Le Informazioni Presenti Sul Sito Non Costituiscono Consulenza Medica. Non Vendiamo Nulla. L'Accuratezza Della Traduzione Non È Garantita. Disclaimer
BPH, alfa bloccantiCardura XL
Riepilogo della droga
Cos'è Cardura XL?
Cardura Le compresse di rilascio esteso XL (doxazosina mesilato) sono un bloccante alfa-adrenergico usato per trattare l'ipertensione (alta pressione sanguigna) o per migliorare la minzione negli uomini con iperplasia prostatica benigna (prostata allargata).
Quali sono gli effetti collaterali di Cardura XL?
Gli effetti collaterali comuni di Cardura XL includono:
- vertigini
- Accendino
- mal di testa
- sensazione stanca
- sonnolenza
- Sconturoso o dolore allo stomaco
- nausea
- rinorrea
- diminuzione di capacità o interesse sessuali o
- Un guscio di tablet vuoto nello sgabello (questo è innocuo).
Dì al tuo medico se hai degli effetti collaterali gravi Cardura XL incluso:
- svenimento
- fiato corto
- debolezza
- occhi ingialliti o pelle
- urina scura
- Sanguinamento facile o contuso
- febbre o
- mal di gola persistente.
Dosaggio per cardura xl
La dose iniziale di Cardura XL è 4 mg data una volta presa ogni giorno con la colazione. La dose massima consigliata è di 8 mg.
Quali sostanze o integratori di farmaci interagiscono con Cardura XL?
Cardura XL may interact with sildenafil tadalafil vardenafil or other blood pressure medications including diuretics .
Dì al medico tutti i farmaci e gli integratori che usi.
Cardura XL During Gravidanza and Breastfeeding
Durante la gravidanza il cardura XL dovrebbe essere usato solo se prescritto. Non è noto se questo farmaco passi nel latte materno. Consulta il medico prima dell'allattamento al seno.
Ulteriori informazioni
Il nostro Cardura XL (doxazosin mesilato) compresse a rilascio esteso Centro farmacologico fornisce una visione completa delle informazioni disponibili sui farmaci sui potenziali effetti collaterali durante l'assunzione di questo farmaco.
Informazioni sui farmaci FDA
- Descrizione del farmaco
- Indicazioni
- Effetti collaterali
- Interazioni farmacologiche
- Avvertimenti
- Overdose
- Farmacologia clinica
- Guida ai farmaci
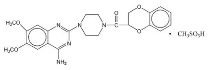
Descrizione per Cardura XL
Cardura XL contiene mesilato di doxazosina che è un composto di chinazolina con il nome chimico 1- (4-ammino-67-dimetossi-2quinazolinil) -4- (14-benzodioxan-2-ilcarbonil) methanesulfontalfonato. La formula empirica per il mesilato di doxazosina è C 23 H 25 N 5 O 5 • Ch 4 O 3 S e il peso molecolare è 547,6. Ha la seguente struttura:
|
Cardura XL è un tablet a rilascio esteso per uso orale ed è progettato per fornire 4 o 8 mg di doxazosina come base libera. Ogni compressa da 4 e 8 mg contiene mesilato doxazosina da 5,1 e 10,2 mg (include un eccesso del 5%) per fornire rispettivamente 4 e 8 mg di doxazosina come base libera. Gli ingredienti inattivi per Cardura XL sono: ossido di polietilene sodio con cloruro di sodio ipromellosio ossido di ossido di titanio di titanio di titanio stearato acetato di cellulosa macrogol® glassa farmaceutica e ossido di ferro nero.
Cardura XL Sistema Componenti e prestazioni
Cardura XL è simile nell'aspetto a una compressa convenzionale. Si consiste tuttavia a un nucleo di droga osmoticamente attivo circondato da una membrana semipermeabile. Il nucleo stesso è diviso in due strati: uno strato attivo contenente il farmaco e uno strato push contenente componenti farmacologicamente inerti (ma osmoticamente attivi). La membrana che circonda la compressa è permeabile all'acqua ma non sugli eccipienti drogati o osmotici. Mentre l'acqua del tratto gastrointestinale entra nella pressione della compressa aumenta nello strato osmotico e spinge contro lo strato di droga con conseguente rilascio di farmaco attraverso un piccolo orifizio a base di laser nella membrana sul lato farmaco della compressa.
Cardura XL utilizza GITS (sistema terapeutico gastrointestinale) progettato per fornire una velocità controllata di consegna di doxazosina nel lume gastrointestinale che è indipendente dalla motilità del pH o della motilità gastrointestinale (GI). La funzione di Cardura XL dipende dall'esistenza di un gradiente osmotico tra il contenuto del nucleo e del fluido bi-strato nel tratto gastrointestinale. La consegna dei farmaci è essenzialmente costante fintanto che il gradiente osmotico rimane costante e quindi gradualmente cade a zero. I componenti biologicamente inerti della compressa rimangono intatti durante il transito gastrointestinale e vengono eliminati nelle feci come un guscio insolubile.
Usi per Cardura XL
Cardura® XL (compresse di rilascio esteso di doxazosina mesilato) è indicato per il trattamento dei segni e dei sintomi dell'iperplasia prostatica benigna (BPH).
Cardura XL non è indicato per il trattamento dell'ipertensione.
Dosaggio per cardura xl
Informazioni di dosaggio generale
La dose iniziale di Cardura XL 4 mg fornita una volta al giorno dovrebbe essere somministrata con la colazione. A seconda della risposta sintomatica del paziente e della tollerabilità, la dose può essere aumentata a 8 mg della dose massima raccomandata. L'intervallo di titolazione consigliato è di 3-4 settimane. Se la somministrazione di Cardura XL viene interrotta per diversi giorni, la terapia deve essere riavviata utilizzando la dose di 4 mg una volta al giorno. Le compresse devono essere inghiottite e non devono essere masticate tagliate o schiacciate.
Pazienti che passano da cardura a cardura xl
Se il passaggio da Cardura immediatamente a rilascio (IR) alla terapia cardura XL dovrebbe essere avviato con la dose più bassa (4 mg una volta al giorno). Prima di iniziare la terapia con Cardura XL, la dose serale finale di Cardura non dovrebbe essere presa.
Somministrazione concomitante con inibitori PDE-5
La somministrazione concomitante di Cardura XL con un inibitore della PDE-5 può provocare effetti di abbassamento della pressione arteriosa e ipotensione sintomatica; Pertanto, la terapia con inibitore della PDE-5 dovrebbe essere iniziata alla dose più bassa nei pazienti che assumono Cardura XL.
Come fornito
Forme di dosaggio e punti di forza
Compresse bianche con rivestimento a pellicola contenente 4 mg e 8 mg di mesilato di doxazosina.
Archiviazione e maneggevolezza
Cardura XL (compresse di rilascio esteso di doxazosina mesilato) è disponibile come 4 mg (bianco impresso con CXL 4) e 8 mg (bianchi impressi con CXL 8) compresse.
Bottiglia di 30 : 4 mg ( Ndc 0049-2710-30)
Bottiglia di 30 : 8 mg ( Ndc 0049-2720-30)
ossicodone-acetaminofene 7.5
Magazzinaggio
Archiviazione consigliata: conservare a 25 ° C (77 ° F); Escursioni consentite a 15-30 ° C (59-86 ° F) [vedi A temperatura ambiente controllata da USP ].
Distribuito da: Roerig Division of Pfizer Inc. NY NY 10017. Revisionato: febbraio 2017
Effetti collaterali for Cardura XL
Esperienza di studi clinici
Poiché gli studi clinici sono condotti in condizioni di reazione avverse ampiamente variabili osservate negli studi clinici di un farmaco non possono essere confrontati direttamente ai tassi negli studi clinici di un altro farmaco e potrebbero non riflettere i tassi osservati nella pratica clinica.
L'incidenza di reazioni avverse è stata derivata da due studi controllati di efficacia e sicurezza che coinvolgono 1473 pazienti con BPH. Nello studio 1 Cardura XL (n = 317) è stato confrontato con le compresse IR doxazosin (n = 322) e al placebo (n = 156). Nello studio 2 Cardura XL (n = 350) è stato confrontato solo con le compresse IR doxazosin (n = 330). In entrambi questi studi Cardura XL è stato avviato alla dose di 4 mg che potrebbe essere aumentata dall'investigatore a 8 mg dopo sette settimane se non si vede una risposta adeguata [vedi Studi clinici ]. Similarly doxazosin IR was begun at a dose of 1 mg which was increased in all patients to 2 mg after 1 week followed by the option to increase to 4 mg after 4 weeks and 8 mg after 7 weeks.
Le reazioni avverse più comunemente riportate che hanno portato alla sospensione nel gruppo Cardura XL sono state: ipotensione posturale e sonnolenza posturale di dyspnea di dyspnea astenia. I tassi di interruzione delle reazioni avverse erano rispettivamente del 6% 7% e del 3% nei gruppi di doxazosina IR e placebo di Cardura XL.
La tabella 1 elenca i tassi di incidenza delle reazioni avverse derivate da tutti gli eventi avversi riportati nei due studi controllati (studi 1 e 2) combinati ad un tasso maggiore del placebo e nell'1% o più dei pazienti trattati con Cardura XL.
Tabella 1: reazioni avverse derivate da tutti gli eventi avversi che superano il tasso di placebo e si verificano in ≥ 1% dei pazienti con BPH trattati con cardura XL
| Sistema del corpo | Cardura XL (N = 666) | Doxazosin ir (N = 651) | Placebo (N = 156) |
| Corpo nel suo insieme | |||
| 1,8% | 2,3% | 0,6% | |
| 3,9% | 6,9% | 1,3% | |
| 6,0% | 5,1% | 4,5% | |
| CARDIOVASCOLARE | |||
| 1,7% | 1,8% | 0,0% | |
| 1,2% | 2,2% | 0,6% | |
| DIGESTIVO | |||
| 1,4% | 1,2% | 0,0% | |
| 1,2% | 2,3% | 0,6% | |
| Muscoloscheletrico | |||
| 1,4% | 0,5% | 0,0% | |
| NERVOSO | |||
| 5,3% | 9,1% | 1,9% | |
| 1,5% | 1,2% | 0,0% | |
| 1,5% | 4,1% | 0,6% | |
| Respiratorio | |||
| 1,2% | 1,2% | 0,0% | |
| 4,8% | 4,5% | 1,9% | |
| Urogenitale | |||
| 1,4% | 0,8% | 0,6% |
Ulteriori eventi avversi riportati con Cardura XL riportati da meno dell'1% dei pazienti e quelli di interesse clinico includono: Sistema cardiovascolare: Angina pectoris Syncope Tachicardia Palpitazioni del dolore toracico; Sistema digestivo: diarrea; Sistema muscoloscheletrico: artralgia; Sistema nervoso: La libido è diminuita; Sistema urogenitale: Disuria di impotenza.
In generale, gli eventi avversi riportati nell'estensione della sicurezza in aperto in circa 295 pazienti con BPH trattati per un massimo di 37 settimane erano simili nel tipo e nella frequenza agli eventi sopra descritti negli studi controllati.
Esperienza post -marketing
I seguenti eventi avversi sono stati identificati durante l'uso post-approvazione della doxazosina. Poiché queste reazioni sono riportate volontariamente da una popolazione di dimensioni incerte, non è sempre possibile stimare in modo affidabile la loro frequenza o stabilire una relazione causale con l'esposizione ai farmaci.
Sistema nervoso autonomo: priapismo; Sistema cardiovascolare: incidenti cerebrovascolari vertigini infarto miocardico posturale; Sistema nervoso centrale e periferico: parestesia ipoestesia; Sistema endocrino: ginecomastia; Sistema gastrointestinale: vomito di ostruzione gastrointestinale; Sistema del corpo generale: FASTINA FASCHE CALDA MALISE; Frequenza cardiaca/ritmo: Aritmie cardiache bradicardia; Ematopoietico: Leucopenia purpura trombocitopenia; Sistema epatico/biliare: Funzione epatica anormale verifica l'epatite epatite ittero colestatico; Sistema muscoloscheletrico: crampi muscolari debolezza muscolare; Psichiatrico: agitazione anoressia nervosismo; Sistema respiratorio: broncospasmo aggravato; Disturbi della pelle: alopecia orticaria cutanea prurito; Sensi speciali: Sindrome di Iris Floppy Intraoperatoria della visione Blurred [vedi Avvertimenti e PRECAUZIONI ]; Sistema urinario: Ematuria Disturbo della menturazione Micturizione Frequenza Nocturia poliuria.
Ci sono state rare segnalazioni di irritazione gastrointestinale e sanguinamento gastrointestinale con l'uso di un altro farmaco in questa formulazione di rilascio prolungato non definibile, sebbene la relazione causale con il farmaco sia incerta.
Interazioni farmacologiche for Cardura XL
Inibitori del CYP 3A4
NO in vivo Sono stati condotti studi di interazione farmacologica con Cardura XL.
In vitro Gli studi suggeriscono che la doxazosina è un substrato di CYP 3A4. Attenzione dovrebbe essere esercitata quando si somministra in concomitanza Cardura XL con un forte inibitore del CYP 3A4 come Atanazavir Clarithromicina indinavir itraconazole ketoconazole nefazodone nelfinavir ritonavir saquinicin telitromicina o voriconazole [vedi Farmacologia clinica ].
Farmaci antiipertensivi
Non sono state determinate interazioni farmacodinamiche tra cardura XL e farmaci antiipertensivi o altri agenti vasodilanti.
Inibitori PDE-5
La somministrazione concomitante di cardura XL con un inibitore della PDE-5 può provocare effetti di abbassamento della pressione arteriosa e ipotensione sintomatica [vedi Dosaggio e amministrazione ].
Avvertimenti per Cardura XL
Incluso come parte del PRECAUZIONI sezione.
Precauzioni per Cardura XL
Ipotensione posturale
L'ipotensione posturale con o senza sintomi (ad esempio vertigini) può svilupparsi entro poche ore dopo la somministrazione di Cardura XL. Tuttavia, è stata anche segnalata l'ipotensione posturale di rado sintomatica più tardi rispetto a poche ore dopo il dosaggio. Come con altri bloccanti alfa, esiste un potenziale per la sincope soprattutto dopo la dose iniziale o dopo un aumento della resistenza al dosaggio. I pazienti dovrebbero essere avvertiti del possibile verificarsi di tali eventi e dovrebbero evitare situazioni in cui si potrebbe verificarsi lesioni dovrebbero verificarsi sincope. È necessario prestare attenzione quando Cardura XL viene somministrato a pazienti con ipotensione sintomatica o pazienti che hanno avuto una risposta ipotensiva ad altri farmaci.
Chirurgia della cataratta
La sindrome dell'iride floppy intraoperatoria (IFIS) è stata osservata durante la chirurgia della cataratta in alcuni pazienti o precedentemente trattati con bloccanti alfa 1. Questa variante della sindrome da pupilla di piccole dimensioni è caratterizzata dalla combinazione di un IRIS flaccido che fluttua in risposta alle correnti di irrigazione intraoperatoria di miosi intraoperatoria progressiva nonostante la dilatazione preoperatoria con farmaci mydriatici standard e il potenziale prolasso dell'IRIS verso le incisioni di faceemulsificazione. Il chirurgo del paziente dovrebbe essere preparato per possibili modifiche alla loro tecnica chirurgica come l'utilizzo degli anelli di dilaoma iris o delle sostanze viscoelastiche. Non sembra esserci un vantaggio dall'arresto della terapia alfa 1 bloccante prima della chirurgia della cataratta.
Disturbi gastrointestinali
Come con qualsiasi altro materiale non definibile, è necessario utilizzare cautela durante la somministrazione di cardura XL a pazienti con grave restringimento gastrointestinale grave preesistente (patologico o iatrogeno). Ci sono stati rari segnalazioni di sintomi ostruttivi nei pazienti con restrizioni note in associazione con l'ingestione di un altro farmaco in questa formulazione di rilascio esteso non definibile. I tempi di ritenzione GI notevolmente aumentati, come si possono verificarsi nei pazienti con costipazione cronica, possono aumentare l'esposizione sistemica alla doxazosina e quindi potenzialmente aumentare le reazioni avverse.
Cancro alla prostata
Il carcinoma della prostata provoca molti degli stessi sintomi associati al BPH e i due disturbi frequentemente coesistono. Il carcinoma della prostata dovrebbe quindi essere escluso prima di iniziare la terapia con Cardura XL.
Inibitori PDE-5
La somministrazione concomitante di Cardura XL con un inibitore della PDE-5 può provocare effetti di abbassamento della pressione arteriosa e ipotensione sintomatica. Non sono state determinate interazioni farmacodinamiche tra cardura XL e farmaci antiipertensivi o altri agenti vasodilanti.
Pazienti con compromissione epatica
Cardura XL is not recommended for patients with severe hepatic impairment and should be administered with caution to patients with mild or moderate hepatic impairment [see Utilizzare in popolazioni specifiche Farmacologia clinica ].
Pazienti con insufficienza coronarica
I pazienti con insufficienza cardiaca congestizia angina pectoris o infarto miocardico acuto negli ultimi 6 mesi sono stati esclusi dagli studi di fase 3. Se i sintomi dell'angina pectoris devono essere appena comparsi o peggiorare Cardura XL.
Inibitori del CYP 3A4
È necessario prestare attenzione quando si somministra in concomitanza Cardura XL con un forte inibitore del CYP 3A4 come Atanazavir Clarithromicina indinavir itraconazolo ketoconazole nefazodone nelfinavir ritonavir saquinavir telitromicina o voriconazolo.
Priapismo
Raramente (probabilmente meno frequentemente di una volta in ogni migliaia di pazienti) gli antagonisti alfa-1 tra cui la doxazosina sono stati associati al priapismo (dolorosa erezione del pene sostenuto per ore e inarrestate da rapporti sessuali o masturbazione). Poiché questa condizione può portare a impotenza permanente se i pazienti non trattati prontamente devono essere consigliati sulla gravità della condizione.
Informazioni sulla consulenza del paziente
Vedere L'etichettatura dei pazienti approvata dalla FDA ( Informazioni sul paziente )
Ipotensione posturale
I pazienti dovrebbero essere informati sulla possibile insorgenza di sintomi correlati all'ipotensione posturale come vertigini o sincope quando si inizia la terapia o quando si aumenta la resistenza al dosaggio di Cardura XL. I pazienti devono essere avvertiti sulla guida di macchinari operativi o per eseguire compiti pericolosi durante questo periodo fino a quando l'effetto del farmaco non è stato determinato.
come viaggiare per il mondo a basso costo
Priapismo
Informare il paziente sulla possibilità del priapismo a seguito del trattamento con compresse di rilascio esteso di Cardura XL e altri farmaci simili. I pazienti devono essere informati che questa reazione è estremamente rara, ma se non portata a cure mediche immediate può portare a disfunzione erettile permanente.
Amministrazione dei tablet
I pazienti devono essere informati che le compresse di rilascio esteso di Cardura XL devono essere inghiottite intere. I pazienti non devono masticare dividere le compresse di taglio o schiacciare.
Intervallo di dosaggio
Cardura XL should be taken each day with breakfast.
Eliminazione della compressa
I pazienti non dovrebbero preoccuparsi se si accorgono occasionalmente nel loro sgabello qualcosa che sembra un tablet. Nella compressa di rilascio esteso Cardura XL il farmaco è contenuto all'interno di un guscio non assorbibile progettato per rilasciare il farmaco a una velocità controllata. Quando questo processo viene completato, il tablet vuoto viene eliminato dal corpo.
NOnclinical Toxicology
Mutagenesi della carcinogenesi compromissione della fertilità
Carcinogenesi e mutagenesi
Il mesilato di doxazosina non era cancerogeno per i ratti o i topi quando somministrato quotidianamente per 2 anni a dosi fino a 40 mg/kg/giorno o 120 mg/kg/giorno rispettivamente. Le esposizioni di farmaci sistemiche misurate da AUC erano circa 34 volte nei ratti e 16 volte in topi al di sopra delle esposizioni alla massima dose umana raccomandata (MHRD) di 8 mg di cardura XL.
La base di doxazosina non era mutagenica nel in vitro Ames batterici test del test di aberrazione cromosomica nei linfociti umani o nel test del linfoma del topo. La doxazosina non era clastogenica nel in vivo Tosaggio del micronucleo del topo. Il mesilato di doxazosina non è stato valutato per la genotossicità.
Fertilità nei maschi
Gli studi sui ratti dopo la somministrazione orale della base di doxazosina hanno mostrato una ridotta fertilità nei maschi che era reversibile dopo due settimane di interruzione del trattamento all'esposizione alla base di doxazosina di 13 volte sopra l'esposizione umana (AUC) al MHRD di 8 mg di Cardura XL. Non ci sono stati segnalazioni di alcun effetto di doxazosina sulla fertilità maschile nell'uomo.
Utilizzare in popolazioni specifiche
Gravidanza
Riepilogo del rischio
Cardura XL is not indicated for use in females and is not indicated for the treatment of hypertension. The limited available data with Cardura XL in pregnant women are not sufficient to inform a drug-associated risk for major birth defects and miscarriage. NO adverse developmental outcomes were observed in animal reproduction studies with oral administration of doxazosin to pregnant rats and rabbits at doses of up to 10 and 4 times respectively the 12 mg/day recommended dose. Postnatal development was delayed in rats at a dose of 8 times the 12 mg/day recommended dose [see Dati ].
Dati
Dati sugli animali
È stato scoperto che la radioattività attraversa la placenta dopo la somministrazione orale di doxazosina marcata a ratti in gravidanza. Studi su conigli e ratti in gravidanza a dosi orali giornaliere fino a 41 e 20 mg/kg rispettivamente (le concentrazioni di farmaci plasmatici di 10 e 4 volte rispettivamente le esposizioni AUC umane con una dose terapeutica di 12 mg/giorno) durante l'organogenesi non hanno rivelato alcuna evidenza di effetti sullo sviluppo avversi. Un regime di dosaggio di 82 mg/kg/die nel coniglio era associato a una ridotta sopravvivenza fetale. Negli studi post-natali per-e post-natale sullo sviluppo postnatale di ratti a dosi materne di 40 o 50 mg/kg/giorno di doxazosina (circa 8 volte l'esposizione AUC umana con una dose terapeutica di 12 mg/die) è stata ritardata, come evidenziato da un aumento di peso corporeo più lento e un aspetto leggermente più tardi di caratteristiche anatomiche e riflessi.
Lattazione
Riepilogo del rischio
Cardura XL is not indicated for use in females and is not indicated for the treatment of hypertension. Doxazosin is present in human milk. There is no information on the effects of Cardura XL on the breastfeed infant or the effects on milk production.
Uso pediatrico
La sicurezza e l'efficacia di Cardura XL nei pazienti pediatrici non sono stati stabiliti.
Uso geriatrico
L'incidenza dell'ipotensione con l'uso di Cardura XL sembra essere correlata all'età e più diffusa nei pazienti di età pari o superiore a 70 anni. Agli stati stazionari aumenti del 27% nelle massime concentrazioni plasmatiche (C max) e 34% nell'area sotto la curva del tempo di concentrazione (AUC) sono stati osservati negli anziani (> 65 anni) rispetto ai giovani [vedi Farmacologia clinica ].
Dei 666 pazienti con BPH che hanno ricevuto Cardura XL nei due studi di efficacia clinica e sicurezza controllati 325 pazienti (49%) avevano 65 anni o più. Centotrentasei pazienti trattati con Cardura XL (20%) avevano> 70 anni. In questi due studi l'incidenza cumulativa dell'ipotensione sembra essere correlata all'età. Il motivo di una maggiore incidenza di ipotensione in pazienti di età superiore ai 70 anni può essere correlato a un modesto aumento dell'esposizione sistemica alla doxazosina [vedi Farmacologia clinica ] A una maggiore propensione all'ortostasi negli anziani o ad una maggiore sensibilità agli agenti vasodilatatori negli anziani. L'incidenza dell'ipotensione riportata come reazione avversa era maggiore nei pazienti di età pari o superiore a 70 anni (4/136; 2,9%) rispetto ai pazienti <70 years of age (7/530; 1,3%).
Compromissione epatica
Poiché non esiste esperienza clinica nei pazienti con grave uso epatico in questi pazienti non è raccomandato. Cardura XL deve essere somministrato con cautela ai pazienti con compromissione epatica lieve o moderata [vedi Avvertimenti e PRECAUZIONI Farmacologia clinica ].
Informazioni per overdose per Cardura XL
Non c'è esperienza con il sovradosaggio di Cardura XL. L'esperienza di sovradosaggio con la doxazosin IR è limitata. Due adolescenti che ciascuno ingerito intenzionalmente 40 mg di doxazosina IR con diclofenac o paracetamolo sono stati trattati con lavaggio gastrico con carbone attivo e realizzato completi completi. Un bambino di due anni che ha ingerito accidentalmente 4 mg di doxazosina IR è stato curato con lavaggio gastrico e è rimasto normoteo durante il periodo di osservazione del pronto soccorso di cinque ore. Un bambino di sei mesi ha accidentalmente ricevuto una compressa schiacciata da 1 mg di doxazosina IR ed è stato segnalato per essere assonnato. Una femmina di 32 anni con epilessia cronica di insufficienza renale e depressione ingerite intenzionalmente 60 mg di doxazosina IR (livello ematico 0,9 μg/mL; valori normali nelle ipertensive = 0,02 μg/mL); La morte è stata attribuita a un convulsioni da grande mal di Mal derivante dall'ipotensione. Una femmina di 39 anni che ha ingerito da 70 mg di doxazosina IR Alcohol e Dalmane® (Flurazepam) ha sviluppato ipotensione che ha risposto alla terapia fluida. La manifestazione più probabile del sovradosaggio sarebbe l'ipotensione per la quale il solito trattamento sarebbe l'infusione endovenosa di liquido che mantiene il paziente in posizione supina e in determinate circostanze la somministrazione di vasopressori. Poiché la doxazosina è una dialisi altamente legata alle proteine non sarebbe indicata.
Controindicazioni per Cardura XL
Cardura XL is contraindicated in patients with a known hypersensitivity to doxazosin other quinazolines (e.g. prazosin terazosin) or any of the inert ingredients. Allergic reactions to doxazosin and other quinazolines have included skin rash urticaria pruritus angioedema and respiratory symptoms [see Reazioni avverse ].
Effexor XR 300 mg Effetti collaterali
Farmacologia clinica for Cardura XL
Meccanismo d'azione
I sintomi associati a iperplasia prostatica benigna (BPH) come la frequenza urinaria Nocturia debole flusso e lo svuotamento incompleto sono correlati a due componenti anatomici (statici) e funzionali (dinamici). Il componente statico è correlato ad un aumento della dimensione della prostata causata in parte da una proliferazione di cellule muscolari lisce nello stroma prostatico. Tuttavia, la gravità dei sintomi di BPH e il grado di ostruzione uretrale non sono correlati bene con le dimensioni della prostata. Il componente dinamico di BPH è associato ad un aumento del tono della muscolatura liscia nel collo della prostata e della vescica. Il grado di tono in quest'area è mediato dall'adrenoceptor alfa 1 che è presente in alta densità nella capsula prostatica prostatica prostatica e nel collo della vescica. Il blocco del recettore alfa 1 diminuisce la resistenza uretrale e può alleviare i sintomi di BPH e migliorare il flusso di urina. Il mesilato di doxazosina è un inibitore selettivo dell'alfa 1 subtipo dei recettori alfa adrenergici. Nelle doxazosina della prostata umana mesilato antagonizza le contrazioni indotte da fenilefrina (agonista alfa 1) in vitro e si lega ad alta affinità con l'adrenoptor alfa 1a.
Farmacodinamica
La somministrazione di cardura XL a pazienti con BPH sintomatico ha comportato un miglioramento statisticamente significativo della portata urinaria massima [vedi Studi clinici ].
Farmacocinetica
La farmacocinetica di Cardura XL è diversa da quella di Doxazosin IR. Cardura XL fornisce un rilascio controllato di doxazosina per un periodo di 24 ore.
Assorbimento : I parametri farmacocinetici che descrivono l'assorbimento a seguito di dosi giornalieri di 4 e 8 mg di Cardura XL sono riportati nella Tabella 2 di seguito. La biodisponibilità relativa di Cardura XL rispetto al doxazosina IR era del 54% alla dose da 4 mg e del 59% per la dose da 8 mg.
Tabella 2: concentrazione plasmatica media (± DS) di doxazosina allo stato stazionario in volontari sani: parametri farmacocinetici
| Parametro | Cardura XL (4 mg) | Cardura XL (8 mg) |
| CMAX (NG/ML) | 10,1 ± 5,6 | 25,8 ± 12,1 |
| AUC (0 - ∞) | 183 ± 85,5 | 472 ± 170,8 |
| TMAX (H) | 8 ± 3,7 | 9 ± 4,7 |
Effetto alimentare : Come illustrato nella Figura 1, il plasma C MAX e AUC erano circa il 32% e il 18% più in alto dopo che Cardura XL è stato somministrato nello stato della Fed rispetto allo stato a digiuno. Al fine di fornire l'esposizione più coerente, Cardura XL dovrebbe essere somministrato con la colazione [vedi Dosaggio e amministrazione ].
Figura 1: concentrazione plasmatica media (SD) di doxazosina a seguito di dosi orali di 8 mg di cardura XL (alimentati e digiuno)
|
Effetto tempo di ritenzione GI : I tempi di ritenzione GI notevolmente ridotti (ad es. Sindrome intestinale corta) possono influenzare la farmacocinetica di Cardura XL e possibilmente provocare concentrazioni plasmatiche più basse. I tempi di ritenzione gastrointestinale al viceversa marcatamente nettamente prolungati (ad es. Costipazione cronica) possono aumentare l'esposizione sistemica alla doxazosina e potenzialmente provocare un aumento delle reazioni avverse [vedi Avvertimenti e PRECAUZIONI ].
Distribuzione : A le concentrazioni plasmatiche raggiunte da dosi terapeutiche circa il 98% del farmaco circolante è legato alle proteine plasmatiche.
Metabolismo : La doxazosina è ampiamente metabolizzata nel fegato. In vitro Gli studi suggeriscono che il percorso primario per l'eliminazione è tramite CYP 3A4; Tuttavia, esistono anche percorsi metabolici del CYP 2D6 e del CYP 2C9 in misura minore. NO in vivo Studi di interazione farmacologica sono stati condotti con Cardura XL. Sebbene sono stati identificati diversi metaboliti attivi della doxazosina, la farmacocinetica di questi metaboliti non è stata caratterizzata [vedi Interazioni farmacologiche ].
Escrezione : In uno studio su due soggetti somministrati doxazosin IR 2 mg per via orale e 1 mg per via endovenosa in due occasioni separate circa il 63% della dose è stato eliminato nelle feci e il 9% della dose è stato trovato nelle urine. In media solo il 4,8% della dose è stato escreto come farmaco invariato nelle feci e solo una traccia della radioattività totale nelle urine è stata attribuita a un farmaco invariato. L'emivita apparente di eliminazione di Cardura XL è di 15-19 ore.
Interazioni farmaco-farmaco
NO in vivo Sono stati condotti studi di interazione farmaco-farmaco per valutare l'effetto dei farmaci concomitanti sulla farmacocinetica di Cardura XL o per valutare l'effetto di Cardura XL sulla farmacocinetica di altri farmaci. In vitro Gli studi suggeriscono che la doxazosina è un substrato di CYP 3A4. La cautela dovrebbe essere esercitata quando somministrano in concomitanza Cardura XL con un forte inibitore del CYP 3A4 come Atanazavir Claritromicina indinavir itraconazolo ketoconazolo nefazodone nelfinavir ritonavir saquinicin telitromicina o voriconazole
In una prova controllata con placebo in volontari normali la somministrazione di una singola dose di 1 mg di doxazosina IR il giorno 1 di un regime di quattro giorni di cimetidina (400 mg due volte al giorno) ha comportato un aumento del 10% nell'AUC medio di doxazosina un aumento del 6% nel massimo c di doxazosina e non ha comportato un aumento medio nella vita media di doxiosini. Sulla base delle differenze di dose e formulazione, l'applicabilità di questi risultati a Cardura XL non è nota. Altrimenti non è stato determinato il potenziale di interazione con altri inibitori o substrati di enzimi del CYP. Non sono state determinate anche interazioni farmacodinamiche tra cardura XL e farmaci anti-ipertensivi o altri agenti vasodilati. Infine, i farmaci che riducono la motilità gastrointestinale che portano a tempi di ritenzione gastrointestinale marcatamente prolungati (ad esempio agenti anticolinergici) possono aumentare l'esposizione sistemica alla doxazosina.
Utilizzare in popolazioni specifiche
Geriatrico : In uno studio per valutare l'effetto dell'età sugli aumenti di farmacocinetica degli aumenti di cardura XL del 27% nel plasma C massimo e il 34% nell'AUC plasmatico sono stati osservati allo stato stazionario negli anziani (> 65 anni) rispetto ai giovani [vedi Utilizzare in popolazioni specifiche ]. Compromissione epatica: Administration of a single 2 mg dose of doxazosin IR to patients with mild hepatic impairment (Child-Pugh Class A) showed a 40% increase in exposure to doxazosin compared to patients without hepatic impairment. NO studies have been performed to assess the effect of hepatic impairment on the pharmacokinetics of Cardura XL. Use in patients with severe hepatic impairment is not recommended. Cardura XL should be administered with caution to patients with evidence of mild or moderately impaired hepatic function or to patients receiving drugs known to influence hepatic metabolism.
Tossicologia animale e farmacologia
Gli studi sui ratti Sprague-Dawley dopo 6 12 e 18 mesi e nei topi CD-1 dopo 18 mesi di somministrazione dietetica hanno mostrato una maggiore incidenza di necrosi miocardica o fibrosi all'esposizione alla base di doxazosina di 26 volte sopra l'esposizione umana (AUC) alla MHRD di 8 mg di cardura XL. Non è stata osservata cardiotossicità nei cani o nei ratti Wistar dopo 12 mesi di dosaggio orale a esposizioni di base di doxazosina rispettivamente di 65 e 85 volte sopra l'esposizione umana (C MAX) al MHRD di 8 mg di cardura XL. Non ci sono prove che si verifichino lesioni simili nell'uomo.
Studi clinici
Studi su pazienti con BPH
Sono stati condotti due studi clinici controllati con Cardura XL nei pazienti con BPH seguiti da uno studio di estensione in aperto. Lo studio 1 è stato uno studio randomizzato in doppio cieco a group parallelo e controllato attivo che ha confrontato la sicurezza e l'efficacia di Cardura XL (4 o 8 mg/giorno) con quello del doxazosina IR (1 2 4 4 o 8 mg/giorno) e placebo per 13 settimane in 795 pazienti con cui 317 sono stati randomizzati a cardura XL. Lo studio 2 è stato uno studio randomizzato in doppio cieco con il gruppo parallelo attivo che ha confrontato la sicurezza e l'efficacia di Cardura XL (4 o 8 mg/giorno) con quello della doxazosina IR (1 2 4 4 o 8 mg/die) in 13 settimane in 680 pazienti con bph di cui 350 sono stati randomizzati a Cardura XL.
In entrambi gli studi sono stati arruolati gli uomini di età compresa tra 50 e 80 anni con iperplasia prostatica benigna sintomatica (BPH). La BPH sintomatica è stata definita come un punteggio totale di almeno 12 punti sul punteggio dei sintomi della prostata internazionale a 35 punti (IPSS) e una portata urinaria massima di ≤ 15 ml/sec ma non meno di 5 ml/sec (volume vuoto totale ≥ 150 ml). In questi due studi condotti in un totale di 1475 pazienti l'età media era di 64 anni (intervallo 47-83 anni). I pazienti erano caucasici (96%) neri (NULL,5%) asiatici (NULL,5%) e di altra etnia (1%).
In entrambi gli studi il dosaggio di Cardura XL è stato avviato dopo un periodo di corsa placebo di 2 settimane a 4 mg al giorno che aumentava a 8 mg al giorno dopo 7 settimane di trattamento se non è stata osservata una risposta adeguata (definita come un aumento della portata urinaria massima di almeno 3 ml/sec e una riduzione di IPS totali di almeno il 30% dalla linea basale) non è stato osservato. La doxazosina IR è stata titolata da una dose iniziale di 1 mg al giorno a 2 mg al giorno dopo 1 settimana con l'opzione di aumentare a 4 mg al giorno dopo 3 settimane e quindi a un massimo di 8 mg al giorno dopo 7 settimane se non è stata osservata una risposta adeguata. La dose giornaliera finale di Cardura XL era di 4 mg nel 43% dei pazienti e 8 mg nel 57% dei pazienti. La dose giornaliera finale di doxazosina IR era di 1 mg in 1% 2 mg in 12% 4 mg nel 30% e 8 mg nel 57% dei pazienti.
Vi sono state due variabili di efficacia primaria in ciascuno di questi due studi clinici controllati: il punteggio totale dei sintomi della prostata internazionale (IPSS) e la portata urinaria di picco (Q max). L'IPSS è costituito da sette domande che valutano la gravità dei sintomi irritativi (urgenza di frequenza) sia ostruttivi (svuotamento incompleto che si arresta e iniziano il flusso debole e la spinta o lo sforzo) con possibili punteggi totali che vanno da 0 a 35. Il Q Max è stato misurato in entrambi gli studi appena prima della dose successiva. I risultati per il punteggio dei sintomi totali sono riportati nella Tabella 3 e per la portata urinaria massima nella Tabella 4.
Tabella 3: punteggio del sintomo della prostata internazionale (IPSS)*
| N | Basale media (± SD) | Modifica media (± SE) † | |
| Studio 1 | |||
| Placebo | 151 | 17,9 ± 4,3 | -6,1 ± 0,41 |
| Cardura XL | 310 | 17,7 ± 4,3 | -8,0 ± 0,30 ‡ |
| Doxazosin ir | 311 | 17,8 ± 4,5 | -8,4 ± 0,29 ‡ |
| Studio 2 | |||
| Cardura XL | 330 | 18,4 ± 5,0 | -8,1 ± 0,30 |
| Doxazosin ir | 313 | 18,4 ± 4,8 | -7,9 ± 0,31 |
| * Derivato dal questionario IPSS (intervallo 0-35) † Cambia media dalla linea di base alla settimana 13 ‡ Differenza statisticamente significativa (P <0.001) vs. placebo |
Tabella 4: portata massima (ml/sec)
| N | Basale media (± SD) | Cambiamento medio (± SE)* | |
| Studio 1 | |||
| Placebo | 151 | 9,8 ± 2,6 | 0,8 ± 0,32 |
| Cardura XL | 300 | 10,3 ± 2,6 | 2,6 ± 0,24 † |
| Doxazosin ir | 303 | 10,1 ± 2,7 | 2,2 ± 0,23 † |
| Studio 2 | |||
| Cardura XL | 322 | 10,5 ± 2,6 | 2,7 ± 0,27 |
| Doxazosin ir | 314 | 10,6 ± 2,6 | 2,7 ± 0,27 |
| * Modifica media dal basale alla settimana 13 † Differenza statisticamente significativa (P <0.001) vs. placebo |
Le variazioni medie nei punteggi IPSS per Cardura XL e Placebo nello Studio 1 sono riassunti nella Figura 2.
Figura 2: IPSS totale medio (± SE) per settimana nello studio 1
|
Le variazioni medie della portata urinaria massima (Q max) sia per Cardura XL che per il placebo nello studio 1 sono riassunte nella Figura 3.
Figura 3: portata massima urinaria massima (ml/sec) (± SE) per settimana nello studio 1
|
Informazioni sul paziente per Cardura XL
Cardura® XL
(Kar-Dur-Eks EL)
(doxazosina mesilato) compresse di rilascio esteso
Leggi questo opuscolo delle informazioni sul paziente prima di iniziare a prendere Cardura XL e ogni volta che ottieni una ricarica. Potrebbero esserci nuove informazioni. Queste informazioni non prendono il posto di parlare con il proprio operatore sanitario sulla tua condizione medica o il trattamento.
Cos'è Cardura XL?
Cardura XL is a prescription medicine called an alpha-blocker. Cardura XL is used to treat the symptoms of benign prostatic hyperplasia (BPH). Cardura XL may help to relax the muscles in the prostate and the bladder which may lessen the symptoms of BPH and improve urine flow.
Prima di prescrivere Cardura XL, il fornitore di assistenza sanitaria può esaminare la ghiandola prostatica e fare un esame del sangue chiamato test antigene specifico per prostate (PSA) per verificare la verifica del cancro alla prostata. Il cancro alla prostata e l'IPB possono causare gli stessi sintomi. Il cancro alla prostata ha bisogno di un trattamento diverso.
Alcuni medicinali chiamati alfa-bloccanti sono usati per trattare la pressione alta. Cardura XL non è per il trattamento della pressione alta.
Non è noto se Cardura XL è sicuro ed efficace nei bambini.
Chi non dovrebbe prendere Cardura XL?
Non prendere Cardura XL se tu sono allergici al doxazosina altri farmaci chiamati chinazoloni o uno qualsiasi degli ingredienti di Cardura XL. Vedi la fine di questo opuscolo per un elenco completo di ingredienti in Cardura XL.
Cosa dovrei dire al mio medico prima di prendere Cardura XL?
Prima di prendere Cardura XL dillo al tuo medico se tu:
- avere o avere una bassa pressione sanguigna soprattutto dopo aver preso un altro medicinale. I segni di bassa pressione sanguigna stanno svenendo vertigini e vertigini.
- Pianifica di sottoporsi a un intervento chirurgico di cataratta
- avere problemi di stomaco
- avere il cancro alla prostata
- avere problemi epatici
- avere problemi cardiaci
Di 'al tuo operatore sanitario di tutte le medicine che prendi compresi i medicinali di prescrizione e non prescrizione vitamine e integratori a base di erbe.
In che modo la crema permetrina uccide la scabbia
Cardura XL may affect the way other medicines work and other medicines may affect how Cardura XL works.
Soprattutto dì al tuo operatore sanitario se prendi:
- una medicina per curare un'infezione
- un medicinale per curare l'HIV
- una medicina per curare la depressione
- Una medicina per curare la disfunzione erettile (ED)
Chiedi al tuo operatore sanitario o al farmacista se non sei sicuro che il tuo medicinale sia uno di quelli sopra elencati.
Conosci le medicine che prendi. Tienilo un elenco per mostrare il tuo medico e il tuo farmacista quando ottieni un nuovo medicinale.
Come dovrei prendere Cardura XL?
- Prendi Cardura XL esattamente come il tuo operatore sanitario ti dice di prenderlo.
- Prendi Cardura XL 1 ora ogni giorno con la colazione.
- Prendi i tablet Cardura XL interi. Non farlo Masticare dividi tablet Cut o Crush Cardura XL prima di deglutire. Se non è possibile deglutire i tablet Cardura XL interi, racconta il tuo fornitore di assistenza sanitaria. Potresti aver bisogno di una medicina diversa.
- Cardura XL tablets have an outside shell that helps to release the medicine inside over time. You may see the empty Cardura XL tablet in your stool (bowel movement). This is normal.
- Se prendi troppi Cardura XL, chiama subito il tuo operatore sanitario o vai al pronto soccorso dell'ospedale più vicino.
Cosa dovrei evitare mentre prendi Cardura XL?
Non farlo drive operate machinery or do other dangerous activities until you know how Cardura XL affects you. Cardura XL can cause vertigini debolezza or svenimento.
Quali sono i possibili effetti collaterali di Cardura XL?
Cardura XL may cause serious side effects including:
- Un calo improvviso della pressione sanguigna (ipotensione posturale). L'ipotensione posturale può avvenire in qualsiasi momento mentre prendi Cardura XL. La possibilità di avere ipotensione posturale è più alta poche ore dopo aver preso Cardura XL o se inizi a assumere una dose più elevata.
I sintomi dell'ipotensione posturale possono accade dopo che ti sei alzato da una posizione di mentire o seduta e può includere:
- vertigini or
- svenimento or
- Sentirsi leggero
Dovresti alzarti lentamente da una sedia o da letto fino a quando non sai come ti influenzerà Cardura XL. Se inizi a sentirti vertigini o acceso, siedi o sdraiati con le gambe e i piedi in su. Se i tuoi sintomi non migliorano meglio, chiamare il tuo medico.
- Sindrome Iris intraoperatoria floppy (IFIS). L'IFIS può accadere durante la chirurgia oculare alle persone che stanno assumendo o hanno preso alfa-bloccanti come Cardura XL. Se hai un intervento chirurgico agli occhi per un annebbiamento dell'occhio (cataratta) prevista per il tuo oculista che stai usando Cardura XL o hai preso un bloccante alfa prima.
- Blocco del tratto digestivo. Ci sono stati rari segnalazioni di sintomi di blocco nel tratto digestivo nei pazienti con precedente storia di restringimento o blocco del tratto digestivo. Questi sintomi sono dolore addominale grave e persistente/crampi/gonfiore. Se sai di avere un restringimento del tuo tratto digestivo e si verificano questi sintomi contatta il tuo operatore sanitario.
- Erezione prolungata del pene. Estremamente raramente Cardura XL e farmaci simili hanno causato un'erezione dolorosa del pene sostenuto per ore e inarrestata da rapporti sessuali o masturbazione. Questa condizione è grave e se non trattata può essere seguita dall'incapacità permanente di avere un'erezione. Se hai un'erezione anormale prolungata, chiama il medico o vai in un pronto soccorso il prima possibile.
Gli effetti collaterali più comuni di Cardura XL includono:
- stanchezza
- mal di testa
- bassa pressione sanguigna
- vertigini
Chiama il tuo operatore sanitario se ricevi qualche effetto collaterale che ti disturba o che non scompare.
Questi non sono tutti i possibili effetti collaterali di Cardura XL. Per ulteriori informazioni chiedi al proprio medico o farmacista. Chiama il medico per consigli medici sugli effetti collaterali. È possibile segnalare gli effetti collaterali alla FDA al numero 1-800-FDA-1088.
Come dovrei archiviare Cardura XL?
- Conservare Cardura XL da 59 ° F a 86 ° F (da 15 ° C a 30 ° C).
Mantieni Cardura XL e tutti i medicinali fuori dalla portata dei bambini.
Informazioni generali sull'uso sicuro ed efficace di Cardura XL.
Le medicine sono talvolta prescritte a fini diversi da quelli elencati in un volantino delle informazioni del paziente. Non utilizzare Cardura XL per una condizione per la quale non è stata prescritta. Non dare Cardura XL ad altre persone anche se hanno gli stessi sintomi che hai. Potrebbe danneggiare loro.
Questo opuscolo di informazioni sul paziente riassume le informazioni più importanti su Cardura XL. Se desideri più informazioni, parla con il tuo medico. Puoi chiedere al tuo operatore sanitario o al farmacista informazioni su Cardura XL scritta per gli operatori sanitari.
Per ulteriori informazioni, chiamare il numero 1-800-438-1985.
Quali sono gli ingredienti di Cardura XL?
Ingrediente attivo: doxazosina mesilato
Ingredienti inattivi: ossido di polietilene cloruro di sodio ipromellosio ossido rosso ossido di biossido di magnesio stearato acetato di cellulosa macrogol® glassa farmaceutica e ossido di ferro nero.