Le Informazioni Presenti Sul Sito Non Costituiscono Consulenza Medica. Non Vendiamo Nulla. L'Accuratezza Della Traduzione Non È Garantita. Disclaimer

Rimactane

Riepilogo della droga

Cos'è Rimactane?

Rimactane (Rifampin) è un antibiotico indicato per il trattamento del polmonare tubercolosi e per il trattamento dei portatori asintomatici di N. meningitidis per eliminare i meningococchi dal rinofaringe . Rimactane è disponibile in generico modulo.

Quali sono gli effetti collaterali del rimattano?

Rimactane

  • orticaria
  • Difficoltà a respirare
  • gonfiore della lingua o della gola
  • Nausea persistente
  • vomito
  • dolori di stomaco
  • urina scura
  • ingiallimento della pelle o degli occhi ( ittero )
  • cambiamenti nella quantità di urina
  • Cambiamenti mentali o dell'umore
  • confusione
  • comportamento insolito
  • stanchezza insolita
  • Facile lividi
  • sanguinamento insolito
  • piccoli punti rossi sulla pelle
  • dolori articolari o gonfiore
  • La diarrea che non si fermerà (può verificarsi dopo che il trattamento è fermato)
  • Crampi allo stomaco
  • Sangue o muco nelle feci
  • patch bianchi in bocca
  • cambiare in scarico vaginale
  • febbre
  • gonfiore del linfonodo nuovo o peggioramento
  • eruzione cutanea
  • prurito e
  • Scrigette gravi

Ottieni subito assistenza medica se hai uno qualsiasi dei sintomi sopra elencati.



Gli effetti collaterali comuni del rimattano includono:

  • bruciore di stomaco
  • Sconturoso stomaco
  • perdita di appetito
  • nausea
  • vomito
  • gas
  • Crampi
  • diarrea
  • mal di testa
  • sonnolenza
  • fatica
  • perdita di coordinamento
  • vertigini
  • incapacità di concentrarsi
  • confusione mentale
  • disturbi visivi
  • debolezza muscolare
  • febbre
  • dolore alle estremità
  • intorpidimento generalizzato
  • irregolarità mestruali e
  • reazioni di ipersensibilità (alni di prurito eruzione cutanea della bocca o della lingua e congiuntivite )

Cerca cure mediche o chiama il 911 contemporaneamente se hai i seguenti gravi effetti collaterali:

  • Sintomi di occhiali gravi come la perdita di visione improvvisa del tunnel della visione sfocata Dolore alla visione o gonfiore o vedere aloni attorno alle luci;
  • Sintomi cardiaci gravi come battiti cardiaci irregolari o martellanti veloci; svolazzando nel petto; fiato corto; e improvvise vertigini spensieratezza o svenuta;
  • Grave mal di testa confusione Il braccio del linguaggio bloccato o la debolezza delle gambe problemi perdite perdita di coordinamento sentendoti instabili muscoli molto rigidi ad alta febbre abbondante sudorazione o tremori.

Questo documento non contiene tutti i possibili effetti collaterali e altri possono verificarsi. Verificare con il tuo medico ulteriori informazioni sugli effetti collaterali.

Dosaggio per rimattane

La dose adulta di rimattane per il trattamento della tubercolosi polmonare è di 600 mg (due capsule da 300 mg) in un'unica somministrazione giornaliera. La dose pediatrica del rimattane per il trattamento della tubercolosi polmonare è da 10 a 20 mg/kg non supera i 600 mg/die. Il rimattano deve essere preso una volta al giorno un'ora prima o due ore dopo un pasto. Nel trattamento della tubercolosi polmonare, si deve essere utilizzata in combinazione con almeno un altro agente antitubercolare.

Quali sostanze o integratori di farmaci interagiscono con il rimattano?

Il rimattano può interagire con altri farmaci. Dì al medico tutti i farmaci e gli integratori che usi.

Effetti collaterali dell'omeprazolo 20 mg

Rimattano durante la gravidanza o l'allattamento

Di 'al medico se sei incinta o hai intenzione di rimanere incinta prima di usare il rimattano; Non è noto come influirebbe su un feto. Il rimattano passa nel latte materno. Consulta il medico prima dell'allattamento al seno.

Ulteriori informazioni

Il nostro centro farmacologico per effetti collaterali del rimattano (Rifampin) fornisce una visione completa delle informazioni disponibili sui farmaci sui potenziali effetti collaterali quando si assume questo farmaco.

Informazioni sui farmaci FDA

Descrizione per Rimactane

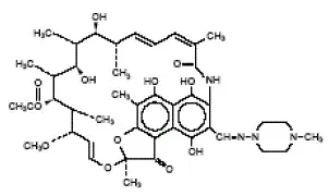
Rifampin USP è un semisintetico antibiotico Derivato della rifamicina B disponibile come capsule da 300 mg per somministrazione orale. Rifampin è 3-[[(4- metil-1-piperazinil) imino] metil] rifamicina e la sua formula strutturale è:

Rifampin USP è una polvere cristallina marrone rosso. È leggermente solubile in acqua liberamente solubile in cloroformio e solubile in acetato di etile e in metanolo. Il suo peso molecolare è 822,95.

Ingredienti inattivi

Fd

Usi per il rimattane

Le capsule di rifampina USP sono indicate per il trattamento della tubercolosi polmonare e per il trattamento dei portatori asintomatici di N. Meningitidis per eliminare i meningococchi dal rinofaringe.

Per ridurre lo sviluppo di batteri resistenti ai farmaci e mantenere l'efficacia delle capsule di rifampina e di altri farmaci antibatterici, le capsule di rifampina dovrebbero essere utilizzate solo per trattare o prevenire le infezioni che sono dimostrate o fortemente sospettate di essere causate da batteri sensibili. Quando sono disponibili informazioni sulla coltura e sulla suscettibilità, dovrebbero essere considerate nella selezione o nella modifica della terapia antibatterica. In assenza di tali dati di epidemiologia locale e modelli di suscettibilità possono contribuire alla selezione empirica della terapia.

Tubercolosi polmonare

Nel trattamento iniziale e nel ritiro della tubercolosi polmonare rifampina deve essere utilizzata in combinazione con almeno un altro farmaco antitubercolare.

I regimi usati di frequente sono stati i seguenti:

Isoniazid e Rifampin
Ethambutol e Rifampin
isoniazid ethambutol e rifampin

Vettori di Neisseria meningitidis

Il rifampin è indicato per il trattamento dei portatori asintomatici di N. Meningitidis per eliminare i meningococchi dal rinofaringe.

Il rifampin non è indicato per il trattamento dell'infezione da meningococco

Per evitare l'uso indiscriminato delle procedure di laboratorio diagnostico di Rifampin, tra cui i test di sierotipizzazione e suscettibilità dovrebbero essere eseguiti per stabilire lo stato del vettore e il trattamento corretto. Al fine di preservare l'utilità della rifampina nel trattamento dei portatori di meningococcici asintomatici, si raccomanda che il farmaco sia riservato a situazioni in cui il rischio di meningite meningococcica è elevato.

Sia nel trattamento della tubercolosi che nel trattamento dei trasportatori meningococcici piccoli numeri di cellule resistenti presenti all'interno di grandi popolazioni di cellule sensibili possono diventare rapidamente il tipo predominante. Poiché la rapida emergenza della resistenza può verificarsi test di coltura e suscettibilità dovrebbe essere eseguita in caso di colture positive persistenti.

Dosaggio per rimattane

Si consiglia di somministrazione di Rifampin una volta al giorno un'ora prima o due ore dopo un pasto.

I dati non sono disponibili per la determinazione del dosaggio per i bambini di età inferiore ai 5 anni.

Tubercolosi polmonare

Adulti

600 mg (due capsule da 300 mg) in una singola somministrazione giornaliera.

Bambini

Da 10 a 20 mg/kg non superano i 600 mg/die.

Nel trattamento della tubercolosi polmonare, si deve essere utilizzata in combinazione con almeno un altro agente antitubercolare. In generale la terapia dovrebbe essere continuata fino a quando si sono verificati conversione batterica e massimo miglioramento.

Vettori meningococcici

Si consiglia di somministrazione di Rifampin una volta al giorno per quattro giorni consecutivi nelle seguenti dosi:

Adulti

600 mg (due capsule da 300 mg) in una singola somministrazione giornaliera.

Bambini

Da 10 a 20 mg/kg non superano i 600 mg/die.

Come fornito

Nessuna informazione fornita.

Prodotto per: Oxford Pharmaceuticals LLC. Birmingham AL 35211. Revisionato: agosto 2023

Effetti collaterali per il rimattano

In alcuni pazienti sono stati notati disturbi gastrointestinali come il bruciore di cronometro epigastrico anoressia nausea che vomito i crampi a gas e la diarrea. È stata riportata raramente enterocolite pseudomembrane. La sonnolenza del mal di testa fatica atassia vertigini incapaci di concentrare i disturbi visivi di confusione mentale sono stati notati anche dolori alla febbre muscolare nelle estremità generalizzate intorpidimento e disturbi mestruali.

Sono state riportate reazioni di ipersensibilità. Occasionalmente si sono riscontrati sono stati prurito orticaria di reazione pemfigoide eosinofilia dolorante per la bocca e congiuntivite essudativa.

Raramente epatite o una sindrome da shock con un coinvolgimento epatico e sono stati riportati test epatici anormali. Sono state anche osservate anomalie transitorie nei test di funzionalità epatica (ad es. Elevazioni nelle transaminasi sieriche sieriche di bilirubina alcalina BSP fosfatasi). Il test BSP deve essere eseguito prima della dose mattutina di Rifampin per evitare risultati falsi positivi.

Sono stati osservati anemia emolitica di leucopenia transitoria trombocitopenia e una ridotta emoglobina. La trombocitopenia si è verificata quando Rifampin ed Etambutolo sono stati somministrati in concomitanza secondo un programma di dose intermittente due volte a settimana e in dosi elevate.

Si sono verificati elevazioni nel Bun e nell'acido urico sierico. Raramente emolisi emoglobinuria ematuria Insufficienza renale o insufficienza renale acuta e sono generalmente considerati reazioni di ipersensibilità. Questi si sono generalmente verificati durante la terapia intermittente o quando è stato ripreso il trattamento a seguito di interruzione intenzionale o accidentale di un regime di dosaggio giornaliero ed erano reversibili quando la rifampina è stata interrotta e la terapia appropriata istituita.

Sebbene sia stato segnalato che Rifampin abbia un effetto immunosoppressivo in alcuni esperimenti sugli esperimenti animali disponibili indicano che ciò non ha significato clinico.

Quando prendere Imodium per la diarrea

Interazioni farmacologiche per il rimattano

Classe di droga o droga e prevenzione o
Gestione
Effetto clinico
Antipsicotici
Lurasidone
Prevenzione o gestione: l'uso concomitante è
controindicato (vedi Controindicazioni )
Diminuire l'esposizione

Avvertimenti for Rimactane

È stato dimostrato che Rifampin produce disfunzione epatica. Ci sono stati vittime associate ittero Nei pazienti con malattia epatica o ricevendo rifampina in concomitanza con altri agenti epatotossici. Poiché può esistere un rischio aumentato per le persone con benefici per le malattie epatiche, deve essere ponderato attentamente rispetto al rischio di ulteriori danni al fegato. Il monitoraggio periodico della funzione epatica è obbligatorio.

La possibilità di una rapida emergenza di meningococchi resistenti limita l'uso della rifampina al trattamento a breve termine dello stato di trasporto asintomatico. Il rifampin non deve essere usato per il trattamento della malattia meningococcica.

Diversi studi sul potenziale di tumorigenicità sono stati condotti nei roditori. In un ceppo di topi noti per essere particolarmente suscettibili allo sviluppo spontaneo di epatomi rifampin somministrati a un livello 2-10 volte il dosaggio massimo utilizzato clinicamente ha comportato un aumento significativo del verificarsi di epatomi nei topi femmine di questo ceppo dopo un anno di somministrazione. Non c'erano prove di tumorigenicità nei maschi di questo ceppo nei maschi o nelle femmine di un altro ceppo di topo o ratti.

Utilizzo in gravidanza

Sebbene sia stato segnalato che Rifampin attraversa la barriera placentare e appaia nel sangue cordonale l'effetto del solo rifampina o in combinazione con altri farmaci antitubercolari sul feto umano non è noto. Un aumento delle malformazioni congenite principalmente è stata segnalata la spina bifida e il palatoschisi nella progenie dei roditori dati dosi orali di 150-250 mg/kg/giorno di rifampina durante la gravidanza.

Il possibile potenziale teratogenico nelle donne in grado di portare i bambini dovrebbe essere attentamente valutato dai benefici della terapia.

Precauzioni for Rimactane

Generale

È improbabile che prescrivere capsule di rifampina in assenza di un'infezione batterica comprovata o fortemente sospetta o un'indicazione profilattica fornisca benefici al paziente e aumenta il rischio di sviluppo di batteri resistenti ai farmaci.

Rifampin non è raccomandato per la terapia intermittente; Il paziente deve essere messo in guardia dall'interruzione intenzionale o accidentale del regime di dosaggio giornaliero poiché sono state riportate reazioni di ipersensibilità renale rare in tali casi.

È stato osservato che Rifampin aumenta i requisiti per i farmaci anticoagulanti di tipo cumarina. La causa di questo fenomeno è sconosciuta. Nei pazienti che ricevono anticoagulanti e rifampina contemporaneamente si raccomanda che il tempo di protrombina sia eseguito quotidianamente o più frequentemente necessario per stabilire e mantenere la dose richiesta di anticoagulante.

Le feci di urina saliva il sudore e le lacrime possono essere colorate rosso-arancione di Rifampin e dei suoi metaboliti. Le lenti a contatto morbide possono essere macchiate permanentemente. Gli individui da trattare dovrebbero essere resi consapevoli di queste possibilità.

È stato riferito che l'affidabilità dei contraccettivi orali può essere influenzata in alcuni pazienti in cura per tubercolosi con Rifampin in combinazione con almeno un altro farmaco antitubercolare. In tali casi potrebbero essere necessari misure contraccettive alternative.

È stato riportato che Rifampin diminuisce gli effetti di ipoglicemie orali di metadone somministrate contemporaneamente i preparativi di Dapsone Digitalis e per ridurre la biodisponibilità e l'efficacia del verapamil. Potrebbero essere necessari adeguati aggiustamenti del dosaggio se indicati dalla condizione clinica del paziente.

Come mantenere il sangue sano

Quando il rifampin viene preso in combinazione con PAS, può derivare i livelli sierici di Rifampin. Pertanto, i farmaci dovrebbero essere somministrati almeno 4 ore di distanza.

I livelli terapeutici di rifampina hanno dimostrato di inibire i test standard per folati sierici e vitamina B 12 . Metodi alternativi devono essere considerati quando si determinano folati e vitamina B 12 Concentrazioni in presenza di Rifampin.

Da quando è stato segnalato che Rifampin attraversa la barriera placentare e appare nei neonati di sangue cordonale delle madri trattate con rifampina, dovrebbero essere attentamente osservati per qualsiasi evidenza di effetti avversi. Il rifampin viene escreto nel latte materno.

Uso pediatrico

La sicurezza ed efficacia nei pazienti pediatrici non è stata stabilita.

Informazioni per overdose per Rimactane

Segni e sintomi

Il vomito di nausea e l'aumento della letargia si verificheranno probabilmente entro poco tempo dall'ingestione; L'effettiva incoscienza può verificarsi con un grave coinvolgimento epatico. Lo scolorimento rosso brunastro o arancione delle lacrime e le feci del sudore delle urine della pelle è proporzionale alla quantità ingerita. L'allargamento epatico probabilmente con la tenerezza può svilupparsi entro poche ore dopo che un grave sovradosaggio e l'ittero può svilupparsi rapidamente. Il coinvolgimento epatico può essere più marcato nei pazienti con compromissione della funzione epatica. Altri risultati fisici rimangono essenzialmente normali. I livelli diretti e totali di bilirubina possono aumentare rapidamente con un grave sovradosaggio; I livelli di enzimi epatici possono essere influenzati soprattutto con la precedente compromissione della funzione epatica. È improbabile un effetto diretto sui livelli di elettroliti del sistema emopoietico o l'equilibrio acido-base.

Trattamento

Poiché la nausea e il vomito sono probabilmente presenti lavaggi gastrici è probabilmente preferibile all'induzione dell'emesi. La sospensione del carbone attivo instillata nello stomaco dopo l'evacuazione del contenuto gastrico può aiutare ad assorbire qualsiasi farmaco rimanente in G.I. tratto. Possono essere necessari farmaci antiemetici per controllare la nausea/vomito gravi.

La diuresi attiva (con assunzione e produzione misurata) aiuterà a promuovere l'escrezione del farmaco. Anche Il drenaggio può essere indicato in presenza di gravi compromissione della funzione epatica che dura più di 24-48 ore; In queste circostanze possono essere richiesti emodialisi extracorpori.

Nei pazienti con inversione epatica precedentemente adeguata dell'allargamento epatico e la funzione di escretoria epatica compromessa probabilmente verrà annotata entro 72 ore con un rapido ritorno verso il normale in seguito.

Controindicazioni per il rimattano

Una storia di precedente reazione di ipersensibilità a uno qualsiasi dei rifamicini.

Il rifampin è controindicato nei pazienti che ricevono lurasidone. L'uso concomitante di lurasidone con forti induttori del CYP3A4 (ad es. Rifampin) ha ridotto l'esposizione di lurasidone rispetto all'uso del solo lurasidone (vedi Interazioni farmacologiche ).

Farmacologia clinica for Rimactane

I livelli ematici di picco negli adulti normali variano ampiamente da individuo a individuo. I livelli di picco si verificano tra 2 e 4 ore dopo la somministrazione orale di una dose di 600 mg. Il valore medio di picco è di 7 mcg/ml; Tuttavia, il livello di picco può variare da 4 a 32 mcg/ml.

In

Microbiologia

Meccanismo d'azione

La rifampina inibisce l'attività dell'RNA polimerasi dipendente dal DNA nelle cellule sensibili. In particolare, interagisce con l'RNA polimerasi batterica ma non inibisce l'enzima dei mammiferi. Questo è il meccanismo d'azione attraverso il quale Rifampin esercita il suo effetto terapeutico. La resistenza incrociata di Rifampin è stata mostrata solo con altri rifamicini.

Test di suscettibilità

Per informazioni specifiche relative ai criteri interpretativi di test di suscettibilità e ai metodi di prova associati e agli standard di controllo della qualità riconosciuti dalla FDA per questo farmaco, consultare: https://www.fda.gov/stic

Informazioni sul paziente per il rimattano

I pazienti dovrebbero essere consigliati che i farmaci antibatterici tra cui capsule di rifampina dovrebbero essere usati solo per trattare le infezioni batteriche. Non trattano le infezioni virali (ad esempio il raffreddore comune). Quando le capsule di rifampina sono prescritte per il trattamento di un'infezione batterica, i pazienti dovrebbero essere detto che sebbene sia comune sentirsi meglio all'inizio del corso della terapia, il farmaco dovrebbe essere assunto esattamente come indicato. Saltare le dosi o non completare l'intero corso della terapia può: (1) ridurre l'efficacia del trattamento immediato e (2) aumentare la probabilità che i batteri sviluppino resistenza e non saranno curabili da capsule di rifampina o altri farmaci antibatterici in futuro.