Le Informazioni Presenti Sul Sito Non Costituiscono Consulenza Medica. Non Vendiamo Nulla. L'Accuratezza Della Traduzione Non È Garantita. Disclaimer
Penicilline, naturale
Penicillina G Procaine
Riepilogo della droga
Cos'è la penicillina G procaine?
La sospensione iniettabile di procaina di penicillina G è un antibiotico indicato nel trattamento di infezioni moderatamente gravi negli adulti e nei pazienti pediatrici a causa di microrganismi sensibili alla penicillina-G-G-sensibili che sono suscettibili ai livelli sierici bassi e persistenti comuni a questa particolare forma di dosaggio.
Quali sono gli effetti collaterali della Penicillina G Procaine?
Gli effetti collaterali comuni della sospensione iniettabile di procaina di penicillina G includono:
- eruzione cutanea
- orticaria
- Reazioni di ipersensibilità
- compresi i brividi
- febbre
- rigonfiamento
- Dolore articolare
- e debolezza.
Penicillina G Procaine
- orticaria
- Difficoltà a respirare
- rigonfiamento of your face lips tongue or throat
- diarrea che è acquosa o sanguinosa
- pelle peeling
- forte dolore
- Cambiamenti nel colore della pelle in cui è stata iniettata la medicina
- vertigini
- dolore articolare o muscolare
- battiti cardiaci veloci o martellanti
- intorpidimento del dolore formicolio gonfiore o arrossamento tra le braccia o le gambe
- confusione
- agitazione
- depressione
- Pensieri o comportamenti insoliti
- dolore al petto
- Problemi con la visione o il discorso
- Accendino
- febbre
- brividi
- Dolore muscolare
- respirazione rapida
- movimenti muscolari incontrollati
- Problemi con equilibrio o camminata
- pelle pallida
- Facile lividi
- sanguinamento insolito
- debolezza
- mal di gola
- sintomi dell'influenza
- poca o nessuna minzione
- eruzione cutanea
- prurito
- ghiandole gonfie
- Dolore articolare
- sentimento malato generale
- Frequenza cardiaca lenta
- Pulse debole
- svenimento E
- respirazione lenta
Ottieni subito assistenza medica se hai uno qualsiasi dei sintomi sopra elencati.
Cerca cure mediche o chiama il 911 contemporaneamente se hai i seguenti gravi effetti collaterali:
- Sintomi di occhiali gravi come la perdita di visione improvvisa del tunnel della visione sfocata Dolore alla visione o gonfiore o vedere aloni attorno alle luci;
- Sintomi cardiaci gravi come battiti cardiaci irregolari o martellanti veloci; svolazzando nel petto; fiato corto; e improvvise vertigini spensieratezza o svenuta;
- Grave mal di testa confusione Il braccio del linguaggio bloccato o la debolezza delle gambe problemi perdite perdita di coordinamento sentendoti instabili muscoli molto rigidi ad alta febbre abbondante sudorazione o tremori.
Questo documento non contiene tutti i possibili effetti collaterali e altri possono verificarsi. Verificare con il tuo medico ulteriori informazioni sugli effetti collaterali.
Dosaggio per penicillina g procaina
La dose di penicillina G procaina sospensione iniettabile dipende dalla condizione da trattare.
Quali sostanze o integratori di droghe interagiscono con la penicillina G procaina?
La sospensione iniettabile di procaina di penicillina G può interagire con la tetraciclina e la probenecida. Dì al medico tutti i farmaci e gli integratori che usi.
Penicillina G procaina durante la gravidanza o l'allattamento
Di 'al medico se sei incinta o hai intenzione di rimanere incinta prima di usare la sospensione iniettabile della penicillina G procaina; Non è noto come influirebbe su un feto. Le penicilline passano nel latte materno. Consulta il medico prima dell'allattamento al seno.
Ulteriori informazioni
Il nostro Centro farmacologico iniettabile per sospensioni iniettabili della Penicillina G fornisce una visione completa delle informazioni disponibili sui farmaci sui potenziali effetti collaterali durante l'assunzione di questo farmaco.
Informazioni sui farmaci FDA
- Descrizione del farmaco
- Indicazioni
- Dosaggio
- Effetti collaterali
- Avvertimenti
- Precauzioni
- Overdose
- Farmacologia clinica
- Guida ai farmaci
Siringa da 1 ml e 2 ml con ago solo per l'iniezione di IM profonda
Prima della somministrazione del farmaco legge attentamente il Avvertimenti Reazioni avverse E Dosaggio e amministrazione sezioni dell'etichettatura.
Descrizione per penicillina G procaine
Questo prodotto è progettato per fornire una sospensione acquosa stabile di procaina di penicillina G pronta per uso immediato. Ciò elimina la necessità di aggiunta di qualsiasi diluente richiesto per la solita formulazione a secco della penicillina iniettabile.
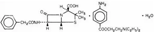
La procaina della penicillina G è designata chimicamente come (2S 5R 6R) -33-Dimetil-7-oxo-6- (2-fenilacetamido) -4-thia-1- azabicyclo [3.2.0] eptano-2-carbossilico composto con 2- (dietilammino) ethil-iminobenzoate (1: 1: 1: 1: 1: 1: 1: 1: 1: 1: 1: 1: 1: 1: 1: 1: 1: 1: 1: 1: 1: 1: 1: 1: 1: 1: 1: 1: 1: 1: 1: 1: 1: 1: 1: 1: 1: 1: 1: 1: 1: 1: 1: 1: 1: 1: 1: 1).
La sua formula molecolare è C 16 H 18 N 2 O 4 S • C. 13 H 20 N 2 O 2 • H. 2 O con un peso molecolare di 588,72. La sua formula strutturale è la seguente:
|
Ogni siringa 1200000 unità (dimensioni di 2 ml) o 600000 unità (dimensioni 1 ml) contiene penicillina G procaina in una sospensione acquosa stabilizzata con tampone di citrato di sodio; e come W/V circa lo 0,5% di lecitina 0,5% carbossimetilcellulosa 0,5% povidone 0,1% metilparaben e 0,01% propyparaben.
La sospensione iniettabile di Penicillina G procaine è viscosa e opaca. Leggere Controindicazioni Avvertimenti PRECAUZIONI E Dosaggio e amministrazione sezioni prima dell'uso.
Usi per la penicillina G procaine
La procaina di penicillina G è indicata nel trattamento di infezioni moderatamente gravi sia negli adulti che nei pazienti pediatrici a causa di microrganismi sensibili alla penicillina-G-G-sensibili che sono suscettibili ai livelli sierici bassi e persistenti comuni a questa particolare forma di dosaggio nelle indicazioni elencate di seguito. La terapia dovrebbe essere guidata da studi batteriologici (compresi i test di suscettibilità) e dalla risposta clinica.
Nota: quando sono necessari alti livelli sierici sostenuti dalla penicillina acquosa G, o IV o IV.
Le seguenti infezioni di solito risponderanno a dosaggi adeguati della penicillina G procaina intramuscolare: infezioni da moderatamente grave a gravi della pelle del tratto respiratorio superiore e delle infezioni dei tessuti molli scarlatici ed erisipela a causa di streptococchi sensibili (gruppo A-Witheut Battemia).
NOTA: Streptococchi In gruppi A C G H L e M sono molto sensibili alla penicillina G. Altri gruppi tra cui il gruppo D ( enterococcus ) sono resistenti. La penicillina acquosa è raccomandata per le infezioni da streptococco con batteriemia.
Infezioni moderatamente gravi del tratto respiratorio a causa di pneumococchi sensibili.
NOTA: Severe pneumonia empyema bacteremia pericarditis meningitis peritonitis E arthritis of pneumococcal etiology are better treated with aqueous penicillin G during the acute stage.
Infezioni moderatamente gravi della pelle e dei tessuti molli a causa del sensibile stafilococchi ( Penicillina G-sensibile ).
NOTA: Reports indicate an increasing number of strains of stafilococchi Resistente alla penicillina G sottolineando la necessità di studi di coltura e sensibilità nel trattamento di sospette infezioni da stafilococco. Le procedure chirurgiche indicate devono essere eseguite.
Fusospirochetosi (Gingivite e faringite di Vincent). Infezioni moderatamente gravi dell'orofaringe a causa di bacilli fusiformi sensibili e spirocheti.
NOTA: Necessary dental care should be accomplished in infections involving the gum tissue.
Sifilide (tutte le fasi) a causa di sensibili Treponema pallido .
NOTA: This drug should not be used in the treatment of beta-lactamase producing organisms which include most strains of Neisseria gonorrea .
Tawse Belejel Pinta a causa di organismi sensibili.
La procaina della penicillina G è in aggiunta all'antitossina per la prevenzione dello stadio portante della difterite a causa della sensibilibile C. difteritee .
Antrace dovuto a Bacillus anthracis Compreso l'antrace per inalazione (post-esposizione) : per ridurre l'incidenza o la progressione della malattia in seguito all'esposizione a aerosol Bacillus anthracis .
Febbre morso di ratto a causa della sensibile Streptobacillus moniliformis E La spirille meno organismi.
Esipeloide dovuto al sensibile Esipelothrix rhusiopatiae .
Endocardite batterica subacuta solo in infezioni estremamente sensibili a causa del gruppo sensibile ASTREPTOCOCCI .
Dosaggio per penicillina g procaina
Non iniettare in o vicino a un'arteria o al nervo. L'iniezione in o vicino a un nervo può comportare un danno neurologico permanente (vedi Avvertimenti ).
La penicillina G procaina (acquosa) è solo per iniezione intramuscolare.
Somministrare mediante iniezione intramuscolare profonda nel quadrante esterno superiore del gluteo. Nei neonati neonati e bambini piccoli può essere preferibile l'aspetto medilaterale della coscia. Quando le dosi vengono ripetute variano il sito di iniezione.
Quello che Mg entra in idrocodone
A causa dell'elevata concentrazione di materiale sospeso in questo prodotto, l'ago può essere bloccato se l'iniezione non viene effettuata a un tasso costante lento.
Polmonite (pneumococcica) moderatamente grave (non complicata) : 600000 a 1000000 unità al giorno.
Infezioni da streptococco (gruppo A) da moderatamente grave a tonsillite grave erisipelas scarlattata superiore del tratto respiratorio superiore e tessuto molle : Da 600000 a 1000000 unità al giorno per un minimo di 10 giorni.
Infezioni stafilococciche da moderatamente grave a grave : 600000 a 1000000 unità al giorno.
In polmonite streptococcica (gruppo A) e infezioni stafilococciche in pazienti pediatrici inferiori a 60 sterline : 300000 unità ogni giorno.
Endocardite batterica (gruppo A Streptococchi) solo in infezioni estremamente sensibili : 600000 a 1000000 unità al giorno.
La procaina della penicillina G non è raccomandata per la profilassi contro l'endocardite batterica. Per la profilassi contro l'endocardite batterica in pazienti con cardiopatia congenita o reumatica o altra malattia valvolare acquisita quando si subiscono procedure dentali o procedure chirurgiche del tratto respiratorio superiore che usano la penicillina V. Per i pazienti incapaci di assumere farmaci orali penicillina G.
Sifilide
Primario secondario e latente con un liquido spinale negativo negli adulti e nei pazienti pediatrici di età superiore ai 12 anni di età : 600000 unità ogni giorno per 8 giorni di 4800000 unità.
Late (neurosifilide terziaria e sifilide latente con esame positivo del fluido spinale o nessun esame del fluido spinale) : 600000 unità ogni giorno per 10-15 giorni da 6 a 9 milioni di unità.
Sifilide congenita sotto 70 libbre. peso corporeo : 50000 unità/kg/giorno per 10 giorni.
Suddivie bejel e pinta: trattamento come per la sifilide nella fase corrispondente della malattia.
Per cosa sono usati i colpi di testosterone
Terapia di difterite-adgiuntiva con antossina : Da 300000 a 600000 unità al giorno.
Defterite Carrier State : 300000 unità ogni giorno per 10 giorni.
Antrace-cutaneo : Da 600000 a 1000000 unità/giorno.
Antrace-inhalazionale (post-esposizione) : 1200000 unità ogni 12 ore negli adulti 25000 unità per chilogrammo di peso corporeo (massimo 1200000 unità) ogni 12 ore nei bambini. I dati di sicurezza disponibili per la procaina della penicillina G a questa dose supporterebbero meglio una durata di terapia di 2 settimane o meno. Il trattamento per l'antrace per inalazione (post-esposizione) deve essere continuato per un totale di 60 giorni. I medici devono considerare i rischi e i benefici della continua somministrazione della procaina della penicillina G per più di 2 settimane o passare a un trattamento alternativo efficace.
Infezione di Vincent (fusospirochetosi) : Da 600000 a 1000000 unità/giorno.
Esipeloide : Da 600000 a 1000000 unità/giorno.
Streptobacillus moniliformis E La spirille meno (febbre da morso di ratto) : Da 600000 a 1000000 unità/giorno.
I prodotti farmaceutici parenterali devono essere ispezionati visivamente per il particolato e lo scolorimento prima della somministrazione ogni volta che la soluzione e il permesso del contenitore.
Come fornito
Penicillina G Proceine iniettabile sospensione è fornito in pacchetti di 10 siringhe come segue:
Dimensione 1 ml contenente 600000 unità per siringa (ago da 1 a parete sottile da 21 pollici) Ndc 60793-130-10.
Dimensione di 2 ml contenente 1200000 unità per siringa (ago da 1 ½ pollice da 1 a parete sottile) Ndc 60793-131-10.
Conservare in frigorifero da 2 ° a 8 ° C (da 36 ° a 46 ° F).
Evitare di congelare.
Distribuito da: Pfizer Inc. New York
Effetti collaterali per la penicillina G procaina
Reazioni allergiche
La penicillina è una sostanza a bassa tossicità ma possiede un indice significativo di sensibilizzazione. Sono state riportate le seguenti reazioni di ipersensibilità associate all'uso della penicillina: eruzioni cutanee che vanno dalle eruzioni maculopapolari alla dermatite esfoliativa; orticaria; Reazioni sieriche simili a sierimento tra cui i brividi edema artralgia e prostrazione. È stata segnalata l'anafilassi grave e spesso fatale (vedi Avvertimenti ). As with other treatments for syphilis the Jarisch-Herxheimer reaction has been reported.
Sono state riportate manifestazioni di tossicità da procina e reazioni di ipersensibilità (vedi Avvertimenti E PRECAUZIONI ).
Gastrointestinale
La colite pseudomembrana è stata segnalata con l'uso della penicillina G. L'inizio dei sintomi della colite pseudomembrana può verificarsi durante o dopo il trattamento antibiotico (vedi Avvertimenti ).
Interazioni farmacologiche per la penicillina G procaina
La tetraciclina Un antibiotico batteriostatico può antagonizzare l'effetto battericida della penicillina e l'uso simultaneo di questi farmaci dovrebbe essere evitato.
La somministrazione concomitante di penicillina e probenecide aumenta e prolunga i livelli sierici di penicillina diminuendo il volume apparente di distribuzione e rallentando il tasso di escrezione inibendo in modo competitivo la secrezione tubulare renale della penicillina.
Avvertimenti for Penicillin G Procaine
La penicillina G procaina dovrebbe essere prescritta solo per le indicazioni elencate in questo inserto.
NOTA: This drug is no longer indicated in the treatment of gonorrhea.
Anafilassi
Reazioni di ipersensibilità gravi e occasionalmente fatali sono state riportate in pazienti in terapia con penicillina. È più probabile che queste reazioni si verifichino negli individui con una storia di ipersensibilità alla penicillina e/o una storia di sensibilità a più allergeni. Ci sono state segnalazioni di individui con una storia di ipersensibilità alla penicillina che hanno subito reazioni gravi se trattate con cefalosporine. Prima di iniziare la terapia con qualsiasi indagine accurata della penicillina dovrebbe essere fatta riguardo alle precedenti reazioni di ipersensibilità alle cefalosporine delle penicilline o ad altri allergeni. Se si verifica una reazione allergica, il farmaco deve essere sospeso e la terapia appropriata istituita. Le gravi reazioni anafilattiche richiedono un trattamento di emergenza immediato con epinefrina. Gli steroidi endovenosi di ossigeno e la gestione delle vie aeree, compresa l'intubazione, dovrebbero essere somministrati anche come indicato.
Colite pseudomembrane
La colite pseudomembrane è stata riportata con quasi tutti gli agenti antibatterici tra cui la penicillina G e può variare in gravità da lieve a quella pericolosa per la vita. Pertanto è importante considerare questa diagnosi nei pazienti che presentano diarrea successivamente alla somministrazione di agenti antibatterici.
Il trattamento con agenti antibatterici altera la flora normale del colon e può consentire una crescita eccessiva di Clostridium. Gli studi indicano che una tossina prodotta da Clostridium difficile è una causa primaria di colite associata agli antibiotici.
Dopo che la diagnosi di colite pseudomembrane è stata stabilita misure terapeutiche. I casi lievi di colite pseudomembrana di solito rispondono alla sola sospensione del farmaco. In casi da moderati a gravi, si dovrebbe prendere in considerazione la gestione di fluidi ed elettroliti integrazione e trattamento delle proteine con un farmaco antibatterico clinicamente efficace contro la colite C. difficile.
Reazioni di procaina
Reazioni tossiche immediate alla procaina possono verificarsi in alcuni individui, in particolare quando viene somministrata una grande dose singola (NULL,8 milioni di unità). Queste reazioni possono essere manifestate da disturbi mentali, tra cui l'ansia Confusione di agitazione Depressione di debolezza convulsioni della Combatività e hanno espresso la paura di imminente morte. Le reazioni rilevate in studi attentamente controllati si sono verificati in circa uno su 500 pazienti che hanno ricevuto grandi dosi di procaina di penicillina G. Le reazioni sono transitorie da 15 a 30 minuti.
Metodo di somministrazione
Non iniettare in o vicino a un'arteria o al nervo.
L'iniezione in o vicino a un nervo può comportare un danno neurologico permanente.
La somministrazione intravascolare involontaria, compresa l'iniezione intra-arteriosa diretta involontaria o l'iniezione immediatamente adiacente alle arterie di penicillina G procaina, sospensione iniettabile e altre preparazioni di penicillina ha provocato un grave danno neurovascolare, incluso lo slughing, la gannatura della paralisi permanente che richiedeva l'informazione invariata. Tali effetti gravi sono stati segnalati a seguito di iniezioni nelle aree della coscia e deltoide. Altre gravi complicanze della sospetta somministrazione intravascolare che sono state riportate includono il pallore immediato o la cianosi dell'estremità sia distale che prossimale al sito di iniezione seguito dalla formazione di BLEB; Edema grave che richiede fastomia del compartimento anteriore e/o posteriore negli arti inferiori. Gli effetti e le complicanze gravi sopra descritti si sono spesso verificati nei neonati e nei bambini piccoli. È indicata una rapida consultazione con uno specialista appropriato in caso di prove di compromesso dell'apporto di sangue in prossima o distale al sito di iniezione. 1-9 (Vedere PRECAUZIONI E Dosaggio e amministrazione .
La fibrosi e l'atrofia del quadricipite femorale sono state riportate a seguito di ripetute iniezioni intramuscolari di preparazioni di penicillina nella coscia anterolaterali.
Precauzioni for Penicillin G Procaine
Generale
La penicillina dovrebbe essere usata con cautela in individui con storie di allergie significative e/o asma.
Si dovrebbe fare attenzione per evitare la somministrazione endovenosa o intra-arteriosa o l'iniezione nei nervi periferici o nei principali vasi sanguigni poiché tali iniezioni possono produrre danni neurovascolari. (Vedere Avvertimenti E Dosaggio e amministrazione .
Una piccola percentuale di pazienti è sensibile alla procaina. Se esiste una storia di sensibilità, effettua il solito test: iniettare intradermalmente 0,1 ml di soluzione di procaina dall'1 al 2 %. Lo sviluppo di un eritema Wheal Flare o Eruption indica la sensibilità alla procaina. La sensibilità dovrebbe essere trattata con i soliti metodi tra cui barbiturici e preparati di penicillina di procaina non dovrebbero essere utilizzati. Gli antistaminici sembrano benefici nel trattamento delle reazioni di procaina.
L'uso di antibiotici può provocare una crescita eccessiva di organismi non sensibili. L'osservazione costante del paziente è essenziale. Se durante la terapia compaiono nuove infezioni dovute a batteri o funghi, il farmaco deve essere sospeso e adottate misure appropriate.
Ogni volta che si verificano reazioni allergiche, la penicillina deve essere ritirata a meno che, secondo l'opinione del medico, la condizione da trattare è pericolosa per la vita e suscettibile solo alla terapia con penicillina.
Test di laboratorio
Nelle sospette infezioni da stafilococco devono essere eseguiti studi di laboratorio, inclusi test di suscettibilità.
Nella terapia prolungata con penicillina e in particolare con programmi ad alto dosaggio si raccomanda una valutazione periodica dei sistemi renali e ematopoietici. In tali situazioni, l'uso della penicillina per più di 2 settimane può essere associato ad un aumentato rischio di neutropenia e ad una maggiore incidenza di reazioni sieriche simili alla malattia.
Nel trattamento del trattamento delle infezioni gonococciche in cui si può sospettare la sifilide primaria o secondaria, è necessario eseguire adeguate procedure diagnostiche, inclusi gli esami del campo scuro. In tutti i casi in cui si sospetta una sifilide concomitante per almeno quattro mesi.
Mutagenesi della carcinogenesi compromissione della fertilità
Non sono stati condotti studi sugli animali a lungo termine con questi farmaci.
Gravidanza
Effetti teratogeni
Studi di riproduzione condotti nel topo e coniglio non hanno rivelato alcuna evidenza di fertilità o danno alterato al feto a causa della penicillina G. L'esperienza umana con le penicilline durante la gravidanza non ha mostrato alcuna evidenza positiva di effetti avversi sul feto. Tuttavia, non ci sono studi adeguati e ben controllati nelle donne in gravidanza che dimostrano in modo conclusivo che gli effetti dannosi di questi farmaci sul feto possono essere esclusi. Poiché gli studi sulla riproduzione degli animali non sono sempre predittivi della risposta umana, questo farmaco dovrebbe essere usato durante la gravidanza solo se chiaramente necessario.
Madri infermieristiche
Le penicilline sono escrete nel latte umano. Attenzione dovrebbe essere esercitata quando le penicilline vengono somministrate a una donna infermieristica.
Uso pediatrico
A causa della funzione renale sviluppata in modo incompleto nell'eliminazione della penicillina dei neonati può essere ritardata. Sono presentate le linee guida per la somministrazione di questo farmaco a pazienti pediatrici Dosaggio e amministrazione .
Uso geriatrico
Studi clinici sulla procaina della penicillina G non includevano un numero sufficiente di soggetti di età pari o superiore a 65 anni per determinare se rispondono in modo diverso dai soggetti più giovani. Altra esperienza clinica segnalata non ha identificato differenze nelle risposte tra i pazienti anziani e più giovani. In generale, la selezione della dose per un paziente anziano dovrebbe essere cauta di solito a partire dalla fascia bassa dell'intervallo di dosaggio che riflette la maggiore frequenza della ridotta funzione renale e cardiaca epatica e di malattia concomitante o altra terapia farmacologica. È noto che questo farmaco è sostanzialmente escreto dal rene e il rischio di reazioni tossiche a questo farmaco può essere maggiore nei pazienti con funzionalità renale alterata. (Vedere Farmacologia clinica ) Perché è più probabile che i pazienti anziani abbiano una riduzione delle cure di funzione renale nella selezione della dose e può essere utile monitorare la funzione renale.
Riferimenti
1. Shaw E.: Mielite trasversale dall'iniezione di penicillina. Sono. J. Dis. Bambino. 111: 548 1966.
2. Knowles J.: Iniezione intra-arteriosa accidentale di penicillina. Sono. J. Dis. Bambino. 111: 552 1966.
3. Darby C. et al: Ischemia a seguito di un'iniezione intragluteale di miscela di penicillina G benzatina-procaina in un ragazzo di un anno. Clin. Pediatria 12: 485 1973.
4. Brown L.
5. Borenstine J.: Mielite trasversale e penicillina (corrispondenza). Sono. J. Dis. Bambino. 112: 166 1966.
6. Atkinson J.: Mielopatia trasversale secondaria all'iniezione di penicillina. J. Pediatrics 75: 867 1969.
7. Talbert J. et al: Gangrena del piede dopo l'iniezione intramuscolare nella coscia laterale: un caso clinico con raccomandazioni per la prevenzione. J. Pediatrics 70: 110 1967.
8. Fisher T.: Affari Medicolegal. Canad. Med. Assoc. J. 112: 395 1975.
9. Schanzer H. et al: Iniezione intra-arteriosa accidentale di penicillina G. Jama 242: 1289 1979.
Informazioni per overdose per la penicillina G procaina
Nessuna informazione fornita
Controindicazioni per la penicillina G procaina
Una precedente reazione di ipersensibilità a qualsiasi penicillina è una controindicazione.
Farmacologia clinica for Penicillin G Procaine
La penicillina G procaina è un composto equimolecolare di procaina e penicillina G somministrata per via intramuscolare come sospensione. Si dissolve lentamente nel sito di iniezione dando un tipo di livello di sangue a circa 4 ore che diminuisce lentamente per un periodo delle successive 15-20 ore.
Circa il 60% della penicillina G è legato alla proteina sierica. Il farmaco è distribuito nei tessuti corporei in quantità molto variabili. I livelli più alti si trovano nei reni con quantità minori nella pelle epatica e nell'intestino. La penicillina G penetra in tutti gli altri tessuti in misura minore con un livello molto piccolo presente nel liquido cerebrospinale. Con la normale funzione renale il farmaco viene escreto rapidamente dall'escrezione tubulare. Nei neonati e nei neonati e nelle persone con compromissione delle funzioni renali è notevolmente ritardato. Circa il 60-90 percento di una dose di penicillina parenterale G viene escreto nelle urine entro 24-66 ore.
Microbiologia
Meccanismo d'azione
La penicillina G esercita un'azione battericida contro i microrganismi sensibili alla penicillina durante lo stadio della moltiplicazione attiva. Agisce attraverso l'inibizione della biosintesi del peptidoglicano della parete cellulare che rende la parete cellulare osmoticamente instabile.
Meccanismo di resistenza
La penicillina non è attiva contro i batteri che producono penicillinasi o contro gli organismi resistenti ai beta-lattamici a causa delle alterazioni delle proteine leganti la penicillina. La resistenza alla penicillina G non è stata segnalata in Streptococcus pyogenes .
Attività antibatterica
La procaina della penicillina G ha dimostrato di essere attiva contro la maggior parte degli isolati dei seguenti batteri sia in vitro che nelle infezioni cliniche come descritto nel Indicazioni e utilizzo sezione.
Batteri gram-positivi
Streptococcus pyogenes
Streptococcus pneumoniae
Mentre gli studi in vitro hanno dimostrato la suscettibilità della maggior parte dei ceppi dei seguenti organismi l'efficacia clinica per le infezioni diverse da quelle incluse nel Indicazioni e utilizzo La sezione non è stata documentata. La penicillina G è anche attiva in vitro contro i ceppi sensibili dei seguenti organismi: Neisseria meningitidis corynebacterium dittheriae bacillus anthracis clostridium specie actinomyces specie spirillum meno streptobacillus moniliformis listeria monocytogenes leptospira specie e Treponema pallido .
Metodi di test di suscettibilità
Se disponibile, il laboratorio di microbiologia clinica dovrebbe fornire i risultati dei risultati dei test di suscettibilità in vitro per i prodotti farmaceutici antimicrobici utilizzati negli ospedali residenti al medico come segnalazioni periodiche che descrivono il profilo di suscettibilità dei patogeni no-acquisiti dalla comunità. Questi rapporti dovrebbero aiutare il medico a selezionare un prodotto farmacologico antibatterico per il trattamento.
Tecniche di diluizione
I metodi quantitativi vengono utilizzati per determinare le concentrazioni minime inibitorie antimicrobiche (MIC). Questi microfoni forniscono stime della suscettibilità dei batteri ai composti antimicrobici. I microfoni devono essere determinati utilizzando una procedura standardizzata (brodo e/o agar). 1011 I valori MIC devono essere interpretati in base ai criteri forniti nella Tabella 1.
Diffusione tecnica
I metodi quantitativi che richiedono la misurazione dei diametri delle zone possono anche fornire stime riproducibili della suscettibilità dei batteri ai composti antimicrobici. La dimensione della zona fornisce una stima della suscettibilità dei batteri ai composti antimicrobici. La dimensione della zona deve essere determinata utilizzando un metodo di prova standardizzato. 1112 Questa procedura utilizza dischi di carta impregnati di 10 unità penicillina per testare la suscettibilità dei microrganismi alla penicillina. I criteri interpretativi di diffusione del disco sono forniti nella Tabella 1.
Crema di propionato clobetasol USP 0,05 usi
Tabella 1: criteri interpretativi del test di suscettibilità per la penicillina G procaina
| Patogeno | Concentrazioni inibitorie minime (MCG/ML) | Diffusione del disco (diametri della zona in mm) | ||||
| S | I | R | S | I | R | |
| Streptococcus pneumoniae (denominate)* | ≤ 2 | 4 | ≥ 8 | - | - | - |
| Streptococcus pyogenes † | ≤ 0,12 | - | - | ≥ 24 | - | - |
| *Il test di suscettibilità al disco degli isolati di pneumococchi viene eseguito utilizzando dischi di oxacillina da 1 mcg. 1112 † Il test di suscettibilità delle penicilline per il trattamento delle infezioni da streptococco β-emolitico non è necessario eseguire abitualmente perché gli isolati non sospettibili sono estremamente rari in qualsiasi streptococco β-emolitico e non sono stati riportati in Streptococcus piogeni. Qualsiasi isolato di streptococco β-emolitico trovato non suscettibile alla penicillina deve essere ritoccato e se confermato presentato a un'autorità di sanità pubblica. 1011 |
Controllo di qualità
Le procedure di test di suscettibilità standardizzate richiedono l'uso dei microrganismi di controllo di laboratorio per monitorare e garantire l'accuratezza e la precisione delle forniture e dei reagenti utilizzati nel test e le tecniche delle persone che eseguono il test. La polvere di penicillina standard dovrebbe fornire la seguente gamma di valori MIC indicati nella Tabella 2. Per la tecnica di diffusione utilizzando il disco di penicillina a 10 unità I criteri nella Tabella 2 dovrebbero essere raggiunti.
Tabella 2: intervalli di controllo di qualità accettabili per la penicillina
| Patogeno | Concentrazioni inibitorie minime (MCG/ML) | Diffusione del disco (diametri della zona in mm) |
| Enterococcus faecalis ATCC 29212 | 1-4 | - |
| Neisseria gonorrhoeae ATCC 49226 | 0,25-1* | 26-34 |
| Staphylococcus aureus ATCC 25923 | - | 26-37 |
| Staphylococcus aureus ATCC 29213 | 0,25-2 | - |
| Streptococcus pneumoniae ATCC 49619 | 0,25-1 | 24-30 |
| *Microfono per metodo di diluizione di agar |
Riferimenti
10. Istituto di standard clinici e di laboratorio (CLSI). Metodi per la diluizione test di suscettibilità antimicrobica per i batteri che crescono aerobicamente; Standard approvato - Decima edizione. Documento CLSI M07-A10 Institute Clinical and Laboratory Standards 950 West Valley Road Suite 2500 Wayne Pennsylvania 19087 USA 2015.
11. Istituto di standard clinici e di laboratorio (CLSI). Standard di prestazione per test di suscettibilità antimicrobica; Twentyfifth Informational Supplement CLSI Document M100-S25 Standard Clinical and Laboratory Institute 950 West Valley Road Suite 2500 Wayne Pennsylvania 19087 USA 2015.
12. Istituto di standard clinici e di laboratorio (CLSI). Standard di prestazione per test di suscettibilità alla diffusione del disco antimicrobico; Standard approvato - Dodicesima edizione. Documento CLSI M02- A12 Istituto di standard clinici e di laboratorio 950 West Valley Road Suite 2500 Wayne Pennsylvania 19087 USA 2015. Lab 0587-6.0
Informazioni sul paziente per penicillina G procaina
Nessuna informazione fornita. Si prega di fare riferimento a Avvertimenti E PRECAUZIONI sezioni.