Le Informazioni Presenti Sul Sito Non Costituiscono Consulenza Medica. Non Vendiamo Nulla. L'Accuratezza Della Traduzione Non È Garantita. Disclaimer



Rimuovere il

Riepilogo della droga

Cos'è Supprelin LA?

Supprelin LA (acetato di Histrelin) è una forma artificiale di ormone che rilascia la gonadotropina (GNRH) usato per trattare la pubertà precoce nei bambini maschi e femmine. Il marchio Vantas di Histrelin è usato per trattare i sintomi del cancro alla prostata negli uomini e non dovrebbe essere usato nelle donne o nei bambini.

Quali sono gli effetti collaterali di Supprelin LA?

Rimuovere il



  • orticaria
  • Difficoltà a respirare
  • gonfiore della lingua o della gola
  • dolore alle ossa
  • intorpidimento o debolezza nelle gambe o nei piedi
  • minzione dolorosa o difficile
  • sangue nelle urine
  • confisca
  • incantesimi piangenti
  • rabbia
  • aggressione
  • irrequietezza e
  • irritabilità

Ottieni subito assistenza medica se hai uno qualsiasi dei sintomi sopra elencati.



Gli effetti collaterali comuni di Supprelin LA includono:

Qual è l'effetto di cardizem
  • Irritazione nel sito dell'impianto (come il rossore del dolore lividi)
  • sbalzi d'umore
  • mal di testa
  • naso
  • stanchezza
  • Cambiamenti di peso
  • stipsi
  • sudori notturni
  • Sentirsi caldo o freddo
  • impotenza
  • Perdita di interesse per il sesso
  • difficoltà ad avere un orgasmo o
  • dolore o gonfiore nei testicoli.

Nelle ragazze che usano questo farmaco per i primi effetti collaterali della pubertà della Supprelin LA includono gonfiore del seno o tenerezza anormale di dolore mestruale del sanguinamento vaginale o sanguinamento mestruale pesante.



Cerca cure mediche o chiama il 911 contemporaneamente se hai i seguenti gravi effetti collaterali:

  • Sintomi di occhiali gravi come la perdita di visione improvvisa del tunnel della visione sfocata Dolore alla visione o gonfiore o vedere aloni attorno alle luci;
  • Sintomi cardiaci gravi come battiti cardiaci irregolari o martellanti veloci; svolazzando nel petto; fiato corto; e vertigini improvvise Accendino o svenire;
  • Grave mal di testa confusione Il braccio del linguaggio bloccato o la debolezza delle gambe problemi perdite perdita di coordinamento sentendoti instabili muscoli molto rigidi ad alta febbre abbondante sudorazione o tremori.

Questo documento non contiene tutti i possibili effetti collaterali e altri possono verificarsi. Verificare con il tuo medico ulteriori informazioni sugli effetti collaterali.

Dosaggio per sopprelin LA

La dose raccomandata di Supprelin LA è un impianto ogni 12 mesi. Ogni impianto contiene 50 mg di acetato di istrelina. L'impianto viene inserito per via sottocutanea nell'aspetto interno della parte superiore del braccio e fornisce un rilascio continuo di acetato di istrelina (65 mcg/giorno) per 12 mesi di terapia ormonale.

Quali sostanze o integratori di farmaci interagiscono con la supprelin LA?

Altri farmaci possono interagire con la supplena LA. Dì al medico tutti i farmaci e gli integratori che usi.

Supprelin LA durante la gravidanza o l'allattamento

Supprelin LA non è approvato per l'uso nelle donne. Non deve essere usato durante la gravidanza. Può danneggiare un feto. Non è noto se questo farmaco passi nel latte materno o se potrebbe danneggiare un bambino che allatta. Consulta il medico prima dell'allattamento al seno.

Ulteriori informazioni

Il nostro Centro farmacologico di Supprelin LA (acetato di Histrelin) fornisce una visione completa delle informazioni disponibili sui farmaci sui potenziali effetti collaterali durante l'assunzione di questo farmaco.

Informazioni sui farmaci FDA

Descrizione per Supprelin LA

La sopprelin LA è un serbatoio sterile non biodegradabile a diffusione a diffusione che contenente acetato di istrelina a acetato sintetico non appettico sintetico dell'ormone che rilascia la gonadotropina naturale (GNRH) che possiede una potenza maggiore rispetto all'ormone della sequenza di sequenze naturali. Supprelin LA è progettata per fornire circa 65 mcg di acetato di istrelina al giorno in 12 mesi.

L'impianto di Supprelin LA sembra un piccolo tubo flessibile sottile ed è costituito da un nucleo di farmaco acetato di istrelina da 50 mg all'interno di un serbatoio polimerico idrogel cilindrico di 3,5 cm per 3 mm (Figura 1).

Figura 1: Diagramma di impianto di Supprelin LA (non ridimensionare)

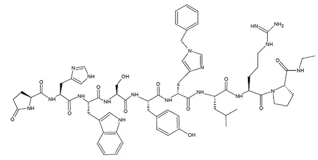
Il nome chimico dell'acetato di istrelina è: l-piroglutamil-L-istidil-L-triptofilo-L-Seryl-L-tirosil-N-benzil-istidil-L-leucil-L-arginil-L-prolina N-etilammide acetato di sale.

La formula molecolare per acetato di istrelina è C 66 H 86 N 18 O 12 x 2ch 3 COOH e il suo peso molecolare sono 1443,70 (o 1323,52 come base libera). L'istrelina è anche chimicamente descritta come 5-oxo-L-prolil-l-istidil-L-triptofil-lseryl-l-tirosil-nt-benzil-D-istidil-L-leucil-L-arginil-n-etile-l-prolinamide diacetato. La struttura chimica della base libera (istrelina) è rappresentata di seguito nella Figura 2.

Figura 2: Struttura di Histrelin

Il nucleo del farmaco contiene anche l'ingrediente inattivo NF di acido stearico. Il serbatoio del polimero di idrogel è una cartuccia idrofila composta da 2-idrossietil metacrilato 2-idrossipropil metacrilato trimetilolpropano trimetacrilato benzoin metil etere perkadox-16 e Triton X-100. Ogni impianto è confezionato idratato in una fiala di vetro contenente 2 ml di soluzione sterile di cloruro di sodio all'1,8% in modo che sia innescato per il rilascio immediato del farmaco dopo l'inserimento.

Viene fornito uno strumento di inserzione sterile a uso singolo insieme all'impianto che può essere utilizzato per il posizionamento dell'impianto di Supprelin LA nel tessuto sottocutaneo dell'aspetto interno della parte superiore del braccio. Lo strumento di inserzione è racchiuso in una borsa sterile ed è fornito separatamente dall'impianto nel kit di impianto [vedi Procedura raccomandata per l'inserimento e la rimozione dell'impianto ].

Usi per la sopprelin LA

L'impianto sottocutaneo di Supprelin LA (acetato di istrelina) è indicato per il trattamento dei bambini con pubertà precoce centrale (CPP).

I bambini con CPP (neurogenico o idiopatico) hanno un inizio all'inizio delle caratteristiche sessuali secondarie (prima di 8 anni di età nelle femmine e 9 anni nei maschi). Mostrano anche un'età ossea significativamente avanzata che può comportare una riduzione del raggiungimento dell'altezza degli adulti.

Prima dell'inizio del trattamento, una diagnosi clinica di CPP dovrebbe essere confermata dalla misurazione delle concentrazioni ematiche degli steroidi sessuali totali di luteinizzazione dell'ormone (LH) e dell'ormone stimolante i follicoli (FSH) a seguito di stimolazione con un analogo GNRH e valutazione dell'età ossea rispetto all'età cronologica. Le valutazioni di base dovrebbero includere misure di altezza e peso imaging diagnostico del cervello (per escludere il tumore intracranico) ecografia pelvica/testicolare/surrenale (per escludere i tumori secrenti steroidei) a livelli di gonadotropina crofano e aderenti a sterrootropina emergente per la gonadotropina emergente per la gonadotropina escluse con la gonadotropina escluse con la gonadotropina escluso con la gonadotropina escluso con la gonadotropina escluse con la gonadotropina escluse con la gonadotropina escluse con la gonadotropina escluse con la gonadotropina escluse con la gonadotropina escluse con la gonadotropina escluse con la gonadotropina escluse con la gonadotropina aderente.

Dosaggio per sopprelin LA

Dose consigliata

La dose raccomandata di Supprelin LA è un impianto ogni 12 mesi. Ogni impianto contiene 50 mg di acetato di istrelina. L'impianto viene inserito per via sottocutanea nell'aspetto interno della parte superiore del braccio e fornisce un rilascio continuo di acetato di istrelina (65 mcg/giorno) per 12 mesi di terapia ormonale. La sopprelin LA dovrebbe essere rimossa dopo 12 mesi di terapia (l'impianto è stato progettato per consentire alcune altre settimane di rilascio di acetato di histrelin al fine di consentire la flessibilità degli appuntamenti medici). All'epoca viene rimosso un impianto, un altro impianto può essere inserito per continuare la terapia. La discontinuazione di Supprelin LA dovrebbe essere considerata a discrezione del medico e nel punto temporale appropriato per l'inizio della pubertà (circa 11 anni per le femmine e 12 anni per i maschi).

Procedura raccomandata per l'inserimento e la rimozione dell'impianto

Questa sezione di procedura ha lo scopo di fornire indicazioni per l'inserimento e la rimozione di Supprelin LA. La procedura effettiva utilizzata tuttavia è a discrezione del fornitore qualificato sanitario che esegue la procedura.

L'inserimento di un nuovo impianto può procedere utilizzando quanto segue Procedura di inserimento suggerita . Se un impianto di Supprelin La precedente deve essere rimosso, consultare il Procedura di rimozione suggerita Istruzioni di seguito.

Procedura di inserimento suggerita

Le forniture necessarie per inserire l'impianto, incluso lo strumento di inserimento e l'anestetico locale, sono fornite in un kit di impianto separato che viene spedito insieme all'impianto. Si prega di notare che l'impianto deve essere mantenuto in frigorifero (2-8 ° C) nella sua custodia per fiala sigillata e cartone fino a quando non è necessario per la procedura. Una volta rimossa dalla refrigerazione, la fiala contenente l'impianto (ancora nella sua custodia non aperta e cartone) può rimanere a temperatura ambiente per un massimo di 7 giorni se necessario prima di essere utilizzata. Se non utilizzato in quel momento, l'impianto confezionato può essere nuovamente refrigerato fino alla data di scadenza sul cartone.

Nota: il kit di impianto deve essere conservato a temperatura ambiente e dovrebbe non essere refrigerato.

L'inserimento dell'impianto di Supprelin LA è una procedura chirurgica. I guanti sterili e la tecnica asettica devono essere utilizzati per ridurre al minimo qualsiasi possibilità di infezione.

Impostazione del campo sterile

Usando una tecnica asettica adeguata I componenti sterilizzati del kit di impianto necessario per la procedura di inserimento, incluso lo strumento di inserimento, devono essere attentamente erogati dalla loro confezione sul drappeggio del campo sterile ( non -fentrato) fornito. Si noti che la scatola del kit e tutta l'imballaggio non sono sterili e devono essere tenuti fuori dal drappeggio di campo sterile. Non posizionare la fiala dell'anestetico locale o la fiala contenente l'impianto sul drappeggio poiché la superficie esterna di queste fiale non è sterile.

La fiala dell'impianto non deve essere aperta fino a poco prima del momento dell'inserimento. Apri la fiala rimuovendo la fascia metallica e versare con cura il contenuto sterile (impianto e soluzione salina sterile) sul drappeggio del campo sterile. L'impianto può quindi essere gestito con guanti sterili o con il morsetto sterile di zanzara fornita. Evita piegare o pizzicare l'impianto.

Preparare il paziente e il sito di inserimento

La paziente dovrebbe essere sulla schiena idealmente con il braccio meno usato (ad esempio il braccio sinistro per una persona destra) posizionata piegata o estesa in modo che il medico abbia un accesso pronto all'aspetto interno della parte superiore del braccio. Preparare il braccio con cuscini può aiutare il paziente a mantenere più facilmente la posizione. Il sito ottimale suggerito per l'inserimento sottocutaneo è approssimativamente a metà strada tra la spalla e il gomito in linea con la piega tra i muscoli del bicipite e dei tricipiti.

Antisettico

Cosa ti fa Vicodin

Tampona l'area di inserimento con antisettico topico, quindi sovrappongono al fenestrato Drape da campo sterile fornito in modo che l'apertura sia sul sito di inserimento (per chiarezza dell'illustrazione le seguenti immagini non mostrano il drappeggio).

Anestetico

Il metodo di anestesia utilizzato (cioè la sedazione cosciente locale) è a discrezione del fornitore di assistenza sanitaria.

Se viene selezionata l'anestesia locale

Una fiala di anestetico locale sterile (nota che il L'esterno della fiala non è sterile ) è stato fornito insieme a un ago ipodermico sterile per l'iniezione. Dopo aver determinato l'assenza di allergie note all'agente anestetico iniettano l'anestetico nel tessuto sottocutaneo a partire dal sito di incisione pianificato, quindi si infiltrano lungo il percorso di inserimento sottocutaneo previsto fino alla lunghezza dell'impianto (poco più di un pollice). L'anestesia locale può anche essere integrata dall'uso di tecniche di distrazione.

Le seguenti sezioni descrivono la procedura suggerita per l'inserimento dell'impianto utilizzando lo strumento di inserimento fornito. Il metodo di inserimento utilizzato è tuttavia a discrezione del fornitore di assistenza sanitaria che esegue la procedura.

Caricamento dello strumento di inserimento

Lo strumento di inserzione sterile è composto da una maniglia fissa attaccata a una cannula a punta con smaltimento retrattile nella camera di cui l'impianto deve essere posizionato per l'inserimento sottocutaneo. La cannula può essere estesa e ritirata. La cannula completamente estesa contiene un pistone fisso su cui poggiava l'impianto un tempo inserito. Durante il passaggio finale della procedura di inserimento la cannula verrà retratta nella maniglia usando il meccanismo di diapositiva (pulsante verde) esponendo e lasciando l'impianto per rimanere nel tessuto sottocutaneo.

Quando si sta afferrando per la prima volta lo strumento di inserimento sterile, conferma che la cannula è completamente estesa. Verificare questo ispezionando la posizione del pulsante di retrazione verde. Il pulsante deve essere bloccato in posizione fino in fondo verso la cannula più lontana dalla maniglia.

L'impianto può essere raccolto usando guanti sterili o con il morsetto sterile di zanzara fornita. Evita piegare o pizzicare l'impianto. Si noti che l'impianto può uscire dalla sua fiala leggermente curva e/o parzialmente appiattita dopo lo stoccaggio refrigerato. Per aiutare a rendere l'impianto più simmetrico prima di caricare nello strumento, è possibile far rotolare l'impianto alcune volte (mentre indossa un guanto sterile) tra le dita e il pollice.

Inserire manualmente l'impianto nella cannula dello strumento di inserimento o usando il morsetto di zanzara. Quando si inserisce l'impianto nella cannula, non forzare l'impianto. Se si sente la resistenza, l'impianto deve essere rimosso e manipolato manualmente o arrotolato secondo necessità e reinserita nella cannula.

Se completamente inserito, l'impianto poggia all'interno della cannula in modo che solo la punta dell'impianto sia visibile all'estremità smussata della cannula.

Fare l'incisione

Usando il bisturi sterile fornito è trascorso un'incisione all'asse lungo del braccio e di dimensioni adeguate per consentire l'inserimento del foro della cannula nel tessuto sottocutaneo. Assicurarsi che l'incisione sia posizionata in modo che vi sia una lunghezza sufficiente della parte superiore del braccio per adattarsi facilmente all'impianto all'interno dello spazio di inserimento previsto.

Inserendo l'impianto

Si suggerisce che l'inserimento può essere più semplice se una tasca per l'impianto viene prima creata mediante dissezione smussata attraverso l'incisione sottocutanea lungo il percorso dell'anestetico usando la cannula dello strumento di inserimento caricato o usando un morsetto emostatico sterile o uno strumento chirurgico equivalente.

Assicurati di sollevare visibilmente la pelle (nota come tenda) in ogni momento durante le procedure di tascabile e inserimento per garantire un corretto posizionamento sottocutaneo (appena sotto la pelle) dell'impianto. Si noti che la cannula dello strumento di inserimento o qualsiasi strumento venga utilizzato per creare la tasca non dovrebbe entrare nel tessuto muscolare. L'inserimento profondo dell'impianto non influenzerà le prestazioni di Supprelin LA, ma può causare difficoltà nella successiva rimozione dell'impianto.

Se si utilizza la cannula dello strumento di inserimento caricato per creare la tasca inserire con cura la punta della cannula nell'incisione e avanzare attraverso il tessuto sottocutaneo mentre si alza visibilmente la pelle lungo la lunghezza della cannula fino a ma non più lontano della linea nera inscritta sulla cannula. Non premere il pulsante di retrazione verde sullo strumento mentre si inserisce o avanzando lo strumento nell'incisione.

Tirare indietro lo strumento quasi alla punta smussata della cannula e far avanzare di nuovo lo strumento in modo che la cannula rientri completamente la tasca, ma non più lontano della linea nera inscritta. Assicurati di mantenere il percorso di inserimento appena immediatamente sottocutaneo.

Se è stato utilizzato un altro strumento per creare la tasca, ora inserire la cannula caricata dello strumento di inserimento contenente l'impianto attraverso l'incisione fino alla linea nera inscritta.

Tieni in posizione lo strumento di inserimento con la base contro il braccio del paziente (se possibile) mentre si sposta attentamente il pollice sul pulsante di retrazione verde. Premere il pulsante per rilasciare il meccanismo di bloccaggio, quindi far scorrere il pulsante verso la maniglia fino a quando non si ferma per tutto il corpo dello strumento di inserimento in posizione.

La retratto del pulsante provoca la ritirata della cannula dall'incisione lasciando l'impianto nel tessuto sottocutaneo. Non far avanzare ulteriormente la cannula una volta avviato il processo di retrazione. Allo stesso modo non prelevare lo strumento di inserimento fino a quando il pulsante non viene completamente retratto o l'impianto può essere ritirato parzialmente dall'incisione. Una volta completata la retrazione, lo strumento può essere completamente ritirato.

Nota: può essere utile durante il processo di retrazione e astinenza della cannula per applicare pressione sulla pelle sull'impianto per aiutare a garantire che l'impianto rimanga nella tasca sottocutanea.

Se è necessario ricominciare il processo in qualsiasi momento durante la procedura di inserimento, ritirare lo strumento di inserimento, estrarre attentamente l'impianto dalla cannula e ripristinare il pulsante di retrazione sullo strumento nella sua posizione più avanti. Esamina l'impianto prima di ricaricare l'impianto nello strumento di inserimento e ricominciare.

Il posizionamento dell'impianto dovrebbe essere confermato dalla palpazione. Si noti che la punta di un impianto correttamente posizionato potrebbe non essere visibile attraverso l'incisione.

Dopo l'impianto coprire brevemente il sito con una garza sterile e applicare la pressione per garantire l'emostasi.

Chiusura dell'incisione

Per chiudere l'incisione è possibile utilizzare le suture assorbibili e/o le strisce chirurgiche adesive sterili fornite. Per migliorare l'adesione delle strisce è possibile applicare la tintura del benzoino antisettico (fornita) alla pelle e lasciarla asciugare prima di applicare le strisce adesive.

Una volta chiuso, coprire il sito di incisione con cuscinetti sterili di garza e fissare la medicazione con la benda fornita.

Si prega di fornire al genitore o al tutore del paziente un volantino di informazioni sul paziente che include informazioni sull'impianto e le istruzioni sulla corretta cura del sito di inserimento.

Procedura di rimozione suggerita

La supprelin LA dovrebbe essere rimossa dopo 12 mesi di terapia. La maggior parte delle forniture necessarie per rimuovere l'impianto compreso l'anestetico locale e il morsetto di zanzara sterile sono fornite nel kit di impianto che viene spedito insieme a un nuovo impianto di Supprelin LA. Si noti che il kit di impianto deve essere conservato a temperatura ambiente e non deve essere refrigerato. Vedere il Procedura di inserimento suggerita sopra per ulteriori istruzioni.

La rimozione dell'impianto di Supprelin LA è una procedura chirurgica. I guanti sterili e la tecnica asettica devono essere utilizzati per ridurre al minimo qualsiasi possibilità di infezione.

Impostazione del campo sterile

Utilizzando una tecnica asettica adeguata I componenti sterilizzati del kit di impianto necessario per la procedura di rimozione dell'impianto devono essere attentamente erogati dalla loro confezione sul drappeggio del campo sterile ( non -fentrato) fornito. Si noti che la scatola del kit e tutta l'imballaggio non sono sterili e devono essere tenuti fuori dal drappeggio di campo sterile. Non posizionare la fiala dell'anestetico locale sul drappeggio poiché la superficie esterna della fiala non è sterile.

Preparare il paziente e il sito

La paziente dovrebbe essere sulla schiena con il braccio contenente l'impianto posizionato o esteso in modo che il medico abbia un accesso pronto all'aspetto interno della parte superiore del braccio. Preparare il braccio con cuscini può aiutare il paziente a mantenere più facilmente la posizione.

A cosa serve i chiodi di garofano

L'impianto da rimuovere dovrebbe prima essere individuato palpando l'aspetto interno della parte superiore del braccio vicino all'incisione dall'anno precedente.

Generalmente l'impianto precedente è prontamente palpato. Nel caso in cui l'impianto sia difficile da individuare gli ultrasuoni. Se l'ecografia non riesce a individuare l'impianto, altre tecniche di imaging come CT o MRI possono essere utilizzate per individuarlo (i film semplici non sono raccomandati come L'impianto non è radiopaco ).

Antisettico

Swab l'area sopra e intorno all'impianto precedente con antisettico topico. Sovrapporre l'area con il fenestrato Drape da campo sterile fornito in modo che il buco sia sul sito di inserimento precedente (per chiarezza dell'illustrazione le seguenti immagini non mostrano il drappeggio).

Anestetico

Il metodo di anestesia utilizzato (cioè la sedazione cosciente locale) è a discrezione del fornitore di assistenza sanitaria.

Se viene selezionata l'anestesia locale

Una fiala di anestetico locale sterile (nota che il L'esterno della fiala non è sterile ) è stato fornito insieme a un ago ipodermico sterile per l'iniezione. Dopo aver determinato l'assenza di allergie note all'agente anestetico iniettano l'anestetico nel tessuto sottocutaneo in e intorno al sito dell'incisione prevista (il sito dell'impianto precedente). L'anestesia locale può anche essere integrata dall'uso di tecniche di distrazione.

Fare l'incisione and Removing the Implant

Utilizzando il bisturi sterile fornito, effettuare un'incisione di una dimensione per consentire la rimossa facilmente l'impianto e se un nuovo impianto verrà inserito abbastanza grande per il foro del cannula dello strumento di inserimento fornito.

Generalmente la punta dell'impianto sarà visibile attraverso l'incisione probabilmente coperta da uno pseudocapsula di tessuto. Al fine di facilitare la rimozione dell'impianto potrebbe essere necessario palpare la testa dell'impianto attraverso l'incisione usando il dito più piccolo, specialmente se la testa dell'impianto non è facilmente visibile. Inoltre, potrebbe essere necessario spingere verso il basso l'estremità distale dell'impianto e massaggiarlo in avanti verso l'incisione.

Nick con cura lo pseudocapsula per rivelare la punta del polimero dell'impianto. Può essere utile inserire il morsetto di zanzara sterile fornito nel foro creato nella pseudocapsula ed espandersi aprendo il morsetto. L'ampliamento dell'apertura dello pseudocapsula può alleviare l'estrazione dell'impianto.

Afferrare delicatamente ma saldamente l'impianto con il morsetto di zanzara sterile ed estrarre l'impianto.

Smaltire l'impianto in modo adeguato trattandolo come qualsiasi altro bio-rifiuto.

Coprire brevemente il sito con una garza sterile e applicare la pressione per garantire l'emostasi.

Se si inserisce un nuovo impianto, consultare il Procedura di inserimento suggerita istruzioni fornite sopra. Si noti che è possibile inserire il nuovo impianto nella stessa tasca dell'impianto rimosso o effettuare una nuova incisione in un sito diverso nello stesso braccio o nel braccio controlaterale.

Se un nuovo impianto non deve essere inserito, procedere a chiudere l'incisione.

Chiusura dell'incisione

Per chiudere l'incisione è possibile utilizzare le suture assorbibili e/o le strisce chirurgiche adesive sterili fornite. Per migliorare l'adesione delle strisce è possibile applicare la tintura del benzoino antisettico (fornita) alla pelle e lasciarla asciugare prima di applicare le strisce adesive.

Una volta chiuso, coprire il sito di incisione con cuscinetti sterili di garza e fissare la medicazione con la benda fornita.

Come fornito

Dosaggio Forms And Strengths

Supprelin LA è un sistema sterile non biodegradabile non biodegradabile a diffusione del polimero di rilascio di farmaci per il serbatoio del polimero progettato per fornire acetato di histrelina continuamente per 12 mesi dopo l'impianto sottocutaneo. L'impianto sterile contiene 50 mg di acetato di istrelina e offre circa 65 mcg di acetato di istrelina al giorno in 12 mesi.

Archiviazione e maneggevolezza

Rimuovere il ( Ndc 67979-002-01) è fornito in un cartone di spedizione ondulato che contiene 2 cartoni interni: uno piccolo per la fiala contenente l'impianto di Supprelin LA che viene spedito con un pacchetto freddo all'interno di un dispositivo di raffreddamento in polistirene che deve essere refrigerato all'arrivo e uno più grande che comprende il kit di impianto che deve essere non essere refrigerato per l'uso durante l'inserimento o la rimozione di Supprelin LA.

L'impianto di Supprelin LA contiene 50 mg di acetato di istrelina. Il cartone impianto di Supprelin LA contiene un pacchetto freddo per la spedizione refrigerata e un piccolo cartone contenente un sacchetto di plastica ambra. All'interno della busta c'è una fiala di vetro con un tappo rivestito di teflon e un sigillo in alluminio contenente l'impianto in 2 ml di soluzione sterile a cloruro di sodio all'1,8%. ( Nota : La fiala da 3,5 ml non è completamente riempita con soluzione salina).

Al momento della ricezione refrigera il piccolo cartone contenente la custodia in plastica ambra e la fiala di vetro (con l'impianto all'interno) fino al giorno di inserimento. La fiala dell'impianto non deve essere aperta fino a poco prima del momento dell'inserimento.

Supprelin LA è stabile se immagazzinata refrigerata con la matrice sigillata e il cartone a 2-8 ° C (36-46 ° F) fino alla data di scadenza fornita. Escursione consentita a 25 ° C (77 ° F) per 7 giorni. Non congelare. Proteggere dalla luce.

Distribuito da: Endo Pharmaceuticals Inc. Malvern PA 19355. Responsabile del 2022.

Effetti collaterali per Supprelin LA

Le seguenti gravi reazioni avverse sono descritte qui e altrove nell'etichetta:

  • Azione agonista iniziale [vedi Avvertimenti e precauzioni ]
  • BROCAGGIO IMPIANTE [vedi Avvertimenti e precauzioni ]
  • Eventi psichiatrici [vedi Avvertimenti e precauzioni ]
  • Convulsioni [vedi Avvertimenti e precauzioni ]
    • Pseudotumor cerebri (ipertensione intracranica idiopatica) [vedi Avvertimenti e precauzioni ]

Profilo di reazione avversa complessiva

Le reazioni avverse più comuni con Supprelin LA hanno coinvolto il sito dell'impianto. Le reazioni locali dopo l'inserimento dell'impianto includono l'eritema e il gonfiore del dolore al dolore contuso.

Durante la fase iniziale delle gonadotropine e degli steroidi sessuali terapeutici aumentano al di sopra del basale a causa dell'effetto stimolante naturale del farmaco. Pertanto può essere osservato un aumento dei segni e dei sintomi clinici [vedi Avvertimenti e precauzioni ].

taclonex unguento

Reazioni avverse negli studi clinici

Poiché gli studi clinici sono condotti in condizioni di reazione avverse ampiamente variabili osservate negli studi clinici di un farmaco non possono essere paragonati direttamente ai tassi negli studi clinici di un altro farmaco e potrebbero non riflettere i tassi osservati nella pratica.

La sicurezza di Supprelin LA nei bambini con CPP è stata valutata in due studi clinici a braccio singolo condotti in un totale di 47 pazienti (44 femmine e 3 maschi) per un periodo di tempo che vanno da 9 a 18 mesi. La reazione avversa più comunemente riportata è stata la reazione del sito di impianto che è stata riportata da 24 su 47 (NULL,1%) pazienti. La reazione del sito di impianto include il disagio con lividi del dolore che formicolano il prurito dell'area dell'impianto e gonfiore. Due soggetti hanno sperimentato una grave reazione avversa: 1 soggetto che per coincidenza ha avuto la malattia di Stargardt ha sperimentato l'ambliopia e 1 soggetto aveva un tumore ipofisario benigno (adenoma ipofisario). Un soggetto ha interrotto lo studio a causa di una reazione avversa dell'infezione nel sito dell'impianto. Non ci sono stati risultati clinicamente significativi nei test di ematologia clinica e chimica clinica standard e/o in segni vitali. L'incidenza degli eventi avversi dell'impianto riportati da più di 2 pazienti sono riassunti nella Tabella 1.

Tabella 1: Incidenza delle reazioni avverse dell'impianto riportate da ≥ 2 pazienti trattati con LA supplena in entrambi i studi clinici

Reazioni avverse N = 47
N (%)
Reazione del sito dell'impianto 24 (51.1)
Cicatrice cheloide 3 (6.4)
Cicatrice 3 (6.4)
Complicazione relativa alla sutura 3 (6.4)
Dolore del sito dell'applicazione 2 (4.3)
Dolore post procedurale 2 (4.3)

Sono state riportate le seguenti reazioni avverse come eventualmente correlate o correlate in 1 paziente ciascuna: infezione della ferita Dismenorrea eritema eritema sentendo la ginecomastia fredda mal di testa da mal di testa menorragia emicrania sbalzi di umore tumore il tumore benrito benigno prurito peso aumentava la progressione della malattia e la malattia influente. La metrorragia di reazione avversa è stata segnalata come eventualmente correlata o correlata in 2 pazienti.

Esperienza post-marketing

Le seguenti reazioni avverse sono state identificate durante l'uso post di approvazione di Supprelin LA. Poiché queste reazioni sono riportate volontariamente da una popolazione di dimensioni incerte, non è sempre possibile stimare in modo affidabile la loro frequenza o stabilire una relazione causale con l'esposizione ai farmaci.

Disturbi generali e condizioni del sito di amministrazione: rottura dell'impianto

Disturbi psichiatrici: Labilità emotiva come il pianto di irritabilità impazienza rabbia e aggressività. Depressione tra cui rari segnalazioni di ideazione e tentativi suicidari. Molti ma non tutti questi pazienti avevano una storia di malattie psichiatriche o altre comorbilità con un aumentato rischio di depressione.

Disturbi del sistema nervoso: confiscas. Pseudotumor cerebri (idiopathic intracranial hypertension) have been observed with GnRH agonists.

Interazioni farmacologiche per la supplena LA

Panoramica

Non sono stati condotti studi di interazione droga formale droga o interazioni farmacologiche.

Interazioni farmaco-laboratorie

La terapia con Supprelin LA provoca la soppressione del sistema pituitario-gonadico. I risultati dei test diagnostici delle funzioni gonadotropiche e gonadali ipofisarie condotte durante e dopo la terapia di Supprelin LA possono essere influenzati. I livelli medi di crescita medio-insulino-simili di insulina-1 (IGF-1) di circa l'11% di circa l'11% in uno studio (studio 1). La supprelin LA ha aumentato la concentrazione sierica di deidroepiandosterone (DHEA) in 8 su 36 pazienti in un altro studio (Studio 2).

Avvertimenti per la sopprelina la

Incluso come parte del 'PRECAUZIONI' Sezione

Precauzioni per la supplena LA

Azione agonistica iniziale

La supprelin LA come altri agonisti del GNRH inizialmente provoca un aumento transitorio delle concentrazioni sieriche di estradiolo nelle femmine e sul testosterone in entrambi i sessi durante la prima settimana di trattamento. I pazienti possono sperimentare il peggioramento dei sintomi o l'insorgenza di nuovi sintomi durante questo periodo. Tuttavia, entro 4 settimane dalla repressione della terapia con istrelina degli steroidi gonadali e si verifica manifestazioni di diminuzione della pubertà.

Rottura dell'impianto

L'inserimento di impianti è una procedura chirurgica ed è importante che le istruzioni di inserimento vengano seguite per evitare potenziali complicanze. L'inserimento e la rimozione dell'impianto dovrebbero essere eseguiti asetticamente. Una tecnica chirurgica adeguata è fondamentale per ridurre al minimo gli eventi avversi relativi all'inserimento e alla rimozione dell'impianto di Histrelin. A volte la localizzazione e/o la rimozione dei prodotti a base di impianti sono stati difficili e sono state utilizzate tecniche di imaging tra cui CT o MRI ad ultrasuoni (Nota: l'impianto di Histrelin non è radiopaco). In alcuni casi l'impianto si è rotto durante la rimozione e sono stati recuperati più pezzi. Conferma che l'intero impianto è stato rimosso. Se l'impianto non è stato recuperato completamente, i pezzi rimanenti devono essere rimossi seguendo le istruzioni nella sezione Procedura di rimozione suggerita [vedi Dosaggio e amministrazione ]. Rare events of spontaneous extrusion of the implant have been observed in clinical trials. During Supprelin IL treatment patients should be evaluated for evidence of clinical and biochemical suppression of CPP manifestations (see Sezione 5.6 Monitoraggio e test di laboratorio ). Detailed instructions on the insertion and removal procedures of the implant are provided above [see Dosaggio e amministrazione ].

Eventi psichiatrici

Psychiatric events have been reported in patients taking GnRH agonists including SUPPRELIN LA. Postmarketing reports with this class of drugs include symptoms of emotional lability such as crying irritability impatience anger and aggression. Monitor for development or worsening of psychiatric symptoms during treatment with SUPPRELIN LA [see Reazioni avverse ].

Convulsioni

Sono stati osservati rapporti post -marketing di convulsioni nei pazienti che hanno ricevuto agonisti del GNRH tra cui Supprelin LA. I rapporti con gli agonisti del GNRH hanno incluso pazienti con una storia di convulsioni epilessiate Disturbi cerebrovascolari anomalie del sistema nervoso centrale o tumori e pazienti su farmaci concomitanti che sono stati associati a convulsioni come bupropione e SSRI. Le convulsioni sono state anche riportate nei pazienti in assenza di una qualsiasi delle condizioni sopra menzionate.

Pseudotumor cerebri (ipertensione intracranica idiopatica)

Pseudotumor cerebri (ipertensione intracranica idiopatica) sono stati riportati in pazienti pediatrici che hanno ricevuto agonisti GNRH. Monitorare i pazienti per segni e sintomi di pseudotumor cerebri, incluso il mal di testa papilledema di diplopia sfocata perdita del dolore alla vista dietro l'occhio o il dolore con il movimento degli occhi vertigini e nausea.

Monitoraggio e test di laboratorio

LH FSH ed estradiolo o testosterone devono essere monitorati a 1 mese dopo l'impianto, quindi ogni 6 mesi dopo. Inoltre, l'altezza (per il calcolo della velocità di altezza) e l'età ossea devono essere valutate ogni 6-12 mesi.

Informazioni sulla consulenza del paziente

Consiglia al paziente di leggere l'etichettatura del paziente approvato dalla FDA ( Informazioni sul paziente ).

Azione agonistica iniziale

I pazienti devono essere informati che un peggioramento transitorio dei sintomi di pubertà o insorgenza di nuovi sintomi può verificarsi inizialmente. Tuttavia, entro 4 settimane dalla terapia dell'istrelina completa la soppressione completa degli steroidi gonadici e le manifestazioni di pubertà diminuiscono [vedi Avvertimenti e precauzioni ].

Cure post-inserzione

I pazienti devono essere istruiti a astenersi dal bagnare il braccio inserito per 24 ore e da un forte sforzo del braccio inserito per 7 giorni dopo l'inserimento dell'impianto per consentire l'incisione di chiudersi completamente. La fasciatura elastica adesiva può essere rimossa in quel momento. Il paziente non deve rimuovere le strisce chirurgiche; Piuttosto, le strisce dovrebbero essere autorizzate a cadere da sole dopo diversi giorni.

Eventi avversi psichiatrici

Informare gli operatori sanitari che i sintomi della labilità emotiva come il pianto di irritabilità sono osservati rabbia e aggressività nei pazienti che hanno ricevuto agonisti del GNRH tra cui Supprelin LA. Avviso gli operatori sanitari della possibilità di sviluppo o peggioramento dei sintomi psichiatrici, compresa la depressione durante il trattamento con Supprelin LA [vedi Avvertimenti e precauzioni Reazioni avverse ].

Convulsioni

Informare gli operatori sanitari che sono state osservate segnalazioni di convulsioni nei pazienti che hanno ricevuto agonisti GNRH tra cui Supprelin LA. I pazienti con una storia di convulsioni epilessiate disturbi cerebrovascolari anomalie del sistema nervoso centrale o tumori e pazienti in farmaci concomitanti che sono stati associati a convulsioni possono essere a rischio [vedi Avvertimenti e precauzioni ].

Pseudotumor cerebri (ipertensione intracranica idiopatica)

Informare i pazienti e gli operatori sanitari che sono stati osservati segnalazioni di pseudotumor cerebri (ipertensione intracranica idiopatica) nei pazienti pediatrici che hanno ricevuto agonisti del GNRH. Consiglia ai pazienti e ai caregiver di monitorare i problemi di mal di testa e visione come la perdita di visione doppia della visione sfocata dietro l'occhio o il dolore con il movimento degli occhi che suona nelle orecchie vertigini e nausea. Consiglia ai pazienti e ai caregiver di contattare il proprio operatore sanitario se il paziente sviluppa uno di questi sintomi. [Vedere Avvertimenti e precauzioni ].

Reazioni avverse comuni

Ai pazienti dovrebbe essere consigliato di riferire al proprio medico eventuali gravi dolore o gonfiore all'interno e intorno al sito dell'impianto. La Supprelin LA di rado può essere espulsa dal corpo attraverso il sito di incisione originale raramente senza che il paziente noti. Il paziente deve essere istruito a monitorare il sito di incisione fino a quando non è guarito. Il paziente dovrebbe anche tornare per i controlli di routine delle loro condizioni e per garantire che la Supprelin LA sia presente e che funzioni nel suo corpo [vedi Reazioni avverse ].

Per ulteriori informazioni, chiamare il numero 1-800-462-3636 o visitare www.supprelinla.com.

Tossicologia non clinica

Mutagenesi della carcinogenesi compromissione della fertilità

Studi di cancerogenicità sono stati condotti nei ratti per 2 anni a dosi di 5 25 o 150 mcg/kg/giorno (fino a 11 volte esposizioni umane usando confronti della superficie corporea basati su una dose di 65 mcg/giorno negli esseri umani) e nei topi per 18 mesi a una superficie di 65 anni a una superficie umana in base a una superficie di educazione umana in base a una superficie umana in base alla superficie del corpo in base alla superficie del corpo in base alla superficie del corpo in base alla superficie del corpo in base alla superficie del corpo in base a una superficie di 65. Dose MCG/giorno negli umani). Come visto con altri agonisti del GNRH, la somministrazione di iniezione di istrelina è stata associata ad un aumento dei tumori dei tessuti ormonalmente reattivi. C'è stato un aumento significativo degli adenomi ipofisari nei ratti a dosi medie e alte (2-11 volte l'esposizione umana in base ai confronti della superficie corporea con una dose umana di 65 mcg/die). Vi è stato un aumento degli adenomi delle cellule islette pancreatiche nei ratti femminili trattati e un aumento non correlato ai tumori testicolari a cellule Leydig (più alta incidenza nel gruppo a basso dosaggio). Nei topi si è verificato un aumento significativo degli adenocarcinomi mammari in tutte le femmine trattate. Inoltre, ci sono stati aumenti dei papillomi di stomaco nei ratti maschi somministrati ad alte dosi e un aumento dei sarcomi istiocitici nei topi femmine alla dose più alta.

Gli studi di mutagenicità non sono stati condotti con acetato di istrelina. Gli estratti salini di impianti con e senza acetato di istrelina erano negativi in ​​una batteria di studi di genotossicità. Sono stati condotti studi sulla fertilità in ratti e scimmie dati dosi quotidiane sottocutanee di acetato di istrelina fino a 180 mcg/kg/die (fino a 13 e 30 volte l'esposizione umana utilizzando rispettivamente i confronti della superficie corporea basati su una dose umana di 65 mcg/giorno) per 6 mesi e la piena reversibilità della soppressione della fittilità è stata dimostrata. Lo sviluppo e le prestazioni riproduttive della prole da parte dei genitori trattati con acetato di Histrelin non sono stati studiati.

Utilizzare in popolazioni specifiche

Gravidanza

Riepilogo del rischio

La supprelin LA è controindicata durante la gravidanza [vedi Controindicazioni ] Dal momento che i cambiamenti ormonali previsti che si verificano con il trattamento di Supprelin LA aumentano il rischio di perdita di gravidanza. I dati limitati con l'uso di istrelina nelle donne in gravidanza non sono sufficienti per determinare un rischio associato al farmaco per importanti difetti alla nascita o esiti avversi sullo sviluppo. Coerentemente con il meccanismo d'azione per la sopprelin LA [vedi Farmacologia clinica ] Gli studi sulla riproduzione degli animali hanno mostrato un aumento della perdita fetale a esposizioni clinicamente rilevanti.

Il rischio di background stimato di principali difetti alla nascita e aborto spontaneo per la popolazione indicata non è noto. Nella popolazione generale degli Stati Uniti il ​​rischio di background stimato di gravi difetti alla nascita e aborto in gravidanza clinicamente riconosciuta è rispettivamente del 2-4% e del 15-20%.

Dati

Dati sugli animali

L'istrelina acetato somministrato ai ratti in gravidanza durante il periodo di organogenesi ha aumentato la mortalità fetale e la perdita di postimpianto a dosi di 1 3 5 o 15 mcg/kg/giorno di esposizione clinica approssimativa in base alla superficie corporea. Questi dosaggi hanno anche ridotto l'aumento di peso corporeo materno ha stimolato lo sviluppo follicolare ovarico ha aumentato il peso della placenta e causato morfologia anormale e un aumento delle dimensioni fetali. L'istrelina acetato somministrato a conigli incinta durante il periodo di organogenesi ha aumentato la mortalità fetale e l'aborto/terminazione precoce alle due dosi più alte e ha causato una perdita totale di rifiuti a tutte le dosi di 20 50 o 80 mcg/kg/giorno (circa 3-12 volte esposizioni cliniche basate sulla superficie corporea).

Lattazione

Riepilogo del rischio

Non ci sono dati sulla presenza di Supprelin LA nel latte umano o animale Gli effetti sul bambino allattato al seno o sugli effetti sulla produzione di latte. L'assorbimento e l'attività sistemica non sono previsti dalla potenziale esposizione alla istrelina peptidica nel latte materno. I benefici per lo sviluppo e la salute dell'allattamento dovrebbero essere considerati insieme alla necessità clinica della madre di Supprelin LA e a potenziali effetti avversi sul bambino allattato al seno di Supprelin LA o dalla condizione materna sottostante.

Uso pediatrico

Non sono state stabilite sicurezza ed efficacia nei pazienti pediatrici di età inferiore ai 2 anni. Non è raccomandato l'uso di Supprelin LA nei bambini di età inferiore a 2 anni.

Informazioni per overdose per Supprelin LA

Non ci sono stati segnalazioni di sovradosaggio negli studi clinici di Supprelin LA. Alte dosi di iniezione di acetato di istrelina negli studi sugli animali sono state generalmente associate solo agli effetti attribuiti alla farmacologia prevista. Il metodo di consegna dei farmaci rende improbabile un sovradosaggio accidentale o intenzionale.

Controindicazioni per Supprelin LA

Supprelin LA è controindicata in:

  • Pazienti che sono ipersensibili all'ormone che rilasciano la gonadotropina (GNRH) o agonista GNRH
  • Gravidanza [see Utilizzare in popolazioni specifiche ].

Farmacologia clinica for Supprelin IL

Meccanismo d'azione

Supprelin LA è un agonista del GNRH e un inibitore della secrezione di gonadotropina quando somministrato continuamente. Fornisce circa 65 mcg di acetato di istrelina al giorno. Studi sia animali che umani indicano che a seguito di una fase stimolante iniziale la somministrazione sottocutanea cronica di acetato di histrelin desensibilizza la reattività della gonadotropina ipofisaria che a sua volta provoca una riduzione della steroidogenesi ovarica e testicolare.

Nell'uomo la somministrazione di acetato di istrelina provoca un aumento iniziale dei livelli circolanti di LH e FSH che portano a un aumento transitorio della concentrazione di steroidi gonadali (testosterone e diidrotestosterone nei maschi ed estrone ed estradiolo nelle femmine premeiopausa).

Tuttavia, la somministrazione continua di acetato di istrelina provoca una down-regolazione reversibile dei recettori GnRH nella ghiandola pituitaria e la desensibilizzazione dei gonadotropi ipofisari. Questi effetti inibitori provocano una riduzione dei livelli di LH e FSH.

Farmacodinamica

Il trattamento a lungo termine con acetato di istrelina sopprime la risposta LH al GNRH che fa diminuire i livelli di LH ai livelli prepuberali entro 1 mese dal trattamento. Di conseguenza, anche le concentrazioni sieriche di steroidi sessuali (estrogeni o testosterone). Di conseguenza lo sviluppo sessuale secondario cessa di progredire nella maggior parte dei pazienti. Inoltre, la velocità di crescita lineare viene rallentata, il che migliora la possibilità di ottenere un'altezza degli adulti prevista.

Farmacocinetica

Farmacocinetica of histrelin after implantation of Supprelin IL was evaluated in a total of 47 children with CPP (11 subjects in Study 1 and 36 subjects in Study 2). Patients were examined at 4 weeks after implant insertion and a few times throughout the treatment period. Median serum histrelin concentrations remained above the limit of quantification for the treatment period. Histrelin acetate levels were sustained throughout the study period for most subjects (Figure 3). The median of maximum serum histrelin concentrations over the study period was 0.43 ng/mL which is expected to maintain gonadotropins at prepubertal levels. There was no apparent pharmacokinetic difference between naïve subjects to a LHRH agonist treatment and subjects who had previous treatment with a LHRH agonist (Figure 3).

Figura 3. Deviazione media e standard delle concentrazioni sieriche di Histrelin (NG/mL) ad ogni visita

Studi clinici

L'efficacia di Supprelin LA nei bambini con CPP è stata valutata in due studi a marchio a singolo braccio aperto. Lo studio 1 è stato condotto in 11 pazienti pretrattate femmine da 3,7 a 11,0 anni. Lo studio 2 è stato condotto in 36 pazienti (33 femmine e 3 maschi) da 4,5 a 11,6 anni di età. Sedici pazienti pretrattati e 20 pazienti naïve al trattamento sono stati arruolati nello studio 2. Le caratteristiche del paziente di base erano tipiche dei pazienti con CPP. Le valutazioni di efficacia erano simili in entrambi gli studi e includevano endpoint che misuravano la soppressione delle gonadotropine (ormone luteinizzante e ormone stimolante il follicolo) e steroidi sessuali gonadali (estrogeni nelle ragazze e testosterone nei ragazzi) sul trattamento. Altre valutazioni erano cliniche (evidenza di stabilizzazione o regressione dei segni di pubertà) o dipendenti da steroidi gonadici (crescita lineare dell'età ossea). Nello studio 2 la misura primaria dell'efficacia era la soppressione di LH.

Nello studio 2 la soppressione di LH è stata indotta in tutti i soggetti naïve al trattamento e mantenuta in tutti i soggetti pretrattati al mese 1 dopo l'impianto e continuata fino al mese 12 (la soppressione è stata definita come un picco LH <4 mIU/mL following stimulation with the GnRH analog leuprolide acetate).

Le valutazioni dell'ormone di efficacia secondaria (estradiolo FSH e testosterone) e ulteriori valutazioni di efficacia (progressione clinica di crescita lineare per la crescita della pubertà della pubertà) hanno indicato la stabilizzazione della malattia. La soppressione dell'estradiolo era presente in tutte e 33 ragazze (100%) fino al mese 9 e al 97% al mese 12. La soppressione del testosterone è stata mantenuta nei tre maschi pretrattati che hanno partecipato allo Studio 2. L'effetto Supprelin LA sugli endpoint di efficacia nello Studio 1 era coerente con quello osservato nello Studio 2.

Informazioni sul paziente per Supprelin LA

Supprelin ® IL
Suh-preh-lin el-ay]
(Histrelin acetato) Impianto sottocutaneo

Quali sono le informazioni più importanti che dovrei sapere su Supprelin LA?

è Levaquin nella famiglia Penicillina

Chiama subito il medico di tuo figlio se tuo figlio ha sintomi mentali o problemi mentali nuovi o peggiorano durante la presa della Supprelin LA.

Le convulsioni sono avvenute anche nelle persone che non hanno avuto nessuno di questi problemi.

Chiama subito il medico di tuo figlio se tuo figlio ha un sequestro mentre prendi Supprelin LA.

Chiama subito il medico di tuo figlio se il bambino ha uno dei seguenti sintomi durante il trattamento con Supprelin LA:

  • Nella prima settimana di trattamento la supprelin LA può causare un aumento di alcuni ormoni. Durante questo periodo potresti notare più segni di pubertà nel tuo bambino, incluso sanguinamento vaginale leggero e ingrandimento del seno nelle ragazze. Entro 4 settimane dal trattamento dovresti vedere segni nel tuo bambino che la pubertà si ferma.
  • Alcune persone che avevano la sopprelin LA nel braccio hanno avuto l'impianto che attraversava la pelle (estrusione). Chiama subito il medico di tuo figlio se l'impianto Supprelin LA arriva attraverso la pelle.
  • Alcune persone che assumono agonisti del GNRH come Supprelin LA hanno avuto problemi mentali (psichiatrici) nuovi o peggiorato. I problemi mentali (psichiatrici) possono includere sintomi emotivi come:
    • pianto
    • irritabilità
    • irrequietezza (impazienza)
    • rabbia
    • agire aggressivo
  • Alcune persone che assumono agonisti del GNRH come Supprelin LA hanno avuto convulsioni. Il rischio di convulsioni può essere più elevato nelle persone che:

    stanno prendendo una medicina collegata a convulsioni come bupropione o inibitori selettivi della reuptake (SSRIS)

    • avere una storia di convulsioni
    • avere una storia di epilessia
    • avere una storia di problemi cerebrali o vasi cerebrali (cerebrovascolari) o tumori
  • L'aumento della pressione nel fluido intorno al cervello può avvenire nei bambini che assumono medicinali agonisti GNRH tra cui Supprelin LA.
    • mal di testa
    • squillare nelle orecchie
    • Problemi con gli occhi tra cui Blurred Vision Double Vision e riduzione della vista
    • vertigini
    • nausea
    • Dolore agli occhi

Cos'è Supprelin LA?

  • Supprelin IL is an implanted gonadotropin releasing hormone (GnRH) medicine used for the treatment of children with central precocious puberty (CPP).
  • Non è noto se Supprelin LA è sicuro ed efficace nei bambini di età inferiore ai 2 anni.

Supprelin IL should non be taken if your child is:

  • Allergico alla gonadotropina che rilascia l'ormone (GNRH) GnRH Medicines o qualsiasi ingredienti nell'impianto di Supprelin LA. Vedi la fine di questa guida ai farmaci per un elenco completo di ingredienti in Supprelin LA.
  • incinta o rimane incinta. La supprelin LA può causare difetti alla nascita o perdita del bambino. Se il bambino rimane incinta chiama il medico.

Prima che il bambino riceva Supprelin La racconta al medico di tutte le condizioni mediche di tuo figlio, anche se:

  • Avere una storia di problemi mentali (psichiatrici).
  • avere una storia di convulsioni.
  • avere una storia di epilessia.
  • avere una storia di problemi cerebrali o vasi cerebrali (cerebrovascolari) o tumori.
  • stanno prendendo un medicinale che è stato collegato a convulsioni come bupropione o inibitori selettivi del reuptake della serotonina (SSRI).

Racconta al tuo medico di tutte le medicine che il tuo bambino prende tra cui prescrizione e medicine da banco vitamine e integratori a base di erbe.

In che modo tuo figlio riceverà Supprelin LA?

  • Il medico di tuo figlio dovrebbe fare test per assicurarti che tuo figlio abbia CPP prima di trattare con Supprelin LA.
  • Supprelin IL lasts for 12 months. One implant will give the medicine for 12 months. After 12 months the Supprelin IL implant must be removed. The doctor may place a new Supprelin IL implant at this time to continue treatment.
  • Supprelin IL is placed under the skin of the inside of the upper arm. The doctor will numb the arm of your child make a small cut and then place the Supprelin IL implant under the skin. The cut may be closed with stitches or surgical strips and covered with a pressure bandage.
  • Il bambino dovrebbe mantenere il braccio pulito e asciutto e non dovrebbe nuotare o fare il bagno per 24 ore dopo aver ricevuto l'impianto di Supprelin LA. La benda può essere rimossa dopo 24 ore. Non farlo Rimuovere eventuali strisce chirurgiche. Le strisce chirurgiche cadranno da sole tra pochi giorni.
  • Il bambino dovrebbe evitare un gioco pesante o un esercizio che utilizza il braccio in cui l'impianto è stato posto per 7 giorni. Dopo che il taglio è guarito, il bambino può tornare alle sue normali attività. Il medico ti darà istruzioni complete.
  • Mantieni tutte le visite programmate dal medico. Il medico farà esami regolari e esami del sangue per verificare la presenza di segni di pubertà.
  • A volte il medico dovrà eseguire test speciali come una tomografia computerizzata ad ultrasuoni (CT) o la risonanza magnetica (MRI) se l'impianto di Supprelin LA è difficile da trovare sotto la pelle di tuo figlio.

Quali sono i possibili effetti collaterali di Supprelin LA?

Supprelin IL may cause serious side effects. See Quali sono le informazioni più importanti che dovrei sapere su Supprelin LA?

L'effetto collaterale più comune di Supprelin LA include Reazioni cutanee nel luogo in cui viene inserito l'impianto. Queste reazioni possono includere arrossamento del dolore che lividi e gonfiore all'interno e intorno al sito dell'impianto. Chiama il medico di tuo figlio se tuo figlio ha un rossore sanguinante o un forte dolore in cui è stato inserito l'impianto.

Questi non sono tutti i possibili effetti collaterali di Supprelin LA. Chiama il medico per consigli medici sugli effetti collaterali. È possibile segnalare gli effetti collaterali alla FDA al numero 1-800-FDA-1088.

Quali sono gli ingredienti di Supprelin LA?

Ingrediente attivo: acetato di histrelin

Ingredienti inattivi: Acido stearico NF Resermato polimerico idrogel composto da 2-idrossietil metacrilato 2-idrossipropil metacrilato trimetilolpropano trimetacrilato benzoino metil etere perkadox-16 e Triton X-100

Questa guida ai farmaci è stata approvata dalla Food and Drug Administration degli Stati Uniti.