Le Informazioni Presenti Sul Sito Non Costituiscono Consulenza Medica. Non Vendiamo Nulla. L'Accuratezza Della Traduzione Non È Garantita. Disclaimer
ACE inibitori
Zestril
Riepilogo della droga
Cos'è Zestril?
Zestril ( lisinopril ) è un inibitore dell'enzima (ACE) di conversione dell'angiotensina utilizzato per trattare la pressione alta (ipertensione) insufficienza cardiaca congestizia e per migliorare la sopravvivenza dopo un attacco di cuore .
Quali sono gli effetti collaterali di Zestril?
Gli effetti collaterali di Zestril includono:
- tosse
- vertigini
- sonnolenza
- mal di testa
- depressione
- nausea
- vomito
- diarrea
- mal di stomaco e
- pelle lieve prurito o eruzione cutanea.
Dì al tuo medico se hai effetti collaterali improbabili ma gravi di Zestril, incluso:
- svenimento
- sintomi di un alto potassio Livello ematico (come debolezza muscolare lenta/irregolare battito cardiaco Pulse Sensazione di taglio)
- Segni di infezione (come i brividi di febbre persistenti mal di gola I sintomi dell'influenza dolori del corpo)
- cambiamenti nella quantità di urina
- rigonfiamento
- Rapido aumento di peso
- sensazione stanca
- battiti cardiaci martellanti o irregolari
- psoriasi (Avvolgimento argenteo della pelle) o
- dolore al petto.
Dosaggio per lo zestril
La dose iniziale raccomandata di Zestril è di 10 mg una volta al giorno. Zestril è assunto per via orale in forma di tablet.
Quali sostanze o integratori di farmaci interagiscono con lo azzurro?
Zestril può interagire con altri farmaci per la pressione sanguigna iniezioni d'oro litio potassio supplements salt substitutes that contain potassio insulin or oral diabetes medications aspirina o altri FANS (farmaci antinfiammatori non steroidei) o diuretici (pillole d'acqua). Dì al medico tutti i farmaci e gli integratori che usi.
Zestril durante la gravidanza e l'allattamento
Gli ACE -inibitori possono causare morbilità e morte fetali e neonatali quando somministrati alle donne in gravidanza. Quando viene rilevata la gravidanza, gli inibitori ACE dovrebbero essere sospesi il prima possibile. Non è noto se questo farmaco sia escreto nel latte umano. Consulta il medico prima dell'allattamento al seno.
dosaggio di bacche di biancospino per la pressione sanguigna
Ulteriori informazioni
Il nostro centro farmacologico a Zestril Effects fornisce una visione completa delle informazioni disponibili sui farmaci sui potenziali effetti collaterali quando si assume questo farmaco.
Informazioni sui farmaci FDA
- Descrizione del farmaco
- Indicazioni
- Dosaggio
- Effetti collaterali
- Interazioni farmacologiche
- Avvertimenti
- Overdose
- Farmacologia clinica
- Guida ai farmaci
AVVERTIMENTO
Tossicità fetale
- Quando la gravidanza viene rilevata, interrompere lo zestril il più presto possibile [vedi avvertimenti e PRECAUZIONI ].
- I farmaci che agiscono direttamente sulle renin-angiotens nel sistema possono causare lesioni e morte al feto in via di sviluppo [vedi avvertimenti e PRECAUZIONI ].
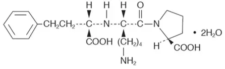
Descrizione per Zestril
Il lisinopril è un inibitore dell'enzima (ACE) di conversione dell'agiotensina a lungo termine orale. Lisinopril Un derivato del peptide sintetico è descritto chimicamente come (S) -1- [N2- (1-carbossy-3-fenilpropil) -L-lysyl] -lproline diidrato. La sua formula empirica è C 21 H 31 N 3 O 5 2h 2 O e la sua formula strutturale è:
|
Il lisinopril è una polvere cristallina da bianco a bianco sporco con un peso molecolare di 441,53. È solubile in acqua e con parsimonia solubile in metanolo e praticamente insolubile in etanolo.
Zestril è fornito come 2,5 mg 5 mg 10 mg 20 mg 30 mg e 40 mg di compresse per somministrazione orale.
Ingredienti inattivi
Compresse da 2,5 mg - amido di mannitolo stearato di magnesio fosfato di calcio.
5 10 20 e 30 mg compresse - Amido di ossido di ossido ferrico rosso di mannitolo di manniito di magnesio di calcio.
Compresse da 40 mg - Ossido di amido di amido di mannitolo giallo di mannitolo fosfato di calcio.
Usa per lo zestril
Ipertensione
Zestril è indicato per il trattamento dell'ipertensione in pazienti adulti e pazienti pediatrici di età pari o superiore a 6 anni per ridurre la pressione arteriosa. La riduzione della pressione sanguigna riduce il rischio di eventi cardiovascolari fatali e non fatali principalmente colpi e infarti del miocardio. Questi benefici sono stati osservati in studi controllati di farmaci antiipertensivi da un'ampia varietà di classi farmacologiche.
Il controllo dell'ipertensione dovrebbe far parte della gestione completa del rischio cardiovascolare, compresa l'adeguata gestione del diabete dei lipidi per la terapia antitrombotica per la cessazione del fumo e l'assunzione limitata di sodio. Molti pazienti richiederanno più di 1 farmaco per raggiungere gli obiettivi della pressione sanguigna. Per consigli specifici su obiettivi e management, consultare linee guida pubblicate come quelle del Comitato nazionale congiunto del Programma nazionale per la rilevazione della prevenzione e il trattamento della pressione alta (JNC).
Numerosi farmaci antiipertensivi provenienti da una varietà di classi farmacologiche e con diversi meccanismi d'azione sono stati dimostrati in studi randomizzati controllati per ridurre la morbilità e la morbilità cardiovascolare e si può concludere che si tratta di riduzione della pressione sanguigna e non alcune altre proprietà farmacologiche dei farmaci che sono molto responsabili per questi benefici. Il beneficio di risultato cardiovascolare più grande e coerente è stata una riduzione del rischio di ictus, ma sono state osservate regolarmente riduzioni dell'infarto miocardico e della mortalità cardiovascolare.
L'elevata pressione sistolica o diastolica provoca un aumento del rischio cardiovascolare e l'aumento del rischio assoluto per MMHG è maggiore a pressioni ematiche più elevate in modo che anche una modesta riduzione dell'ipertensione grave possa fornire benefici sostanziali. La riduzione del rischio relativo dalla riduzione della pressione sanguigna è simile tra le popolazioni con un rischio assoluto variabile, quindi il beneficio assoluto è maggiore nei pazienti che sono a rischio più elevato indipendentemente dalla loro ipertensione (ad esempio i pazienti con diabete o iperlipidemia) e che tali pazienti trarranno beneficio da un trattamento più aggressivo a un obiettivo di pressione sanguigna inferiore.
Alcuni farmaci antiipertensivi hanno effetti di pressione arteriosa più piccoli (come monoterapia) nei pazienti neri e molti farmaci antiipertensivi hanno ulteriori indicazioni ed effetti approvati (ad esempio sull'insufficienza cardiaca dell'angina o sulla malattia renale diabetica). Queste considerazioni possono guidare la selezione della terapia. Lo zestril può essere somministrato da solo o con altri agenti antiipertensivi [vedi Studi clinici ].
Insufficienza cardiaca
Zestril è indicato per ridurre i segni e i sintomi dell'insufficienza cardiaca sistolica [vedi Studi clinici ].
Riduzione della mortalità nell'infarto miocardico acuto
Lo zestril è indicato per la riduzione della mortalità nel trattamento di pazienti emodinamicamente stabili entro 24 ore dall'infarto miocardico acuto. I pazienti dovrebbero ricevere secondo i trattamenti standard raccomandati come l'aspirina di trombolitica e i beta-bloccanti [vedi Studi clinici ].
Dosaggio per lo zestril
Ipertensione
Terapia iniziale negli adulti : La dose iniziale consigliata è di 10 mg una volta al giorno. Il dosaggio deve essere regolato in base alla risposta alla pressione sanguigna. La solita gamma di dosaggio è da 20 a 40 mg al giorno somministrato in una singola dose giornaliera. Sono state usate dosi fino a 80 mg ma non sembrano dare maggiore effetto.
Usa con i diuretici negli adulti
Se la pressione sanguigna non è controllata con la sola a zestrile, può essere aggiunta una dose bassa di un diuretico (ad esempio idroclorotiazide 12,5 mg). Dopo l'aggiunta di un diuretico, potrebbe essere possibile ridurre la dose di zestril.
La dose di partenza raccomandata in pazienti adulti con ipertensione che assume i diuretici è di 5 mg una volta al giorno.
Pazienti pediatrici di età pari o superiore a 6 anni con ipertensione
Per i pazienti pediatrici con velocità di filtrazione glomerulare> 30 ml/min/1,73 m² la dose di partenza raccomandata è di 0,07 mg per kg una volta al giorno (fino a 5 mg in totale). Il dosaggio deve essere regolato in base alla risposta alla pressione arteriosa fino a un massimo di 0,61 mg per kg (fino a 40 mg) una volta al giorno. Dosi superiori a 0,61 mg per kg (o oltre 40 mg) non sono state studiate in pazienti pediatrici [vedi Farmacologia clinica ].
Zestril non è raccomandato nei pazienti pediatrici <6 years or in pediatric patients with glomerular filtration rate < 30 mL/min/1.73m² [see Utilizzare in popolazioni specifiche E Studi clinici ].
Insufficienza cardiaca
La dose iniziale raccomandata per lo zestril se utilizzata con diuretici e (di solito) digitale come terapia aggiuntiva per l'insufficienza cardiaca sistolica è di 5 mg una volta al giorno. La dose iniziale raccomandata in questi pazienti con iponatriemia (sodio sierico <130 mEq/L) is 2,5 mg once daily. Increase as tolerated to a maximum of 40 mg once daily.
Potrebbe essere necessario regolare la dose diuretica per aiutare a ridurre al minimo l'ipovolemia che può contribuire all'ipotensione [vedi AVVERTIMENTOS AND PRECAUZIONI E Interazioni farmacologiche ]. The appearance of hypotension after the initial dose of Zestril does not preclude subsequent careful dose titration with the drug following effective management of the hypotension.
Riduzione della mortalità nell'infarto miocardico acuto
Nei pazienti emodinamicamente stabili entro 24 ore dall'inizio dei sintomi dell'infarto miocardico acuto danno a zestrile 5 mg seguiti per via orale da 5 mg dopo 24 ore 10 mg dopo 48 ore e poi 10 mg una volta al giorno. Il dosaggio dovrebbe continuare per almeno sei settimane.
Iniziare la terapia con 2,5 mg in pazienti con bassa pressione arteriosa sistolica (≤ 120 mmHg e> 100 mmHg) durante i primi 3 giorni dopo l'infarto [vedi AVVERTIMENTOS AND PRECAUZIONI ]. If hypotension occurs (systolic blood pressure ≤ 100 mmHg) a daily maintenance dose of 5 mg may be given with temporary reductions to 2,5 mg if needed. If prolonged hypotension occurs (systolic blood pressure <90 mmHg for more than 1 hour) Zestril should be withdrawn.
Dose in pazienti con compromissione renale
Non è richiesto alcun regolazione della dose di zestril nei pazienti con autorizzazione della creatinina> 30 ml/min. Nei pazienti con clearance della creatinina ≥ 10 ml/min e ≤ 30 ml/min riducono la dose iniziale di zestrile a metà della normale dose raccomandata, cioè ipertensione 5 mg; insufficienza cardiaca sistolica 2,5 mg e MI acuto 2,5 mg. Il titolato è tollerato a un massimo di 40 mg al giorno. Per i pazienti in emodialisi o clearance della creatinina <10 mL/min the recommended initial dose is 2,5 mg once daily [see Utilizzare in popolazioni specifiche E Farmacologia clinica ].
Come fornito
Dosaggio Forms And Forzas
2,5 mg sono tavolette bianche rotonde di Biconvex non rivestite identificate come Zestril 2 ½ su un lato e 135 dall'altro lato.
5 mg sono tavolette non rivestite in biconvex a forma di capsula rosa identificate come azzetto su un lato e 130 dall'altra parte.
10 mg sono compresse rosa rotonde di Biconvex non rivestite identificate come Zestril 10 su un lato e 131 dall'altra parte.
20 mg sono tavolette rotonde di Biconvex rotonde identificate come Zestril 20 su un lato e 132 dall'altra parte.
30 mg sono compresse rotonde rotonde di biconvex non rivestite identificate come azzessero 30 su un lato e 133 dall'altra parte.
40 mg sono compresse gialle Round Biconvex non rivestite identificate come Zestril 40 su un lato e 134 dall'altra parte.
Archiviazione e maneggevolezza
Zestril è disponibile come compresse di Biconvex non rivestite in bottiglie di 90 e bottiglie di 100.
| Forza | Colore | Forma | Segnato | Lato 1/lato 2 | Conteggio delle bottiglie | NDC 52427- |
| 2,5 mg | Bianco | Girare | NO | Zestril 2½/135 | 90 compresse | 438-90 |
| 2,5 mg | Bianco | Girare | NO | Zestril 2½/135 | 100 compresse | 438-01 |
| 5 mg | Rosa | Capsulare | SÌ | Zestril/130 | 90 compresse | 439-90 |
| 5 mg | Rosa | Capsulare | SÌ | Zestril/130 | 100 compresse | 439-01 |
| 10 mg | Rosa | Girare | NO | Zestril 10/131 | 90 compresse | 440-90 |
| 10 mg | Rosa | Girare | NO | Zestril 10/131 | 100 compresse | 440-01 |
| 20 mg | Rosso | Girare | NO | Zestril 20/132 | 90 compresse | 441-90 |
| 20 mg | Rosso | Girare | NO | Zestril 20/132 | 100 compresse | 441-01 |
| 30 mg | Rosso | Girare | NO | Zestril 30/133 | 90 compresse | 442-90 |
| 30 mg | Rosso | Girare | NO | Zestril 30/133 | 100 compresse | 442-01 |
| 40 mg | Giallo | Girare | NO | Zestril 40/134 | 90 compresse | 443-90 |
| 40 mg | Giallo | Girare | NO | Zestril 40/134 | 100 compresse | 443-01 |
Conservare a temperatura ambiente controllata 20-25 ° C (68-77 ° F) [vedi USP ]. Protect from moisture freezing E excessive heat. Dispense in a tight container.
Prodotto da: Astrazeneca UK Limited Macclesfield UK. Distribuito da: Almatica Pharma Inc. Pine Brook NJ 07058 USA. Revisionato: marzo 2015.
Effetti collaterali for Zestril
Esperienza di studi clinici
Poiché gli studi clinici sono condotti in condizioni di reazione avversa ampiamente variabili osservate negli studi clinici di un farmaco non possono essere paragonati direttamente ai tassi negli studi clinici di un altro farmaco e potrebbero non riflettere i tassi osservati nella pratica.
Ipertensione
Negli studi clinici in pazienti con ipertensione trattati con azzetto il 5,7% dei pazienti su Zestril sospeso con reazioni avverse.
Sono state osservate le seguenti reazioni avverse (eventi maggiori del 2%su Zestril rispetto al placebo) con la sola uova a zestrile: mal di testa (del 3,8%) vertigini (del 3,5%) tosse (del 2,5%).
Insufficienza cardiaca
Nei pazienti con insufficienza cardiaca sistolica trattata con zestrile fino a quattro anni l'11% di terapia interrotta con reazioni avverse. Negli studi controllati in pazienti con terapia con insufficienza cardiaca è stato sospeso nell'8,1% dei pazienti trattati con zestril per 12 settimane rispetto al 7,7% dei pazienti trattati con placebo per 12 settimane.
Le seguenti reazioni avverse (eventi più grandi del 2%su Zestril rispetto al placebo) sono state osservate con zestril: ipotensione (del 3,8%) dolore toracico (del 2,1%).
Nel processo Atlas a due dosi [vedi Studi clinici ] Nei pazienti con insufficienza cardiaca i prelievi a causa di reazioni avverse non erano diversi tra i gruppi bassi e alti nel numero totale di interruzione (17-18%) o in rare reazioni specifiche ( <1%). The following adverse reactions mostly related to ACE inhibition were reported more commonly in the high dose group:
Tabella 1: Reazioni del farmaco avverso dose-correlato: studio ATLAS
| Dose elevata (n = 1568) | Dose bassa (n = 1596) | |
| Vertigini | 19% | 12% |
| Ipotensione | 11% | 7% |
| La creatinina è aumentata | 10% | 7% |
| Iperkalemia | 6% | 4% |
| Sincope | 7% | 5% |
Infarto miocardico acuto
I pazienti trattati con Zestril avevano una maggiore incidenza di ipotensione (del 5,3%) e disfunzione renale (dell'1,3%) rispetto ai pazienti che non assumono Zestril.
Altre reazioni avverse cliniche che si verificano nell'1% o superiore dei pazienti con ipertensione o insufficienza cardiaca trattati con azzetto in studi clinici controllati e non compaiono in altre sezioni di etichettatura sono elencate di seguito:
Corpo nel suo insieme: Fatica Effetti ortostatici di astenia.
Digestivo: Pancreatite Costipazione Flatulenza Diarrea secca secca.
Effetti collaterali delle pillole di progesterone bioidentico
Ematologico: Rari casi di depressione ossea anemia emolitica leucopenia/neutropenia e trombocitopenia.
Endocrino: Diabete mellito secrezione di ormone antidiuretico inappropriato.
Metabolico: Gotta.
Pelle: Orticaria alopecia fotosensibilità eritema diaforesi diaforesi cutaneo pseudolimfoma necrolisi epidermica stevens - sindrome di Johnson e prurito.
Sensi speciali: Perdita visiva Diplopia Visione offuscata Acufene Fotofobia Disturbi del gusto Disturbo olfattivo.
Urogenital: Impotenza.
Varie: È stato riportato un complesso di sintomi che può includere un ANA positivo un elevato tasso di sedimentazione di eritrociti artralgia/artrite Myalgia Vasculite eosinofilia leucocitosi parestesia e vertigini. La fotosensibilità erutta o altre manifestazioni dermatologiche possono verificarsi da sole o in combinazione con questi sintomi.
Risultati dei test di laboratorio clinico
Potassio sierico: Negli studi clinici iperkalemia (potassio sierico maggiore di 5,7 mEq/L) si è verificata nel 2,2% e il 4,8% dei pazienti trattati con ipertensione e insufficienza cardiaca [vedi rispettivamente [vedi AVVERTIMENTOS AND PRECAUZIONI ].
Azoto urea del sangue di creatinina: Sono stati osservati piccoli aumenti dell'azoto di urea nel sangue e della creatinina sierica dopo l'interruzione della terapia in circa il 2% dei pazienti con ipertensione trattati con solo a zestrile. Gli aumenti erano più comuni nei pazienti che ricevevano diuretici concomitanti e nei pazienti con stenosi dell'arteria renale [vedi AVVERTIMENTOS AND PRECAUZIONI ]. Reversible minor increases in blood urea nitrogen E serum creatinine were observed in 11.6% of patients with heart failure on concomitant diuretic therapy. Frequently these abnormalities resolved when the dosage of the diuretic was decreased.
I pazienti con infarto miocardico acuto nello studio GISSI-3 trattato con Zestril avevano un'incidenza più alta (NULL,4% contro l'1,1% in placebo) di disfunzione renale in ospedale e a sei settimane (aumentando la concentrazione di creatinina a oltre 3 mg/dl o una raddoppiazione o più della concentrazione di creatinina del siero basale).
Emoglobina ed ematocrito: Piccole diminuzioni di emoglobina ed ematocrito (diminuzioni medie rispettivamente di circa lo 0,4 g% e l'1,3 vol%) si sono verificate frequentemente nei pazienti trattati con zestrile ma raramente erano di importanza clinica nei pazienti senza un'altra causa di anemia. Negli studi clinici inferiori allo 0,1% dei pazienti hanno interrotto la terapia a causa dell'anemia.
Esperienza post-marketing
Le seguenti reazioni avverse sono state identificate durante l'uso post-approvazione di Zestril che non sono inclusi in altre sezioni di etichettatura. Poiché queste reazioni sono riportate volontariamente da una popolazione di dimensioni incerte, non è sempre possibile stimare in modo affidabile la loro frequenza o stabilire una relazione causale con l'esposizione ai farmaci.
Altre reazioni includono:
Metabolismo e disturbi nutrizionali
Iponatriemia [vedi AVVERTIMENTOS AND PRECAUZIONI ] Casi di ipoglicemia nei pazienti diabetici su agenti antidiabetici orali o insulina [vedi Interazioni farmacologiche ]
Sistema nervoso e disturbi psichiatrici
Alterazioni dell'umore (compresi i sintomi depressivi) ALLUCINAZIONI DI CONFIZIONE MENTALE
Disturbi della pelle e dei tessuti sottocutanei
Psoriasi
Interazioni farmacologiche for Zestril
Diuretici
L'inizio dello zestril nei pazienti in diuretici può comportare una riduzione eccessiva della pressione sanguigna. La possibilità di effetti ipotensivi con lo zestril può essere ridotta al minimo diminuendo o interrompendo l'assunzione diuretica o aumentando l'assunzione di sale prima dell'inizio del trattamento con lo zestrile. Se ciò non è possibile ridurre la dose iniziale di Zestril [vedi Dosaggio e amministrazione E AVVERTIMENTOS AND PRECAUZIONI ].
Zestril attenua la perdita di potassio causata da diuretici di tipo tiazidico. I diuretici con risparmio di potassio (spironolattone amiloride triamterene e altri) possono aumentare il rischio di iperkaliemia. Pertanto, se viene indicato l'uso concomitante di tali agenti, monitora frequentemente il potassio sierico del paziente.
Antidiabetici
La somministrazione concomitante di medicinali antidiabetici a zestril e agenti ipoglicemici orali) può causare un aumento dell'effetto di abbassamento del sangue-glucosio con il rischio di ipoglicemia.
NOn-Steroidal Anti-Inflammatory Agents Including Selective Cyclooxygenas e-2 Inhibitors (COX-2 Inhibitors )
Nei pazienti che sono anziani impoveriti di volume (compresi quelli in terapia diuretica) o con compromesso la co-somministrazione di co-somministrazione di FANS tra cui inibitori selettivi di COX-2 con ACE-inibitori, incluso il lisinopril, può comportare un deterioramento della funzione renale, incluso la possibile insufficienza renale acuta. Questi effetti sono generalmente reversibili. Monitorare periodicamente la funzione renale nei pazienti che ricevono terapia con lisinopril e FANS.
L'effetto antiipertensivo degli ACE -inibitori, incluso il lisinopril, può essere attenuato dai FANS.
Doppio blocco del sistema renina-angiotensina (RAS)
Il doppio blocco della RAS con bloccanti del recettore dell'angiotensina ACE inibitori o aliskiren è associato ad un aumento dei rischi di iperkaliemia ipotensione e cambiamenti nella funzione renale (compresa l'insufficienza renale acuta) rispetto alla monoterapia.
Lo studio del nefron VA ha arruolato 1448 pazienti con diabete di tipo 2 elevato il rapporto urinario-albumina-tocreatinina e una riduzione del tasso di filtrazione glomerulare stimato (GFR da 30 a 89,9 ml/min) li hanno randomizzati a lisinopril o placebo su uno sfondo di terapia di Losartan e li ha seguiti per una mediana di 2,2 anni. I pazienti che hanno ricevuto la combinazione di losartan e lisinopril non hanno ottenuto ulteriori benefici rispetto alla monoterapia per l'endpoint combinato di declino della malattia renale dello stato di fine GFR, ma hanno subito una maggiore incidenza di iperkalemia e lesioni renali acute rispetto al gruppo di monoterapia.
In generale evitare l'uso combinato di inibitori RAS. Monitorare da vicino la funzione renale della pressione arteriosa e gli elettroliti nei pazienti su Zestril e altri agenti che colpiscono la RAS.
Non somministrare il co-somministrazione aliskiren con a zestrile in pazienti con diabete. Evita l'uso di aliskiren con zestril in pazienti con compromissione renale (GFR <60 ml/min).
Litio
Litio toxicity has been reported in patients receiving litio concomitantly with drugs which cause elimination of sodium including ACE inhibitors. Litio toxicity was usually reversible upon discontinuation of litio E the ACE inhibitor. Monitor serum litio levels during concurrent use.
Oro
Le reazioni nitritoidi (i sintomi includono vomito e ipotensione di nausea e ipotensione) sono stati riportati raramente nei pazienti in terapia con oro iniettabile (aurotiomalato di sodio) e terapia concomitante ACE inibitore, incluso Zestril.
MTOR inibitori
I pazienti che assumono inibitori mTOR concomitanti (ad es. Temsirolimus ereverimus) la terapia possono essere ad aumentato rischio di angioedema. [Vedere AVVERTIMENTOS AND PRECAUZIONI ]
Avvertimenti per lo Zestril
Incluso come parte del PRECAUZIONI sezione.
Precauzioni per Zestril
Tossicità fetale
Lo zestril può causare danni fetali quando somministrato a una donna incinta. L'uso di farmaci che agiscono sul reninzestril può causare danni fetali quando somministrato a una donna incinta. L'uso di farmaci che agiscono sul sistema di renanansciotensina durante il secondo e il terzo trimestri di gravidanza riduce la funzione renale fetale e aumenta la morbilità e la morte fetale e neonatale. La risultante oligoidramnios può essere associata all'ipoplasia polmonare fetale e alle deformazioni scheletriche. I potenziali effetti avversi neonatali includono ipoplasia del cranio anuria ipotensione insufficienza renale e morte. Quando la gravidanza viene rilevata, interrompere lo zestril il più presto possibile [vedi Utilizzare in popolazioni specifiche ].
Reazioni di angioedema e anafilattoide
I pazienti che assumono inibitori mTOR concomitanti (ad es. Temsirolimus ereverimus) la terapia possono essere ad aumentato rischio di angioedema. [Vedere Interazioni farmacologiche ].
Angiedema
Angioedema testa e collo
Angiedema of the face extremities lips tongue glottis E/or laringe Compresi alcune reazioni fatali si sono verificate nei pazienti trattati con inibitori degli enzimi di conversione dell'angiotensina, inclusi lo zestrile in qualsiasi momento durante il trattamento. I pazienti con coinvolgimento della lingua glottisi o laringe probabilmente avverranno ostruzione delle vie aeree, specialmente quelli con una storia di chirurgia delle vie aeree. Lo zestril deve essere prontamente sospeso e la terapia e il monitoraggio appropriate dovrebbero essere fornite fino alla completa e sostenuta risoluzione dei segni e dei sintomi dell'angiedema.
I pazienti con una storia di angioedema non correlati alla terapia ACE -inibitore possono essere ad aumentato rischio di angioedema mentre ricevono un ACE -inibitore [vedi Controindicazioni ]. ACE inhibitors have been associated with a higher rate of angioedema in black than in non-black patients.
Puoi prendere l'aspirina con Plavix
Angiedema intestinale
L'angioedema intestinale si è verificato nei pazienti trattati con ACE inibitori. Questi pazienti presentavano dolore addominale (con o senza nausea o vomito); In alcuni casi non vi era alcuna storia precedente di angioedema facciale e livelli di esterasi C-1 erano normali. In alcuni casi l'angioedema è stato diagnosticato da procedure tra cui la TAC addominale o l'ecografia o durante la chirurgia e i sintomi risolti dopo aver interrotto l'ACE inibitore.
Reazioni anafilattoidi
Reazioni anafilattoidi During Desensitization
Due pazienti sottoposti a trattamento desensibilizzante con veleno di imenotteri mentre ricevono ACE-inibitori hanno sostenuto reazioni anafilattoidi minacciose.
Reazioni anafilattoidi During Dialysis
Sudden and potentially life threatening anaphylactoid reactions have occurred in some patients dialyzed with high-flux membranes and treated concomitantly with an ACE inhibitor. In such patients dialysis must be stopped immediately and aggressive therapy for anaphylactoid reactions must be initiated. Symptoms have not been relieved by antihistamines in these situations. In these patients consideration should be given to using a different type of dialysis membrane or a different class of antihypertensive agent. Anaphylactoid reactions have also been reported in patients undergoing low-density lipoprotein apheresis with dextran sulfate absorption.
Funzione renale alterata
Monitorare periodicamente la funzione renale nei pazienti trattati con azzetto. Cambiamenti nella funzione renale, incluso insufficienza renale acuta Può essere causato da farmaci che inibiscono il sistema renina-angiotensina. I pazienti la cui funzione renale può dipendere in parte dall'attività del sistema renina-angiotensina (ad esempio pazienti con stenosi renale della stenosi renale grave insufficienza cardiaca congestizia L'infarto post-miocardico o l'esaurimento del volume) può essere a rischio particolare di sviluppare insufficienza renale acuta sullo zestrile. Prendi in considerazione la ritenuta alla fonte o l'interruzione della terapia in pazienti che sviluppano una riduzione clinicamente significativa della funzione renale sullo azzulo [vedi Reazioni avverse Interazioni farmacologiche ].
Ipotensione
Lo zestril può causare ipotensione sintomatica talvolta complicata dall'oliguria progressiva azotemia insufficienza renale acuta o morte. I pazienti a rischio di ipotensione eccessiva includono quelli con le seguenti condizioni o caratteristiche: insufficienza cardiaca con pressione arteriosa sistolica inferiore a 100 mmHg di malattie ischemiche della malattia cerebrovascolare Iponatriemia Dose di terapia diuretica ad alta dose dialisi renale o volume grave e/o degustazione di sale di qualsiasi eziologia.
In questi pazienti lo zestril dovrebbe essere avviato sotto una stretta supervisione medica e tali pazienti devono essere seguiti da vicino per le prime due settimane di trattamento e ogni volta che la dose di azzetto e/o diuretico viene aumentata. Evita l'uso di azzetto in pazienti che sono emodinamicamente instabili dopo IM acuto.
L'ipotensione sintomatica è anche possibile nei pazienti con stenosi aortica grave o cardiomiopatia ipertrofica.
Chirurgia/anestesia
Nei pazienti sottoposti a gravi chirurgia o durante l'anestesia con agenti che producono ipotensione a Zestril può bloccare la formazione di angiotensina II secondaria al rilascio di renina compensativa. Se si verifica ipotensione ed è considerata dovuta a questo meccanismo, può essere corretta dall'espansione del volume.
Iperkalemia
Il potassio sierico deve essere monitorato periodicamente nei pazienti che ricevono a Zestril. I farmaci che inibiscono il sistema di angiotensina di renina possono causare iperkaliemia. I fattori di rischio per lo sviluppo dell'iperkalemia includono l'insufficienza renale diabete mellito E the concomitant use of potassio-sparing diuretics potassio supplements E/or potassio-containing salt substitutes [see Interazioni farmacologiche ].
Fallimento epatico
Gli ACE -inibitori sono stati associati a una sindrome che inizia con il colestatico ittero o epatite e progredisce verso la necrosi epatica fulminante e talvolta la morte. Il meccanismo di questa sindrome non è compreso. I pazienti che ricevono ACE -inibitori che sviluppano l'ittero o marcati aumenti degli enzimi epatici dovrebbero interrompere l'ACE inibitore e ricevere cure mediche adeguate.
NOnclinical Toxicology
Mutagenesi della carcinogenesi compromissione della fertilità
Non vi è stata alcuna evidenza di un effetto tumorigenico quando il lisinopril è stato somministrato per 105 settimane a ratti maschi e femmine a dosi fino a 90 mg per kg al giorno (circa 56 o 9 volte la dose umana giornaliera consigliata in base al peso corporeo e alla superficie corporea rispettivamente). Non c'erano prove di cancerogenicità quando Lisinopril veniva somministrato per 92 settimane a topi (maschi e femmine) a dosi fino a 135 mg per kg al giorno (circa 84 volte 1 La dose umana giornaliera massima raccomandata). Questa dose era 6,8 volte la dose umana massima in base alla superficie corporea nei topi.
Il lisinopril non era mutageno nel test di mutagen microbico Ames con o senza attivazione metabolica. Era anche negativo in un test di mutazione in avanti usando le cellule polmonari cinesi di criceto. Lisinopril non ha prodotto pause del DNA a filo singolo in un in vitro Assay di epatociti di ratto di elkaline. Inoltre Lisinopril non ha prodotto aumenti delle aberrazioni cromosomiche in un in vitro Test nelle cellule di ovaie del criceto cinese o in un in vivo Studio nel midollo osseo del topo.
Non ci sono stati effetti avversi sulle prestazioni riproduttive nei ratti maschi e femmine trattati con fino a 300 mg per kg al giorno di lisinopril. Questa dose è di 188 volte e 30 volte la dose umana massima se basata su mg/kg e mg/m² rispettivamente.
Gli studi sui ratti indicano che il lisinopril attraversa male la barriera cerebrale nel sangue. Dosi multiple di lisinopril nei ratti non provocano l'accumulo in nessun tessuto. Il latte di ratti in allattamento contiene radioattività dopo la somministrazione di 14 C lisinopril. Per autoradiografia del corpo a tutto il corpo è stata trovata la radioattività nella placenta in seguito alla somministrazione di farmaci etichettati a ratti in gravidanza, ma nessuno è stato trovato nei feti.
1 I calcoli assumono un peso umano di 50 kg e una superficie corporea umana di 1,62 m²
Utilizzare in popolazioni specifiche
Gravidanza
Riepilogo del rischio
Lo zestril può causare danni fetali quando somministrato a una donna incinta. L'uso di farmaci che agiscono sul sistema di renanansciotensina durante il secondo e il terzo trimestri di gravidanza riduce la funzione renale fetale e aumenta la morbilità e la morte fetale e neonatale. La maggior parte degli studi epidemiologici che esaminano le anomalie fetali dopo l'esposizione all'uso antiipertensivo nel primo trimestre non hanno distinto i farmaci che colpiscono il sistema renina-angiotensina da altri agenti antiipertensivi. Quando la gravidanza viene rilevata, interrompere lo zestril il più presto possibile.
Il rischio di background stimato di importanti difetti alla nascita e aborto spontaneo per la popolazione / i indicata sono sconosciuti. Nella popolazione degli Stati Uniti generali il rischio di background stimato di gravi difetti alla nascita e aborto spontaneo nelle gravidanze clinicamente riconosciute è rispettivamente del 2-4% e del 15-20%.
Considerazioni cliniche
Rischio materno e/o embrione/o fetale associato alla malattia
Ipertensione in pregnancy increases the maternal risk for pre-eclampsia gestational diabetes premature delivery E delivery complications (e.g. need for cesarean section E post-partum hemorrhage). Ipertensione increases the fetal risk for intrauterine growth restriction E intrauterine death. Pregnant women with hypertension should be carefully monitored E managed accordingly.
Reazioni avverse fetali/neonatali
Gli oligoidramnios nelle donne in gravidanza che usano farmaci che colpiscono il sistema renina-angiotensina nel secondo e terzo trimestri di gravidanza possono comportare la seguente funzione renale fetale che porta a anuria e insufficienza renale Ipoplasia polmonare fetale e deformazioni scheletriche tra cui le ipoplasia del cranio e la morte. Nel caso insolito che non vi è alcuna alternativa appropriata alla terapia con farmaci che colpiscono il sistema renina-angiotensina per un particolare paziente, acconsentono alla madre del potenziale rischio per il feto.
Eseguire esami ecografici seriali per valutare l'ambiente intra-amniotico. I test fetali possono essere appropriati in base alla settimana della gravidanza. I pazienti e i medici dovrebbero essere consapevoli che gli oligoidramnios potrebbero non apparire fino a quando il feto ha subito lesioni irreversibili. Osservare da vicino i neonati con storie di esposizione utera a Zestril per oliguria ipotensione e iperkalemia. Se si verificano oliguria o ipotensione nei neonati con una storia di esposizione in utero allo zestril supporta la pressione sanguigna e la perfusione renale. Le trasfusioni di scambio o la dialisi possono essere richieste come mezzo per invertire ipotensione e sostituire la funzione renale disordinata.
Lattazione
Riepilogo del rischio
NO data are available regarding the presence of lisinopril in human milk or the effects of lisinopril on the breast fed infant or on milk production. Lisinopril is present in rat milk. Because of the potential for severe adverse reactions in the breastfed infant advise women not to breastfeed during treatment with Zestril.
Uso pediatrico
Gli effetti antiipertensivi e la sicurezza dello zestril sono stati stabiliti in pazienti pediatrici di età compresa tra 6 e 16 anni [vedi Dosaggio e amministrazione E Studi clinici ]. NO relevant differences between the adverse reaction profile for pediatric patients E adult patients were identified.
Sicurezza ed efficacia di Zestril non sono stati stabiliti in pazienti pediatrici di età inferiore ai 6 anni o in pazienti pediatrici con velocità di filtrazione glomerulare <30 mL/min/1.73 m² [see Dosaggio e amministrazione Farmacologia clinica E Studi clinici ].
Neonati con una storia di esposizione in utero a Zestril
Se l'oliguria o l'ipotensione si verificano attenzione diretta verso il supporto della pressione sanguigna e della perfusione renale. Le trasfusioni di scambio o la dialisi possono essere richieste come mezzo per invertire ipotensione e/o sostituire la funzione renale disordinata.
Uso geriatrico
NO dosage adjustment with Zestril is necessary in elderly patients. In a clinical study of Zestril in patients with myocardial infarctions (GISSI-3 Trial) 4413 (47%) were 65 E over while 1656 (18%) were 75 E over. In this study 4.8 % of patients aged 75 years E older discontinued Zestril treatment because of renal dysfunction vs. 1.3% of patients younger than 75 years. NO other differences in safety or effectiveness were observed between elderly E younger patients but greater sensitivity of some older individuals cannot be ruled out.
Gara
Gli ACE -inibitori, incluso lo zestril, hanno un effetto sulla pressione sanguigna che è meno nei pazienti neri che nei neri.
Compromissione renale
L'adeguamento della dose di zestril è richiesta nei pazienti sottoposti a emodialisi o la cui clearance della creatinina è ≤ 30 ml/min. Non è richiesto alcun aggiustamento della dose di zestril nei pazienti con autorizzazione della creatinina> 30 ml/min [vedi Dosaggio e amministrazione E Farmacologia clinica ].
Informazioni per overdose per lo zestrile
A seguito di una singola dose orale di 20 g/kg non si è verificata la letalità nei ratti e la morte si è verificata in uno dei 20 topi che hanno ricevuto la stessa dose. La manifestazione più probabile del sovradosaggio sarebbe l'ipotensione per la quale il trattamento abituale sarebbe l'infusione endovenosa di normale soluzione salina.
Il lisinopril può essere rimosso dall'emodialisi [vedi Farmacologia clinica ].
Controindicazioni per Zestril
Zestril è controindicato nei pazienti con:
- Una storia di angioedema o ipersensibilità correlata al trattamento precedente con un inibitore degli enzimi di conversione dell'angiotensina
- Angiedema ereditario o idiopatico
Non somministrare il co-somministrazione aliskiren con lo zestrile in pazienti con diabete [vedi Interazioni farmacologiche ]
può synthroid causare ipertensione
Farmacologia clinica for Zestril
Meccanismo d'azione
Il lisinopril inibisce l'enzima (ACE) di conversione dell'angiotensina in soggetti e animali umani. L'ACE è un peptidil dipeptidasi che catalizza la conversione dell'angiotensina I nella sostanza vasocostrittore angiotensina II. L'angiotensina II stimola anche la secrezione di aldosterone da parte della corteccia surrenale. Gli effetti benefici del lisinopril nell'ipertensione e dell'insufficienza cardiaca sembrano derivare principalmente dalla soppressione del sistema renina-angiotensina-aldosterone. L'inibizione dell'ACE provoca una riduzione dell'angiotensina plasmatica II che porta a una riduzione dell'attività del vasopressore e alla riduzione della secrezione di aldosterone. Quest'ultima riduzione può comportare un piccolo aumento del potassio sierico. Nei pazienti ipertesi con funzionalità renale normale trattata con solo a zestrile per un massimo di 24 settimane l'aumento medio del potassio sierico era di circa 0,1 mEq/L; Tuttavia, circa il 15% dei pazienti ha avuto aumenti superiori a 0,5 mEq/L e circa il 6% ha avuto una diminuzione maggiore di 0,5 mEq/L. Nello stesso studio i pazienti trattati con zestril e idroclorotiazide per un massimo di 24 settimane avevano una riduzione media del potassio sierico di 0,1 meq/L; Circa il 4% dei pazienti ha avuto aumenti superiori a 0,5 mEq/L e circa il 12% ha avuto una diminuzione maggiore di 0,5 mEq/L [vedi Studi clinici ]. Removal of angiotensin II negative feedback on renin secretion leads to increased plasma renin activity.
L'ACE è identico alla chininasi un enzima che degrada la bradichinina. Resta da chiarire se aumentando i livelli di bradykinina, un potente peptide vasodepressore svolge un ruolo negli effetti terapeutici di Zestril.
Mentre si ritiene che il meccanismo attraverso il quale Zestril abbassa la pressione sanguigna sia principalmente la soppressione del sistema renina-angiotensina-aldosterone, lo zestril è antiipertensivo anche nei pazienti con ipertensione a bassa renina. Sebbene lo zestril fosse antiipertensivo in tutte le razze studiate pazienti ipertensivi neri (di solito una popolazione ipertensiva a bassa renina) aveva una risposta media più piccola alla monoterapia rispetto ai pazienti non neri.
La somministrazione concomitante di zestril e idroclorotiazide ha ulteriormente ridotto la pressione sanguigna nei pazienti neri e non neri e le differenze razziali nella risposta alla pressione sanguigna non erano più evidenti.
Farmacodinamica
Ipertensione
Pazienti adulti : La somministrazione di zestril ai pazienti con ipertensione provoca una riduzione della pressione arteriosa sia supina che permanente nella stessa misura senza tachicardia compensativa. Sintomatico Ipotensione posturale di solito non è osservato sebbene possa verificarsi e deve essere anticipato in volume e/o pazienti con impoverita di sale [vedi AVVERTIMENTOS AND PRECAUZIONI ]. When given together with thiazide-type diuretics the blood pressure lowering effects of the two drugs are approximately additive.
Nella maggior parte dei pazienti ha studiato l'inizio dell'attività antiipertensiva è stato osservato a un'ora dopo la somministrazione orale di una dose individuale di zestrile con la riduzione del picco della pressione sanguigna ottenuta di 6 ore. Sebbene sia stato osservato un effetto antiipertensivo 24 ore dopo il dosaggio con dosi singoli giornaliere raccomandate, l'effetto era più coerente e l'effetto medio era considerevolmente più grande in alcuni studi con dosi di 20 mg o più rispetto a dosi più basse; Tuttavia, a tutte le dosi hanno studiato l'effetto antiipertensivo medio è stato sostanzialmente più piccolo 24 ore dopo il dosaggio rispetto a 6 ore dopo il dosaggio.
Gli effetti antiipertensivi dello zestril vengono mantenuti durante la terapia a lungo termine. Il brusco ritiro di Zestril non è stato associato a un rapido aumento della pressione sanguigna o un aumento significativo della pressione sanguigna rispetto ai livelli di pretrattamento.
NOn-Steroidal Anti-Inflammatory Agents
In uno studio su 36 pazienti con ipertensione da lieve a moderata in cui gli effetti antiipertensivi del solo a zestril sono stati confrontati con lo zestrile somministrato in concomitanza con l'indometacina, l'uso dell'indometacina era associato a un effetto ridotto sebbene la differenza tra i due regimi non fosse significativa.
Farmacocinetica
Pazienti adulti : Dopo la somministrazione orale delle concentrazioni sieriche di picco a zestril di lisinopril si verificano entro circa 7 ore, sebbene vi sia stata una tendenza a un piccolo ritardo nel tempo impiegato per raggiungere le concentrazioni sieriche di picco nei pazienti acuti di infarto miocardico. Il cibo non altera la biodisponibilità di Zestril. Le concentrazioni sieriche in calo mostrano una fase terminale prolungata che non contribuisce all'accumulo di farmaci. Questa fase terminale rappresenta probabilmente un legame saturabile ad ACE e non è proporzionale alla dose. Al momento del dosaggio multiplo il lisinopril presenta un'emivita efficace di 12 ore.
Lisinopril non sembra essere legato ad altre proteine sieriche. Lisinopril non subisce metabolismo e viene escreto invariato interamente nelle urine. Sulla base del recupero urinario, l'estensione media dell'assorbimento del lisinopril è di circa il 25% con grande variabilità intersoggetto (6-60%) a tutte le dosi testate (5-80 mg). La biodisponibilità assoluta di lisinopril è ridotta al 16% nei pazienti con insufficienza cardiaca congestizia di classe II-IV NYHA e il volume di distribuzione sembra essere leggermente più piccolo di quello nei soggetti normali. La biodisponibilità orale del lisinopril nei pazienti con infarto miocardico acuto è simile a quella dei volontari sani.
La funzionalità renale alterata diminuisce l'eliminazione del lisinopril che viene escreta principalmente attraverso i reni, ma questa diminuzione diventa clinicamente importante solo quando il tasso di filtrazione glomerulare è inferiore a 30 ml/min. Al di sopra di questo tasso di filtrazione glomerulare, l'emivita di eliminazione è poco cambiata. Con una maggiore compromissione, tuttavia, è prolungato i livelli di picco e trogoli di lisinopril aumentano il tempo a picco di concentrazione e il tempo per raggiungere lo stato stazionario [vedi Dosaggio e amministrazione ]. Lisinopril can be removed by hemodialysis.
Pazienti pediatrici : I farmacocinetici del lisinopril sono stati studiati in 29 pazienti ipertesi pediatrici tra 6 e 16 anni con tasso di filtrazione glomerulare> 30 ml/min/1,73 m. Dopo dosi da 0,1 a 0,2 mg per kg, le concentrazioni plasmatiche di picco di picco di lisinopril si sono verificate entro 6 ore e l'entità dell'assorbimento in base al recupero urinario era di circa il 28%. Questi valori sono simili a quelli ottenuti in precedenza negli adulti. Il valore tipico della clearance orale di Lisinopril (gioco sistemico/biodisponibilità assoluta) in un bambino che pesa 30 kg è di 10 L/h, il che aumenta in proporzione alla funzione renale. In uno studio farmacocinetico multicentrico di lisinopril orale quotidiano in 22 pazienti ipertesi pediatrici con trapianto renale stabile (età di 7-17 anni; tasso di filtrazione glomerulare stimato> 30 ml/min/1,73 m²) Le esposizioni dose normalizzate erano nell'intervallo precedentemente riportato in bambini senza un trapianto di remi.
Studi clinici
Ipertensione
Sono stati condotti due studi dose-risposta che utilizzano un regime una volta al giorno in 438 pazienti ipertesi da lieve a moderata non su un diuretico. La pressione sanguigna è stata misurata 24 ore dopo il dosaggio. È stato osservato un effetto antiipertensivo di Zestril con 5 mg di zestrile in alcuni pazienti. Tuttavia, in entrambi gli studi la riduzione della pressione arteriosa si è verificata prima ed è stata maggiore nei pazienti trattati con 10 20 o 80 mg di zestrile rispetto ai pazienti trattati con 5 mg di zestril.
Negli studi clinici controllati su pazienti con ipertensione da lieve a moderata i pazienti sono stati trattati con zestril 20-80 mg giornaliero di idroclorotiazide 12,5-50 mg al giorno o atenololo 50-200 mg al giorno; e in altri studi su pazienti con ipertensione da moderati a gravi sono stati trattati con a zestril 20-80 mg al giorno o al metoprololo 100-200 mg al giorno. Zestril ha dimostrato riduzioni superiori di sistolica e diastolica rispetto all'idroclorotiazide in una popolazione che era del 75% caucasica. Lo zestril era approssimativamente equivalente ad atenololo e metoprololo nel ridurre la pressione arteriosa diastolica e ha avuto effetti leggermente maggiori sulla pressione arteriosa sistolica.
Zestril ha avuto riduzioni di pressione arteriosa simili ed effetti avversi nei pazienti più giovani e più anziani (> 65 anni). Era meno efficace nel ridurre la pressione sanguigna nei neri che nei caucasici.
Negli studi emodinamici di zestril nei pazienti con riduzione essenziale della pressione arteriosa è stata accompagnata da una riduzione della resistenza arteriosa periferica con scarsa o nessuna variazione della gittata cardiaca e della frequenza cardiaca. In uno studio su nove pazienti ipertensivi a seguito della somministrazione di Zestril si è verificato un aumento del flusso sanguigno renale medio che non era significativo. I dati di diversi piccoli studi sono incompatibili rispetto all'effetto del lisinopril sul tasso di filtrazione glomerulare in pazienti ipertesi con funzione renale normale, ma suggeriscono che i cambiamenti se presenti non sono grandi.
Nei pazienti con ipertensione rinnovascolare, è stato dimostrato che è ben tollerato ed efficace nel ridurre la pressione sanguigna [vedi AVVERTIMENTOS AND PRECAUZIONI ].
Pazienti pediatrici : In uno studio clinico che coinvolge 115 pazienti pediatrici ipertensivi da 6 a 16 anni di età che pesavano <50 kg received either 0.625 2.5 or 20 mg of Zestril once daily and patients who weighed ≥ 50 kg received either 1.25 5 or 40 mg of Zestril once daily. At the end of 2 weeks Zestril lowered trough blood pressure in a dose-dependent manner with antihypertensive efficacy demonstrated at doses> 1,25 mg (NULL,02 mg per kg). Questo effetto è stato confermato in una fase di astinenza randomizzata in cui la pressione diastolica è aumentata di circa 9 mmHg in più nei pazienti randomizzati al placebo rispetto ai pazienti che sono rimasti alle dosi medie e alte di lisinopril. L'effetto antiipertensivo dosependente di Zestril era coerente in diversi sottogruppi demografici: sesso e razza dello stadio di Tanner di età. In questo studio Lisinopril era generalmente ben tollerato.
Negli studi pediatrici di cui sopra, lo zestril è stato somministrato come compresse o in sospensione per quei bambini e neonati che non erano in grado di deglutire le compresse o che hanno richiesto una dose più bassa di quella disponibile in forma di compressa [vedi Dosaggio e amministrazione ].
Insufficienza cardiaca
In due studi clinici di 12 settimane controllati con placebo hanno confrontato l'aggiunta di zestril fino a 20 mg al giorno con la sola digitale e i diuretici. La combinazione di digitale a zestril e diuretici ha ridotto i seguenti segni e sintomi di insufficienza cardiaca: edema rales parossistica dispnea notturna e distensione venosa giugulare. In uno degli studi la combinazione di digitale a zestril e diuretici ha ridotto la presenza di ortopnea del suono del terzo cuore e il numero di pazienti classificati come NYHA Classe III e IV; e una migliore tolleranza all'esercizio. Uno studio di sopravvivenza di grandi dimensioni (oltre 3000 pazienti) lo studio ATLAS confrontando 2,5 e 35 mg di lisinopril nei pazienti con insufficienza cardiaca sistolica ha mostrato che la dose più elevata di lisinopril aveva esiti almeno tanto quanto la dose più bassa.
Durante gli studi clinici controllati al basale in pazienti con insufficienza cardiaca sistolica che ricevevano digitali e diuretici singole dosi di zestril hanno comportato una riduzione della resistenza vascolare sistemica a cuneo polmonare e della pressione arteriosa accompagnata da un aumento della produzione cardiaca e nessuna variazione della frequenza cardiaca.
Infarto miocardico acuto
Lo studio GRUPPO Italiano per lo studio di Sopravvienza Nella'infarto Miocardico (GISSI-3) era una sperimentazione clinica non bloccante randomizzata controllata multicentrica condotta nel 19394 pazienti con infarto miocardico acuto (MI) ammesso a un'unità di cura coronarica. È stato progettato per esaminare gli effetti del trattamento a breve termine (6 settimane) con nitrati di lisinopril la loro combinazione o nessuna terapia con mortalità a breve termine (6 settimane) e sulla morte a lungo termine e marcatamente compromessa la funzione cardiaca. I pazienti emodinamicamente stabili che presentavano entro 24 ore dall'inizio dei sintomi sono stati randomizzati in un design fattoriale 2 x 2 a sei settimane di 1) solo a zestrile (n = 4841) 2) solo nitrati (n = 4869) 3) a Zestril più nitrati (n = 4841) o 4) controllo aperto (n = 4843). Tutti i pazienti hanno ricevuto terapie di routine tra cui trombolitica (72%) aspirina (84%) e un beta bloccante (31%), come appropriato normalmente utilizzato nei pazienti con infarto miocardico acuto (MI).
Il protocollo ha escluso i pazienti con ipotensione (pressione arteriosa sistolica ≤ 100 mmHg) insufficienza cardiaca grave cardiogenica shock e disfunzione renale (creatinina sierica> 2 mg per DL e/o proteinuria> 500 mg per 24 ore). I pazienti randomizzati a Zestril hanno ricevuto 5 mg entro 24 ore dall'inizio dei sintomi 5 mg dopo 24 ore e poi 10 mg al giorno in seguito. I pazienti con pressione arteriosa sistolica inferiori a 120 mmHg al basale hanno ricevuto 2,5 mg di azzurro. Se si è verificata ipotensione, la dose a zestrile è stata ridotta o se si è verificata una grave ipotensione a zestril [vedi Dosaggio e amministrazione ].
Gli esiti primari della sperimentazione sono stati la mortalità complessiva a 6 settimane e un end point combinato a 6 mesi dopo l'infarto miocardico costituito dal numero di pazienti deceduti avevano l'insufficienza cardiaca congestizia clinica in ritardo (Giorno 4) o aveva un vasto danno ventricolare sinistro definito come frazione di eiezione ≤ 35% o un punteggio dischiletico [A-D] ≥ 45%. I pazienti che ricevevano zestril (n = 9646) da soli o con nitrati avevano un rischio di morte più basso dell'11% (p = 0,04) rispetto ai pazienti che non ricevevano lo zestrile (n = 9672) (rispettivamente 6,4% vs. 7,2%) a sei settimane. Sebbene i pazienti randomizzati a ricevere a zestrile per un massimo di sei settimane siano andati anche in modo numericamente migliore sull'end point combinato a 6 mesi la natura aperta della valutazione dell'insufficienza cardiaca perdita sostanziale per seguire l'ecocardiografia e l'uso sostanziale in eccesso di zestrile tra 6 settimane e 6 mesi nel gruppo randomizzato a 6 settimane di lisinopril preclude qualsiasi conclusione sul punto fine.
I pazienti con infarto miocardico acuto trattati con zestril avevano un'incidenza più alta (NULL,0% contro 3,7%) di ipotensione persistente (pressione arteriosa sistolica <90 mmHg for more than 1 hour) E renal dysfunction (2.4% versus 1.1%) in-hospital E at six weeks (increasing creatinine concentration to over 3 mg per dL or a doubling or more of the baseline serum creatinine concentration) [see Reazioni avverse ].
Informazioni sul paziente per lo zestril
NOTA: Queste informazioni hanno lo scopo di aiutare nell'uso sicuro ed efficace di questo farmaco. Non è una divulgazione di tutti i possibili effetti avversi o previsti.
Gravidanza
Consiglia alle donne in gravidanza e alle femmine del potenziale riproduttivo del potenziale rischio per un feto. Consiglia alle femmine del potenziale riproduttivo di notificare al proprio operatore sanitario con una gravidanza nota o sospetta [vedi AVVERTIMENTOS AND PRECAUZIONI E Utilizzare in popolazioni specifiche ].
Angiedema
Angiedema including laryngeal edema may occur at any time during treatment with angiotensin converting enzyme inhibitors including Zestril. Tell patients to report immediately any signs or symptoms suggesting angioedema (rigonfiamento of face extremities eyes lips tongue difficulty in swallowing or breathing) E to take no more drug until they have consulted with the prescribing physician.
Lattazione
Consiglia alle donne di non allattare al seno durante il trattamento con lo zestrile [vedi Utilizzare in popolazioni specifiche ]
Ipotensione sintomatica
Di 'ai pazienti di segnalare la luce della luce soprattutto durante i primi giorni di terapia. Se si verifica una sincope effettiva, si dice al paziente di interrompere il farmaco fino a quando non si sono consultati con il medico prescrittore.
Dire ai pazienti che l'eccessiva sudore e disidratazione possono portare a una caduta eccessiva della pressione sanguigna a causa della riduzione del volume dei fluidi. Altre cause di deplezione del volume come vomito o diarrea possono anche portare a una caduta della pressione sanguigna; consiglia i pazienti di conseguenza.
Iperkalemia
Di 'ai pazienti di non utilizzare sostituti di sale contenenti potassio senza consultare il proprio medico.
Ipoglicemia
Racconta i pazienti diabetici trattati con agenti antidiabetici orali o insulina che iniziano un ACE -inibitore per monitorare da vicino l'ipoglicemia soprattutto durante il primo mese di uso combinato [vedi Interazioni farmacologiche ].
Leucopenia/Neutropenia
Dì ai pazienti di segnalare tempestivamente qualsiasi indicazione di infezione (ad es. mal di gola febbre) che può essere un segno di leucopenia/ Neutropenia .