Le Informazioni Presenti Sul Sito Non Costituiscono Consulenza Medica. Non Vendiamo Nulla. L'Accuratezza Della Traduzione Non È Garantita. Disclaimer
Medicamenti
Gadget anziano
Riepilogo della droga
Cos'è Eldepril?
L'eldepril (selegilina cloridrato) è un inibitore di tipo B (MAO-B) di tipo B (MAO-B) prescritto per la gestione dei sintomi di La malattia di Parkinson Nei pazienti che già assumono levodopa-carbidopa (anche un farmaco prescritto per il trattamento della malattia di Parkinson).
Quali sono gli effetti collaterali di Eldepril?
Gli effetti collaterali di eldepril includono:
- svenimento
- bocca secca
- nausea
- vomito
- bruciore di stomaco
- diarrea
- gas
- stipsi
- vertigini
- debolezza
- Problemi di sonno (insonnia)
- che cola o naso chiuso
- mal di schiena
- piaghe o ulcere o ulcere o
- dolore con deglutizione (mentre usi zelapar)
Dosaggio per eldepril
Eldepril è disponibile in capsule da 5 mg. Il regime raccomandato per l'amministrazione eldepril è di 10 mg al giorno somministrato come dosi divise di 5 mg ciascuna assunta a colazione e pranzo.
Quali sostanze o integratori di farmaci interagiscono con l'Eldepril?
Eldepril può interagire con pillole dietetiche in carbamazepina o medicinali freddi che contengono Efedrina pseudoefedrina o fenilefrina nafcillina fenobarbital rifampin o antidepressivi . Dì al medico tutti i farmaci e gli integratori che usi.
Eldepril durante la gravidanza o l'allattamento
Non ci sono studi adeguati e ben controllati su eldepril nelle donne in gravidanza o nella popolazione pediatrica. La selegilina dovrebbe essere utilizzata solo durante la gravidanza è il potenziale beneficio giustifica il potenziale rischio per il feto. Non è noto che la selegilina cloridrato è escreta nel latte umano.
Ulteriori informazioni
Il nostro Centro farmacologico per effetti collaterali Eldepril (Selegilina cloridrato) fornisce una visione completa delle informazioni disponibili sui farmaci sui potenziali effetti collaterali durante l'assunzione di questo farmaco.
Informazioni sui farmaci FDA
- Descrizione del farmaco
- Indicazioni
- Dosaggio
- Effetti collaterali
- Interazioni farmacologiche
- Avvertimenti
- Precauzioni
- Overdose
- Farmacologia clinica
- Guida ai farmaci
Descrizione per eldepril
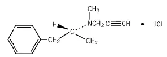
L'eldepril (selegilina cloridrato) è un derivato acetilenico levorotorio della fenetilammina. È comunemente indicato nella letteratura clinica e farmacologica come L-deprenil.
Il nome chimico è: (r)-(-)-N2-dimetil-n-2-propnylfenetilammina cloridrato. È una polvere cristallina bianca a quasi bianca liberamente solubile in cloroformio e metanolo e ha un peso molecolare di 223,75. La formula strutturale è la seguente:
|
Ogni capsula blu Aqua è una banda impressa con il logo Somerset sul cappuccio e Eldepril (Selegilina HCl) 5 mg sul corpo. Ogni capsula contiene 5 mg di selegilina cloridrato. Gli ingredienti inattivi sono acido citrico di lattosio magnesio stearato e cellulosa microcristallina.
Usi per eldepril
Eldepril (Selegilina HCL) è indicato come un aggiunto alla gestione dei pazienti parkinsoniani trattati con levodopa/carbidopa che presentano un deterioramento della qualità della loro risposta a questa terapia. Non ci sono prove da studi controllati che la selegilina abbia alcun effetto benefico in assenza di terapia con levodopa concomitante.
Le prove a sostegno di questa affermazione sono state ottenute in indagini cliniche controllate randomizzate che hanno confrontato gli effetti dell'aggiunta di selegilina o placebo in pazienti che hanno ricevuto levodopa/carbidopa. La selegilina era significativamente superiore al placebo su tutte e tre le principali misure di esito impiegate: cambiamento dalla linea di base nella dose giornaliera di levodopa/carbidopa la quantità di tempo di off e l'autovalutazione del paziente del successo del trattamento. Sono stati anche osservati effetti benefici su altre misure di successo del trattamento (ad es. Le misure della ridotta estremità della dose akinesia hanno ridotto il tremore e la sialorrea hanno migliorato la capacità di visione e la capacità di vestire e una migliore disabilità complessiva, come valutato per camminare e confronto con lo stato precedente).
Dosaggio per eldepril
ELDEPRYL (Selegilina HCL) è destinata alla somministrazione ai pazienti parkinsoniani che ricevono terapia Levodopa/Carbidopa che dimostrano una risposta deteriorata a questo trattamento. Il regime raccomandato per la somministrazione di eldepril (Selegilina HCl) è di 10 mg al giorno somministrato come dosi divise di 5 mg ciascuna presa a colazione e pranzo. Non ci sono prove che si ottengano ulteriori benefici dalla somministrazione di dosi più elevate. Inoltre, dosi più elevate dovrebbero normalmente essere evitate a causa dell'aumento del rischio di effetti collaterali.
Dopo due o tre giorni di trattamento della selegilina può essere fatto un tentativo di ridurre la dose di Levodopa/Carbidopa. Una riduzione del 10-30% è stata raggiunta con il tipico partecipante agli studi a controllazione del placebo domestico che è stato assegnato al trattamento della selegilina. Ulteriori riduzioni di levodopa/carbidopa potrebbero essere possibili durante la continua terapia di selegilina.
Come fornito
Le capsule eldepril (selegilina HCl) sono disponibili contenenti 5 mg di selegilina cloridrato. Ogni capsula blu Aqua è una banda impressa con il logo Somerset sul cappuccio e Eldepril (Selegilina HCl) 5 mg sul corpo.
Sono disponibili come:
Ndc 39506-022-60 bottiglie di 60 capsule.
Ndc 39506-022-30 bottiglie di 300 capsule.
Conservare a temperatura ambiente controllata da 59 ° a 86 ° F (da 15 ° a 30 ° C).
Somerset Pharmaceuticals Inc. Tampa FL 33607. Letteratura emessa luglio 1998. FDA Rev Data: 15/05/2001
Effetti collaterali for Eldepryl
Introduzione
Il numero di pazienti che hanno ricevuto selegilina in studi di pre-marketing monitorati in prospettiva è limitato. Mentre sono disponibili altre fonti di informazione sull'uso della selegilina (ad es. Rapporti di letteratura report post-marketing ecc.) Non forniscono il tipo di informazioni necessarie per stimare l'incidenza di eventi avversi. Pertanto, non è possibile fornire dati sull'incidenza complessiva per le reazioni avverse associate all'uso della selegilina. Molte delle reazioni avverse sono state riportate anche come sintomi dell'eccesso di dopamina.
Inoltre, l'importanza e la gravità delle varie reazioni riportate spesso non possono essere accertate. Un indice di importanza relativa è tuttavia se una reazione ha causato o meno l'interruzione del trattamento. In studi di pre-marketing prospettici i seguenti eventi hanno portato a una riduzione dell'ordine di frequenza alla sospensione del trattamento con selegilina: alilucinazioni di nausea Confusione perdita di depressione della bilancia Ipotensione ortostatica Ipotensione ortostatica ha aumentato i movimenti ainetici involontari Aritmia arritmia bradykinesia chorea ipertensione Nuova o aumentata angina pettora e sincope. Gli eventi segnalati solo una volta come causa di sospensione sono l'ansia edema della caviglia che brucia labbra/costipazione della bocca sonnolenza/letargia distonia sudore in eccesso aumentando il congelamento del sanguinamento gastrointestinale perdita di peli ha aumentato il nervosismo del tremore e la perdita di peso.
L'esperienza con eldepril (selegilina HCl) ottenuta in studi randomizzati controllati con placebo parallelo fornisce solo una base limitata per le stime delle velocità di reazione avversa. Le seguenti reazioni che si sono verificate con maggiore frequenza tra i 49 pazienti assegnati alla selegilina rispetto ai 50 pazienti assegnati al placebo nell'unico studio parallelo controllato con placebo condotto in pazienti con malattia di Parkinson sono mostrate nella tabella seguente. Nessuna di queste reazioni avverse ha portato a una sospensione del trattamento.
Incidenza di esperienze avverse emergenti nel trattamento nello studio clinico controllato con placebo
ostello di Sydney
| Evento avverso | Numero di pazienti che segnalano eventi | |
| Selegilina cloridrato N = 49 | placebo N = 50 | |
| Nausea | 10 | 3 |
| Vertigini/Lightthead/Svening | 7 | 1 |
| Dolore addominale | 4 | 2 |
| Confusione | 3 | 0 |
| Allucinazioni | 3 | 1 |
| Bocca secca | 3 | 1 |
| Sogni vividi | 2 | 0 |
| Dyscinesia | 2 | 5 |
| Mal di testa | 2 | 1 |
| I seguenti eventi sono stati segnalati una volta in uno o in entrambi i gruppi | ||
| Dolo generalizzato | 1 | 0 |
| Ansia/tensione | 1 | 1 |
| Anemia | 0 | 1 |
| Diarrea | 1 | 0 |
| Perdita di capelli | 0 | 1 |
| Insonnia | 1 | 1 |
| Letargia | 1 | 0 |
| Dolore alle gambe | 1 | 0 |
| Lombalgia | 1 | 0 |
| Malessere | 0 | 1 |
| Palpitazioni | 1 | 0 |
| Conservazione urinaria | 1 | 0 |
| Perdita di peso | 1 | 0 |
In tutte le indagini cliniche monitorate in modo prospettico che iscrivono circa 920 pazienti sono stati segnalati i seguenti eventi avversi classificati dal sistema corporeo.
Sistema nervoso centrale
Motore/coordinamento/extrapiramidale
Aumento del tremore perdita di corea di equilibrio I irregenello Blefarospasmo ha aumentato la smorfia del viso bradykinesia che cade nella contrazione muscolare della gamba pesante* Switchi mioclonici* Diskinesia tardive di discinesia Diskinesia Diskinesia Diskinesia Movimenti involontari involontari Frage aumentano i crampi muscolari di aprassia.
Stato mentale/comportamentale/psichiatrico
allucinazioni vertigini confusione ansia depressione comportamento sonnolenza/umore cambio sogni/incubi stanchezza delusioni disorientamento che si illumina la memoria alterata* aumento dell'energia* transitoria alta* sentenza vuota la letargia/malessere apatia sovrastimolazione vertiginosa personalità cambia disturbo del sonno deboli di debolibilità transitoria.
Dolore/sensazione alterata
Dolore posteriore del mal di testa Painia del dolore acino Emicrania Supraorbitale Gol di gola che brucia i brividi di dolore generalizzati intorpidito di dita/dita disturbi del gusto.
Sistema nervoso autonomo
bocca secca blurred vision sexual dysfunction.
Cardiovascolare
Palpitazioni di ipertensione di ipotensione ortostatica Palpitazioni nuove o aumentate di Angina pectoris Ipotensione Tachicardia Edema periferico Sinus Bradicardia Syncope.
Gastrointestinale
nausea/vomito stipsi weight loss anorexia poor appetite dysphagia diarrea bruciore di stomaco rectal bleeding bruxism* gastrointestinal bleeding (exacerbation of preexisting ulcer disease).
Genitourinario/ginecologico/endocrino
Urificazione lenta Anorgasmia transitoria* Nocturia Ipertrofia prostatica Esitazione urinaria Retenzione urinaria Diminuzione della sensazione del pene* Frequenza urinaria.
Pelle e appendici
Aumentata diaforesi sudorazione per la perdita di peli del viso per la perdita di ematoma ematensività.
Varie
Diplopia dell'asma Brezza del discorso del respiro colpito.
Rapporti post -marketing
Le seguenti esperienze sono state descritte nei rapporti post-marketing spontanei. Questi rapporti non forniscono informazioni sufficienti per stabilire una chiara relazione causale con l'uso di eldepril (Selegilina HCl).
CNS
Convulsioni in paziente dializzato di insufficienza renale cronica su farmaci concomitanti.
* Indica eventi segnalati solo a dosi superiori a 10 mg/die.
Interazioni farmacologiche for Eldepryl
Il verificarsi di rigidità muscolare di stupore grave agitazione e una temperatura elevata è stata riportata in alcuni pazienti che hanno ricevuto la combinazione di selegilina e meperidina. I sintomi di solito si risolvono nei giorni in cui la combinazione viene interrotta. Questo è tipico dell'interazione tra meperidina e maois. Altre reazioni gravi (tra cui gravi allucinazioni di agitazione e morte) sono state riportate in pazienti che hanno ricevuto questa combinazione (vedi Controindicazioni ). È stata anche riportata una grave tossicità in pazienti che hanno ricevuto la combinazione di antidepressivi triciclici e eldepril (selegilina HCl) e inibitori selettivi del reuptake della serotonina e eldepril. (Vedere Avvertimenti per i dettagli. ) Un caso di crisi ipertensiva è stato riportato in un paziente che assume le dosi raccomandate di selegilina e un farmaco simpatico (efedrina).
Horehound Candy è buono per te
Avvertimenti for Eldepryl
La selegilina non deve essere utilizzata a dosi giornaliere superate quelle raccomandate (10 mg/die) a causa dei rischi associati all'inibizione non selettiva di MAO. (Vedere Farmacologia clinica .
La selettività della selegilina per MAO B potrebbe non essere assoluta nemmeno alla dose giornaliera raccomandata di 10 mg al giorno. Rari casi di reazioni ipertesi associate all'ingestione di alimenti contenenti tiramina sono stati riportati in pazienti che assumono la dose giornaliera raccomandata di selegilina. La selettività è ulteriormente diminuita con l'aumentare delle dosi giornaliere. La dose precisa alla quale la selegilina diventa un inibitore non selettivo di tutto il MAO è sconosciuta ma può essere compresa tra 30 e 40 mg al giorno.
È stata segnalata una grave tossicità del SNC associata all'iperpyressia e alla morte con la combinazione di antidepressivi triciclici e maois non selettivi (parnato di Nardil). Una reazione simile è stata riportata per un paziente su amitriptilina e eldepril (Selegilina HCl). Un altro paziente che riceveva protriptilina e Eldepril (Selegilina HCL) ha sviluppato tremori di agitazione e irrequietezza seguiti da non risposta e morte due settimane dopo l'aggiunta di eldepril (Selegilina HCl). Gli eventi avversi correlati tra cui le convulsioni della diaforesi asistho di sincope di ipertensione sono stati riportati anche in alcuni pazienti che hanno ricevuto eldepril (selegilina HCl) e vari antidepressivi triciclici.
Reazioni gravi a volte fatali con segni e sintomi che possono includere l'instabilità autonomica del mioclono di rigidità di ipertermia con rapide fluttuazioni dei segni vitali e cambiamenti di stato mentale che includono un'estrema agitazione che progredisce a delirio e coma sono stati segnalati con pazienti che hanno ricevuto una combinazione di fluoxetina idrocloruro (prozac) e maois non selettive. Segni simili sono stati riportati in alcuni pazienti sulla combinazione di eldepril (selegilina HCl) (10 mg al giorno) e inibitori selettivi di reuptake della serotonina tra cui fluoxetina sertralina e paroxetina.
Poiché i meccanismi di queste reazioni non sono completamente compresi, sembra prudente in generale evitare questa combinazione di antidepressivi triciclici e selegilina HCl), nonché eldepril (selegilina HCl) e inibitori selettivi del reuptake della serotonina. Dovrebbero trascorrere almeno 14 giorni tra l'interruzione di eldepril (Selegilina HCl) e l'inizio del trattamento con un antidepressivo triciclico o inibitori selettivi di reuptake della serotonina. A causa delle lunghe e mezzo di emivite della fluoxetina e del suo metabolita attivo almeno cinque settimane (forse più a lungo soprattutto se la fluoxetina è stata prescritta cronicamente e/o a dosi più elevate) dovrebbe trascorrere tra la discontinuazione della fluoxetina e l'inizio del trattamento con eldepril (selegilina HCL).
Precauzioni for Eldepryl
Generale
Alcuni pazienti somministrati selegilina possono sperimentare un'esacerbazione di effetti collaterali associati alla levodopa presumibilmente a causa delle maggiori quantità di reazione di dopamina con recettori post-sinaptici super sensibili. Questi effetti possono spesso essere mitigati riducendo la dose di Levodopa/Carbidopa di circa il 10-30%.
La decisione di prescrivere la selegilina dovrebbe prendere in considerazione che il sistema MAO di enzimi è complesso e compreso in modo incompleto e c'è solo una quantità limitata di esperienza clinica attentamente documentata con la selegilina. Di conseguenza, l'intero spettro delle possibili risposte alla selegilina potrebbe non essere stato osservato nella valutazione pre-marketing del farmaco. È quindi consigliabile osservare da vicino i pazienti per le risposte atipiche.
Test di laboratorio: Nessun test di laboratorio specifico è considerato essenziale per la gestione dei pazienti su eldepril (Selegilina HCL). La valutazione di routine periodiche di tutti i pazienti è tuttavia appropriata.
Carcinogenesi mutagenesi e compromissione della fertilità
È in corso una valutazione del potenziale cancerogeno della selegilina nei topi e nei ratti.
La selegilina non ha induce mutazioni o danni cromosomici quando testata nel test di mutazione batterica in Salmonella tifimurium e in un in vivo Test di aberrazione cromosomica. Mentre questi studi forniscono rassicurazioni sul fatto che la selegilina non è mutagena o clastogena, non sono definitivi a causa delle limitazioni metodologiche. Nessun definitivo in vitro Aberrazione cromosomica o in vitro Sono stati eseguiti test di mutazione del gene dei mammiferi.
L'effetto della selegilina sulla fertilità non è stato adeguatamente valutato.
Gravidanza
Gravidanza Category C: Non sono stati osservati effetti teratogeni in uno studio sullo sviluppo dell'embrione-fetale nei ratti Sprague-Dawley a dosi orali di 4 12 e 36 mg/kg o 4 12 e 35 volte la dose terapeutica umana su un mg/m 2 base. Non sono stati osservati effetti teratogeni in uno studio sullo sviluppo dell'embrione-fetale nei conigli bianchi della Nuova Zelanda a dosi orali di 5 25 e 50 mg/kg o 10 48 e 95 volte la dose terapeutica umana su un mg/m 2 base; Tuttavia, in questo studio il numero di cucciolate prodotte alle due dosi più elevate era inferiore a quanto raccomandato per la valutazione del potenziale teratogeno. Nello studio del ratto si è verificata una diminuzione del peso corporeo fetale alla dose più alta testata. Nello studio del coniglio aumenta i riassorbimenti totali e % perdita post-impianto e una diminuzione del numero di feti vivi per diga si è verificata alla dose più alta testata. In uno studio di sviluppo per- e postnatale nei ratti Sprague-Dawley (dosi orali di 4 16 e 64 mg/kg o 4 15 e 62 volte la dose terapeutica umana su un mg/m 2 base) Un aumento del numero di nati morti e diminuzioni del numero di cuccioli per sopravvivenza al cucciolo e peso corporeo del cucciolo (alla nascita e durante il periodo di allattamento) sono state osservate alle due dosi più alte. Alla dose più alta testata nessun cucciolo nato vive è sopravvissuto al 4 ° giorno dopo il parto. Non è stato possibile valutare lo sviluppo postnatale alla dose più alta testata nelle dighe a causa della mancanza di cuccioli sopravvissuti. Le prestazioni riproduttive della prole non trattata non sono state valutate.
Non ci sono studi adeguati e ben controllati nelle donne in gravidanza. La selegilina dovrebbe essere utilizzata durante la gravidanza solo se il potenziale beneficio giustifica il potenziale rischio per il feto.
Madri infermieristiche
Non è noto se la selegilina cloridrato sia escreta nel latte umano. Poiché molti farmaci sono escreti nella considerazione del latte umano dovrebbe essere tenuto a interrompere l'uso di tutti, ma assolutamente essenziali trattamenti farmacologici nelle donne infermieristiche.
Uso pediatrico
Gli effetti della selegilina cloridrato nei bambini non sono stati valutati.
Informazioni per overdose per eldepril
Selegilina
Non sono disponibili informazioni specifiche su overdose clinicamente significative con eldepril (Selegilina HCL). Tuttavia, l'esperienza acquisita durante lo sviluppo di Selegilina rivela che alcune persone esposte a dosi di 600 mg di DL-selegilina hanno subito una grave ipotensione e agitazione psicomotoria.
Poiché l'inibizione selettiva di MAO B da parte della selegilina cloridrato si ottiene solo a dosi nella gamma raccomandata per il trattamento della malattia di Parkinson (ad esempio 10 mg/giorno) overdose è probabile che causino una significativa inibizione di Mao A e MAO B. Di conseguenza i segni e i sintomi possono assomigliare a quelli osservati con il Mao-Seelective Mao in caso di mangus. tranilcypromine (parnata) isocarboxazide (marplan) e fenelzina (nardil)].
Overdose con inibizione MAO non selettiva
NOTA: Questa sezione è fornita per riferimento; Non descrive gli eventi che sono stati effettivamente osservati con la selegilina in overdose.
Segni e sintomi tipicamente del sovradosaggio MAOI non selettivo potrebbero non apparire immediatamente. Possono verificarsi ritardi fino a 12 ore tra l'ingestione di droga e la comparsa di segni. È importante sottolineare che l'intensità di picco della sindrome potrebbe non essere raggiunta per un giorno successivo al sovradosaggio. La morte è stata segnalata dopo il sovradosaggio. Pertanto, l'ospedale immediato con l'osservazione e il monitoraggio continui del paziente per un periodo di almeno due giorni dopo l'ingestione di tali farmaci in overdose è fortemente raccomandato.
Il quadro clinico del sovradosaggio di MAOI varia considerevolmente; La sua gravità può essere una funzione della quantità di droga consumata. I sistemi nervosi e cardiovascolari centrali sono coinvolti in modo prominente.
Segni e sintomi del sovradosaggio possono includere da soli o in combinazione uno dei seguenti: sonnolenza Vertigini di svenimento irritabilità Agitazione iperattività Agitazione grave allucinazioni di mal di testa Tismus opisthotonos Convulsioni e coma; Ipotensione di ipertensione a impulsi rapida e irregolare e collasso vascolare; Dolore preordiale Depressione respiratoria e fallimento Diaforesi iperpyrexia e pelle globale fresca.
Suggerimenti terapeutici per il sovradosaggio
NOTA: Because there is no recorded experience with selegiline overdose the following suggestions are offered based upon the assumption that selegiline overdose may be modeled by non-selective MAOI poisoning. In any case up-to-date information about the treatment of overdose can often be obtained from a certified Regional Poison Control Center. Telephone numbers of certified Poison Control Centers are listed in the Physicians' Desk Reference (PDR).
Il trattamento del sovradosaggio con MAOIS non selettiva è sintomatico e di supporto. L'induzione dell'emesi o del lavaggio gastrico con instillazione della sospensione del carbone può essere utile nell'avvelenamento precoce a condizione che le vie aeree siano state protette dall'aspirazione. Segni e sintomi della stimolazione del sistema nervoso centrale, comprese le convulsioni, devono essere trattati con diazepam somministrato lentamente per via endovenosa. I derivati della fenotiazina e gli stimolanti del sistema nervoso centrale dovrebbero essere evitati. L'ipotensione e il collasso vascolare devono essere trattati con fluidi endovenosi e, se necessario, la titolazione della pressione arteriosa con un'infusione endovenosa di un agente di diluizione. Va notato che gli agenti adrenergici possono produrre una risposta pressorti notevolmente aumentata.
La respirazione dovrebbe essere supportata da misure appropriate tra cui la gestione dell'uso delle vie aeree dell'ossigeno supplementare e dell'assistenza ventilatoria meccanica come richiesto.
La temperatura corporea deve essere monitorata da vicino. Potrebbe essere richiesta una gestione intensiva dell'iperpyrexia. Il mantenimento del bilanciamento dei fluidi ed elettroliti è essenziale.
Controindicazioni per eldepril
L'eldepril (selegilina HCl) è controindicata nei pazienti con ipersensibilità nota a questo farmaco.
Eldepril (Selegilina HCl) è controindicato per l'uso con la meperidina (Demerol Interazioni farmacologiche . )
Farmacologia clinica for Eldepryl
I meccanismi che rappresentano l'azione aggiuntiva benefica di Selegilina nel trattamento della malattia di Parkinson non sono completamente compresi. L'inibizione dell'attività di tipo B di monoamina ossidasi è generalmente considerata di primaria importanza; Inoltre, ci sono prove che la selegilina può agire attraverso altri meccanismi per aumentare l'attività dopaminergica.
Selegilina is best known as an irreversible inhibitor of monoamine oxidase (MAO) an intracellular enzyme associated with the outer membrane of mitochondria. Selegilina inhibits MAO by acting as a 'suicide' substrate for the enzyme; that is it is converted by MAO to an active moiety which combines irreversibly with the active site E/or the enzyme's essential FAD cofactor. Because selegiline has greater affinity for type B rather than for type A active sites it can serve as a selective inhibitor of MAO type B if it is administered at the recommended dose.
I Maos sono ampiamente distribuiti in tutto il corpo; La loro concentrazione è particolarmente alta nella parete e nel cervello intestinali di stomaco renale epatico. I MAOS sono attualmente sottoclassificati in due tipi A e B che differiscono nella specificità del substrato e nella distribuzione dei tessuti. Nell'uomo l'intestinale Mao è prevalentemente di un po 'di tempo che la maggior parte nel cervello è il tipo B.
Nei neuroni del SNC MAO svolge un ruolo importante nel catabolismo delle catecolamine ( dopamina noradrenalina ed epinefrina) e serotonina. I Maos sono anche importanti nel catabolismo di varie ammine esogene presenti in una varietà di alimenti e droghe. MAO nel tratto gastrointestinale e nel fegato (principalmente di tipo A) si ritiene che fornisca una protezione vitale dalle ammine esogene (ad esempio tiramina) che hanno la capacità se assorbita intatta per causare una crisi ipertensiva la cosiddetta reazione del formaggio . (Se grandi quantità di determinate ammine esogene ottengono accesso alla circolazione sistemica, ad esempio da aringhe di vino rosso fermentato aringa di tosse/farmaci per la tosse al freddo ecc. - Sono assorbiti da neuroni adrenergici e spostano la norapinefrina da siti di conservazione all'interno delle vesicole legate alla membrana.
In teoria dal momento che MAO A dell'intestino non è inibito i pazienti trattati con selegilina alla dose di 10 mg al giorno dovrebbero essere in grado di assumere farmaci contenenti ammine farmacologicamente attive e consumare alimenti contenenti tiramina senza rischio di ipertensione incontrollata. Sebbene rari alcuni segnalazioni di reazioni ipertesi si sono verificate nei pazienti che hanno ricevuto eldepril (selegilina HCl) alla dose raccomandata con alimenti contenenti tiramina. Inoltre, è stato riportato un caso di crisi ipertensiva in un paziente che assume la dose raccomandata di selegilina e un efedrina per farmaci simpatomimetici. La patofisiologia della reazione del formaggio è complicata e oltre alla sua capacità di inibire la libertà relativa di MAO B selettivamente di questa reazione è stata attribuita a una capacità di prevenire la tiramina e altri simpatomimetici di recitazione indiretta dallo spostamento del norapinafrina da nucleo. Tuttavia, fino a quando la patofisiologia della reazione del formaggio è più completamente compresa, sembra prudente supporre che la selegilina possa normalmente essere utilizzata in modo sicuro solo senza restrizioni dietetiche a dosi in cui presumibilmente inibisce selettivamente MAO B (ad esempio 10 mg/die).
Quanto tempo ci vuole per guidare intorno a Oahu?
In breve attenzione alla natura dose -dipendente della selettività di Selegilina è fondamentale se deve essere utilizzata senza che le restrizioni elaborate vengano posizionate sulla dieta e sull'uso concomitante di droghe, sebbene come notato sopra alcuni casi di reazioni ipertese alla dose raccomandata. (Vedere Avvertimenti E PRECAUZIONI .
È importante essere consapevoli che la selegilina può avere effetti farmacologici non correlati all'inibizione di MAO B. Come notato sopra, ci sono alcune prove che può aumentare l'attività dopaminergica da parte di altri meccanismi tra cui l'interferenza con il riassorbimento della dopamina nella sinapsi. Gli effetti risultanti dalla somministrazione di selegilina possono anche essere mediati attraverso i suoi metaboliti. Due dei suoi tre principali metaboliti anfetamina e metanfetamina hanno azioni farmacologiche; Interferiscono con l'assorbimento neuronale e migliorano il rilascio di diversi neurotrasmettitori (ad esempio serotonina di dopamina norapinefrina). Tuttavia, la misura in cui questi metaboliti contribuiscono agli effetti della selegilina è sconosciuta.
Razionale per l'uso di un inibitore selettivo di tipo B di monoamina ossidasi nella malattia di Parkinson
Molti dei sintomi di spicco della malattia di Parkinson sono dovuti a una carenza di dopamina striatale che è la conseguenza di una degenerazione progressiva e della perdita di una popolazione di neuroni dopaminergici che hanno origine nella sostantia nigra del mesencefalo e proiettava la ganlia o lo striato basale. All'inizio della malattia di Parkinson, il deficit della capacità di questi neuroni di sintetizzare la dopamina può essere superato mediante somministrazione di levodopa esogena solitamente somministrata in combinazione con un inibitore della decarbossilasi periferica (Carbidopa).
Con il passare del tempo a causa della progressione della malattia e/o dell'effetto del trattamento prolungato l'efficacia e la qualità della risposta terapeutica alla levodopa diminuisce. Pertanto, dopo diversi anni di trattamento con levodopa, la risposta per una determinata dose di levodopa è più corta ha insorgenza e offset meno prevedibili (cioè c'è logoramento) ed è spesso accompagnata da effetti collaterali (ad esempio la diskinesia akinesia akinesie on-off.
Questa risposta deteriorata è attualmente interpretata come una manifestazione dell'incapacità della popolazione sempre diminuita di neuroni nigrostriatali intatti per sintetizzare e rilasciare quantità adeguate di dopamina.
L'inibizione di MAO B può essere utile in questo contesto perché bloccando il catabolismo della dopamina aumenterebbe la quantità netta di dopamina disponibile (cioè aumenterebbe il pool di dopamina). Non è noto se questo meccanismo o uno alternativo spiega effettivamente gli effetti benefici osservati della selegilina aggiuntiva.
Selegilina's benefit in La malattia di Parkinson has only been documented as an adjunct to levodopa/carbidopa. Whether or not it might be effective as a sole treatment is unknown but past attempts to treat La malattia di Parkinson with non-selective MAOI monotherapy are reported to have been unsuccessful. It is important to note that attempts to treat Parkinsonian patients with combinations of levodopa E currently marketed non-selective MAO inhibitors were abEoned because of multiple side effects including hypertension increase in involuntary movement E toxic delirium.
Informazioni farmacocinetiche (metabolismo della distribuzione dell'assorbimento e eliminazione-adme)
L'assoluta biovalabilità della selegilina che segue il dosaggio orale non è nota; Tuttavia la selegilina subisce un ampio metabolismo (presumibilmente attribuibile alla clearance presistemica nell'intestino e nel fegato). I principali metaboliti plasmatici sono la N-desmetilestegilina L-amamina e L-methamphetamine. Solo la N-desmetilselegilina ha attività inibita da MAO-B. I livelli plasmatici di picco di questi metaboliti a seguito di una singola dose orale di 10 mg sono da 4 a quasi 20 volte maggiore di quelli della concentrazione plasmatica massima di selegilina [1 ng/mL]. Le concentrazioni massime di anfetamina e metanfetamina sono tuttavia molto inferiori a quelle che normalmente si prevederanno di produrre effetti clinicamente importanti.
Tuttavia, studi di dose orale non prevedono una cinetica dose multipla. A stato stazionario il livello di picco del plasma di selegilina è di 4 volte che ottenuto dopo una singola dose. Le concentrazioni di metaboliti aumentano in misura minore in media di 2 volte che si osserva dopo una singola dose.
La biodisponibilità della selegilina viene aumentata da 3 a 4 volte quando viene presa con il cibo.
L'entità dell'esposizione sistemica alla selegilina a una determinata dose varia considerevolmente tra gli individui. Le stime della clearance sistemica della selegilina non sono disponibili. A seguito di una singola dose orale, l'emivita di eliminazione media della selegilina è di due ore. In condizioni di stato stazionario l'emivita di eliminazione aumenta a dieci ore.
Poiché l'inibizione di MAO-B di Selegilina è irreversibile, è impossibile prevedere l'entità dell'inibizione del MAO-B dai livelli plasmatici di stato stazionario. Per lo stesso motivo non è possibile prevedere il tasso di recupero dell'attività MAO-B in funzione dei livelli plasmatici. Il recupero dell'attività MAO-B è una funzione della sintesi proteica de novo; Tuttavia, le informazioni sul tasso di sintesi proteica de novo non sono ancora disponibili. Sebbene l'attività piastrinica MAO-B ritorni nell'intervallo normale entro 5-7 giorni dalla discontinuazione della selegilina, il legame tra inibizione piastrinica e cerellina MAO-B non è completamente compresa né la relazione tra inibizione MAO-B con l'effetto clinico stabilito (vedi Farmacologia clinica ).
Popolazioni speciali
Compromissione renale
Non sono disponibili informazioni farmacocinetiche sulla selegilina o sui suoi metaboliti in soggetti alterati.
Compromissione epatica
Nessuna informazione farmacocinetica è disponibile su selegilina o sui suoi metaboliti in soggetti epaticamente compromessi.
Età
Sebbene una conclusione generale sugli effetti dell'età sulla farmacocinetica della selegilina non sia garantita a causa della dimensione del campione valutato (12 soggetti superiori a 60 anni di 12 soggetti di età compresa tra 18 e 30) erano circa il doppio rispetto a quello più grande rispetto a una popolazione più giovane data una singola dose orale di 10 mg.
Genere
Non sono disponibili informazioni sugli effetti del genere sulla farmacocinetica della selegilina.
Informazioni sul paziente per eldepril
I pazienti dovrebbero essere consigliati della possibile necessità di ridurre il dosaggio di levodopa dopo l'inizio della terapia eldepril (selegilina HCL).
I pazienti (o le loro famiglie se il paziente è incompetente) dovrebbero essere consigliati di non superare la dose raccomandata giornaliera di 10 mg. Dovrebbe essere spiegato il rischio di utilizzare dosi giornaliere più elevate di selegilina e una breve descrizione della reazione del formaggio fornita. Sono state riportate rare reazioni ipertensive con selegilina a dosi raccomandate associate a influenze dietetiche.
Di conseguenza può essere utile informare i pazienti (o le loro famiglie) sui segni e sui sintomi associati a reazioni ipertese indotte da MAOI. In particolare i pazienti dovrebbero essere invitati a segnalare immediatamente eventuali mal di testa o altri sintomi atipici o insoliti non precedentemente sperimentati.