassi, il cmax medio raggiunto era di 17,6 (± 4,4) MCG/mL entro 4 ore.
Cimetidina does not affect the pharmacokinetics of fosfomycin when coadministered with Monurolo. Metoclopramide lowers the serum concentrations E urinary excretion of fosfomycin when coadministered with Monurolo. (See Interazioni farmacologiche )
Distribuzione
Il volume medio apparente di distribuzione a stato stazionario (VSS) è 136,1 (± 44,1) L dopo la somministrazione orale di monurolo. La fosfomicina non è legata alle proteine plasmatiche.
Fosfomicina is distributed to the kidneys vescia wall prostate E seminal vesicles. Following a 50 mg/kg dose of fosfomycin to patients undergoing urological surgery fO vescia carcinoma the mean concentration of fosfomycin in the vescia taken at a distance from the neoplastic site was 18.0 mcg per gram of tissue at 3 hours after dosing. Fosfomicina has been shown to cross the placental barrier in animals E man.
Escrezione
Fosfomicina is excreted unchanged in both urine E feces. Following Oal administration of Monurolo the mean total body clearance (CLTB) E mean renal clearance (CLR) of fosfomycin were 16.9 (± 3.5) L/hr E 6.3 (± 1.7) L/hr respectively. Approximately 38% of a 3-gram dose of Monurolo is recovered from urine E 18% is recovered from feces. Following intravenous administration the mean CLTB E mean CLR of fosfomycin were 6.1 (±1.0) L/hr E 5.5 (± 1.2) L/hr respectively.
Una concentrazione media di fosfomicina di urina di 706 (± 466) MCG/mL è stata raggiunta entro 2-4 ore dopo una singola dose orale di 3 gm di monurolo in condizioni di digiuno. La concentrazione urinaria media di fosfomicina era di 10 mcg/mL in campioni raccolti 72-84 ore a seguito di una singola dose orale di monurolo.
A seguito di una dose di 3 grammi di monurolo somministrato con un pasto ad alto contenuto di grassi una concentrazione media di fosfomicina di urina di 537 (± 252) MCG/mL è stata raggiunta entro 6-8 ore. Sebbene il tasso di escrezione urinaria di fosfomicina sia stata ridotta in condizioni di Fed, la quantità cumulativa di fosfomicina escreta nelle urine era la stessa 1118 (± 201) mg (Fed) contro 1140 mg (± 238) (digiuno). Ulteriori concentrazioni urinarie pari o superiori a 100 mcg/ml sono state mantenute per la stessa durata 26 ore indicando che il monurolo può essere preso senza riguardo al cibo.
Dopo la somministrazione orale di monurolo, l'emivita media per l'eliminazione (T1/2) è di 5,7 (± 2,8) ore.
Popolazioni speciali
Geriatrico
Sulla base di dati limitati relativi alle concentrazioni di farmaci urinari 24 ore su 24, non sono state osservate differenze nell'escrezione urinaria della fosfomicina nei soggetti anziani. Nessun regolazione del dosaggio è la polvere di trometamina di fosfomicina di monurolo negli anziani.
Genere
Non ci sono differenze di genere nella farmacocinetica della fosfomicina.
Insufficienza renale
In 5 pazienti anurici sottoposti a emodialisi il T1/2 della fosfomicina durante l'emodialisi era di 40 ore. Nei pazienti con vari gradi di compromissione renale (autori di creatinina che variano da 54 ml/min a 7 ml/min) il T1/2 di fosfomicina è aumentato da 11 ore a 50 ore. La percentuale di fosfomicina recuperata nelle urine è diminuita dal 32% all'11% indicando che la compromissione renale riduce significativamente l'escrezione della fosfomicina.
Microbiologia
Fosfomicina (the active component of fosfomycin tromethamine) has in vitro Attività contro una vasta gamma di microrganismi aerobici Gram-positivi e Gram-negativi che sono associati a infezioni del tratto urinario semplice. La fosfomicina è battericida nelle urine a dosi terapeutiche. L'azione battericida della fosfomicina è dovuta alla sua inattivazione dell'enzima enolpyruvil transferasi, quindi bloccando irreversibilmente la condensazione dell'uridina difosfato-N-acetilglucosamina con e-eNolpivato uno dei primi passi nella sintesi della parete cellulare batterica. Riduce anche l'aderenza dei batteri alle cellule uroepiteliali.
In genere non vi è alcuna resistenza incrociata tra fosfomicina e altre classi di agenti antibatterici come beta-lattamici e aminoglicosidi.
Fosfomicina has been shown to be active against most strains of the following microOganisms both in vitro E in clinical infections as described in the Indicazioni e utilizzo sezione:
Microrganismi aerobici gram-positivi
Enterococcus faecalis
Microrganismi aerobici gram-negativi
Hanno mostrato freddo
Quanto segue in vitro Sono disponibili dati ma il loro significato clinico è sconosciuto.
Fosfomicina exhibits in vitro Concentrazioni inibitorie minime (MIC) di 64 mcg/mL o meno rispetto alla maggior parte (≥ 90%) ceppi dei seguenti microrganismi; Tuttavia, la sicurezza e l'efficacia della fosfomicina nel trattamento delle infezioni cliniche dovute a questi microrganismi non è stata stabilita in studi clinici adeguati e ben controllati:
Microrganismi aerobici gram-positivi
Enterococcus feecium
Microrganismi aerobici gram-negativi
Citrobacter diverso
Citrobacter freundii
Enterobacter Aerogenes
Klebsiella oxytoca
Klebsiella pneuomoniae
Proteus meraviglioso
Proteus vulgaris
Serratia marcescens
Test di suscettibilità
Tecniche di diluizione
I metodi quantitativi vengono utilizzati per determinare le concentrazioni minime inibitorie (MIC). Questi MIC forniscono stime della suscettibilità dei batteri ai composti antimicrobici. Una di queste procedure standardizzata utilizza un metodo di diluizione di agar standardizzato 1 O equivalent with stEardized inoculum concentrations E stEardized concentrations of fosfomycin tromethamine (in terms of fosfomycin base content) powder supplemented with 25 mcg/mL of glucose-6-phosphate. BROTH DILUTION METHODS SHOULD NOT BE USED TO TEST SUSCEPTIBILITY TO FOSFOMYCIN. The MIC values obtained should be interpreted accOding to the following criteria:
| MIC (MCG/ML) | INTERPRETAZIONE |
| ≤ 64 | Suscettibile (S) |
| 128 | Intermedio (i) |
| ≥ 256 | Resistente (R) |
Un rapporto di sensibile indica che è probabile che il patogeno sia inibito da concentrazioni solitamente realizzabili del composto antimicrobico nelle urine. Un rapporto di intermedio indica che il risultato dovrebbe essere considerato equivoco e se il microrganismo non è completamente suscettibile ai farmaci clinicamente fattibili alternativi, il test dovrebbe essere ripetuto. Questa categoria fornisce una zona tampone che impedisce a piccoli fattori tecnici non controllati di causare gravi discrepanze nell'interpretazione. Un rapporto di resistente indica che è improbabile che le concentrazioni solitamente realizzabili del composto antimicrobico nelle urine siano inibitorie e che dovrebbero essere selezionate altre terapia.
Le procedure di test di suscettibilità standardizzate richiedono l'uso di microrganismi di controllo di laboratorio. La polvere di trometamina di fosfomicina standard dovrebbe fornire i seguenti valori MIC per i test di diluizione di agar in media contenenti 25 mcg/mL di glucosio-6-fosfato. [I test di diluizione del brodo non devono essere eseguiti].
Effetti a lungo termine dell'uso di metadone
| MICRORGANISMO | MIC (MCG/ML) |
| Enterococcus faecalis ATCC 29212 | 32-128 |
| Hanno mostrato freddo ATCC 25922 | 0,5-2 |
| Pseudomonas aeruginosa ATCC 27853 | 2-8 |
| Staphylococcus aureus ATCC 29213 | 0,5-4 |
Diffusione tecnica
I metodi quantitativi che richiedono la misurazione dei diametri delle zone forniscono anche stime riproducibili della suscettibilità dei batteri agli agenti antimicrobici. Una di queste procedure standardizzate 2 Richiede l'uso di concentrazioni standardizzate di inoculo. Questa procedura utilizza dischi di carta impregnati di fosfomicina 200 mcg e 50 mcg di glucosio-6-fosfato per testare la suscettibilità dei microrganismi alla fosfomicina.
I rapporti del laboratorio che forniscono risultati dei test di suscettibilità a dischi singoli standard con dischi contenenti 200 mcg di fosfomicina e 50 mcg di glucosio-6-fosfato devono essere interpretati secondo i seguenti criteri:
| Diametro della zona (mm) | INTERPRETAZIONE |
| ≥ 16 | Suscettibile (S) |
| 13-15 | Intermedio (i) |
| ≤ 12 | Resistente (R) |
L'interpretazione dovrebbe essere dichiarata come sopra per i risultati usando tecniche di diluizione. L'interpretazione comporta la correlazione del diametro ottenuto nel test del disco con il MIC per la fosfomicina.
Come per le tecniche di diluizione standardizzate, i metodi di diffusione richiedono l'uso di microrganismi di controllo di laboratorio che vengono utilizzati per controllare gli aspetti tecnici delle procedure di laboratorio. Per la tecnica di diffusione il disco di fosfomicina da 200 mcg con 50 mcg di glucosio-6-fosfato dovrebbe fornire i seguenti diametri di zona in questi ceppi di controllo della qualità di laboratorio:
| MICRORGANISMO | Diametro della zona (mm) |
| Hanno mostrato freddo ATCC 25922 | 22-30 |
| Staphylococcus aureus ATCC 25923 | 25-33 |
Riferimenti
1. Comitato nazionale per gli standard di laboratorio clinico Metodi per diluizione. Test di suscettibilità antimicrobica per i batteri che crescono aerobicamente - terza edizione; Documento NCCLS standard approvato M7-A3 Vol. 13 n. 25 NCCLS Villanova Pa dicembre 1993.
2. Comitato nazionale per gli standard di laboratorio clinico Standard di prestazione per test di suscettibilità al disco antimicrobico - Quinta edizione; Documento NCCLS standard approvato M2-A5 Vol. 13 No. 24 NCCLS Villanova Pa dicembre 1993.
Informazioni sul paziente per il monurolo
Monurolo ®
[il mio u ol]
granuli (fosfomicina trometamina) per soluzione orale
Informazioni per i pazienti
Dopo aver preso il monurolo
- Dovresti vedere un miglioramento nel tuo
- Sintomi in 2-3 giorni.
- Se i tuoi sintomi non migliorano entro il quarto giorno
- Dovresti contattare il tuo professionista sanitario.
Questo opuscolo fornisce informazioni sul monurolo il farmaco che il medico ha prescritto per l'infezione dalla vescica (cistite acuta) e sullo sfondo sull'infezione stessa. È importante sapere che sebbene la terapia sia completata quando si prende la singola dose di monurolo, potrebbero essere necessarie da 2 a 3 giorni per migliorare i sintomi. Se i sintomi non migliorano entro il quarto giorno, dovresti contattare il tuo professionista sanitario.
Perché la taurina fa male
A cosa serve il monurolo?
Monurolo is fO the treatment of acute cystitis in women. Acute cystitis also known as vescia infection is a type of uncomplicated urinary tract infection. Acute cystitis is caused by bacteria entering your vescia (which is nOmally bacteria free) resulting in irritation to your vescia lining. Prescribed to kill the bacteria causing your infection. As the bacteria die your vescia lining begins to heal.
Come funziona il monurolo?
Monurolo starts wOking to kill bacteria within hours after taking it. Although you only take Monurolo once Monurolo is designed to stay in your vescia fO mOe than 3 days continuing to kill the bacteria. TherefOe after taking Monurolo Dovresti vedere un miglioramento nel tuo Sintomi in 2-3 giorni. Se i tuoi sintomi non migliorano entro il quarto giorno Dovresti contattare il tuo professionista sanitario.
Cosa c'è nella bustina (pacchetto)?
Il pacchetto di bustine contiene granuli bianchi di monurolo (fosfomicina trometamina) un antibiotico insieme a una piccola quantità di dolcificante (saccarina e saccarosio) e aroma di arancione e mandarino.
Posso prendere il monurolo se sono incinta o all'allattamento?
Non sono stati condotti studi adeguati e ben controllati che coinvolgono l'uso del monurolo nelle donne in gravidanza e che allattano. Se il tuo medico ritiene che sia chiaramente necessario, il monurolo può essere preso. Si prega di informare il tuo medico se sai di essere incinta o di allattare.
Come prendo il monurolo?
- Svuotare l'intero contenuto della bustina di monurolo in 3-4 once di acqua (½ tazza) e mescolare per dissolversi. Non usare acqua calda.
- Prendi immediatamente dopo essersi dissolto in acqua assicurandoti di bere contenuti completi del vetro.
È tutto ciò che devo fare?
SÌ. Una bustina di monurolo è una terapia completa per il trattamento dell'infezione dalla vescica. La medicina in monurolo va direttamente alla vescica e rimane lì per diversi giorni per uccidere i batteri causando la tua infezione.
Monurol funziona sempre?
Nessun antibiotico funziona al 100% delle volte. Negli studi clinici controllati che utilizzano criteri rigorosi per la valutazione circa tre quarti dei pazienti sono stati curati dopo un trattamento a dose singola con monurolo. Questo tasso di guarigione era equivalente a quello per i pazienti trattati con macrobid ® ** e un po 'più basso rispetto ai pazienti trattati con cipro ® † e con Bactrim ® †P.
Sperimenterò gli effetti collaterali?
Perché il monurolo va direttamente al sito di non comune. Meno di 1 paziente in 10 (NULL,0%) che assume il monurolo può sperimentare diarrea. Altro nausea (NULL,1%) mal di testa (NULL,9%) vertigini (NULL,3%) stanchezza (NULL,1%) e indigestione (NULL,1%).
E se fossi allergico al monurolo?
Monurolo is not related to penicillin O other antibiotics that commonly cause allergic reactions. If you have a histOy of allergy to antibiotics you should be able to take Monurolo on your doctO’s advice.
Che ne dici di prendere il monurolo ® con altre droghe?
Monurolo has very few interactions with other drugs. If you are currently taking a gastrointestinal drug called Reglan ® * (metoclopramide cloridrato) Non dovresti prendere il monurolo a meno che tu non ne abbia discusso con il medico.
Alcune altre precauzioni:
Non prendere questo o altri farmaci se è stato prescritto per qualcun altro.
Tieni il monurolo fuori dalla portata dei bambini.
Parigi itinerario di 5 giorni
Non utilizzare dopo la data di scadenza stampata sulla casella.
Cos'è la cistite acuta?
La cistite acuta è il nome comune per l'infezione del tratto urinario semplice. È un'infezione della vescica urinaria che fa infiattare e irrare il rivestimento della vescica.
Cosa causa la cistite acuta?
La cistite acuta è generalmente causata da batteri che entrano nella vescica. I batteri possono viaggiare dall'area anale per raccogliere nella vagina e quindi entrare nell'uretra per raggiungere finalmente la vescica.
Quali sono i soliti sintomi?
I sintomi tipici includono una minzione frequente dolorosa e una vescica che non si sente mai totalmente vuota.
Altri sintomi includono dolore nell'area pubica.
La cistite acuta è pericolosa?
Normalmente non è a meno che i batteri nelle urine che lo causano abbiano viaggiato verso l'alto per infettare i reni. Il medico ha prescritto il monurolo per evitare che ciò si verifichi.
Come viene diagnosticata e trattata la cistite acuta?
La cistite acuta viene diagnosticata sulla base dei sintomi e/o di una cultura delle urine per identificare i batteri responsabili. È spesso trattato con antibiotici.
C'è qualcosa che posso prendere per alleviare il mio dolore?
Ci sono farmaci disponibili oltre al tuo monurolo terapeutico primario che il tuo operatore sanitario può raccomandare. Parla con il tuo operatore sanitario di ulteriori farmaci.
C'è qualcosa che posso fare per evitare la cistite acuta?
Le infezioni della vescica che si verificano ripetutamente nelle donne sono spesso associate all'attività sessuale e/o ad alcuni metodi di contraccezione. Urinare immediatamente e completamente dopo il rapporto costretto accidentalmente nell'uretra. Le donne che usano un diaframma con gelatina spermicida o usano schiuma spermicida con un preservativo dovrebbero considerare un'altra forma di contraccezione se continuano a sperimentare infezioni.
Dovresti anche pulire da davanti a dietro per evitare di contaminare l'ingresso uretrale con i batteri dalle viscere. Dovresti discutere di questi e altri modi per prevenire le infezioni della vescica con il tuo medico
Non prendere questo o alcun farmaco se è stato prescritto per qualcun altro.
Monurolo IS NOT RECOMMENDED FOR PATIENTS UNDER 18 YEARS OF AGE.
Tenere il monurolo fuori dalla portata dei bambini.
Non utilizzare dopo la data di scadenza.