Le Informazioni Presenti Sul Sito Non Costituiscono Consulenza Medica. Non Vendiamo Nulla. L'Accuratezza Della Traduzione Non È Garantita. Disclaimer
Antidysritmics, III
Cordarone
Riepilogo della droga
Cos'è Cordarone?
Il cordarone (amiodarone) è un farmaco antiaritmico usato per molte gravi aritmie del cuore, compresa la tachicardia ventricolare di fibrillazione ventricolare fibrillazione atriale E flutter atriale .
- Cordarone è disponibile in generico modulo.
Quali sono gli effetti collaterali del cordarone?
Gli effetti collaterali comuni del cordarone includono:
- Nausea
- Vomito
- Stipsi
- Perdita di peso
- Fatica
- Fibrosi polmonare
- Blocco cardiaco
- Insufficienza cardiaca
- Vertigini
- Stanchezza
- Tremante o tremore
- Intorpidimento e formicolio
- Dolori di stomaco
- Perdita di appetito
- Problemi di sonno (insonnia)
- Debolezza
- Mancanza di coordinamento
- Formicolio di calore o rossore sotto la pelle
- Facile lividi o sanguinanti
- perdita di coordinamento
- formicolio o intorpidimento delle mani o dei piedi
- movimenti incontrollati o
- sintomi nuovi o peggioranti dell'insufficienza cardiaca (come caviglia o il gonfiore delle gambe aumentava la stanchezza aumentava la mancanza di respiro quando sdraiato).
Dosaggio per cordarone?
Il dosaggio varia a seconda dell'indicazione. Il dosaggio raccomandato per il trattamento iniziale è di 800 a 1600 mg/die fino alla risposta iniziale terapeutica.
Quali sostanze o integratori di farmaci interagiscono con il cordarone?
Il cordarone può interagire con
- Beta-bloccanti e alcuni bloccanti del canale di calcio che si traducono in una frequenza cardiaca eccessivamente lenta o un blocco nella conduzione dell'impulso elettrico attraverso il cuore.
- Il cordarone aumenta i livelli ematici della fenitoina e della procainamide della flecainide di digossina.
- Cordarone interagisce con Warfarin e aumenta il rischio di sanguinamento.
Cordarone durante la gravidanza e l'allattamento
L'amiodarone può interagire con la simvastatina atorvastatina e la lovastatina che aumentano il rischio di gravi guasti ai muscoli e insufficienza renale o malattia epatica. Il cordarone è dannoso per il feto e per i neonati.
- Non dovrebbe essere somministrato durante la gravidanza e le donne non dovrebbero allattare durante l'assunzione di cordarone.
Ulteriori informazioni
Il nostro Centro farmacologico a effetti collaterali Cordarone fornisce una visione completa delle informazioni disponibili sui farmaci sui potenziali effetti collaterali quando si assume questo farmaco.
Informazioni sui farmaci FDA
- Descrizione del farmaco
- Indicazioni
- Effetti collaterali
- Interazioni farmacologiche
- Avvertimenti
- Overdose
- Farmacologia clinica
- Guida ai farmaci
AVVERTIMENTO
Tossicità epatica polmonare e cardiaca
Il cordarone è destinato all'uso solo nei pazienti con aritmie pericolose per la vita indicate perché il suo uso è accompagnato da una tossicità sostanziale [vedi Indicazioni e utilizzo ].
Il cordarone può causare tossicità polmonare (pneumonite da ipersensibilità o polmonite interstiziale/alveolare) che ha provocato una malattia clinicamente manifest a tassi fino al 17% in alcune serie di pazienti. La tossicità polmonare è stata fatale circa il 10% delle volte. Ottenere una radiografia del torace basale e test di funzione polmonare, compresa la capacità di diffusione quando viene avviata la terapia con cordarone. Ripeti la storia dell'esame fisico e la radiografia del torace ogni 3-6 mesi [vedi avvertimenti e PRECAUZIONI ].
Il cordarone può causare epatossicità che può essere fatale. Ottenere transaminasi epatiche di base e periodiche e interrompere o ridurre la dose se l'aumento supera tre volte normale o raddoppia in un paziente con una linea di base elevata. Interrompere il cordarone se il paziente sperimenta segni o sintomi di lesioni epatiche cliniche [vedi avvertimenti e PRECAUZIONI ].
Il cordarone può esacerbare le aritmie. Iniziare il cordarone in un ambiente clinico in cui sono disponibili elettrocardiogrammi continui e rianimazione cardiaca [vedi avvertimenti e PRECAUZIONI ].
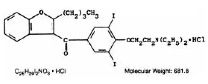
Descrizione per Cordarone
Il cordarone (amiodarone HCL) è un farmaco antiaritmico disponibile per la somministrazione orale come compresse con punteggi rosa contenenti 200 mg di amiodarone cloridrato. Gli ingredienti inattivi presenti sono l'amido povidone stearato di lattosio di lattosio a magnesio di silicio colloidale e FD
La formula strutturale è la seguente:
|
L'amiodarone HCl è una polvere cristallina da bianco a color crema. È leggermente solubile in acqua solubile in alcol e liberamente solubile in cloroformio. Contiene il 37,3% di iodio in peso.
Usi per Cordarone
Il cordarone è indicato per il trattamento della fibrillazione ventricolare ricorrente potenzialmente letale e della tachicardia emodinamicamente instabile per la vita negli adulti che non hanno risposto a dosi adeguate di altri antiaritmici disponibili o quando agenti alternativi non possono essere tollerati.
Dosaggio per cordarone
Il dosaggio deve essere individualizzato in base alla gravità dell'aritmia e della risposta. Utilizzare la dose più bassa efficace. Ottieni test di funzione polmonare a raggi X al torace basale e test di funzione tiroidea e aminotransferasi epatiche. Ipomagnesemia e ipocalcemia corretta ipomagnesemia prima di iniziare il trattamento
Dosaggio consigliato
Iniziare il trattamento con dosi di carico da 800 a 1600 mg/giorno fino a quando non si verifica la risposta terapeutica iniziale (di solito da 1 a 3 settimane). Una volta raggiunto un controllo aritmia adeguato o se gli effetti collaterali diventano prominenti, ridurre la dose di cordarone a 600 a 800 mg/die per un mese e quindi alla dose di mantenimento di solito 400 mg/die.
Amministrazione
Somministrare il cordarone costantemente per quanto riguarda i pasti [vedi Farmacologia clinica ]. Amministrazione of CORDARONE in divided doses with meals is suggested for total daily doses of 1000 mg or higher or when gastrointestinal intolerance occurs.
Come fornito
Forme di dosaggio e punti di forza
Compresse da 200 mg: compresse rosa rotonde con la faccia convessa con una C rialzata e contrassegnate su 200 su un lato con il retro punteggio e segnato Wyeth e 4188.
Archiviazione e maneggevolezza
Compresse Cordarone® (Amiodarone HCL) sono disponibili in bottiglie di 60 tablet come segue:
200 mg Ndc 0008-4188-04 compresse rosa rotonde con la faccia convessa con una C rialzata e contrassegnate su 200 su un lato con il retro punteggio e segnato Wyeth e 4188.
Tieniti strettamente chiuso.
Conservare a temperatura ambiente controllata da 20 ° a 25 ° C (da 68 ° a 77 ° F).
Proteggere dalla luce.
Dispensare in un contenitore stretto resistente alla luce.
Prodotto da Sanofi Winthrop Industrie 1 Rue de la Vierge 33440 Ambares France. Distribuito da: Wyeth Pharmaceuticals Inc. Una consociata di Pfizer Inc. Philadelphia PA 19101. Revisionato: ottobre 2018
Effetti collaterali for Cordarone
Le seguenti gravi reazioni avverse sono descritte in modo più dettagliato in altre sezioni delle informazioni di prescrizione:
- Tossicità polmonare [vedi AVVERTIMENTOS AND PRECAUZIONI ]
- Lesione epatica [vedi AVVERTIMENTOS AND PRECAUZIONI ]
- Peggiorato aritmia [vedi AVVERTIMENTOS AND PRECAUZIONI ]
- Compromissione visiva e perdita di visione [vedi AVVERTIMENTOS AND PRECAUZIONI ]
- Anomalie tiroidee [vedi AVVERTIMENTOS AND PRECAUZIONI ]
- Bradicardia [vedi AVVERTIMENTOS AND PRECAUZIONI ]
- Neuropatia periferica [vedi AVVERTIMENTOS AND PRECAUZIONI ]
- Fotosensibilità e scolorimento della pelle [vedi AVVERTIMENTOS AND PRECAUZIONI ]
Esperienza di studi clinici
Poiché gli studi clinici sono condotti in condizioni di reazione avverse ampiamente variabili osservate negli studi clinici di un farmaco non possono essere paragonati direttamente ai tassi negli studi clinici di un altro farmaco e potrebbero non riflettere i tassi osservati nella pratica.
Alla solita dose di mantenimento (400 mg/die) e sopra il cordarone provoca reazioni avverse in circa i tre quarti di tutti i pazienti con conseguente sospensione dal 7 al 18%.
Nelle indagini su quasi 5000 pazienti trattati in studi statunitensi aperti e in segnalazioni pubblicate di trattamento con cordarone le reazioni avverse più frequentemente che richiedono l'interruzione del cordarone includevano infiltrati polmonari o fibrosi parossistica di tachicicardia insufficienza cardiaca congestizia e aumento del fegato. Altri sintomi che causano interruzioni meno spesso includevano disturbi visivi fotosensibilità della pelle blu scolorimento ipertiroidismo e ipotiroidismo.
Il tè alla citronella è buono per te
I seguenti tassi di effetto collaterale si basano su uno studio retrospettivo su 241 pazienti trattati per 2-1515 giorni (media 441,3 giorni):
Tiroide
Comune : Ipertiroidismo ipotiroidismo.
Cardiovascolare
Comune : Insufficienza cardiaca congestizia Aritmia cardiaca SA Disfunzione del nodo.
Gastrointestinale
Molto comune : Vomito di nausea.
Comune : Dolore addominale dell'anoressia di costipazione.
Dermatologico
Comune : Dermatite solare/fotosensibilità.
Neurologico
Comune : Malaise e fatica tremore/movimenti involontari anormali Mancano di coordinazione andatura anormale/Atassia Le parestesie delle vertigini hanno ridotto i disturbi del sonno di insonnia libido.
Oftalmico
Comune : Disturbi visivi.
Epatico
Comune : Test epatici anormali test epatici non specifici.
Respiratorio
Comune : Infiammazione polmonare o fibrosi.
Altro
Comune : Arrossamento del gusto anormale e dell'odore di edema edema anormale di coagulazione della coagulazione della coagulazione.
Insolito : Scolorimento della pelle blu eruzione ecchimosi spontanea ecchi di alopecia ipotensione e anomalie della conduzione cardiaca.
Esperienza post -marketing
Le seguenti reazioni avverse sono state identificate durante l'uso post-approvazione del cordarone. Poiché queste reazioni sono riportate volontariamente da una popolazione di dimensioni incerte, non è sempre possibile stimare in modo affidabile la loro frequenza o stabilire una relazione causale con l'esposizione ai farmaci.
Ematologico : anemia emolitica anemia aplastica pancytopenia neutropenia trombocitopenia agranulocitosi granuloma.
Immune : reazione anafilattica/anafilattoide (incluso lo shock).
Neurologico : Pseudotumor cerebri sintomi parkinsoniani come Akinesia e bradykinesia (a volte reversibile con l'interruzione della terapia) Polyelinizzazione della polineuropatia.
Psichiatrico : Disorientamento dello stato confusionali di allucinazione Delirium.
Cardiaco : arresto del seno ipotensione (a volte fatale).
Respiratorio : polmonite eosinofila sindrome da distress respiratorio acuto nell'impostazione post-operatoria bronchospasmo bronchiolite obliterans organizzando la polmonite emorragia alveolare polmonare pleurite.
Gastrointestinale : pancreatite acuta di pancreatite.
Epatico : epatite colestatica epatite cirrosi.
Diclofenac Sodio Rilascio ritardato di 50 mg
Disturbi della pelle e dei tessuti sottocutanei : Necrolisi epidermica tossica di orticaria (talvolta fatale) Eritema multiforme di Stevens-Johnson Sindrome esfoliativa Dermatite dermatite bernastica con eosinofilia e sintomi sistemici (abito) Eczema prurito prurito Sindrome di LuPus-Lipus.
Muscoloscheletrico : Rhabdomiolisi della debolezza muscolare della miopatia.
Renale : insufficienza renale per insufficienza renale. Insufficienza renale renale.
Riproduttivo : impotenza di epididimite.
Corpo nel suo insieme : fauce secca.
Endocrino e metabolico : noduli tiroidei/ sindrome del cancro alla tiroide della secrezione di ormone antidiuretico inappropriato (SIADH).
Vascolare : vasculite.
Interazioni farmacologiche for Cordarone
A causa della lunga emivita di Amiodarone, si aspettano che le interazioni farmacologiche persista per settimane a mesi dopo l'interruzione dell'amiodarone.
Le interazioni farmacologiche con amiodarone sono descritte nella Tabella 1 di seguito.
Tabella 1: interazioni farmacologiche amiodarone
| Classe/nome di droga concomitante | Esempi | Commento clinico |
| Interazioni farmacodinamiche | ||
| Drughi prolunganti QT | class I and III antiarrhythmics lithium certain phenothiazines tricyclic antidepressants certain fluoroquinolone and macrolide antibiotics azole antifungals halogenated inhalation anesthetic agents | Aumento del rischio di torsade de pointes. Evita l'uso concomitante. |
| Cronotropi negativi | Digossin beta bloccanti verapamil diltiazem clonidina ivabradina | Potenzia gli effetti elettrofisiologici ed emodinamici dell'amiodarone con conseguente arresto sinusale bradicardia e blocco AV. Monitorare la frequenza cardiaca. |
| Interazioni farmacocinetiche | ||
| Inibitori del CYP450 | succo di pompelmo alcuni antibiotici di fluorochinolone e macrolide Antifungini azolo cimetidina Alcuni inibitori della proteasi | Aumento dell'esposizione all'amiodarone. Evita l'uso concomitante. |
| Induttori del CYP450 | L'erba di San Giovanni | Livelli sierici di amiodarone ridotti. |
| Ciclosporina | Sono stati riportati un aumento dei livelli plasmatici di ciclosporina con conseguente elevata creatinina nonostante la riduzione della dose di ciclosporina. Monitorare i livelli di farmaci ciclosporina e la funzione renale con uso concomitante. | |
| Colestyramina | Livelli sierici di amiodarone ridotti. | |
| Antiaritmica | Quinidina procainamide Flecainide | Riserva un uso concomitante per i pazienti che non rispondono a un singolo agente. Metabolismo antiaritmico inibito dall'amiodarone. Avvia l'antiarritmica a una dose inferiore al solito e monitora attentamente il paziente. Ridurre i livelli di dose di antiaritmico precedentemente somministrato dal 30 al 50% per diversi giorni dopo la transizione all'amiodarone orale. Valuta la necessità continua di antiarritmico. |
| Digossina | Aumento della concentrazione di digossina. Ridurre la digossina di metà o interrompere. Se continua il monitor per prove di tossicità. | |
| HMG-CoA reduttasi inibitori | Simvastatin Lovastatin Atorvastatin | Aumento della concentrazione plasmatica dell'inibitore HMG-CoA reduttasi. Limitare la dose di lovastatina a 40 mg. Limitare la dose amministrata in concomitanza di Simvastatina a 20 mg. Potrebbe essere richiesta una dose di partenza inferiore di altri substrati CYP3A4. |
| Warfarin | Potenzia la risposta anticoagulante e può provocare sanguinamento grave o fatale. La somministrazione di co -somministrazione aumenta il tempo di protrombina del 100% dopo 3-4 giorni. Ridurre la dose di warfarin da un terzo a metà e monitorare i tempi di protrombina. | |
| Phable | Aumento dei livelli di fenitoina allo stato stazionario. Monitorare i livelli di fenitoina. | |
| Epatite C Attirale diretta | Sofosbuvir | Casi di bradyarritmia sintomatica che richiedono inserimento di pacemaker sono stati riportati in pazienti con amiodarone di mantenimento orale che hanno iniziato la terapia con sofosbuvir. |
| Substrato CYP3A | lidocaina | Il seno bradicardia è stato riportato con amiodarone orale in combinazione con la lidocaina somministrata per l'anestesia locale. Monitorare la frequenza cardiaca. Potrebbe essere necessaria una dose di partenza inferiore di lidocaina. |
| Substrato CYP3A | fentanil | Il fentanil in combinazione con l'amiodarone può causare bradicardia ipotensione e una riduzione della gittata cardiaca. |
Avvertimenti per Cordarone
Incluso come parte del PRECAUZIONI sezione.
Precauzioni per Cordarone
Persistenza di effetti avversi
A causa della lunga emivita di amiodarone (da 15 a 142 giorni) e del suo metabolita attivo desetilamiodarone (da 14 a 75 giorni) le reazioni avverse e le interazioni farmacologiche possono persistere per diverse settimane dopo la discontinuazione dell'amiodarone [vedi Farmacologia clinica ].
Tossicità polmonare
Il cordarone può causare una sindrome clinica di tosse e dispnea progressiva accompagnata da dati di gallio radiografico funzionale e dati patologici coerenti con la tossicità polmonare. Tossicità polmonare secondaria al cordarone può derivare da tossicità indiretta o diretta come rappresentato dalla polmonite da ipersensibilità (inclusa la polmonite eosinofila) o rispettivamente la polmonite interstiziale/alveolare. I tassi di tossicità polmonare sono stati riportati fino al 17% ed è fatale in circa il 10% dei casi. Ottenere una radiografia del torace basale e test di funzione polmonare, compresa la capacità di diffusione quando viene avviata la terapia con cordarone. Ripetere la storia dell'esame fisico e della radiografia del torace ogni 3-6 mesi o se si verificano sintomi. Prendi in considerazione la terapia antiaritmica alternativa se il paziente sperimenta segni o sintomi di tossicità polmonare. Il prednisone da 40 a 60 mg/die rastremati per diverse settimane può essere utile nel trattamento della tossicità polmonare.
Sindrome da distress respiratorio per adulti (ARDS)
Sono stati segnalati eventi postoperatoriamente di ARDS in pazienti che hanno ricevuto terapia con cordarone che hanno subito una chirurgia cardiaca o non cardiaca. Sebbene i pazienti di solito rispondano bene alla vigorosa terapia respiratoria in rari casi, il risultato è stato fatale.
Epatico Injury
Gli aumenti asintomatici dei livelli di enzimi epatici sono visti frequentemente ma il cordarone può causare lesioni epatiche potenzialmente letali. L'istologia ha assomigliato a quella dell'epatite alcolica o della cirrosi. Ottenere transaminasi epatiche di base e periodiche. Se le transaminasi superano tre volte normali o raddoppiano in un paziente con un elevato interruzione di base o riduci la dose di cordarone, ottenere test di follow-up e trattare in modo appropriato.
Peggiorato aritmia
Il cordarone può esacerbare l'aritmia di presentazione in circa il 2-5% dei pazienti o causare una nuova tachicardia ventricolare di fibrillazione ventricolare aumentata resistenza alla cardioversione e alla tachicardia ventricolare polimorfica associata al prolungazione QTC (Torsade DE Punti [TDP).
La corretta ipomagnesemia e ipocalcemia di ipocalcemia prima di iniziare il trattamento con cordarone poiché questi disturbi possono esagerare il grado di prolungamento del QTC e aumentare il potenziale di TDP. Prestare particolare attenzione all'equilibrio di elettroliti e acido nei pazienti che presentano diarrea grave o prolungata o ricevere farmaci che colpiscono livelli di elettroliti come i lassativi dei diuretici i corticosteroidi sistemici o l'amfotericina B.
Compromissione visiva e perdita della visione
Neuropatia ottica e neurite ottica
I casi di neuropatia ottica e neurite ottica di solito con conseguente compromissione visiva e talvolta cecità permanente sono stati riportati in pazienti trattati con amiodarone e possono verificarsi in qualsiasi momento durante la terapia. Se i sintomi della compromissione visiva compaiono come cambiamenti nell'acuità visiva e diminuzioni nella visione periferica, considerare l'interruzione del cordarone e fare prontamente riferimento all'esame oftalmico. Durante la somministrazione di cordarone si raccomanda un esame oftalmico regolare tra cui la fonderuscopia e l'esame di lampada a fessura Reazioni avverse ].
Microdepositi corneali
I microdepositi corneali appaiono nella maggior parte degli adulti trattati con cordarone. Di solito sono distinguibili solo per esame di lampada a fessura, ma danno origine a sintomi come aloni visivi o visione offuscata in ben il 10% dei pazienti. I microdepositi corneali sono reversibili al momento della riduzione della dose o della cessazione del trattamento. I microdepositi asintomatici da soli non sono un motivo per ridurre il trattamento con dose o interrompere [vedi Reazioni avverse ].
Tiroide Abnormalities
Il cordarone inibisce la conversione periferica della tiroxina (T4) in triiodotironina (T3) e può causare un aumento dei livelli di tiroxina riduce i livelli di T3 e un aumento dei livelli di T3 inverso inattivo (RT3) nei pazienti clinicamente eutyroide. Il cordarone può causare l'ipotiroidismo (riportato fino al 10% dei pazienti) o ipertiroidismo (che si verifica in circa il 2% dei pazienti). Monitorare la funzione tiroidea prima del trattamento e periodicamente in seguito in particolare nei pazienti anziani e in qualsiasi paziente con una storia di gozzo di noduli tiroidei o altre disfunzioni tiroidee.
L'ipertiroidismo può indurre una svolta di aritmia. Se devono essere considerati nuovi segni di aritmia, è necessario prendere in considerazione la possibilità di ipertiroidismo. Farmati antitiroidei β-adrenergici bloccanti la terapia corticosteroide temporanea può essere necessaria per trattare i sintomi dell'ipertiroidismo. L'azione dei farmaci antitiroidei può essere ritardata nella tirotossicosi indotta da amiodarone a causa di quantità sostanziali di ormoni tiroidei preformati immagazzinati in ghiandola. La terapia con iodio radioattivo è controindicata a causa della bassa assorbimento di radioiodio associata all'ipertiroidismo indotto dall'amiodarone. L'ipertiroidismo indotto dal cordarone può essere seguito da un periodo transitorio di ipotiroidismo.
C'è un generico per Ranexa
L'ipotirodismo può essere primario o successivo alla risoluzione dell'ipertiroidismo indotto da amiodarone. L'ipotiroidismo grave e il coma di mixedema a volte sono stati riportati in associazione con la terapia con amiodarone. In alcuni pazienti clinicamente ipotiroidei trattati con amiodarone libera i valori dell'indice tiroxina possono essere normali. Gestisci l'ipotiroidismo riducendo la dose o interrompendo la supplementazione di centinaia di corde e ormone tiroideo.
Bradicardia
Il cordarone provoca la bradicardia sintomatica o l'arresto del seno con soppressione dei focolai di fuga nel 2-4% dei pazienti. Il rischio viene aumentato dai disturbi elettrolitici o dall'uso di antiaritmici concomitanti o cronotropi negativi [vedi Interazioni farmacologiche ]. Bradicardia may require a pacemaker per il controllo dei tassi.
Casi post -marketing di bradicardia sintomatica alcuni che richiedono un inserimento del pacemaker e almeno un fatale sono stati segnalati quando sono stati avviati idipasvir/sofosbuvir o sofosbuvir con simeprevir in pazienti su amiodarone. La bradicardia si è generalmente verificata entro poche ore o giorni, ma in alcuni casi presentata fino a 2 settimane dopo l'inizio antivirale trattamento. La bradicardia si è generalmente risolta dopo l'interruzione del trattamento antivirale. Il meccanismo per questo effetto è sconosciuto. Monitorare la frequenza cardiaca nei pazienti che assumono o si interrompe recentemente l'amiodarone quando si avvia il trattamento antivirale [vedi Interazioni farmacologiche ].
Dispositivi cardiaci impiantabili
Nei pazienti con defibrillatori impiantati o pacemaker la somministrazione cronica di farmaci antiaritmici può influire sulle soglie di stimolazione o defibrillazione. Pertanto, all'inizio e durante le soglie di stimolazione e defibrillazione del trattamento con amiodarone.
Tossicità fetale
Il cordarone può causare danni fetali quando somministrato a una donna incinta. L'esposizione fetale può aumentare il potenziale per gli effetti neurologici e di crescita della tiroide per la tiroide cardiaca in neonato [vedi Utilizzare in popolazioni specifiche ].
Neuropatia periferica
La somministrazione cronica del cordarone può portare a neuropatia periferica che potrebbe non risolvere quando il cordarone viene sospeso.
Fotosensibilità e scolorimento della pelle
Cordarone induce la fotosensibilizzazione in circa il 10% dei pazienti; Una certa protezione può essere offerta creme per la barriere del sole o vestiti protettivi. Durante il trattamento a lungo termine può verificarsi uno scolorimento grigio blu della pelle esposta. Il rischio può essere aumentato nei pazienti di carnagione equa o in quelli con eccessiva esposizione al sole. Qualche inversione di scolorimento può verificarsi dopo l'interruzione del farmaco.
Chirurgia
Agenti anestetici volatili
I pazienti in terapia con cordarone possono essere più sensibili agli effetti depressivi miocardici e alla conduzione di anestetici inalazionali alogenati.
Informazioni sulla consulenza del paziente
Consiglia al paziente di leggere l'etichettatura del paziente approvato dalla FDA ( Guida ai farmaci ).
Consiglia alle donne in gravidanza del potenziale rischio per un feto. Consiglia alle femmine del potenziale riproduttivo di informare il loro prescrittore di una gravidanza nota o sospetta [vedi Utilizzare in popolazioni specifiche ].
Consiglia alle donne che l'allattamento al seno non è raccomandato durante il trattamento con cordarone [vedi Utilizzare in popolazioni specifiche ].
Consiglia ai pazienti di evitare il succo di pompelmo e l'erba di San Giovanni.
Consiglia ai pazienti di cercare cure mediche se sperimentano i segni e i sintomi della tossicità polmonare che peggiora l'aritmia bradicardia compromissione visiva o ipo- e ipertiroidismo.
L'etichetta di questo prodotto potrebbe essere stata aggiornata. Per informazioni complete sulla prescrizione, visitare www.pfizer.com.
Tossicologia non clinica
Mutagenesi della carcinogenesi compromissione della fertilità
L'Amiodarone HCL è stato associato a un aumento statisticamente significativo dose nell'incidenza dei tumori tiroidei (adenoma follicolare e/o carcinoma) nei ratti. L'incidenza dei tumori tiroidei era maggiore del controllo al livello di dose più basso testato, cioè 5 mg/kg/giorno (circa 0,08 volte la dose di mantenimento umana massima raccomandata*).
Gli studi di mutagenicità (Ames micronucleo e test lisogenici) con cordarone erano negativi.
In uno studio in cui l'amiodarone HCL è stato somministrato ai ratti maschi e femmine a partire da 9 settimane prima dell'accoppiamento della fertilità ridotta a un livello di dose di 90 mg/kg/giorno (circa 1,4 volte la dose di mantenimento umana massima raccomandata*).
*600 mg in un paziente da 60 kg (dose rispetto a una base di superficie corporea)
Utilizzare in popolazioni specifiche
Gravidanza
Riepilogo del rischio
I dati disponibili dei rapporti post-marketing e delle serie di casi pubblicate indicano che l'uso di amiodarone nelle donne in gravidanza può aumentare il rischio di effetti avversi fetali, tra cui l'ipo e ipertiroidismo neonatale bradicardia anomalia neurodeview-sviluppo della nascita pretermine e la restrizione della crescita fetale. L'amiodarone e il suo metabolita desetilamiodarone (DEA) attraversano la placenta. Le aritmie sottostanti non trattate comprese le aritmie ventricolari durante la gravidanza rappresentano un rischio per la madre e il feto (vedi Considerazioni cliniche ). In animal studies administration of amiodarone to rabbits rats E mice during organogenesis resulted in embryofetal toxicity at doses less than the maximum recommended human maintenance dose (see Dati ). Advise pregnant women of the potential risk to a fetus.
Il rischio di background stimato di principali difetti alla nascita e aborto spontaneo per la popolazione indicata non è noto. Tutte le gravidanze hanno un rischio di fondo di perdita di difetti alla nascita o altri risultati avversi. Nella popolazione generale degli Stati Uniti il rischio di background stimato di gravi difetti alla nascita e aborto spontaneo nelle gravidanze clinicamente riconosciute è rispettivamente del 2% -4% e del 15% -20%.
Considerazioni cliniche
Rischio materno e embrione/o fetale associato alla malattia
L'incidenza della tachicardia ventricolare è aumentata e può essere più sintomatica durante la gravidanza. Le aritmie ventricolari si verificano più spesso nelle donne in gravidanza con cardiopatia congenita di cardiy cardiache di cardiopatia con cardii o prolasso della valvola mitrale. La maggior parte degli episodi di tachicardia sono iniziati da battiti ectopici e il verificarsi di episodi di aritmia può quindi aumentare durante la gravidanza a causa della maggiore propensione all'attività ectopica. Durante la gravidanza possono anche verificarsi aritmie innovative poiché i livelli di trattamento terapeutico possono essere difficili da mantenere a causa dell'aumento del volume di distribuzione e dell'aumento del metabolismo dei farmaci inerente allo stato incinta.
Reazioni avverse fetali/neonatali
È stato dimostrato che l'amiodarone e il suo metabolita attraversano la placenta. Effetti avversi fetali associati all'uso materno di amiodarone durante la gravidanza possono includere il prolungamento neonatale bradicardia QT e le extrasi ventricolari periodiche dell'ipotiroidismo neonatale (con o senza gozzo) hanno rilevato la funzione di distruzione o nella sede del neonato neurodico. Con lingua scritta e sviluppo motorio ritardato aritmetico e atassia jerk nistagmo con restrizione di crescita fetale della titolazione della testa sincrona e nascita prematura. Monitorare il neonato per segni e sintomi di disturbo tiroideo e aritmie cardiache.
Manodopera e consegna
Il rischio di aritmie può aumentare durante il travaglio e il parto. I pazienti trattati con cordarone devono essere monitorati continuamente durante il travaglio e il parto [vedi AVVERTIMENTOS AND PRECAUZIONI ].
Dati
Dati sugli animali
Nei ratti in gravidanza e conigli durante il periodo dell'organogenesi amiodarone HCl in dosi di 25 mg/kg/die (circa 0,4 e 0,9 volte rispettivamente la dose di mantenimento umana massima raccomandata*) non ha avuto effetti negativi sul feto. Nel coniglio 75 mg/kg/die (circa 2,7 volte la dose di mantenimento umana massima raccomandata*) ha causato aborti superiori al 90% degli animali. Nelle dosi di ratto di 50 mg/kg/giorno o più erano associate a un leggero spostamento dei testicoli e ad una maggiore incidenza di ossificazione incompleta di alcune ossa del cranio e digitali; A 100 mg/kg/die o più pesi corporei fetali sono stati ridotti; A 200 mg/kg/giorno si è verificata una maggiore incidenza di riassorbimento fetale. (Queste dosi nel ratto sono circa 0,8 1,6 e 3,2 volte la massima dose di mantenimento umana raccomandata*) Effetti avversi sulla crescita fetale e la sopravvivenza sono state notate anche in uno dei due ceppi di topi a una dose di 5 mg/kg/giorno (circa 0,04 volte la dose di mantenimento umana consigliata*).
*600 mg in un paziente da 60 kg (dosi rispetto a una base di superficie corporea)
Lattazione
Riepilogo del rischio
L'amiodarone e uno dei suoi principali metaboliti DEA sono presenti in latte materno tra il 3,5% e il 45% del dosaggio materno di peso dell'amiodarone. Esistono casi di ipotiroidismo e bradicardia nei neonati allattati, sebbene non sia chiaro se questi effetti siano dovuti all'esposizione all'amiodarone nel latte materno. L'allattamento al seno non è raccomandato durante il trattamento con cordarone [vedi AVVERTIMENTOS AND PRECAUZIONI ].
Femmine e maschi di potenziale riproduttivo
Infertilità
Sulla base degli studi sulla fertilità degli animali, il cordarone può ridurre la fertilità femmina e maschile. Non è noto se questo effetto è reversibile. [Vedere Tossicologia non clinica ].
Uso pediatrico
La sicurezza e l'efficacia del cordarone nei pazienti pediatrici non sono state stabilite.
Uso geriatrico
I soggetti normali di età superiore ai 65 anni mostrano autorizzazioni più basse e aumento dell'emivita di droga rispetto ai soggetti più giovani [vedi Farmacologia clinica ]. In general dose selection for an elderly patient should be cautious usually starting at the low end of the dosing range reflecting the greater frequency of decreased hepatic renal or cardiac function E of concomitant disease or other drug therapy.
Informazioni per overdose per Cordarone
Ci sono stati casi fatali di sovradosaggio del cordarone.
Monitorare il ritmo cardiaco del paziente e la pressione sanguigna e se la bradicardia ne deriva un agonista β-adrenergico o un pacemaker. Tratta ipotensione con perfusione tissutale inadeguata con agenti inotropi e vasopressori positivi. Né il cordarone né il suo metabolita sono dializzabili.
Controindicazioni per Cordarone
- Cardiogenico shock .
- Sindrome del seno malato Bradicardia atrioventricolare di secondo o terzo grado che porta alla sincope senza un pacemaker funzionante.
- L'ipersensibilità nota al farmaco o a uno qualsiasi dei suoi componenti, incluso lo iodio.
Farmacologia clinica for Cordarone
Meccanismo d'azione
Amiodarone is considered a class III antiarrhythmic drug but it possesses electrophysiologic characteristics of all four Vaughan Williams classes. Like class I drugs amiodarone blocks sodium channels at rapid pacing frequencies and like class II drugs amiodarone exerts a noncompetitive antisympathetic action. One of its main effects with prolonged administration is to lengthen the cardiac action potential a class III effect. The negative chronotropic effect of amiodarone in nodal tissues is similar to the effect of class IV drugs. In addition to blocking sodium channels amiodarone blocks myocardial potassium channels which contributes to slowing of conduction and prolongation of refractoriness. The antisympathetic action and the block of calcium and potassium channels are responsible for the negative dromotropic effects on the sinus node and for the slowing of conduction and prolongation of refractoriness in the atrioventricular (AV) node. Its vasodilatory action can decrease cardiac workload and consequently myocardial oxygen consumption.
Il cordarone prolunga la durata del potenziale d'azione di tutte le fibre cardiache causando al contempo una riduzione minima di DV/DT (velocità massima a testa del potenziale d'azione). Il periodo refrattario è prolungato in tutti i tessuti cardiaci. Il cordarone aumenta il periodo refrattario cardiaco senza influenzare il potenziale di membrana a riposo, tranne nelle cellule automatiche in cui la pendenza del prepotenziale viene ridotta generalmente riducendo l'automaticità. Questi effetti elettrofisiologici si riflettono in una riduzione del tasso di seno del 15 al 20% ha aumentato intervalli di PR e QT di circa il 10% di circa il 10% lo sviluppo delle onde U e le variazioni nel contorno delle onde T. Questi cambiamenti non dovrebbero richiedere l'interruzione del cordarone in quanto sono prove della sua azione farmacologica, sebbene il cordarone possa causare marcata bradicardia sinusale o arresto del seno e blocco cardiaco [vedi AVVERTIMENTOS AND PRECAUZIONI ].
Emodinamica
Negli studi sugli animali e dopo la somministrazione endovenosa nell'uomo cordarone rilassa la muscolatura liscia vascolare riduce la resistenza vascolare periferica (post -carico) e aumenta leggermente l'indice cardiaco. Dopo il dosaggio orale, tuttavia il cordarone non produce cambiamenti significativi nella frazione di eiezione ventricolare sinistra (LVEF) anche nei pazienti con LVEF depresso. Dopo un dosaggio endovenoso acuto nell'uomo cordarone può avere un lieve effetto inotropico negativo.
Farmacodinamica
Non esiste una relazione consolidata tra concentrazione plasmatica ed efficacia, ma sembra che le concentrazioni molto al di sotto di 1 mg/L siano spesso inefficaci e che i livelli superiori a 2,5 mg/L non siano generalmente necessari. Le misurazioni del plasma-calzamento possono essere utilizzate per identificare i pazienti i cui livelli sono insolitamente bassi e che potrebbero beneficiare di un aumento della dose o insolitamente alti e chi potrebbe avere una riduzione del dosaggio nella speranza di ridurre al minimo gli effetti collaterali.
Gli effetti sui ritmi anormali non sono visti prima di 2-3 giorni e di solito richiedono 1-3 settimane anche quando viene utilizzata una dose di carico. Potrebbe esserci un continuo aumento in vigore per periodi più lunghi. Vi sono prove che il tempo di effetto è più breve quando viene utilizzato un regime di dose di carico.
Coerentemente con il lento tasso di eliminazione che gli effetti antiaritmici persistono per settimane o mesi dopo che il cordarone è stato sospeso, ma il tempo di recidiva è variabile e imprevedibile. In generale, quando il farmaco viene ripreso dopo che la recidiva del controllo dell'aritmia viene stabilita relativamente rapidamente rispetto alla risposta iniziale presumibilmente perché i depositi di tessuti non sono stati completamente esauriti.
Farmacocinetica
Assorbimento
Segue la somministrazione orale nell'uomo, il cordarone viene assorbito lentamente e variabile. La biodisponibilità del cordarone è di circa il 50%. Le concentrazioni plasmatiche massime sono raggiunte da 3 a 7 ore dopo una singola dose. Le concentrazioni plasmatiche con dosaggio cronico da 100 a 600 mg/die sono proporzionali approssimativamente dose con un aumento medio di 0,5 mg/L per ogni 100 mg/die. Questi mezzi includono tuttavia una notevole variabilità individuale.
Il cibo aumenta la velocità e l'estensione dell'assorbimento del cordarone. Gli effetti del cibo sulla biodisponibilità del cordarone sono stati studiati in 30 soggetti sani che hanno ricevuto una singola dose di 600 mg immediatamente dopo aver consumato un pasto ricco di grassi e dopo un digiuno durante la notte. L'area sotto la curva del tempo di concentrazione plasmatica (AUC) e la concentrazione plasmatica di picco (CMAX) dell'amiodarone sono aumentate rispettivamente di 2,3 (intervallo da 1,7 a 3,6) e 3,8 (intervallo da 2,7 a 4,4) in presenza di alimenti. Il cibo ha anche aumentato il tasso di assorbimento di amiodarone che diminuisce il tempo alla concentrazione plasmatica del picco (TMAX) del 37%. L'AUC medio e il CMAX medio del principale metabolita della DEA di amiodarone sono aumentati del 55% (intervallo da 58 al 101%) e 32% (intervallo da 4 a 84%), ma non vi è stato alcun cambiamento nel TMAX in presenza di alimenti.
Distribuzione
Il cordarone è altamente legato alle proteine (circa il 96%). Il cordarone ha un volume di distribuzione molto grande ma variabile con una media di circa 60 L/kg a causa dell'ampio accumulo in vari siti, in particolare il tessuto adiposo e gli organi altamente perfusi come il polmone e la milza epatica.
One major metabolite of CORDARONE DEA has been identified in man; it accumulates to an even greater extent in almost all tissues. No data are available on the activity of DEA in humans but in animals it has significant electrophysiologic and antiarrhythmic effects generally similar to amiodarone itself. DEA's precise role and contribution to the antiarrhythmic activity of oral amiodarone are not certain. The development of maximal ventricular class III effects after oral CORDARONE administration in humans correlates more closely with DEA accumulation over time than with amiodarone accumulation.
Eliminazione
A seguito di somministrazione a dose singola in 12 soggetti sani, il Cordarone ha mostrato farmacocinetica multi-compartimentazione con un'emivita di eliminazione del terminale apparente medio apparente di 58 giorni (intervallo da 15 a 142 giorni) per amiodarone e 36 giorni (intervallo da 14 a 75 giorni) per il metabolite attivo (DEA). Nei pazienti a seguito di l'interruzione della terapia orale cronica, è stato dimostrato che il cordarone ha dimostrato un'eliminazione bifasica con una riduzione iniziale del 50% dei livelli plasmatici dopo 2,5 a 10 giorni. Una fase di plasmaeliminazione terminale molto più lenta mostra un'emivita del composto genitore che va da 26 a 107 giorni con una media di circa 53 giorni e la maggior parte dei pazienti nell'intervallo da 40 a 55 giorni. In assenza di un periodo di dose di carico, le concentrazioni plasmatiche allo stato stazionario a un dosaggio orale costante sarebbero quindi raggiunti tra 130 e 535 giorni con una media di 265 giorni. Per il metabolita l'emivita media della plasmaeliminazione era di circa 61 giorni. Questi dati probabilmente riflettono un'eliminazione iniziale del farmaco da tessuto ben perfuso (la fase di emivita da 2,5 a 10 giorni) seguita da una fase terminale che rappresenta un'eliminazione estremamente lenta da compartimenti di tessuto scarsamente perfuso come il grasso.
La notevole variazione intersagetto in entrambe le fasi di eliminazione, nonché l'incertezza su quale compartimento è fondamentale per l'effetto del farmaco richiede attenzione alle risposte individuali una volta ottenuto il controllo dell'aritmia con le dosi di carico perché la dose di mantenimento corretta è determinata in parte dai tassi di eliminazione. Individuare le dosi di manutenzione del cordarone [vedi Dosaggio e amministrazione ].
Metabolismo
L'amiodarone è metabolizzato nella DEA dal gruppo enzimatico del citocromo P450 (CYP) specificamente CYP3A e CYP2C8. L'isoenzima del CYP3A è presente sia nel fegato che nell'intestino. L'amiodarone e la DEA in vitro presentano un potenziale per inibire il CYP2C9 CYP2C19 CYP2D6 CYP3A CYP2A6 CYP2B6 e CYP2C8. L'amiodarone e la DEA hanno anche un potenziale per inibire alcuni trasportatori come la glicoproteina P e il trasportatore di cationi organici (OCT2).
Escrezione
L'amiodarone viene eliminato principalmente dal metabolismo epatico e dall'escrezione biliare e vi è un escrezione trascurabile di amiodarone o DEA nelle urine. Né l'amiodarone né la DEA sono dializzabili.
Popolazioni specifiche
Effetto dell'età
I soggetti normali di età superiore ai 65 anni mostrano autorizzazioni più basse (circa 100 ml/ora/kg) rispetto ai soggetti più giovani (circa 150 ml/ora/kg) e un aumento di T e½ da circa 20 a 47 giorni.
Renale Impairment
Renale impairment does not influence the pharmacokinetics of amiodarone or DEA.
Epatico Impairment
Dopo una singola dose di amiodarone per via endovenosa a pazienti cirrotici si osserva significativamente i valori di concentrazione medio per la DEA, ma i livelli medi di amiodarone sono invariati.
speakeasy di New York
Cardiaco Disease
Nei pazienti con grave disfunzione ventricolare sinistra, la farmacocinetica dell'amiodarone non è significativamente modificata ma l'eliminazione terminale T½ della DEA è prolungata.
Sebbene non sia stato definito alcun aggiustamento del dosaggio per i pazienti con anomalie epatiche renali o cardiache durante il trattamento cronico con monitoraggio clinico di amiodarone orale dell'amiodarone è prudente per i pazienti anziani e quelli con grave disfunzione ventricolare sinistra.
Interazioni farmacologiche
Effetti di altri agenti sull'amiodarone
Succo di pompelmo: il succo di pompelmo somministrato a volontari sani ha aumentato l'amiodarone AUC del 50% e CMAX dell'84% e una riduzione della DEA a concentrazioni non quantificabili.
La cimetidina inibisce il CYP3A e può aumentare i livelli sierici di amiodarone.
Colestyramina reduces enterohepatic circulation of amiodarone thereby increasing its elimination. This results in reduced amiodarone serum levels E half-life.
Effetti dell'amiodarone sugli agenti
Substrato CYP3As
L'amiodarone assunto in concomitanza con la chinidina aumenta la concentrazione sierica di chinidina del 33% dopo due giorni. L'amiodarone assunto in concomitanza con la procainamide per meno di sette giorni aumenta le concentrazioni plasmatiche di procainamide e N-acetil procainamide rispettivamente del 55% e del 33%.
Loratadina Un antistaminico non direttivo viene metabolizzato principalmente dal CYP3A e il suo metabolismo può essere inibito dall'amiodarone.
Metabolismoof lidocaina può essere inibito dall'amiodarone.
Ciclofosfamide è un profarmaco metabolizzato dal CYP450 incluso il CYP3A a un metabolita attivo. Il metabolismo della ciclofosfamide può essere inibito dall'amiodarone.
Clopidogrel Un profarmaco di thienopiridina inattivo viene metabolizzato nel fegato dal CYP3A a un metabolita attivo. È stata riportata una potenziale interazione tra clopidogrel e amiodarone con conseguente inefficace inibizione dell'aggregazione piastrinica.
Antibiotici macrolide/chetolide
L'amiodarone può inibire il metabolismof macrolide/antibiotici chetolidi (ad eccezione di azitromicina) e farmaci antifungini azoli sistemici.
Substrati p-glicoproteine
L'amiodarone assunto in concomitanza con la digossina aumenta la concentrazione sierica di digossina del 70% dopo un giorno.
Dabigatran etexilate Se assunto in concomitanza con l'amiodarone orale può provocare un'elevata concentrazione sierica di dabigatran.
Destrometorfano è un substrato sia per CYP2D6 che per CYP3A. L'amiodarone inibisce il CYP2D6. La somministrazione di amiodarone orale cronico (> 2 settimane) compromette il metabolismo di destrometorfano può portare ad un aumento delle concentrazioni sieriche.
Informazioni per il paziente per Cordarone
Cordarone®
(Kor-du-ron)
(amiodarone) compresse
Quali sono le informazioni più importanti che dovrei sapere su Cordarone?
Il cordarone può causare gravi effetti collaterali che possono portare alla morte tra cui:
- problemi polmonari
- Problemi epatici
- peggiorare i problemi del battito cardiaco
Chiama il tuo medico o ottieni subito assistenza medica se hai uno dei seguenti sintomi durante il trattamento con Cordarone:
- Problemi a respirare la mancanza di respiro del respiro che tosse il dolore toracico che sputa il sangue o la febbre
- Nausea o vomito l'urina marrone o di colore scuro si sentono più stanchi del solito ingiallimento della pelle o dei bianchi dei tuoi occhi ( ittero ) o dolore all'area dello stomaco superiore destro
- martellare il cuore che salta un battito che batte velocemente o si senti lentamente leggero o se svenirai
- Problemi di visione tra cui la visione sfocata Vedi aloni o occhi diventare sensibili alla luce. Dovresti avere esami oculistici regolari prima e durante il trattamento con Cordarone.
Cordarone dovrebbe essere avviato in ospedale in modo che le condizioni mediche possano essere attentamente monitorate.
Il cordarone dovrebbe essere usato solo per trattare le persone a cui sono stati diagnosticati problemi cardiaci potenzialmente letali chiamati aritmie ventricolari quando altri trattamenti non hanno funzionato o non puoi tollerarle.
Il cordarone può causare altri gravi effetti collaterali. Vedi quali sono i possibili effetti collaterali del cordarone? Se si ottiene gravi effetti collaterali durante il trattamento, potresti aver bisogno di fermare Cordarone che la tua dose cambia o ricevi cure mediche. Parla con il tuo medico prima di smettere di prendere Cordarone.
Potresti ancora avere effetti collaterali dopo aver fermato Cordarone perché il medicinale rimane nel tuo corpo per mesi dopo che il trattamento è stato fermato.
Dovresti avere regolari test del sangue raggi X prima e durante il trattamento con Cordarone per verificare gli effetti collaterali gravi. Dovresti anche avere test di funzionalità polmonare prima di iniziare il trattamento con Cordarone.
Cos'è Cordarone?
Il cordarone è un medicinale di prescrizione usata per trattare le persone a cui è stata diagnosticata i problemi cardiaci potenzialmente letali chiamati aritmie ventricolari quando altri trattamenti non hanno funzionato o non è possibile tollerarle. Non è noto se il cordarone è sicuro ed efficace nei bambini.
Chi non dovrebbe prendere Cordarone?
Non prendere Cordarone se tu:
- avere un grave problema cardiaco chiamato shock cardiogenico
- avere alcuni tipi di condizioni cardiache chiamate blocco cardiaco con o senza una frequenza cardiaca lenta
- Avere una frequenza cardiaca lenta con vertigini o vertigini e non hai un pacemaker impiantato
- sono allergici allo iodio amiodarone o a qualsiasi altro ingrediente nel cordarone. Vedi la fine di questa guida ai farmaci per un elenco completo di ingredienti in Cordarone.
Prima di prendere Cordarone racconta al tuo operatore sanitario su tutte le condizioni mediche, incluso se tu:
- avere problemi polmonari o respiratori
- avere problemi epatici
- avere o avere problemi alla tiroide
- Avere una frequenza cardiaca lenta o problemi di pressione sanguigna
- avere diarrea o avere la diarrea per un lungo periodo di tempo
- sono stati detto che hai bassi livelli di magnesio di potassio o calcio nel sangue
- avere un pacemaker o defribrillatore impiantati
- Se prevedi di sottoporsi a un intervento chirurgico con anestesia generale
- sono incinta o prevedono di rimanere incinta. Cordarone può danneggiare il tuo bambino non ancora nato. Di 'subito al tuo operatore sanitario se rimani incinta durante il trattamento con Cordarone. Cordarone può rimanere nel tuo corpo per mesi dopo l'arresto del trattamento.
- stanno allattando o pianificano di allattare. Cordarone può passare nel latte materno e può danneggiare il tuo bambino. Non dovresti alimentare al seno durante l'assunzione di Cordarone. Cordarone può rimanere nel tuo corpo per mesi dopo l'arresto del trattamento. Parla con il tuo operatore sanitario del modo migliore per nutrire il tuo bambino durante questo periodo.
Dì al tuo operatore sanitario di tutti i medicinali che prendi, tra cui prescrizione e medicine da banco vitamine e integratori a base di erbe. Cordarone e alcuni altri medicinali possono influenzare l'uno con l'altro e causare gravi effetti collaterali. Puoi chiedere al farmacista un elenco di medicinali che interagiscono con Cordarone.
Come dovrei prendere Cordarone?
- Quando vieni dimesso dall'ospedale, prendi Cordarone esattamente come il medico ti dice di prenderlo.
- Il tuo operatore sanitario ti dirà quanto Cordarone prendere e quando prenderlo.
- Il tuo operatore sanitario può cambiare la tua dose di cordarone se necessario se il ritmo cardiaco è controllato o se hai determinati effetti collaterali. Il tuo operatore sanitario dovrebbe monitorarti attentamente quando la dose di cordarone viene modificata.
- Prendi la tua dose di cordarone allo stesso modo ogni volta con o senza cibo.
- Se prendi troppo Cordarone chiama il tuo medico o vai subito al pronto soccorso dell'ospedale più vicino. Se ti perdi una dose aspetta e prendi la tua prossima dose al tuo tempo normale. Non prendere due dosi allo stesso modo. Continua con la tua successiva dose regolarmente programmata.
Cosa dovrei evitare durante l'assunzione di Cordarone?
- Evita di bere succo di pompelmo durante il trattamento con cordarone. Bere il succo di pompelmo con cordarone può aumentare la quantità di cordarone nel sangue e questo può portare a effetti collaterali.
- Il cordarone può rendere la pelle sensibile alla luce solare. Potresti ottenere gravi scottature solari. Usa la protezione solare e indossa un cappello e abiti che coprono la pelle per proteggerti se devi essere alla luce del sole. Parla con la tua assistenza sanitaria se ricevi una scottatura. Vedi i problemi della pelle nella sezione Guida ai farmaci Quali sono i possibili effetti collaterali del cordarone? sotto.
Quali sono i possibili effetti collaterali del cordarone?
Coradarone può causare gravi effetti collaterali tra cui:
- Vedere Quali sono le informazioni più importanti che dovrei sapere su Cordarone?
- Problemi nervosi. Il cordarone può causare problemi nervosi. Chiama il tuo operatore sanitario se si sviluppano sintomi di problemi nervosi tra cui: una sensazione di spille e aghi o intorpidimento nelle gambe delle mani o i piedi di debolezza muscolare non controllata cattiva coordinazione o difficoltà a camminare.
- Problemi della pelle. Il cordarone può far sì che la pelle sia più sensibile al sole o trasformi un colore grigio-bluastro. Le persone che hanno una pelle chiara o persone che hanno molta esposizione al sole possono essere più a rischio per questi problemi della pelle. Parte del colore della pelle grigio-bluastro può tornare alla normalità dopo aver fermato il cordarone.
- Tiroide problems. Il cordarone può farti ridurre la funzione tiroidea (ipotiroidismo) che a volte può essere grave o una tiroide iperattiva (ipertiroidismo) che può essere grave.
- Se si sviluppa una ridotta funzione tiroidea durante il trattamento con Cordarone, il tuo operatore sanitario potrebbe essere necessario ridurre la dose o fermare il trattamento con Cordarone e possibilmente prescrivere medicine per sostituire l'ormone tiroideo.
- Una tiroide iperattiva può farti produrre troppo ormone tiroideo. Puoi avere battiti cardiaci anormali anche mentre ricevi Cordarone. Il tuo operatore sanitario può prescrivere determinati medicinali per curare la tiroide iperattiva. Chiama il tuo operatore sanitario se ricevi battiti cardiaci anormali durante il trattamento con Cordarone. Ciò può significare che hai una tiroide iperattiva.
- Il tuo operatore sanitario dovrebbe eseguire test per controllare la funzione della tiroide prima di iniziare e durante il trattamento con Cordarone.
- Chiama il tuo medico se si sviluppa uno dei seguenti sintomi di un problema alla tiroide durante il trattamento con Cordarone:
- debolezza
- Perdita di peso o aumento di peso
- intolleranza al calore o al freddo
- diradamento dei capelli
- sudorazione
- Cambiamenti nei periodi mestruali
- gonfiore del tuo collo (gozzo)
- nervosismo
- irritabilità
- irrequietezza
- diminuzione della concentrazione
- Sentirsi depresso (negli anziani)
- tremore
Gli effetti collaterali più comuni del cordarone includono:
- problemi polmonari
- problemi di battito cardiaco
- problemi cardiaci
- Problemi epatici
Il cordarone può influire sulla fertilità nei maschi e nelle femmine. Non è noto se gli effetti sono reversibili. Parla con il tuo medico se hai dubbi sulla fertilità.
Questi non sono tutti i possibili effetti collaterali del cordarone. Per ulteriori informazioni chiedi al proprio medico o farmacista.
Chiama il medico per consigli medici sugli effetti collaterali. È possibile segnalare gli effetti collaterali alla FDA al numero 1-800-FDA-1088.
Come dovrei archiviare Cordarone?
- Conservare il cordarone a temperatura ambiente da 20 ° a 25 ° C (da 68 ° a 77 ° F).
- Tenere il cordarone in un contenitore strettamente chiuso e tenere il cordarone fuori dalla luce.
Mantieni il cordarone e tutti i medicinali fuori dalla portata dei bambini.
Informazioni generali sull'uso sicuro ed efficace di Cordarone
Le medicine sono talvolta prescritte a fini diversi da quelli elencati in una guida ai farmaci. Non utilizzare Cordarone per una condizione per la quale non è stato prescritto. Non dare Cordarone ad altre persone anche se hanno gli stessi sintomi che hai. Potrebbe danneggiare loro. Puoi chiedere informazioni al farmacista o al medico su Cordarone che è scritto per gli operatori sanitari.
Quali sono gli ingredienti di Cordarone?
Ingrediente attivo: amiodarone hcl
è un buon citrato di magnesio per te
Ingredienti inattivi: Amido Povidone stearato di lattosio in lattosio di biossido di silicio colloidale e FD
Questa guida ai farmaci è stata approvata dalla Food and Drug Administration degli Stati Uniti.