Le Informazioni Presenti Sul Sito Non Costituiscono Consulenza Medica. Non Vendiamo Nulla. L'Accuratezza Della Traduzione Non È Garantita. Disclaimer
Penicillini, amino
Augmentin Xr
Riepilogo della droga
Cos'è Augmentin XR?
Augmentin Xr ( amoxicillina /Clavulante potassio) compresse di rilascio esteso è una combinazione di un inibitore antibiotico e di b-lattamasi indicato per i pazienti con polmonite acquisita dalla comunità o sinusite batterica acuta. Augmentin XR è disponibile in forma generica.
Quali sono gli effetti collaterali di Augmentin XR?
Augmentin XR may cause serious side effects including:
- forte mal di stomaco
- diarrea che è acquosa o sanguinosa
- pelle pallida o ingiallita
- urina di colore scuro
- febbre
- confusione
- debolezza
- perdita di appetito
- Dolori di stomaco superiore
- Ingialcare la pelle o gli occhi (ittero)
- Facile lividi o sanguinanti
- poca o nessuna minzione
- mal di gola
- gonfiore nel viso o nella lingua
- bruciare negli occhi e
- Il dolore della pelle seguito da un'eruzione cutanea rossa o viola che si diffonde (specialmente in faccia o nella parte superiore del corpo) e provoca blister e peeling
Ottieni subito assistenza medica se hai uno qualsiasi dei sintomi sopra elencati.
Gli effetti collaterali di Augmentin XR includono:
- diarrea
- gas
- dolori di stomaco
- nausea
- vomito
- mal di testa
- eruzione cutanea o prurito
- patch bianchi in bocca o gola o
- infezione da lievito vaginale (prurito o scarico).
Cerca cure mediche o chiama il 911 contemporaneamente se hai i seguenti gravi effetti collaterali:
- Sintomi di occhiali gravi come la perdita di visione improvvisa del tunnel della visione sfocata Dolore alla visione o gonfiore o vedere aloni attorno alle luci;
- Sintomi cardiaci gravi come battiti cardiaci irregolari o martellanti veloci; svolazzando nel petto; fiato corto; e improvviso vertigini giuria o svenuta;
- Grave mal di testa confusione Il braccio del linguaggio bloccato o la debolezza delle gambe problemi perdite perdita di coordinamento sentendoti instabili muscoli molto rigidi ad alta febbre abbondante sudorazione o tremori.
Questo documento non contiene tutti i possibili effetti collaterali e altri possono verificarsi. Verificare con il tuo medico ulteriori informazioni sugli effetti collaterali.
Dosaggio per Augmentin XR
La dose raccomandata di Augmentin XR per il trattamento della sinusite batterica è di 2 compresse ogni 12 ore per una durata di 10 giorni. La dose raccomandata di Augmentin XR per il trattamento della polmonite è di 2 compresse ogni 12 ore per 7-10 giorni.
Quali sostanze o integratori di farmaci interagiscono con Augmentin XR?
Augmentin XR may interact with allopurinol probenecid blood thinners or other antibiotics. Tell your doctor all medications E supplements you use.
Augmentin XR During Gravidanza E Breastfeeding
Di 'al medico se sei incinta o hai intenzione di rimanere incinta durante il trattamento con Augmentin XR; Non si prevede che sia dannoso per un feto. Augmentin XR può rendere le pillole anticoncezionali meno efficaci. Parla con il tuo medico dell'uso di un metodo non ormonale di controllo delle nascite. Augmentin XR può passare al latte materno e può danneggiare un bambino che allatta. Consulta il medico prima dell'allattamento al seno.
Ulteriori informazioni
Il nostro Centro farmacologico Augmentin XR (amoxicillina/Clavulante potassio) fornisce una visione completa delle informazioni disponibili sui farmaci sui potenziali effetti collaterali quando si assume questo farmaco.
Informazioni sui farmaci FDA
- Descrizione del farmaco
- Indicazioni
- Dosaggio
- Effetti collaterali
- Interazioni farmacologiche
- Avvertimenti
- Overdose
- Controindicazioni
- Farmacologia clinica
- Guida ai farmaci
Descrizione per Augmentin XR
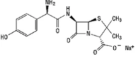
Augmentin XR (amoxicillina e clavulanato potassio) compressa di rilascio esteso per uso orale è una combinazione antibatterica costituita da amoxicillina antibatterica semisintetica (presente come amoxicillina triidrato e amoxicillina sodio) e l'amoxicium di amossicium). L'amoxicillina è un analogo dell'ampicillina derivata dal nucleo di penicillina di base 6-aminopenicillanici. La formula molecolare triidrato di amoxicillina è C 16 H 19 N 3 O 5 S • 3h 2 O e il peso molecolare è 419,45. Chemically amoxicillin trihydrate is (2S5R6R)-6-[(R)-(-)-2-Amino-2-(p-hydroxyphenyl)acetamido]-33dimethyl-7-oxo-4-thia-1-azabicyclo[3.2.0]heptane-2-carboxylic acid trihydrate and may be represented structurally as:
|
La formula molecolare di sodio di amoxicillina è C 16 H 18 N 3 Essi 5 S e il peso molecolare è 387,39. Chemically amoxicillin sodium is [2 -[2α5α6β(S*)]]-6-[[Amino(4hydroxyphenyl)acetyl]amino]-33-dimethyl-7-oxo-4-thia-1-azabicyclo[3.2.0]heptane-2carboxylic acid monosodium salt and may be represented structurally as:
|
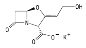
L'acido clavulanico è prodotto dalla fermentazione di Streptomyces clavuligerus . È un βlattam strutturalmente correlato alle penicilline e possiede la capacità di inattivare un'ampia varietà di β-lattamasi bloccando i siti attivi di questi enzimi. L'acido clavulanico è particolarmente attivo contro le β-lattamasi mediate dal plasmide clinicamente importanti spesso responsabili della resistenza ai farmaci trasferiti a penicilline e cefalosporine. La formula molecolare di potassio clavulanato è C 8 H 8 Kno 5 e il peso molecolare è 237,25. Il potassio chimicamente clavulanato è potassio (z)-(2R5R) -3- (2-idrossi etilidene) -7-oxo-4-oxa-1-azabiciclo [3.2.0] -heptano-2-carbossilato e può essere rappresentato strutturalmente come:
|
Ingredienti inattivi
Diossido di silicio colloidale di acido citrico Ipromellosio magnesio stearato microcistallino cellulosa polietilenglicole glicole sodio di sodio di biossido di titanio glicolato e gomma Xanthan.
Ogni compressa di Augmentin XR contiene circa 13 mg di potassio e 30 mg di sodio.
Usi per Augmentin XR
Augmentin XR è indicato per il trattamento delle infezioni negli adulti e i pazienti pediatrici che pesano maggiori o uguali a 40 kg che sono in grado di deglutire compresse con:
- polmonite acquisita dalla comunità o
- sinusiti batterici acuti
A causa di agenti patogeni confermati o sospetti che producono beta-lattamasi (ad es. H. Influenzae M. Catarrhalis H. Parainfluenzae K. Pneumoniae o sensibile alla meticillina S. aureus ) E St. Pneumoniae con ridotta suscettibilità alla penicillina (cioè microfoni di penicillina pari a 2 mcg/ml).
Limiti di utilizzo
Augmentin XR non è indicato per il trattamento delle infezioni dovute St. Pneumoniae con microfoni di penicillina superiori o uguali a 4 mcg/ml. I dati sono limitati per quanto riguarda le infezioni dovute St. Pneumoniae con microfoni di penicillina superiori o uguali a 4 mcg/ml [vedi Studi clinici ].
Utilizzo
Per ridurre lo sviluppo di batteri resistenti ai farmaci e mantenere l'efficacia di Augmentin XR e altri farmaci antibatterici, l'aumento XR dovrebbe essere utilizzato solo per trattare o prevenire infezioni provenute o fortemente sospettate di essere causate da batteri sensibili. Quando sono disponibili informazioni sulla coltura e sulla suscettibilità, dovrebbero essere considerate nella selezione o nella modifica della terapia antibatterica. In assenza di tali dati di epidemiologia locale e modelli di suscettibilità possono contribuire alla selezione empirica della terapia.
Nei pazienti con polmonite acquisita in comunità in cui resistente alla penicillina St. Pneumoniae è sospettato che studi batteriologici dovrebbero essere condotti per determinare gli organismi causali e la loro suscettibilità quando viene prescritto Augmentin XR.
Sinusite batterica acuta o polmonite acquisita in comunità a causa di un ceppo sensibile alla penicillina di St. Pneumoniae Inoltre, un patogeno che produce beta-lattamasi può essere trattato con un altro prodotto Augmentin (amoxicillina e clavulanato di potassio) contenente dosi giornaliere più basse di amoxicillina (cioè 500 mg ogni 8 ore o 875 mg ogni 12 ore). Sinusite batterica acuta o polmonite acquisita in comunità dovuta a St. Pneumoniae da solo può essere trattato con amoxicillina.
Dosaggio per Augmentin XR
Importanti istruzioni di amministrazione
Augmentin XR dovrebbe essere preso all'inizio di un pasto per migliorare l'assorbimento dell'amoxicillina e per ridurre al minimo il potenziale per l'intolleranza gastrointestinale. Augmentin XR non si raccomanda di essere preso con un pasto ricco perché l'assorbimento di clavulanato è ridotto [vedi Farmacologia clinica ].
Dosaggio In Adult Patients
Il dosaggio raccomandato di Augmentin XR è di 4000 mg/250 mg al giorno a dosi divise secondo la seguente tabella:
Tabella 1: dosaggio consigliato di Augmentin XR nei pazienti adulti
| Indicazione | Dose | Durata |
| Sinusite batterica acuta | Due (1000 mg/62,5 mg) compresse ogni 12 ore | 10 giorni |
| Polmonite acquisita dalla comunità | Due (1000 mg/62,5 mg) compresse ogni 12 ore | 7-10 giorni |
Augmentin XR può essere suddiviso a metà lungo la linea di punteggio per i pazienti con difficoltà a deglutire le compresse intere. Entrambe le metà del tablet devono essere prese immediatamente.
Dosaggio In Pazienti pediatrici
I pazienti pediatrici che pesano 40 kg o più e possono deglutire le compresse dovrebbero ricevere la dose per adulti [vedi Dosaggio In Adult Patients E Utilizzare in popolazioni specifiche ].
Dosaggio In Patients With Compromissione epatica
I pazienti compromessi epaticamente devono essere dosato con cautela e funzione epatica monitorata a intervalli regolari [vedi Avvertimenti e precauzioni ].
Passare da forme di dosaggio e tra i punti di forza
Augmentin XR non è sostituibile su base da Mg-a-MG con altre formulazioni di Augmentin. Inoltre, le compresse a rilascio prolungato forniscono un prolungato corso temporale delle concentrazioni plasmatiche di amoxicillina rispetto alle compresse a rilascio immediato. Pertanto due compresse di Augmentin 500 mg non equivaleno a una compressa Augmentin XR 1000 mg.
Come fornito
Dosaggio Forms And Strengths
- Compresse di aumento a rilascio prolungato XR; 1000 mg/62,5 mg : Ogni doppio strato rivelato di film ovale bianco ha ottenuto la tavoletta debossa con Augmentin XR contiene 1000 mg di amoxicillina (come amoxicillina sodico e amoxicillina triidratate) e 62,5 mg di acido clavulanico come sale di potassio.
Archiviazione e maneggevolezza
Augmentin Xr (Amoxicillina e clavulanato potassio) Le compresse a rilascio prolungato sono compresse con punteggio di film ovale bianco e debossato con Augmentin XR. Ogni compressa contiene 1000 mg di amoxicillina (come amoxicillina sodico e amoxicillina triidrato) e 62,5 mg di acido clavulanico come sale di potassio.
Augmentin Xr viene fornito come segue:
- Ndc 81964-020–28 bottiglie di 28 (pacchetto XR a 7 giorni)
- Ndc 81964-020–40 bottiglie di 40 (pacchetto XR a 10 giorni)
Magazzinaggio
Conservare compresse a o meno di 25 ° C (77 ° F). Dispensare nel contenitore originale.
Prodotto da: Usantibiotics LLC Bristol TN 37620 (USA). Revisionato: dicembre 2024
Effetti collaterali for Augmentin XR
Le seguenti reazioni avverse clinicamente significative sono descritte altrove nell'etichettatura:
- Reazioni anafilattiche [vedi Avvertimenti e precauzioni ]
- Gravi reazioni avverse cutanee [vedi Avvertimenti e precauzioni ]
- Sindrome da enterocolite indotta da farmaci (muore) [vedi Avvertimenti e precauzioni ]
- Disfunzione epatica [vedi Avvertimenti e precauzioni ]
- Clostridiides difficile -Associated Diarrea (CDAD) [vedi Avvertimenti e precauzioni ]
- Eruzione cutanea in pazienti con mononucleosi [vedi Avvertimenti e precauzioni ]
Esperienza di studi clinici
Poiché gli studi clinici sono condotti in condizioni di reazione avverse ampiamente variabili osservate negli studi clinici di un farmaco non possono essere paragonati direttamente ai tassi negli studi clinici di un altro farmaco e potrebbero non riflettere i tassi osservati nella pratica.
Effetti collaterali per il controllo del controllo delle nascite
Negli studi clinici 5643 pazienti sono stati trattati con Augmentin XR. Le reazioni avverse più frequentemente riportate che erano sospettate o probabilmente correlate al farmaco erano la diarrea (15%) micoosi vaginale (3%) nausea (2%) e feci sciolte (2%). Augmentin XR aveva un tasso più elevato di diarrea che richiedeva una terapia correttiva (4% contro 3% rispettivamente per Augmentin XR e tutti i comparatori). Il due percento dei pazienti ha interrotto la terapia a causa di reazioni avverse drogate.
Esperienza post -marketing
Le seguenti reazioni avverse sono state identificate durante l'uso post -marketing di prodotti Augmentin tra cui Augmentin XR. Poiché queste reazioni sono riportate volontariamente da una popolazione di dimensioni incerte, non è sempre possibile stimare in modo affidabile la loro frequenza o stabilire una relazione causale con l'esposizione ai farmaci.
Gastrointestinale: Sindrome da enterocolite indotta da farmaci (DIE) Diarrea Nausea Vomito Gastrite stomatite glossite glossite nera pelosa pelosa candidiasi mucocutanea enterocolite e colite emorragica/pseudomembrana. L'inizio dei sintomi pseudomembrani della colite possono verificarsi durante o dopo il trattamento antibatterico [vedi Avvertimenti e precauzioni ].
Immune: Reazioni di ipersensibilità reazioni anafilattiche/anafilattoidi (incluso shock) reazioni sieriche simili a malattie (orticaria o eruzione cutanea accompagnata dall'artrite artralgia mialgia e frequentemente febbre) vasculite da ipersensibilità [vedi Avvertimenti e precauzioni ].
Skin e appendici: Rascini prurito orticaria eritema multiforme sjs dieci abiti dermatite esfoliativa e dermatosi bollosa di iga lineare [vedi Avvertimenti e precauzioni ].
Fegato: A moderate rise in AST (SGOT) and/or ALT (SGPT) has been noted in patients treated with ampicillin-class antibacterials but the significance of these findings is unknown. Hepatic dysfunction including hepatitis and cholestatic jaundice [see Controindicazioni ] Gli aumenti delle transaminasi sieriche (AST e/o ALT) sono state riportate bilirubina e/o fosfatasi alcalina con Augmentin o Augmentin XR. È stato riportato più comunemente negli anziani nei maschi o nei pazienti in trattamento prolungato. I risultati istologici sulla biopsia epatica sono costituiti da cambiamenti epatocellulari colestatichepatocellulari prevalentemente colestatici. L'inizio di segni/sintomi della disfunzione epatica può verificarsi durante o diverse settimane dopo la sospensione della terapia. La disfunzione epatica che può essere grave è generalmente reversibile. Sono stati segnalati decessi [vedi Controindicazioni Avvertimenti e precauzioni ].
Renale: Sono state riportate ematuria di nefrite interstiziale e cristalluria [vedi OVERDOSE ].
Sistemi emici e linfatici: L'anemia tra cui l'anemia emolitica trombocitopenia trombocitopenica purpura eosinofilia leucopenia e agranulocitosi sono state riportate durante la terapia con penicilline. Queste reazioni sono generalmente reversibili alla sospensione della terapia e si ritiene che siano fenomeni di ipersensibilità. Sono stati segnalati un aumento del tempo di protrombina nei pazienti che hanno ricevuto in concomita in concomita la terapia con aumento e anticoagulante.
Sistema nervoso centrale: L'ansia di agitazione cambia comportamentale cambia asettico con confusione di confusione con le vertigini Insonnia e iperattività reversibili sono stati riportati.
Varie: È stato riportato lo scolorimento dei denti (colorazione gialla marrone o grigio). La maggior parte dei rapporti si sono verificati nei pazienti pediatrici. Lo scolorimento è stato ridotto o eliminato con spazzolatura o pulizia dentale nella maggior parte dei casi.
Interazioni farmacologiche for Augmentin XR
Probenecid
Probenecid decreases the renal tubular secretion of amoxicillina. Concurrent use with Augmentin Xr may result in increased E prolonged blood levels of amoxicillina. Coadministration of probenecid is not recommended.
Anticoagulanti orali
Il prolungamento anormale del tempo di protrombina (aumento del rapporto internazionale normalizzato [INR]) è stato riportato in pazienti che hanno ricevuto amoxicillina e anticoagulanti orali. È necessario effettuare un monitoraggio adeguato quando vengono prescritti contemporaneamente anticoagulanti. Gli aggiustamenti nella dose di anticoagulanti orali possono essere necessari per mantenere il livello desiderato di anticoagulazione.
Allopurinolo
La somministrazione simultanea di allopurinolo e amoxicillina aumenta sostanzialmente l'incidenza di eruzioni cutanee nei pazienti che hanno ricevuto entrambi i farmaci rispetto ai pazienti che hanno ricevuto solo amoxicillina. Non è noto se questo potenziamento di eruzioni di amoxicillina sia dovuta all'allopurinolo o all'iperuricemia presente in questi pazienti. Negli studi clinici controllati di Augmentin XR 25 pazienti hanno ricevuto allopurinolo concomitante e Augmentin XR. Non sono state riportate eruzioni cutanee in questi pazienti. Tuttavia, questa dimensione del campione è troppo piccola per consentire la trazione di eventuali conclusioni per quanto riguarda il rischio di eruzioni cutanee con uso concomitante di aumento XR e allopurinolo.
Contraccettivi orali
Augmentin Xr may affect intestinal flora leading to lower estrogen reabsorption E reduced efficacy of combined oral estrogen/progesterone contraceptives.
Effetti sui test di laboratorio
Alte concentrazioni di urina di amoxicillina possono provocare reazioni false positive quando si verificano il test per la presenza di glucosio nelle urine usando clinitest ® La soluzione di Benedict o la soluzione di Fehling. Poiché questo effetto può verificarsi anche con Augmentin XR, si raccomanda di utilizzare test di glucosio basati su reazioni enzimatiche di glucosio ossidasi. Dopo la somministrazione di amoxicillina alle donne in gravidanza è stata osservata una riduzione transitoria della concentrazione plasmatica di estriolo coniugato totale estriolo-glucuronide estrone e estradiolo.
Avvertimenti per Augmentin XR
Incluso come parte del 'PRECAUZIONI' Sezione
Precauzioni per Augmentin XR
Reazioni allergiche gravi tra cui l'anafilassi
Le reazioni di ipersensibilità gravi e occasionalmente fatali sono state riportate in pazienti che hanno ricevuto Augmentin XR. È più probabile che queste reazioni si verifichino negli individui con una storia di ipersensibilità alla penicillina e/o una storia di sensibilità a più allergeni. Prima di iniziare la terapia con Augmentin XR dovrebbe essere fatta un'attenta indagine sulle precedenti reazioni di ipersensibilità alle cefalosporine delle penicilline o ad altri allergeni. Se si verifica una reazione allergica, interrompere l'augment XR e l'Istituto appropriato terapia.
Gravi reazioni avverse cutanee
Augmentin Xr may cause severe cutaneous adverse reactions (SCAR) such as Stevens- Johnson syndrome (SJS) toxic epidermal necrolysis (TEN) drug reaction with eosinophilia E systemic symptoms (DRESS) E acute generalized exanthematous pustulosis (AGEP). If patients develop a skin rash they should be monitored closely E Augmentin Xr discontinued if lesions progress.
Sindrome da enterocolite indotta da farmaci (muore)
La sindrome da enterocolite indotta da farmaci (DIE) è stata riportata con l'uso dell'amoxicillina A componente di Augmentin XR [vedi Reazioni avverse ] con la maggior parte dei casi che si verificano in pazienti pediatrici ≤ 18 anni di età. Le stampi sono una reazione di ipersensibilità mediata non media caratterizzata da vomito prolungato che si verificano da 1 a 4 ore dopo l'ingestione di farmaci in assenza di sintomi di pelle o respiratoria. Le stampi possono essere associate alla diarrea shock di ipotensione letargia del pallore entro 24 ore dall'ingestione di amoxicillina e leucocitosi con neutrofilia. Se gli stampi si verificano, interrompere l'augment XR e l'istituzione della terapia appropriata.
Disfunzione epatica
Usa Augmentin XR con cautela nei pazienti con evidenza di disfunzione epatica. La tossicità epatica associata all'uso di Augmentin XR è generalmente reversibile. Sono stati segnalati decessi (meno di un decesso segnalato per quattro milioni di prescrizioni in tutto il mondo). Questi sono stati generalmente casi associati a gravi malattie sottostanti o farmaci concomitanti [vedi Controindicazioni E Reazioni avverse ].
Diarrea associata a Clostridiides difficile (CDAD)
Clostridiides difficile -Ildea associata (CDAD) è stata segnalata con l'uso di quasi tutti gli agenti antibatterici tra cui Augmentin XR e può variare in gravità dalla diarrea lieve alla colite fatale. Il trattamento con agenti antibatterici altera la normale flora del colon che porta alla crescita eccessiva di C. difficile.
C. difficile produce tossine A e B che contribuiscono allo sviluppo di CDAD. Ceppi di ipertoxinduttore di C. difficile causano un aumento della morbilità e della mortalità poiché queste infezioni possono essere refrattarie alla terapia antimicrobica e possono richiedere colectomia. Il CDAD deve essere considerato in tutti i pazienti che presentano diarrea a seguito dell'uso di farmaci antibatterici. È stata necessaria un'attenta storia medica da quando è stato segnalato che il CDAD si verifica in due mesi dopo la somministrazione di agenti antibatterici.
Se il CDAD è sospettato o confermato l'uso di droghe antibatteriche in corso non diretto contro C. difficile Potrebbe essere necessario interrompere. Appropriato trattamento antibatterico di integrazione di proteine per la gestione dei fluidi ed elettroliti C. difficile E surgical evaluation should be instituted as clinically indicated.
Eruzione cutanea in pazienti con mononucleosi
Un'alta percentuale di pazienti con mononucleosi che ricevono amoxicillina sviluppa un'eruzione cutanea eritematosa. Evitare l'uso di aumento XR nei pazienti con mononucleosi.
Potenziale per la crescita eccessiva microbica
La possibilità di superinfezioni con agenti patogeni micotici o batterici dovrebbe essere tenuta a mente durante la terapia. Se si verificano superinfezioni (di solito coinvolge Pseudomonas spp. O Candida spp.) Il farmaco dovrebbe essere interrotto e/o la terapia appropriata istituita.
Sviluppo di batteri resistenti ai farmaci
È improbabile che la prescrizione di Augmentin XR in assenza di un'infezione batterica comprovata o fortemente sospetta o un'indicazione profilattica fornisca benefici al paziente e aumenta il rischio di sviluppo di batteri resistenti ai farmaci.
Tossicologia non clinica
Mutagenesi della carcinogenesi compromissione della fertilità
Studi a lungo termine sugli animali non sono stati condotti per valutare il potenziale cancerogeno. Amoxicillina e clavulanato (formulazione del rapporto 4: 1 dell'amoxicillina: clavulanato) non era mutagenico nel test di mutazione batterica di Ames e nel test di conversione del gene del lievito. L'amoxicillina e il clavulanato erano debolmente positivi nel test del linfoma del topo, ma la tendenza verso l'aumento delle frequenze di mutazione in questo test si è verificata a concentrazioni anche associate a una ridotta sopravvivenza cellulare. L'amoxicillina e il clavulanato erano negativi nel test del micronucleo del topo e nel test letale dominante nei topi. Il solo clavulanato di potassio è stato testato nel test di mutazione batterica di Ames e nel test del micronucleo del topo ed è stato negativo in ciascuno di questi test.
Amoxicillina e clavulanato (formulazione del rapporto 2: 1 di amoxicillina: clavulanato) a dosi orali fino a 1200 mg/kg/giorno non hanno alcun effetto sulla fertilità e sulle prestazioni riproduttive nei ratti. Sulla base della superficie corporea, questa dose di amoxicillina è circa 1,6 volte la dose massima umana raccomandata (MHRD) in Augmentin XR e la dose di clavulanato multiplo è circa 13 volte superiore al MHRD.
Utilizzare in popolazioni specifiche
Gravidanza
Riepilogo del rischio
I dati disponibili di studi epidemiologici pubblicati e casi di farmacovigilanza nel corso di diversi decenni di utilizzo con amoxicillina e clavulanato durante la gravidanza non hanno stabilito un rischio associato ai farmaci di gravi difetti alla nascita o esiti materni avversi. Uno studio sulle donne con rottura prelabor prelabor delle membrane (PPROM) ha riferito che il trattamento profilattico con amoxicillina e clavulanato può essere associato ad un aumentato rischio di enterocolite necrotizzante nei neonati (vedi Dati ). Studi di riproduzione condotti in roditori in gravidanza somministrati dosi orali fino a circa 1,6 volte la quantità di amoxicillina e 13 volte la quantità di clavulanato nella massima dose raccomandata umana (MHRD) di Augmentin XR non ha rivelato alcuna evidenza di danno al feto (vedi Dati ).
Il rischio di background di importanti difetti alla nascita e aborto spontaneo per le popolazioni indicate non è noto. Tutte le gravidanze hanno un rischio di fondo di perdita di difetti alla nascita o altri risultati avversi. Nella popolazione generale degli Stati Uniti il rischio di background stimato di gravi difetti alla nascita e aborto in gravidanza clinicamente riconosciuta è rispettivamente dal 2 al 4% e dal 15 al 20%.
Dati
Dati umani
Uno studio randomizzato controllato includeva 4826 donne in gravidanza con rottura prematura di membrane fetali che venivano assegnate in modo casuale a 250 mg di eritromicina (n = 1197) 250 mg di amoxicillina e 125 mg di acido clavulanico (Amoxicillina e clavulanato n = 1212) amoxicillina e clavulanato e nermecina (n = 1192) (n = 1225) quattro volte al giorno per 10 giorni o fino alla consegna. Amoxicillina e clavulanato erano associati a un tasso significativamente aumentato di enterocolite necrotizzante neonatale comprovata: 1,9% (n = 24) nel gruppo di amoxicillina e clavulanato solo contro lo 0,5% (n = 6) nel gruppo placebo (p = 0,001) e 1,8% (n = 44) in qualsiasi Amoxicillina e Clavulanate a partire da Amoxicillina e gruppo clavulanato (P = 0,0005).
Dati sugli animali
Studi di riproduzione condotti su ratti in gravidanza e topi somministrati amoxicillina e clavulanato (formulazione del rapporto 2: 1) a dosi orali fino a 1200 mg/kg/giorno non hanno rivelato alcuna evidenza di danni al feto dovuto a amoxicillina e clavulanato. In termini di superficie corporea le dosi nei ratti erano 1,6 volte la dose massima consigliata umana (MHRD) di amoxicillina e 13 volte la MHRD per clavulanato in Augmentin XR. Per i topi queste dosi erano rispettivamente 0,9 e 7,4 volte il MHRD di amoxicillina e clavulanato.
Lattazione
Riepilogo del rischio
Dati from a published clinical lactation study report that amoxicillina is present in human milk. There are reports of diarrea irritability E rash in infants exposed to amoxicillina E clavulanate through breast milk; therefore infants exposed to Augmentin Xr should be monitored for these symptoms. There are no data on the effects of amoxicillina E clavulanate on milk production. The developmental E health benefits of breastfeeding should be considered along with the mother’s clinical need for Augmentin Xr E any potential adverse effects on the breastfed child from Augmentin Xr or from the underlying maternal condition.
Uso pediatrico
La sicurezza e l'efficacia di Augmentin XR sono state stabilite per i pazienti pediatrici che pesano maggiori o uguali a 40 kg che sono in grado di deglutire compresse. L'uso di Augmentin XR in questi pazienti pediatrici è supportato da prove da studi adeguati e ben controllati su adulti con sinusite batterica acuta e polmonite acquisita dalla comunità con ulteriori dati da uno studio farmacocinetico pediatrico.
È stato condotto uno studio farmacocinetico su pazienti pediatrici (7-15 anni e pesa maggiore o uguale a 40 kg) [vedi Farmacologia clinica ]. The adverse event profile in 44 pediatric patients who received at least one dose of Augmentin Xr was consistent with the established adverse event profile for the product in adults.
Uso geriatrico
Del numero totale di soggetti negli studi clinici di Augmentin XR, il 18% era di 65 anni o più e il 7% aveva 75 anni o più. Non sono state osservate differenze complessive nella sicurezza e nell'efficacia tra questi soggetti e i soggetti più giovani e altre esperienze cliniche non hanno riportato differenze nelle risposte tra i pazienti anziani e più giovani, ma non può essere esclusa una maggiore sensibilità di alcuni anziani.
Augmentin Xr is known to be substantially excreted by the kidney E the risk of dose dependent toxic reactions to this drug may be greater in patients with impaired renal function. Because elderly patients are more likely to have decreased renal function it may be useful to monitor renal function.
Compromissione renale
La farmacocinetica di Augmentin XR non è stata studiata in pazienti con compromissione renale. Augmentin XR è controindicato in pazienti con clearance di creatinina inferiore a 30 ml/min e nei pazienti con emodialisi [vedi Controindicazioni ]
Compromissione epatica
I pazienti compromessi epaticamente devono essere dosato con cautela e funzione epatica monitorata a intervalli regolari [vedi Controindicazioni Avvertimenti e precauzioni ].
Overdose Information for Augmentin XR
I pazienti con sovradosaggio hanno sperimentato principalmente sintomi gastrointestinali, tra cui vomito e diarrea del dolore addominale. L'iperattività e la sonnolenza eruttive sono state osservate anche in un piccolo numero di pazienti.
In caso di overdosage interrompere in modo sintomatico Augmentin XR e istituire misure di supporto come richiesto. Se il sovradosaggio è molto recente e non vi è alcuna controindicazione un tentativo di emesi o altri mezzi di rimozione del farmaco dallo stomaco. Uno studio prospettico su 51 pazienti pediatrici in un centro di controllo del veleno ha suggerito che i sovradosaggi inferiori a 250 mg/kg di amoxicillina non sono associati a sintomi clinici significativi e non richiedono svuotamento gastrico. 1
La nefrite interstiziale con conseguente insufficienza renale oligurica è stata riportata in un piccolo numero di pazienti dopo il sovradosaggio con amoxicillina.
In alcuni casi è stata anche segnalata cristalluria che porta a insufficienza renale dopo un sovradosagio di amoxicillina nei pazienti adulti e pediatrici. Nel caso di sovradosaggio di un'assunzione di liquidi adeguata e la diuresi dovrebbe essere mantenuta per ridurre il rischio di amoxicillina cristalluria.
La compromissione renale sembra essere reversibile con la cessazione della somministrazione di farmaci. Alti livelli ematici possono verificarsi più facilmente nei pazienti con funzionalità renale alterata a causa della ridotta clearance renale sia dell'amoxicillina che del clavulanato. Sia amoxicillina che clavulanato vengono rimossi dalla circolazione dall'emodialisi.
Controindicazioni for Augmentin XR
Reazioni di ipersensibilità gravi
Augmentin Xr is contraindicated in patients with a history of serious hypersensitivity reactions (e.g. anaphylaxis or Stevens-Johnson syndrome) to amoxicillina clavulanate or to other beta-lactam antibacterial drugs (e.g. penicillins E cephalosporins)
Disfunzione epatica di ittero colestatico
Augmentin Xr is contraindicated in patients with a previous history of cholestatic jaundice/hepatic dysfunction associated with treatment with amoxicillina/clavulanate potassium.
Compromissione renale
Augmentin Xr is contraindicated in patients with severe renal impairment (creatinine clearance less than 30 mL/min) E in hemodialysis patients.
Riferimenti
1. Swanson-Biearman B Dean BS Lopez G Krenzelok EP. Gli effetti delle ingestioni di penicillina e cefalosporina nei bambini di età inferiore ai sei anni. VET HUM TOLXOL. 1988; 30: 66-67.
Farmacologia clinica for Augmentin XR
Meccanismo d'azione
Augmentin Xr is an antibacterial drug [see Microbiologia ].
Farmacocinetica
Augmentin Xr is an extended-release formulation which provides sustained plasma concentrations of amoxicillina. Amoxicillina systemic exposure achieved with Augmentin Xr is similar to that produced by the oral administration of equivalent doses of amoxicillina alone.
Assorbimento
L'amoxicillina e il potassio clavulanato sono ben assorbiti dal tratto gastrointestinale dopo la somministrazione orale di Augmentin XR.
In uno studio su volontari per adulti sani, la farmacocinetica di Augmentin XR è stata confrontata quando somministrate in uno stato a digiuno all'inizio di un pasto standardizzato (612 kcal 89,3 g carboidrati 24,9 g di grasso e 14 g di proteine) o 30 minuti dopo un pasto ad alta grasso.
Quando viene presa in considerazione l'esposizione sistemica sia all'amoxicillina che al clavulanato, l'Agmentin XR viene somministrata in modo ottimale all'inizio di un pasto standardizzato. L'assorbimento di amoxicillina è ridotto nello stato a digiuno. Si consiglia di assumere Augmentin XR con un pasto ad alto contenuto di grassi perché l'assorbimento di clavulanato è ridotto. La farmacocinetica dei componenti di Augmentin XR dopo la somministrazione di due compresse di Augmentin XR all'inizio di un pasto standardizzato è presentata nella Tabella 2.
Tabella 2: parametro farmacocinetico medio (SD) per amoxicillina e clavulanato dopo la somministrazione orale di due compresse di Augmentin XR (2000 mg/125 mg) a volontari per adulti sani (n = 55) alimentati con un pasto standardizzato
| Parametro (unità) | Amoxicillina | Clavulanato |
| AUC (0 -INF) (MCG • HR/ML) | 71.6 (16.5) | 5.29 (NULL,55) |
| CMAX (MCG/ML) | 17.0 (4.0) | 2,05 (NULL,80) |
| Tmax (ore) a | 1,50 (da 1,00 a 6,00) | 1,03 (da 0,75 a 3,00) |
| T 1/2 (ore) | 1,27 (NULL,20) | 1,03 (NULL,17) |
| a Mediana (intervallo) |
L'emivita di amoxicillina dopo la somministrazione orale di Augmentin XR è di circa 1,3 ore e quella del clavulanato è di circa 1,0 ore.
Distribuzione
Nessuno dei due componenti in Augmentin XR è altamente legato alle proteine; È stato scoperto che il clavulanato è circa il 25% legato al siero umano e all'amoxicillina circa il 18% legata.
Amoxicillina diffuses readily into most body tissues E fluids with the exception of the brain E spinal fluid. The results of experiments involving the administration of clavulanic acid to animals suggest that this compound like amoxicillina is well distributed in body tissues.
Escrezione
La clearance dell'amoxicillina è prevalentemente renale con circa il 60% all'80% della dose invariata invariata nelle urine, mentre la clearance del clavulanato ha sia una componente renale (dal 30 al 50%) che non renile.
Popolazioni specifiche
Pazienti pediatrici
In uno studio sui pazienti pediatrici con sinusite batterica acuta da 7 a 15 anni e pesa almeno 40 kg, la farmacocinetica di amoxicillina e clavulanato è stata valutata in seguito alla somministrazione di Augmentin XR 2000 mg/125 mg (come due 1000 mg/62,5 mg compresse) ogni 12 ore con cibo (Tabella 3).
Tabella 3: parametri farmacocinetici medi (SD) per amoxicillina e clavulanato dopo la somministrazione orale di due compresse di Augmentin XR (2000 mg/125 mg) ogni 12 ore con cibo a pazienti pediatrici (7-15 anni e pesa più o uguale a 40 kg) con sineusi batterici acuti batterici
| Parametro (unità) | Amoxicillina (n = 24) | Clavulanato (n = 23) |
| AUC (0 --τ) (MCG • HR/ML) | 57.8 (15.6) | 3.18 (1.37) |
| CMAX (MCG/ML) | 11.0 (3.34) | 1,17 (NULL,67) |
| Tmax (ore) a | 2.0 (da 1.0 a 5.0) | 2.0 (da 1.0 a 4,0) |
| T 1/2 (ore) | 3.32 (2.21) b | 0,94 (NULL,13) c |
| a Mediana (intervallo). b n è uguale a 18. c n è uguale a 17. |
Studi sull'interazione farmacologica
Studi clinici
La somministrazione concomitante di probenecide ritarda l'escrezione dell'amoxicillina ma non ritarda l'escrezione renale del clavulanato [vedi Interazioni farmacologiche ].
In uno studio sugli adulti la farmacocinetica di amoxicillina e clavulanato non è stata influenzata dalla somministrazione di un antiacido (Maalox ® ) o contemporaneamente con o 2 ore dopo l'aumento XR.
Microbiologia
Meccanismo d'azione
Amoxicillina binds to penicillin-binding proteins within the bacterial cell wall E inhibits bacterial cell wall synthesis.
L'acido clavulanico è un beta-lattame strutturalmente correlato alla penicillina che può inattivare alcuni enzimi beta-lattamasi.
Resistenza
Resistenza to penicillins may be mediated by destruction of the beta-lactam ring by a betalactamase altered affinity of penicillin for target or decreased penetration of the antibacterial drug to reach the target site. Amoxicillina alone is susceptible to degradation by beta–lactamases E therefore its spectrum of activity does not include bacteria that produce these enzymes.
Attività antimicrobica
Amoxicillina/clavulanic acid has been shown to be active against most isolates of the following microorganisms both in vitro E in clinical infections [see Indicazioni ].
Batteri gram-positivi
Staphylococcus aureus (sensibile alla meticillina)
Streptococcus pneumoniae
Batteri gram-negativi
Haemophilus influenzae
Haemophilus parainfluenzae
Klebsiella pneumoniae
Moraxella catarrhalis
Quanto segue in vitro Sono disponibili dati ma il loro significato clinico è sconosciuto. Almeno il 90 percento dei seguenti batteri presenta un in vitro Concentrazione inibitoria minima (MIC) inferiore o uguale al punto di interruzione sensibile per amoxicillina e acido clavulanico contro isolati di genere o gruppo organismo simili. Tuttavia, l'efficacia dell'amoxicillina e dell'acido clavulanico nel trattamento delle infezioni cliniche causate da questi batteri non è stata stabilita in studi clinici adeguati e ben controllati.
Batteri gram-positivi
Streptococcus pyogenes
Test di suscettibilità
Per informazioni specifiche relative ai criteri interpretativi di test di suscettibilità e ai metodi di test associati e agli standard di controllo della qualità riconosciuti dalla FDA per questo farmaco, consultare: https://www.fda.gov/stic.
Studi clinici
Sinusite batterica acuta
Gli adulti con diagnosi di sinusite batterica acuta (ABS) sono stati valutati in 3 studi clinici. In uno studio 363 pazienti sono stati randomizzati a ricevere Augmentin XR 2000 mg/125 mg per via orale ogni 12 ore o levofloxacina 500 mg per via orale al giorno per 10 giorni in uno studio prospettico multicentrico a doppio cieco. Questi pazienti sono stati valutati clinicamente e radiologicamente alla visita di cura (giorno da 17 a 28). Le risposte cliniche e radiologiche combinate sono state dell'84% per Augmentin XR e 84% per la levofloxacina al test della visita di cura in pazienti clinicamente valutabili (IC 95% per la differenza di trattamento è uguale a –9,4 8,3). I tassi di risposta clinica al test di cura sono stati rispettivamente dell'87% e dell'89%.
Gli altri 2 studi erano studi multicentrici non comparativi progettati per valutare l'efficacia batteriologica e clinica di Augmentin XR (2000 mg/125 mg per via orale ogni 12 ore per 10 giorni) nel trattamento di 2288 pazienti con ABS. I punti di valutazione erano gli stessi dello studio precedente. I pazienti sono stati sottoposti a foratura del seno mascellare per coltura prima di ricevere farmaci in studio. Pazienti con sinusite batterica acuta dovuta a St. Pneumoniae Con una ridotta suscettibilità alla penicillina è stata maturata attraverso l'iscrizione a questi 2 studi clinici non comparativi aperti. I tassi di eradicazione microbiologica per i principali agenti patogeni in questi studi sono mostrati nella Tabella 4.
Tabella 4: esito clinico per ABS
| Penicillina Mics di S. pneumoniae Isolati | Intenzione di trattamento | Clinicamente valutabile | ||||
| n/n a | % | 95% CI b | n/n a | % | 95% CI b | |
| Tutto St. Pneumoniae | 344/370 | 93 | — | 318/326 | 98 | — |
| Microfono maggiore o uguale a 2,0 mcg/ml c | 35/36 | 97 | 85.5 99.9 | 30/31 | 96 | 83.3 99.9 |
| Microfono pari a 2,0 mcg/ml | 23/24 | 96 | 78,9 99,9 | 19/20 | 95 | 75.1 99.9 |
| Microfono maggiore o uguale a 4,0 mcg/ml d | 12/12 | 100 | 73,5 100 | 11/11 | 100 | 71,5 100 |
| H. influenzae | 265/305 | 87 | — | 242/259 | 93 | — |
| M. catarrhalis | 94/105 | 90 | — | 86/90 | 96 | — |
| a n/n equals patients with pathogen eradicated or presumed eradicated/total number of patients. b Limiti di confidenza calcolati usando probabilità esatte. c St. Pneumoniae I ceppi con microfoni di penicillina superiori o uguali a 2 mcg/ml sono considerati resistenti alla penicillina. d Include un paziente ciascuno con St. Pneumoniae Penicillina microfoni di 8 e 16 mcg/ml. |
Polmonite acquisita dalla comunità
Sono stati condotti quattro studi clinici a doppio cieco controllati randomizzati e uno studio non comparativo in adulti con polmonite acquisita dalla comunità (CAP). In studi comparativi 904 pazienti hanno ricevuto Augmentin XR alla dose di 2000 mg/125 mg per via orale ogni 12 ore per 7 o 10 giorni. Nello studio non comparativo per valutare l'efficacia clinica e batteriologica 1122 pazienti hanno ricevuto Augmentin XR 2000 mg/125 mg per via orale ogni 12 ore per 7 giorni. Nei 4 studi comparativi il tasso di successo clinico combinato alla prova di cura variava dall'86% al 95% nei pazienti clinicamente valutabili che hanno ricevuto Augmentin XR.
Dati on the efficacy of Augmentin Xr in the treatment of community–acquired pneumonia due to St. Pneumoniae Con una ridotta suscettibilità alla penicillina è stata maturata dai 4 studi clinici controllati e dal 1 studio non comparativo. La maggior parte di questi casi è stata maturata dallo studio non comparativo. I risultati sono mostrati nella Tabella 5.
Tabella 5: esito clinico per CAP a causa di St. Pneumoniae
| Penicillina Mics di S. pneumoniae Isolati | Intenzione di trattamento | Clinicamente valutabile | ||||
| n/n a | % | 95% CI b | n/n a | % | 95% CI b | |
| Tutto St. Pneumoniae | 318/367 | 87 | — | 275/297 | 93 | — |
| Microfono maggiore o uguale a 2,0 mcg/ml c | 30/35 | 86 | 69,7 95.2 | 24/25 | 96 | 79,6 99.9 |
| Microfono pari a 2,0 mcg/ml | 22/24 | 92 | 73,0 99.0 | 18/18 | 100 | 81,5 100 |
| Microfono maggiore o uguale a 4,0 mcg/ml d | 8/11 | 73 | 39,0 94.0 | 6/7 | 86 | 42.1 99.6 |
| a n/n equals patients with pathogen eradicated or presumed eradicated/total number of patients. b Limiti di confidenza calcolati usando probabilità esatte. c St. Pneumoniae I ceppi con microfoni di penicillina superiori o uguali a 2 mcg/ml sono considerati resistenti alla penicillina. d Include un paziente ciascuno con St. Pneumoniae Penicillina microfoni di 8 e 16 mcg/ml solo nel gruppo intento -a -traat. |
Informazioni sul paziente per Augmentin XR
Istruzioni di amministrazione
Consiglia ai pazienti di prendere Augmentin XR ogni 12 ore con un pasto a basso contenuto di grassi o uno spuntino per ridurre la possibilità di disturbi gastrointestinali. Se la diarrea si sviluppa ed è grave o dura più di 2 o 3 giorni, dovrebbero chiamare il proprio medico [vedi Dosaggio e amministrazione Avvertimenti e precauzioni ].
Tuttoergic Reactions
Counsel patients that AUGMENTIN XR contains a penicillin class drug product that can cause allergic reactions in some individuals [see Avvertimenti e precauzioni ].
Gravi reazioni avverse cutanee (SCAR)
Consiglia ai pazienti i segni e i sintomi di gravi manifestazioni cutanee. Inserire i pazienti a smettere di prendere Augmentin XR immediatamente e prontamente segnalare i primi segni o sintomi delle lesioni della mucosa per eruzione cutanea o qualsiasi altro segno di ipersensibilità [vedi Avvertimenti e precauzioni ].
Diarrea
Consiglio dei pazienti che la diarrea è un problema comune causato da farmaci antibatterici tra cui Augmentin XR che di solito termina quando il farmaco antibatterico viene interrotto. A volte dopo aver iniziato il trattamento con farmaci antibatterici, i pazienti possono sviluppare feci acquose e sanguinanti (con o senza crampi di stomaco e febbre) anche fino a 2 o più mesi dopo aver preso la loro ultima dose del farmaco antibatterico. Se la diarrea è grave o dura più di 2 o 3 giorni i pazienti devono contattare il proprio medico il più presto possibile [vedi Avvertimenti e precauzioni ].
Resistenza antibatterica
I pazienti dovrebbero essere consigliati che i farmaci antibatterici tra cui l'aumento XR dovrebbero essere usati solo per trattare le infezioni batteriche. I farmaci antibatterici non trattano le infezioni virali (ad esempio il raffreddore comune). Quando è prescritto Augmentin XR per il trattamento di un'infezione batterica, i pazienti dovrebbero essere detto che sebbene sia comune sentirsi meglio nelle prime fasi della terapia, il farmaco dovrebbe essere assunto esattamente come indicato. Saltare le dosi o non completare l'intero corso della terapia può: (1) ridurre l'efficacia del trattamento immediato e (2) aumentare la probabilità che i batteri sviluppino resistenza e non saranno curabili da Augmentin XR o altri farmaci antibatterici in futuro [vedi Avvertimenti e precauzioni ].