Le Informazioni Presenti Sul Sito Non Costituiscono Consulenza Medica. Non Vendiamo Nulla. L'Accuratezza Della Traduzione Non È Garantita. Disclaimer



Flomax

Riepilogo della droga

Cos'è il flomax

Il flomax (tamsulosina cloridrato) è un bloccante alfa usato per trattare i sintomi di a ghiandola prostatica condizione chiamata bph ( Iperplasia prostatica benigna ). Flomax è disponibile come farmaco generico .

Quali sono gli effetti collaterali del flomax

Gli effetti collaterali comuni del flomax includono:



Dì al tuo medico se si verificano gravi effetti collaterali del flomax, incluso



  • un'erezione dolorosa o dura più di quattro ore
  • forti vertigini o
  • svenimento .

Dosaggio per flomax

Le capsule di flomax 0,4 mg una volta al giorno sono raccomandate come dose per il trattamento dei segni e i sintomi di BPH e dosaggio devono essere prese per via di solito una volta al giorno.

  • Prendi la prima dose al momento di coricarsi per ridurre al minimo le possibilità di ottenere vertigini o svenimenti.
  • Dopo la prima dose, prendi la dose regolarmente programmata 30 minuti dopo lo stesso pasto ogni giorno.

Quali sostanze o integratori di farmaci interagiscono con il flomax

  • L'interazione e gli avvertimenti sui farmaci includono che le capsule di flomax non dovrebbero essere utilizzate in combinazione con altri agenti di blocco alfa andrenergici.
  • Non dovrebbe essere usato in combinazione con forti inibitori del CYP3A4 (ad esempio ketoconazolo).
  • Il flomax dovrebbe essere usato con cautela in combinazione con inibitori moderati del CYP3A4 (ad es. eritromicina ) e con forti (ad es. paroxetina) o moderati (ad esempio terbinafina) inibitori del CYP2D6.
  • Il flomax dovrebbe anche essere usato con cautela in combinazione con la cimetidina.
  • Attenzione dovrebbe essere esercitata con concomitante somministrazione di capsule di warfarin e flomax.

Flomax e gravidanza

  • Il flomax non è indicato per l'uso nelle donne ed è improbabile che venga usato durante la gravidanza o durante l'allattamento.
  • Se un paziente riferisce un grave sulfato pericoloso per la vita allergia ATTENZIONE è giustificata durante la somministrazione di capsule flomax.
  • Ulteriori informazioni

    Il nostro Centro farmacologico per effetti collaterali Flomax fornisce una visione completa delle informazioni disponibili sui farmaci sui potenziali effetti collaterali quando si assume questo farmaco.



    Informazioni sui farmaci FDA

    Descrizione per flomax

    La tamsulosina cloridrato è antagonista di alpha1a adrenoceptors nella prostata.

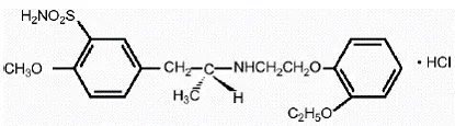
    La tamsulosina cloridrato è (-)-(R) -5- [2-[[2- (O-e-etossifenossi) etil] amino] propyl] -2-metossibenzenesulfonamide monoidrocloruro. La tamsulosina cloridrato è una polvere cristallina bianca che si scioglie con decomposizione a circa 230 ° C. È con parsimonia solubile in acqua e metanolo leggermente solubile in acido acetico glaciale ed etanolo e praticamente insolubile in etere.

    La formula empirica di tamsulosina cloridrato è C 20 H 28 N 2 O 5 S • hcl. Il peso molecolare della tamsulosina cloridrato è 444,98. La sua formula strutturale è:

    Ogni capsula flomax per somministrazione orale contiene tamsulosina cloridrato USP 0,4 mg e i seguenti ingredienti inattivi: cellulosa microcristallina; dispersione di copolimero di acido metacrilico; triacetina; Stearato di calcio; talco; gelatina; ossido di ferro; Fd

    Usi per flomax

    Le capsule di flomax (tamsulosina cloridrato USP) sono indicate per il trattamento dei segni e dei sintomi dell'iperplasia prostatica benigna (BPH) [vedi Studi clinici ]. Le capsule di flomax non sono indicate per il trattamento dell'ipertensione.

    Dosaggio per flomax

    Capsule flomax 0,4 mg una volta al giorno è raccomandata come dose per il trattamento dei segni e dei sintomi di BPH. Dovrebbe essere somministrato circa una metà ora dopo lo stesso pasto ogni giorno. Le capsule di flomax non devono essere schiacciate o aperte.

    Per quei pazienti che non rispondono alla dose di 0,4 mg dopo 2-4 settimane di dosaggio della dose di capsule di flomax può essere aumentato a 0,8 mg una volta al giorno. Le capsule flomax 0,4 mg non devono essere utilizzate in combinazione con forti inibitori del CYP3A4 (ad esempio ketoconazolo) [vedi Avvertimenti e PRECAUZIONI ].

    Se la somministrazione di capsule di flomax viene interrotta o interrotta per diversi giorni a 0,4 mg o 0,8 mg di terapia di dose dovrebbe essere ricominciata con la dose 0,4 mg una volta al giorno.

    Come fornito

    Forme di dosaggio e punti di forza

    Capsula : 0,4 mg di gelatina arancione e arancione oliva e oliva impressa su un lato con flomax 0,4 mg e dall'altra parte con BI 58

    Archiviazione e maneggevolezza

    Capsule flomax 0,4 mg sono forniti in bottiglie di polietilene ad alta densità contenenti 100 capsule di gelatina dura con tappo opaco verde oliva e corpo opaco arancione. Le capsule sono impresse su un lato con flomax 0,4 mg e dall'altra parte con BI 58.

    Capsule flomax 0,4 mg 100 capsules ( Ndc 0024-5837-01)

    Conservare a 25 ° C (77 ° F); Escursioni consentite a 15 ° C - 30 ° C (59 ° F - 86 ° F) [Vedere A temperatura ambiente controllata da USP ].

    Mantieni le capsule flomax e tutti i medicinali fuori dalla portata dei bambini.

    Distribuito da: Sanofi-Aventis U.S. LLC Bridgewater NJ 08807 A Sanofi Company. Revisionato: ottobre 2018

    Effetti collaterali fO Flomax

    Esperienza di studi clinici

    Poiché gli studi clinici sono condotti in condizioni ampiamente variabili, i tassi di reazioni avverse osservate negli studi clinici di un farmaco non possono essere paragonati direttamente ai tassi negli studi clinici di un altro farmaco e potrebbero non riflettere i tassi osservati nella pratica. L'incidenza di eventi avversi emergenti dal trattamento è stata accertata da sei studi clinici a breve termine e europei controllati con placebo in cui sono state utilizzate dosi giornaliere da 0,1 a 0,8 mg di capsule di flomax. Questi studi hanno valutato la sicurezza in 1783 pazienti trattati con capsule flomax e 798 pazienti somministrati placebo. La tabella 1 riassume gli eventi avversi emergenti dal trattamento che si sono verificati in ≥2% dei pazienti che hanno ricevuto capsule flomax 0,4 mg o 0,8 mg e con un'incidenza numericamente superiore a quelli nel gruppo placebo durante due studi statunitensi di 13 settimane (US92-03A e US93-01) condotti in 1487 uomini.

    Tabella 1: eventi avversi emergenti* che si verificano in ≥2% delle capsule flomax o dei pazienti con placebo in due studi clinici controllati da placebo a breve termine statunitensi

    Sistema del corpo/ evento avverso Gruppi di capsule flomax PLACEBO
    0,4 mg
    n = 502
    0,8 mg
    n = 492
    n = 493
    Corpo nel suo insieme
    Mal di testa 97 (NULL,3%) 104 (NULL,1%) 99 (NULL,1%)
    Infezione† 45 (NULL,0%) 53 (NULL,8%) 37 (NULL,5%)
    Astenia 39 (NULL,8%) 42 (NULL,5%) 27 (NULL,5%)
    Mal di schiena 35 (NULL,0%) 41 (NULL,3%) 27 (NULL,5%)
    Dolore al petto 20 (NULL,0%) 20 (NULL,1%) 18 (NULL,7%)
    Sistema nervoso
    Vertigini 75 (NULL,9%) 84 (NULL,1%) 50 (NULL,1%)
    Sonnolenza 15 (NULL,0%) 21 (NULL,3%) 8 (NULL,6%)
    Insonnia 12 (NULL,4%) 7 (NULL,4%) 3 (NULL,6%)
    La libido è diminuita 5 (NULL,0%) 10 (NULL,0%) 6 (NULL,2%)
    Sistema respiratorio
    Rhinite ‡ 66 (NULL,1%) 88 (NULL,9%) 41 (NULL,3%)
    Faringite 29 (NULL,8%) 25 (NULL,1%) 23 (NULL,7%)
    La tosse aumentata 17 (NULL,4%) 22 (NULL,5%) 12 (NULL,4%)
    Sinusite 11 (NULL,2%) 18 (NULL,7%) 8 (NULL,6%)
    Sistema digestivo
    Diarrea 31 (NULL,2%) 21 (NULL,3%) 22 (NULL,5%)
    Nausea 13 (NULL,6%) 19 (NULL,9%) 16 (NULL,2%)
    Disturbo dei denti 6 (NULL,2%) 10 (NULL,0%) 7 (NULL,4%)
    Sistema urogenitale
    Eiaculazione anormale 42 (NULL,4%) 89 (NULL,1%) 1 (NULL,2%)
    Sensi speciali
    Visione sfocata 1 (NULL,2%) 10 (NULL,0%) 2 (NULL,4%)
    *Un evento avverso emergente per il trattamento è stato definito come qualsiasi evento che soddisfa uno dei seguenti criteri:
    L'evento avverso si è verificato per la prima volta dopo il dosaggio iniziale con farmaci per lo studio in doppio cieco.
    L'evento avverso era presente prima o al momento del dosaggio iniziale con farmaci per lo studio in doppio cieco e successivamente aumentato di gravità durante il trattamento in doppio cieco; O
    L'evento avverso era presente prima o al momento del dosaggio iniziale con farmaci per lo studio in doppio cieco scomparsi completamente e quindi riapparire durante il trattamento in doppio cieco.
    † I termini preferiti di codifica includono anche un'influenza fredda fredda a freddo e sintomi simili all'influenza.
    ‡ La codifica i termini preferiti includono anche congestione del naso che cola del naso naso nasale e febbre da fieno.
    Segni e sintomi dell'ortostasi

    Nei due studi statunitensi l'ipotensione posturale sintomatica è stata riportata dallo 0,2% dei pazienti (1 su 502) nel gruppo 0,4 mg lo 0,4% dei pazienti (2 su 492) nel gruppo 0,8 mg e da nessun paziente nel gruppo placebo. La sincope è stata riportata dallo 0,2% dei pazienti (1 su 502) nel gruppo 0,4 mg 0,4% dei pazienti (2 su 492) nel gruppo 0,8 mg e 0,6% dei pazienti (3 su 493) nel gruppo placebo. Le vertigini sono state riportate dal 15% dei pazienti (75 su 502) nel gruppo 0,4 mg 17% dei pazienti (84 su 492) nel gruppo 0,8 mg e il 10% dei pazienti (50 su 493) nel gruppo placebo. Vertigo è stato riportato dallo 0,6% dei pazienti (3 su 502) nel gruppo 0,4 mg 1% dei pazienti (5 su 492) nel gruppo 0,8 mg e dallo 0,6% dei pazienti (3 su 493) nel gruppo placebo.

    In numerosi studi sono stati condotti test multipli per ipotensione ortostatica. Tale test è stato considerato positivo se soddisfaceva uno o più dei seguenti criteri: (1) una diminuzione della pressione arteriosa sistolica di ≥20 mmHg in piedi dalla posizione supina durante i test ortostatici; (2) una diminuzione della pressione arteriosa diastolica ≥10 mmHg in piedi con la pressione diastolica in piedi <65 mmHg during the Othostatic test; (3) an increase in pulse rate of ≥20 bpm upon stEing with a stEing pulse rate ≥100 bpm during the Othostatic test; E (4) the presence of clinical symptoms (faintness Accendino/lightheaded vertigini spinning sensation vertigo O postural hypotension) upon stEing during the Othostatic test.

    Dopo la prima dose di farmaci in doppio cieco nello studio 1 è stato osservato un risultato di test ortostatico positivo a 4 ore dopo la dose nel 7% dei pazienti (37 su 498) che hanno ricevuto capsule di flomax 0,4 mg una volta al giorno e nel 3% dei pazienti (8 su 253) che hanno ricevuto placebo. A 8 ore dopo la dose è stato osservato un risultato positivo del test ortostatico per il 6% dei pazienti (31 su 498) che hanno ricevuto capsule flomax 0,4 mg una volta al giorno e 4% (9 su 250) che hanno ricevuto il placebo (Nota: i pazienti nel gruppo 0,8 mg hanno ricevuto 0,4 mg una volta al giorno per la prima settimana di studio 1).

    Negli studi 1 e 2 almeno un risultato positivo del test ortostatico è stato osservato nel corso di questi studi per 81 dei 502 pazienti (16%) nel flomax capsule di 0,4 mg un gruppo una volta al giorno 92 del 491 pazienti (19%) nel flomax capsule 0,8 mg una volta alfa e 54 dei 493 pazienti (11%) nel placebo.

    Poiché l'ortostasi è stata rilevata più frequentemente nei pazienti trattati con capsula flomax che nei destinatari del placebo c'è un potenziale rischio di sincope [vedi Avvertimenti e PRECAUZIONI ].

    Eiaculazione anormale

    Eiaculazione anormale includes ejaculation failure ejaculation disOder retrograde ejaculation E ejaculation decrease. As shown in Table 1 abnOmal ejaculation was associated with FLOMAX capsules administration E was dose-related in the U.S. studies. Withdrawal from these clinical studies of FLOMAX capsules because of abnOmal ejaculation was also dose-dependent with 8 of 492 patients (1.6%) in the 0,8 mg group E no patients in the 0,4 mg O placebo groups discontinuing treatment due to abnOmal ejaculation.

    Test di laboratorio

    Non sono note interazioni di test di laboratorio con capsule di flomax. Il trattamento con capsule flomax per un massimo di 12 mesi non ha avuto effetti significativi sull'antigene specifico della prostata (PSA).

    Esperienza post -marketing

    Le seguenti reazioni avverse sono state identificate durante l'uso post-approvazione delle capsule di flomax. Poiché queste reazioni sono riportate volontariamente da una popolazione di dimensioni incerte, non è sempre possibile stimare in modo affidabile la loro frequenza o stabilire una relazione causale con l'esposizione ai farmaci. Le decisioni per includere queste reazioni nell'etichettatura si basano in genere su uno o più dei seguenti fattori: (1) gravità della reazione (2) frequenza di segnalazione o (3) resistenza della connessione causale con le capsule di flomax. In alcuni casi sono state riportate reazioni di tipo allergico come l'angitus di angoedema e sintomi respiratori dell'erticaria e sintomi respiratori. Il priapismo è stato segnalato raramente. Rapporti rari di palpitazioni di dispnea Ipotensione Fibrillazione atriale Aritmia tachicardia Desquamazione cutanea Includere segnalazioni di sindrome di Stevens-Johnson Eritema eritema multiforme di dermatite esfoliativa costipazione di vomito Vomito a secco Visual Visualumment e epistaxis durante il periodo postmarketing. Durante la chirurgia della cataratta e del glaucoma è stata segnalata una variante della sindrome da pupilla piccola nota come sindrome da Iris floppy intraoperatorio (IFIS) 1 Blocker Therapy [vedi Avvertimenti e PRECAUZIONI ].

    Interazioni farmacologiche fO Flomax

    Inibizione del citocromo P450

    Inibitori forti e moderati di CYP3A4 o CYP2D6

    La tamsulosina è ampiamente metabolizzata principalmente da CYP3A4 e CYP2D6.

    Il trattamento concomitante con ketoconazolo (un forte inibitore del CYP3A4) ha comportato un aumento del CMAX e dell'AUC della tamsulosina di un fattore rispettivamente di 2,2 e 2,8 [vedi Avvertimenti e PRECAUZIONI E Farmacologia clinica ]. The effects of concomitant administration of a moderate CYP3A4 inhibitO (e.g. eritromicina) on the pharmacokinetics of FLOMAX have not been evaluated [Vedere Avvertimenti e PRECAUZIONI E Farmacologia clinica ].

    Il trattamento concomitante con paroxetina (un forte inibitore del CYP2D6) ha comportato un aumento del CMAX e dell'AUC della tamsulosina di un fattore rispettivamente di 1,3 e 1,6 [vedi Avvertimenti e PRECAUZIONI E Farmacologia clinica ]. A similar increase in exposure is expected in CYP2D6 poO metabolizers (PM) as compared to extensive metabolizers (EM). Since CYP2D6 PMs cannot be readily identified E the potential fO significant increase in tamsulosin exposure exists when FLOMAX 0,4 mg is co-administered with strong CYP3A4 inhibitOs in CYP2D6 PMs FLOMAX 0,4 mg capsules should not be used in combination with strong inhibitOs of CYP3A4 (e.g. ketoconazole) [Vedere Avvertimenti e PRECAUZIONI E Farmacologia clinica ].

    Gli effetti della somministrazione concomitante di un moderato inibitore del CYP2D6 (ad esempio terbinafina) sulla farmacocinetica del flomax non sono stati valutati [vedi Avvertimenti e PRECAUZIONI E Farmacologia clinica ].

    Gli effetti della co-somministrazione di un inibitore del CYP3A4 e del CYP2D6 con capsule flomax non sono stati valutati. Tuttavia, esiste un potenziale per un aumento significativo dell'esposizione alla tamsulosina quando il flomax 0,4 mg viene somministrato con una combinazione di inibitori di CYP3A4 e CYP2D6 [vedi Avvertimenti e PRECAUZIONI E Farmacologia clinica ].

    Cimetidina

    Il trattamento con cimetidina ha comportato una riduzione significativa (26%) nella clearance della tamsulosina cloridrato che ha comportato un moderato aumento della tamsulosina cloridrato AUC (44%) [vedi Avvertimenti e PRECAUZIONI E Farmacologia clinica ].

    Altri agenti bloccanti alfa adrenergici

    Le interazioni farmacocinetiche e farmacodinamiche tra capsule di flomax e altri agenti di blocco adrenergico alfa; Tuttavia, possono essere previste interazioni tra capsule flomax e altri agenti di blocco alfa adrenergici [vedi Avvertimenti e PRECAUZIONI E Farmacologia clinica ].

    Inibitori PDE5

    Si consiglia di cautela quando gli agenti di blocco adrenergico alfa, tra cui il flomax, vengono somministrati con inibitori della PDE5. I bloccanti alfa-adrenergici e gli inibitori della PDE5 sono entrambi vasodilatatori che possono abbassare la pressione sanguigna. L'uso concomitante di queste due classi di farmaci può potenzialmente causare ipotensione sintomatica [vedi Avvertimenti e PRECAUZIONI E Farmacologia clinica ].

    Warfarin

    Non è stato condotto uno studio definitivo di interazione farmaco-farmaco tra tamsulosina cloridrato e warfarin. I risultati di studi limitati in vitro e in vivo sono inconcludenti. Attenzione dovrebbe essere esercitata con concomitante somministrazione di capsule di warfarin e flomax [vedi Avvertimenti e PRECAUZIONI E Farmacologia clinica ].

    Nifedipina atenolol enalapril

    Le regolazioni del dosaggio non sono necessarie quando le capsule flomax sono somministrate in concomitanza con la nifedipina atenololo o enalapril [vedi Farmacologia clinica ].

    Digossina e teofillina

    Le regolazioni del dosaggio non sono necessarie quando una capsula flomax viene somministrata in concomitanza con digossina o teofillina [vedi Farmacologia clinica ].

    Furosemide

    Le capsule di flomax non hanno avuto alcun effetto sulla farmacodinamica (escrezione di elettroliti) di furosemide. Mentre il furosemide ha prodotto una riduzione dell'11% al 12% nel tamsulosina cloridrato CMAX e AUC, si prevede che questi cambiamenti dovrebbero essere clinicamente insignificanti e non richiedono un aggiustamento del dosaggio delle capsule flomax [vedi Farmacologia clinica ].

    Avvertimenti per il flomax

    Incluso come parte del PRECAUZIONI sezione.

    Precauzioni per flomax

    Ortostasi

    I segni e i sintomi dell'ortostasi (vertigini e vertigini per ipotensione posturale) sono stati rilevati più frequentemente nei pazienti trattati con capsula flomax che nei destinatari del placebo. Come con altri agenti di blocco adrenergico alfa, esiste un potenziale rischio di sincope [vedi Reazioni avverse ]. Patients beginning treatment with FLOMAX capsules should be cautioned to avoid situations in which injury could result should syncope occur.

    Interazioni farmacologiche

    La tamsulosina è ampiamente metabolizzata principalmente da CYP3A4 e CYP2D6. Capsule flomax 0,4 mg should not be used in combination with strong inhibitOs of CYP3A4 (e.g. ketoconazole) [Vedere Interazioni farmacologiche E Farmacologia clinica ]. FLOMAX capsules should be used with caution in combination with moderate inhibitOs of CYP3A4 (e.g. eritromicina) in combination with strong (e.g. paroxetine) O moderate (e.g. terbinafine) inhibitOs of CYP2D6 in patients known to be CYP2D6 poO metabolizers particularly at a dose higher than 0,4 mg (e.g. 0,8 mg) [Vedere Interazioni farmacologiche E Farmacologia clinica ].

    Le capsule di flomax dovrebbero essere utilizzate con cautela in combinazione con cimetidina in particolare a una dose superiore a 0,4 mg (ad esempio 0,8 mg) [vedi Interazioni farmacologiche E Farmacologia clinica ].

    Le capsule flomax non devono essere utilizzate in combinazione con altri agenti di blocco alfa adrenergici [vedi Interazioni farmacologiche E Farmacologia clinica ].

    Si consiglia di cautela quando gli agenti di blocco adrenergico alfa, tra cui il flomax, vengono somministrati con inibitori della PDE5. I bloccanti alfa-adrenergici e gli inibitori della PDE5 sono entrambi vasodilatatori che possono abbassare la pressione sanguigna. L'uso concomitante di queste due classi di farmaci può potenzialmente causare ipotensione sintomatica [vedi Interazioni farmacologiche E Farmacologia clinica ].

    Attenzione dovrebbe essere esercitata con concomitante somministrazione di capsule di warfarin e flomax [vedi Interazioni farmacologiche E Farmacologia clinica ].

    Priapismo

    Raramente (probabilmente meno di 1 su 50000 pazienti) tamsulosina come altri alfa 1 Gli antagonisti sono stati associati al priapismo (persistente erezione del pene dolorosa non correlata all'attività sessuale). Poiché questa condizione può portare a impotenza permanente se i pazienti non trattati adeguatamente devono essere consigliati sulla gravità della condizione.

    Screening per il cancro alla prostata

    Cancro alla prostata e BPH spesso coesistono; Pertanto, i pazienti devono essere sottoposti a screening per la presenza di carcinoma prostatico prima del trattamento con capsule flomax e successivamente a intervalli regolari.

    Sindrome di iris floppy intraoperatorio

    Sindrome di iris floppy intraoperatorio (IFIS) has been observed during cataract E glaucoma surgery in some patients on O previously treated with alfa 1 bloccanti tra cui capsule flomax [vedi Reazioni avverse ].

    La maggior parte dei rapporti era nei pazienti che prendevano l'alfa 1 bloccante quando si è verificato IFIS ma in alcuni casi l'alfa 1 Blocker era stato fermato prima dell'intervento. Nella maggior parte di questi casi l'Alfa 1 Il bloccante era stato fermato di recente prima dell'intervento (da 2 a 14 giorni) ma in alcuni casi è stato segnalato IFIS dopo che il paziente era stato fuori dall'alfa 1 bloccante per un periodo più lungo (da 5 settimane a 9 mesi). L'IFIS è una variante della sindrome da pupilla piccola ed è caratterizzata dalla combinazione di un'iride flaccida che fluttua in risposta alle correnti di irrigazione intraoperatoria di miosi intraoperatoria progressiva della mirina nonostante la dilatazione preoperatoria con farmaci mydriatici standard e il potenziale prolasso dell'iride verso le incisioni di facoemulsificazione. L'oftalmologo del paziente dovrebbe essere preparato per possibili modifiche alla loro tecnica chirurgica come l'utilizzo degli anelli di dilatazione dell'iride o delle sostanze viscoelastiche.

    A cosa può essere utilizzato la ciprofloxacina

    L'IFIS può aumentare il rischio di complicanze oculari durante e dopo l'operazione. Il vantaggio di fermare Alpha 1 Non è stata stabilita la terapia di bloccante prima della chirurgia della cataratta o del glaucoma. Non è previsto l'inizio della terapia con tamsulosina nei pazienti per i quali è programmata la chirurgia della cataratta o del glaucoma.

    Allergia del sulfa

    Nei pazienti con la reazione allergica allergia al solfa alle capsule di flomax è stata raramente riportata. Se un paziente riferisce che una cautela di Allergia del sulfA grave o potenzialmente letale è garantita durante la somministrazione di capsule di flomax.

    Informazioni sulla consulenza del paziente

    Consiglia al paziente di leggere l'etichettatura del paziente approvato dalla FDA ( Informazioni sul paziente ).

    Ipotensione

    Consiglia al paziente la possibile insorgenza di sintomi legati all'ipotensione posturale come vertigini quando si prendono le capsule flomax e dovrebbero essere avvertiti sulla guida di macchinari operativi o sull'esecuzione di compiti pericolosi [vedi Avvertimenti e PRECAUZIONI ].

    Interazioni farmacologiche

    Consiglia al paziente che il flomax non dovrebbe essere usato in combinazione con forti inibitori del CYP3A4 [vedi Avvertimenti e PRECAUZIONI E Interazioni farmacologiche ].

    Priapismo

    Consiglia al paziente la possibilità di priapismo a causa del trattamento con capsule flomax e altri farmaci simili. I pazienti devono essere informati che questa reazione è estremamente rara, ma se non portata a cure mediche immediate può portare a disfunzione erettile permanente (impotenza) [vedi Avvertimenti e PRECAUZIONI ].

    Screening per il cancro alla prostata

    Cancro alla prostata e BPH spesso coesistono; Pertanto lo schermo dei pazienti per la presenza di carcinoma prostatico prima del trattamento con capsule flomax e successivamente a intervalli regolari [vedi Avvertimenti e PRECAUZIONI ].

    Sindrome di iris floppy intraoperatorio

    Consiglia il paziente quando si considerano la chirurgia della cataratta o del glaucoma per dire al loro oftalmologo che hanno preso le capsule flomax [vedi Avvertimenti e PRECAUZIONI ].

    Amministrazione

    Consiglia al paziente che le capsule di flomax non dovrebbero essere schiacciate o aperte [vedi Dosaggio e amministrazione ].

    L'etichettatura dei pazienti approvata dalla FDA

    L'etichettatura dei pazienti viene fornita come un volantino a strappo alla fine di queste informazioni di prescrizione.

    Tossicologia non clinica

    Mutagenesi della carcinogenesi compromissione della fertilità

    I ratti somministrati dosi fino a 43 mg/kg/die nei maschi e 52 mg/kg/giorno nelle femmine non hanno avuto aumenti dell'incidenza del tumore, ad eccezione di un modesto aumento della frequenza dei fibroadenomi della ghiandola mammaria nei raoppi femminili che hanno ricevuto dosi ≥5,4 mg/kg (p <0.015). The highest doses of tamsulosin hydrochlOide evaluated in the rat carcinogenicity study produced systemic exposures (AUC) in rats 3 times the exposures in men receiving the maximum therapeutic dose of 0,8 mg/day.

    I topi sono stati somministrati dosi fino a 127 mg/kg/die nei maschi e 158 mg/kg/giorno nelle femmine. Non ci sono stati risultati significativi sul tumore nei topi maschi. I topi femminili trattati per 2 anni con le due dosi più alte di 45 e 158 mg/kg/giorno hanno avuto aumenti statisticamente significativi nell'incidenza dei fibroom della ghiandola mammaria (P <0.0001) E adenocarcinomas (P <0.0075). The highest dose levels of tamsulosin hydrochlOide evaluated in the mice carcinogenicity study produced systemic exposures (AUC) in mice 8 times the exposures in men receiving the maximum therapeutic dose of 0,8 mg/day.

    Le maggiori incidenze di neoplasie della ghiandola mammaria nei ratti femmine e nei topi sono state considerate secondarie all'iperprolattinemia indotta da tamsulosina cloridrato. Non è noto se le capsule di flomax elevano la prolattina nell'uomo. Non è nota la rilevanza per il rischio umano dei risultati dei tumori endocrini mediati dalla prolattina nei roditori.

    La tamsulosina cloridrato non ha prodotto alcuna evidenza di potenziale mutagenico in vitro nel test del linfoma tomidina chinasi del test di topo di topo di topo inversa e saggio di sintesi di riparazione del DNA non programmato e test di aberrazione cromosomica nelle cellule di ovaio del criceto cinese o nei linfociti umani. Non ci sono stati effetti mutageni nello scambio di cromatidi gemelli in vivo e al test del micronucleo di topo.

    Gli studi sui ratti hanno rivelato una fertilità significativamente ridotta nei maschi dosati con dosi giornaliere singole o multiple di 300 mg/kg/giorno di tamsulosina cloridrato (esposizione AUC nei ratti circa 50 volte l'esposizione umana con la dose terapeutica massima). Il meccanismo di riduzione della fertilità nei ratti maschi è considerato un effetto del composto sulla formazione di spine vaginali probabilmente a causa di cambiamenti del contenuto di sperma o compromissione dell'eiaculazione. Gli effetti sulla fertilità sono stati reversibili che mostrano un miglioramento di 3 giorni dopo una singola dose e 4 settimane dopo il dosaggio multiplo. Gli effetti sulla fertilità nei maschi sono stati completamente invertiti entro nove settimane dall'interruzione del dosaggio multiplo. Dosi multiple di 10 e 100 mg/kg/giorno di tamsulosina cloridrato (1/5 e 16 volte l'esposizione AUC umana anticipata) non ha alterato significativamente la fertilità nei ratti maschi. Gli effetti della tamsulosina cloridrato sul conteggio degli spermatozoi o sulla funzione dello sperma non sono stati valutati.

    Gli studi sui ratti femmine hanno rivelato riduzioni significative della fertilità dopo dosaggio singolo o multiplo con 300 mg/kg/giorno dell'isomero R o miscela racemica di tamsulosina cloridrato rispettivamente. Nei ratti femmine le riduzioni della fertilità dopo singole dosi sono state considerate associate a menomazioni nella fecondazione. Il dosaggio multiplo con 10 o 100 mg/kg/giorno della miscela racemica non ha alterato significativamente la fertilità nei ratti femmine.

    Utilizzare in popolazioni specifiche

    Gravidanza

    Effetti teratogeni

    Gravidanza CategOy B.

    Amministrazione of tamsulosin hydrochlOide to pregnant female rats at dose levels up to approximately 50 times the human therapeutic AUC exposure (300 mg/kg/day) revealed no evidence of harm to the fetus. Amministrazione of tamsulosin hydrochlOide to pregnant rabbits at dose levels up to 50 mg/kg/day produced no evidence of fetal harm. Le capsule flomax non sono indicate per l'uso nelle donne.

    Madri infermieristiche

    Le capsule flomax non sono indicate per l'uso nelle donne.

    Uso pediatrico

    Le capsule di flomax non sono indicate per l'uso nelle popolazioni pediatriche.

    L'efficacia e il beneficio/rischio positivo di tamsulosina cloridrato non sono stati dimostrati in due studi condotti in pazienti di età compresa tra 2 e 16 anni con elevata pressione del punto di perdita di detrusore (> 40 cm H2O) associata a disturbo neurologico noto (ad esempio spina bifida). I pazienti in entrambi gli studi sono stati trattati su uno schema mg/kg a base di peso (NULL,025 mg 0,05 mg 0,1 mg 0,2 mg o 0,4 mg di tamsulosina cloridrato) per la riduzione della pressione del punto di perdita di detrusore inferiore a 40 cm H2O. In uno studio randomizzato in doppio cieco in doppio cieco controllato con placebo di 14 settimane e studio di efficacia in 161 pazienti, non è stata osservata alcuna differenza statisticamente significativa nella proporzione di soccorritori tra gruppi che ricevono tamsulosina cloridrato e placebo. In uno studio di sicurezza a 12 mesi in aperto 87 pazienti sono stati trattati con tamsulosina cloridrato. Gli eventi avversi più frequentemente riportati (≥5%) dai dati aggregati di entrambi gli studi sono stati l'infezione del tratto urinario che vomito la piressia malsofaringite tosse la faringite influente diarrea dolore addominale e costipazione.

    Uso geriatrico

    Del numero totale di soggetti (1783) negli studi clinici sulla tamsulosina il 36% aveva 65 anni e oltre. Non sono state osservate differenze complessive nella sicurezza o nell'efficacia tra questi soggetti e i soggetti più giovani e l'altra esperienza clinica riportata non ha identificato differenze nelle risposte tra i pazienti anziani e più giovani, ma non è possibile escludere una maggiore sensibilità di alcuni anziani [vedi Farmacologia clinica ].

    Compromissione renale

    I pazienti con compromissione renale non richiedono un aggiustamento nel dosaggio delle capsule di flomax. Tuttavia i pazienti con malattia renale allo stadio terminale (CLCR <10 mL/min/1.73 m²) have not been studied [Vedere Farmacologia clinica ].

    Compromissione epatica

    I pazienti con compromissione epatica moderata non richiedono un aggiustamento nel dosaggio delle capsule di flomax. Flomax non è stato studiato in pazienti con grave compromissione epatica [vedi Farmacologia clinica ].

    Informazioni per overdose per flomax

    Il sovradosaggio di capsule di flomax porta all'ipotensione [vedi Avvertimenti e PRECAUZIONI E Reazioni avverse ] Il supporto del sistema cardiovascolare è di prima importanza. Il ripristino della pressione sanguigna e la normalizzazione della frequenza cardiaca possono essere realizzati mantenendo il paziente in posizione supina. Se questa misura è inadeguata, è necessario prendere in considerazione la somministrazione di fluidi endovenosi. Se i vasopressori necessari devono quindi essere utilizzati e la funzione renale deve essere monitorata e supportata secondo necessità.

    Controindicazioni per flomax

    Le capsule di flomax sono controindicate nei pazienti noti per essere ipersensibili alla tamsulosina cloridrato o qualsiasi componente delle capsule di flomax. Le reazioni hanno incluso l'angioedema e sintomi respiratori dell'orticaria cutanea cutanea e sintomi respiratori [vedi Reazioni avverse ].

    Farmacologia clinica fO Flomax

    Meccanismo d'azione

    I sintomi associati a iperplasia prostatica benigna (BPH) sono correlati all'ostruzione dell'outlet della vescica che comprende due componenti sottostanti: statici e dinamici. Il componente statico è correlato ad un aumento della dimensione della prostata causata in parte da una proliferazione di cellule muscolari lisce nello stroma prostatico. Tuttavia, la gravità dei sintomi di BPH e il grado di ostruzione uretrale non sono correlati bene con le dimensioni della prostata. Il componente dinamico è una funzione di un aumento del tono della muscolatura liscia nel collo della prostata e della vescica che porta alla costrizione dell'outlet della vescica. Il tono muscolare liscio è mediato dalla stimolazione nervosa simpatica dell'alfa 1 ADRENOCCETTORI che sono abbondanti nell'uretra prostatica prostatica della capsula prostatica e nel collo della vescica. Il blocco di questi adrenoceptori può causare muscoli lisce nel collo della vescica e la prostata per rilassarsi con conseguente miglioramento della portata delle urine e una riduzione dei sintomi di BPH.

    Tamsulosina an alfa 1 L'agente bloccante adrenoptor mostra selettività per alfa 1 recettori nella prostata umana. Almeno tre alfa discrete 1 Sono stati identificati i sottotipi adrenoptor 1a alfa 1b E alfa 1d ; La loro distribuzione differisce tra organi umani e tessuto. Circa il 70% dell'alfa 1 I recettori nella prostata umana sono dell'alfa 1a sottotipo.

    Le capsule di flomax non sono destinate all'uso come farmaco antiipertensivo.

    Farmacodinamica

    Gli effetti farmacodinamici urologici sono stati valutati in pazienti pediatrici neurologicamente compromessi e negli adulti con BPH [vedi Utilizzare in popolazioni specifiche E Studi clinici ].

    Farmacocinetica

    La farmacocinetica della tamsulosina cloridrato è stata valutata in volontari sani per adulti e pazienti con BPH dopo somministrazione singola e/o multipla con dosi che vanno da 0,1 mg a 1 mg.

    Assorbimento

    L'assorbimento di tamsulosina cloridrato da capsule di flomax 0,4 mg è essenzialmente completo (> 90%) dopo la somministrazione orale in condizioni di digiuno. La tamsulosina cloridrato presenta una cinetica lineare a seguito di dosaggio singolo e multiplo con il raggiungimento delle concentrazioni di stato stazionario entro il quinto giorno di dosaggio una volta al giorno.

    Effetto del cibo

    Il tempo alla massima concentrazione (TMAX) è raggiunto da 4 a 5 ore in condizioni di digiuno e da 6 a 7 ore quando le capsule di flomax sono somministrate con cibo. L'assunzione di capsule di flomax in condizioni a digiuno comporta un aumento del 30% della biodisponibilità (AUC) e un aumento del 40% al 70% delle concentrazioni di picco (CMAX) rispetto alle condizioni della Fed (Figura 1).

    Figura 1: concentrazioni media di tamsulosina di tamsulosina di tamsulosina a seguito di somministrazione a dose singola di capsule flomax 0,4 mg in condizioni di digiuno e alimentazione (n = 8)

    Mean Plasma Tamsulosin Hydrochloride Concentrations Following Single- Dose Administration of FLOMAX Capsules 0.4 mg Under Fasted and Fed Conditions - Illustration

    Gli effetti del cibo sulla farmacocinetica della tamsulosina cloridrato sono coerenti indipendentemente dal fatto che una capsula flomax sia presa con una colazione leggera o una colazione ricca di grassi (Tabella 2).

    Tabella 2: parametri farmacocinetici medi (± s.d.) a seguito di capsule flomax 0,4 mg una volta al giorno o 0,8 mg una volta al giorno con colazione a corto grasso leggera o digiuno a digiuno

    Parametro farmacocinetico 0,4 mg QD to healthy volunteers; n=23 (age range 18-32 years) 0,8 mg QD to healthy volunteers; n=22 (age range 55-75 years)
    Colazione leggera Digiuno Colazione leggera Colazione ricca di grassi Digiuno
    CMIN (NG/ML) 4,0 ± 2,6 3,8 ± 2,5 12,3 ± 6,7 13,5 ± 7,6 13.3
    CMAX (NG/ML) 10,1 ± 4,8 17.1 29,8 ± 10,3 29,1 ± 11,0 41.6
    Rapporto CMAX/Cmin 3,1 ± 1,0 5,3 ± 2,2 2,7 ± 0,7 2,5 ± 0,8 3,6 ± 1,1
    Tmax (ore) 6.0 4.0 7.0 6.6 5.0
    T½ (ore) - - - - 14,9 ± 3,9
    Aucτ (ng •; hr/ml) 151 ± 81,5 199 ± 94,1 440 ± 195 449 ± 217 557 ± 257
    Cmin = concentrazione minima osservata
    CMAX = concentrazione plasmatica di tamsulosina cloridrato massima osservata
    TMAX = concentrazione mediana di tempo a maximum
    T½ = emivita osservata
    Aucτ = Area sotto la curva del tempo del plasma cloridrato di tamsulosina sull'intervallo di dosaggio
    Distribuzione

    Il volume apparente medio stazionario di distribuzione di tamsulosina cloridrato dopo somministrazione endovenosa a 10 adulti maschi sani era di 16 L, il che è suggestivo di distribuzione in fluidi extracellulari nel corpo.

    La tamsulosina cloridrato è ampiamente legata alle proteine ​​plasmatiche umane (dal 94% al 99%) principalmente alfa 1 glicoproteina acida (AAG) con legame lineare su un ampio intervallo di concentrazione (da 20 a 600 ng/mL). I risultati di studi a due vie in vitro indicano che il legame della tamsulosina cloridrato con le proteine ​​plasmatiche umane non è influenzato dall'amitriptilina diclofenac glyburide simvastatina più simvastatina-idrossi metabolite warfarin diazepam propranolol trichlormothide. Allo stesso modo la tamsulosina cloridrato non ha avuto alcun effetto sull'entità del legame di questi farmaci.

    Metabolismo

    Non esiste una bioconversione enantiomerica dal tamsulosina cloridrato [r (-) isomero] all'isomero s () nell'uomo. La tamsulosina cloridrato è ampiamente metabolizzata dagli enzimi del citocromo P450 nel fegato e meno del 10% della dose viene escreto nelle urine invariate. Tuttavia, il profilo farmacocinetico dei metaboliti nell'uomo non è stato stabilito. La tamsulosina è ampiamente metabolizzata principalmente da CYP3A4 e CYP2D6, nonché tramite una partecipazione minore di altri isoenzimi del CYP. L'inibizione degli enzimi epatici di metabolizzazione dei farmaci può portare ad una maggiore esposizione alla tamsulosina [vedi Avvertimenti e PRECAUZIONI E Interazioni farmacologiche ]. The metabolites of tamsulosin hydrochlOide undergo extensive conjugation to glucuronide O sulfate priO to renal excretion.

    Le incubazioni con microsomi epatici umani non hanno mostrato alcuna evidenza di interazioni metaboliche clinicamente significative tra tamsulosina cloridrato e amitriptilina albuterolo (agonista beta) glyburide (glibenclamide) e finasteride (inibitore della 5-alfa-reduttasi per il trattamento della BPH). Tuttavia, i risultati dei test in vitro dell'interazione con tamsulosina cloridrato con diclofenac e warfarin erano equivoci.

    Escrezione

    Sulla somministrazione della dose radiomarcata di tamsulosina cloridrato a 4 volontari sani, il 97%della radioattività somministrata è stato recuperato con urina (76%) che rappresenta la via primaria di escrezione rispetto alle feci (21%) in 168 ore. A seguito di somministrazione endovenosa o orale di una formulazione a rilascio immediato, l'emivita di eliminazione della tamsulosina cloridrato nel plasma variava da 5 a 7 ore. A causa della farmacocinetica controllata dal tasso di assorbimento con capsule flomax, l'emivita apparente della tamsulosina cloridrato è di circa 9-13 ore in volontari sani e 14-15 ore nella popolazione bersaglio. La tamsulosina cloridrato subisce una clearance restrittiva nell'uomo con una clearance sistemica relativamente bassa (NULL,88 L/H).

    Popolazioni specifiche

    Uso pediatrico

    Le capsule flomax non sono indicate per l'uso nelle popolazioni pediatriche [vedi Utilizzare in popolazioni specifiche ].

    Uso geriatrico (età)

    Il confronto tra studio tra le capsule flomax esposizione (AUC) e l'emivita indicano che la disposizione farmacocinetica del tamsulosina cloridrato può essere leggermente prolungata nei maschi geriatrici rispetto ai giovani volontari maschi sani. La clearance intrinseca è indipendente dalla tamsulosina cloridrato che si lega all'AAG ma diminuisce con l'età con conseguente un'esposizione complessiva del 40% (AUC) nei soggetti di età compresa tra 55 e 75 anni rispetto ai soggetti di età compresa tra 20 e 32 anni [vedi Utilizzare in popolazioni specifiche ].

    Compromissione renale

    La farmacocinetica della tamsulosina cloridrato è stata confrontata in 6 soggetti con lieve-moderate (30≤ CLCR <70 mL/min/1.73 m²) O moderate-severe (10≤ CLcr

    <30 mL/min/1.73 m²) renal impairment and 6 normal subjects (CLcr> 90 ml/min/1,73 m²). Mentre è stato osservato un cambiamento nella concentrazione plasmatica complessiva di tamsulosina cloridrato come risultato di un legame alterato per AAG la concentrazione non legata (attiva) della tamsulosina cloridrato e la clearance intrinseca è rimasta relativamente costante. Pertanto i pazienti con compromissione renale non richiedono un aggiustamento nel dosaggio delle capsule di flomax. Tuttavia i pazienti con malattia renale allo stadio terminale (CLCR <10 mL/min/1.73 m²) have not been studied [Vedere Utilizzare in popolazioni specifiche ].

    Compromissione epatica

    La farmacocinetica della tamsulosina cloridrato è stata confrontata in 8 soggetti con moderata compromissione epatica (classificazione di Child-Pugh: gradi A e B) e 8 soggetti normali. Mentre è stato osservato un cambiamento nella concentrazione plasmatica complessiva di tamsulosina cloridrato come risultato di un legame alterato con AAG la concentrazione non legata (attivo) della tamsulosina cloridrato non cambia significativamente con solo una variazione modesta (32%) nella clearance intrinseca di tamsulosina idrocloruro non saldo. Pertanto i pazienti con compromissione epatica moderata non richiedono un aggiustamento nel dosaggio delle capsule di flomax. Flomax non è stato studiato in pazienti con grave compromissione epatica [vedi Utilizzare in popolazioni specifiche ].

    Interazioni farmacologiche

    Inibizione del citocromo P450

    Inibitori forti e moderati di CYP3A4 o CYP2D6

    Gli effetti del ketoconazolo (un forte inibitore del CYP3A4) a 400 mg una volta al giorno per 5 giorni sulla farmacocinetica di una singola capsula flomax di 0,4 mg sono stati studiati in 24 volontari sani (fascia da 23 a 47 anni). Il trattamento concomitante con ketoconazolo ha comportato un aumento del CMAX e dell'AUC della tamsulosina di un fattore rispettivamente di 2,2 e 2,8 [vedi Avvertimenti e PRECAUZIONI E Farmacologia clinica ]. The effects of concomitant administration of a moderate CYP3A4 inhibitO (e.g. eritromicina) on the pharmacokinetics of FLOMAX have not been evaluated [Vedere Avvertimenti e PRECAUZIONI E Interazioni farmacologiche ].

    Gli effetti della paroxetina (un forte inibitore del CYP2D6) a 20 mg una volta al giorno per 9 giorni sulla farmacocinetica di una singola capsula flomax di 0,4 mg sono stati studiati in 24 volontari sani (fascia da 23 a 47 anni). Il trattamento concomitante con paroxetina ha comportato un aumento della CMAX e dell'AUC della tamsulosina di un fattore rispettivamente di 1,3 e 1,6 [vedi Avvertimenti e PRECAUZIONI E Interazioni farmacologiche ]. A similar increase in exposure is expected in CYP2D6 poO metabolizers (PM) as compared to extensive metabolizers (EM). A fraction of the population (about 7% of Caucasians E 2% of African Americans) are CYP2D6 PMs. Since CYP2D6 PMs cannot be readily identified E the potential fO significant increase in tamsulosin exposure exists when FLOMAX 0,4 mg is co-administered with strong CYP3A4 inhibitOs in CYP2D6 PMs FLOMAX 0,4 mg capsules should not be used in combination with strong inhibitOs of CYP3A4 (e.g. ketoconazole) [Vedere Avvertimenti e PRECAUZIONI E Interazioni farmacologiche ].

    Gli effetti della somministrazione concomitante di un moderato inibitore del CYP2D6 (ad esempio terbinafina) sulla farmacocinetica del flomax non sono stati valutati [vedi Avvertimenti e PRECAUZIONI E Interazioni farmacologiche ].

    Gli effetti della co-somministrazione di un inibitore del CYP3A4 e del CYP2D6 con capsule flomax non sono stati valutati. Tuttavia, esiste un potenziale per un aumento significativo dell'esposizione alla tamsulosina quando il flomax 0,4 mg viene somministrato con una combinazione di inibitori di CYP3A4 e CYP2D6 [vedi Avvertimenti e PRECAUZIONI E Interazioni farmacologiche ].

    Cimetidina

    Gli effetti della cimetidina alla dose più alta raccomandata (400 mg ogni 6 ore per 6 giorni) sulla farmacocinetica di una singola capsula flomax di 0,4 mg sono stati studiati in 10 volontari sani (fascia da 21 a 38 anni). Il trattamento con cimetidina ha comportato una riduzione significativa (26%) nella clearance della tamsulosina cloridrato che ha comportato un moderato aumento della tamsulosina cloridrato AUC (44%) [vedi Avvertimenti e PRECAUZIONI E Interazioni farmacologiche ].

    Altri agenti bloccanti alfa adrenergici

    Le interazioni farmacocinetiche e farmacodinamiche tra capsule di flomax e altri agenti di blocco adrenergico alfa; Tuttavia, possono essere previste interazioni tra capsule flomax e altri agenti di blocco alfa adrenergici [vedi Avvertimenti e PRECAUZIONI E Interazioni farmacologiche ].

    Inibitori PDE5

    Si consiglia di cautela quando gli agenti di blocco adrenergico alfa, tra cui il flomax, vengono somministrati con inibitori della PDE5. I bloccanti alfa-adrenergici e gli inibitori della PDE5 sono entrambi vasodilatatori che possono abbassare la pressione sanguigna. L'uso concomitante di queste due classi di farmaci può potenzialmente causare ipotensione sintomatica [vedi Avvertimenti e PRECAUZIONI E Interazioni farmacologiche ].

    Warfarin

    Non è stato condotto uno studio definitivo di interazione farmaco-farmaco tra tamsulosina cloridrato e warfarin. I risultati di studi limitati in vitro e in vivo sono inconcludenti. Pertanto, dovrebbe essere esercitata cautela con concomitante somministrazione di capsule di warfarin e flomax [vedi Avvertimenti e PRECAUZIONI E Interazioni farmacologiche ].

    Nifedipina atenolol enalapril

    In tre studi su soggetti ipertensivi (fascia di età da 47 a 79 anni) la cui pressione sanguigna è stata controllata con dosi stabili di nifedipina atenololo o enalapril per almeno 3 mesi di capsule flomax 0,4 mg per 7 giorni seguiti a trame di flomax 0,8 mg per altri 7 giorni (n = 8 per studio) hanno comportato effetti clinicamente significativi su pressione ematica rispetto alla p. Pertanto non sono necessarie aggiustamenti del dosaggio quando le capsule flomax sono somministrate in concomitanza con la nifedipina atenololo o enalapril [vedi Interazioni farmacologiche ].

    Digossina e teofillina

    In due studi su volontari sani (n = 10 per studio; fascia d'età da 19 a 39 anni) che ricevono capsule flomax 0,4 mg/giorno per 2 giorni seguiti da capsule flomax 0,8 mg/giorno per 5-8 giorni dosi endovenose di digossina 0,5 mg o teofillina 5 mg/kg non hanno comportato un cambiamento nella farmacokinetica o di digossine o di digossine. Pertanto non sono necessarie regolazioni del dosaggio quando una capsula flomax viene somministrata in concomitanza con digossina o teofillina [vedi Interazioni farmacologiche ].

    Furosemide

    L'interazione farmacocinetica e farmacodinamica tra capsule di flomax 0,8 mg/die (stazionario) e furosemide 20 mg per via endovenosa (dose singola) è stata valutata in 10 volontari sani (fascia di età compresa tra 21 e 40 anni). Le capsule di flomax non hanno avuto alcun effetto sulla farmacodinamica (escrezione di elettroliti) di furosemide. Mentre il furosemide ha prodotto una riduzione dell'11% al 12% nel tamsulosina cloridrato CMAX e AUC, si prevede che questi cambiamenti dovrebbero essere clinicamente insignificanti e non richiedono un aggiustamento del dosaggio delle capsule flomax [vedi Interazioni farmacologiche ].

    Studi clinici

    Quattro studi clinici controllati con placebo e uno studio clinico controllato attivo hanno registrato un totale di 2296 pazienti (1003 hanno ricevuto capsule flomax 0,4 mg una volta al giorno 491 hanno ricevuto capsule flomax 0,8 mg una volta al giorno e 802 erano i pazienti di controllo) negli Stati Uniti e in Europa.

    Nei due studi multicentrici di 13 settimane in doppio cieco controllati con placebo statunitense (Studio 1 [US92-03A] e Studio 2 [US93-01]) 1486 uomini con i segni e i sintomi di BPH sono stati arruolati. In entrambi gli studi i pazienti sono stati randomizzati in entrambe le capsule di flomax placebo 0,4 mg una volta al giorno o capsule flomax 0,8 mg una volta al giorno. I pazienti in capsule di flomax 0,8 mg una volta al giorno i gruppi di trattamento hanno ricevuto una dose di 0,4 mg una volta al giorno per una settimana prima di aumentare a 0,8 mg una dose una volta al giorno. Le valutazioni di efficacia primaria includevano: 1) questionario sul punteggio dei sintomi della American Urological Association (AUA) che ha valutato i sintomi irritativi (urgenza di frequenza e nocturia) e ostruttivi (esitazione incompleta di intermittenza e flusso debole) in cui una diminuzione del punteggio è coerente con il miglioramento dei sintomi; e 2) la portata delle urine di picco in cui un aumento del valore della portata delle urine di picco sul basale è coerente con una riduzione dell'ostruzione urinaria.

    Le variazioni medie dal basale alla settimana 13 nel punteggio dei sintomi totali di AUA erano significativamente maggiori per i gruppi trattati con capsule flomax 0,4 mg e 0,8 mg una volta al giorno rispetto al placebo in entrambi gli studi statunitensi (Tabella 3 figure 2A e 2b). Le variazioni dal basale alla settimana 13 nella portata delle urine di picco erano anche significativamente maggiori per le capsule flomax 0,4 mg e 0,8 mg una volta al giorno rispetto al placebo nello Studio 1 e per le capsule flomax 0,8 mg un gruppo una volta al giorno nello Studio 2 (Tabella 3 Figure 3A e 3B). Nel complesso non sono state osservate differenze significative nel miglioramento nei punteggi dei sintomi AUA totali o nelle portate di picco delle urine tra 0,4 mg e i gruppi di dose di 0,8 mg con l'eccezione che la dose di 0,8 mg nello studio 1 ha avuto un miglioramento significativamente maggiore nel punteggio dei sintomi di AUA totale rispetto alla dose di 0,4 mg.

    Tabella 3: media (± s.d.) Modifiche dal basale alla settimana 13 nel punteggio del sintomo totale AUA* e dalla portata delle urine di picco (ml/sec)

    Punteggio del sintomo totale di AUA Pesta di picco delle urine
    Valore di base medio Cambiamento medio Valore di base medio Cambiamento medio
    Studio 1 †
    Capsule flomax 0,8 mg una volta al giorno 19,9 ± 4,9
    n = 247
    -9,6 ‡ ± 6,7
    n = 237
    9,57 ± 2,51
    n = 247
    1,78 ‡ ± 3,35
    n = 247
    Capsule flomax 0,4 mg once daily 19,8 ± 5,0
    n = 254
    -8,3 ‡ ± 6,5
    n = 246
    9,46 ± 2,49
    n = 254
    1,75 ‡ ± 3,57
    n = 254
    Placebo 19,6 ± 4,9
    n = 254
    -5,5 ± 6,6
    n = 246
    9,75 ± 2,54
    n = 254
    0,52 ± 3,39
    n = 253
    Studio 2 §
    Capsule flomax 0,8 mg una volta al giorno 18,2 ± 5,6
    n = 244
    -5,8 ‡ ± 6,4
    n = 238
    9,96 ± 3,16
    n = 244
    1,79 ‡ ± 3,36
    n = 237
    Capsule flomax 0,4 mg once daily 17,9 ± 5,8
    n = 248
    -5.1 ‡ ± 6,4
    n = 244
    9,94 ± 3,14
    n = 248
    1,52 ± 3,64
    n = 244
    Placebo 19,2 ± 6,0
    n = 239
    -3,6 ± 5,7
    n = 235
    9,95 ± 3,12
    n = 239
    0,93 ± 3,28
    n = 235
    Settimana 13: per i pazienti che non hanno completato lo studio di 13 settimane, l'ultima osservazione è stata portata avanti.
    *I punteggi totali dei sintomi AUA variavano da 0 a 35.
    † Peso di flusso di urina di picco misurato da 4 a 8 ore dopo la dose alla settimana 13.
    ‡ Differenza statisticamente significativa dal placebo (valore p ≤0.050; procedura di test multipla di Bonferroni-holm).
    §Peak Urine Fullo Misurata da 24 a 27 ore dopo la dose alla settimana 13.

    I punteggi dei sintomi AUA medi di AUA per entrambe le capsule flomax 0,4 mg e 0,8 mg una volta al giorno hanno mostrato una rapida riduzione a partire da 1 settimana dopo il dosaggio e sono rimasti diminuiti in 13 settimane in entrambi gli studi (Figure 2A e 2B).

    Nello studio 1 400 pazienti (53% del gruppo originariamente randomizzato) eletti per continuare nei loro gruppi di trattamento originariamente assegnati in uno studio di estensione di 40 settimane controllato con placebo in doppio cieco (138 pazienti su 0,4 mg 135 pazienti su 0,8 mg e 127 pazienti su placebo). Trecentoventicinure pazienti (43% del gruppo originariamente randomizzato) hanno completato un anno. Di questi 81% (97 pazienti) su 0,4 mg 74% (75 pazienti) su 0,8 mg e 56% (57 pazienti) su placebo avevano una risposta ≥25% superiore al basale nel punteggio totale dei sintomi AUA a un anno.

    Figura 2A: variazione media dal basale nel punteggio del sintomo totale di AUA (0–35) Studio 1

    Mean Change from Baseline in Total AUA Symptom Score (0–35) Study 1 - Illustration

    * indica una differenza significativa dal placebo (valore p ≤0.050).

    B = basale determinata circa una settimana prima della dose iniziale di farmaci in doppio cieco alla settimana 0.

    Vengono i valori successivi osservati.

    dose massima di gabapentin al giorno

    LOCF = ultima osservazione portata avanti per i pazienti che non hanno completato lo studio di 13 settimane.

    Nota: i pazienti nel gruppo di trattamento da 0,8 mg hanno ricevuto 0,4 mg per la prima settimana.

    Nota: i punteggi totali dei sintomi AUA vanno da 0 a 35.

    Figura 2b: variazione media dal basale nel punteggio totale dei sintomi AUA (0–35) Studio 2

    Mean Change from Baseline in Total AUA Symptom Score (0–35) Study 2 - Illustration

    * indica una differenza significativa dal placebo (valore p ≤0.050).

    La misurazione di base è stata effettuata la settimana 0. Vengono osservati valori successivi.

    LOCF = ultima osservazione portata avanti per i pazienti che non hanno completato lo studio di 13 settimane.

    Nota: i pazienti nel gruppo di trattamento da 0,8 mg hanno ricevuto 0,4 mg per la prima settimana.

    Nota: i punteggi totali dei sintomi AUA vanno da 0 a 35.

    Figura 3A: aumento medio della portata delle urine di picco (ML/sec) Studio 1

    Mean Increase in Peak Urine Flow Rate (mL/Sec) Study 1 - Illustration

    * indica una differenza significativa dal placebo (valore p ≤0.050).

    B = basale determinata circa una settimana prima della dose iniziale di farmaci in doppio cieco alla settimana 0.

    Vengono i valori successivi osservati.

    LOCF = ultima osservazione portata avanti per i pazienti che non hanno completato lo studio di 13 settimane.

    Nota: le valutazioni uroflowmetry alla settimana 0 sono state registrate da 4 a 8 ore dopo che i pazienti hanno ricevuto la prima dose di farmaci in doppio cieco.

    Le misurazioni ad ogni visita sono state programmate da 4 a 8 ore dopo il dosaggio (concentrazione di tamsulosina plasmatica di picco approssimativo).

    Nota: i pazienti nei gruppi di trattamento da 0,8 mg hanno ricevuto 0,4 mg per la prima settimana.

    Figura 3b: aumento medio della portata delle urine di picco (ML/sec) Studio 2

    Mean Increase in Peak Urine Flow Rate (mL/Sec) Study 2 - Illustration

    * indica una differenza significativa dal placebo (valore p ≤0.050).

    La misurazione di base è stata effettuata la settimana 0. Vengono osservati valori successivi.

    LOCF = ultima osservazione portata avanti per i pazienti che non hanno completato lo studio di 13 settimane.

    Nota: i pazienti nel gruppo di trattamento da 0,8 mg hanno ricevuto 0,4 mg per la prima settimana.

    Nota: le misurazioni della settimana 1 e della settimana 2 sono state programmate da 4 a 8 ore dopo il dosaggio (concentrazione di tamsulosina plasmatica di picco approssimativo).

    Tutte le altre visite sono state programmate da 24 a 27 ore dopo il dosaggio (concentrazione approssimativa della tamsulosina).

    Informazioni sul paziente per flomax

    Flomax®
    (Flo -max) (tamsulosina cloridrato USP) Capsule 0,4 mg

    Leggi le informazioni sul paziente fornite con capsule Flomax prima di iniziare a prenderle e ogni volta che ricarichi la prescrizione. Le informazioni potrebbero essere cambiate. Questo volantino non prende il posto delle discussioni con il medico sulle condizioni mediche o sul trattamento.

    Cos'è il flomax?

    Flomax è una medicina alfa-bloccante prescritta usata per trattare i segni e i sintomi dell'iperplasia prostatica benigna (BPH) a una condizione che il medico può riferirsi come una prostata allargata.

    • Flomax non è per le donne.
    • Flomax non è per i bambini.

    Chi non dovrebbe prendere il flomax?

    Non prendere le capsule flomax se sei allergico a nessuno dei suoi ingredienti. Vedi la fine di questo opuscolo per un elenco completo di ingredienti nelle capsule flomax.

    Cosa dovrei dire al mio medico prima di usare il flomax?

    Prima di prendere le capsule flomax raccontano al medico tutte le condizioni mediche, tra cui:

    • Eventuali problemi renali o epatici.
    • qualsiasi storia di bassa pressione sanguigna .
    • eventuali allergie al solfa o ad altri medicinali.
    • Se hai intenzione di avere una cataratta o glaucoma chirurgia.

    Racconta al tuo medico di tutte le medicine che prendi tra cui:

    • Eventuali medicinali da prescrizione compresi i medicinali della pressione sanguigna.
    • Eventuali medicinali non prescription tra cui vitamine e integratori a base di erbe.

    Alcune delle altre medicine possono influire sul modo in cui funzionano le capsule di flomax. Soprattutto dì al tuo medico se prendi un medicinale per la pressione alta. Non dovresti prendere il flomax se stai già assumendo determinate medicine alla pressione sanguigna.

    Conosci le medicine che prendi. Tienilo un elenco e mostralo al tuo medico e al farmacista quando ottieni un nuovo medicinale.

    Come dovrei prendere il flomax?

    • Prendi il flomax esattamente come prescritto dal medico.
    • Non schiacciare le capsule flomax masticate o aperte.
    • Prendi il flomax una volta ogni giorno circa 30 minuti dopo lo stesso pasto ogni giorno. Ad esempio, puoi prendere flomax 30 minuti dopo cena ogni giorno.
    • Se ti perdi una dose di flomax, prendilo non appena ricordi. Se ti manca la tua dose per l'intera giornata, continua con la tua prossima dose sul tuo programma normale. Non prendere due dosi contemporaneamente.
    • Se ti fermi o dimentichi di prendere il flomax per diversi giorni, parla con il medico prima di ricominciare.
    • Se prendi più capsule flomax di quelle prescritte, chiama subito il medico.

    Quali sono i possibili effetti collaterali delle capsule flomax?

    I possibili effetti collaterali del flomax possono includere:

    • Diminuzione della pressione sanguigna quando si cambia le posizioni. Le capsule di flomax possono causare un calo improvviso della pressione sanguigna dopo essere in piedi soprattutto dopo la prima dose o quando si muovono le dosi.
      I sintomi possono includere:
      • svenimento
      • vertigini
      • Accendino
        Cambia le posizioni lentamente da sdraiarsi a sedersi o da una seduta a una posizione eretta fino a quando non si impara come reagisci alle capsule flomax. Se inizi a sentirti le vertigini, siediti o sdraiati finché non ti senti meglio. Se i sintomi sono gravi o non migliorano, chiama il medico.
    • Reazioni allergiche. Rendi il medico consapevole di eventuali reazioni allergiche che potresti sperimentare durante l'assunzione di flomax.
      Le reazioni allergiche possono includere:
      • eruzione cutanea
      • prurito
      • orticaria
        Possono verificarsi anche reazioni allergiche rare e più gravi. Ottieni subito assistenza medica se hai una delle seguenti reazioni:
      • gonfiore della lingua o della gola
      • Difficoltà a respirare
      • Blistering della pelle
    • Un'erezione dolorosa che non andrà via. Le capsule di flomax possono causare un'erezione dolorosa (priapismo) che non può essere alleviata facendo sesso. Se ciò accade, ricevi subito un aiuto medico. Se il priapismo non è trattato, potresti non essere in grado di ottenere un'erezione in futuro.
    • Problemi con gli occhi durante la chirurgia della cataratta o del glaucoma. Durante la chirurgia della cataratta o del glaucoma una condizione chiamata Sindrome di Iris floppy intraoperatoria può accadere se si assume o si è preso capsule flomax. Se hai bisogno di avere un intervento chirurgico di cataratta o glaucoma, assicurati di dire al tuo chirurgo se prendi o hai preso capsule flomax.

    Gli effetti collaterali comuni delle capsule flomax possono includere:

    • rinorrea
    • vertigini
    • Diminuzione dello sperma

    Questi non sono tutti i possibili effetti collaterali con capsule flomax. Di 'al medico se hai qualche effetto collaterale che ti disturba o che non scompare.

    Chiama il medico per consigli medici sugli effetti collaterali. È possibile segnalare gli effetti collaterali alla FDA al numero 1-800-FDA-1088 o visitando www.fda.gov/medwatch.

    Cosa dovrei evitare durante l'assunzione di capsule flomax?

    Evita di guidare macchinari operativi o altre attività pericolose fino a quando non sai come ti colpisce il flomax. Le capsule di flomax possono causare un calo improvviso della pressione sanguigna dopo essere in piedi soprattutto dopo la prima dose o quando si muovono le dosi. Vedere Quali sono i possibili effetti collaterali delle capsule flomax?

    Come memorizzi le capsule flomax?

    Conservare le capsule flomax a temperatura ambiente [25 ° C). È accettabile l'esposizione a breve termine a temperature più elevate o più basse [da 59 ° F (15 ° C) a 86 ° F (30 ° C). Chiedi al tuo medico o al farmacista se hai domande sulla conservazione delle capsule.

    Mantieni le capsule flomax e tutti i medicinali fuori dalla portata dei bambini.

    informazioni generali

    Questo medicinale è stato prescritto per te dal medico per le tue condizioni. Non usarlo per un'altra condizione. Non dare flomax ad altre persone anche se hanno gli stessi sintomi che hai. Potrebbe danneggiare loro. Durante l'assunzione di flomax devi avere controlli regolari. Segui i consigli del tuo medico su quando avere questi controlli.

    L'IPB può verificarsi con altre condizioni più gravi tra cui il cancro alla prostata. Pertanto, chiedi al medico sullo screening per il cancro alla prostata prima del trattamento con capsule flomax e successivamente a intervalli regolari.

    Questo opuscolo di informazioni sul paziente riassume le informazioni più importanti su Flomax. Se desideri più informazioni, parla con il tuo medico. Puoi chiedere al tuo farmacista o al medico informazioni sul flomax scritto per gli operatori sanitari. Per l'accesso alle informazioni di prescrizione correnti www.4flomax.com o chiamare sanofi-Aventis U.S. LLC al numero 1-800-633-1610.

    Quali sono gli ingredienti nelle capsule flomax?

    • Ingrediente attivo: tamsulosina cloridrato USP
    • Ingredienti inattivi: cellulosa microcristallina; dispersione di copolimero di acido metacrilico; triacetina; Stearato di calcio; talco; gelatina; ossido di ferro; Fd