Le Informazioni Presenti Sul Sito Non Costituiscono Consulenza Medica. Non Vendiamo Nulla. L'Accuratezza Della Traduzione Non È Garantita. Disclaimer
Aiuti per la cessazione del fumo
Chantix
Riepilogo della droga
Cos'è Chantix?
Chantix (Varenicline) è un agonista parziale selettivo per i sottotipi di recettori di acetilcolina nicotinica A4ß2 usati per la cessazione del fumo.
Quali sono gli effetti collaterali di Chantix?
Gli effetti collaterali comuni di Chantix includono
- nausea (può persistere per diversi mesi)
- dolori di stomaco
- indigestione
- stipsi
- gas
- vomito
- mal di testa
- debolezza
- stanchezza
- insolito sogni
- Problemi di sonno (insonnia)
- mal di testa bocca secca O
- Sapore spiacevole in bocca.
Chantix non crea dipendenza e non è una sostanza controllata; Tuttavia, alcuni pazienti possono sperimentare irritabilità e disturbi del sonno se Chantix viene interrotta bruscamente. I pazienti possono sperimentare sintomi psichiatrici come i cambiamenti comportamentali dell'agitazione dell'umore depresso e del comportamento suicidario durante l'uso di Chantix. Di 'al medico se hai gravi effetti collaterali di Chantix, incluso
- sensazione bruciante in piedi/dita dei piedi
- insolito pain in the legs when walking
- confisca (Convulsioni)
- Pensieri sul suicidio o feriti
- irrequietezza
- Strani sogni
- sonnambulismo
- difficoltà a dormire
- Mood o comportamento cambia
- depressione
- agitazione
- ostilità
- aggressione
- Dolore o pressione al torace
- dolore che si diffonde alla mascella o spalla
- nausea
- sudorazione
- intorpidimento improvviso o debolezza
- discorso confuso e
- Problemi con visione o equilibrio
Cerca cure mediche o chiama il 911 contemporaneamente se hai i seguenti gravi effetti collaterali:
- Sintomi di occhiali gravi come la perdita di visione improvvisa del tunnel della visione sfocata Dolore alla visione o gonfiore o vedere aloni attorno alle luci;
- Sintomi cardiaci gravi come battiti cardiaci irregolari o martellanti veloci; svolazzando nel petto; fiato corto; e improvvise vertigini spensieratezza o svenuta;
- Grave mal di testa confusione Il braccio del linguaggio bloccato o la debolezza delle gambe problemi perdite perdita di coordinamento sentendoti instabili muscoli molto rigidi ad alta febbre abbondante sudorazione o tremori.
Questo documento non contiene tutti i possibili effetti collaterali e altri possono verificarsi. Verificare con il tuo medico ulteriori informazioni sugli effetti collaterali.
Dosaggio per Chantix
La dose raccomandata di Chantix è 0,5 mg al giorno per 3 giorni seguita da 0,5 mg due volte al giorno per 4 giorni, quindi 1 mg due volte al giorno per il resto del periodo di trattamento. La durata della terapia è di 12 settimane.
Quali sostanze o integratori di farmaci interagiscono con Chantix?
Se il trattamento ha successo, continua per altre 12 settimane per aumentare la possibilità di astinenza a lungo termine.
Chantix durante la gravidanza e l'allattamento
Non ci sono studi adeguati nelle donne in gravidanza e non è noto se Chantix sia escreto nel latte materno.
Ulteriori informazioni
Il nostro Centro farmacologico Chantix (Varenicline) degli effetti collaterali fornisce una visione completa delle informazioni disponibili sui farmaci sui potenziali effetti collaterali durante l'assunzione di questo farmaco.
Informazioni sui farmaci FDA
- Descrizione del farmaco
- Indicazioni
- Effetti collaterali
- Interazioni farmacologiche
- Avvertimenti
- Overdose
- Farmacologia clinica
- Guida ai farmaci
Chi non dovrebbe prendere Chantix?
Non prendere Chantix se hai avuto una grave reazione allergica o cutanea a Chantix. I sintomi possono includere:
- gonfiore della bocca del viso (ganne labbra della lingua) gola o collo
- difficoltà a respirare
- eruzione cutanea con la pelle sbucciata
- vesciche in bocca
Prima di prendere Chantix Di 'al tuo operatore sanitario se tu :
- Usa altri trattamenti per smettere di fumare. L'uso di Chantix con una patch di nicotina può causare la nausea vomito le vertigini mal di stomaco e la stanchezza che si verificano più spesso che se usi solo una patch di nicotina da solo.
- avere problemi ai reni o ottenere reni
- avere una storia di convulsioni
- Bevi alcol
- avere problemi di cuore o vaso sanguigno
- avere altre condizioni mediche
- sono incinta o prevedono di rimanere incinta. Non è noto se Chantix danneggerà il tuo bambino non ancora nato.
- sono allattamento al seno. Non è noto se Chantix passa nel latte materno. Se allatta e prendi Chantix monitora il tuo bambino per convulsioni e sputando o vomito più del normale.
- Tutti i medicinali prendi tra cui prescrizione e medicine da banco vitamine e integratori a base di erbe. Il tuo operatore sanitario potrebbe essere necessario cambiare la dose di alcuni dei tuoi medicinali quando smetti di fumare.
- Tienilo con te un elenco per mostrare il tuo medico e il tuo farmacista quando ottieni un nuovo medicinale.
Descrizione per Chantix
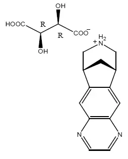
Chantix tablets contain varenicline (as the tartrate salt) which is a partial nicotinic agonist selective fO α 4 β 2 sottotipi di recettori nicotinici acetilcolina.
Varenicline come sale tartrato è una polvere da un solido da bianco a bianco da off-bianco a leggermente giallo con il seguente nome chimico: 78910-tetraidro-610-metano-6h-pirazino [23- H] [3] benzazepina (2R3R) -23-diidroxibutanedio (1: 1). È altamente solubile in acqua. Il tartrato di varenicline ha un peso molecolare di 361,35 daltons e una formula molecolare di c 13 H 13 N 3 • C. 4 H 6 O 6 . La struttura chimica è:
|
Chantix is supplied fO Oal administration in two strengths: a 0.5 mg capsular biconvex white to off-white film-coated tablet debossed with Pfizer on one side and CHX 0.5 on the other side and a 1 mg capsular biconvex light blue film-coated tablet debossed with Pfizer on one side and CHX 1.0 on the other side. Each 0.5 mg Chantix tablet contains 0.85 mg of Tartrato di varenicline equivalent to 0.5 mg of varenicline free base; each 1 mg Chantix tablet contains 1.71 mg of Tartrato di varenicline equivalent to 1 mg of varenicline free base. The following inactive ingredients are included in the tablets: microcrystalline cellulose anhydrous dibasic calcium phosphate croscarmellose sodium colloidal silicon dioxide magnesium stearate Opadry® White (fO 0.5 mg) Opadry® Blue (fO 1 mg) and Opadry® Clear.
Usi per Chantix
Chantix è indicato per l'uso come aiuto per il trattamento della cessazione del fumo.
Dosaggio per Chantix
Abituale dosaggio per gli adulti
Le terapie per la cessazione del fumo hanno maggiori probabilità di avere successo per i pazienti motivati a smettere di fumare e che vengono forniti consigli e supporto aggiuntivi. Fornire ai pazienti materiali educativi adeguati e consulenza per sostenere il tentativo di smettere.
Il paziente dovrebbe fissare una data per smettere di fumare. Inizia Chantix a dosarsi una settimana prima di questa data. In alternativa, il paziente può iniziare a dosarsi Chantix e quindi smettere di fumare tra i giorni 8 e 35 di trattamento.
Chantix dovrebbe essere presa per via orale dopo aver mangiato e con un bicchiere d'acqua pieno.
La dose raccomandata di Chantix è 1 mg due volte al giorno dopo una titolazione di 1 settimana come segue:
| Giorni 1 - 3: | 0,5 mg una volta al giorno |
| Giorni 4 - 7: | 0,5 mg due volte al giorno |
| Giorno 8 - Fine del trattamento: | 1 mg due volte al giorno |
I pazienti devono essere trattati con Chantix per 12 settimane. Per i pazienti che hanno smesso di fumare con successo alla fine di 12 settimane, si raccomanda di aumentare ulteriormente la probabilità di un'astinenza a lungo termine.
Per i pazienti che sono sicuri di non essere in grado o disposti a smettere di considerare bruscamente un approccio graduale per smettere di fumare con Chantix. I pazienti dovrebbero iniziare a dosarsi Chantix e ridurre il fumo del 50% dal basale entro le prime quattro settimane di un ulteriore 50% nelle prossime quattro settimane e continuare a ridurre con l'obiettivo di raggiungere l'astinenza completa di 12 settimane. Continua il trattamento Chantix per altre 12 settimane per un totale di 24 settimane di trattamento. Incoraggia i pazienti a tentare di smettere prima se si sentono pronti [vedi Studi clinici ].
I pazienti che sono motivati a smettere e che non sono riusciti a smettere di fumare durante la precedente terapia di Chantix per ragioni diverse dall'intollerabilità a causa di eventi avversi o che hanno recuperato dopo il trattamento dovrebbero essere incoraggiati a fare un altro tentativo con Chantix una volta che i fattori che hanno contribuito al tentativo fallito sono stati identificati e affrontati.
Considera una riduzione della dose temporanea o permanente nei pazienti che non possono tollerare gli effetti avversi di Chantix.
Dosaggio in popolazioni speciali
Pazienti con funzionalità renale alterata
Non è necessario alcun aggiustamento del dosaggio per i pazienti con compromissione renale da lieve a moderata. Per i pazienti con grave compromissione renale (clearance di creatinina stimata inferiore a 30 ml per min) la dose iniziale raccomandata di Chantix è 0,5 mg una volta al giorno. La dose può quindi essere titolata secondo necessità per una dose massima di 0,5 mg due volte al giorno. Per i pazienti con malattia renale allo stadio terminale sottoposto a emodialisi una dose massima di 0,5 mg una volta al giorno può essere somministrata se tollerata [vedi Utilizzare in popolazioni specifiche Farmacologia clinica ].
Anziani e pazienti con funzionalità epatica alterata
Non è necessario alcun aggiustamento del dosaggio per i pazienti con compromissione epatica. Poiché è più probabile che i pazienti anziani abbiano una riduzione delle cure di funzionalità renale nella selezione della dose e può essere utile monitorare la funzione renale [vedi Utilizzare in popolazioni specifiche ].
Come fornito
Forme di dosaggio e punti di forza
Compresse di biconvex capsulari: 0,5 mg (debossato da bianco a bianco con Pfizer su un lato e CHX 0,5 sull'altro lato) e 1 mg (debossato azzurro con Pfizer su un lato e CHX 1.0 sull'altro lato).
Archiviazione e maneggevolezza
Chantix viene fornito per la somministrazione orale in due punti di forza: un biconvex capsulare da 0,5 mg da bianco a tavoletta con pellicola con pellicola con pellicola bianca off-bianca con Pfizer su un lato e CHX 0,5 dall'altra parte e un debitore di tavolette a base di pellicola a base di pellicola piena di pellicola piena di pfizer. Chantix viene fornito nelle seguenti configurazioni del pacchetto:
| Descrizione | Ndc | |
| Pacchetti | A partire da 2 settimane: 0,5 mg x 11 compresse e 1 mg x 14 compresse | Ndc 0069-0471-01 |
| Card di 2 settimane continua: 1 mg x 28 compresse | Ndc 0069-0469-11 | |
| A partire dalla carta di 4 settimane: 0,5 mg x 11 compresse e 1 mg x 42 compresse | Ndc 0069-0471-03 | |
| Card di 4 settimane continua: 1 mg x 56 compresse | Ndc 0069-0469-03 | |
| Box di inizio mese: 0,5 mg x 11 compresse e 1 mg x 42 compresse | Ndc 0069-0471-02; Ndc 0069-0471-03 | |
| Casella del mese continuo: 1 mg x 56 compresse | Ndc 0069-0469-12; Ndc 0069-0469-03 | |
| Bottiglie | 0,5 mg - bottiglia di 56 | Ndc 0069-0468-56 |
| 1 mg - bottiglia di 56 | Ndc 0069-0469-56 |
Conservare a 25 ° C (77 ° F); Escursioni consentite a 15-30 ° C (59–86 ° F) (vedi A temperatura ambiente controllata da USP ).
Distribuito da: Pfizer Labs Division di Pfizer Inc NY NY 10017. Revisionato: 20 dicembre 16
Effetti collaterali fO Chantix
Le seguenti gravi reazioni avverse sono state riportate nell'esperienza post -marketing e sono discusse in maggior dettaglio in altre sezioni dell'etichettatura:
- Eventi avversi neuropsichiatrici tra cui suicidalità [vedi Avvertimenti e PRECAUZIONI ]
- Convulsioni [vedi Avvertimenti e PRECAUZIONI ]
- Interazione con l'alcol [vedi Avvertimenti e PRECAUZIONI ]
- Lesioni accidentali [vedi Avvertimenti e PRECAUZIONI ]
- Eventi cardiovascolari [vedi Avvertimenti e PRECAUZIONI ]
- Somanbulismo [HIT Avvertimenti e PRECAUZIONI ]
- Reazioni di angioedema e ipersensibilità [vedi Avvertimenti e PRECAUZIONI ]
- Reazioni cutanee gravi [vedi Avvertimenti e PRECAUZIONI ]
Negli studi di pre-marketing controllati con placebo Gli eventi avversi più comuni associati a Chantix (> 5% e il doppio del tasso osservato nei pazienti trattati con placebo) erano nausea anormale (vivida insolita o strana) Sogni di costipazione e vomito.
Il tasso di interruzione del trattamento dovuto agli eventi avversi nei pazienti dosati con 1 mg due volte al giorno è stato del 12% per Chantix rispetto al 10% per il placebo negli studi sul trattamento di tre mesi. In questo gruppo i tassi di interruzione che sono superiori al placebo per gli eventi avversi più comuni nei pazienti trattati con Chantix erano i seguenti: nausea (3% vs. 0,5% per placebo) insonnia (NULL,2% vs. 1,1% per placebo) e sogni anormali (NULL,3% vs. 0,2% per placebo).
La cessazione del fumo con o senza trattamento è associata ai sintomi di astinenza dalla nicotina ed è stata anche associata all'esacerbazione della malattia psichiatrica sottostante.
Esperienza di studi clinici
Poiché gli studi clinici sono condotti in condizioni ampiamente variabili, i tassi di reazioni avverse osservate negli studi clinici di un farmaco non possono essere paragonati direttamente ai tassi negli studi clinici di un altro farmaco e potrebbero non riflettere i tassi osservati nella pratica clinica.
Durante lo sviluppo precarketing di Chantix oltre 4500 soggetti sono stati esposti a Chantix con oltre 450 trattati per almeno 24 settimane e circa 100 per un anno. La maggior parte dei partecipanti allo studio sono stati trattati per 12 settimane o meno.
L'evento avverso più comune associato al trattamento di Chantix è la nausea che si verifica nel 30% dei pazienti trattati alla dose raccomandata rispetto al 10% nei pazienti che assumono un regime placebo comparabile [vedi Avvertimenti e PRECAUZIONI ].
La tabella 3 mostra gli eventi avversi per Chantix e Placebo negli studi di pre-marketing a dose fissa di 12 settimane con titolazione nella prima settimana [Studies 2 (solo braccio titolato) 4 e 5]. Gli eventi avversi sono stati classificati utilizzando il dizionario medico per le attività normative (Meddra versione 7.1).
I termini di gruppo di alto livello di Meddra (HLGT) riportati in ≥ 5% dei pazienti nel gruppo dose due volte al giorno di Chantix 1 mg e più comunemente rispetto al gruppo placebo sono elencati insieme a termini preferiti subordinati (PT) riportati in ≥ 1% dei pazienti Chantix (e almeno allo 0,5% in più di frequente placebo). Sono stati raggruppati termini preferiti strettamente correlati come l'insonnia insonnia iniziale di insonnia medio , ma i singoli pazienti che segnalano due o più eventi raggruppati vengono contati solo una volta.
Tabella 3: Trattamento comune eventi emergenti (%) negli studi a dose a dose a dose (HLGTS ≥ 5% dei pazienti nel gruppo di bid da 1 mg di bid e più comunemente rispetto a placebo e Pt ≥ 1% nel gruppo di bid da 1 mg e 1 mg di Chantix di almeno 0,5% in più di placebo)
| Termine preferita del gruppo di classe Organo di Organo di Sistema Termine preferito | Chantix 0,5 mg BID N = 129 | Chantix 1 Mg BID N = 821 | Placebo N = 805 |
| Gastrointestinale (GI) | |||
| Segni e sintomi GI | |||
| Nausea | 16 | 30 | 10 |
| Dolore addominale * | 5 | 7 | 5 |
| Flatulenza | 9 | 6 | 3 |
| Dispepsia | 5 | 5 | 3 |
| Vomito | 1 | 5 | 2 |
| Condizioni di motilità/defecazione GI | |||
| Stipsi | 5 | 8 | 3 |
| Malattia da reflusso gastroesofageo | 1 | 1 | 0 |
| Condizioni della ghiandola salivare | |||
| Bocca secca | 4 | 6 | 4 |
| Disturbi psichiatrici | |||
| Disturbo del sonno/disturbi | |||
| Insonnia† | 19 | 18 | 13 |
| Sogni anormali | 9 | 13 | 5 |
| Disturbo del sonno | 2 | 5 | 3 |
| Incubo | 2 | 1 | 0 |
| Sistema nervoso | |||
| Mal di testa | |||
| Mal di testa | 19 | 15 | 13 |
| Disturbi neurologici NEC | |||
| Dysgeusia | 8 | 5 | 4 |
| Sonnolenza | 3 | 3 | 2 |
| Letargia | 2 | 1 | 0 |
| Disturbi generali | |||
| Disturbi generali NEC | |||
| Affaticamento/malessere/astenia | 4 | 7 | 6 |
| Respiro/toracico/mediast | |||
| Disturbi respiratori NEC | |||
| Rhinorrea | 0 | 1 | 0 |
| Dispnea | 2 | 1 | 1 |
| Disturbo del tratto respiratorio superiore | 7 | 5 | 4 |
| Tessuto pelle/sottocutaneo | |||
| Condizioni epidermiche e dermiche | |||
| Eruzione cutanea | 1 | 3 | 2 |
| Prurite | 0 | 1 | 1 |
| METABOLISMO | |||
| Disturbi di mnutrizione dell'appetito/generale | |||
| Aumento dell'appetito | 4 | 3 | 2 |
| Diminuzione dell'appetito/anoressia | 1 | 2 | 1 |
| *Include i PTS addominale (dolore dolori al dolore superiore inferiore distensione di tenerezza) e disagio dello stomaco † Include insonnia PTS/insonnia iniziale/insonnia media/risveglio del primo mattino |
Il modello complessivo e la frequenza degli eventi avversi durante gli studi di pre-marketing a lungo termine erano simili a quelli descritti nella Tabella 3, sebbene molti degli eventi più comuni siano stati riportati da una percentuale maggiore di pazienti con uso a lungo termine (ad esempio nausea nel 40% dei pazienti trattati con Chantix 1 mg due volte al giorno in uno studio di un anno rispetto all'8% dei pazienti trattati con placebo).
Di seguito è riportato un elenco di eventi avversi emergenti dal trattamento riportati dai pazienti trattati con Chantix durante tutti gli studi clinici di pre-marketing e aggiornati in base a dati aggregati da 18 studi preanali post-mercati controllati con placebo, tra cui circa 5000 pazienti trattati con varenicline. Gli eventi avversi sono stati classificati utilizzando Meddra versione 16.0. L'elenco non include quegli eventi già elencati nelle tabelle precedenti o altrove nell'etichettare quegli eventi per i quali una causa del farmaco era remota quegli eventi che erano così generali da essere non informativi e quegli eventi segnalati una sola volta che non avevano una sostanziale probabilità di essere profondamente letale.
Disturbi del sistema e sangue e linfatici . Infrequente : linfoadenopatia da anemia. Raro : leucocitosi splenomegalia trombocitopenia.
Disturbi cardiaci . Infrequente : Angina pectoris Myocardial Infarction Palpitations Tachicardia. Raro : Sindrome coronarica acuta Aritmia Fibrillazione atriale Bradicardia Flutter cardiaco COR Pulmonale Polonarica Piamina ventricolare Extrasistole.
Disturbi dell'orecchio e del labirinto . Infrequente : Acufene Vertigo. Raro : Malattia di Meniere.
Disturbi endocrini . Infrequente : disturbi della ghiandola tiroidea.
Disturbi degli occhi . Infrequente : Congiuntivite Eye Irritazione dell'occhio Visione del dolore per gli occhi Dimenuizione visiva offuscata.
Raro : cecità cataratta transitoria subapsulare della notte secca secca cecità oculare del disturbo vascolare fotofobia floater vitreo.
Disturbi gastrointestinali . Frequente : mal di denti della diarrea. Infrequente : Disfagia che erutta la gastrite gastrointestinale Emorragia della bocca. Raro : Enterocolite esofagite Ulcera gastrica ostruzione intestinale pancreatite acuta.
Disturbi generali e condizioni del sito di amministrazione . Frequente : dolore al petto. Infrequente : Disagio al torace Belietta edema Pyrexia simile all'influenza.
Disturbi epatobiliari . Raro : disturbo della cistifellea.
Indagini . Frequente : Test di funzionalità epatica Peso anormale aumentato. Infrequente : elettrocardiogramma anormale. Raro : Enzima muscolare ha aumentato l'analisi delle urine anormale.
Metabolismo e disturbi nutrizionali . Infrequente : Ipoglicemia diabete mellito. Raro : iperlipidemia iponokalemia.
Disturbi del tessuto muscoloscheletrico e connettivo . Frequente : Myalgia del mal di schiena Artralgia. Infrequente : dolore muscoloscheletrico muscolare artrite muscolare. Raro : osteoporosi della miosite.
Disturbi del sistema nervoso . Frequente : disturbo nelle vertigini dell'attenzione. Infrequente : Amnesia Convulsion Emicrany Parosmia Syncope Tremore. Raro : Disturbo dell'equilibrio Disarria di incidente cerebrovascolare Disiderment mentale Sclerosi multipla VII TH
Disturbi psichiatrici . Infrequente : Libido di dissociazione ha ridotto gli sbalzi d'umore pensando anormali. Raro : umore euforico di disorientamento della bradifrenia.
Disturbi renali e urinari . Infrequente : Nocturia Pollakiuria Urine Anomalia. Raro : Nefrolitiasi Polyuria Insufficienza renale Sindrome uretrale Acuto Retenzione urinaria.
Sistema riproduttivo e disturbi mammari . Frequente : disturbo mestruale. Infrequente : disfunzione erettile. Raro : disfunzione sessuale.
Disturbi toracici e mediastinali respiratori . Frequente : disturbi respiratori. Infrequente : Infiammazione del tratto respiratorio superiore allergico all'epistassi dell'asma. Infiammazione del tratto respiratorio superiore. Raro : embolia polmonare pleurisy.
Disturbi della pelle e dei tessuti sottocutanei . Infrequente : acne secco eczema eritema iperidrosi orticaria. Raro : Psoriasi di reazione fotosensibilità.
Disturbi vascolari . Infrequente : vampata a caldo. Raro : trombosi.
Chantix è stato anche studiato in studi post -marketing tra cui (1) uno studio condotto in pazienti con malattia polmonare ostruttiva cronica (BPCO) (2) uno studio condotto in pazienti generalmente sani (simili a quelli negli studi di pre -marketing) in cui non sono stati autorizzati a selezionare una data di abbandono tra i giorni 8 e 35 di trattamento (alternativa di istruzione per la data di mensa) (3 anni). recidiva dopo il trattamento (sperimentazione di re-trattamento) (4) Uno studio condotto in pazienti con malattia cardiovascolare stabile (5) uno studio condotto in pazienti con schizofrenia stabile o disturbo schizoaffettivo (6) uno studio condotto in pazienti con disturbo depressivo maggiore (7) a un disordine depressivo (7). bruscamente e chi è stato incaricato di smettere gradualmente (approccio graduale a smettere di provare il fumo).
Gli eventi avversi nello studio dei pazienti con BPCO nella sperimentazione alternativa di istruzioni per la data e nell'approccio graduale alla smettere di provare il fumo sono stati simili a quelli osservati negli studi di pre -marketing. Nella sperimentazione di re-trattamento il profilo di eventi avversi comuni era simile a quello precedentemente riportato, ma inoltre i pazienti trattati con varenicline hanno anche comunemente riportato la diarrea (6% vs. 4% nei pazienti trattati con placebo) disturbi dell'umore e disturbi dell'umore (6% vs. 1%) e altri disturbi dell'umore e disturbi dell'umore (5% vs. 2%).
Nello studio dei pazienti con malattie cardiovascolari stabili sono stati riportati più tipi e un numero maggiore di eventi cardiovascolari rispetto agli studi di pre -marketing. Trattamento-emergente (on-trattamento o 30 giorni dopo il trattamento) eventi cardiovascolari riportati con una frequenza ≥ 1% in entrambi i gruppi di trattamento in questo studio sono stati Angina pectoris (NULL,7% e 2,0% per varenicline e placebo rispettivamente (NULL,4% VS. 1,1%). I decessi e gli eventi cardiovascolari gravi che si verificano per le 52 settimane dello studio (emergere emergenti emergenti del trattamento) sono stati giudicati da un comitato indipendente cieco. I seguenti eventi giudicati emergenti dal trattamento si sono verificati con una frequenza ≥ 1% in entrambi i gruppi di trattamento: MI non fatale (NULL,1% vs. 0,3% rispettivamente per varenicline e placebo) e ricovero per l'angina pectoris (NULL,6% vs. 1,1%). Durante il follow-up di non trattamento a 52 settimane gli eventi giudicati includevano la necessità di rivascolarizzazione coronarica (NULL,0% vs. 0,6%) di ospedale per Angina pectoris (NULL,7% vs. 1,1%) e nuova diagnosi di malattia vascolare periferica (PVD) o PVD) o PVD) o PVD) o PVD) o PVD) o PVD) o PVD) o PVD) o PVD) o PVD) o PVD) o PVD) o PVD) o PVD) o PVD) o PVD) o PVD) o PVD) o l'ammissione per l'ammissione per una procedura PVD (NULL,4% vs. 0,6%). Alcuni dei pazienti che richiedono la rivascolarizzazione coronarica sono stati sottoposti a procedura nell'ambito della gestione dell'MI non fatale e del ricovero in ospedale per l'angina. La morte cardiovascolare si è verificata nello 0,3% dei pazienti nel braccio di vareniclina e lo 0,6% dei pazienti nel braccio placebo nel corso dello studio di 52 settimane.
Nello studio di pazienti con schizofrenia stabile o disturbo schizoaffettivo 128 fumatori su farmaci antipsicotici sono stati randomizzati 2: 1 a vareniclina (1 mg due volte al giorno) o placebo per 12 settimane con follow-up non farmaco di 12 settimane. Gli eventi avversi più comuni nei pazienti che assumono varenicline sono stati la nausea (24% vs. 14,0% su placebo) mal di testa (11% vs. 19% su placebo) e vomito (11% vs. 9% su placebo). Tra gli eventi avversi neuropsichiatrici riportati l'insonnia è stato l'unico evento che si è verificato in entrambi i gruppi di trattamento in ≥5% dei soggetti a un tasso più alto nel gruppo vanicline rispetto al placebo (10% contro 5%). Questi eventi avversi comuni e neuropsichiatrici si sono verificati al trattamento o entro 30 giorni dall'ultima dose di farmaco in studio. Non vi è stato un peggioramento coerente della schizofrenia in entrambi i gruppi di trattamento misurati dalla scala della sindrome positiva e negativa. Non ci sono stati cambiamenti complessivi nei segni extra-piramidali misurati dalla scala di valutazione di Simpson-Angus. La scala di valutazione della gravità della Columbia-suicidio è stata somministrata al basale e alle visite cliniche durante le fasi di follow-up di trattamento e non trattamento. Oltre la metà dei pazienti ha avuto una storia a vita di comportamento suicidario e/o ideazione (62% su varenicline vs. 51% su placebo) ma al basale non i pazienti nel gruppo vareniclina hanno riportato comportamenti suicidari e/o ideazione rispetto a un paziente nel gruppo placebo (2%). Il comportamento suicidario e/o l'ideazione sono stati riportati nell'11% del trattamento trattato in vareniclina e del 9% dei pazienti trattati con placebo durante la fase di trattamento. Durante la fase post-trattamento il comportamento suicidario e/o l'ideazione sono stati riportati nell'11% dei pazienti nel gruppo vareniclina e nel 5% dei pazienti nel gruppo placebo. Molti dei pazienti che riportavano comportamenti suicidari e ideazione nella fase di follow-up non avevano riportato tali esperienze nella fase di trattamento. Tuttavia, non è emerso alcun nuovo ideazione suicidaria o comportamento in entrambi i gruppi di trattamento (entro una settimana) dopo l'interruzione del trattamento (un fenomeno notato nel segnalazione post -marketing). Non c'erano suicidi completati. C'è stato un tentativo di suicidio in un paziente trattato con vareniclina. I dati limitati disponibili da questo singolo studio di cessazione del fumo non sono sufficienti per consentire il tratto di conclusioni.
Nello studio dei pazienti con disturbo depressivo maggiore gli eventi avversi più comuni (≥ 10%) nei soggetti che assumono varenicline sono stati nausea (27% vs. 10% su placebo) mal di testa (17 contro 11%) sogni anormali (11% vs. 8%) insonnia (11% vs. 5%) e irritabilità (11% vs. 8%). Inoltre, i seguenti eventi avversi psichiatrici sono stati riportati in ≥ 2% dei pazienti in entrambi i gruppi di trattamento (Varenicline o Placebo rispettivamente): ansia (7% vs. 9%) Agitazione (7% vs. 4%) disturbi dell'umore depressi e disturbi (11% vs. 9%) Tensione (4% vs. 3%) Hostililità (2% vs. 0,4%) e ripubblicazione (2% V. 2%). I pazienti trattati con varenicline avevano maggiori probabilità rispetto ai pazienti trattati con placebo per segnalare uno dei vari eventi relativi all'ostilità e all'aggressività (3% vs. 1%). Le scale psichiatriche non hanno mostrato differenze tra i gruppi di varenicline e placebo e nessun peggioramento complessivo della depressione durante lo studio in entrambi i gruppi di trattamento. La percentuale di soggetti con ideazione suicidaria e/o comportamento era simile tra i gruppi di varenicline e il placebo durante il trattamento (rispettivamente il 6% e l'8%) e il follow-up di non trattamento (rispettivamente 6% e 6%). C'è stato un evento di autolesionismo intenzionale/possibile tentativo di suicidio durante il trattamento (giorno 73) in un argomento nel gruppo placebo. Il suicidio non poteva essere escluso in una materia morta da un overdose di droghe illecite 76 giorni dopo l'ultima dose di farmaco in studio nel gruppo di varenicline.
Nello studio sui pazienti senza o con una storia di disturbo psichiatrico, gli eventi avversi più comuni nei soggetti trattati con vareniclina erano simili a quelli osservati negli studi di pre -marketing. Gli eventi avversi riportati in ≥ 10% dei soggetti trattati con varenicline nell'intera popolazione dello studio erano nausea (25% vs. 7% su placebo) e mal di testa (12% vs. 10% su placebo). Inoltre, i seguenti eventi avversi psichiatrici sono stati riportati in ≥ 2% dei pazienti in entrambi i gruppi di trattamento (varenicline vs. placebo) per coorte. Per la coorte non psichiatrica questi eventi avversi sono stati sogni anormali (8% vs. 4%) di agitazione (3% vs. 3%) ansia (5% contro 6%) umore (3% vs. 3%) insonnia (10% vs. 7%) irritabilità (3% vs. 4%) Disturbo del sonno (3% vs. 2%). Per la coorte psichiatrica questi eventi avversi sono stati sogni anormali (12% vs. 5%) agitazione (5% contro 4%) ansia (8% vs. 6%) umore depresso (5% vs. 5%) depressione (5% vs. 5%) Insonnia (9% vs. 7%) Irritabilità (5% vs. 7%) nervosismo (2% Vs. 3%) (3%).
Esperienza post -marketing
I seguenti eventi avversi sono stati segnalati durante l'uso post-approvazione di Chantix. Poiché questi eventi sono riportati volontariamente da una popolazione di dimensioni incerte, non è possibile stimare in modo affidabile la loro frequenza o stabilire una relazione causale con l'esposizione ai farmaci.
Ci sono state segnalazioni di depressione mania psicosi allucinazioni paranoia delusioni di ideazione omicida ansia da ostilità e panico, nonché un tentativo di suicidio suicidario suicida e completato il suicidio nei pazienti che tentano di smettere di fumare mentre prendevano Chantix [vedi Avvertimenti e PRECAUZIONI ].
Ci sono stati rapporti post -marketing di convulsioni nuove o peggiorate nei pazienti trattati con Chantix [vedi Avvertimenti e PRECAUZIONI ].
Ci sono stati segnalazioni post -marketing di pazienti che hanno avuto maggiori effetti inebrianti dell'alcol durante l'assunzione di Chantix. Alcuni eventi neuropsichiatrici segnalati tra cui comportamenti insoliti e talvolta aggressivi [vedi Avvertimenti e PRECAUZIONI ].
Sono stati segnalati reazioni di ipersensibilità tra cui l'angiedema [vedi Avvertimenti e PRECAUZIONI ].
Ci sono stati anche segnalazioni di gravi reazioni cutanee tra cui la sindrome di Stevens-Johnson e l'eritema multiforme nei pazienti che assumono Chantix [vedi Avvertimenti e PRECAUZIONI ]. There have been repOts of myocardial infarction (MI) and cerebrovascular accident (CVA) including ischemic and hemOrhagic events in patients taking Chantix. In the majOity of the repOted cases patients had pre-existing cardiovascular disease and/O other risk factOs. Although smoking is a risk factO fO MI and CVA based on tempOal relationship between medication use and events a contributOy role of varenicline cannot be ruled out [see Avvertimenti e PRECAUZIONI ].
Ci sono state segnalazioni di iperglicemia nei pazienti dopo l'inizio di Chantix. Sono stati segnalati notizie di sonnambulismo alcuni che hanno portato a comportamenti dannosi per sé o proprietà nei pazienti trattati con Chantix [vedi Avvertimenti e PRECAUZIONI ].
Interazioni farmacologiche fO Chantix
Basato sulle caratteristiche di varenicline e sull'esperienza clinica fino ad oggi, Chantix non ha interazioni farmacocinetiche clinicamente significative [vedi Farmacologia clinica ].
Usa con altri farmaci per la cessazione del fumo
La sicurezza e l'efficacia di Chantix in combinazione con altre terapie di cessazione del fumo non sono state studiate.
Bupropione
Varenicline (1 mg due volte al giorno) non ha alterato la farmacocinetica a stato stazionario del bupropione (150 mg due volte al giorno) in 46 fumatori. La sicurezza della combinazione di bupropione e vareniclina non è stata stabilita.
Terapia sostitutiva della nicotina (NRT)
Sebbene la co-somministrazione di varenicline (1 mg due volte al giorno) e nicotina transdermica (21 mg/die) per un massimo di 12 giorni non ha influenzato la farmacocinetica della nicotina, l'incidenza del mal di testa di nausea che vomina la dispepsia e la fatica era maggiore per la combinazione che solo per la NRT. In questo studio otto su venti-due (36%) pazienti trattati con la combinazione di carenicline e NRT trattati prematuramente a causa di eventi avversi rispetto a 1 su 17 (6%) dei pazienti trattati con NRT e placebo.
Effetto della cessazione del fumo su altri farmaci
I cambiamenti fisiologici derivanti dalla cessazione del fumo con o senza trattamento con Chantix possono alterare la farmacocinetica o la farmacodinamica di alcuni farmaci (ad es. Teofillina warfarin insulina) per la quale potrebbe essere necessario un aggiustamento del dosaggio.
Abuso e dipendenza da droghe
Sostanza controllata
La vareniclina non è una sostanza controllata.
Dipendenza
Umani
Meno di 1 su 1000 pazienti ha riportato euforia negli studi clinici con Chantix. A dosi più elevate (maggiore di 2 mg), Chantix ha prodotto segnalazioni più frequenti di disturbi gastrointestinali come nausea e vomito. Non ci sono prove di escalation dose per mantenere gli effetti terapeutici negli studi clinici, il che suggerisce che la tolleranza non si sviluppa. La brusca interruzione di Chantix è stata associata ad un aumento dell'irritabilità e dei disturbi del sonno fino al 3% dei pazienti. Ciò suggerisce che in alcuni pazienti la vareniclina può produrre lieve dipendenza fisica che non è associata alla dipendenza.
In uno studio di responsabilità di abuso di laboratorio umano una singola dose orale di 1 mg di varenicline non ha prodotto risposte soggettive positive o negative significative nei fumatori. Nei non fumatori 1 mg, la vareniclina ha prodotto un aumento di alcuni effetti soggettivi positivi, ma questo è stato accompagnato da un aumento degli effetti avversi negativi, in particolare la nausea. Una singola dose orale di 3 mg di varenicline ha prodotto uniformemente risposte soggettive sgradevoli sia nei fumatori che nei non fumatori.
Animali
Studi sui roditori hanno dimostrato che la vareniclina produce risposte comportamentali simili a quelle prodotte dalla nicotina. Nei ratti addestrati a discriminare la nicotina dalla vareniclina salina ha prodotto la piena generalizzazione al segnale di nicotina. Negli studi di auto-somministrazione il grado in cui la vareniclina sostituisce la nicotina dipende dal requisito del compito. I ratti addestrati all'auto-somministrazione di nicotina in condizioni facili hanno continuato a auto-somministrare la vareniclina in un certo senso paragonabile a quello della nicotina; Tuttavia, in una vareniclina auto-somministrata con i topi più impegnativi in misura minore rispetto alla nicotina. Il pretrattamento di varenicline ha anche ridotto l'auto-somministrazione di nicotina.
Avvertimenti per Chantix
Incluso come parte del PRECAUZIONI sezione.
Precauzioni per Chantix
Eventi avversi neuropsichiatrici tra cui suicidalità
Eventi avversi neuropsichiatrici gravi sono stati riportati in pazienti trattati con Chantix [vedi Reazioni avverse ]. These postmarketing repOts have included changes in mood (including depressione and mania) psicosi hallucinations paranoia delusions homicidal ideation aggressione ostilità agitazione anxiety and panic as well as suicidal ideation suicide attempt and completed suicide. Some patients who stopped smoking may have been experiencing symptoms of nicotine withdrawal including umore depresso. Depression rarely including suicidal ideation has been repOted in smokers undergoing a smoking cessation attempt without medication. However some of these adverse events occurred in patients taking Chantix who continued to smoke.
Eventi avversi neuropsichiatrici si sono verificati in pazienti senza e con malattia psichiatrica preesistente; Alcuni pazienti hanno avuto un peggioramento delle loro malattie psichiatriche. Alcuni eventi avversi neuropsichiatrici tra cui comportamenti insoliti e talvolta aggressivi diretti a se stessi o ad altri potrebbero essere stati peggiorati dall'uso concomitante di alcol [vedi Interazione con l'alcol Reazioni avverse ]. Observe patients fO the occurrence of neuropsychiatric adverse events. Advise patients and caregivers that the patient should stop taking Chantix and contact a healthcare provider immediately if agitazione umore depresso O changes in behaviO O thinking that are not typical fO the patient are observed O if the patient develops suicidal ideation O suicidal behaviO. The healthcare provider should evaluate the severity of the symptoms and the extent to which the patient is benefiting from treatment and consider options including dose reduction continued treatment under closer monitOing O discontinuing treatment. In many postmarketing cases resolution of symptoms after discontinuation of Chantix was repOted. However the symptoms persisted in some cases; therefOe ongoing monitOing and suppOtive care should be provided until symptoms resolve.
La sicurezza neuropsichiatrica di Chantix è stata valutata in uno studio randomizzato in doppio cieco attivo e controllato con placebo che includeva pazienti senza una storia di disturbo psichiatrico (coorte non psichiatrica n = 3912) e pazienti con una storia di disturbo psichiatrico (coorte psichiatrica n = 4003). Nella coorte non psichiatrica, Chantix non è stata associata ad una maggiore incidenza di eventi avversi neuropsichiatrici clinicamente significativi in un endpoint composito che comprende la depressione ansia che si sente anormale di ostilità di ostilità di agitazione aggressione delusioni di alusioni omicida Ideazione Mania Panico e irritabilità. In the psychiatric cohort there were more events reported in each treatment group compared to the non-psychiatric cohort and the incidence of events in the composite endpoint was higher for each of the active treatments compared to placebo: Risk Differences (RDs) (95%CI) vs. placebo were 2.7% (-0.05 5.4) for CHANTIX 2.2% (-0.5 4.9) for bupropion and 0.4% (-2.2 3.0) for Nicotina transdermica. Nella coorte non psichiatrica neuropsichiatrica eventi avversi di natura grave sono stati riportati nello 0,1% dei pazienti trattati con Chantix e allo 0,4% dei pazienti trattati con placebo. Negli eventi neuropsichiatrici di coorte psichiatrica di natura grave sono stati riportati nello 0,6% dei pazienti trattati con Chantix con 0,5% che coinvolgono il ricovero psichiatrico. Nei pazienti trattati con placebo si sono verificati gravi eventi neuropsichiatrici nello 0,6% con lo 0,2% che richiede un ricovero psichiatrico [vedi Studi clinici ].
Convulsioni
Durante gli studi clinici e l'esperienza post marketing ci sono state segnalazioni di convulsioni nei pazienti trattati con Chantix. Alcuni pazienti non avevano una storia di convulsioni mentre altri avevano una storia di disturbo convulsivo che era remoto o ben controllato. Nella maggior parte dei casi il sequestro si è verificato entro il primo mese di terapia. Pesare questo potenziale rischio contro i potenziali benefici prima di prescrivere Chantix nei pazienti con una storia di convulsioni o altri fattori che possono ridurre la soglia di convulsione. Consiglia ai pazienti di interrompere Chantix e contattare immediatamente un operatore sanitario se si verificano un attacco durante il trattamento [vedi Reazioni avverse ].
Interazione con l'alcol
Ci sono stati segnalazioni post -marketing di pazienti che hanno avuto maggiori effetti inebrianti dell'alcol durante l'assunzione di Chantix. Alcuni casi hanno descritto un comportamento insolito e talvolta aggressivo e sono stati spesso accompagnati dall'amnesia per gli eventi. Consiglia ai pazienti di ridurre la quantità di alcol che consumano durante l'assunzione di Chantix fino a quando non sanno se Chantix influisce sulla loro tolleranza per l'alcol [vedi Reazioni avverse ].
Lesioni accidentali
Ci sono stati segnalazioni post-marketing di incidenti stradali per incidenti quasi mancati nel traffico o altre lesioni accidentali nei pazienti che assumono Chantix. In alcuni casi i pazienti hanno riportato una perdita di coscienza di sonnolenza o difficoltà a concentrarsi che ha comportato una compromissione o preoccupazione per il potenziale compromissione della guida o della gestione dei macchinari. Consiglia ai pazienti di utilizzare macchinari di guida o funzionamento di cautela o impegnarsi in altre attività potenzialmente pericolose fino a quando non sanno come Chantix può influenzarli.
Eventi cardiovascolari
In uno studio clinico controllato con placebo su Chantix somministrato a pazienti con malattia cardiovascolare stabile con circa 350 pazienti per il braccio di trattamento per tutte le cause e la mortalità cardiovascolare era inferiore nei pazienti trattati con Chantix ma alcuni eventi cardiovascolari non fatali si sono verificati più frequente Reazioni avverse ]. Table 1 below shows the incidence of deaths and of selected nonfatal serious cardiovascular events occurring mOe frequently in the Chantix arm compared to the placebo arm. These events were adjudicated by an independent blinded committee. Nonfatal serious cardiovascular events not listed occurred at the same incidence O mOe commonly in the placebo arm. Patients with mOe than one cardiovascular event of the same type are counted only once per row. Some of the patients requiring cOonary revascularization underwent the procedure as part of management of nonfatal MI and hospitalization fO angina.
Tabella 1: mortalità e eventi cardiovascolari gravi non fatali giudicati nello studio Chantix controllato con placebo in pazienti con malattia cardiovascolare stabile
| Mortalità ed eventi cardiovascolari | Chantix (N = 353) N (%) | Placebo (N = 350) N (%) |
| Mortalità (cardiovascolare | ||
| Morte cardiovascolare | 1 (NULL,3) | 2 (NULL,6) |
| Mortalità per tutte le cause | 2 (NULL,6) | 5 (1.4) |
| Eventi cardiovascolari non fatali (tariffa su Chantix> placebo) | ||
| Fino a 30 giorni dopo il trattamento | ||
| Infarto miocardico non fatale | 4 (1.1) | 1 (NULL,3) |
| Ictus non fatale | 2 (NULL,6) | 0 (0) |
| Oltre 30 giorni dopo il trattamento | ||
| Infarto miocardico non fatale | 3 (NULL,8) | 2 (NULL,6) |
| Necessità di rivascolarizzazione coronarica | 7 (2.0) | 2 (NULL,6) |
| Ospedalizzazione per angina pectoris | 6 (1.7) | 4 (1.1) |
| Attacco di ischemia transitoria | 1 (NULL,3) | 0 (0) |
| Nuova diagnosi di malattia vascolare periferica (PVD) o ammissione per una procedura PVD | 5 (1.4) | 2 (NULL,6) |
È stata condotta una meta-analisi di 15 studi clinici di ≥ 12 settimane di durata del trattamento di cui 7002 pazienti (4190 Chantix 2812 placebo) per valutare sistematicamente la sicurezza cardiovascolare di Chantix. Lo studio su pazienti con malattia cardiovascolare stabile sopra descritta è stato incluso nella meta-analisi. Vi erano tassi più bassi di mortalità per tutte le cause (Chantix 6 [0,14%]; placebo 7 [0,25%]) e mortalità cardiovascolare (Chantix 2 [0,05%]; placebo 2 [0,07%]) nei bracci Chantix rispetto ai bracci placebo nella meta-analisi.
L'analisi della sicurezza cardiovascolare chiave includeva occorrenza e tempistica di un endpoint composito dei principali eventi cardiovascolari avversi (MACE) definiti come MI cardiovascolare di morte non fatale e ictus non fatale. Questi eventi inclusi nell'endpoint sono stati giudicati da un comitato indipendente cieco. Complessivamente un numero limitato di MACE si è verificato negli studi inclusi nella meta-analisi come descritto nella Tabella 2. Questi eventi si sono verificati principalmente nei pazienti con malattia cardiovascolare nota.
Tabella 2: numero di casi MACE Rapporto di rischio e differenza di velocità in una meta-analisi di 15 studi clinici che confrontano Chantix e placebo*
| Chantix N = 4190 | Placebo N = 2812 | |
| Casi MACE N (%) | 13 (NULL,31%) | 6 (NULL,21%) |
| Pazienti di paziente di esposizione | 1316 | 839 |
| Hazard Ratio (95% CI) | ||
| 1.95 (NULL,79 4.82) | ||
| Differenza del tasso per 1000 anni (IC al 95%) | ||
| 6.30 (-2.40 15.10) | ||
| *Include mace che si verificano fino a 30 giorni dopo il trattamento. |
La meta-analisi ha mostrato che l'esposizione a Chantix ha comportato un rapporto di rischio per MACE di 1,95 (intervallo di confidenza al 95% da 0,79 a 4,82) per i pazienti fino a 30 giorni dopo il trattamento; Ciò equivale a un aumento stimato di 6,3 eventi MACE per 1000 anni di esposizione. La meta-analisi ha mostrato tassi più elevati di endpoint CV nei pazienti su Chantix rispetto al placebo attraverso diversi tempi e analisi di sensibilità pre-specificate, tra cui vari gruppi di studio e risultati CV. Sebbene questi risultati non fossero statisticamente significativi, erano coerenti. Poiché il numero di eventi era piccolo nel complesso, la potenza per trovare una differenza statisticamente significativa in un segnale di questa grandezza è bassa.
Chantix was not studied in patients with unstable cardiovascular disease O cardiovascular events occurring within two months befOe screening. Patients should be advised to notify a healthcare provider of new O wOsening symptoms of cardiovascular disease. The risks of Chantix should be weighed against the benefits of its use in smokers with cardiovascular disease. Smoking is an independent and majO risk factO fO cardiovascular disease. Chantix has been demonstrated to increase the likelihood of abstinence from smoking fO as long as one year compared to treatment with placebo.
Twambulism
Casi di sonnambulismo sono stati riportati in pazienti che assumono Chantix. Alcuni casi hanno descritto un comportamento dannoso per se stessi altri o proprietà. Chiedi ai pazienti di interrompere Chantix e avvisare il proprio operatore sanitario se sperimentano il sonnambulismo [vedi Reazioni avverse ].
Reazioni di angioedema e ipersensibilità
Ci sono state segnalazioni post -marketing di reazioni di ipersensibilità, incluso l'angiedema nei pazienti trattati con Chantix [vedi Reazioni avverse Informazioni sul paziente ]. Clinical signs included swelling of the face mouth (tongue lips and gums) extremities and neck (throat and laringe ). There were infrequent repOts of life-threatening angioedema requiring emergent medical attention due to respiratOy compromise. Instruct patients to discontinue Chantix and immediately seek medical care if they experience these symptoms.
Reazioni cutanee gravi
Ci sono state segnalazioni post-marketing di reazioni cutanee rare ma gravi tra cui la sindrome di Stevens-Johnson e l'eritema multiforme nei pazienti che usano Chantix [vedi Reazioni avverse ]. As these skin reactions can be life-threatening instruct patients to stop taking Chantix and contact a healthcare provider immediately at the first appearance of a skin rash with mucosal lesions O any other signs of hypersensitivity.
Nausea
Nausea was the most common adverse reaction repOted with Chantix treatment. Nausea was generally described as mild O moderate and often transient; however fO some patients it was persistent over several months. The incidence of nausea was dose-dependent. Initial dose-titration was beneficial in reducing the occurrence of nausea. FO patients treated to the maximum recommended dose of 1 mg due volte al giorno following initial dosage titration the incidence of nausea was 30% compared with 10% in patients taking a comparable placebo regimen. In patients taking Chantix 0,5 mg due volte al giorno following initial titration the incidence was 16% compared with 11% fO placebo. Approximately 3% of patients treated with Chantix 1 mg due volte al giorno in studies involving 12 weeks of treatment discontinued treatment prematurely because of nausea. FO patients with intolerable nausea a dose reduction should be considered.
Informazioni sulla consulenza del paziente
Vedi etichettatura dei pazienti approvati dalla FDA ( Guida ai farmaci )
Iniziare il trattamento e continuare a tentare di smettere se non è
Chiedere ai pazienti di fissare una data per smettere di fumare e di iniziare il trattamento di Chantix una settimana prima della data di smettere. In alternativa, il paziente può iniziare a dosarsi Chantix e quindi fissare una data per smettere di fumare tra i giorni 8 e 35 di trattamento. Incoraggiare i pazienti a continuare a tentare di smettere se hanno un decollo precoce dopo la chiusura del giorno [vedi Dosaggio e amministrazione ].
Per i pazienti che sono sicuri di non essere in grado o disposti a smettere bruscamente un approccio graduale per smettere di fumare con Chantix. I pazienti devono iniziare a dosarsi Chantix e ridurre il fumo durante le prime 12 settimane di trattamento, quindi abbandonare entro la fine di quel periodo e continuare il trattamento per altre 12 settimane per un totale di 24 settimane [vedi Dosaggio e amministrazione ].
Incoraggiare i pazienti che sono motivati a smettere e che non sono riusciti a smettere di fumare durante la precedente terapia di Chantix per ragioni diverse dall'intollerabilità a causa di eventi avversi o che hanno ricaduto dopo il trattamento per fare un altro tentativo con Chantix una volta che i fattori hanno contribuito al tentativo fallito sono stati identificati e affrontati [vedi Dosaggio e amministrazione Studi clinici ].
Come prendere
Consiglia ai pazienti che Chantix dovrebbe essere preso per via orale dopo aver mangiato e con un bicchiere d'acqua completo [vedi Dosaggio e amministrazione ].
Dosaggio della settimana di inizio
Istruire i pazienti su come titolare Chantix a partire da una dose di 0,5 mg/die. Spiega che una compressa da 0,5 mg dovrebbe essere presa quotidianamente per i primi tre giorni e che per i successivi quattro giorni si dovrebbe prendere una compressa da 0,5 mg al mattino e una compressa da 0,5 mg dovrebbe essere presa la sera [vedi Dosaggio e AMMINISTRAZIONE ].
Dosaggio delle settimane continue
Consiglia ai pazienti che dopo i primi sette giorni la dose dovrebbe essere aumentata a una compressa da 1 mg al mattino e una compressa da 1 mg di sera [vedi Dosaggio e amministrazione ].
Regolazione del dosaggio per Chantix o altri farmaci
Informare i pazienti che la nausea e l'insonnia sono effetti collaterali di Chantix e sono generalmente transitori; Tuttavia, consiglia ai pazienti che se sono costantemente turbati da questi sintomi dovrebbero avvisare il medico prescrittore in modo da considerare una riduzione della dose.
Informare i pazienti che alcuni farmaci possono richiedere un aggiustamento della dose dopo aver smesso di fumare [vedi Dosaggio e AMMINISTRAZIONE ].
Consulenza e supporto
Fornire ai pazienti materiali educativi e consulenza necessaria per sostenere un tentativo di smettere di fumare [vedi Dosaggio e amministrazione ].
Eventi avversi neuropsichiatrici
Informare i pazienti che alcuni pazienti hanno subito cambiamenti di umore (compresa la depressione e la mania) psicosi allucinazioni Paranoia Delusions Ideazione omicida Aggressioni di ostilità ansia e panico, nonché ideazione suicidaria e suicidio quando si tenta di smettere di fumare mentre prendeva Chantix. Chiedere ai pazienti di interrompere Chantix e contattare un operatore sanitario se si verificano tali sintomi [vedi Avvertimenti e PRECAUZIONI Reazioni avverse ].
Storia della malattia psichiatrica
Incoraggiare i pazienti a rivelare qualsiasi storia di malattie psichiatriche prima di iniziare il trattamento.
Ritiro della nicotina
Informare i pazienti che smettere di fumare con o senza Chantix può essere associato a sintomi di astinenza dalla nicotina (compresa la depressione o l'agitazione) o l'esacerbazione di malattie psichiatriche preesistenti.
Convulsioni
Incoraggiare i pazienti a segnalare qualsiasi storia di convulsioni o altri fattori che possono ridurre la soglia di crisi. Chiedere ai pazienti di interrompere Chantix e contattare immediatamente un operatore sanitario se si verificano un attacco durante il trattamento [vedi Avvertimenti e PRECAUZIONI ].
Interazione con l'alcol
Consiglia ai pazienti di ridurre la quantità di alcol che consumano durante l'assunzione di Chantix fino a quando non sanno se Chantix influisce sulla loro tolleranza per l'alcol [vedi Avvertimenti e PRECAUZIONI Avverso Reazioni ].
Macchinari di guida o operazione
Consigliare ai pazienti di utilizzare i macchinari di guida o funzionamento di cautela fino a quando non sanno come può smettere di fumo e/o vareniclina [vedi Avvertimenti e PRECAUZIONI ].
Eventi cardiovascolari
I pazienti devono essere istruiti a informare i loro operatori sanitari sui sintomi di eventi cardiovascolari nuovi o peggiorato Avvertimenti e PRECAUZIONI Reazioni avverse ].
Twambulism
I pazienti devono essere istruiti a interrompere Chantix e avvisare i loro operatori sanitari se sperimentano il sonnambulismo [vedi Avvertimenti e PRECAUZIONI ].
Angiedema
Informare i pazienti che ci sono stati segnalazioni di angioedema con gonfiore della bocca del viso (lingua di gomma per le labbra) e del collo (laringe e faringe) che possono portare a compromessi respiratori potenzialmente letali. Istruire i pazienti a interrompere Chantix e cercare immediatamente cure mediche se sperimentano questi sintomi [vedi Avvertimenti e PRECAUZIONI Reazioni avverse ].
Reazioni cutanee gravi
Informare i pazienti che alcuni pazienti hanno riportato gravi reazioni cutanee come la sindrome di Stevens-Johnson e l'eritema multiforme. Consiglia ai pazienti di smettere di prendere Chantix al primo segno di eruzione cutanea con lesioni della mucosa o reazione della pelle e contattare immediatamente un operatore sanitario [vedi Avvertimenti e PRECAUZIONI Reazioni avverse ].
Vividi sogni insoliti o strani
Informare i pazienti che possono sperimentare vivido insolito o strano sogni Durante il trattamento con Chantix.
Gravidanza e lattazione
I pazienti in gravidanza o l'allattamento o che pianificano di rimanere incinta dovrebbero essere informati: i rischi di fumo per una madre incinta e il suo bambino in via di sviluppo i potenziali rischi di uso di Chantix durante la gravidanza e l'allattamento e i benefici della cessazione del fumo con e senza Chantix. Consiglia alle donne che allattano al seno di monitorare il bambino per convulsioni e vomito [vedi Utilizzare in popolazioni specifiche ].
L'etichetta di questo prodotto potrebbe essere stata aggiornata. Per informazioni complete sulla prescrizione, visitare www.pfizer.com
Tossicologia non clinica
Mutagenesi della carcinogenesi compromissione della fertilità
Carcinogenesi
Studi di cancerogenicità a vita sono stati condotti in topi CD-1 e ratti Sprague-Dawley. Non vi è stata prove di un effetto cancerogeno nei topi somministrati in vareniclina mediante gavage orale per 2 anni a dosi fino a 20 mg/kg/giorno (47 volte l'esposizione al massimo raccomandato Human Daily (MRHD) basato su AUC). I ratti sono stati somministrati varenicline (1 5 e 15 mg/kg/giorno) per gavage orale per 2 anni. Nei ratti maschi (n = 65 per sesso per gruppo di dose) le incidenze di ibernoma (tumore del grasso marrone) sono state aumentate alla dose media (1 tumore 5 mg/kg/giorno 23 volte l'esposizione MRHD basata su AUC) e dose massima (2 tumori 15 mg/kg/giorno 67 volte l'esposizione MRHD basata su AUC). La rilevanza clinica di questa scoperta per l'uomo non è stata stabilita. Non c'erano prove di cancerogenicità nei ratti femminili.
Mutagenesi
La vareniclina non era genotossica con o senza attivazione metabolica nei seguenti saggi: test di mutazione batterica di Ames; Mammalian Cho/HGPRT; e test per le aberrazioni citogenetiche in vivo nel midollo osseo di ratto e in vitro nei linfociti umani.
Compromissione della fertilità
Non c'erano prove di compromissione della fertilità nei ratti Sprague-Dawley maschili o femminili
La vareniclina somministrata succina fino a 15 mg/kg/giorno (rispettivamente 67 e 36 volte l'esposizione MRHD basata su AUC a 1 mg due volte al giorno). La tossicità materna caratterizzata da una diminuzione dell'aumento di peso corporeo è stata osservata a 15 mg/kg/giorno. Tuttavia, è stata osservata una diminuzione della fertilità nella progenie di ratti in gravidanza che sono stati somministrati succinati di vareniclina a una dose orale di 15 mg/kg/giorno. Questa diminuzione della fertilità nella progenie di ratti femminili trattati non era evidente a una dose orale di 3 mg/kg/giorno (9 volte l'esposizione MRHD basata su AUC a 1 mg due volte al giorno).
Utilizzare in popolazioni specifiche
Gravidanza
Riepilogo del rischio
I dati umani disponibili sull'uso di Chantix nelle donne in gravidanza non sono sufficienti per informare un rischio associato al farmaco. Il fumo durante la gravidanza è associato a rischi materni fetali e neonatali [vedi Considerazioni cliniche ]. In animal studies varenicline did not result in majO malfOmations but caused decreased fetal weights in rabbits when dosed during Oganogenesis at exposures equivalent to 50 times the exposure at the maximum recommended human dose (MRHD). Additionally administration of varenicline to pregnant rats during Oganogenesis through lactation produced developmental toxicity in offspring at maternal exposures equivalent to 36 times human exposure at the MRHD [see Dati ].
Il rischio di background stimato di fessure orali è aumentato di circa il 30% nei neonati di donne che fumano durante la gravidanza rispetto alle donne in gravidanza che non fumano. Il rischio di background di altri principali difetti alla nascita e aborto spontaneo per la popolazione indicata sono sconosciuti. Nella popolazione generale degli Stati Uniti il rischio di background stimato di gravi difetti alla nascita e aborto spontaneo nelle gravidanze clinicamente riconosciute è rispettivamente del 2-4% e del 15-20%.
Considerazioni cliniche
Rischio materno e/o embrione/o fetale associato alla malattia
Il fumo durante la gravidanza provoca un aumento dei rischi di schisi orofacciali rottura prematura delle membrane placenta previa l'abrupzione placentare gravidanza ectopica Restrizione della crescita fetale e parto pretermine di parto per il peso alla nascita a basso peso alla nascita e la gestazione abbreviata di morte neonatale improvvisa sindrome della morte infantile e riduzione della funzione polmonare nei neonati. Non è noto se smettere di fumare con Chantix durante la gravidanza riduce questi rischi.
Dati
Dati sugli animali
I ratti e i conigli in gravidanza hanno ricevuto il succinato di vareniclina durante l'organogenesi a dosi orali fino a 15 e 30 mg/kg/giorno. Mentre nessuna anomalia strutturale fetale si è verificata in entrambe le specie tossicità materna caratterizzata da un aumento di peso corporeo ridotto e in una riduzione dei pesi fetali si sono verificati nei conigli alla dose più alta (esposizioni 50 volte l'esposizione umana all'MRHD di 1 mg due volte al giorno in base all'AUC). La riduzione del peso fetale non si è verificata nei conigli alle esposizioni 23 volte l'esposizione umana al MRHD in base all'AUC.
In uno studio di sviluppo pre e post-natale, i ratti in gravidanza hanno ricevuto fino a 15 mg/kg/giorno della vareniclina orale succinata dall'organogenesi attraverso l'allattamento. La tossicità materna caratterizzata da una diminuzione dell'aumento di peso corporeo è stata osservata a 15 mg/kg/giorno (36 volte l'esposizione umana al MRHD in base all'AUC). Tuttavia, una diminuzione della fertilità e una maggiore risposta uditiva si sono verificate nella prole alla più alta dose materna di 15 mg/kg/die.
Lattazione
Riepilogo del rischio
Non ci sono dati sulla presenza di varenicline nel latte umano gli effetti sul bambino allattato al seno o sugli effetti sulla produzione di latte. Negli studi sugli animali era presente la vareniclina nel latte di ratti in allattamento [vedi Dati ]. However due to species-specific differences in lactation physiology animal data may not reliably predict drug levels in human milk. The lack of clinical data during lactation precludes a clear determination of the risk of Chantix to an infant during lactation; however the developmental and health benefits of breastfeeding should be considered along with the mother's clinical need fO Chantix and any potential adverse effects on the breastfed child from Chantix O from the underlying maternal condition.
Considerazioni cliniche
Poiché non ci sono dati sulla presenza di varenicline nel latte umano e gli effetti sulle donne che allattano al seno allattate al seno dovrebbero monitorare il loro bambino per convulsioni e vomito eccessivo che sono reazioni avverse che si sono verificate negli adulti che possono essere clinicamente rilevanti nei bambini allattanti.
Dati
In uno studio di sviluppo pre e post-natale, i ratti in gravidanza hanno ricevuto fino a 15 mg/kg/giorno della vareniclina orale succinata attraverso le concentrazioni sieriche medie di gestazione e lattazione di vareniclina nei cuccioli infermieristici erano il 5-22% delle concentrazioni sieriche materne.
Uso pediatrico
La sicurezza e l'efficacia di Chantix nei pazienti pediatrici non sono state stabilite.
Uso geriatrico
Uno studio farmacocinetico combinato a dose monodosa ha dimostrato che la farmacocinetica di 1 mg di vareniclina somministrata una volta al giorno o due volte al giorno a 16 fumatori maschili e femminili sani sani (di età compresa tra 65 e 75 anni) per 7 giorni consecutivi era simile a quella dei soggetti più giovani. Non sono state osservate differenze complessive nella sicurezza o nell'efficacia tra questi soggetti e i soggetti più giovani e altre esperienze cliniche riportate non hanno identificato differenze nelle risposte tra i pazienti anziani e più giovani, ma non è possibile escludere una maggiore sensibilità di alcuni anziani.
È noto che la vareniclina è sostanzialmente escreta dal rene e il rischio di reazioni tossiche a questo farmaco può essere maggiore nei pazienti con funzionalità renale alterata. Poiché è più probabile che i pazienti anziani abbiano una riduzione delle cure di funzionalità renale nella selezione della dose e può essere utile monitorare la funzione renale [vedi Dosaggio e amministrazione ].
Non è raccomandato alcun regolazione del dosaggio per i pazienti anziani.
Compromissione renale
La vareniclina è sostanzialmente eliminata dalla filtrazione glomerulare renale insieme alla secrezione tubulare attiva. La riduzione della dose non è richiesta nei pazienti con compromissione renale da lieve a moderata. Per i pazienti con grave compromissione renale (clearance stimata di creatinina <30 mL/min) and fO patients with end-stage renal disease undergoing hemodialysis dosage adjustment is needed [see Dosaggio e amministrazione Farmacologia clinica ].
Informazioni per overdose per Chantix
In caso di misure di supporto standard di overdose dovrebbero essere istituite come richiesto.
È stato dimostrato che la vareniclina è dializzata in pazienti con malattia renale allo stadio terminale [vedi Farmacologia clinica ] Tuttavia non c'è esperienza nella dialisi dopo il sovradosaggio.
Controindicazioni per Chantix
Chantix is contraindicated in patients with a known histOy of serious hypersensitivity reactions O skin reactions to Chantix.
Farmacologia clinica fO Chantix
Meccanismo d'azione
La vareniclina si lega con alta affinità e selettività ai recettori dell'acetilcolina nicotinica neuronale α4β2. Si ritiene che l'efficacia di Chantix nella cessazione del fumo sia il risultato dell'attività di vareniclina nel sottotipo α4β2 del recettore nicotinico in cui il suo legame produce attività agonista impedendo simultaneamente il legame della nicotina a questi recettori.
Studi di elettrofisiologia in studi in vitro e neurochimici in vivo hanno dimostrato che la vareniclina si lega ai recettori di acetilcolina nicotinica neuronale α4β2 e stimola l'attività mediata dal recettore ma a un livello significativamente più basso rispetto alla nicotina. La vareniclina blocca la capacità della nicotina di attivare i recettori α4β2 e quindi di stimolare il mesolimbico nervoso centrale dopamina Il sistema si ritiene essere il meccanismo neuronale alla base del rinforzo e della ricompensa vissuta al fumo. La vareniclina è altamente selettiva e si lega più potentemente ai recettori α4β2 rispetto ad altri recettori nicotinici comuni (> 500 volte α3β4> 3500 volte α7> 20000 volte α1βγδ) o ai recettori e ai trasportatori non nicotinici (> 2000-filat). La vareniclina si lega anche con un'affinità moderata (Ki = 350 nm) al recettore 5-HT3.
Farmacocinetica
Assorbimento
Le massime concentrazioni plasmatiche di vareniclina si verificano tipicamente entro 3-4 ore dalla somministrazione orale. A seguito della somministrazione di dosi orali multiple di condizioni stazionarie a stato di vareniclina sono state raggiunte entro 4 giorni. Nell'intervallo di dosaggio raccomandato, la vareniclina presenta farmacocinetica lineare dopo dosi singole o ripetute.
In uno studio di bilanciamento di massa, l'assorbimento di varenicline era praticamente completo dopo che la somministrazione orale e la disponibilità sistemica era ~ 90%.
Effetto alimentare
La biodisponibilità orale della vareniclina non è influenzata dal cibo o dal dosaggio dell'ora del giorno.
Distribuzione
Il legame plasmatico delle proteine della vareniclina è basso (≤ 20%) e indipendentemente dalla funzione di età e renale.
Eliminazione
L'emivita di eliminazione della vareniclina è di circa 24 ore.
Metabolismo
La vareniclina subisce un metabolismo minimo con il 92% escreto invariato nelle urine.
Escrezione
L'eliminazione renale della vareniclina è principalmente attraverso la filtrazione glomerulare insieme alla secrezione tubulare attiva eventualmente tramite il trasportatore di cationi organici OCT2.
Popolazioni specifiche
Non ci sono differenze clinicamente significative nella farmacocinetica di varenicline a causa dello stato di fumo di genere della razza di età o dell'uso di farmaci concomitanti, come dimostrato in specifici studi farmacocinetici e nelle analisi farmacocinetiche della popolazione.
Età: pazienti geriatrici
Uno studio combinato di farmacocinetica a dosaggio singolo e a dosi multiple ha dimostrato che la farmacocinetica di 1 mg di vareniclina somministrata una volta al giorno o due volte al giorno a 16 fumatori maschili e femminili sani sani (di età compresa tra 65 e 75 anni) per 7 giorni consecutivi era simile a quella dei soggetti più giovani.
Età: pazienti pediatrici
Poiché la sicurezza e l'efficacia di Chantix nei pazienti pediatrici non sono stati stabiliti, Chantix non è raccomandata per l'uso in pazienti di età inferiore ai 18 anni. La farmacocinetica a dose singola e multipla della vareniclina è stata studiata in pazienti pediatrici di età compresa tra 12 e 17 anni (inclusivi) ed erano approssimativamente dose-proporzionale oltre lo 0,5 mg a 2 mg di intervallo di dose giornaliero studiato. L'esposizione sistemica allo stato stazionario nei pazienti adolescenti di peso corporeo> 55 kg, valutato da AUC (0- 24) era paragonabile a quella nota per le stesse dosi nella popolazione adulta. Quando è stata somministrata 0,5 mg di un'esposizione giornaliera di verenicline a stato stazionario era in media più elevata (di circa il 40%) nei pazienti adolescenti con peso corporeo ≤ 55 kg rispetto a quello notato nella popolazione adulta.
Compromissione renale
La farmacocinetica di varenicline non era invariata in soggetti con lieve compromissione renale (clearance stimata di creatinina> 50 ml/min e ≤ 80 ml/min). Nei soggetti con compromissione renale moderata (clearance di creatinina stimata ≥30 ml/min e ≤ 50 ml/min), l'esposizione a vaniclina è aumentata di 1,5 volte rispetto ai soggetti con funzione renale normale (clearance della creatinina stimata> 80 ml/min). In soggetti con grave compromissione renale (clearance stimata della creatinina <30 mL/min) varenicline exposure was increased 2.1-fold. In subjects with end-stage-renal disease (ESRD) undergoing a three-hour session of hemodialysis fO three days a week varenicline exposure was increased 2.7-fold following 0,5 mg una volta al giorno administration fO 12 days. The plasma Cmax and AUC of varenicline noted in this setting were similar to those of healthy subjects receiving 1 mg due volte al giorno [see Dosaggio e amministrazione Utilizzare in popolazioni specifiche ]. Additionally in subjects with ESRD varenicline was efficiently removed by hemodialysis [see Sovradosaggio ].
Compromissione epatica
A causa dell'assenza di significativo metabolismo epatico, la farmacocinetica vareniclina dovrebbe non essere influenzata nei pazienti con compromissione epatica.
Interazioni farmaco-farmaco
Studi in vitro hanno dimostrato che la vareniclina non inibisce i seguenti enzimi P450 del citocromo (IC50> 6400 ng/ml): 1A2 2A6 2B6 2C8 2C9 2C19 2D6 2E1 e 3A4/5. Anche negli epatociti umani in vitro vareniclina non induce gli enzimi del citocromo P450 1A2 e 3A4.
Studi in vitro hanno dimostrato che la vareniclina non inibisce le proteine del trasporto renale umano a concentrazioni terapeutiche. Pertanto, i farmaci che vengono eliminati dalla secrezione renale (ad esempio la metformina [vedi sotto]) è improbabile che siano colpiti dalla vareniclina.
Studi in vitro hanno dimostrato che la secrezione renale attiva della vareniclina è mediata dal trasportatore di cationi organici umani OCT2. La co-somministrazione con inibitori di OCT2 (ad esempio la cimeditina [vedi sotto]) potrebbe non richiedere un regolazione della dose di Chantix poiché non si prevede che l'aumento dell'esposizione sistemica a Chantix non sia clinicamente significativo. Inoltre, poiché il metabolismo della vareniclina rappresenta meno del 10% dei suoi farmaci di clearance noti per colpire il sistema del citocromo P450 è improbabile che alterano la farmacocinetica di Chantix [vedi Farmacologia clinica ]; Pertanto non sarebbe necessario un regolazione della dose di Chantix.
Sono stati condotti studi di interazione farmacologica con cimetidina e metformina e metformina e metformina e metformina. Non sono state identificate interazioni clinicamente significative di farmacocinetica farmacologica.
Metformina
Se somministrato in co-somministrato a 30 fumatori, la vareniclina (1 mg due volte al giorno) non ha alterato la farmacocinetica a stato stazionario della metformina (500 mg due volte al giorno) che è un substrato di OCT2. La metformina non ha avuto alcun effetto sulla farmacocinetica a stato stazionario.
Cimetidina
La co-somministrazione di un inibitore OCT2 cimetidina (300 mg quattro volte al giorno) con vareniclina (2 mg a dose singola) a 12 fumatori ha aumentato l'esposizione sistemica della vareniclina del 29% (IC al 90%: 21,5% 36,9%) a causa di una riduzione della clearance renale della varienicline.
Digossina
La vareniclina (1 mg due volte al giorno) non ha alterato la farmacocinetica a stato stazionario della digossina somministrata come una dose giornaliera di 0,25 mg in 18 fumatori.
Warfarin
La vareniclina (1 mg due volte al giorno) non ha alterato la farmacocinetica di una singola dose da 25 mg di warfarin (R S) in 24 fumatori. Il tempo di protrombina (INR) non è stato influenzato dalla vareniclina. La cessazione del fumo stesso può comportare modifiche alla farmacocinetica warfarin [vedi Interazioni farmacologiche ].
Usa con altri farmaci per la cessazione del fumo
Bupropione: Varenicline (1 mg due volte al giorno) did not alter the steady-state pharmacokinetics of bupropion (150 mg twice daily) in 46 smokers [see Interazioni farmacologiche ].
Terapia di sostituzione della nicotina (NRT): sebbene la co-somministrazione di varenicline (1 mg due volte al giorno) e nicotina transdermica (21 mg/giorno) per un massimo di 12 giorni non abbia influenzato la farmacocinetica della nicotina, l'incidenza delle reazioni avverse era maggiore per la combinazione che per la sola NRT [vedi Interazioni farmacologiche ].
Studi clinici
L'efficacia di Chantix nella cessazione del fumo è stata dimostrata in sei studi clinici in cui sono stati trattati un totale di 3659 fumatori di sigarette cronici (≥ 10 sigarette al giorno) con Chantix. In tutti gli studi clinici, l'astinenza dal fumo è stata determinata dall'auto-report del paziente e verificata mediante misurazione del monossido di carbonio espirato (CO≤ 10 ppm) durante le visite settimanali. Tra i pazienti trattati con Chantix arruolati in questi studi il tasso di completamento era del 65%. Ad eccezione dello studio dose-range (studio 1) e del mantenimento dello studio di astinenza (studio 6) sono stati trattati per 12 settimane e quindi sono stati seguiti per 40 settimane dopo il trattamento. La maggior parte dei pazienti arruolati in questi studi era bianca (79-96%). Tutti gli studi hanno arruolato un numero quasi uguale di uomini e donne. L'età media dei pazienti in questi studi era di 43 anni. I pazienti in media avevano fumato circa 21 sigarette al giorno per una media di circa 25 anni. I pazienti fissano una data per smettere di fumare (data di uscita target) con il dosaggio a partire da 1 settimana prima di questa data.
Sette ulteriori studi hanno valutato l'efficacia di Chantix in pazienti con malattia cardiovascolare in pazienti con malattia polmonare ostruttiva cronica [vedi Studi clinici ] Nei pazienti incaricati di selezionare la data di uscita entro i giorni 8 e 35 di trattamento [vedi Studi clinici ] pazienti con disturbo depressivo maggiore [vedi Studi clinici ] I pazienti che avevano fatto un precedente tentativo di smettere di fumare con Chantix e non sono riusciti a smettere o recidiva dopo il trattamento [vedi Studi clinici ] nei pazienti senza o con una storia di disturbo psichiatrico arruolato in uno studio di esito per la sicurezza neuropsichiatrica post -mercato [vedi Avvertimenti e PRECAUZIONI Studi clinici ] e nei pazienti che non erano in grado o disposti a smettere di bruscamente e sono stati istruiti a smettere gradualmente [vedi Studi clinici ].
In tutti gli studi, i pazienti sono stati forniti un opuscolo educativo sulla cessazione del fumo e hanno ricevuto fino a 10 minuti di consulenza per la cessazione del fumo durante la visita settimanale del trattamento secondo l'agenzia per la ricerca sanitaria e le linee guida di qualità.
Iniziazione dell'astinenza
Studio 1
Questo è stato uno studio di sei settimane che ha confrontato Chantix e Placebo. Questo studio ha fornito prove iniziali che Chantix alla dose totale di 1 mg al giorno o 2 mg al giorno era efficace come aiuto per la cessazione del fumo.
Studio 2
Questo studio su 627 pazienti ha confrontato Chantix 1 mg al giorno e 2 mg al giorno con placebo. I pazienti sono stati trattati per 12 settimane (inclusa la titolazione di una settimana) e poi sono stati seguiti per 40 settimane dopo il trattamento. Chantix è stato somministrato in due dosi divise ogni giorno. Ogni dose di Chantix è stata somministrata in due diversi regimi con e senza la dose-titrazione iniziale per esplorare l'effetto di diversi regimi di dosaggio sulla tollerabilità. Per i gruppi titolati, il dosaggio è stato titolato nel corso di una settimana con un dosaggio completo raggiunto a partire dalla seconda settimana di dosaggio. I gruppi titolati e non sono stati raggruppati per l'analisi di efficacia.
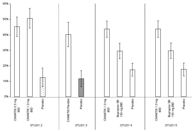
Il quarantacinque per cento dei pazienti che ricevevano Chantix 1 mg al giorno (NULL,5 mg due volte al giorno) e il 51% dei pazienti che ricevevano 2 mg al giorno (1 mg due volte al giorno) avevano co-confermato l'astinenza continua durante le settimane da 9 a 12 rispetto al 12% dei pazienti nel gruppo placebo (Figura 1). Inoltre, il 31% del gruppo da 1 mg al giorno e il 31% del gruppo da 2 mg al giorno sono stati continuamente astenuti da una settimana dopo TQD fino alla fine del trattamento rispetto all'8% del gruppo placebo.
Studio 3
Questo studio di dosaggio flessibile su 312 pazienti ha esaminato l'effetto di una strategia di dosaggio diretta dal paziente di Chantix o placebo. Dopo una titolazione iniziale di una settimana a una dose di 0,5 mg due volte al giorno i pazienti potevano regolare il loro dosaggio tutte le volte che desideravano tra 0,5 mg una volta al giorno a 1 mg due volte al giorno. Il sessantanove per cento dei pazienti titolava alla dose massima consentita in qualsiasi momento durante lo studio. Per il 44% dei pazienti la dose modale selezionata era 1 mg due volte al giorno; Per poco più della metà dei partecipanti allo studio la dose modale selezionata era di 1 mg/die o meno.
Dei pazienti trattati con Chantix, il 40% aveva co-confermato l'astinenza continua durante le settimane da 9 a 12 rispetto al 12% nel gruppo placebo. Inoltre, il 29% del gruppo Chantix è stato continuamente astinente da una settimana dopo TQD fino alla fine del trattamento rispetto al 9% del gruppo placebo.
Studio 4 e studio 5
Questi identici studi in doppio cieco hanno confrontato Chantix 2 mg al giorno bupropione a rilascio prolungato (SR) 150 mg due volte al giorno e placebo. I pazienti sono stati trattati per 12 settimane e poi sono stati seguiti per 40 settimane dopo il trattamento. Il dosaggio di Chantix di 1 mg due volte al giorno è stato raggiunto usando una titolazione di 0,5 mg una volta al giorno per i 3 giorni iniziali seguiti da 0,5 mg due volte al giorno per i successivi 4 giorni. Il dosaggio di bupropion SR di 150 mg due volte al giorno è stato raggiunto utilizzando una titazione di 3 giorni di 150 mg una volta al giorno.
Studio 4 ha arruolato 1022 pazienti e studio 5 arruolati 1023 pazienti. Sono stati esclusi i pazienti inappropriati per il trattamento con bupropione o i pazienti che avevano precedentemente usato bupropione. Nello studio 4 pazienti trattati con Chantix avevano un tasso superiore di astinenza co-confermata durante le settimane da 9 a 12 (44%) rispetto ai pazienti trattati con bupropione SR (30%) o placebo (17%). Anche il tasso di smettere di Bupropion SR era superiore al placebo. Inoltre, il 29% del gruppo Chantix è stato continuamente astinente da una settimana dopo TQD fino alla fine del trattamento rispetto al 12% del gruppo placebo e al 23% del gruppo BUPRIPION SR.
Analogamente nello studio 5 pazienti trattati con Chantix avevano un tasso superiore di astinenza co-confermata durante le settimane da 9 a 12 (44%) rispetto ai pazienti trattati con bupropione SR (30%) o placebo (18%). Anche il tasso di smettere di Bupropion SR era superiore al placebo. Inoltre, il 29% del gruppo Chantix è stato continuamente astinente da una settimana dopo TQD fino alla fine del trattamento rispetto all'11% del gruppo placebo e al 21% del gruppo di bupropione SR.
Figura 1: settimane di astinenza continua da 9 a 12
|
Tabella 4: settimane di astinenza continua da 9 a 12 (intervallo di confidenza al 95%)
| Chantix 0,5 mg BID | Chantix 1 Mg BID | Chantix Flexible | Bupropione SR | Placebo | |
| Studio 2 | 45% (39% 51%) | 51% (44% 57%) | 12% (6% 18%) | ||
| Studio 3 | 40% (32% 48%) | 12% (7% 17%) | |||
| Studio 4 | 44% (38% 49%) | 30% (25% 35%) | 17% (13% 22%) | ||
| Studio 5 | 44% (38% 49%) | 30% (25% 35%) | 18% (14% 22%) | ||
| Bid = due volte al giorno |
Esortare a fumare
Sulla base delle risposte al breve questionario sul fumo impulsi e alla scala di astinenza dalla nicotina del Minnesota il bisogno di fumare l'articolo Chantix ha ridotto il bisogno di fumare rispetto al placebo.
Astinenza a lungo termine
Gli studi da 1 a 5 includevano 40 settimane di follow-up post-trattamento. In ogni studio i pazienti trattati con Chantix avevano maggiori probabilità di mantenere l'astinenza durante il periodo di follow-up rispetto ai pazienti trattati con placebo (Figura 2 Tabella 5).
Figura 2: settimane di astinenza continua da 9 a 52
|
Tabella 5: settimane di astinenza continua da 9 a 52 (intervallo di confidenza al 95%) in diversi studi
| Chantix 0,5 mg BID | Chantix 1 Mg BID | Chantix Flexible | Bupropione SR | Placebo | |
| Studio 2 | 19% (14% 24%) | 23% (18% 28%) | 4% (1% 8%) | ||
| Studio 3 | 22% (16% 29%) | 8% (3% 12%) | |||
| Studio 4 | 21% (17% 26%) | 16% (12% 20%) | 8% (5% 11%) | ||
| Studio 5 | 22% (17% 26%) | 14% (11% 18%) | 10% (7% 13%) | ||
| Bid = due volte al giorno |
Studio 6
Questo studio ha valutato l'effetto di ulteriori 12 settimane di terapia di Chantix sulla probabilità di astinenza a lungo termine. I pazienti in questo studio (n = 1927) sono stati trattati con Chantix 1 mg in aperto due volte al giorno per 12 settimane. I pazienti che avevano smesso di fumare per almeno una settimana entro la settimana 12 (n = 1210) sono stati quindi randomizzati in un trattamento in doppio cieco con Chantix (1 mg due volte al giorno) o placebo per altre 12 settimane e poi seguiti per 28 settimane dopo il trattamento.
Il tasso di astinenza continua dalla settimana 13 alla settimana 24 era più elevato per i pazienti che continuavano il trattamento con Chantix (70%) rispetto ai pazienti che passavano al placebo (50%). La superiorità al placebo è stata anche mantenuta durante 28 settimane di follow-up post-trattamento (Chantix 54% contro placebo 39%).
Nella Figura 3 sotto l'asse X rappresenta la settimana di studio per ogni osservazione che consente un confronto di gruppi in tempi simili dopo l'interruzione di Chantix; Il follow-up di Post-Postix inizia alla settimana 13 per il gruppo placebo e la settimana 25 per il gruppo Chantix. L'asse Y rappresenta la percentuale di pazienti che erano stati astinenti per l'ultima settimana di trattamento di Chantix e sono rimasti astinenti al punto temporale dato.
Figura 3: tasso di astinenza continua durante il follow-up di non trattamento
|
Istruzioni alternative per impostare una data di smettere
Chantix was evaluated in a double-blind placebo-controlled trial where patients were instructed to select a target quit date between Day 8 and Day 35 of treatment. Subjects were randomized 3:1 to Chantix 1 mg due volte al giorno (N=486) O placebo (N=165) fO 12 weeks of treatment and followed fO another 12 weeks post-treatment. Patients treated with Chantix had a superiO rate of CO-confirmed abstinence during weeks 9 through 12 (54%) compared to patients treated with placebo (19%) and from weeks 9 through 24 (35%) compared to subjects treated with placebo (13%).
Approccio graduale per smettere di fumare
Chantix was evaluated in a 52-week double-blind placebo-controlled study of 1510 subjects who were not able O willing to quit smoking within four weeks but were willing to gradually reduce their smoking over a 12 week period befOe quitting. Subjects were randomized to either Chantix 1 mg due volte al giorno (N=760) O placebo (N=750) fO 24 weeks and followed up post-treatment through week 52. Subjects were instructed to reduce the number of cigarettes smoked by at least 50 percent by the end of the first four weeks of treatment followed by a further 50 percent reduction from week four to week eight of treatment with the goal of reaching complete abstinence by 12 weeks. After the initial 12-week reduction phase subjects continued treatment fO another 12 weeks. Subjects treated with Chantix had a significantly higher Continuous Abstinence Rate compared with placebo at weeks 15 through 24 (32% vs. 7%) and weeks 15 through 52 (24% vs. 6%).
Studio di ri-trattamento
Chantix was evaluated in a double-blind placebo-controlled trial of patients who had made a previous attempt to quit smoking with Chantix and either did not succeed in quitting O relapsed after treatment. Subjects were randomized 1:1 to Chantix 1 mg due volte al giorno (N=249) O placebo (N=245) fO 12 weeks of treatment and followed fO 40 weeks post-treatment. Patients included in this study had taken Chantix fO a smoking-cessation attempt in the past (fO a total treatment duration of a minimum of two weeks) at least three months priO to study entry and had been smoking fO at least four weeks.
I pazienti trattati con Chantix avevano un tasso superiore di astinenza co-confermata durante le settimane da 9 a 12 (45%) rispetto ai pazienti trattati con placebo (12%) e dalle settimane da 9 a 52 (20%) rispetto ai soggetti trattati con placebo (3%).
Qual è un altro nome per gabapentin
Tabella 6: studio di ri-trattamento dell'astinenza continua (intervallo di confidenza al 95%)
| Settimane da 9 a 12 | Settimane da 9 a 52 | |||
| Chantix 1 Mg BID | Placebo | Chantix 1 Mg BID | Placebo | |
| Studio di ritiro | 45% (39% 51%) | 12% (8% 16%) | 20% (15% 25%) | 3% (1% 5%) |
| Bid = due volte al giorno |
Soggetti con malattia polmonare cardiovascolare e cronica
Chantix was evaluated in a randomized double-blind placebo-controlled study of subjects aged 35 to 75 years with stable documented cardiovascular disease (diagnoses other than O in addition to hypertension) that had been diagnosed fO mOe than 2 months. Subjects were randomized to Chantix 1 mg due volte al giorno (N = 353) O placebo (N = 350) fO a treatment of 12 weeks and then were followed fO 40 weeks post-treatment. Subjects treated with Chantix had a superiO rate of CO-confirmed abstinence during weeks 9 through 12 (47%) compared to subjects treated with placebo (14%) and from week 9 through 52 (20%) compared to subjects treated with placebo (7%).
Chantix was evaluated in a randomized double-blind placebo-controlled study of subjects aged ≥ 35 years with mild-to-moderate COPD with post-bronchodilatO FEV /FVC <70% and FEV ≥ 50% of predicted nOmal value. Subjects were randomized to Chantix 1 mg due volte al giorno (N=223) O placebo (N=237) fO a treatment of 12 weeks and then were followed fO 40 weeks post-treatment. Subjects treated with Chantix had a superiO rate of CO-confirmed abstinence during weeks 9 through 12 (41%) compared to subjects treated with placebo (9%) and from week 9 through 52 (19%) compared to subjects treated with placebo (6%).
Tabella 7: Studi di astinenza continua (intervallo di confidenza al 95%) in pazienti con malattia cardiovascolare (CVD) e malattia polmonare ostruttiva cronica (BPCO)
| Settimane da 9 a 12 | Settimane da 9 a 52 | |||
| Chantix 1 Mg BID | Placebo | Chantix 1 Mg BID | Placebo | |
| Studio CVD | 47% (42% 53%) | 14% (11% 18%) | 20% (16% 24%) | 7% (5% 10%) |
| Studio della BPCO | 41% (34% 47%) | 9% (6% 13%) | 19% (14% 24%) | 6% (3% 9%) |
Soggetti con disturbo depressivo maggiore
Chantix was evaluated in a randomized double-blind placebo-controlled study of subjects aged 18 to 75 years with majO depressive disOder without psychotic features (DSM-IV TR). If on medication subjects were to be on a stable antidepressant regimen fO at least two months. If not on medication subjects were to have experienced a majO depressive episode in the past 2 years which was successfully treated. Subjects were randomized to Chantix 1 mg due volte al giorno (N=256) O placebo (N=269) fO a treatment of 12 weeks and then followed fO 40 weeks post-treatment. Subjects treated with Chantix had a superiO rate of CO-confirmed abstinence during weeks 9 through 12 (36%) compared to subjects treated with placebo (16%) and from week 9 through 52 (20%) compared to subjects treated with placebo (10%).
Tabella 8: studio di astinenza continua (intervallo di confidenza al 95%) in pazienti con disturbo depressivo maggiore (MDD)
| Settimane da 9 a 12 | Settimane da 9 a 52 | |||
| Chantix 1 Mg BID | Placebo | Chantix 1 Mg BID | Placebo | |
| Studio MDD | 36% (30% 42%) | 16% (11% 20%) | 20% (15% 25%) | 10% (7% 14%) |
| Bid = due volte al giorno |
Studio post -marketing della sicurezza neuropsichiatrica
Chantix was evaluated in a randomized double-blind active and placebo-controlled trial that included subjects without a histOy of psychiatric disOder (non-psychiatric cohOt N=3912) and with a histOy of psychiatric disOder (psychiatric cohOt N=4003). Subjects aged 18-75 years smoking 10 O mOe cigarettes per day were randomized 1:1:1:1 to Chantix 1 Mg BID bupropion SR 150 mg BID nicotine replacement therapy patch (Nrt) 21 mg/day with taper O placebo fO a treatment period of 12 weeks; they were then followed fO another 12 weeks post-treatment. [See Avvertimenti e PRECAUZIONI ]
Un endpoint di sicurezza composito destinato a catturare eventi avversi neuropsichiatrici clinicamente significativi (NPS) includevano i seguenti eventi avversi NP: ansia depressione che senteva ostilità anormale dell'agitazione dell'agionioni di aggressioni o suicidi per la suicosità della suicosità della manianibilità omicida.
Come mostrato nella Tabella 9, l'uso di Chantix Bupropion e NRT nella coorte non psichiatrica non è stato associato ad un aumentato rischio di eventi avversi NP clinicamente significativi rispetto al placebo. Analogamente nella coorte non psichiatrica l'uso di Chantix non era associato ad un aumentato rischio di eventi avversi NP clinicamente significativi nell'endpoint di sicurezza composita rispetto al bupropione o alla NRT.
Tabella 9: numero di pazienti con eventi avversi NP clinicamente significativi o gravi da parte del gruppo di trattamento tra i pazienti senza una storia di disturbo psichiatrico
| Chantix (N = 975) n (%) | Bupropione (N = 968) n (%) | Nrt | Placebo (N = 982) n (%) | |
| NP clinicamente significative | 30 (3.1) | 34 (3.5) | 33 (3.3) | 40 (4.1) |
| NP seri | 1 (NULL,1) | 5 (NULL,5) | 1 (NULL,1) | 4 (NULL,4) |
| Psichiatrico | 1 (NULL,1) | 2 (NULL,2) | 0 (NULL,0) | 1 (NULL,1) |
Come mostrato nella Tabella 10 c'erano eventi avversi NP più clinicamente significativi riportati nei pazienti nella coorte psichiatrica in ciascun gruppo di trattamento rispetto alla coorte non psichiatrica (Tabella 9). L'incidenza di eventi nell'endpoint composito era più elevata per ciascuno dei trattamenti attivi rispetto al placebo: differenze di rischio (RDS) (IC 95%) vs placebo erano 2,7% (-0,05 5,4) per Chantix 2,2% (-0,5 4,9) per bupropione e 0,4% (-2,2 3,0) per NRT Transdermal Nicotina.
Tabella 10: Numero di pazienti con eventi NPS clinicamente significativi o gravi per gruppo di trattamento tra i pazienti con un ordine di disturbo di PS Ychiatric Dis
| Chantix (N = 1007) n (%) | Bupropione (N = 1004) n (%) | T9 | Placebo (N = 997) n (%) | |
| NP clinicamente significative | 123 (12.2) | 118 (11.8) | 98 (9.8) | 95 (9.5) |
| NP seri | 6 (NULL,6) | 8 (NULL,8) | 4 (NULL,4) | 6 (NULL,6) |
| Psichiatrico hospitalizations | 5 (NULL,5) | 8 (NULL,8) | 4 (NULL,4) | 2 (NULL,2) |
C'è stato un suicidio completato che si è verificato durante il trattamento in un paziente trattato con placebo nella coorte non psichiatrica. Non sono stati segnalati suicidi completati nella coorte psichiatrica.
In entrambe le coorti i soggetti trattati con Chantix avevano un tasso superiore di astinenza co-confermata durante le settimane da 9 a 12 e 9 a 24 rispetto ai soggetti trattati con patch di nicotina di bupropione e placebo.
Tabella 11: studio continuo di astinenza (intervallo di confidenza al 95%) in pazienti con o senza una storia di disturbo psichiatrico
| Chantix 1 Mg BID | Bupropione SR 150 mg BID | Nrt 21 mg/day with taper | Placebo | |
| Settimane da 9 a 12 | ||||
| Coorte non psichiatrica | 38% (35% 41%) | 26% (23% 29%) | 26% (24% 29%) | 14% (12% 16%) |
| Psichiatrico CohOt | 29% (26% 32%) | 19% (17% 22%) | 20% (18% 23%) | 11% (10% 14%) |
| Settimane da 9 a 24 | ||||
| Coorte non psichiatrica | 25% (23% 28%) | 19% (16% 21%) | 18% (16% 21%) | 11% (9% 13%) |
| Psichiatrico CohOt | 18% (16% 21%) | 14% (12% 16%) | 13% (11% 15%) | 8% (7% 10%) |
| Bid = due volte al giorno |
Informazioni sul paziente per Chantix
Chantix ®
(Chant-Kys)
(Varenicline) compresse
Quali sono le informazioni più importanti che dovrei sapere su Chantix?
Quando si tenta di smettere di fumare con o senza Chantix, potresti avere sintomi che potrebbero essere dovuti al ritiro della nicotina, incluso:
- esortare a fumare
- umore depresso
- difficoltà a dormire
- irritabilità
- frustrazione
- rabbia
- Sentirsi ansioso
- Difficoltà a concentrarsi
- irrequietezza
- diminuzione della frequenza cardiaca
- aumento dell'appetito
- aumento di peso
Alcune persone hanno persino sperimentato pensieri suicidi quando cercano di smettere di fumare senza farmaci.
A volte smettere di fumare può portare al peggioramento dei problemi di salute mentale che hai già come depressione.
Alcune persone hanno avuto gravi effetti collaterali durante l'assunzione di Chantix per aiutarli a smettere di fumare, tra cui:
Problemi di salute mentale nuovi o peggiori come i cambiamenti nel comportamento o il pensiero dell'ostilità dell'ostilità dell'agitazione depressa o pensieri o azioni suicidarie . Alcune persone avevano questi sintomi quando hanno iniziato a prendere Chantix e altri li hanno sviluppati dopo diverse settimane di trattamento o dopo aver fermato Chantix. Questi sintomi sono avvenuti più spesso nelle persone che avevano un file Storia dei problemi di salute mentale prima di prendere Chantix che nelle persone senza una storia di mentale problemi di salute.
Smetti di prendere Chantix e chiama subito il tuo operatore sanitario se la tua famiglia o il tuo caregiver noti uno di questi sintomi. Lavorare con il tuo medico per decidere se tu Dovrebbe continuare a prendere Chantix. In molte persone questi sintomi sono andati via dopo essersi fermato Chantix but in some people symptoms continued after stopping Chantix. It is impOtant fO you to Follow-up con il tuo medico fino a quando i sintomi non scompaiono.
Prima di prendere Chantix Di 'al tuo operatore sanitario se tu have ever had depressione O other mental problemi di salute. You should also tell your healthcare provider about any symptoms you had during other times you tried to quit smoking with O without Chantix.
Cos'è Chantix?
Chantix is a prescription medicine to help people stop smoking.
Smettere di fumare può ridurre le possibilità di avere malattie polmonari o di ottenere determinati tipi di cancro che sono legati al fumo.
Non è noto se Chantix è sicuro ed efficace nei bambini.
Non è noto se Chantix è sicuro ed efficace se usato con altri medicinali di smettere di fumare.
Chi non dovrebbe prendere Chantix?
Non prendere Chantix se hai avuto una grave reazione allergica o cutanea a Chantix. I sintomi possono includere:
- gonfiore della bocca del viso (ganne labbra della lingua) gola o collo
- difficoltà a respirare
- eruzione cutanea con la pelle sbucciata
- vesciche in bocca
Cosa dovrei dire al mio medico prima di prendere Chantix?
Guarda quali sono le informazioni più importanti che dovrei sapere su Chantix?
Prima di prendere Chantix Di 'al tuo operatore sanitario se tu:
- Usa altri trattamenti per smettere di fumare. L'uso di Chantix con una patch di nicotina può causare la nausea vomito le vertigini mal di stomaco e la stanchezza che si verificano più spesso che se usi solo una patch di nicotina da solo.
- avere problemi ai reni o ottenere la dialisi renale. Il tuo operatore sanitario può prescrivere una dose più bassa di Chantix per te.
- avere una storia di convulsioni
- Bevi alcol
- avere problemi di cuore o vaso sanguigno
- avere altre condizioni mediche
- sono incinta o prevedono di rimanere incinta. Non è noto se Chantix danneggerà il tuo bambino non ancora nato.
- sono allattamento al seno. Non è noto se Chantix passa nel latte materno. Se allatta e prendi Chantix monitora il tuo bambino per convulsioni e sputando o vomito più del normale.
Dì al tuo operatore sanitario di tutti i medicinali che prendi, compresi le medicine di prescrizione e le medicine da parte dei medicinali e gli integratori a base di erbe. Il tuo operatore sanitario potrebbe essere necessario cambiare la dose di alcuni dei tuoi medicinali quando smetti di fumare.
Non dovresti usare Chantix durante l'utilizzo di altri medicinali per smettere di fumare. Di 'al tuo operatore sanitario se usi altri trattamenti per smettere di fumare.
Conosci le medicine che prendi. Tienilo con te un elenco per mostrare il tuo medico e il tuo farmacista quando ottieni un nuovo medicinale.
Come dovrei prendere Chantix?
- Esistono 3 modi in cui puoi usare Chantix per aiutarti a smettere di fumare. Parla con il tuo operatore sanitario dei seguenti 3 modi per usare Chantix:
- Scegli una data di smettere quando smetterai di fumare. Inizia a prendere Chantix 1 settimana (7 giorni) prima della data di smettere. Prendi Chantix per 12 settimane.
O - Inizia a prendere Chantix prima di scegliere una data di smettere. Scegli una data per smettere di fumare che si trova tra i giorni 8 e 35 di trattamento. Prendi Chantix per 12 settimane.
O - Se sei sicuro di non essere in grado o disposto a smettere di fumare immediatamente, inizia a prendere Chantix e ridurre il fumo durante le prime 12 settimane di trattamento come segue:
- Scegli una data di smettere quando smetterai di fumare. Inizia a prendere Chantix 1 settimana (7 giorni) prima della data di smettere. Prendi Chantix per 12 settimane.
| Settimane da 1 a 4 | Riduci il tuo fumo per raggiungere la metà del tuo numero iniziale di sigarette. Esempio: se di solito fumi 20 sigarette ogni giorno, riduci il fumo a 10 sigarette ogni giorno durante le settimane da 1 a 4. |
| Settimane da 5 a 8 | Riduci il fumo per raggiungere un quarto del tuo numero iniziale di sigarette. Esempio: se di solito hai fumato 20 sigarette ogni giorno, riduci il fumo a 5 sigarette ogni giorno durante le settimane da 5 a 8. |
Cerca di smettere entro la fine della dodicesima settimana di trattamento o prima se ti senti pronto. Continua a prendere Chantix per altre 12 settimane per un totale di 24 settimane di trattamento. Iniziare Chantix prima della data di smettere dà a Chantix il tempo di accumularsi nel tuo corpo. Puoi continuare a fumare durante questo periodo. Prendi Chantix esattamente come prescritto dal tuo medico.
- Chantix comes as a white tablet (0.5 mg) and a blue tablet (1 mg). You start with the white tablet and then usually go to the blue tablet. See the chart below fO dosing instructions fO adults.
| Giorno 1 al giorno 3 |
|
| Giorno 4 al giorno 7 |
|
| Giorno 8 alla fine del trattamento |
|
- Assicurati di provare a smettere di fumare alla tua data di smettere. Se si scivola e fumi riprova. Alcune persone hanno bisogno di prendere Chantix per alcune settimane perché Chantix funzioni meglio.
- La maggior parte delle persone prenderà Chantix per un massimo di 12 settimane. Se hai smesso completamente di fumare entro 12 settimane, il tuo operatore sanitario può prescrivere Chantix per altre 12 settimane per aiutarti a rimanere senza sigarette.
- Prendi Chantix dopo aver mangiato e con un bicchiere completo (8 once) di acqua.
- Questo programma di dosaggio potrebbe non essere giusto per tutti. Parla con il tuo operatore sanitario se hai effetti collaterali come la nausea strani sogni o problemi di sonno. Il tuo operatore sanitario potrebbe voler ridurre la dose.
- Se ti perdi una dose di Chantix, prendilo non appena ricordi. Se è quasi ora per la tua prossima dose, salta la dose persa. Prendi la tua prossima dose al momento normale.
Cosa dovrei evitare mentre prendi Chantix?
- Usa cautela durante la guida o la gestione dei macchinari finché non sai come Chantix ti colpisce. Chantix può farti sentire stupefacente o avere problemi a concentrarti rendendo difficile guidare o svolgere altre attività in modo sicuro.
- Riduci la quantità di bevande alcoliche che bevi durante il trattamento con Chantix fino a quando non sai se Chantix influisce sulla tua capacità di tollerare l'alcol. Alcune persone hanno sperimentato quanto segue quando bevono alcol durante il trattamento con Chantix:
- Aumentata ubriachezza (intossicazione)
- insolito O sometimes aggressive behaviO
- Nessun ricordo delle cose che sono successe
Quali sono i possibili effetti collaterali di Chantix?
Gli effetti collaterali gravi di Chantix possono includere:
- Guarda quali sono le informazioni più importanti che dovrei sapere su Chantix?
- Convulsioni . Alcune persone hanno avuto convulsioni durante il trattamento con Chantix. Nella maggior parte dei casi le convulsioni sono avvenute durante il primo mese di trattamento con Chantix. Se hai un attacco durante il trattamento con Chantix, smetti di prendere Chantix e contatta subito il tuo operatore sanitario.
- Problemi di cuore o vaso sanguigno nuovo o peggiore (cardiovascolare) Principalmente nelle persone che hanno già problemi cardiovascolari. Di 'al tuo operatore sanitario se hai cambiamenti nei sintomi durante il trattamento con Chantix.
Ottieni subito assistenza medica di emergenza se hai uno dei seguenti sintomi di un infarto, incluso:- disagio al torace (pressione scomoda che stringe pienezza o dolore) che dura più di qualche minuto o che scompare e torna indietro
- dolore o disagio in una o entrambe le braccia posteriori della mascella o dello stomaco
- mancanza di respiro che suda la nausea vomito o sentimento stordito associato al disagio del torace
- Sonnambulismo Può accadere con Chantix e talvolta può portare a un comportamento dannoso per te o per le altre persone o alla proprietà. Smettila di prendere Chantix e di 'al tuo operatore sanitario se inizi a sonnamburà.
- Reazioni allergiche Può succedere con Chantix. Alcune di queste reazioni allergiche possono essere in vita vitale.
- Reazioni cutanee gravi tra cui arrossamento del gonfiore e scansione della pelle. Alcune di queste reazioni della pelle possono diventare pericolose per la vita.
Smetti di prendere Chantix e ottenere subito assistenza medica se hai uno dei seguenti sintomi:
- gonfiore della bocca del viso (labbra della lingua e gengive) gola o collo
- difficoltà a respirare
- eruzione cutanea con la pelle sbucciata
- vesciche in bocca
Gli effetti collaterali più comuni di Chantix includono:
- nausea
- Problemi di sonno (difficoltà a dormire o vivido insoliti o strani sogni)
- stipsi
- gas
- vomito
Di 'al tuo operatore sanitario sugli effetti collaterali che ti danno fastidio o che non vanno via.
Questi non sono tutti gli effetti collaterali di Chantix. Chiedi al tuo medico o al tuo farmacista ulteriori informazioni.
Chiama il medico per consigli medici sugli effetti collaterali. È possibile segnalare gli effetti collaterali alla FDA al numero 1-800-FDA-1088.
Come dovrei conservare Chantix?
- Conservare Chantix a temperatura ambiente compresa tra 68 ° F e 77 ° F (da 20 ° C a 25 ° C).
- Mantieni Chantix e tutti i medicinali fuori dalla portata dei bambini.
Informazioni generali sull'uso sicuro ed efficace di Chantix
Le medicine sono talvolta prescritte a fini diversi da quelli elencati in una guida ai farmaci. Non usare Chantix per una condizione per la quale non è stata prescritta. Non dare il tuo Chantix ad altre persone anche se hanno gli stessi sintomi che hai. Potrebbe danneggiare loro. Se desideri più informazioni, parla con il tuo medico. Puoi chiedere al tuo operatore sanitario o al farmacista informazioni su Chantix scritta per gli operatori sanitari.
Per ulteriori informazioni su Chantix e suggerimenti su come smettere di fumare, visitare www.creax.com o chiamare il numero 1-877-242-6849.
Se sei motivato a smettere di fumare e non hai avuto successo durante il precedente trattamento di Chantix per motivi diversi dagli effetti collaterali o se sei tornato al fumo dopo il trattamento, parla con il tuo operatore sanitario sul fatto che un altro corso di terapia di Chantix potrebbe essere giusto per te.
Quali sono gli ingredienti di Chantix?
Ingrediente attivo: Tartrato di varenicline
Ingredienti inattivi: Microcristallino cellulosa cellulosa anidra di calcio dibasico fosfato croscarmellosio di sodio di sodio silicio di biossido di magnesio stearate Opadry® White (per 0,5 mg) Opadry® Blue (per 1 mg) e Opadry® Clear.