Le Informazioni Presenti Sul Sito Non Costituiscono Consulenza Medica. Non Vendiamo Nulla. L'Accuratezza Della Traduzione Non È Garantita. Disclaimer



Lozione di diprolene

Riepilogo della droga

Cos'è la lozione di diprolene?

La lozione di diprolene (betametasone dipropionato) è uno steroide topico (per la pelle) usato per trattare l'infiammazione causata da una serie di condizioni come le reazioni allergiche eczema e la psoriasi. La lozione di diprolene è disponibile in forma generica.

Quali sono gli effetti collaterali della lozione di diprolene?

Gli effetti collaterali comuni della lozione di diprolene includono:



  • bruciore
  • prurito
  • irritazione
  • arrossamento
  • secchezza o
  • Staccarti nel sito dell'applicazione quando applicato per la prima volta alla pelle

Questo dovrebbe scomparire in pochi giorni mentre il tuo corpo si adatta alla lozione di diprolene. Altri effetti collaterali della lozione di diprolene includono diradamento della pelle o smagliature.



Dosaggio per lozione di diprolene

La dose raccomandata di lozione di diprolene è quella di applicare alcune gocce sulla pelle interessata una o due volte al giorno e massaggia leggermente fino a quando la lozione non scompare.

Quali sostanze o integratori di farmaci interagiscono con la lozione di diprolene?

Non è probabile che gli altri farmaci che prendano per via orale o l'iniezione avranno un effetto sulla lozione di diprolene applicata topica. Ma molti farmaci possono interagire tra loro. Dì al medico tutti i farmaci da prescrizione e da banco che usi.



Lozione di diprolene durante la gravidanza o l'allattamento

Durante la gravidanza il diprolene dovrebbe essere usato solo quando prescritto. Non è noto se questo farmaco passa nel latte materno quando applicato sulla pelle. Medici simili passano nel latte materno se assunti in bocca. Consulta il medico prima dell'allattamento al seno.

Ulteriori informazioni

La nostra lozione per diprolene (betametasone dipropionato) Centro farmacologico fornisce una visione completa delle informazioni disponibili sui farmaci sui potenziali effetti collaterali durante l'assunzione di questo farmaco.

Informazioni sui farmaci FDA

Descrizione per lozione di diprolene

La lozione di diprolene (betametasone aumentato dipropionato) contiene betametasone dipropionato USP un adrenocorticosteroide sintetico per uso topico. Betametasone Un analogo del prednisolone ha un alto grado di attività corticosteroide e un leggero grado di attività mineralocorticoide. Il betametasone dipropionato è l'estere 17 21-dipropionato di betametasone.

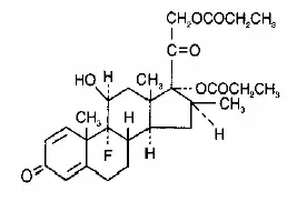
Chimicamente betametasone dipropionato è 9-fluoro-1β1721-trihidrossi-16β-metilpregna-14-4-diene-320-dione 1721-dipropionato con la formula empirica C 28 H 37 Fo 7 Un peso molecolare di 504,6 e la seguente formula strutturale:

È una polvere da bianca a piana in odore cremoso in odore in acqua; liberamente solubile in acetone e in cloroformio; con parsimonia solubile in alcol.

Ogni grammo di lozione di diprolene 0,05% contiene 0,643 mg di betametasone dipropionato USP (equivalente a 0,5 mg di betametasone) in una base di lozione traslucida incolore di idrossipropil cellulosa; alcool isopropilico (30%); acido fosforico usato per regolare il pH; glicole propilenico; acqua purificata; e monoidrato monobasico fosfato di sodio.

Usi per la lozione di diprolene

Diprolene ® La lozione è un corticosteroide indicato per il sollievo delle manifestazioni infiammatorie e pruriche delle dermatosi sensibili ai corticosteroidi in pazienti di età pari o superiore a 13 anni.

Dosaggio per lozione di diprolene

Applicare alcune gocce di lozione di diprolene alle aree cutanee colpite una o due volte al giorno e massaggia leggermente fino a quando la lozione scompare.

La terapia deve essere sospesa quando si ottiene il controllo. Se non si osserva alcun miglioramento entro 2 settimane, potrebbe essere necessaria la rivalutazione della diagnosi. La lozione di diprolene è un corticosteroide topico a potenza alta. Il trattamento con lozione di diprolene dovrebbe essere limitato a 2 settimane consecutive e gli importi non dovrebbero superare i 50 ml a settimana a causa del potenziale per il farmaco per sopprimere l'asse ipotalamo-ipofisi-surrene (HPA) [vedi Avvertimenti e precauzioni ].

Diprolene Lotion should not be used with occlusive dressings unless directed by a physician.

Evitare l'uso sull'inguine o sulle ascelle o se l'atrofia della pelle è presente nel sito di trattamento.

Evita il contatto con gli occhi. Lavare le mani dopo ogni applicazione.

Diprolene Lotion is for topical use only. It is not for oral ophthalmic or intravaginal use.

Come fornito

Forme di dosaggio e punti di forza

Lozione 0,05%. Ogni grammo di lozione di diprolene 0,05% contiene 0,643 mg di betametasone dipropionato (equivalente a 0,5 mg di betametasone) in una lozione traslucida incolore.

a cosa serve doxycycl hyc

Archiviazione e maneggevolezza

Diprolene Lotion 0.05% is a colorless clear to translucent lotion supplied in 30-mL (29 g) ( Ndc 0085-0962-01) e 60 ml (58 g) ( Ndc 0085-0962- 02) bottiglie di plastica.

Conservare a 25 ° C (77 ° F); Escursioni consentite a 15-30 ° C (59-86 ° F) [vedi A temperatura ambiente controllata da USP ].

Distribuito da: Merck Sharp

Effetti collaterali per lozione di diprolene

Esperienza di studi clinici

Poiché gli studi clinici sono condotti in condizioni di reazione avverse ampiamente variabili osservate negli studi clinici di un farmaco non possono essere confrontati direttamente ai tassi negli studi clinici di un altro farmaco e potrebbero non riflettere i tassi osservati nella pratica clinica.

Negli studi clinici controllati le reazioni avverse associate all'uso della lozione di diprolene riportate a una frequenza inferiore all'1% includeva eritema follicolite prurito e vescicolazione.

Esperienza post -marketing

Poiché le reazioni avverse sono riportate volontariamente da una popolazione di dimensioni incerte, non è sempre possibile stimare in modo affidabile la loro frequenza o stabilire una relazione causale con l'esposizione ai farmaci.

I rapporti post -marketing per le reazioni avverse locali ai corticosteroidi topici possono anche includere: atrofia cutanea striae telangectasiass che brucia l'irritazione secchezza eruzioni acneiformi eruzioni ipopigmentazione dermatite perorarale derma di contatto allergico ipertricosi e melaiaria.

Reazioni di ipersensibilità costituite da segni e sintomi prevalentemente cutanei, ad es. Sono stati segnalati dermatite da contatto prurito dermatite e cutanea eritematosa.

Le reazioni avverse oftalmiche della cataratta glaucoma hanno aumentato la pressione intraoculare e sono stati segnalati corioretinopatia sierosa centrale con l'uso di corticosteroidi topici tra cui prodotti betametasone topici.

Interazioni farmacologiche per lozione di diprolene

Nessuna informazione fornita

Avvertenze per la lozione di diprolene

Incluso come parte del 'PRECAUZIONI' Sezione

Precauzioni per lozione per diprolene

Effetti sul sistema endocrino

Diprolene Lotion can produce reversible hypothalamic-pituitary-adrenal (HPA) axis suppression with the potential for glucocorticosteroid insufficiency. This may occur during treatment or after withdrawal of treatment. Factors that predispose to HPA axis suppression include the use of highpotency steroids large treatment surface areas prolonged use use of occlusive dressings altered skin barrier liver failure E young age.

La valutazione per la soppressione dell'asse HPA può essere effettuata utilizzando il test di stimolazione dell'ormone adrenocorticotropico (ACTH).

In una sperimentazione che valuta gli effetti della lozione di diprolene sulla lozione per diprolene dell'asse HPA è stata applicata una volta al giorno a 7 ml al giorno per 21 giorni al cuoio capelluto malato e la pelle del corpo in soggetti con lozione per la psoriasi del cuoio capelluto di diprolene è stato mostrato a ridurre i livelli di cortisolo al di sotto dei normali limiti in 2 soggetti su 11 soggetti. La soppressione dell'asse HPA in questi soggetti era transitoria e restituita alla normalità entro una settimana. In uno di questi soggetti i livelli di cortisolo plasmatico sono tornati alla normalità mentre il trattamento è continuato.

Se la soppressione dell'asse HPA è documentata, ritirare gradualmente il farmaco, ridurre la frequenza di applicazione o sostituire con un corticosteroide meno potente. Possono verificarsi segni raramente e sintomi di astinenza da steroidi che richiedono corticosteroidi sistemici supplementari.

La sindrome di Cushing e l'iperglicemia possono anche verificarsi con corticosteroidi topici. Questi eventi sono rari e generalmente si verificano dopo un'esposizione prolungata a dosi eccessivamente grandi, in particolare di corticosteroidi topici ad alta potenza.

I pazienti pediatrici possono essere più suscettibili alla tossicità sistemica a causa della loro più grande superficie cutanea e di massa corporea [vedi Utilizzare in popolazioni specifiche ].

dove alloggiare ad amsterdam

Reazioni avverse oftalmiche

L'uso di corticosteroidi topici tra cui la lozione di diprolene può aumentare il rischio di cataratta subcapsulare posteriore e glaucoma. Cataratta e glaucoma sono stati segnalati post -marketing con l'uso di prodotti di corticosteroidi topici tra cui la lozione per diprolene [vedi Reazioni avverse ].

Evita il contatto della lozione di diprolene con gli occhi. Consiglia ai pazienti di segnalare eventuali sintomi visivi e di considerare il rinvio a un oftalmologo per la valutazione.

Dermatite a contatto allergico

La dermatite a contatto allergiche con corticosteroidi viene generalmente diagnosticata osservando l'incapacità di guarire piuttosto che notare un'esacerbazione clinica. Tale osservazione dovrebbe essere confermata con appropriati test di patch diagnostici. Se l'irritazione sviluppa corticosteroidi topici dovrebbe essere sospesa e la terapia appropriata istituita.

Informazioni sulla consulenza del paziente

Consiglia al paziente di leggere l'etichettatura del paziente approvato dalla FDA ( Informazioni sul paziente ).

Informare i pazienti di quanto segue:

  • Interrompere la terapia quando si ottiene il controllo, se non diversamente dal medico.
  • Utilizzare non più di 50 ml a settimana di lozione di diprolene e per non più di 2 settimane consecutive.
  • Evita il contatto con gli occhi.
  • Consiglia ai pazienti di segnalare eventuali sintomi visivi ai propri operatori sanitari.
  • Evitare l'uso della lozione di diprolene sulle ascelle per il viso o le aree inguine a meno che non sia diretto dal medico.
  • Non occludere l'area di trattamento con bendaggio o altra copertura se non diretta dal medico.
  • Si noti che le reazioni locali e l'atrofia cutanea hanno maggiori probabilità di verificarsi con uso occlusivo per uso prolungato o uso di corticosteroidi di potenza più elevata.
  • Consiglia a una donna di usare la lozione di diprolene sulla più piccola area della pelle e per la durata più breve possibile durante la gravidanza o l'allattamento. Consiglia alle donne che allattano di non applicare la lozione di diprolene direttamente al capezzolo e all'areola per evitare l'esposizione a infantili diretti.

Tossicoogia non clinica

Mutagenesi della carcinogenesi compromissione della fertilità

Non sono stati condotti studi sugli animali a lungo termine per valutare il potenziale cancerogeno del betametasone dipropionato. Il betametasone era negativo nel test di mutagenicità batterica ( Salmonella typhimurium E Hanno mostrato freddo ) e nel test di mutagenicità delle cellule dei mammiferi (CHO/HGPRT). È stato positivo nel in vitro test di aberrazione del cromosoma dei linfociti umani e equivoco nel in vivo Tosaggio di micronucleo del midollo osseo del topo.

Gli studi su topi e ratti di conigli utilizzando dosi intramuscolari fino a 1 33 e 2 mg/kg hanno comportato rispettivamente aumenti dose-correlati dei riassorbimenti fetali in conigli e topi.

Utilizzare in popolazioni specifiche

Gravidanza

Riepilogo del rischio

Non ci sono dati disponibili sull'uso della lozione di diprolene nelle donne in gravidanza per identificare un rischio associato al farmaco di gravi difetti alla nascita abortificazione o esiti avversi materni o fetali.

Studi osservazionali suggeriscono un aumentato rischio di neonati a basso peso alla nascita con l'uso di oltre 300 grammi di corticosteroide topico potente o molto potente durante una gravidanza. Consiglia alle donne in gravidanza che la lozione di diprolene può aumentare il rischio di avere un neonato a basso peso alla nascita e di usare la lozione di diprolene sulla più piccola area della pelle e per la durata più breve possibile.

Negli studi sulla riproduzione degli animali ha aumentato le malformazioni, tra cui ernie ombelicali cefalocele e palatoschisi sono stati osservati dopo la somministrazione intramuscolare di betametasone dipropionato in conigli incinti. I dati disponibili non consentono il calcolo dei confronti rilevanti tra l'esposizione sistemica del betametasone dipropionato negli studi sugli animali all'esposizione sistemica che ci si aspetterebbe nell'uomo dopo l'uso topico della lozione di diprolene (vedi Dati ).

Il rischio di background di importanti difetti alla nascita e aborto spontaneo per la popolazione indicata non è noto. Tutte le gravidanze hanno un rischio di fondo di perdita di difetti alla nascita o altri risultati avversi. Nella popolazione generale degli Stati Uniti il ​​rischio stimato di importanti difetti alla nascita e abortificazione nelle gravidanze clinicamente riconosciute è rispettivamente dal 2 al 4% e dal 15 al 20%.

Dati

Dati sugli animali

Il betametasone dipropionato ha dimostrato di causare malformazioni nei conigli quando somministrate dalla via intramuscolare a dosi di 0,05 mg/kg. Le anomalie osservate includevano ernie ombelicali cefalocele e palatoschisi.

Lattazione

Riepilogo del rischio

Non ci sono dati sull'escrezione del betametasone dipropionato nel latte materno Gli effetti sul bambino allattato al seno o sugli effetti sulla produzione di latte dopo l'applicazione topica della lozione di diprolene alle donne che stanno allattando.

È possibile che la somministrazione topica di grandi quantità di betametasone dipropionato possa causare un sufficiente assorbimento sistemico per produrre quantità rilevabili nel latte umano. I benefici per lo sviluppo e la salute dell'allattamento al seno dovrebbero essere considerati insieme alla necessità clinica della madre di lozione di diprolene e a potenziali effetti avversi sul bambino allattato al seno dalla lozione di diprolene o dalla condizione materna sottostante.

Considerazioni cliniche

Per ridurre al minimo la potenziale esposizione al bambino allattato al seno attraverso il latte materno, utilizzare la lozione di diprolene sulla più piccola area della pelle e per la durata più breve possibile durante l'allattamento. Consiglia alle donne che allattano di non applicare la lozione di diprolene direttamente al capezzolo e all'areola per evitare l'esposizione a infantili diretti [vedi Uso pediatrico ].

Uso pediatrico

L'uso della lozione di diprolene in pazienti pediatrici di età inferiore ai 13 anni non è raccomandato a causa del potenziale per la soppressione dell'asse HPA [vedi Avvertimenti e precauzioni ].

Effetti collaterali della crema di progesterone naturale

In una prova di sicurezza dell'asse HPA in aperto in soggetti da 3 mesi a 12 anni con dermatite atopica diprolene AF Cream 0,05% è stato applicato due volte al giorno per 2-3 settimane su una superficie corporea media del 58% (intervallo da 35% al ​​95%). In 19 su 60 (32%) soggetti valutabili la soppressione surrenale è stata indicata da un cortisolo pre-stimolo ≤5 mcg/dl o un cortisolo post-stimolazione con cosyntropina ≤18 mcg/dl e/o un aumento di un aumento di un aumento di un aumento di un aumento di un aumento di un aumento di <7 mcg/dL from the baseline cortisol. Out of the 19 subjects with HPA axis suppression 4 subjects were tested 2 weeks after discontinuation of Diprolene AF Cream E 3 of the 4 (75%) had complete recovery of HPA axis function. The proportion of subjects with adrenal suppression in this trial was progressively greater the younger the age group.

A causa di un rapporto più elevato di superficie cutanea e pazienti pediatrici di massa corporea hanno un rischio maggiore rispetto agli adulti di tossicità sistemica quando trattati con farmaci topici. Sono quindi anche a maggior rischio di soppressione dell'asse HPA e insufficienza surrenale all'uso di corticosteroidi topici.

In pazienti pediatrici sono stati riportati rari effetti sistemici come la sindrome della sindrome di Cushing ritardato aumento di peso ritardato e ipertensione intracranica in pazienti pediatrici, in particolare quelli con esposizione prolungata a grandi dosi di corticosteroidi topici ad alta potenza.

Sono state anche riportate reazioni avverse locali tra cui l'atrofia cutanea con l'uso di corticosteroidi topici nei pazienti pediatrici.

Evitare l'uso della lozione di diprolene nel trattamento della dermatite del pannolino.

Uso geriatrico

Gli studi clinici sulla lozione di diprolene includevano 56 soggetti di età pari o superiore a 65 anni e 9 soggetti di età pari o superiore a 75 anni. C'era una differenza numerica per le reazioni del sito di applicazione (eventi più frequentemente segnalati stavano bruciando e pungenti) che si sono verificati nel 15% (10/65) di soggetti geriatrici e 11% (38/342) di soggetti di età inferiore ai 65 anni. Altra esperienza clinica segnalata non ha identificato differenze nelle risposte tra i pazienti anziani e più giovani. Tuttavia, non può essere esclusa una maggiore sensibilità di alcuni anziani.

Informazioni per overdose per lozione per diprolene

Nessuna informazione fornita

Controindicazioni per lozione per diprolene

Diprolene Lotion is contraindicated in patients who are hypersensitive to betamethasone dipropionate to other corticosteroids or to any ingredient in this preparation.

Farmacologia clinica for Diprolene Lotion

Meccanismo d'azione

I corticosteroidi svolgono un ruolo nell'infiammazione della funzione immunitaria di segnalazione cellulare e nella regolazione delle proteine; Tuttavia, il preciso meccanismo d'azione della lozione di diprolene nelle dermatosi reattive di corticosteroidi non è noto.

Farmacodinamica

Saggio Vasocostrittore

Le prove condotte con lozione di diprolene 0,05% indicano che si trova nella gamma superiore di potenza, come dimostrato negli studi vasocostrittori in soggetti sani rispetto ad altri corticosteroidi topici. Tuttavia, i punteggi di sbiancamento simili non implicano necessariamente l'equivalenza terapeutica.

Farmacocinetica

Non sono stati condotti studi farmacocinetici con lozione di diprolene.

L'entità dell'assorbimento percutaneo dei corticosteroidi topici è determinata da molti fattori tra cui il veicolo l'integrità della barriera epidermica e l'uso di medicazioni occlusive.

I corticosteroidi topici possono essere assorbiti attraverso la normale pelle intatta. L'infiammazione e/o altri processi patologici nella pelle possono aumentare l'assorbimento percutaneo. Le medicazioni occlusive aumentano sostanzialmente l'assorbimento percutaneo dei corticosteroidi topici [vedi Dosaggio e amministrazione ].

Una volta assorbiti attraverso i corticosteroidi topici della pelle entrano percorsi farmacocinetici simili ai corticosteroidi somministrati sistematicamente.

I corticosteroidi sono legati alle proteine ​​plasmatiche a vari gradi vengono metabolizzati principalmente nel fegato e escreti dai reni. Alcuni dei corticosteroidi topici e i loro metaboliti sono anche escreti nel Anche .

Studi clinici

La sicurezza e l'efficacia della lozione di diprolene per il trattamento delle dermatosi sensibili ai corticosteroidi sono state valutate in due studi randomizzati controllati da veicoli uno nella psoriasi del cuoio capelluto e una nella dermatite seborroica. Un totale di 263 soggetti di cui 131 hanno ricevuto lozione di diprolene in questi studi. Questi studi hanno valutato la lozione di diprolene applicata una volta al giorno per 21 giorni.

Diprolene Lotion was shown to be effective in relieving the signs E symptoms of corticosteroid responsive dermatoses.

Informazioni sul paziente per lozione per diprolene

Diprolene ®
(Breath-Pro-Leen)
Lozione (dipropionato di betametasone aumentato)

Informazioni importanti: la lozione di diprolene è da utilizzare solo sulla pelle. Non usare la lozione di diprolene negli occhi o vagina.

Cos'è la lozione di diprolene?

Diprolene Lotion is prescription corticosteroid medicine used on the skin (topical) for the relief of arrossamento swelling heat pain (inflammation) E prurito caused by certain skin problems in people 13 years of age E older.

  • Diprolene Lotion should not be used in children under 13 years of age.

Non usare la lozione di diprolene se tu sono allergici al betametasone dipropionato o a uno qualsiasi degli ingredienti nella lozione di diprolene. Vedi la fine di questo opuscolo per un elenco completo di ingredienti nella lozione di diprolene.

Prima di usare la lozione di diprolene, racconta al tuo operatore sanitario su tutte le condizioni mediche, anche se tu:

  • hanno avuto irritazione o altra reazione cutanea a una medicina steroidea in passato.
  • avere diradamento della pelle (atrofia) nel sito di trattamento.
  • avere il diabete.
  • avere problemi di ghiandola surrenali.
  • avere problemi epatici.
  • avere cataratta o glaucoma.
  • sono incinta o prevedono di rimanere incinta. Non è noto se la lozione di diprolene danneggerà il tuo bambino non ancora nato. Se usi la lozione di diprolene durante la gravidanza, utilizzare la lozione di diprolene nella più piccola area della pelle e per il tempo più breve necessario.
  • stanno allattando o pianificano di allattare. Non è noto se la lozione di diprolene passa nel latte materno. Le donne che allattano al seno dovrebbero usare la lozione di diprolene sulla più piccola area della pelle e per il tempo più breve necessario durante l'allattamento al seno. Non applicare la lozione di diprolene direttamente sul capezzolo e nell'areola per evitare il contatto con il tuo bambino.

Di 'al tuo operatore sanitario di tutte le medicine che prendi tra cui prescrizione e medicine da banco vitamine e integratori a base di erbe.

Particolarmente Dì al tuo operatore sanitario se prendi altri medicinali di corticosteroidi in bocca o iniezione o usi altri prodotti sulla pelle o sul cuoio capelluto che contengono corticosteroidi.

Non utilizzare altri prodotti contenenti una medicina di steroidi con lozione di diprolene senza prima parlare con il tuo operatore sanitario.

Come dovrei usare la lozione di diprolene?

  • Usa la lozione di diprolene esattamente come il tuo operatore sanitario ti dice di usarlo.
  • Applicare alcune gocce di lozione di diprolene all'area della pelle interessata 1 o 2 volte al giorno e massaggia leggermente fino a quando la lozione non scompare. Non utilizzare più di 50 ml di lozione di diprolene in 1 settimana.
  • Non utilizzare unguento di diprolene per più di 2 settimane di seguito a meno che il tuo operatore sanitario non ti dica
  • Di 'al tuo operatore sanitario se l'area della pelle trattata non migliora dopo 2 settimane di trattamento con lozione di diprolene.
  • Non bandage copertura o avvolgi l'area della pelle trattata a meno che il tuo operatore sanitario non ti dica.
  • Diprolene Lotion should not be used to treat diaper rash or arrossamento.
  • Evitare l'uso della lozione di diprolene sull'inguine del viso o delle ascelle (ascelle) o se il diradamento della pelle (atrofia) è presente nel sito di trattamento.
  • Lavati le mani dopo aver applicato la lozione di diprolene a meno che tu non stia usando il medicinale per curare le mani.

Quali sono i possibili effetti collaterali della lozione di diprolene?

Diprolene Lotion may cause serious side effects including:

  • Diprolene Lotion can pass through your skin. Troppa lozione di diprolene che passa attraverso la pelle può far smettere di funzionare correttamente le ghiandole surrenali. Il tuo operatore sanitario può fare esami del sangue per verificare i problemi delle ghiandole surrenali.
  • Sindrome di Cushing Una condizione che accade quando il tuo corpo è esposto a troppo cortisolo ormonale.
  • Glicemia alta (iperglicemia).
  • Effetti sulla crescita e il peso nei bambini.
  • Problemi di visione. I corticosteroidi topici tra cui la lozione di diprolene possono aumentare le possibilità di sviluppare cataratta (i) e glaucoma. Di 'al tuo operatore sanitario se sviluppi una visione sfocata o altri problemi di visione durante il trattamento con lozione per diprolene.
  • Problemi della pelle. Problemi della pelle tra cui Le reazioni allergiche (dermatite da contatto) possono verificarsi durante il trattamento con lozione di diprolene. Smetti di usare la lozione di diprolene e racconta al tuo operatore sanitario se si sviluppa reazioni cutanee o hai problemi con la guarigione durante il trattamento con la lozione di diprolene.

Gli effetti collaterali più comuni della lozione di diprolene includono: arrossamento of the skin inflamed hair follicles prurito E blistering. These are not all of the possible side effects of Diprolene Lotion.

Chiama il medico per consigli medici sugli effetti collaterali. È possibile segnalare gli effetti collaterali alla FDA al numero 1-800-FDA-1088.

Come dovrei conservare la lozione di diprolene?

  • Conservare la lozione di diprolene a temperatura ambiente compresa tra 68 ° F e 77 ° F (da 20 ° C a 25 ° C).
  • Mantieni la lozione di diprolene e tutti i medicinali fuori dalla portata dei bambini.

Informazioni generali sull'uso sicuro ed efficace della lozione di diprolene.

Prendi DHEA di notte o mattina

Le medicine sono talvolta prescritte a fini diversi da quelli elencati in un volantino delle informazioni del paziente. Non utilizzare la lozione di diprolene per una condizione per la quale non è stata prescritta. Non dare una lozione di diprolene ad altre persone anche se hanno gli stessi sintomi che hai. Potrebbe danneggiare loro. Puoi chiedere al tuo farmacista o operatore sanitario informazioni sulla lozione di diprolene scritta per gli operatori sanitari.

Quali sono gli ingredienti nella lozione di diprolene?

Ingrediente attivo: Betametasone aumentato dipropionato

Ingredienti inattivi: idrossipropil cellulosa; alcool isopropilico (30%); acido fosforico usato per regolare il pH; glicole propilenico; acqua purificata; e monoidrato monobasico fosfato di sodio.