Le Informazioni Presenti Sul Sito Non Costituiscono Consulenza Medica. Non Vendiamo Nulla. L'Accuratezza Della Traduzione Non È Garantita. Disclaimer



Funghi

Riepilogo della droga

Cos'è il fungizone?

Il fungizone (amfotericina B) è un antibiotico antifungino usato per trattare le infezioni fungine potenzialmente letali e di solito viene somministrata dopo che altri antibiotici antifungini non hanno avuto successo. Il fungizone di marca è interrotto nelle forme generiche statunitensi.

Quali sono gli effetti collaterali del fungizone?

Gli effetti collaterali comuni del fungizone (amfotericina B) includono:



  • Reazioni del sito di iniezione (irritazione del dolore del dolore)
  • febbre
  • tremante
  • brividi
  • arrossamento
  • perdita di appetito
  • perdita di peso
  • vertigini
  • nausea
  • vomito
  • diarrea
  • mal di stomaco
  • mal di testa
  • fiato corto
  • dolori muscolari o articolari
  • calore/arrossamento/sentendosi sotto la pelle
  • prurito o eruzione cutanea o
  • Respirazione rapida da 1 a 3 ore dopo l'inizio dell'infusione.

Di 'al medico se hai gravi effetti collaterali del fungizone, incluso:



  • stanchezza insolita
  • debolezza
  • Crampi muscolari
  • cambiamenti nella quantità di urina
  • minzione dolorosa
  • intorpidimento/formicolio di braccia/gambe
  • Cambiamenti della visione
  • Cambiamenti dell'udito (ad es. Ringing nelle orecchie)
  • urina scura
  • Grave dolore allo stomaco/addominale
  • Occhi/pelle ingialliti
  • caviglie/piedi gonfiore
  • battito cardiaco veloce/lento/irregolare
  • sudore freddo
  • labbra blu
  • Facile lividi/sanguinamento
  • Altri segni di infezione (ad es. Dolore persistente alla febbre)
  • Cambiamenti mentali/dell'umore
  • convulsioni
  • sgabelli neri o
  • vomito che assomiglia a fondi di caffè.

Dosaggio per il fungizone

Il dosaggio di amfotericina B è regolato in base allo stato clinico del paziente (ad es. Causa del sito e gravità della funzione cardiaco e renale di infezione ecc.). Di solito viene eseguita una dose di prova per verificare la reazione e la terapia viene generalmente iniziata con una dose giornaliera di 0,25 mg/ kg di peso corporeo somministrato in un'infusione lenta per 2-6 ore.

Quali sostanze o integratori di farmaci interagiscono con il fungizone?

L'anfotericina B può interagire con la fluxina digossina pentamidina tacrolimus muscolare rilassante steroidi antibiotici antifungini antibiotici antivirale medicinali o medicine per il cancro. Di 'al medico tutti i farmaci che usi.



Fungizone durante la gravidanza e l'allattamento

Durante la gravidanza l'anfotericina B deve essere utilizzata solo quando prescritta. Non è noto se questo farmaco passi nel latte materno. Consulta il medico prima dell'allattamento al seno.

Ulteriori informazioni

Il nostro Fungizone (Amplotericin B) Effects Drug Center fornisce una visione completa delle informazioni disponibili sui farmaci sui potenziali effetti collaterali durante l'assunzione di questo farmaco.

Informazioni sui farmaci FDA

AVVERTIMENTO

Questo farmaco dovrebbe essere usato principalmente per il trattamento di pazienti con infezioni fungine progressive e potenzialmente letali; Non dovrebbe essere usato per trattare forme non invasive di malattie fungine come la candidosi vaginale del mughetto orale e la candidosi esofagea nei pazienti con conteggi di neutrofili normali.

L'iniezione di fungizone (anfotericina B) non deve essere somministrata a dosi superiori a 1,5 mg/kg. Attenzione per prevenire il sovradosaggio involontario che può provocare un arresto cardiaco o cardiopolmonare potenzialmente fatale (vedi AVVERTIMENTOS Sovradosaggio E Dosaggio e amministrazione ). Verificare il nome del prodotto e il dosaggio se la dose supera 1,5 mg/kg.

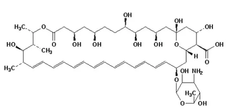
Descrizione per il fungizone

Il fungizone (amfotericina B) contiene amfotericina B un antibiotico in polienico antifungino ottenuto da un ceppo di ceppo di Streptomyces nodosus . L'anfotericina B è designata chimicamente come [1r- (1r*3s*5r*6r*9r*11r*15s*16r*17r*18s*19e21e23e25e27e29e 31e33r*35S*36r*37s*)]- 33- [(3-Amino-36-dideoxy-β-D-mannopyranosyl)-oxy]-13569111737-octahydroxy-151618-trimethyl-13-oxo-1439-dioxabicyclo[33.3.1]nonatriaconta-19212325272931-heptaene-36-carboxylic acid. Formula strutturale:


C 47 H 73 NO 17

Ogni fiala contiene una torta liofilizzata sterile non popoogenica (che può parzialmente ridurre in polvere dopo la produzione) fornendo 50 mg di amfotericina B e 41 mg di desoxycholato di sodio con 20,2 mg di fosfato di sodio come tampone. L'amfotericina B cristallina è insolubile in acqua; Pertanto, l'antibiotico viene solubilizzato dall'aggiunta di desoxicholato di sodio per formare una miscela che fornisce una dispersione colloidale per l'infusione endovenosa dopo la ricostituzione.

Al momento della produzione dell'aria nella fiala viene sostituita da azoto.

Usi per il fungizone

Fungizone endovenoso (amfotericina B per iniezione USP) deve essere somministrato principalmente a pazienti con infezioni fungine potenzialmente potenzialmente letali. Questo potente farmaco non dovrebbe essere usato per trattare infezioni fungine non invasive come la candidosi vaginale del mughetto orale e la candidosi esofagea nei pazienti con conteggi di neutrofili normali.

Fungizone (amfotericina B) endovenoso è specificamente inteso a trattare le infezioni fungine potenzialmente letali: aspergillosi criptococcosi (torulosi) Blastomicosi nordamericana Candidiasi coccidio-mycosi istoplasmosi zigomicosi tra cui mutumcosi a causa della specie sustomica della generazione di generazione di generazione di generazione di generazione di genidiasi della generazione di genidiasi della generazione di genidiasi della genidiasi della generazione della genidiasi della generazione di genidiasi della generazione di genidiasi della generazione di genidiasi della generazione di genidiasi della generazione di genidiasi della genidiasi della genidiasi della genidiasi della genidias della genidifera di genirmosi zitoplasmosi Assidia Mucor E Rhizopus E infections due to related susceptible specie of Conidiobolus E Basidiobolus E sporotrichosis.

L'amfotericina B può essere utile nel trattamento della leishmaniosi mucocutanea americana ma non è il farmaco di scelta come terapia primaria.

Dosaggio per il fungizone

** Verifica il nome e il dosaggio del prodotto. **

ATTENZIONE: in nessun caso dovrebbe essere superata una dose giornaliera totale di 1,5 mg/kg. Le overdose di anfotericina B possono comportare un arresto cardiaco o cardiorespiratorio potenzialmente fatale (vedi AVVERTIMENTOS E Sovradosaggio ).

Effetti collaterali della vitamina C sulla pelle

Fungizone endovenoso (amfotericina B per iniezione) dovrebbe essere somministrato da lento Infusione endovenosa. L'infusione endovenosa dovrebbe essere somministrata per un periodo di circa 2-6 ore (a seconda della dose) osservando le solite precauzioni per la terapia endovenosa (vedi PRECAUZIONI : Generale ). The recommended concentration for intravenous infusion is 0.1 mg/mL (1 mg/10 mL). Since patient tolerance varies greatly the dosage of amphotericin B must be individualized E adjusted according to the patient's clinical status (e.g. site E severity of infection etiologic agent cardio-renal function etc.).

Un singolo endovenoso dose di prova (1 mg in 20 ml di soluzione di destrosio al 5%) somministrata oltre 20-30 minuti può essere preferita. La respirazione dell'impulso di temperatura del paziente e la pressione sanguigna devono essere registrati ogni 30 minuti per 2-4 ore.

In pazienti con Buona funzione cardio-renale E a dose di test ben tollerata La terapia viene generalmente iniziata con una dose giornaliera di 0,25 mg/ kg di peso corporeo. Tuttavia in quei pazienti che hanno Infezione fungina grave e rapidamente progressiva La terapia può essere iniziata con una dose giornaliera di 0,3 mg/kg di peso corporeo. In pazienti con Funzione cardio-renale compromessa o a Reazione grave alla dose di prova La terapia deve essere iniziata con dosi giornaliere più piccole (cioè da 5 a 10 mg).

A seconda dello stato cardio-renale del paziente (vedi PRECAUZIONI : Test di laboratorio ) Le dosi possono essere gradualmente aumentate da 5 a 10 mg al giorno al dosaggio giornaliero finale da 0,5 a 0,7 mg/kg.

Sono attualmente disponibili dati insufficienti per definire i requisiti di dosaggio totali e la durata del trattamento necessari per l'eradicazione di micosi specifiche. La dose ottimale è sconosciuta. Il dosaggio giornaliero totale può variare fino a 1,0 mg/kg al giorno o fino a 1,5 mg/kg se somministrato in giorni alternativi.

Sporotricosi

La terapia con amfotericina B per via endovenosa per la sporotricosi ha variato fino a 9 mesi con una dose totale fino a 2,5 g.

Aspergillosi

Aspergillosi has been treated with amphotericin B intravenously fo a period up to 11 months with a total dose up to 3.6 g.

Phiccomicosi rinocerebrale

Questa malattia fulminante si verifica generalmente in associazione con chetoacidosi diabetica. È quindi indispensabile che il controllo diabetico venga ripristinato per il trattamento con fungizone (amfotericina B) per via endovenosa per avere successo. In contraddizione la filmicicosi polmonare che è più comune in associazione con neoplasie ematologiche è spesso una scoperta accidentale all'autopsia. Si raccomanda una dose cumulativa di almeno 3 g di amfotericina B per il trattamento della filomicosi rinocerebrale. Sebbene una dose totale da 3 a 4 g causerà raramente una compromissione renale duratura, ciò sembrerebbe un minimo ragionevole in cui vi siano prove cliniche di invasione del tessuto profondo. Poiché la filocicosi rinocerebrale di solito segue un decorso rapidamente fatale, l'approccio terapeutico deve essere necessariamente più aggressivo di quello usato nelle micosi più indolenti.

Preparazione di soluzioni

Ricostituire come segue: un concentrato iniziale di 5 mg di amfotericina B per ml viene prima preparato esprimendo rapidamente 10 ml di acqua sterile per l'iniezione USP Senza un agente batteriostatico direttamente nella torta liofilizzata usando un ago sterile (diametro minimo: calibro 20) e siringa. Scuoti immediatamente la fiala fino a quando la soluzione colloidale è chiara. La soluzione di infusione che fornisce 0,1 mg di amfotericina B per ml viene quindi ottenuta mediante ulteriore diluizione (1:50) con iniezione di destrosio al 5% USP di pH sopra 4.2 . Il pH di ciascun contenitore di iniezione di destrosio deve essere accertato prima dell'uso. L'iniezione di destrosio commerciale di solito ha un pH superiore a 4,2; Tuttavia, se è inferiore a 4,2, 1 o 2 ml di tampone deve essere aggiunto all'iniezione di destrosio prima che venga utilizzato per diluire la soluzione concentrata di anfotericina B. Il tampone raccomandato ha la seguente composizione:

Fosfato di sodio dibasico (anidro) 1,59 g
Fosfato di sodio monobasico (anidro) 0,96 g
Acqua per iniezione USP QS 100,0 ml

Il tampone deve essere sterilizzato prima che venga aggiunto all'iniezione di destrosio mediante filtrazione attraverso un tappetino o membrana di pietra ritentiva batterica o mediante autoclave per 30 minuti a una pressione di 15 libbre (121 ° C).

ATTENZIONE: la tecnica asettica deve essere rigorosamente osservata in tutta la gestione Poiché nessun agente conservativo o batteriostatico è presente nell'antibiotico o nei materiali utilizzati per prepararlo per la somministrazione. Tutte le voci nella fiala o nei diluenti devono essere fatte con un ago sterile. Non ricostituire con soluzioni saline. L'uso di qualsiasi diluente diverso da quelli raccomandati o la presenza di un agente batteriostatico (ad esempio alcool benzilico) Nel diluente può causare precipitazioni dell'antibiotico. Non utilizzare il concentrato iniziale o la soluzione di infusione se ci sono prove di precipitazioni o materia estranea in uno dei due. Un filtro a membrana in linea può essere usato per l'infusione endovenosa di amfotericina B; Tuttavia, il diametro medio dei pori del filtro non deve essere inferiore a 1,0 micron per garantire il passaggio della dispersione antibiotica .

Come fornito

Fungizone endovenoso (amfotericina B per iniezione USP)

Disponibili come singole fiale che forniscono 50 mg di amfotericina B come torta liofilizzata da giallo a arancione (che può parzialmente ridurre alla polvere dopo la produzione). Ndc 0003-0437-30.

Magazzinaggio

Prima di ricostituire il fungizone (amfotericina B) endovenosa dovrebbe essere immagazzinato nel frigorifero protetto dall'esposizione alla luce. Il concentrato (5 mg di amfotericina B per ml dopo ricostituzione con 10 ml di acqua sterile per iniezione USP) può essere conservato al buio a temperatura ambiente per 24 ore o a temperature del frigorifero per 1 settimana con una perdita minima di potenza e chiarezza. Qualsiasi materiale inutilizzato dovrebbe quindi essere scartato. Le soluzioni preparate per l'infusione endovenosa (NULL,1 mg o meno amfotericina B per ml) devono essere utilizzate prontamente dopo la preparazione e devono essere protette dalla luce durante la somministrazione.

Prodotto da: Ben Luce Laboratories Inc. Bedford OH 44146 USA. Prodotto per: Bristol-Myers Squibb Company Princeton NJ 08543 USA. Distribuito da: Ginevra Pharmaceuticals Inc. Dayton NJ 08810 USA. Rev settembre 2008.

Effetti collaterali for Fungizone

Sebbene alcuni pazienti possano tollerare le dosi complete endovenose di amfotericina B senza difficoltà, la maggior parte mostrerà un po 'di intolleranza spesso a meno della dose terapeutica completa.

La tolleranza può essere migliorata mediante il trattamento con antistaminici o antistaminici antipiretici (ad esempio acetaminofene) di aspirina. In alcuni pazienti è stato dimostrato che la meperidina (da 25 a 50 mg IV) diminuisce la durata dei brividi e della febbre che può accompagnare l'infusione di amfotericina B.

La somministrazione di amfotericina B nei giorni alternativi può ridurre l'anoressia e la flebite.

La somministrazione endovenosa di piccole dosi di corticosteroidi surrenali appena prima o durante l'infusione di Amfotericina B può aiutare a ridurre le reazioni febbrili. Il dosaggio e la durata di tale terapia corticosteroidi dovrebbero essere ridotti al minimo (vedi PRECAUZIONI: Interazioni farmacologiche ).

L'aggiunta di eparina (1000 unità per infusione) e l'uso di ago pediatrico-cuoio capelluto possono ridurre l'incidenza della tromboflebite.

La stravaso può causare irritazione chimica.

Le reazioni avverse più comunemente osservate sono:

Generale (corpo nel suo insieme): febbre (sometimes accompanied by tremante brividi usually occurring within 15 to 20 minutes after initiation of treatment); malaise; perdita di peso.

Cardiopolmonare: ipotensione; Tachypnea.

Gastrointestinale: anoressia; nausea; vomito; diarrea; dispepsia; Dolore epigastrico crampi.

isole phi phi tailandia

Ematologico: anemia normocritica normocromica.

Locale: Dolore nel sito di iniezione con o senza flebite o tromboflebitis.

Muscoloscheletrico: Dolore generalizzato inclusi dolori muscolari e articolari.

Neurologico: mal di testa.

Renale: diminuito Funzione renale e anomalie della funzione renale tra cui: azotemia iponokalemia ipostenuria acidosi tubulare renale; e nefrocalcinosi. Questi di solito migliorano con l'interruzione della terapia. Tuttavia, spesso si verifica una certa compromissione permanente soprattutto in quei pazienti che ricevono grandi quantità (oltre 5 g) di anfotericina B o ricevono altri agenti nefrotossici. In alcuni pazienti l'idratazione e la ripetizione di sodio prima della somministrazione di anfotericina B possono ridurre il rischio di sviluppare nefrotossicità. I farmaci alcali supplementari possono ridurre l'acidosi tubulare renale.

Sono state anche riportate le seguenti reazioni avverse:

Generale (corpo nel suo insieme): arrossamento.

Allergico: anafilattoide e altre reazioni allergiche; broncospasmo; sibilante.

Cardiopolmonare: arresto cardiaco; shock; insufficienza cardiaca; edema polmonare; pneumonite da ipersensibilità; aritmie compresa la fibrillazione ventricolare; dispnea; ipertensione.

Dermatologico: eruzione cutanea in particolare maculopapolare; prurito. L'esfoliazione cutanea necrolisi epidermica e la sindrome di Stevens-Johnson sono state riportate durante la sorveglianza post-marketing.

Gastrointestinale: insufficienza epatica acuta; epatite; ittero; gastroenterite emorragica; melena.

Ematologico: agranulocitosi; difetti di coagulazione; trombocitopenia; Leucopenia; eosinofilia ; leucocitosi.

Neurologico: convulsioni; perdita dell'udito; acufene; vertigini transitorie; compromissione visiva; diplopia; Neuropatia periferica; encefalopatia (vedi PRECAUZIONI ); Altri sintomi neurologici.

Renale: insufficienza renale acuta; anuria; oliguria. Il diabete nefrogenico insipido è stato riportato durante la sorveglianza post-marketing.

Risultati del laboratorio alterati

Elettroliti sierici: Ipomagnesemia; ipo- e iperkaliemia; ipocalcemia.

Test della funzione epatica: Elevazioni di AST ALT GGT Bilirubina e fosfatasi alcalina.

Test della funzione renale: Elevazioni di BUN e creatinina sierica.

Interazioni farmacologiche for Fungizone

Quando somministrati contemporaneamente, i seguenti farmaci possono interagire con l'amfotericina B

Agenti antineoplastici: può migliorare il potenziale di tossicità renale broncospasmo e ipotensione. Gli agenti antineoplastici (ad esempio senape di azoto ecc.) Dovrebbero essere somministrati in concomitanza solo con grande cautela.

Corticosteroidi e corticotropina (ACTH): può potenziare l'iponokalemia indotta dall'anfotericina B che può predisporre il paziente alla disfunzione cardiaca. Evita l'uso concomitante se non necessario per controllare gli effetti collaterali dell'anfotericina B. Se usato in concomitanza monitorare da vicino gli elettroliti sierici e la funzione cardiaca (vedi Reazioni avverse ).

Digitalis Glycosides: L'iploymia indotta da anfotericina B può potenziare la tossicità della digitale. I livelli sierici di potassio e la funzione cardiaca devono essere attentamente monitorati e qualsiasi deficit corretto prontamente.

Flucytosine: Mentre è stata segnalata una relazione sinergica con l'anfotericina B B può aumentare la tossicità della flucidosina aumentando eventualmente la sua assorbimento cellulare e/o compromettendo la sua escrezione renale.

Imidazoli (ad esempio ketoconazolo miconazolo clotrimazole fluconazole ecc.): in vitro E animal studies with the combination of amphotericin B E imidazoles suggest that imidazoles may induce fungal resistance to amphotericin B. Combination therapy should be administered with caution especially in immunocompromised patients.

Altri farmaci nefrotossici: Agenti come aminoglicosidi ciclosporina e pentamidina possono migliorare il potenziale per la tossicità renale indotta da farmaci e dovrebbero essere usati in concomitanza solo con grande cautela. Il monitoraggio intensivo della funzione renale è raccomandato nei pazienti che richiedono qualsiasi combinazione di farmaci nefrotossici (vedi PRECAUZIONI : Test di laboratorio ).

Rilassanti muscolari scheletrici: L'iploymia indotta dall'anfotericina B può migliorare l'effetto curariforme dei rilassanti del muscolo scheletrico (ad esempio tubocurarina). I livelli sierici di potassio devono essere monitorati e le carenze corrette.

Trasfusioni di leucociti: La tossicità polmonare acuta è stata riportata in pazienti con trasfusioni di anfotericina B e leucociti per via endovenosa (vedi PRECAUZIONI : Generale ).

Avvertimenti per il fungizone

L'amfotericina B è spesso l'unico trattamento efficace disponibile per una malattia fungina potenzialmente letale. In ogni caso il suo possibile beneficio salvavita deve essere bilanciato contro i suoi effetti collaterali spiacevoli e pericolosi.

Attenzione per prevenire il sovradosaggio involontario di fungizone (anfotericina B) che può provocare un arresto cardiaco o cardiospiratorio potenzialmente fatale. Verificare il nome del prodotto e il dosaggio se la dose prescritta supera 1,5 mg/kg (vedere Sovradosaggio E Dosaggio e amministrazione ).

Precauzioni per il fungizone

Generale

L'anfotericina B deve essere somministrata per via endovenosa sotto stretta osservazione clinica da parte del personale addestrato dal punto di vista medico. Dovrebbe essere riservato al trattamento di pazienti con infezioni fungine potenzialmente letali potenzialmente letali a causa di organismi sensibili (vedi Indicazioni e utilizzo ).

Le reazioni acute tra cui la febbre che scuotono i brividi di ipotensione anoressia nausea che vomitano mal di testa e tachipnea sono comuni da 1 a 3 ore dopo aver avviato un'infusione endovenosa. Queste reazioni sono generalmente più gravi con le prime dosi di amfotericina B e di solito diminuiscono con dosi successive.

Rapido L'infusione endovenosa è stata associata all'ipotensione ipokalemia aritmie e shock e quindi dovrebbe essere evitata (vedi Dosaggio e amministrazione ).

L'amfotericina B deve essere utilizzata con la cura nei pazienti con ridotta funzione renale; Si consiglia frequente monitoraggio della funzione renale (vedi PRECAUZIONI: Test di laboratorio E Reazioni avverse ). In some patients hydration E sodium repletion prior to amphotericin B administration may reduce the risk of developing nephrotoxicity. Supplemental alkali medication may decrease renal tubular acidosis complications.

Poiché le reazioni polmonari acute sono state riportate in pazienti somministrati anfotericina B durante o poco dopo le trasfusioni di leucociti, è consigliabile separare temporaneamente queste infusioni il più possibile e monitorare la funzione polmonare (vedi PRECAUZIONI: Interazioni farmacologiche ).

La leucoencefalopatia è stata segnalata a seguito dell'uso dell'anfotericina B. Rapporti della letteratura hanno suggerito che l'irradiazione del corpo totale può essere una predisposizione.

Ogni volta che i farmaci vengono interrotti per un periodo più lungo di 7 giorni, è necessario riprendere a partire dal livello di dosaggio più basso, ad es. 0,25 mg/kg di peso corporeo e aumentato gradualmente come delineato sotto Dosaggio e amministrazione .

Test di laboratorio

La funzione renale deve essere monitorata frequentemente durante la terapia dell'anfotericina B (vedi Reazioni avverse ). It is also advisable to monitor on a regular basis liver function serum electrolytes (particularly magnesium E potassium) blood counts E hemoglobin concentrations. Laboratory test results should be used as a guide to subsequent dosage adjustments.

Mutagenesi della carcinogenesi compromissione della fertilità

Non sono stati condotti studi a lungo termine sugli animali per valutare il potenziale cancerogeno. Inoltre, non ci sono stati studi per determinare la mutagenicità o se questo farmaco influisce sulla fertilità nei maschi o nelle femmine.

Gravidanza

Effetti teratogeni

Gravidanza Category B

Gli studi di riproduzione negli animali non hanno rivelato alcuna evidenza di danno al feto a causa dell'amfotericina B per l'iniezione. Le infezioni fungine sistemiche sono state trattate con successo in donne in gravidanza con amfotericina B per iniezione senza effetti evidenti al feto, ma il numero di casi riportati è stato piccolo. Poiché gli studi sulla riproduzione degli animali non sono sempre predittivi della risposta umana e non sono stati condotti studi adeguati e ben controllati nelle donne in gravidanza, questo farmaco dovrebbe essere usato durante la gravidanza solo se chiaramente indicato.

Madri infermieristiche

Non è noto se l'anfotericina B sia escreta nel latte umano. Poiché molti farmaci sono escreti nel latte umano e considerando la potenziale tossicità dell'amfotericina B, è prudente consigliare a una madre infermieristica di interrompere l'assistenza infermieristica.

Uso pediatrico

La sicurezza ed efficacia nei pazienti pediatrici non è stata stabilita attraverso studi adeguati e ben controllati. Le infezioni fungine sistemiche sono state trattate con successo in pazienti pediatrici senza segnalazioni di insoliti effetti collaterali. L'anfotericina B per l'iniezione quando somministrata a pazienti pediatrici dovrebbe essere limitato alla più piccola dose compatibile con un efficace regime terapeutico.

Informazioni per overdose per il fungizone

Le overdose di anfotericina B possono comportare un arresto cardiaco o cardiorespiratorio potenzialmente fatale (vedi AVVERTIMENTOS E Dosaggio e amministrazione ). If an overdose is suspected discontinue therapy E monitor the patient's clinical status (e.g. cardiorespiratory renal E liver function hematologic status serum electrolytes) E administer supportive therapy as required. Amphotericin B is not hemodialyzable.

Prima di ripristinare la terapia, le condizioni del paziente devono essere stabilizzate (inclusa la correzione delle carenze di elettroliti ecc.).

a cosa serve cefuroxime 500mg

Controindicazioni per il fungizone

Questo prodotto è controindicato in quei pazienti che hanno mostrato ipersensibilità all'amfotericina B o in qualsiasi altro componente nella formulazione a meno che, nel parere del medico, la condizione che richiede il trattamento è pericolosa per la vita e suscettibile solo alla terapia con l'anfotericina B.

Farmacologia clinica for Fungizone

Microbiologia

L'anfotericina B mostra un alto ordine di in vitro Attività contro molte specie di funghi. Istoplasma capsulatum coccidioides bordo specie Blastomyces Dermatitidis rhodotorula cryptococcus neoformans sporothrix schenckii mucor mucordedo E Aspergillus fumigatus sono tutti inibiti dalle concentrazioni di amfotericina B che vanno da 0,03 a 1,0 mcg/ml in vitro . Mentre Candida albicans è generalmente abbastanza suscettibile all'amfotericina b non albicani specie may be less susceptible. Pseudallescheria boydii E Fusarium sp. sono spesso resistenti all'amfotericina B. L'antibiotico è senza effetto sui batteri rickettsia e sui virus.

Test di suscettibilità

Non sono state stabilite tecniche standardizzate per i test di suscettibilità per gli agenti antifungini e i risultati degli studi di suscettibilità non sono stati correlati con gli esiti clinici.

Farmacocinetica

L'amfotericina B è fungista o fungicida a seconda della concentrazione ottenuta nei fluidi corporei e della suscettibilità del fungo. Il farmaco agisce legandosi agli steroli nella membrana cellulare dei funghi sensibili con un conseguente cambiamento nella permeabilità della membrana che consente la perdita di componenti intracellulari. Le membrane cellulari di mammifero contengono anche steroli ed è stato suggerito che il danno alle cellule umane e alle cellule fungine può condividere meccanismi comuni.

Un'infusione endovenosa iniziale da 1 a 5 mg di amfotericina B al giorno è gradualmente aumentata a 0,4 a 0,6 mg/kg al giorno produce concentrazioni plasmatiche di picco che vanno da circa 0,5 a 2 mcg/mL. A seguito di un plateau di concentrazioni plasmatiche di caduta iniziale rapida a circa 0,5 mcg/mL. Un'emivita di eliminazione di circa 15 giorni segue un'emivita plasmatica iniziale di circa 24 ore. L'anfotericina B che circola nel plasma è altamente legata (> 90%) alle proteine ​​plasmatiche ed è scarsamente dializzabile. Circa due terzi delle concentrazioni plasmatiche simultanee sono stati rilevati nei fluidi dal sinovio di pleura peritoneo infiammato e umorismo acquoso. Le concentrazioni nel liquido cerebrospinale raramente superano il 2,5% di quelle nel plasma. Piccola amfotericina B penetra nell'umorismo vitreo o nel normale liquido amniotico. I dettagli completi della distribuzione dei tessuti non sono noti.

L'anfotericina B viene escreta molto lentamente (da settimane a mesi) dai reni con il 2-5% di una determinata dose escreta in forma biologicamente attiva. I dettagli di possibili percorsi metabolici non sono noti. Dopo che il trattamento è stato sospeso, il farmaco può essere rilevato nelle urine per almeno 7 settimane a causa della lenta scomparsa del farmaco. La produzione urinaria cumulativa per un periodo di 7 giorni ammonta a circa il 40% della quantità di droga infusa.

Informazioni sul paziente per il fungizone

Nessuna informazione fornita. Si prega di fare riferimento a AVVERTIMENTOS E PRECAUZIONI sezioni.