Le Informazioni Presenti Sul Sito Non Costituiscono Consulenza Medica. Non Vendiamo Nulla. L'Accuratezza Della Traduzione Non È Garantita. Disclaimer



Halog Ointment

Riepilogo della droga

Cos'è unguento Halog?

sciolto L'unguento (alcinonide) è uno steroide topico (per la pelle) usata per trattare l'infiammazione e il prurito causato da una serie di condizioni della pelle come le reazioni allergiche eczema e psoriasi.

Quali sono gli effetti collaterali dell'unguento alog?

Gli effetti collaterali comuni dell'unguento di Halog includono:



  • secchezza della pelle
  • diradamento o ammorbidimento della pelle
  • eruzione cutanea o irritazione intorno alla bocca
  • follicoli piliferi gonfi
  • acne
  • Cambiamenti di colore della pelle trattata
  • vesciche
  • Pimpli
  • Crostazione della pelle trattata
  • o smagliature

sciolto Ointment may cause serious side effects including:



  • orticaria
  • Difficoltà a respirare
  • gonfiore della lingua o della gola
  • peggiorare le condizioni della tua pelle
  • Redness Carmthth Gonfante che trasuda o grave irritazione di qualsiasi pelle trattata
  • Aumentata sete
  • aumento della minzione
  • bocca secca
  • Odore di respiro fruttato
  • Aumento di peso (specialmente in faccia o nella parte superiore della schiena e del busto)
  • guarigione a lenta ferita
  • pelle assottigliante o scolorita
  • Aumento dei peli del corpo
  • debolezza muscolare
  • nausea
  • diarrea
  • stanchezza
  • Cambiamenti dell'umore
  • cambiamenti mestruali e
  • Cambiamenti sessuali

Ottieni subito assistenza medica se hai uno qualsiasi dei sintomi sopra elencati.

Cerca cure mediche o chiama il 911 contemporaneamente se hai i seguenti gravi effetti collaterali:



  • Sintomi di occhiali gravi come la perdita di visione improvvisa del tunnel della visione sfocata Dolore alla visione o gonfiore o vedere aloni attorno alle luci;
  • Sintomi cardiaci gravi come battiti cardiaci irregolari o martellanti veloci; svolazzando nel petto; fiato corto; e improvvise vertigini spensieratezza o svenuta;
  • Grave mal di testa confusione Il braccio del linguaggio bloccato o la debolezza delle gambe problemi perdite perdita di coordinamento sentendoti instabili muscoli molto rigidi ad alta febbre abbondante sudorazione o tremori.

Questo documento non contiene tutti i possibili effetti collaterali e altri possono verificarsi. Verificare con il tuo medico ulteriori informazioni sugli effetti collaterali.

Dosaggio per unguento alog

Applicare una dose di film sottile di unguento di alog allo 0,1% all'area interessata da due a tre volte al giorno.

Quali sostanze o integratori di farmaci interagiscono con unguento alogle?

sciolto Ointment may interact with other drugs. Tell your doctor all medications and supplements you use.

sciolto Ointment During Gravidanza or Breastfeeding

sciolto Ointment may be harmful to a fetus. Tell your doctor if you are pregnant or plan to become pregnant during treatment. It is unknown if this drug passes into breast milk or if it could harm a nursing baby. Consult your doctor before breastfeeding.

Ulteriori informazioni

Il nostro center farmacologico degli effetti collaterali di Halog Ointment (Halcinonide) fornisce una visione completa delle informazioni disponibili sui farmaci sui potenziali effetti collaterali durante l'assunzione di questo farmaco.

Informazioni sui farmaci FDA

Solo per uso topico.
Non per uso oftalmico.

Quale classe di droga è Januvia

Descrizione per unguento alog

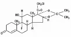
The topical corticosteroids constitute a class of primarily synthetic steroids used as antiinflammatory and antipruritic agents. The steroids in this class include halcinonide. Halcinonide is designated chemically as 21-Chloro-9-fluoro-11β16α 17-trihydroxy-pregn-4-ene-320-dione cyclic 1617-acetal with acetone. Graphic formula:


C 24 H 32 Soffio 5

Each gram of 0.1% HALOG OINTMENT (Halcinonide Ointment USP) contains 1 mg halcinonide in Plastibase® (Plasticized Hydrocarbon Gel) a mineral oil and polyethylene gel base polyethylene glycol 300 polyethylene glycol 400 polyethylene glycol 1450 and polyethylene glycol 6000 distearate with butylated hydroxytoluene as un antiossidante.

Usi per unguento alog

L'unguento alogico (unguento di halcinonide USP) è indicato lo 0,1% per il sollievo delle manifestazioni infiammatorie e pruritiche delle dermatosi reattive di corticosteroidi.

Dosaggio per unguento alog

Applicare un film sottile di unguento di alog allo 0,1% (unguento Halcinonide USP) all'area interessata due a tre volte al giorno.

Tecnica di condimento occlusivo

Le medicazioni occlusive possono essere utilizzate per la gestione della psoriasi o di altre condizioni recalcitranti. Applicare un sottile film di unguento sulla copertina di lesione con un film non poroso flessibile e sigillare i bordi. Se necessario, può essere fornita un'umidità aggiuntiva coprendo la lesione con un panno di cotone pulito smorzato prima che il film non poroso venga applicato o bagnando brevemente l'area interessata con acqua immediatamente prima di applicare il farmaco. La frequenza di mutere le medicazioni è meglio determinata su base individuale. Può essere conveniente applicare un unguento di alog sotto una medicazione occlusiva la sera e rimuovere la medicazione al mattino (cioè occlusione di 12 ore). Quando si utilizza il regime di occlusione di 12 ore, è necessario applicare unguento aggiuntivo senza occlusione durante il giorno. La riapplicazione è essenziale per ogni cambio di medicazione.

Se un'infezione sviluppa l'uso di medicazioni occlusive dovrebbe essere interrotta e istituita la terapia antimicrobica appropriata.

Come fornito

sciolto ® unguento (unguento di halcinonide USP) 0,1% è traslucido da bianco in bianco morbido morbido di tipo di unguento omogeneo essenzialmente privo di materia straniera ed è fornito come:

Ndc 10631-096-30 tubo contenente 60g
Ndc 10631-096-71 240 g (4 tubi di 60 g)

Magazzinaggio

Conservare a temperatura ambiente; Evitare il calore eccessivo (104 ° F).

Per segnalare reazioni avverse sospette contattare la FDA al numero 1-800-FDA-1088 o www.fda.gov/medWatch.

Prodotto da: DPT Laboratories Inc. San Antonio TX 78215. Distribuito da: Sun Pharmaceutical Industries Inc. Cranbury NJ 08512. Revisionato: ottobre 2018

Effetti collaterali per unguento alog

Le seguenti reazioni avverse locali sono riportate di rado con corticosteroidi topici ma possono verificarsi più frequentemente con l'uso di medicazioni occlusive (le reazioni sono elencate in un ordine decrescente approssimativo di occorrenza): bruciore del prurito l'irritazione secchezza della follicolite per la pelle della pelle della pelle della pelle. Miliaria.

Interazioni farmacologiche per unguento alog

Nessuna informazione fornita

Avvertenze per unguento alog

Nessuna informazione fornita

Precauzioni per unguento alog

Generale

L'assorbimento sistemico dei corticosteroidi topici ha prodotto manifestazioni reversibili ipotalamiche-ipofisi-surrene (HPA) di soppressione della sindrome da suscustazione di iperglicemia e glucosuria in alcuni pazienti.

Le condizioni che aumentano l'assorbimento sistemico includono l'applicazione degli steroidi più potenti utilizzati su ampie aree di superficie prolungate e l'aggiunta di medicazioni occlusive.

Pertanto, i pazienti che ricevono una grande dose di qualsiasi potente steroide topico applicato a una grande superficie o sotto una medicazione occlusiva devono essere valutati periodicamente per l'evidenza della soppressione dell'asse HPA utilizzando i test di stimolazione del cortisolo e ACTH liberi e per la compromissione dell'omeostasi termica. Se si verifica la soppressione dell'asse HPA o l'elevazione della temperatura corporea, è necessario effettuare un tentativo di ritirare il farmaco per ridurre la frequenza dell'applicazione sostituire uno steroide meno potente o utilizzare un approccio sequenziale quando si utilizza la tecnica occlusiva.

Il recupero della funzione dell'asse HPA e dell'omeostasi termica sono generalmente pronti e completi al momento dell'interruzione del farmaco. Possono verificarsi segni raramente e sintomi di astinenza da steroidi che richiedono corticosteroidi sistemici supplementari. Occasionalmente un paziente può sviluppare una reazione di sensibilità a un particolare materiale di medicazione occlusiva o adesivo e un materiale sostitutivo può essere necessario.

I bambini possono assorbire quantità proporzionalmente maggiori di corticosteroidi topici e quindi essere più sensibili alla tossicità sistemica (vedi PRECAUZIONI : Uso pediatrico ).

Se l'irritazione sviluppa corticosteroidi topici dovrebbe essere sospesa e la terapia appropriata istituita.

In presenza di infezioni dermatologiche, dovrebbe essere istituito l'uso di un agente antifungino o antibatterico appropriato. Se una risposta favorevole non si verifica prontamente, il corticosteroide dovrebbe essere sospeso fino a quando l'infezione non è stata adeguatamente controllata.

Questa preparazione non è per uso orale oftalmico o intravaginale.

Test di laboratorio

Un test di cortisolo libero urinario e test di stimolazione ACTH possono essere utili nella valutazione della soppressione dell'asse HPA.

Carcinogenesi mutagenesi e compromissione della fertilità

Non sono stati condotti studi sugli animali a lungo termine per valutare il potenziale cancerogeno o l'effetto sulla fertilità dei corticosteroidi topici.

Gli studi per determinare la mutagenicità con prednisolone e idrocortisone hanno mostrato risultati negativi.

Gravidanza

Effetti teratogeni

Corticosteroids are generally teratogenic in laboratory animals when administered systemically at relatively low dosage levels. The more potent corticosteroids have been shown to be teratogenic after dermal application in laboratory animals. There are no adequate and well-controlled studies in pregnant women on teratogenic effects from topically applied corticosteroids. Therefore topical corticosteroids should be used during pregnancy only if the potential benefit justifies the potential risk to the fetus. Drugs of this class should not be used extensively on pregnant patients in large amounts or for prolonged periods of time.

Madri infermieristiche

Non è noto se la somministrazione topica di corticosteroidi possa comportare un sufficiente assorbimento sistemico per produrre quantità rilevabili nel latte materno. I corticosteroidi somministrati sistematicamente vengono secreti nel latte materno in quantità che non hanno probabilmente un effetto deleterio sul bambino. Tuttavia, dovrebbe essere esercitata cautela quando i corticosteroidi topici vengono somministrati a una donna infermieristica.

Uso pediatrico

I pazienti pediatrici possono dimostrare una maggiore suscettibilità alla soppressione dell'asse HPA indotto dai corticosteroidi topici e alla sindrome di Cushing rispetto ai pazienti maturi a causa di una maggiore superficie cutanea e di peso corporeo.

La sindrome di soppressione dell'asse HPA e l'ipertensione intracranica sono stati riportati nei bambini che hanno ricevuto corticosteroidi topici. Le manifestazioni di soppressione surrenale nei bambini includono ritardo della crescita lineare ritardato aumento di peso a basso livello di cortisolo plasmatico e assenza di risposta alla stimolazione dell'ACTH. Le manifestazioni di ipertensione intracranica comprendono mal di testa fontane sporgenti e papilledema bilaterale.

La somministrazione di corticosteroidi topici ai bambini dovrebbe essere limitata alla quantità minima compatibile con un efficace regime terapeutico. La terapia con corticosteroidi croniche può interferire con la crescita e lo sviluppo dei bambini.

Uso geriatrico

Studi clinici sull'unguento di alog allo 0,1% non includevano un numero sufficiente di pazienti di età pari o superiore a 65 anni per determinare se rispondono in modo diverso dai pazienti più giovani. Altra esperienza clinica segnalata non ha identificato differenze nelle risposte tra i pazienti anziani e più giovani. In generale, la selezione della dose per un paziente anziano dovrebbe essere cauta di solito a partire dalla fascia bassa dell'intervallo di dosaggio.

Informazioni per overdose per unguento alog

I corticosteroidi applicati topicamente possono essere assorbiti in quantità sufficienti per produrre effetti sistemici (vedi PRECAUZIONI : Generale ).

Controindicazioni per unguento alog

I corticosteroidi topici sono controindicati in quei pazienti con una storia di ipersensibilità a uno qualsiasi dei componenti dei preparativi.

Farmacologia clinica for sciolto Ointment

I corticosteroidi topici condividono azioni anti-infiammatorie antipruritiche e vasocostrittive.

Il meccanismo di attività antinfiammatoria dei corticosteroidi topici non è chiaro. Vari metodi di laboratorio tra cui i test vasocostrittori vengono utilizzati per confrontare e prevedere le potenze e/o l'efficacia clinica dei corticosteroidi topici. Esistono alcune prove che suggeriscono che esiste una correlazione riconoscibile tra potenza vasocostrittore e efficacia terapeutica nell'uomo.

Farmacocinetica

L'entità dell'assorbimento percutaneo dei corticosteroidi topici è determinata da molti fattori tra cui il veicolo l'integrità della barriera epidermica e l'uso di medicazioni occlusive.

I corticosteroidi topici possono essere assorbiti dalla normale pelle intatta. Infiammazione e/o altri processi patologici nella pelle aumentano l'assorbimento percutaneo. Le medicazioni occlusive aumentano sostanzialmente l'assorbimento percutaneo dei corticosteroidi topici. Pertanto le medicazioni occlusive possono essere una preziosa aggiunta terapeutica per il trattamento di dermatosi resistenti (vedi Dosaggio e amministrazione ).

Una volta assorbiti attraverso i corticosteroidi topici della pelle vengono gestiti attraverso percorsi farmacocinetici simili ai corticosteroidi somministrati sistematicamente. I corticosteroidi sono legati alle proteine ​​plasmatiche a vari gradi. I corticosteroidi vengono metabolizzati principalmente nel fegato e vengono quindi escreti dai reni. Alcuni dei corticosteroidi topici e i loro metaboliti sono anche escreti nel Anche .

Informazioni sul paziente per unguento alog

I pazienti che utilizzano corticosteroidi topici devono ricevere le seguenti informazioni e istruzioni:

  1. Questo farmaco deve essere usato come diretto dal medico. È solo per uso dermatologico. Evita il contatto con gli occhi.
  2. I pazienti dovrebbero essere consigliati di non utilizzare questo farmaco per qualsiasi disturbo diverso da quello per cui è stato prescritto.
  3. L'area della pelle trattata non deve essere bendata o altrimenti coperta o avvolta come occlusiva se non diretta dal medico.
  4. I pazienti devono segnalare qualsiasi segnale di reazioni avverse locali, specialmente nella medicazione occlusiva.
  5. I genitori di pazienti pediatrici dovrebbero essere consigliati di non utilizzare pannolini aderenti o pantaloni di plastica su un bambino che viene curato nell'area del pannolino poiché questi indumenti possono costituire medicazioni occlusive.