Le Informazioni Presenti Sul Sito Non Costituiscono Consulenza Medica. Non Vendiamo Nulla. L'Accuratezza Della Traduzione Non È Garantita. Disclaimer
Medicamenti
Doxiciclina igrata
Riepilogo della droga
Cos'è la doxiciclina igrata?
Doxycycline Hyclate Delayed-Release Tablets is a tetracycline -class antibiotic indicated for rickettsial infections sexually transmitted infections respiratory tract infections specific bacterial infections ophthalmic infections anthrax (including inhalational anthrax post-exposure) alternative treatment for selected infections when penicillin is contraindicated adjunctive therapy in acute intestinal amebiasis and severe acne and for prophylaxis of malaria . This medication is available in generic form.
Quali sono gli effetti collaterali della doxiciclina igrata?
Gli effetti collaterali comuni dell'iCrato di doxiciclina includono:
- perdita di peso
- nausea
- vomito
- diarrea
- eruzione cutanea
- sensibilità alla pelle alla luce solare
- orticaria
- anemia E
- candidosi
Dosaggio per la doxiciclina igrata
Il solito dosaggio per adulti di doxiciclina hyclate è di 200 mg nel primo giorno di trattamento (somministrato 100 mg ogni 12 ore) seguito da una dose di mantenimento di 100 mg al giorno. Il dosaggio pediatrico della doxiciclina igrata si basa sul peso corporeo del bambino.
Quali sostanze o integratori di farmaci interagiscono con la doxiciclina hyclate?
La doxiciclina hyclate può interagire con anticoagulanti penicillina antiacidi (contenenti calcio di alluminio o magnesio) Bismuth-subsalicilato Preparazioni contenenti il ferro Contracetti orali barbiturici fenitoina di carbamazepina e metossiflurano. Dì al medico tutti i farmaci e gli integratori che usi.
Doxiciclina igrata durante la gravidanza e l'allattamento al seno
Doxycycline hyclate is not recommended for use during pregnancy. Tetracycline-class drugs can cause fetal harm when administered to a pregnant woman. Doxycycline hyclate passes into breast milk. Breastfeeding while using doxycycline hyclate is not recommended.
Ulteriori informazioni
Il nostro centro farmacologico a rilascio ritardato di release a rilascio ritardato di doxiciclina fornisce una visione completa delle informazioni disponibili sui farmaci sui potenziali effetti collaterali durante l'assunzione di questo farmaco.
Informazioni sui farmaci FDA
- Descrizione del farmaco
- Indicazioni
- Dosaggio
- Effetti collaterali
- Interazioni farmacologiche
- Avvertimenti
- Overdose
- Farmacologia clinica
- Guida ai farmaci
Descrizione per la doxiciclina igrata
Le compresse a rilascio ritardato di doxiciclina igrato per somministrazione orale contengono pellet appositamente rivestiti di doxiciclina igrata di un antibatterico ad ampio spettro derivato dall'ossitetraciclina in una formulazione a rilascio ritardato per amministrazione orale.
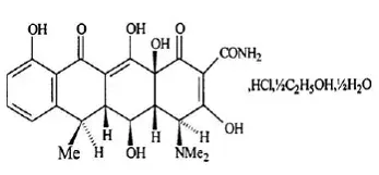
La formula strutturale per la doxiciclina hyclate è:
|
con una formula molecolare di C 22 H 24 N 2 O 8 HCl ½ c 2 H 6 O ½ h 2 O e un peso molecolare di 512,9. The chemical designation for doxycycline hyclate is [4S(4aR5S5aR6R12aS)] -4-(dimethylamino)-144a55a61112a-octahydro-35101212a-pentahydroxy-6methyl-111-deoxonaphthacene-2-carboxamide monohydrochloride compound with ethyl alcohol (2:1) monoidrato. La doxiciclina hyclate è una polvere cristallina gialla solubile in acqua e in soluzioni di idrossidi alcalini e carbonati. La doxiciclina ha un alto grado di solubilità lipidica e una bassa affinità per il legame del calcio. È altamente stabile nel normale siero umano. La doxiciclina non si degraderà in una forma di Epianhydro. Gli ingredienti inattivi nella formulazione della compressa sono: lattosio monoidrato; cellulosa microcristallina; lauril solfato di sodio; cloruro di sodio; talco; lattosio anidro; amido di mais; crospovidone; magnesio stearato; rivestimento polimerico cellulosico.
Usi per la doxiciclina igrata
Per ridurre lo sviluppo di batteri resistenti ai farmaci e mantenere l'efficacia delle compresse a rilascio ritardato di doxiciclina con igrato e di altri farmaci antibatterici che le compresse di rilascio ritardato di release devono essere usate solo per trattare o prevenire le infezioni provenute o fortemente sospettate di essere causate da batteri suscettibili. Quando sono disponibili informazioni sulla coltura e sulla suscettibilità, dovrebbero essere considerate nella selezione o nella modifica della terapia antibatterica. In assenza di tali dati di epidemiologia locale e modelli di suscettibilità possono contribuire alla selezione empirica della terapia.
Doxycycline is a tetracycline-class antibacterial indicated in the following conditions or diseases:
Infezioni da rickettsiale
La febbre mountaintosa rocciosa ha individuato la febbre typhus e la febbre q febbre di tifus rickettsialpox e febbri tick causate da Rickettsiae .
Infezioni a trasmissione sessuale
Infezioni endocervicali uretrali o rettali semplici causate da Chlamydia Trachomas .
Uretrite nongonococcica causata da Ureaplasma urealyticum .
Linfogranuloma venereum causato da Chlamydia Trachomas .
Granuloma inguinale causato da Klebsiella granulomatis .
Gonorrea semplice causata da Neisseria gonorrhoeae .
Chancoid causato da Haemophilus ducreyi .
Infezioni del tratto respiratorio
Infezioni del tratto respiratorio causate da Mycoplasma pneumoniae .
Psittacosi (ornithosi) causata da Chamydophila psittaci .
Poiché molti ceppi dei seguenti gruppi di microrganismi hanno dimostrato di essere resistenti alla coltura di doxiciclina e ai test di suscettibilità.
La doxiciclina è indicata per il trattamento delle infezioni causate dai seguenti microrganismi quando i test batteriologici indicano un'adeguata suscettibilità al farmaco:
Infezioni del tratto respiratorio causate da Haemophilus influenzae .
Infezioni del tratto respiratorio causate da Klebsiella specie .
Infezioni respiratorie superiori causate da Streptococcus pneumoniae .
Infezioni batteriche specifiche
Febbre recidiva a causa di Borrelia ricorrente .
Peste dovuta a Yersinia pestis .
Tularemia due to Francisella tularensis .
Colera causato da Vibrio cholerae .
Infezioni da feto di Campylobacter causate da Fetus Campylobacter .
Brucellosi dovuta a specie di Brucella (in combinazione con streptomicina).
Bartonellosi dovuta a Bartonella Bacilliformis .
Poiché molti ceppi dei seguenti gruppi di microrganismi hanno dimostrato di essere resistenti alla coltura di doxiciclina e ai test di suscettibilità.
La doxiciclina è indicata per il trattamento delle infezioni causate dai seguenti microrganismi Gram-negativi quando i test batteriologici indicano un'adeguata suscettibilità al farmaco:
Hanno mostrato freddo
Enterobacter Aerogenes
Shigella specie
Acinetobacter specie
Infezioni del tratto urinario causate da Klebsiella specie.
Effetti collaterali della focalina 10 mg
Infezioni oftalmiche
Trachoma causato da Chlamydia Trachomas Sebbene l'agente infettivo non sia sempre eliminato come giudicato dall'immunofluorescenza.
Congiuntivite di inclusione causata da Chlamydia Trachomas .
Antrace incluso l'antrace per inalazione (post-esposizione)
Antrace dovuto a Bacillus anthracis compreso l'antrace per inalazione (post-esposizione): ridurre l'incidenza o la progressione della malattia a seguito dell'esposizione a aerosol Bacillus anthracis .
Trattamento alternativo per infezioni selezionate quando la penicillina è controindicata
Quando la penicillina è controindicata la doxiciclina è un farmaco alternativo nel trattamento delle seguenti infezioni:
Sifilide causata da Treponema pallido .
Sudditi causati da Treponema pallido sottospecie appartenenza .
L'infezione di Vincent causata da Fusobacterium fusiforme .
Actinomicosi causata da Actinomyces israelii .
Infezioni causate da Clostridium specie.
Terapia aggiuntiva per amebiasi intestinale acuta e acne grave
Nell'amebiasi intestinale acuta la doxiciclina può essere un utile aggiunto agli amebicidi. Nella grave doxiciclina dell'acne può essere utile terapia aggiuntiva.
Profilassi della malaria
La doxiciclina è indicata per la profilassi della malaria a causa di Plasmodium falciparum Nei viaggiatori a breve termine (meno di 4 mesi) in aree con clorochina e/o ceppi resistenti alla pirimetamina-solfadossina [vedi Dosaggio e amministrazione E Informazioni sul paziente ].
Dosaggio per la doxiciclina igrata
Dosaggio e amministrazione abituali
Il solito dosaggio e frequenza di somministrazione di doxiciclina differisce da quello delle altre tetracicline. Il superamento del dosaggio raccomandato può comportare una maggiore incidenza degli effetti collaterali.
Adulti
- La normale dose di doxiciclina orale è di 200 mg nel primo giorno di trattamento (somministrato 100 mg ogni 12 ore) seguita da una dose di mantenimento di 100 mg al giorno.
- La dose di mantenimento può essere somministrata come una dose singola o come 50 mg ogni 12 ore. Nella gestione di infezioni più gravi (in particolare infezioni croniche del tratto urinario) si consiglia 100 ore ogni 12 ore.
Pazienti pediatrici
- Per tutti i pazienti pediatrici che pesano meno di 45 kg con infezioni gravi o pericolose per la vita (ad es. Febbre a mountain rocciosa di antrace) il dosaggio raccomandato di doxiciclina è di 2,2 mg per kg di peso corporeo somministrato ogni 12 ore. I pazienti pediatrici che pesano 45 kg o più dovrebbero ricevere la dose per adulti [vedi Avvertimenti e PRECAUZIONI ].
- Per i pazienti pediatrici con malattia meno grave (di età superiore a 8 anni e pesa meno di 45 kg) il programma di dosaggio raccomandato di doxiciclina è di 4,4 mg per kg di peso corporeo diviso in due dosi il primo giorno di trattamento seguito da una dose di mantenimento di 2,2 mg per kg di peso corporeo (dato un unico dose giornaliero o diviso in due giorni al giorno). Per i pazienti pediatrici che pesano oltre 45 kg, è necessario utilizzare la normale dose per adulti.
Administration of adequate amounts of fluid along with capsule and tablet forms of drugs in the tetracycline-class is recommended to wash down the drugs and reduce the risk of esophageal irritation and ulceration [see Reazioni avverse ].
Se si verifica l'irritazione gastrica, la doxiciclina può essere somministrata con cibo o latte [vedi Farmacologia clinica ].
Se utilizzato nella terapia con infezioni da streptococco dovrebbe essere continuata per 10 giorni.
Infezione endocervicale uretrale o rettale semplice causata da Chlamydia trachomatis: 100 mg per bocca due volte al giorno per 7 giorni. Come regime di dosaggio alternativo per infezione uretrale o endocervicale semplice causata da Chlamydia trachomatis somminisca 200 mg in bocca una volta al giorno per 7 giorni.
Infezioni gonococciche semplici negli adulti (tranne le infezioni anorettali negli uomini): 100 mg in bocca due volte al giorno per 7 giorni. Come dose di visita singola alternativa, somministrare 300 mg di statistica seguita in un'ora da una seconda dose di 300 mg.
Uretrite nongonococcica (NGU) causata da U. urealyticum: 100 mg in bocca due volte addici per 7 giorni.
Sifilide - PRIMA: i pazienti allergici alla penicillina devono essere trattati con doxiciclina 100 mg in bocca due volte al giorno per 2 settimane.
Sifilide di più di un anno di durata: i pazienti allergici alla penicillina devono essere trattati con doxiciclina 100 mg di bocca due volte al giorno per 4 settimane.
Epididimo-orchite acuta causata da C. trachomatis : 100 mg per bocca due volte al giorno per almeno 10 giorni.
Per la profilassi della malaria
Per gli adulti la dose raccomandata è di 100 mg al giorno. Per i bambini di età superiore agli 8 anni la dose raccomandata è di 2 mg/kg somministrati una volta al giorno fino alla dose per adulti. La profilassi dovrebbe iniziare 1 o 2 giorni prima di viaggiare nell'area malaria. La profilassi dovrebbe essere continuata ogni giorno durante i viaggi nell'area malaria e per 4 settimane dopo che il viaggiatore ha lasciato l'area malaria.
Antrace per inalazione (post-esposizione)
Adulti: 100 mg di doxiciclina per bocca due volte al giorno per 60 giorni. BAMBINI: pesa meno di 45 kg 2,2 mg/kg di peso corporeo per bocca due volte al giorno per 60 giorni. I bambini che pesano 45 kg o più dovrebbero ricevere la dose per adulti.
Spruzzando il tablet sopra la salsa di mele
Le compresse a rilascio ritardato di doxiciclina iclate possono anche essere somministrate rompendo attentamente la compressa e spruzzando il contenuto della compressa (pellet a rilascio ritardato) su un cucchiaio di salsa di mele. I pellet a rilascio ritardato non devono essere schiacciati o danneggiati quando si rompe la compressa. Qualsiasi perdita di pellet nel trasferimento impedirebbe l'utilizzo della dose. La miscela di compresse a rilascio ritardato di mele audace/doxiciclina hyclate deve essere inghiottita immediatamente senza masticare e può essere seguita da un bicchiere d'acqua, se lo si desidera. La salsa di mele non dovrebbe essere calda e dovrebbe essere abbastanza morbida da essere inghiottita senza masticare. Nel caso in cui una dose preparata di compresse di release ritardata di mele/doxiciclina igrata non possa essere presa immediatamente, la miscela debba essere scartata e non conservata per un uso successivo.
Come fornito
Dosaggio Forms And Strengths
Compresse a rilascio ritardato di doxiciclina iclate 75 mg sono compresse con punteggi ovali bianchi contenenti pellet gialli e debossa con d | 5 su una faccia e semplice dall'altra. Ogni compressa contiene pellet appositamente rivestiti di igrata di doxiciclina equivalente a 75 mg di doxiciclina.
Compresse a rilascio ritardato di doxiciclina Icrato 100 mg sono compresse con punteggi ovali bianchi contenenti pellet gialli e debossa con d | 0 su una faccia e pianura dall'altra. Ogni compressa contiene pellet appositamente rivestiti di igrata di doxiciclina equivalenti a 100 mg di doxiciclina.
Compresse a rilascio ritardato di doxiciclina iclate da 150 mg sono compresse a doppio punteggio rettangolare bianco contenenti pellet gialli e debossa con d | i | i su una faccia e semplice sull'altra. Ogni compressa contiene pellet appositamente rivestiti di igrata di doxiciclina equivalente a 150 mg di doxiciclina.
Compresse a rilascio ritardato di doxiciclina iclate da 200 mg sono compresse con punteggi ovali bianchi contenenti pellet gialli e debossa con d | d su una faccia e pianura dall'altra. Ogni compressa contiene pellet appositamente rivestiti di igrata di doxiciclina equivalenti a 200 mg di doxiciclina.
Archiviazione e maneggevolezza
Compresse a rilascio ritardato di dOxiciclina. sono compresse con punteggi ovali bianchi contenenti pellet gialli e debossa con d | 5 su una faccia e semplice dall'altra. Ogni compressa contiene pellet appositamente rivestiti di igrata di doxiciclina equivalente a 75 mg di doxiciclina.
Bottiglie di 60 compresse Ndc 68308-775-60
Compresse a rilascio ritardato di iglamato doxiciclina 100 mg sono compresse con punteggi ovali bianchi contenenti pellet gialli e debossa con d | 0 su una faccia e semplice dall'altra. Ogni compressa contiene pellet appositamente rivestiti di igrata di doxiciclina equivalenti a 100 mg di doxiciclina.
Bottiglie di 100 compresse Ndc 68308-710-10
Compresse a rilascio ritardato di dimociclina 150 mg sono compresse a doppio punteggio rettangolare bianco contenenti pellet gialli e debuttate con d | i | i su una faccia e semplice dall'altra. Ogni compressa contiene pellet appositamente rivestiti di igrata di doxiciclina equivalente a 150 mg di doxiciclina.
Bottiglie di 100 compresse Ndc 68308-715-10
Compresse a rilascio ritardato di doxiciclina con iclate di 200 mg sono compresse con punteggi ovali bianchi contenenti pellet gialli e sfacciate con d | d su una faccia e semplice dall'altra. Ogni compressa contiene pellet appositamente rivestiti di igrata di doxiciclina equivalenti a 200 mg di doxiciclina.
Bottiglie di 60 compresse Ndc 68308-716-60
Conservare a 25 ° C (77 ° F); Escursioni consentite a 15 - 30 ° C (59 - 86 ° F) [vedi A temperatura ambiente controllata da USP ]. Dispense in a tight light-resistant container (USP).
Distribuito da: Mayne Pharma Greenville NC 27834 1-844-825-8500. Prodotto da: Mayne Pharma International Pty Ltd Salisbury South SA 5106 Australia. Revisionato: aprile 2016
Effetti collaterali for Doxiciclina igrata
Esperienza di sperimentazione clinica
La sicurezza e l'efficacia delle compresse a rilascio ritardato di doxiciclina con iclati 200 mg poiché una singola dose giornaliera è stata valutata in uno studio multicentrico randomizzato in doppio cieco controllato attivo. Le compresse a rilascio ritardato di doxiciclina iccata di 200 mg sono state somministrate per via orale una volta al giorno per 7 giorni e confrontate con le capsule di igrata di doxiciclina 100 mg somministrate per via orale due volte al giorno per 7 giorni per il trattamento di uomini e donne con urbogenitale non complicata C. trachomatis infezione.
Gli eventi avversi nella popolazione di sicurezza sono stati segnalati da 99 (NULL,2%) soggetti nel gruppo di trattamento di trattamento a rilascio ritardato dell'iCrato della doxiciclina nel gruppo di trattamento delle capsule di doxicicline nel gruppo di referenze di doxicicline. La maggior parte degli eventi avversi erano lievi di intensità. Gli eventi avversi più comunemente riportati in entrambi i gruppi di trattamento sono stati la diarrea di vomito di nausea e la vaginite batterica Tabella 1.
Tabella 1: reazioni avverse riportate in maggiore o uguale al 2% dei soggetti
| Compresse a rilascio ritardato di doxiciclina con iclate di 200 mg N = 246 | |
| Termine preferito | N (%) |
| Soggetti con qualsiasi AE | 99 (40.2) |
| Nausea | 33 (13.4) |
| Vomito | 20 (8.1) |
| Mal di testa | 5 (2.0) |
| Diarrea | 8 (3.3) |
| Upperio del dolore addominale | 5 (2.0) |
| Vaginite batterica | 8 (3.3) |
| Infezione micotica vulvovaginale | 5 (2.0) |
Poiché gli studi clinici sono condotti in condizioni prescritte i tassi di reazione avversi osservati nello studio clinico potrebbero non riflettere sempre i tassi osservati nella pratica.
Esperienza post -marketing
Le seguenti reazioni avverse sono state identificate durante l'uso post-approvazione della doxiciclina. Poiché queste reazioni sono riportate volontariamente da una popolazione di dimensioni incerte, non è sempre possibile stimare in modo affidabile una relazione causale all'esposizione ai farmaci.
A causa degli effetti collaterali di assorbimento praticamente completi della doxiciclina per l'intestino inferiore, in particolare la diarrea è stata rara. Le seguenti reazioni avverse sono state osservate nei pazienti che ricevono tetracicline:
Gastrointestinale: Anorexia nausea vomiting diarrhea glossitis dysphagia enterocolitis and inflammatory lesions (with monilial overgrowth) in the anogenital region. Hepatotoxicity has been reported. These reactions have been caused by both the oral and parenteral administration of tetracyclines. Esophagitis and esophageal ulcerations have been reported in patients receiving capsule and tablet forms of drugs in the tetracycline-class. Most of these patients took medications immediately before going to bed [see Dosaggio e amministrazione ].
Pelle: Sindrome maculopapolare ed eritematosa Sindrome di Stevens-Johnson è stata riportata una dermatite esfoliativa di necrolisi epidermica tossica. La fotosensibilità è discussa sopra [vedi Avvertimenti e PRECAUZIONI ].
Renale: È stato segnalato un aumento del bun ed è apparentemente dose-correlato [vedi Avvertimenti e PRECAUZIONI ].
Reazioni di ipersensibilità: Urticaria angioneurotica edema anafilassi anafilattoide Purpura pericardite da malattia sierica e esacerbazione del lupus eritematoso sistemico.
Sangue: Sono stati segnalati anemia emolitica trombocitopenia neutropenia ed eosinofilia.
Ipertensione intracranica: L'ipertensione intracranica (pseudotumor cerebri) è stata associata all'uso della tetraciclina [vedi Avvertimenti e PRECAUZIONI ]
Cambiamenti della ghiandola tiroidea: Se somministrati in periodi prolungati, è stato segnalato che le tetracicline producono scolorimento microscopico marrone-nero delle ghiandole tiroidee. Non sono note anomalie della funzione tiroidea.
Interazioni farmacologiche for Doxiciclina igrata
Farmaci anticoagulanti
Poiché è stato dimostrato che le tetracicline dessero i pazienti con attività plasmatica di protrombina che si trovano in terapia anticoagulante possono richiedere un aggiustamento verso il basso del loro dosaggio anticoagulante.
Penicillina
Poiché i farmaci batteriostatici possono interferire con l'azione battericida della penicillina, è consigliabile evitare di dare tetracicline in combinazione con la penicillina.
Preparati antiacidi e ferro
L'assorbimento di tetracicline è compromesso da antiacidi contenenti subsalicilato di bismuto in alluminio o bismuto di magnesio e preparati contenenti ferro.
Contraccettivi orali
L'uso concomitante di tetraciclina può rendere meno efficace i contraccettivi orali.
Barbiturici e anti-epilettici
I barbiturici carbamazepina e fenitoina riducono l'emivita della doxiciclina.
Penthrane
È stato riportato che l'uso simultaneo di tetraciclina e Penthrane® (metossiflurano) provoca una tossicità renale fatale.
Interazioni di test di droga/laboratorio
Falsi elevazioni delle catecolamine urinarie possono verificarsi a causa di interferenze con il test di fluorescenza.
Avvertimenti per la doxiciclina igrata
Incluso come parte del PRECAUZIONI sezione.
Precauzioni per la doxiciclina hyclate
Sviluppo dei denti
The use of drugs of the tetracycline-class during tooth development (last half of pregnancy infancy and childhood to the age of 8 years) may cause permanent discoloration of the teeth (yellow-gray-brown). This adverse reaction is more common during long-term use of the drugs but it has been observed following repeated short-term courses. Enamel hypoplasia has also been reported. Use Doxycycline Hyclate Delayed-Release Tablets in pediatric patients 8 years of age or less only when the potential benefits are expected to outweigh the risks in severe or life-threatening conditions (e.g. anthrax Rocky Mountain spotted fever) particularly when there are no alternative therapies.
Clostridium Difficile Associated Diarrea
Clostridium difficile La diarrea associata (CDAD) è stata riportata con l'uso di quasi tutti gli agenti antibatterici tra cui compresse di rilascio ritardato di doxiciclina igrato e può variare in gravità dalla diarrea lieve alla colite fatale. Il trattamento con agenti antibatterici altera la normale flora del colon che porta alla crescita eccessiva di C. difficile .
C. difficile produce tossine A e B che contribuiscono allo sviluppo di CDAD. Ipertoxina che produce ceppi di C. difficile causano un aumento della morbilità e della mortalità poiché queste infezioni possono essere refrattarie alla terapia antimicrobica e possono richiedere colectomia. Il CDAD deve essere considerato in tutti i pazienti che presentano diarrea dopo l'uso antibatterico. È stata necessaria un'attenta storia medica da quando è stato segnalato che il CDAD si verifica in due mesi dopo la somministrazione di agenti antibatterici.
Effetti collaterali dell'acido clavulanico di amoxicillina
Se il CDAD è sospettato o confermato l'uso antibatterico in corso non diretto contro C. difficile Potrebbe essere necessario interrompere. Appropriato trattamento antibatterico di integrazione di proteine per la gestione dei fluidi ed elettroliti C. difficile E surgical evaluation should be instituted as clinically indicated.
Fotosensibilità
Fotosensibilità manifested by an exaggerated sunburn reaction has been observed in some individuals taking tetracyclines. Patients apt to be exposed to direct sunlight or ultraviolet light should be advised that this reaction can occur with tetracycline drugs E treatment should be discontinued at the first evidence of skin erythema.
Superinfezione
Come con altri preparati antibatterici, l'uso di compresse a rilascio ritardato di doxiciclina igrato può comportare una crescita eccessiva di organismi non sospettibili, compresi i funghi. Se si verifica la superinfezione, l'antibatterico deve essere sospeso e la terapia appropriata istituita.
Ipertensione intracranica
L'ipertensione intracranica (pseudotumor cerebri) è stata associata all'uso della tetraciclina tra cui compresse a rilascio ritardato di doxiciclina. Le manifestazioni cliniche di IH includono la diplopia della visione sfocata al mal di testa e la perdita di visione; Papillema è disponibile su Fundoscopia. Le donne in età fertile che sono in sovrappeso o che hanno una storia di IH sono a maggior rischio di sviluppare la tetraciclina associata a IH. Evitare l'uso concomitante di compresse a rilascio ritardato di isotretinoina e doxiciclina con iglai perché l'isotretinoina è anche noto per causare cerebri pseudotumor. Sebbene IH in genere si risolva dopo l'interruzione del trattamento esiste la possibilità di perdita visiva permanente. Se si verifica un disturbo visivo durante il trattamento, è giustificata la valutazione oftalmologica. Poiché la pressione intracranica può rimanere elevata per settimane dopo che i pazienti con cessazione del farmaco devono essere monitorati fino a quando non si stabilizzano.
Sviluppo scheletrico
Tutte le tetracicline formano un complesso di calcio stabile in qualsiasi tessuto che forma l'osso. Una diminuzione del tasso di crescita del fibula è stata osservata nelle premature dati tetraciclina orale in dosi di 25 mg/kg ogni sei ore. Questa reazione ha dimostrato di essere reversibile quando il farmaco è stato sospeso.
I risultati degli studi sugli animali indicano che le tetracicline attraversano la placenta si trovano nei tessuti fetali e possono avere effetti tossici sul feto in via di sviluppo (spesso correlati al ritardo dello sviluppo scheletrico). La prova di embriotossicità è stata notata anche negli animali trattati all'inizio della gravidanza. Se durante la gravidanza viene utilizzata una tetraciclina o se il paziente rimane incinta durante l'assunzione di questi farmaci, il paziente dovrebbe essere informato del potenziale pericolo per il feto.
Azione antianabolica
L'azione antianobolica delle tetracicline può causare un aumento del BUN. Gli studi fino ad oggi indicano che ciò non si verifica con l'uso della doxiciclina nei pazienti con funzionalità renale alterata.
Malaria
La doxiciclina offre una soppressione sostanziale ma non completa delle fasi del sangue asessuali di Plasmodium tensioni.
La doxiciclina non sopprime A. Falciparum's Gametociti del palcoscenico del sangue sessuale. I soggetti che completano questo regime profilattico possono ancora trasmettere l'infezione a zanzare al di fuori delle aree endemiche.
Sviluppo di batteri resistenti ai farmaci
La prescrizione di compresse a rilascio ritardato con igrato di doxiciclina in assenza di un'infezione batterica comprovata o fortemente sospetta o è improbabile che un'indicazione profilattica fornisca benefici al paziente e aumenta il rischio di sviluppo di batteri resistenti ai farmaci.
Monitoraggio di laboratorio per terapia a lungo termine
Nella terapia a lungo termine la valutazione periodica di laboratorio di sistemi di organi, compresi gli studi renali ed epatici ematopoietici, dovrebbero essere condotti.
Informazioni sulla consulenza del paziente
Dovrebbero essere consigliati i pazienti che assumono doxiciclina per la profilassi della malaria:
- che nessun agente antimalarico odierni compresa la doxiciclina garantisce protezione contro la malaria.
- Per evitare di essere morso dalle zanzare utilizzando misure di protezione individuale che aiutano a evitare il contatto con le zanzare, in particolare dal crepuscolo all'alba (ad esempio, rimanendo in aree ben schermate usando reti di zanzare che coprono il corpo con indumenti e usando un efficace repellente per insetti).
- Quella profilassi della doxiciclina:
- dovrebbe iniziare da 1 a 2 giorni prima di viaggiare nell'area malaria
- dovrebbe essere continuato quotidianamente mentre si trova nell'area malaria e dopo aver lasciato l'area malaria
- dovrebbe essere continuato per altre 4 settimane per evitare lo sviluppo della malaria dopo essere tornato da un'area endemica
- non dovrebbe superare i 4 mesi.
Dovrebbero essere consigliati tutti i pazienti che assumono doxiciclina:
- Per evitare la luce solare eccessiva o la luce ultravioletta artificiale mentre si riceve doxiciclina e interrompere la terapia se si verifica la fototossicità (ad esempio eruzioni cutanee ecc.). La protezione solare o la crema solare dovrebbero essere considerati [vedi Avvertimenti e PRECAUZIONI ].
- bere liquidi liberamente insieme alla doxiciclina per ridurre il rischio di irritazione e ulcerazione esofagea [vedi Reazioni avverse ].
- Che l'assorbimento delle tetracicline sia ridotto se assunto con alimenti, in particolare quelli che contengono calcio. Tuttavia, l'assorbimento della doxiciclina non è notevolmente influenzato dall'ingestione simultanea di cibo o latte [vedi Interazioni farmacologiche ].
- che l'assorbimento delle tetracicline sia ridotto se assunta con antiacidi contenenti calcio in alluminio o subsalicilato di bismuto di magnesio e preparati contenenti ferro [vedi Interazioni farmacologiche ].
- che l'uso della doxiciclina potrebbe aumentare l'incidenza della candidosi vaginale.
Diarrea is a common problem caused by antibacterials which usually ends when the antibacterial is discontinued. Sometimes after starting treatment with antibacterials patients can develop watery E bloody stools (with or without stomach cramps E fever) even as late as two or more months after having taken the last dose of antibacterial. If this occurs patients should contact their physician as soon as possible.
I pazienti dovrebbero essere consigliati che i farmaci antibatterici tra cui compresse a rilascio ritardato di doxiciclina devono essere utilizzate solo per trattare le infezioni batteriche. Non trattano le infezioni virali (ad esempio il raffreddore comune). Quando è prescritto le compresse di release ritardate di doxiciclina per il trattamento di un'infezione batterica, i pazienti dovrebbero essere detto che sebbene sia comune sentirsi meglio nelle prime fasi della terapia, i farmaci dovrebbero essere presi esattamente come indicato. Saltare le dosi o non completare l'intero corso della terapia può (1) ridurre l'efficacia del trattamento immediato e (2) aumentare la probabilità che i batteri sviluppino resistenza e non saranno curabili mediante compresse di rilascio ritardato di iglama di doxiciclina o altri farmaci antibatterici in futuro.
Istruzioni per rompere la compressa a doppia tavoletta a doppio punteggio della compressa a doppio punteggio di 150 mg di doxiciclina
Il tablet è contrassegnato con linee di separazione (linee di punteggio) e può essere rotto su queste linee di punteggio per fornire una delle seguenti dosi.
- Trattamento da 150 mg (viene presa l'intera compressa)
|
- Trattamento da 100 mg (sono presi due terzi della compressa o due segmenti di compresse da 50 mg)
|
- Trattamento da 50 mg (viene preso un terzo della compressa)
|
Per rompere il tablet, il tablet viene tenuto tra i pollici e le dita indicizzate vicino alla linea di punteggio appropriata. Quindi, con la linea di punteggio rivolta verso il paziente, viene applicata una pressione sufficiente per scattare i segmenti di tablet (i segmenti che non si rompono lungo la linea di punteggio non devono essere utilizzati).
Tossicologia non clinica
Mutagenesi della carcinogenesi compromissione della fertilità
Non sono stati condotti studi a lungo termine sugli animali per valutare il potenziale cancerogeno della doxiciclina. Tuttavia, ci sono state prove di attività oncogenica nei ratti negli studi con gli antibatterici correlati ossitetraciclina (tumori surrenali e ipofisari) e minociclina (tumori tiroidei). Allo stesso modo sebbene gli studi di mutagenicità sulla doxiciclina non siano stati condotti risultati positivi in vitro Sono stati riportati saggi cellulari di mammiferi per gli antibatterici correlati (ossitetraciclina della tetraciclina).
La doxiciclina somministrata per via orale a livelli di dosaggio fino a 250 mg/kg/giorno non ha avuto alcun effetto apparente sulla fertilità delle donne ratti. L'effetto sulla fertilità maschile non è stato studiato.
Utilizzare in popolazioni specifiche
Gravidanza
Effetti teratogeni
Gravidanza Category D: There are no adequate E well-controlled studies on the use of doxycycline in pregnant women. The vast majority of reported experience with doxycycline during human pregnancy is short-term first trimester exposure. There are no human data available to assess the effects of long-term therapy of doxycycline in pregnant women such as that proposed for the treatment of anthrax exposure. An expert review of published data on experiences with doxycycline use during pregnancy by TERIS -the Teratogen Information System -concluded that therapeutic doses during pregnancy are unlikely to pose a substantial teratogenic risk (the quantity E quality of data were assessed as limited to fair) but the data are insufficient to state that there is no risk. 1
Effetti collaterali delle capsule di vitamina E
Uno studio caso-controllo (18515 madri di neonati con anomalie congenite e 32804 madri di neonati senza anomalie congenite) mostra un'associazione debole ma marginalmente statisticamente significativa con malformazioni totali e l'uso della doxiciclina in qualsiasi momento durante la gravidanza. Sessantatre (NULL,19%) dei controlli e 56 (NULL,30%) dei casi sono stati trattati con doxiciclina. Questa associazione non è stata osservata quando l'analisi è stata limitata al trattamento materno durante il periodo di organogenesi (che è nel secondo e terzo mese di gestazione) ad eccezione di una relazione marginale con il difetto del tubo neurale basato solo su due casi esposti. 2
Un piccolo studio prospettico su 81 gravidanze descrive 43 donne in gravidanza trattate per 10 giorni con doxiciclina durante il primo primo trimestre. Tutte le madri hanno riferito che i loro bambini esposti erano normali a 1 anno di età. 3
Effetti non staratogeni: [vedi Avvertimenti e PRECAUZIONI ].
Madri infermieristiche
Le tetracicline sono escrete nel latte umano, tuttavia non è nota l'entità dell'assorbimento delle tetracicline tra cui la doxiciclina da parte del bambino allattato al seno. L'uso a breve termine da parte delle donne in allattamento non è necessariamente controindicato. Gli effetti dell'esposizione prolungata alla doxiciclina nel latte materno sono sconosciuti 4 . A causa del potenziale di gravi reazioni avverse nei neonati infermieristici della doxiciclina, si dovrebbe prendere una decisione se interrompere l'assistenza infermieristica o interrompere il farmaco tenendo conto dell'importanza del farmaco per la madre [vedi Avvertimenti e PRECAUZIONI ].
Uso pediatrico
Because of the effects of drugs of the tetracycline-class on tooth development and growth use Doxycycline Hyclate Delayed-Release Tablets in pediatric patients 8 years of age or less only when the potential benefits are expected to outweigh the risks in severe or life-threatening conditions (e.g. anthrax Rocky Mountain spotted fever) particularly when there are no alternative therapies Doxycycline Hyclate Delayed-Release Tablets[see Avvertimenti e PRECAUZIONI E Dosaggio e amministrazione ].
Uso geriatrico
Studi clinici sulle compresse a rilascio ritardato di doxiciclina con iclati non includevano un numero sufficiente di soggetti di età pari o superiore a 65 anni per determinare se rispondono in modo diverso dai soggetti più giovani. Altra esperienza clinica segnalata non ha identificato differenze nelle risposte tra i pazienti anziani e più giovani.
Compresse a rilascio ritardato di dOxiciclina. tablets contain 3 mg (0.196 mEq) of sodium
Compresse a rilascio ritardato di iglamato doxiciclina 100 mg tablets contain 3 mg (0.261 mEq) of sodium
Compresse a rilascio ritardato di dimociclina 150 mg tablets contain 9 mg (0.392 mEq) of sodium
Compresse a rilascio ritardato di doxiciclina con iclate di 200 mg tablets contain 12 mg (0.522 mEq) of sodium.
Riferimenti
1. Friedman JM Polifka JE. Effetti teratogeni dei farmaci. Un ricredita per i medici (Teris). Baltimora MD: The Johns Hopkins University Press: 2000: 149-195.
2. Cziezel AE e Rockenbauer M. Studio teratogenico della doxiciclina. Obstet Gynecol 1997; 89: 524-528.
3. Horne HW Jr. e Kundsin RB. Il ruolo del micoplasma tra 81 gravidanze consecutive: uno studio prospettico. Int J Fertil 1980; 25: 315-317.
4. Hale T. Medici e latte delle madri. 9 th edizione. Amarillo TX: PharmaSoft Publishing 2000; 225-226.
Informazioni per overdose per la doxiciclina hyclate
In caso di overdosage interrompere i farmaci trattati in modo sintomatico e istituire misure di supporto. La dialisi non altera l'emivita sierica e quindi non sarebbe di beneficio nel trattamento dei casi di sovradosaggio.
Controindicazioni per la doxiciclina igrata
Il farmaco è controindicato nelle persone che hanno mostrato ipersensibilità a nessuna delle tetracicline.
Farmacologia clinica for Doxiciclina igrata
Meccanismo d'azione
La doxiciclina è un farmaco antibatterico [vedi Microbiologia ].
Farmacocinetica
La doxiciclina è praticamente completamente assorbita dopo la somministrazione orale. Dopo la somministrazione a dose singola e multipla di compresse a rilascio ritardato di doxiciclina con iclati a rilascio ritardato da 200 mg a volontari adulti, la concentrazione di doxiciclina di picco di picco (CMAX) è stata rispettivamente di 4,6 mcg/mL e 6,3 mcg/ml con TMAX mediana di 3 ore; I valori di concentrazione plasmatica medi corrispondenti 24 ore dopo le dosi singoli e multiple erano rispettivamente 1,5 mcg/mL e 2,3 mcg/ml. Il cMAX medio e l'AUC 0-∞ della doxiciclina sono rispettivamente del 24% e del 13% in meno a seguito della somministrazione di dose singola di compresse a rilascio ritardato di iclate di doxiciclina 100 mg con un pasto ad alto contenuto di grassi (incluso il latte) rispetto alle condizioni a digiuno. Il CMAX medio della doxiciclina è inferiore del 19% e l'AUC 0-∞ è invariato dopo la somministrazione a dose singola di compresse a rilascio ritardato di doxiciclina 150 mg con un pasto ad alto contenuto di grassi (incluso il latte) rispetto alle condizioni a digiuno. Il significato clinico di queste diminuzioni non è noto. La biodisponibilità della doxiciclina dalla doxiciclina Iclate ritardata compresse a rilascio di 200 mg non è stata influenzata dal cibo, ma l'incidenza della nausea era più elevata nei soggetti a digiuno. Le compresse da 200 mg possono essere somministrate indipendentemente dai pasti.
Quando le compresse di release ritardate di dossiciclina sono spruzzate sulla salsa di mele e prese con o senza acqua l'entità dell'assorbimento della doxiciclina è invariato ma il tasso di assorbimento è leggermente aumentato.
Le tetracicline sono concentrate in bile dal fegato ed escrete nelle urine e nelle feci ad alte concentrazioni e in forma biologicamente attiva. L'escrezione della doxiciclina da parte del rene è di circa il 40%/72 ore in individui con un gioco di creatinina di circa 75 ml/min. Questa percentuale può scendere fino all'1-5%/72 ore in individui con autorizzazione di creatinina al di sotto di 10 ml/min.
Gli studi non hanno mostrato differenze significative nell'emivita sierica della doxiciclina (intervallo da 18 a 22 ore) in soggetti con funzione renale normale e gravemente compromessa. L'emodialisi non altera l'emivita sierica.
Microbiologia
Meccanismo d'azione
La doxiciclina inibisce la sintesi della proteina batterica legandosi alla subunità ribosomiale 30S.
La doxiciclina ha attività batteriostatica contro una vasta gamma di batteri Gram-positivi e gram-negativi. La resistenza incrociata tra tetracicline è comune.
La doxiciclina ha dimostrato di essere attiva contro la maggior parte degli isolati dei seguenti microrganismi entrambi in vitro E in clinical infections as described in the Indicazioni e utilizzo section of the package insert for Doxiciclina igrata Delayed-Release Tablets [see Indicazioni e utilizzo ].
Batteri gram-negativi
Acinetobacter specie Bartonella
Brucella Bacilliformis specie
Fetus Campylobacter
Enterobacter Aerogenes
Hanno mostrato freddo Francisella
Tularensis haemophilus ducreyi
Haemophilus influenzae
Klebsiella granulomatis
Klebsiella specie
Neisseria gonorrhoeae Shigella specie
Vibrio cholerae
Yersinia pestis
Batteri gram-positivi
Bacillus anthracis Streptococcus pneumoniae
Batteri anerobici
Clostridium specie
Fusobacterium fusiforme
Propionibacterium acnes
Altri batteri
Borrelia ricorrente
Chamydophila psittaci
Chlamydia Trachomas
Mycoplasma pneumoniae
Norcardiae E other aerobic
Actinomyces specie
Rickettsiae
Treponema pallido
Treponema pallido sottospecie appartenenza
Ureaplasma urealyticum
Parassiti
Balanidium coli
Entamoeba specie Plasmodium
falciparum *
*La doxiciclina è stata trovata attiva contro le forme eritrocitiche asessuali di Plasmodium falciparum ma non contro i gametociti di A. falciparum . Il preciso meccanismo d'azione del farmaco non è noto.
Metodi di test di suscettibilità
Se disponibile, il laboratorio di microbiologia clinica dovrebbe fornire i risultati di in vitro Risultati dei test di suscettibilità per i farmaci antimicrobici utilizzati negli ospedali residenti al medico come segnalazioni periodiche che descrivono il profilo di suscettibilità dei patogeni consumati e acquisiti dalla comunità. Questi rapporti dovrebbero aiutare il medico a selezionare l'antimicrobico più efficace.
Tecniche di diluizione
I metodi quantitativi vengono utilizzati per determinare le concentrazioni minime inibitorie antimicrobiche (MIC). Questi microfoni forniscono stime della suscettibilità dei batteri ai composti antimicrobici. I microfoni devono essere determinati utilizzando un metodo di test standardizzato (brodo e/o agar) 568 . I valori MIC devono essere interpretati in base ai criteri forniti nella Tabella 2.
Diffusione tecnica
I metodi quantitativi che richiedono la misurazione dei diametri delle zone possono anche fornire stime riproducibili della suscettibilità dei batteri ai composti antimicrobici. La dimensione della zona fornisce una stima della suscettibilità dei batteri ai composti antimicrobici. La dimensione della zona deve essere determinata utilizzando un metodo di prova standard 578 . Questa procedura utilizza dischi di carta impregnati di doxiciclina da 30 mcg per testare la suscettibilità dei batteri alla doxiciclina. I criteri interpretativi di diffusione del disco sono forniti nella Tabella 2.
Tecniche anaerobiche
Per i batteri anaerobici la suscettibilità alla doxiciclina può essere determinata con un metodo di prova standardizzato 9 . I valori MIC ottenuti devono essere interpretati in base ai criteri forniti nella Tabella 2.
Tabella 2: criteri interpretativi del test di suscettibilità per doxiciclina e tetraciclina
| Batteriaa | Concentrazione inibitoria minima (MCG/ML) | Diametro della zona (mm) | Diluizione di agar (MCG/ML) | ||||||
| S | I | R | S | I | R | S | I | R | |
| Acinetobacter spp. | |||||||||
| Doxycycline | ≤ 4 | 8 | ≥ 16 | ≥ 13 | 10-12 | ≤ 9 | - | - | - |
| Tetracycline | ≤ 4 | 8 | ≥ 16 | ≥ 15 | 12-14 | ≤ 11 | - | - | - |
| Anaerobi | |||||||||
| Tetracycline | - | - | - | - | - | - | ≤ 4 | 8 | ≥ 16 |
| Bacillus anthracis b | |||||||||
| Doxycycline | ≤ 1 | - | - | - | - | - | - | - | - |
| Tetracycline | ≤ 1 | - | - | - | - | - | - | - | - |
| Specie di Brucella b | |||||||||
| Doxycycline | ≤ 1 | - | - | - | - | - | - | - | - |
| Tetracycline | ≤ 1 | - | - | - | - | - | - | - | - |
| Enterobacteriaceae | |||||||||
| Doxycycline | ≤ 4 | 8 | ≥ 16 | ≥ 14 | 11-13 | ≤ 10 | - | - | - |
| Tetracycline | ≤ 4 | 8 | ≥ 16 | ≥ 15 | 12-14 | ≤ 11 | - | - | - |
| Francisella tularensis b | |||||||||
| Doxycycline | ≤ 4 | - | - | - | - | - | - | - | - |
| Tetracycline | ≤ 4 | - | - | - | - | - | - | - | - |
| Haemophilus influenzae | |||||||||
| Tetracycline | ≤ 2 | 4 | ≥ 8 | ≥ 29 | 26-28 | ≤ 25 | - | - | - |
| Mycoplasma pneumoniae b | |||||||||
| Tetracycline | - | - | - | - | - | - | ≤ 2 | - | - |
| Nocardiae e altri aerobici Actinomyces specie ab | |||||||||
| Doxycycline | ≤ 1 | 2-4 | ≥ 8 | - | - | - | |||
| Neisseria gonorrhoeae c | |||||||||
| Tetracycline | - | - | - | ≥ 38 | 31-37 | ≤ 30 | ≤ 0,25 | 0,5-1 | ≥ 2 |
| Streptococcus pneumoniae | |||||||||
| Doxycycline | ≤ 0. 25 | 0.5 | ≥ 1 | ≥ 28 | 25-27 | ≤ 24 | - | - | - |
| Tetracycline | ≤ 1 | 2 | ≥ 4 | ≥ 28 | 25-27 | ≤ 24 | - | - | - |
| Vibrio cholerae | |||||||||
| Doxycycline | ≤ 4 | 8 | ≥ 16 | - | - | - | - | - | - |
| Tetracycline | ≤ 4 | 8 | ≥ 16 | - | - | - | - | - | - |
| Yersinia pestis | |||||||||
| Doxycycline | ≤ 4 | 8 | ≥ 16 | - | - | - | - | - | - |
| Tetracycline | ≤ 4 | 8 | ≥ 16 | - | - | - | - | - | - |
| Ureaplasma urealyticum | |||||||||
| Tetracycline | - | - | - | - | - | - | ≤ 1 | ≥ 2 | |
| a Gli organismi suscettibili alla tetraciclina sono anche considerati sensibili alla doxiciclina. Tuttavia, alcuni organismi intermedi o resistenti alla tetraciclina possono essere suscettibili alla doxiciclina. b L'attuale assenza di isolati di resistenza impedisce di definire eventuali risultati diversi da quelli sensibili. Se gli isolati producono risultati MIC diversi da quelli sensibili, dovrebbero essere sottoposti a un laboratorio di riferimento per ulteriori test. c I gonococchi con diametri della zona del disco di tetraciclina da 30 mcg di meno di 19 mM di solito indicano un neisseria gonorrroee resistente alla tetraciclina mediata da plasmidline. La resistenza in questi ceppi deve essere confermata da un test di diluizione (MIC maggiore o uguale a 16 mcg/mL). |
Un rapporto di Suscettibile (S) indica che è probabile che il farmaco antimicrobico inibisca la crescita del patogeno se il farmaco antimicrobico raggiunge le concentrazioni di solito realizzabili nel sito di infezione. Un rapporto di Intermedio (I) indica che il risultato dovrebbe essere considerato equivoco e se i batteri non sono completamente suscettibili ai farmaci clinicamente fattibili alternativi, il test dovrebbe essere ripetuto. Questa categoria implica una possibile applicabilità clinica nei siti del corpo in cui il farmaco è concentrato fisiologicamente o in situazioni in cui è possibile utilizzare un elevato dosaggio di farmaco. Questa categoria fornisce anche una zona tampone che impedisce a piccoli fattori tecnici incontrollati di causare gravi discrepanze nell'interpretazione. Un rapporto di Resistente (R) indica che non è probabile che l'antimicrobico inibisca la crescita del patogeno se il farmaco antimicrobico raggiunge le concentrazioni di solito realizzabili nel sito di infezione; Altra terapia dovrebbe essere selezionata.
Controllo di qualità
Le procedure di test di suscettibilità standardizzate richiedono l'uso di controlli di laboratorio per monitorare e garantire l'accuratezza e la precisione delle forniture e dei reagenti utilizzati nel test e le tecniche delle persone che eseguono il test 567891011 . Le polveri di doxiciclina e tetraciclina standard dovrebbero fornire il seguente intervallo di valori MIC indicati nella Tabella 3. Per la tecnica di diffusione utilizzando il disco di doxiciclina da 30 mcg, dovrebbero essere raggiunti i criteri rilevati nella Tabella 3.
Tabella 3: intervalli di controllo di qualità accettabili per i test di suscettibilità per doxiciclina e tetraciclina
| Ceppo QC | Concentrazione inibitoria minima (MCG/ML) | Diametro della zona (mm) | Diluizione di agar (MCG/ML) |
| Enterococcus faecalis ATCC 29212 | |||
| Doxycycline | 2 -8 | - | - |
| Tetracycline | 8 -32 | - | - |
| Hanno mostrato freddo ATCC 25922 | |||
| Doxycycline | 0,5 - 2 | 18-24 | - |
| Tetracycline | 0,5 -2 | 18 -25 | - |
| Eubacteria Lentum ATCC 43055 | |||
| Doxycycline | 2-16 | ||
| Haemophilus influenzae ATCC 49247 | |||
| Tetracycline | 4 -32 | 14 -22 | - |
| Neisseria gonorrhoeae ATCC 49226 | |||
| Tetracycline | - | 30-42 | 0,25 - 1 |
| Staphylococcus aureus ATCC 25923 | |||
| Doxycycline | - | 23 -29 | - |
| Tetracycline | - | 24 -30 | - |
| Staphylococcus aureus ATCC 29213 | |||
| Doxycycline | 0.12 -0,5 | - | |
| Tetracycline | 0,12 - 1 | - | |
| Staphylococcus pneumoniae ATCC 49619 | |||
| Doxycycline | 0,015 -0,12 | 25 -34 | - |
| Tetracycline | 0,06 -0,5 | 27 -31 | - |
| Bacteroides fragilis ATCC 25285 | |||
| Tetracycline | - | - | 0.125 -0,5 |
| Bacteroides thetaiotaomicron ATCC 29741 | |||
| Doxycycline | 2-8 | - | |
| Tetracycline | - | - | 8 -32 |
| Mycoplasma pneumoniae ATCC 29342 | |||
| Tetracycline | 0,06 -0,5 | - | 0,06 -0,5 |
| Ureaplasma urealyticum ATCC 33175 | |||
| Tetracycline | - | - | ≥ 8 |
Tossicologia animale e/o farmacologia
Hyperpigmentation of the thyroid has been produced by members of the tetracycline-class in the following species: in rats by oxytetracycline doxycycline tetracycline PO4 and methacycline; in minipigs by doxycycline minocycline tetracycline PO4 and methacycline; in dogs by doxycycline and minocycline; in monkeys by minocycline.
Minociclina tetraciclina PO4 Metaciclina Doxiciclina Tetraciclina Base Oxitetraciclina HCl e la tetraciclina HCL erano goitrogeni nei ratti alimentati con una dieta a basso contenuto di iodio. Questo effetto goitrogenico è stato accompagnato da un elevato assorbimento di iodio radioattivo. La somministrazione di minociclina ha anche prodotto un grande gozzo con un elevato assorbimento di radioiodio nei ratti alimentati con una dieta di iodio relativamente elevata.
Treatment of various animal species with this class of drugs has also resulted in the induction of thyroid hyperplasia in the following: in rats and dogs (minocycline); in chickens (chlortetracycline); and in rats and mice (oxytetracycline). Adrenal gland hyperplasia has been observed in goats and rats treated with oxytetracycline.
I risultati degli studi sugli animali indicano che le tetracicline attraversano la placenta e si trovano nei tessuti fetali.
Studi clinici
Questo è stato uno studio multicentrico randomizzato in doppio cieco controllato attivo che ha arruolato 495 soggetti tra i 19 e i 45 anni con una diagnosi confermata di urogenitale C. trachomatis infezione meno di 14 giorni prima dell'iscrizione o dei partner di un soggetto con un test positivo noto per l'urogenitale C. trachomatis infezione.
Lo scopo principale di questo studio era di valutare l'efficacia e la sicurezza delle compresse a rilascio ritardato di doxiciclina con le capsule di Hyclate di doxiciclina 100 mg due volte al giorno per sette giorni per il trattamento di Urogenital non complicati C. trachomatis infezione. The primary efficacy objective was to demonstrate non-inferiority of the Compresse a rilascio ritardato di doxiciclina con iclate di 200 mg once daily treatment regimen versus the doxycycline 100 mg twice daily treatment regimen for the indication using a negative nucleic acid amplification test (NAAT) at the test of cure visit (day 28) in the mITT population (subjects who were positive at baseline E took at least one day of study drug).
Tabella 4: risultato di efficacia primaria - cura microbiologica di C. trachomatis al giorno 28
| La mia popolazione | Compresse a rilascio ritardato di doxiciclina con iclate di 200 mg once daily Cure Rate (%) | Capsule di iglate di doxiciclina 100 mg tasso di guarigione due volte al giorno (%) | Differenza (%) |
| N | 188 | 190 | |
| Cura microbiologica n (%) | 163 (86.7) | 171 (90.0) | -3,3% |
| Intervallo di confidenza al 95% per il tasso di guarigione | -10.3 3.7 |
Riferimenti
5. Istituto di standard clinici e di laboratorio (CLSI). Standard di prestazione per test di suscettibilità antimicrobica; Documento CLSI per supplemento informativo ventiquattresimo M100-S24. Clinical Laboratory Standards Institute 950 West Valley Road Suite 2500 Wayne Pennsylvania 19087 USA 2014.
6. Istituto di standard clinici e di laboratorio (CLSI). Metodi per la diluizione test di suscettibilità antimicrobica per i batteri che crescono aerobicamente; Standard approvato - Nona edizione. Documento CLSI M07-A9 Clinical Laboratory Standards Institute 950 West Valley Road Suite 2500 Wayne Pennsylvania 19087 USA 2012.
7. Istituto di standard clinici e di laboratorio (CLSI). Standard di prestazione per test di suscettibilità alla diffusione del disco antimicrobico; Standard approvato - Undicida edizione. Documento CLSI M02-A11 Clinical Laboratory Standards Institute 950 West Valley Road Suite 2500 Wayne Pennsylvania 19087 USA 2012.
8. Istituto di standard clinici e di laboratorio (CLSI). Metodi per la diluizione antimicrobica e il test di suscettibilità al disco di batteri raramente isolati o fastidiosi; Linee guida approvata-Documento CLSI di seconda edizione M45-A2 Standard di laboratorio clinico Institute 950 West Valley Road Suite 2500 Wayne Pennsylvania 19087 USA 2010.
9. Istituto di standard clinici e di laboratorio (CLSI). Metodi per test di suscettibilità antimicrobica di batteri anaerobici; Standard approvato - Ottava edizione. Documento CLSI M11-A8 Clinical Laboratory Standards Institute 950 West Valley Road Suite 2500 Wayne Pennsylvania 19087 USA 2012.
10. Istituto di standard clinici e di laboratorio (CLSI). Metodi per micobatteri nocardiae e altri actinomiceti aerobici; Standard approvato - Seconda edizione. Documento CLSI M24-A2 Clinical Laboratory Standards Institute 950 West Valley Road Suite 2500 Wayne Pennsylvania 19087 USA 2011.
11. Istituto di standard clinici e di laboratorio (CLSI). Metodi per test di suscettibilità antimicrobica per i micoplasmi umani; Linee guida approvate. Documento CLSI M43-A Clinical Laboratory Standards Institute 950 West Valley Road Suite 2500 Wayne Pennsylvania 19087 USA 2011.
per cosa è usata la crema spettazolo
Informazioni sul paziente per la doxiciclina igrata
Doxiciclina igrata
Compresse a rilascio ritardato 75 mg 100 mg 150 mg e 200 mg
Istruzioni per rompere la compressa a doppia tavoletta a doppio punteggio della compressa a doppio punteggio di 150 mg di doxiciclina
Il medico potrebbe ritenere necessario regolare il dosaggio di compresse a rilascio ritardato di iglate di doxiciclina per ottenere la corretta risposta al trattamento. Il tablet è contrassegnato con linee di separazione (linee di punteggio) e può essere rotto su queste linee di punteggio per fornire una delle seguenti dosi.
Se il medico prescriveva:
- Trattamento da 150 mg (preso l'intera compressa)
|
- Trattamento da 100 mg (sono presi due terzi della compressa o due segmenti di compresse da 50 mg)
|
- Trattamento da 50 mg (viene preso un terzo della compressa)
|
Per rompere il tablet tieni premuto il tablet tra i pollici e le dita indicizzate vicino alla linea di punteggio appropriata. Quindi, con la linea di punteggio che si affaccia, si applica una pressione sufficiente per separare i segmenti di tablet (non utilizzare segmenti che non si rompono lungo la linea di punteggio).