Le Informazioni Presenti Sul Sito Non Costituiscono Consulenza Medica. Non Vendiamo Nulla. L'Accuratezza Della Traduzione Non È Garantita. Disclaimer
Inibitori dell'acetilcolinesterasi, centrali
ARICEPT
Riepilogo della droga
Cos'è ARICEPT?
L'aricept (donepezil cloridrato) è un inibitore della colinesterasi che riduce o previene la rottura dell'acetilcolina nel tessuto cerebrale. ARicipt è usato per trattare da lieve a moderato demenza come quello trovato nei pazienti con malattia di Alzheimer. ARICEPT non è una cura; Riduce i sintomi. ARICEPT è disponibile come generico .
Quali sono gli effetti collaterali di Aricept?
Aricept può causare gravi effetti collaterali tra cui:
- battiti cardiaci lenti
- Accendino
- dolori di stomaco nuovo o peggioramento
- bruciore di stomaco
- nausea
- vomito
- Convulsioni (convulsioni)
- minzione dolorosa o difficile
- Problemi di respirazione nuovi o peggiori
- sgabelli sanguinanti o invariati e
- tossire sangue o vomito che assomiglia a fondi di caffè
Ottieni subito assistenza medica se hai uno qualsiasi dei sintomi sopra elencati.
Gli effetti collaterali comuni di aricept includono
- Sentirsi male (malessere)
- Perdita di appetito
- perdita di peso
- Problemi di sonno (insonnia)
- Crampi muscolari
- stanchezza
- sonnolenza
- vertigini
- debolezza
- Filaggine (tremore)
- Pruda la pelle
- nausea
- vomito or
- diarrea.
Dì al tuo medico se si verificano gravi effetti collaterali di Aricept, incluso convulsioni dolorose con crisi toraciche e sintomi gastrointestinali di sgabelli induriti o sanguinanti e vomito sangue o materiale che ricorda i fondi di caffè.
Cerca cure mediche o chiama il 911 contemporaneamente se hai i seguenti gravi effetti collaterali:
Perché Percocet mi fa star male
- Sintomi di occhiali gravi come la perdita di visione improvvisa del tunnel della visione sfocata Dolore alla visione o gonfiore o vedere aloni attorno alle luci;
- Sintomi cardiaci gravi come battiti cardiaci irregolari o martellanti veloci; svolazzando nel petto; fiato corto; e improvviso vertigini giuria o svenuta;
- Grave mal di testa confusione Il braccio del linguaggio bloccato o la debolezza delle gambe problemi perdite perdita di coordinamento sentendoti instabili muscoli molto rigidi ad alta febbre abbondante sudorazione o tremori.
Questo documento non contiene tutti i possibili effetti collaterali e altri possono verificarsi. Verificare con il tuo medico ulteriori informazioni sugli effetti collaterali.
Dosaggio per ARicipt
ARICEPT (Donepezil cloridrato) è disponibile per la somministrazione orale in compresse rivestite di film in dosi di 5 10 o 23 mg di donepezil cloridrato.
Quali sostanze o integratori di farmaci interagiscono con ARicipt?
ARICEPT può interagire con molti farmaci; Dì al medico se hai una storia di problemi di respirazione delle malattie cardiache svenimento convulsioni malattie GI o problemi urinari perché potrebbero peggiorare con questo farmaco.
ARICEPT durante la gravidanza e l'allattamento
ARICEPT non è raccomandato per l'uso in donne in gravidanza o in allattamento. La sicurezza e l'efficacia dell'Aricept non sono state studiate nella popolazione pediatrica.
Ulteriori informazioni
Il nostro Centro farmacologico per effetti collaterali ARICEPT fornisce una visione completa delle informazioni disponibili sui farmaci sui potenziali effetti collaterali quando si assume questo farmaco.
Informazioni sui farmaci FDA
- Descrizione del farmaco
- Indicazioni
- Effetti collaterali
- Avvertimenti
- Overdose
- Farmacologia clinica
- Guida ai farmaci
Descrizione per ARICEPT
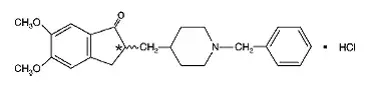
L'aricept (donepezil cloridrato) è un inibitore reversibile dell'enzima acetilcolinesterasi noto chimicamente come (±) -2 3-diidro-5 6-dimetossy-2-[[1- (fenilmetil) -4-piperidinil] metil] -1-inden-1-uno idrochloride. Donepezil cloridrato è comunemente indicato nella letteratura farmacologica come E2020. Ha una formula empirica di C 24 H 29 NO 3 HCl e un peso molecolare di 415,96. Donepezil cloridrato è una polvere cristallina bianca ed è liberamente solubile in cloroformio solubile in acqua e in acido acetico glaciale leggermente solubile in etanolo e in acetonitrile e praticamente insolubile in etil acetato e in n-esano.
|
ARICEPT è disponibile per la somministrazione orale in compresse rivestite di film contenenti 5 10 o 23 mg di donepezil cloridrato.
Gli ingredienti inattivi in compresse da 5 mg e 10 mg sono il lattosio monoidosato all'amido di mais microcristallino cellulosa idrossipropil cellulosa e magnesio stearato. Il rivestimento cinematografico contiene talco polietilenglicole hypromellosio e biossido di titanio. Inoltre, la compressa da 10 mg contiene ossido di ferro giallo (sintetico) come agente da colorare.
Gli ingredienti inattivi in compresse da 23 mg comprendono l'etilcellulosio idrossipropilcellulosio lattosio monoidrato monoidrato magnesio stearato e copolimero di acido metacrilico tipo C. Il rivestimento del film include l'ipromellosio di ossido ferrico 2910 polietilenglicole 8000 talco e dioossido di titanio.
Le compresse ODT ARICEPT sono disponibili per la somministrazione orale. Ogni compressa ARICEPT ODT contiene 5 o 10 mg di donepezil cloridrato. Gli ingredienti inattivi sono biossido di silicio colloidale di mannitolo carragenano e alcool polivinilico. Inoltre, la compressa da 10 mg contiene ossido ferrico (giallo) come agente da colorare.
Usi per ARicipt
ARICEPT è indicato per il trattamento della demenza del tipo di Alzheimer. L'efficacia è stata dimostrata in pazienti con lieve malattia di Alzheimer moderata e grave.
Dosaggio per ARicipt
Dosarsi in una malattia da lieve a moderata dell'Alzheimer
Il dosaggio iniziale raccomandato di ARicipt è somministrato 5 mg una volta al giorno la sera appena prima del ritiro. Il dosaggio massimo raccomandato di Aricept in pazienti con malattia da lieve a moderata di Alzheimer è di 10 mg al giorno. Una dose di 10 mg non deve essere somministrata fino a quando i pazienti non hanno avuto una dose giornaliera di 5 mg per 4-6 settimane.
Dosarsi in una malattia di Alzheimer da moderata a grave
Il dosaggio iniziale raccomandato di ARicipt è somministrato 5 mg una volta al giorno la sera appena prima del ritiro. Il dosaggio massimo raccomandato di Aricept nei pazienti con malattia di Alzheimer da moderata a grave è di 23 mg al giorno. Una dose di 10 mg non deve essere somministrata fino a quando i pazienti non hanno avuto una dose giornaliera di 5 mg per 4-6 settimane. Una dose di 23 mg al giorno non deve essere somministrata fino a quando i pazienti non hanno avuto una dose giornaliera di 10 mg per almeno 3 mesi.
Informazioni sull'amministrazione
ARICEPT dovrebbe essere preso la sera appena prima di ritirarsi. ARicipt può essere preso con o senza cibo.
La compressa ARICEPT 23 mg non deve essere divisa schiacciata o masticata.
Consenti a ARICEPT ODT di dissolversi sulla lingua e seguire con acqua.
Come fornito
Forme di dosaggio e punti di forza
L'aricept viene fornito come compresse rotonde rivestite con film contenenti 5 mg 10 mg o 23 mg di donepezil cloridrato.
- Le compresse da 5 mg sono bianche. La forza in MG (5) viene debossa da una parte e ARICEPT viene debossato dall'altra parte.
- Le compresse da 10 mg sono gialle. La forza in MG (10) viene debossa da una parte e ARICEPT viene debossato dall'altra parte.
- Le compresse da 23 mg sono rossastre. La forza in MG (23) è debossa da una parte e ARICEPT viene debossato dall'altra parte.
ARICEPT ODT viene fornito come compresse rotonde contenenti 5 mg o 10 mg di donepezil cloridrato.
- Le compresse da 5 mg di disintegrazione per via orale sono bianche. La forza in MG (5) viene debossa da una parte e ARICEPT viene debossato dall'altra parte.
- Le compresse da 10 mg di disintegrazione per via orale sono gialle. La forza in MG (10) viene debossa da una parte e ARICEPT viene debossato dall'altra parte.
Archiviazione e maneggevolezza
Compresse di aricept
Fornito come compresse rotonde rivestite di film contenenti 5 mg 10 mg o 23 mg di donepezil cloridrato.
IL 5 mg Le compresse sono bianche. La forza in MG (5) viene debossa da una parte e ARICEPT viene debossato dall'altra parte.
Bottiglie di 30 ( Ndc
Bottiglie di 90 ( Ndc
Pacchetto blister dose unitario 100 (10 x 10) ( Ndc
IL 10 mg Le compresse sono gialle. La forza in MG (10) viene debossa da una parte e ARICEPT viene debossato dall'altra parte.
Bottiglie di 30 ( Ndc
Bottiglie di 90 ( Ndc
Pacchetto blister dose unitario 100 (10 x 10) ( Ndc
IL 23 mg Le compresse sono di colore rossastro. La forza in MG (23) è debossa da una parte e ARICEPT viene debossato dall'altra parte.
Bottiglie di 30 ( Ndc
ARICEPT ODT
Forniti come compresse rotonde contenenti 5 mg o 10 mg di donepezil cloridrato.
IL 5 mg Le compresse di disintegrazione per via orale sono bianche. La forza in MG (5) viene debossa da una parte e ARICEPT viene debossato dall'altra parte.
5 mg (White) Unit Dose Blister Package 30 (10 x 3) ( Ndc
IL 10 mg Le compresse di disintegrazione per via orale sono gialle. La forza in MG (10) viene debossa da una parte e ARICEPT viene debossato dall'altra parte.
10 mg (Yellow) Unit Dose Blister Package 30 (10 x 3) ( Ndc
Magazzinaggio
Conservare a temperatura ambiente controllata da 15 ° C a 30 ° C (da 59 ° F a 86 ° F).
Distribuito da Eisai Inc. Nutley NJ 07110. Revisionato: dicembre 2021
Effetti collaterali per ARICEPT
IL following serious adverse reactions are described below and elsewhere in the labeling:
- Condizioni cardiovascolari [vedi Avvertimenti e precauzioni ]
- Nausea e vomito [vedi Avvertimenti e precauzioni ]
- Patologie dell'ulcera peptica e sanguinamento gastrointestinale [vedi Avvertimenti e precauzioni ]
- Perdita di peso [vedi Avvertimenti e precauzioni ]
- Condizioni genitourinarie [vedi Avvertimenti e precauzioni ]
- Condizioni neurologiche: convulsioni [vedi Avvertimenti e precauzioni ]
- Condizioni polmonari [vedi Avvertimenti e precauzioni ]
Esperienza di studi clinici
Poiché gli studi clinici sono condotti in condizioni di reazione avverse ampiamente variabili osservate negli studi clinici di un farmaco non possono essere paragonati direttamente ai tassi negli studi clinici di un altro farmaco e potrebbero non riflettere i tassi osservati nella pratica.
ARICEPT è stato somministrato a oltre 1700 individui durante gli studi clinici in tutto il mondo. Circa 1200 di questi pazienti sono stati trattati per almeno 3 mesi e più di 1000 pazienti sono stati trattati per almeno 6 mesi. Studi controllati e non controllati negli Stati Uniti includevano circa 900 pazienti. Per quanto riguarda la dose più alta di 10 mg/giorno di questa popolazione comprende 650 pazienti trattati per 3 mesi 475 pazienti trattati per 6 mesi e 116 pazienti trattati per oltre 1 anno. La gamma di esposizione ai pazienti è compresa tra 1 e 1214 giorni.
Malattia di Alzheimer da lieve a moderata
Reazioni avverse che portano alla sospensione
IL rates of discontinuation from controlled clinical trials of ARICEPT due to adverse reactions for the ARICEPT 5 mg/day treatment groups were comparable to those of placebo treatment groups at approximately 5%. IL rate of discontinuation of patients who received 7-day escalations from 5 mg/day to 10 mg/day was higher at 13%.
IL most common adverse reactions leading to discontinuation defined as those occurring in at least 2% of patients and at twice or more the incidence seen in placebo patients are shown in Table 1.
Tabella 1: reazioni avverse più comuni che portano alla sospensione nei pazienti con malattia di Alzheimer da lieve a moderata
| Reazione avversa | Placebo (n = 355) % | 5 mg/day ARICEPT (n = 350) % | 10 mg/day ARICEPT (n = 315) % |
| Nausea | 1 | 1 | 3 |
| Diarrea | 0 | <1 | 3 |
| Vomito | <1 | <1 | 2 |
Reazioni avverse più comuni
IL most common adverse reactions defined as those occurring at a frequency of at least 5% in patients receiving 10 mg/day and twice the placebo rate are largely predicted by ARICEPT's cholinomimetic effects. ILse include nausea diarrea insomnia vomito muscle cramp fatigue and anorexia. ILse adverse reactions were often transient resolving during continued ARICEPT treatment without the need for dose modification.
ILre is evidence to suggest that the frequency of these common adverse reactions may be affected by the rate of titration. An open-label study was conducted with 269 patients who received placebo in the 15- and 30-week studies. ILse patients were titrated to a dose of 10 mg/day over a 6-week period. IL rates of common adverse reactions were lower than those seen in patients titrated to 10 mg/day over one week in the controlled clinical trials and were comparable to those seen in patients on 5 mg/day.
Vedere la Tabella 2 per un confronto delle reazioni avverse più comuni in seguito ai regimi di titolazione di una e sei settimane.
Tabella 2: confronto dei tassi di reazioni avverse in pazienti da lievi a moderati titolati a 10 mg/giorno in 1 e 6 settimane
| Reazione avversa | Nessuna titolazione | Titolazione di una settimana | Titolazione di sei settimane | |
| Placebo (n = 315) % | 5 mg/day (n = 311) % | 10 mg/day (n = 315) % | 10 mg/day (n = 269) % | |
| Nausea | 6 | 5 | 19 | 6 |
| Diarrea | 5 | 8 | 15 | 9 |
| Insonnia | 6 | 6 | 14 | 6 |
| Fatica | 3 | 4 | 8 | 3 |
| Vomito | 3 | 3 | 8 | 5 |
| Crampi muscolari | 2 | 6 | 8 | 3 |
| Anoressia | 2 | 3 | 7 | 3 |
La tabella 3 elenca le reazioni avverse che si sono verificate in almeno il 2% dei pazienti in studi raggruppati controllati con placebo che hanno ricevuto ARICEPT 5 mg o 10 mg e per i quali il tasso di occorrenza era maggiore per i pazienti trattati con ARICEPT che con il placebo. In generale le reazioni avverse si sono verificate più frequentemente nelle pazienti e con l'avanzare dell'età.
Tabella 3: reazioni avverse negli studi clinici controllati con placebo raggruppati nella malattia di Alzheimer da lieve a moderata
| Reazione avversa | Placebo (n = 355)% | ARICEPT (n = 747)% |
| Percentuale dei pazienti con qualsiasi reazione avversa | 72 | 74 |
| Nausea | 6 | 11 |
| Diarrea | 5 | 10 |
| Mal di testa | 9 | 10 |
| Insonnia | 6 | 9 |
| Dolore varie posizioni | 8 | 9 |
| Vertigini | 6 | 8 |
| Incidente | 6 | 7 |
| Crampi muscolari | 2 | 6 |
| Fatica | 3 | 5 |
| Vomito | 3 | 5 |
| Anoressia | 2 | 4 |
| Ecchimosi | 3 | 4 |
| Sogni anormali | 0 | 3 |
| Depressione | <1 | 3 |
| Perdita di peso | 1 | 3 |
| Artrite | 1 | 2 |
| Minzione frequente | 1 | 2 |
| Sonnolenza | <1 | 2 |
| Sincope | 1 | 2 |
Malattia di Alzheimer grave (aricept 5 mg/die e 10 mg/giorno)
ARICEPT has been administered to over 600 patients with severe Alzheimer's disease during clinical trials of at least 6 months duration including three double-blind placebo-controlled trials two of which had an open label extension.
Reazioni avverse che portano alla sospensione
IL rates of discontinuation from controlled clinical trials of ARICEPT due to adverse reactions for the ARICEPT patients were approximately 12% compared to 7% for placebo patients. IL most common adverse reactions leading to discontinuation defined as those occurring in at least 2% of ARICEPT patients and at twice or more the incidence seen in placebo were anorexia (2% vs. 1% placebo) nausea (2% vs. <1% placebo) diarrea (2% vs. 0% placebo) and urinary tract infection (2% vs. 1% placebo).
Reazioni avverse più comuni
IL most common adverse reactions defined as those occurring at a frequency of at least 5% in patients receiving ARICEPT and at twice or more the placebo rate are largely predicted by ARICEPT's cholinomimetic effects. ILse include diarrea anorexia vomito nausea and ecchymosis. ILse adverse reactions were often transient resolving during continued ARICEPT treatment without the need for dose modification. Table 4 lists adverse reactions that occurred in at least 2% of patients in pooled placebo-controlled trials who received ARICEPT 5 mg or 10 mg and for which the rate of occurrence was greater for patients treated with ARICEPT than with placebo.
Tabella 4: reazioni avverse negli studi clinici controllati raggruppati nella malattia di Alzheimer grave
| Sistema corporeo/reazione avversa | Placebo (n = 392) % | ARICEPT (n = 501) % |
| Percentuale dei pazienti con qualsiasi reazione avversa | 73 | 81 |
| Incidente | 12 | 13 |
| Infezione | 9 | 11 |
| Diarrea | 4 | 10 |
| Anoressia | 4 | 8 |
| Vomito | 4 | 8 |
| Nausea | 2 | 6 |
| Insonnia | 4 | 5 |
| Ecchimosi | 2 | 5 |
| Mal di testa | 3 | 4 |
| Ipertensione | 2 | 3 |
| Dolore | 2 | 3 |
| Mal di schiena | 2 | 3 |
| Eczema | 2 | 3 |
| Allucinazioni | 1 | 3 |
| Ostilità | 2 | 3 |
| Aumento della creatina fosfocinasi | 1 | 3 |
| Nervosismo | 2 | 3 |
| Febbre | 1 | 2 |
| Dolore al petto | <1 | 2 |
| Confusione | 1 | 2 |
| Disidratazione | 1 | 2 |
| Depressione | 1 | 2 |
| Vertigini | 1 | 2 |
| Labilità emotiva | 1 | 2 |
| Emorragia | 1 | 2 |
| Iperlipemia | <1 | 2 |
| Disturbo della personalità | 1 | 2 |
| Sonnolenza | 1 | 2 |
| Sincope | 1 | 2 |
| Incontinenza urinaria | 1 | 2 |
Malattia di Alzheimer da moderata a grave (ARICEPT 23 mg/giorno)
ARICEPT 23 mg/day has been administered to over 1300 individuals globally in clinical trials. Approximately 1050 of these patients have been treated for at least three months and more than 950 patients have been treated for at least six months. IL range of patient exposure was from 1 to over 500 days.
Reazioni avverse che portano alla sospensione
IL rate of discontinuation from a controlled clinical trial of ARICEPT 23 mg/day due to adverse reactions was higher (19%) than for the 10 mg/day treatment group (8%). IL most common adverse reactions leading to discontinuation defined as those occurring in at least 1% of patients and greater than those occurring with 10 mg/day are shown in Table 5.
Tabella 5: reazioni avverse più comuni che portano alla sospensione nei pazienti con malattia di Alzheimer da moderata a grave
| Reazione avversa | 23 mg/day ARICEPT (n = 963)% | 10 mg/day ARICEPT (n = 471)% |
| Vomito | 3 | 0 |
| Diarrea | 2 | 0 |
| Nausea | 2 | 0 |
| Vertigini | 1 | 0 |
IL majority of discontinuations due to adverse reactions in the 23 mg group occurred during the first month of treatment.
Reazioni avverse più comuni With ARICEPT 23 mg/day
IL most common adverse reactions defined as those occurring at a frequency of at least 5% include nausea diarrea vomito and anorexia.
La tabella 6 elenca le reazioni avverse che si sono verificate in almeno il 2% dei pazienti che hanno ricevuto 23 mg/giorno di ARicipt e ad una frequenza più elevata rispetto a quelle che hanno ricevuto 10 mg/giorno di ARicipt in uno studio clinico controllato che ha confrontato le due dosi. In questo studio non ci sono state differenze importanti nel tipo di reazioni avverse nei pazienti che assumono ARicipt con o senza memantina.
Tabella 6: reazioni avverse in una sperimentazione clinica controllata nella malattia di Alzheimer da moderata a grave
| Reazione avversa | 23 mg/day ARICEPT (n = 963)% | 10 mg/day ARICEPT (n = 471)% |
| Percentuale dei pazienti con qualsiasi reazione avversa | 74 | 64 |
| Nausea | 12 | 3 |
| Vomito | 9 | 3 |
| Diarrea | 8 | 5 |
| Anoressia | 5 | 2 |
| Vertigini | 5 | 3 |
| Perdita di peso | 5 | 3 |
| Mal di testa | 4 | 3 |
| Insonnia | 3 | 2 |
| Incontinenza urinaria | 3 | 1 |
| Astenia | 2 | 1 |
| Contusione | 2 | 0 |
| Fatica | 2 | 1 |
| Sonnolenza | 2 | 1 |
Esperienza post -marketing
IL following adverse reactions have been identified during post-approval use of ARICEPT. Because these reactions are reported voluntarily from a population of uncertain size it is not always possible to reliably estimate their frequency or establish a causal relationship to drug exposure.
Agitazione del dolore addominale aggressione di aggressione della colecistite Convulsioni di confusione allucinazioni cardiaco (tutti i tipi) anemia emolitica epatite iponatriemia sindrome neurolettica Sindrome da pancreatite eruzione cutanea rabdomiolisi del prolungamento QTC e torsade de pointes.
Interazioni farmacologiche per ARICEPT
Utilizzare con anticolinergici
A causa del loro meccanismo d'azione, gli inibitori della colinesterasi hanno il potenziale per interferire con l'attività dei farmaci anticolinergici.
Utilizzare con colinomimetici e altri inibitori della colinesterasi
Si può prevedere un effetto sinergico quando gli inibitori della colinesterasi vengono somministrati contemporaneamente con agenti bloccanti neuromuscolari simili succinilcolina o agonisti colinergici come Betanecol.
Avvertimenti per ARICEPT
Incluso come parte del PRECAUZIONI sezione.
Precauzioni per ARicipt
Anestesia
ARICEPT as a cholinesterase inhibitor is likely to exaggerate succinylcholine-type muscle relaxation during anesthesia.
Condizioni cardiovascolari
A causa della loro azione farmacologica, gli inibitori della colinesterasi possono avere effetti vagotonici sui nodi sinoatriali e atrioventricolari. Questo effetto può manifestarsi come bradicardia o blocco cardiaco in pazienti sia con e senza anomalie di conduzione cardiaca sottostante. Episodi sincopi sono stati riportati in associazione con l'uso di ARICEPT.
Nausea And Vomito
ARICEPT as a predictable consequence of its pharmacological properties has been shown to produce diarrea nausea and vomito. ILse effects when they occur appear more frequently with the 10 mg/day dose than with the 5 mg/day dose and more frequently with the 23 mg dose than with the 10 mg dose. Specifically in a controlled trial that compared a dose of 23 mg/day to 10 mg/day in patients who had been treated with donepezil 10 mg/day for at least three months the incidence of nausea in the 23 mg group was markedly greater than in the patients who continued on 10 mg/day (11.8% vs. 3.4% respectively) and the incidence of vomito in the 23 mg group was markedly greater than in the 10 mg group (9.2% vs. 2.5% respectively). IL percent of patients who discontinued treatment due to vomito in the 23 mg group was markedly higher than in the 10 mg group (2.9% vs. 0.4% respectively).
Sebbene nella maggior parte dei casi questi effetti siano stati transitori a volte della durata di una o tre settimane e si sono risolti durante l'uso continuo dei pazienti con Aricept, dovrebbe essere osservato da vicino all'inizio del trattamento e dopo aumenti della dose.
Patologie dell'ulcera peptica e sanguinamento gastrointestinale
Attraverso la loro azione primaria, gli inibitori della colinesterasi possono aumentare la secrezione di acido gastrico a causa dell'aumento dell'attività colinergica. Pertanto, i pazienti devono essere monitorati da vicino per i sintomi del sanguinamento gastrointestinale attivo o occulto, in particolare quelli ad aumentato rischio di sviluppare ulcere, ad es. quelli con una storia di ulcera o quelli che ricevono farmaci antinfiammatori non steroidei concomiti (FANS). Gli studi clinici di Aricept in una dose di 5 mg/die a 10 mg/die non hanno mostrato alcun aumento rispetto al placebo nell'incidenza di ulcera peptica o sanguinamento gastrointestinale. I risultati di uno studio clinico controllato con 23 mg/die hanno mostrato un aumento rispetto a 10 mg/die nell'incidenza della malattia dell'ulcera peptica (NULL,4% vs. 0,2%) e sanguinamento gastrointestinale da qualsiasi sito (NULL,1% vs. 0,6%).
Perdita di peso
La perdita di peso è stata riportata come reazione avversa nel 4,7% dei pazienti assegnati ad ARicipt in una dose di 23 mg/giorno rispetto al 2,5% dei pazienti assegnati a 10 mg/die. Rispetto ai pesi basali dell'8,4% dei pazienti che assumono 23 mg/die è stato riscontrato che ha una riduzione del peso di ≥ 7% entro la fine dello studio, mentre il 4,9% dei pazienti che assumeva 10 mg/giorno ha una perdita di peso di ≥ 7% alla fine dello studio.
Condizioni genito -urinarie
Sebbene non osservato negli studi clinici di aricept la colinomimetica può causare ostruzione del deflusso della vescica.
Condizioni neurologiche: convulsioni
Si ritiene che la colinomimetica abbia un certo potenziale per causare convulsioni generalizzate. Tuttavia, l'attività convulsiva può anche essere una manifestazione della malattia di Alzheimer.
Condizioni polmonari
A causa delle loro azioni colinomimetiche, gli inibitori della colinesterasi dovrebbero essere prescritti con cura per i pazienti con una storia di asma o malattia polmonare ostruttiva.
Informazioni sulla consulenza del paziente
Consiglia al paziente di leggere l'etichettatura del paziente approvato dalla FDA ( Informazioni sul paziente ).
Istruire i pazienti e gli operatori sanitari di prendere l'Aricept solo una volta al giorno come prescritto.
Istruire i pazienti e gli operatori sanitari che ARicipt può essere preso con o senza cibo. Le compresse di ARICEPT 23 mg devono essere inghiottite senza fine senza che le compresse vengano suddivise in frantumi o masticate. ARICEPT ODT non deve essere inghiottito per intero ma può essere permesso di dissolversi sulla lingua e seguito con acqua.
Consiglia ai pazienti e ai caregiver che l'Aricept può causare nausea diarrea insonnia che vomina i crampi muscolari e ridotto l'appetito.
Consiglia ai pazienti di avvisare il proprio operatore sanitario se sono in gravidanza o prevedono di rimanere incinta.
Tossicologia non clinica
Mutagenesi della carcinogenesi compromissione della fertilità
No evidence of carcinogenic potential was obtained in an 88-week carcinogenicity study of donepezil conducted in mice at oral doses up to 180 mg/kg/day (approximately 40 times the maximum recommended human dose [MRHD] of 23 mg/day on a mg/m2 basis) or in a 104-week carcinogenicity study in rats at oral doses up to 30 mg/kg/day (Circa 13 volte il MRHD su base mg/m2).
Donepezil era negativo in una batteria di saggi di genotossicità (mutazione inversa batterica in vitro nel linfoma di topo in vitro TK Aberrazione cromosomica in vitro e micronucleo del topo in vivo).
Donepezil non ha avuto alcun effetto sulla fertilità nei ratti a dosi orali fino a 10 mg/kg/die (circa 4 volte il MRHD su base mg/m2) quando somministrato a maschi e femmine prima e durante l'accoppiamento e il proseguimento nelle femmine attraverso l'impianto.
Utilizzare in popolazioni specifiche
Gravidanza
Riepilogo del rischio
ILre are no adequate data on the developmental risks associated with the use of ARICEPT in pregnant women. In animal studies developmental toxicity was not observed when donepezil was administered to pregnant rats and rabbits during organogenesis but administration to rats during the latter part of pregnancy and throughout lactation resulted in increased stillbirths and decreased offspring survival at clinically relevant doses [see Dati ]. Nella popolazione generale degli Stati Uniti i rischi di fondo stimati di importanti difetti alla nascita e aborti di aborto nelle gravidanze clinicamente riconosciute sono rispettivamente dal 2% al 4% e dal 15% al 20%. I rischi di fondo dei principali difetti alla nascita e gli aborti per la popolazione indicata sono sconosciuti.
Dati
Dati sugli animali
La somministrazione orale di donepezil a ratti e conigli incinti durante il periodo di organogenesi non ha prodotto effetti teratogeni a dosi fino a 16 mg/kg/giorno (circa 6 volte la dose umana massima raccomandata [MRHD] di 23 mg/giorno su base mg/m2) e 10 mg/giorno (circa 7 volte la MRHD su una MG/MG). La somministrazione orale di donepezil (1 3 10 mg/kg/giorno) ai ratti durante la gestazione tardiva e durante l'allattamento allo svezzamento ha prodotto un aumento delle nature -parto e una ridotta sopravvivenza della prole attraverso il giorno post -parto 4 alla massima dose. La dose senza effetto di 3 mg/kg/giorno è approssimativamente uguale al MRHD su base mg/m2.
Lattazione
Riepilogo del rischio
ILre are no data on the presence of donepezil or its metabolites in human milk the effects on the breastfed infant or on milk production.
IL developmental and health benefits of breastfeeding should be considered along with the mother’s clinical need for ARICEPT and any potential adverse effects on the breastfed infant from ARICEPT or from the underlying maternal condition.
Uso pediatrico
IL safety and effectiveness in pediatric patients have not been established.
Uso geriatrico
La malattia di Alzheimer è un disturbo che si verifica principalmente in individui di età superiore ai 55 anni. L'età media dei pazienti arruolati negli studi clinici con ARicipt era di 73 anni; L'80% di questi pazienti aveva tra 65 e 84 anni e il 49% dei pazienti era all'età di 75 anni. I dati di efficacia e sicurezza presentati nella sezione degli studi clinici sono stati ottenuti da questi pazienti. Non ci sono state differenze clinicamente significative nella maggior parte delle reazioni avverse riportate dai gruppi di pazienti ≥ 65 anni e <65 years old.
Individui a basso peso
Nello studio clinico controllato tra i pazienti nel gruppo di trattamento ARICEPT 23 mg quei pazienti pesavano <55 kg reported more nausea vomito and decreased weight than patients weighing 55 kg or more. ILre were more withdrawals due to adverse reactions as well. This finding may be related to higher plasma exposure associated with lower weight.
Informazioni per overdose per ARICEPT
Poiché le strategie per la gestione del sovradosaggio sono in continua evoluzione, è consigliabile contattare un centro di controllo del veleno per determinare le ultime raccomandazioni per la gestione di un sovradosaggio di qualsiasi farmaco.
Come in ogni caso, dovrebbero essere utilizzati misure di supporto generale di overdose. Il sovradosaggio con inibitori della colinesterasi può provocare una crisi colinergica caratterizzata da grave nausea che vomito la salivazione sudata della depressione respiratoria di ipotensione bradicardia e convulsioni. L'aumento della debolezza muscolare è una possibilità e può provocare la morte se sono coinvolti i muscoli respiratori. Gli anticolinergici terziari come l'atropina possono essere usati come antidoto per il sovradosaggio di ARICEPT. Si raccomanda l'atropina solfato endovenosa titolata all'effetto: una dose iniziale da 1,0 a 2,0 mg IV con dosi successive basate sulla risposta clinica. Le risposte atipiche nella pressione sanguigna e nella frequenza cardiaca sono state riportate con altri colinomimetici quando sono stati somministrati con anticolinergici quaternari come il glicopirrolato. Non è noto se ARICEPT e/o i suoi metaboliti possano essere rimossi dalla dialisi (dialisi peritoneale di emodialisi o emofiltrazione).
Segni di tossicità dose-correlati negli animali includevano ridotta posizione spontanea a soggetto a causa della lacrimazione dell'andatura di lacrimazione clonica convulsioni depresse la salivazione respirazione miosi trema fascicolazione e temperatura della superficie corporea inferiore.
Controindicazioni per ARicipt
ARICEPT is contraindicated in patients with known hypersensitivity to donepezil cloridrato or to piperidine derivatives.
Farmacologia clinica for Aricept
Meccanismo d'azione
Le attuali teorie sulla patogenesi dei segni cognitivi e dei sintomi della malattia di Alzheimer attribuiscono alcune di esse a una carenza di neurotrasmissione colinergica.
Donepezil cloridrato è postulato per esercitare il suo effetto terapeutico migliorando la funzione colinergica. Ciò si ottiene aumentando la concentrazione di acetilcolina attraverso l'inibizione reversibile della sua idrolisi da parte dell'acetilcolinesterasi. Non ci sono prove che Donepezil alchi il corso del processo di dementente sottostante.
Farmacocinetica
Farmacocinetica of donepezil are linear over a dose range of 1-10 mg given once daily. IL rate and extent of absorption of ARICEPT tablets are not influenced by food.
Sulla base dell'analisi farmacocinetica della popolazione delle concentrazioni plasmatiche di donepezil misurate in pazienti con malattia di Alzheimer a seguito di una concentrazione di picchi di picco di dosaggio orale. Le concentrazioni plasmatiche di picco erano circa 2 volte più alte per compresse di ARicipt 23 mg rispetto alle compresse di 10 mg di ARICEPT.
ARICEPT ODT 5 mg and 10 mg are bioequivalent to ARICEPT 5 mg and 10 mg tablets respectively. A food effect study has not been conducted with ARICEPT ODT; however the effect of food with ARICEPT ODT is expected to be minimal. ARICEPT ODT can be taken without regard to meals.
IL elimination half life of donepezil is about 70 hours and the mean apparent plasma clearance (Cl/F) is 0.13-0.19 L/hr/kg. Following multiple dose administration donepezil accumulates in plasma by 4-7 fold and steady state is reached within 15 days. IL steady state volume of distribution is 12-16 L/kg. Donepezil is approximately 96% bound to human plasma proteins mainly to albumins (about 75%) and alpha1 - acid glycoprotein (about 21%) over the concentration range of 2-1000 ng/mL.
Donepezil è sia escreto nell'urina che intatta e ampiamente metabolizzata in quattro principali metaboliti due dei quali sono noti per essere attivi e un certo numero di metaboliti minori non tutti identificati. Donepezil è metabolizzato dagli isoenzimi del CYP 450 2d6 e 3A4 e subisce glucuronidazione. Following administration of 14C-labeled donepezil plasma radioactivity expressed as a percent of the administered dose was present primarily as intact donepezil (53%) and as 6-O-desmethyl donepezil (11%) which has been reported to inhibit AChE to the same extent as donepezil in vitro and was found in plasma at concentrations equal to about 20% of donepezil. Circa il 57% e il 15% della radioattività totale sono stati recuperati rispettivamente nelle urine e nelle feci per un periodo di 10 giorni, mentre il 28% è rimasto non corretto con circa il 17% della dose di fatpezil recuperata nelle urine come farmaco invariato. L'esame dell'effetto del genotipo CYP2D6 nei pazienti di Alzheimer ha mostrato differenze nei valori di clearance tra i sottogruppi di genotipo CYP2D6. Rispetto ai vasi metabolizzatori, i poveri metabolizzatori avevano un spazio più lento del 31,5% e i metabolizzatori ultra-rapidi avevano un spazio più rapido del 24%.
Malattia epatica
In uno studio su 10 pazienti con cirrosi alcolica stabile, la clearance di Aricept è stata ridotta del 20% rispetto a 10 soggetti sani e abbinati al sesso.
Malattia renale
In uno studio su 11 pazienti con compromissione renale da moderata a grave (CLC <18 mL/min/1.73 m2) the clearance of ARICEPT did not differ from 11 age- and sex-matched healthy subjects.
Età
Nessuno studio di farmacocinetico formale è stato condotto per esaminare le differenze legate all'età nella farmacocinetica di ARICEPT. L'analisi farmacocinetica della popolazione ha suggerito che l'autorizzazione di Donepezil nei pazienti diminuisce con l'aumentare dell'età. Rispetto ai soggetti di 65 anni, i soggetti di 90 anni hanno una riduzione del 17% di autorizzazione mentre i soggetti di 40 anni hanno un aumento del 33% di autorizzazione. L'effetto dell'età sulla clearance Donepezil potrebbe non essere clinicamente significativo.
Genere e razza
Non è stato condotto alcun studio farmacocinetico specifico per studiare gli effetti del genere e della razza sulla disposizione di Aricept. Tuttavia, l'analisi farmacocinetica retrospettiva e l'analisi farmacocinetica della popolazione delle concentrazioni plasmatiche di donepezil misurate in pazienti con malattia di Alzheimer indicano che il genere e la razza (giapponesi e caucasici) non hanno influenzato la clearance di Aricept a un grado importante.
Peso corporeo
ILre was a relationship noted between body weight and clearance. Over the range of body weight from 50 kg to 110 kg clearance increased from 7.77 L/h to 14.04 L/h with a value of 10 L/hr for 70 kg individuals.
Interazioni farmacologiche
Effetto di Aricept sul metabolismo di altri farmaci
Nessun studio clinico in vivo ha studiato l'effetto di Aricept sulla clearance di farmaci metabolizzati dal CYP 3A4 (ad esempio cisapride terfenadina) o dal CYP 2D6 (ad esempio imipramina). Tuttavia, studi in vitro mostrano un basso tasso di legame a questi enzimi (KI medio di circa 50-130 μM)), date le concentrazioni plasmatiche terapeutiche di Donepezil (164 nM) indicano poca probabilità di interferenza. Sulla base di studi in vitro DonePezil mostra poca o nessuna evidenza di inibizione diretta di CYP2B6 CYP2C8 e CYP2C19 a concentrazioni clinicamente rilevanti.
Non è noto se l'Aricept abbia alcun potenziale per l'induzione enzimatica. Studi farmacocinetici formali hanno valutato il potenziale di aricept per l'interazione con la teofilina cimetidina warfarin digoxin e ketoconazolo. Non sono stati osservati effetti di Aricept sulla farmacocinetica di questi farmaci.
Effetto di altri farmaci sul metabolismo di ARICEPT
I forti inibitori di ketoconazolo e chinidina del CYP450 3A e 2D6 inibiscono rispettivamente il metabolismo di Donepezil in vitro. Non è noto se esiste un effetto clinico della chinidina. L'analisi farmacocinetica della popolazione ha mostrato che in presenza di concomitanti inibitori del CYP2D6 Donepezil AUC è stato aumentato di circa il 17% al 20% nei pazienti con malattia di Alzheimer che assumono ARICEPT 10 e 23 mg. Ciò rappresentava un effetto medio di deboli inibitori del CYP2D6 moderati e forti. In uno studio crossover di 7 giorni in 18 volontari sani ketoconazolo (200 mg q.d.) ha aumentato le concentrazioni medie di donepezil (5 mg Q.D.) (AUC0-24 e CMAX) del 36%. La rilevanza clinica di questo aumento della concentrazione è sconosciuta.
Gli induttori del CYP 3A (ad es. Fenitoina carbamazepina desametasone rifampin e fenobarbital) potrebbero aumentare il tasso di eliminazione di Aricept.
Studi farmacocinetici formali hanno dimostrato che il metabolismo di Aricept non è significativamente influenzato dalla somministrazione simultanea di digossina o cimetidina.
Uno studio in vitro ha dimostrato che Donepezil non era un substrato di p-glicoproteina.
Farmaci altamente legati alle proteine plasmatiche
Studi di spostamento dei farmaci sono stati condotti in vitro tra questo farmaco altamente legato (96%) e altri farmaci come digossina furosemide e warfarin. ARICEPT a concentrazioni di 0,3-10 microgrammi/mL non ha influenzato il legame della digossina di furosemide (5 microgrammi/mL) (2 ng/ml) e warfarin (3 microgrammi/ml) all'albumina umana. Allo stesso modo il legame di aricept all'albumina umana non è stato influenzato dalla digossina furosemide e da warfarin.
Tossicologia animale e/o farmacologia
In uno studio di neurotossicità dose acuta nei ratti femmine la somministrazione orale di Donepezil e memantina in combinazione ha comportato una maggiore gravità dell'incidenza e la distribuzione della neurodegenerazione rispetto alla sola memantina. I livelli senza effetto della combinazione erano associati a livelli plasmatici di donepezil e memantina clinicamente rilevanti.
IL relevance of this finding to humans is unknown.
Studi clinici
Dall'alzheimer da lieve a moderato
IL effectiveness of ARICEPT as a treatment for mild to moderate Alzheimer’s disease is demonstrated by the results of two randomized double-blind placebo-controlled clinical investigations in patients with Alzheimer’s disease (diagnosed by NINCDS and DSM III-R criteria Mini-Mental State Examination ≥ 10 and ≤ 26 and Clinical Dementia Rating of 1 or 2). IL mean age of patients participating in ARICEPT trials was 73 years with a range of 50 to 94. Approximately 62% of patients were women and 38% were men. IL racial distribution was white 95% black 3% and other races 2%.
IL higher dose of 10 mg did not provide a statistically significantly greater clinical benefit than 5 mg. ILre is a suggestion however based upon order of group mean scores and dose trend analyses of data from these clinical trials that a daily dose of 10 mg of ARICEPT might provide additional benefit for some patients. Accordingly whether or not to employ a dose of 10 mg is a matter of prescriber and patient preference.
Misure di esito da studio
In ogni studio l'efficacia del trattamento con ARICEPT è stata valutata utilizzando una strategia di valutazione del doppio risultato.
IL ability of ARICEPT to improve cognitive performance was assessed with the cognitive subscale of the Alzheimer’s Disease Assessment Scale (ADAS-cog) a multi-item instrument that has been extensively validated in longitudinal cohorts of Alzheimer’s disease patients. IL ADAS-cog examines selected aspects of cognitive performance including elements of memory orientation attention reasoning language and praxis. IL ADAS-cog scoring range is from 0 to 70 with higher scores indicating greater cognitive impairment. Elderly normal adults may score as low as 0 or 1 but it is not unusual for non-demented adults to score slightly higher.
IL patients recruited as participants in each study had mean scores on the ADAS-cog of approximately 26 points with a range from 4 to 61. Experience based on longitudinal studies of ambulatory patients with mild to moderate Alzheimer’s disease suggest that scores on the ADAS-cog increase (worsen) by 6-12 points per year. However smaller changes may be seen in patients with very mild or very advanced disease since the ADAS-cog is not uniformly sensitive to change over the course of the disease. IL annualized rate of decline in the placebo patients participating in ARICEPT trials was approximately 2 to 4 points per year.
IL ability of ARICEPT to produce an overall clinical effect was assessed using a Clinician’s Interview-Based Impression of Change that required the use of caregiver information the CIBIC-plus. IL CIBIC-plus is not a single instrument and is not a standardized instrument like the ADAS-cog. Clinical trials for investigational drugs have used a variety of CIBIC formats each different in terms of depth and structure.
In quanto tali i risultati di un CIBIC-plus riflettono l'esperienza clinica dello studio o degli studi in cui è stata utilizzata e non può essere confrontata direttamente con i risultati delle valutazioni CIBIC-Plus da altri studi clinici. Il Cibic-Plus utilizzato negli studi ARICEPT era uno strumento semi-strutturato che era destinato a esaminare quattro aree principali della funzione del paziente: comportamentali cognitivi generali e attività della vita quotidiana. Rappresenta la valutazione di un clinico qualificato basato sulle sue osservazioni in un'intervista con il paziente in combinazione con le informazioni fornite da un caregiver che ha familiarità con il comportamento del paziente per l'intervallo valutato. Il CIBIC-Plus viene valutato come una valutazione categorica a sette punti che va da un punteggio di 1 che indica marcatamente migliorato a un punteggio di 4 che indica alcun cambiamento a un punteggio di 7 che indica notevolmente peggio. Il CIBIC-Plus non è stato sistematicamente confrontato direttamente alle valutazioni che non utilizzano informazioni da caregiver (CIBIC) o altri metodi globali.
Studio di trenta settimane
In uno studio sulla durata di 30 settimane, 473 pazienti sono stati randomizzati a ricevere dosi giornaliere singole di placebo 5 mg/die o 10 mg/giorno di aricept. Lo studio di 30 settimane è stato diviso in una fase di trattamento attivo in doppio cieco di 24 settimane seguita da un periodo di lavaggio placebo a cieco singolo di 6 settimane. Lo studio è stato progettato per confrontare dosi fisse di 5 mg/die o 10 mg/die di ARICEPT al placebo. Tuttavia, per ridurre la probabilità di effetti colinergici, il trattamento di 10 mg/giorno è stato avviato a seguito di un trattamento iniziale di 7 giorni con dosi di 5 mg/giorno.
Effetti sull'Adas-Cog
La Figura 1 illustra il corso del tempo per il cambiamento dal basale nei punteggi ADAS-COG per tutti e tre i gruppi di dose nelle 30 settimane dello studio. Dopo 24 settimane di trattamento le differenze medie nei punteggi delle modifiche ADAS-COG per i pazienti trattati con ARICEPT rispetto ai pazienti sul placebo erano rispettivamente di 2,8 e 3,1 punti per i trattamenti da 5 mg/giorno e 10 mg/giorno. Queste differenze erano statisticamente significative. Mentre la dimensione dell'effetto del trattamento può sembrare leggermente maggiore per il trattamento da 10 mg/giorno non vi era alcuna differenza statisticamente significativa tra i due trattamenti attivi.
Dopo 6 settimane di punteggi di lavaggio placebo sull'ADAS-COG per entrambi i gruppi di trattamento ARICEPT erano indistinguibili da quei pazienti che avevano ricevuto solo placebo per 30 settimane. Ciò suggerisce che gli effetti benefici dell'Aricept si attenuano oltre 6 settimane dopo l'interruzione del trattamento e non rappresentano un cambiamento nella malattia sottostante. Non ci sono prove di un effetto di rimbalzo 6 settimane dopo una brusca sospensione della terapia.
Figura 1: corso nel tempo della variazione dal basale nel punteggio ADAS-COG per i pazienti che completano 24 settimane di trattamento.
|
La Figura 2 illustra le percentuali cumulative di pazienti di ciascuno dei tre gruppi di trattamento che avevano raggiunto la misura del miglioramento del punteggio ADAS-COG mostrato sull'asse X. Sono stati identificati tre punteggi di modifica (riduzioni di 7 punti e 4 punti dalla base o nessuna variazione del punteggio) per scopi illustrativi e la percentuale di pazienti in ciascun gruppo raggiungendo tale risultato è mostrata nella tabella degli inserti.
IL curves demonstrate that both patients assigned to placebo and ARICEPT have a wide range of responses but that the active treatment groups are more likely to show greater improvements. A curve for an effective treatment would be shifted to the left of the curve for placebo while an ineffective or deleterious treatment would be superimposed upon or shifted to the right of the curve for placebo.
Figura 2: percentuale cumulativa di pazienti che completano 24 settimane di trattamento in doppio cieco con variazioni specificate dai punteggi basali di ADAS-COG. Le percentuali di pazienti randomizzati che hanno completato lo studio erano: placebo 80% 5 mg/giorno 85% e 10 mg/giorno 68%.
|
Effetti sul Cibic-plus
La Figura 3 è un istogramma della distribuzione di frequenza dei punteggi Cibici-Plus raggiunti dai pazienti assegnati a ciascuno dei tre gruppi di trattamento che hanno completato 24 settimane di trattamento. Le differenze medie di droga-placebo per questi gruppi di pazienti erano rispettivamente 0,35 punti e 0,39 punti per 5 mg/die e 10 mg/giorno di ARICEPT. Queste differenze erano statisticamente significative. Non vi era alcuna differenza statisticamente significativa tra i due trattamenti attivi.
Figura 3: distribuzione di frequenza dei punteggi CIBIC-Plus alla settimana 24.
|
Studio di quindici settimane
In uno studio di 15 settimane di durata, i pazienti sono stati randomizzati a ricevere dosi singole giornaliere di placebo o 5 mg/die o 10 mg/giorno di Aricept per 12 settimane seguite da un periodo di lavaggio placebo di 3 settimane. Come nello studio di 30 settimane per evitare effetti colinergici acuti, il trattamento da 10 mg/giorno ha seguito un trattamento iniziale di 7 giorni con dosi di 5 mg/giorno.
Effetti sull'Adas-Cog
La Figura 4 illustra il corso del tempo del cambiamento dal basale nei punteggi ADAS-COG per tutti e tre i gruppi di dose nelle 15 settimane dello studio. Dopo 12 settimane di trattamento Le differenze nei punteggi medi di cambiamento di ADAS-COG per i pazienti trattati con ARICEPT rispetto ai pazienti sul placebo erano rispettivamente di 2,7 e 3,0 punti per i gruppi di trattamento ARICEPT 5 e 10 mg/giorno. Queste differenze erano statisticamente significative. La dimensione dell'effetto per il gruppo da 10 mg/giorno può sembrare leggermente più grande di quella per 5 mg/die. Tuttavia, le differenze tra i trattamenti attivi non erano statisticamente significative.
Figura 4: corso nel tempo della variazione dal basale nel punteggio ADAS-COG per i pazienti che completano lo studio di 15 settimane.
|
Dopo 3 settimane di punteggi di lavaggio placebo sull'ADAS-COG per entrambi i gruppi di trattamento ARICEPT sono aumentati indicando che l'interruzione di ARICEPT ha comportato una perdita del suo effetto terapeutico. La durata di questo periodo di lavaggio del placebo non è stata sufficiente per caratterizzare il tasso di perdita dell'effetto del trattamento, ma lo studio di 30 settimane (vedi sopra) ha dimostrato che gli effetti del trattamento associati all'uso di ARicipt si riducono entro 6 settimane dalla sospensione del trattamento.
La Figura 5 illustra le percentuali cumulative di pazienti di ciascuno dei tre gruppi di trattamento che hanno raggiunto la misura del miglioramento del punteggio ADAS-COG mostrato sull'asse X. Gli stessi tre punteggi di cambiamento (riduzioni a 7 e 4 punti dalla linea di base o nessuna variazione del punteggio) selezionate per lo studio di 30 settimane sono stati utilizzati per questa illustrazione. Le percentuali di pazienti che raggiungono tali risultati sono mostrate nella tabella degli inserti.
Come osservato nello studio di 30 settimane, le curve dimostrano che i pazienti assegnati al placebo o ad Aricept hanno una vasta gamma di risposte, ma che i pazienti trattati con ARICEPT hanno maggiori probabilità di mostrare maggiori miglioramenti nelle prestazioni cognitive.
Figura 5: percentuale cumulativa di pazienti con variazioni specifiche dai punteggi basali di ADAS-COG. Le percentuali di pazienti randomizzati all'interno di ciascun gruppo di trattamento che hanno completato lo studio erano: placebo 93% 5 mg/giorno 90% e 10 mg/giorno 82%.
|
Effetti sul Cibic-plus
La Figura 6 è un istogramma della distribuzione della frequenza dei punteggi Cibici-Plus raggiunti dai pazienti assegnati a ciascuno dei tre gruppi di trattamento che hanno completato 12 settimane di trattamento. Le differenze nei punteggi medi per i pazienti trattati con ARICEPT rispetto ai pazienti sul placebo alla settimana 12 erano rispettivamente 0,36 e 0,38 punti per i gruppi di trattamento 5 mg/giorno e 10 mg/giorno. Queste differenze erano statisticamente significative.
Figura 6: distribuzione di frequenza dei punteggi CIBIC-Plus alla settimana 12.
|
In entrambi gli studi non è stato scoperto che il sesso e la razza dell'età dei pazienti non prevedono l'esito clinico del trattamento con ARICEPT.
La malattia di Alzheimer da moderata a grave
IL effectiveness of ARICEPT in the treatment of patients with moderate to severe Alzheimer’s disease was established in studies employing doses of 10 mg/day and 23 mg/day. Results of a controlled clinical trial in moderate to severe Alzheimer’s Disease that compared ARICEPT 23 mg once daily to 10 mg once daily suggest that a 23 mg dose of ARICEPT provided additional benefit.
Studio svedese di 6 mesi (10 mg/giorno)
IL effectiveness of ARICEPT as a treatment for severe Alzheimer’s disease is demonstrated by the results of a randomized double-blind placebo-controlled clinical study conducted in Sweden (6 month study) in patients with probable or possible Alzheimer’s disease diagnosed by NINCDS-ADRDA and DSM-IV criteria MMSE: range of 1-10. Two hundred and forty eight (248) patients with severe Alzheimer’s disease were randomized to ARICEPT or placebo. For patients randomized to ARICEPT treatment was initiated at 5 mg once daily for 28 days and then increased to 10 mg once daily. At the end of the 6 month treatment period 90.5% of the ARICEPT treated patients were receiving the 10 mg/day dose. IL mean age of patients was 84.9 years with a range of 59 to 99. Approximately 77% of patients were women and 23% were men. Almost all patients were Caucasian. Probable Alzheimer’s disease was diagnosed in the majority of the patients (83.6% of ARICEPT treated patients and 84.2% of placebo treated patients).
Misure di esito da studio
IL effectiveness of treatment with ARICEPT was determined using a dual outcome assessment strategy that evaluated cognitive function using an instrument designed for more impaired patients and overall function through caregiver-rated assessment. This study showed that patients on ARICEPT experienced significant improvement on both measures compared to placebo.
IL ability of ARICEPT to improve cognitive performance was assessed with the Severe Impairment Battery (SIB). IL SIB a multi-item instrument has been validated for the evaluation of cognitive function in patients with moderate to severe demenza. IL SIB evaluates selective aspects of cognitive performance including elements of memory language orientation attention praxis visuospatial ability construction and social interaction. IL SIB scoring range is from 0 to 100 with lower scores indicating greater cognitive impairment.
La funzione quotidiana è stata valutata utilizzando le attività di studio cooperativo di Alzheimer modificate di Inventario della vita quotidiana per la malattia di Alzheimer (ADCS-ADL-SEVERE). L'ADCS-ADL-SEVERE deriva dalle attività di studio cooperativa della malattia di Alzheimer dell'inventario della vita quotidiana che è una batteria completa di domande ADL utilizzate per misurare le capacità funzionali dei pazienti. Ogni articolo ADL è valutato dal più alto livello di prestazioni indipendenti per completare la perdita. L'ADCS-ADL-SEVERE è un sottoinsieme di 19 elementi tra cui le valutazioni della capacità del paziente di mangiare il bagno di abbigliamento usa il telefono girare (o viaggiare) ed svolgere altre attività della vita quotidiana; È stato validato per la valutazione di pazienti con demenza da moderata a grave. L'ADCS-ADL-SEVERE ha un intervallo di punteggio da 0 a 54 con i punteggi più bassi che indicano una maggiore compromissione funzionale. L'investigatore esegue l'inventario intervistando un caregiver in questo studio un membro dello staff infermiere che ha familiarità con il funzionamento del paziente.
Effetti sul SIB
La Figura 7 mostra il corso del tempo per il cambiamento dal basale nel punteggio SIB per i due gruppi di trattamento nei 6 mesi dello studio. A 6 mesi di trattamento la differenza media nei punteggi di cambiamento SIB per i pazienti trattati con ARICEPT rispetto ai pazienti sul placebo era di 5,9 punti. Il trattamento con aricept era statisticamente significativamente superiore al placebo.
Figura 7: decorso temporale del cambiamento dal basale nel punteggio SIB per i pazienti che completano 6 mesi di trattamento.
|
La Figura 8 illustra le percentuali cumulative di pazienti di ciascuno dei due gruppi di trattamento che hanno raggiunto la misura del miglioramento del punteggio SIB mostrato sull'asse X. Mentre i pazienti assegnati sia ad aricept che al placebo hanno una vasta gamma di risposte, le curve mostrano che il gruppo ARICEPT ha maggiori probabilità di mostrare un maggiore miglioramento delle prestazioni cognitive.
Figura 8: percentuale cumulativa di pazienti che completano 6 mesi di trattamento in doppio cieco con particolari variazioni rispetto ai punteggi basali nei punteggi SIB.
|
Figura 9: corso temporale del cambiamento rispetto al basale nel punteggio ADCS-ADL-SEVERE per i pazienti che completano 6 mesi di trattamento.
|
Effetti sull'ADCS-ADL-SEVERE
La Figura 9 illustra il corso del tempo per il cambiamento dal basale nei punteggi ADCS-ADL-SEVERE per i pazienti nei due gruppi di trattamento nei 6 mesi dello studio. Dopo 6 mesi di trattamento, la differenza media nei punteggi di cambiamento ADCS-ADL-SEVERE per i pazienti trattati con ARICEPT rispetto ai pazienti sul placebo era di 1,8 punti. Il trattamento con aricept era statisticamente significativamente superiore al placebo.
La Figura 10 mostra le percentuali cumulative di pazienti di ciascun gruppo di trattamento con variazioni specifiche dai punteggi ADCS-ADL-SEVERE basali. Mentre entrambi i pazienti assegnati ad ARicipt e Placebo hanno una vasta gamma di risposte, le curve dimostrano che il gruppo ARICEPT ha maggiori probabilità di mostrare un declino o un miglioramento minore.
Figura 10: percentuale cumulativa di pazienti che completano 6 mesi di trattamento in doppio cieco con particolari variazioni rispetto al basale nei punteggi ADCS-ADL-SEVERE.
|
Studio giapponese di 24 settimane (10 mg/giorno)
In uno studio sulla durata di 24 settimane condotta in Giappone 325 pazienti con grave malattia di Alzheimer sono stati randomizzati a dosi di 5 mg/die o 10 mg/giorno di donepezil somministrati una volta al giorno o placebo. I pazienti randomizzati al trattamento con Donepezil dovevano raggiungere le loro dosi assegnate mediante titolazione a partire da 3 mg/die e si estendevano per un massimo di 6 settimane. Duecentoquarantatto (248) pazienti hanno completato lo studio con proporzioni simili di pazienti che hanno completato lo studio in ciascun gruppo di trattamento. Le misure di efficacia primaria per questo studio erano il SIB e il CIBIC-Plus.
A 24 settimane di trattamento sono state osservate differenze di trattamento statisticamente significative tra la dose di 10 mg/giorno di Donepezil e Placebo sia su SIB che Cibic-Plus. La dose di 5 mg/giorno di Donepezil ha mostrato una superiorità statisticamente significativa al placebo sul SIB ma non sul Cibic-plus.
Studio di 23 mg/giorno
IL effectiveness of ARICEPT 23 mg/day as a treatment for moderate to severe Alzheimer’s disease has been demonstrated by the results of a randomized double-blind controlled clinical investigation in patients with moderate to severe Alzheimer’s disease. IL controlled clinical study was conducted globally in patients with probable Alzheimer’s disease diagnosed by NINCDS-ADRDA and DSM-IV criteria MMSE: range of 0-20. Patients were required to have been on a stable dose of ARICEPT 10 mg/day for at least 3 months prior to screening. One thousand four hundred and thirty four (1434) patients with moderate to severe Alzheimer’s disease were randomized to 23 mg/day or 10 mg/day. IL mean age of patients was 73.8 years with a range of 47 to 90. Approximately 63% of patients were women and 37% were men. Approximately 36% of the patients were taking memantine throughout the study.
Misure di esito da studio
IL effectiveness of treatment with 23 mg/day was determined using a dual outcome assessment strategy that evaluated cognitive function using an instrument designed for more impaired patients and overall function through caregiver-rated assessment.
IL ability of 23 mg/day to improve cognitive performance was assessed with the Severe Impairment Battery (SIB). IL SIB a multi-item instrument has been validated for the evaluation of cognitive function in patients with moderate to severe demenza. IL SIB evaluates selective aspects of cognitive performance including elements of memory language orientation attention praxis visuospatial ability construction and social interaction. IL SIB scoring range is from 0 to 100 with lower scores indicating greater cognitive impairment.
IL ability of 23 mg/day to produce an overall clinical effect was assessed using a Clinician’s Interview-Based Impression of Change that incorporated the use of caregiver information the CIBIC-plus. IL CIBIC-plus used in this trial was a semi-structured instrument that examines four major areas of patient function: General Cognitive Behavioral and Activities of Daily Living. It represents the assessment of a skilled clinician based upon his/her observations at an interview with the patient in combination with information supplied by a caregiver familiar with the behavior of the patient over the interval rated. IL CIBIC-plus is scored as a seven-point categorical rating ranging from a score of 1 indicating markedly improved to a score of 4 indicating no change to a score of 7 indicating markedly worse.
Effetti sul SIB
La Figura 11 mostra il percorso temporale per il cambiamento dal basale nel punteggio SIB per i due gruppi di trattamento nelle 24 settimane dello studio. A 24 settimane di trattamento la differenza media LS nei punteggi di cambiamento SIB per 23 mg/pazienti trattati con giorno rispetto ai pazienti trattati con 10 mg era 2,2 unità (p = 0,0001). La dose di 23 mg/die era statisticamente significativamente superiore alla dose di 10 mg/die.
Figura 11: corsi di tempo del cambiamento dal basale nel punteggio SIB per i pazienti che completano 24 settimane di trattamento.
|
La Figura 12 illustra le percentuali cumulative di pazienti di ciascuno dei due gruppi di trattamento che hanno raggiunto la misura del miglioramento del punteggio SIB mostrato sull'asse X. Mentre i pazienti assegnati sia a 23 mg/die e a 10 mg/die hanno una vasta gamma di risposte, le curve mostrano che il gruppo 23 mg ha maggiori probabilità di mostrare un miglioramento maggiore delle prestazioni cognitive. Quando tali curve vengono spostate a sinistra, ciò indica una percentuale maggiore di pazienti che rispondono al trattamento sul SIB.
Figura 12: percentuale cumulativa di pazienti che completano 24 settimane di trattamento in doppio cieco con variazioni specificate dai punteggi SIB basali.
|
Effetti sul Cibic-plus
La Figura 13 è un istogramma della distribuzione di frequenza dei punteggi Cibic-Plus raggiunti dai pazienti alla fine di 24 settimane di trattamento. La differenza media tra i gruppi di trattamento di 23 mg/die e 10 mg/giorno era di 0,06 unità. Questa differenza non era statisticamente significativa.
Figura 13: distribuzione di frequenza dei punteggi CIBIC-Plus alla settimana 24.
|
Informazioni sul paziente per ARICEPT
ARICEPT®
(Air-EH-Sept)
(Donepezil cloridrato) compresse
Compresse: 5 mg 10 mg e 23 mg
ARICEPT® ODT
(Air-EH-Sept Oh-Dee-Tee) â
Compresse ODT: 5 mg e 10 mg
Leggi queste informazioni sul paziente fornite con ARicipt prima di iniziare a prenderlo e ogni volta che ricevi una ricarica. Potrebbero esserci nuove informazioni. Questo volantino non prende il posto di parlare con il medico della malattia o del trattamento di Alzheimer. Se hai domande, poni il medico o il farmacista.
Cos'è ARICEPT?
ARICEPT comes as ARICEPT film-coated tablets in dosage strengths of 5 mg 10 mg and 23 mg and as ARICEPT Orally Disintegrating Tablets (ODT; 5 mg and 10 mg). Except where indicated all the information about ARICEPT in this leaflet also applies to ARICEPT ODT.
ARICEPT is a prescription medicine to treat mild moderate and severe Alzheimer’s disease. ARICEPT can help with mental function and with doing daily tasks. ARICEPT does not work the same in all people. Some people may:
- Sembra molto meglio
- Guadagna in piccoli modi o resta lo stesso
- Peggiorare nel tempo ma più lento del previsto
- Non cambiare e poi peggiorare come previsto
ARICEPT does not cure Alzheimer’s disease. All patients with Alzheimer’s disease get worse over time even if they take ARICEPT.
ARICEPT has not been approved as a treatment for any medical condition in children.
Chi non dovrebbe prendere ARICEPT?
Non prendere ARICEPT se sei allergico a nessuno degli ingredienti in ARicipt o ai medicinali che contengono piperidine. Chiedi al tuo medico se non sei sicuro. Vedi la fine di questo opuscolo per un elenco di ingredienti in ARICEPT.
Cosa dovrei dire al mio medico prima di prendere ARICEPT?
Racconta al medico tutti i tuoi problemi e condizioni di salute presenti o passate. Includere:
- Eventuali problemi cardiaci che includono problemi con battiti cardiaci lenti o veloci irregolari
- Problemi di asma o polmone
- Un attacco
- Ulcere allo stomaco
- Difficoltà a passare l'urina
- Problemi epatici o renali
- Problemi di deglutizione delle compresse
- Presentare gravidanza o piani per rimanere incinta. Non è noto se l'Aricept può danneggiare un bambino non ancora nato.
- Attuale all'allattamento al seno. Non è noto se l'Aricept passa nel latte materno. Parla con il tuo medico del modo migliore per nutrire il tuo bambino se prendi l'Aricept.
Parla al dottore di tutte le medicine che prendi tra cui medicinali prescritti e non prescrizione vitamine e prodotti a base di erbe. ARICEPT e altri medicinali possono influenzare reciprocamente.
Assicurati particolarmente di dire al medico se prendi aspirina o medicinali chiamati farmaci antinfiammatori non steroidei (FANS). Esistono molti medicinali a FANS sia prescrizione che non prescrizione. Chiedi al medico o al farmacista se non sei sicuro che uno qualsiasi dei tuoi medicinali sia FANS. Prendere insieme FANS e ARICEPT può renderti più probabili di ottenere ulcere allo stomaco.
ARICEPT taken with certain medicines used for anesthesia may cause side effects. Tell the responsible doctor or dentist that you take ARICEPT before you have:
- chirurgia
- procedure mediche
- Chirurgia o procedure dentali.
Conosci le medicine che prendi. Mantieni un elenco di tutte le tue medicine. Mostralo al tuo medico o al farmacista prima di iniziare un nuovo medicinale.
Come dovresti prendere ARICEPT?
- Prendi l'Aricept esattamente come prescritto dal medico. Non fermare ARICEPT o cambiare la dose da solo. Parla prima con il tuo medico.
- Prendi l'Aricept una volta ogni giorno. ARicipt può essere preso con o senza cibo.
- ARICEPT 23 mg tablets should be swallowed whole. Do not split crush or chew the tablets.
- ARICEPT ODT melts on the tongue. You should drink some water after the tablet melts.
- Se ti perdi una dose di aricept, aspetta. Prendi solo la dose successiva al solito tempo. Non assumere 2 dosi contemporaneamente.
- Se l'Aricept è mancato per 7 giorni o più, parla con il medico prima di ricominciare.
- Se prendi troppo aricept in un tempo, chiama il tuo medico o il centro di controllo del veleno o vai subito al pronto soccorso.
Quali sono i possibili effetti collaterali di Aricept?
ARICEPT may cause the following serious side effects:
- battito cardiaco lento e svenimento . Questo accade più spesso nelle persone con problemi cardiaci. Chiama subito il tuo medico se ti senti debole o stordito mentre prendi ARICEPT.
- più acido dello stomaco. Ciò solleva la possibilità di ulcere e sanguinamento soprattutto quando si prende ARICEPT 23 mg. Il rischio è più elevato per le persone che hanno avuto ulcere o prendono aspirina o altri FANS.
- peggioramento dei problemi polmonari nelle persone con asma o altre malattie polmonari.
- convulsioni.
- Difficoltà a passare l'urina.
Chiama subito il tuo medico se hai:
- svenimento.
- bruciore di stomaco O mal di stomaco che è nuovo o non andrà via.
- nausea or vomito blood in the vomit dark vomit that looks like coffee grounds.
- Movimenti intestinali o sgabelli che sembrano catrame nero.
- problemi di asma o respirazione nuovi o peggiori.
- convulsioni.
- Difficoltà a passare l'urina.
IL most common side effects of ARICEPT are:
- nausea
- diarrea
- non dormire bene
- vomito
- Crampi muscolari
- sentirsi stanco
- Non voler mangiare
ILse side effects may get better after you take ARICEPT for a while. This is not a complete list of side effects with ARICEPT. For more information ask your doctor or pharmacist.
Chiama il medico per consigli medici sugli effetti collaterali. È possibile segnalare gli effetti collaterali alla FDA al numero 1-800-FDA-1088.
Come dovrebbe essere immagazzinato ARICEPT?
Conservare l'aricept a temperatura ambiente compresa tra 59 ° a 86 ° F (da 15 ° a 30 ° C).
Mantieni l'Aricept e tutte le medicine fuori dalla portata dei bambini.
Informazioni generali su ARICEPT
Le medicine sono talvolta prescritte per condizioni che non sono menzionate in questo opuscolo di informazioni sul paziente. Non utilizzare ARICEPT per una condizione per la quale non è stata prescritta. Non dare ARicipt ad altre persone anche se hanno gli stessi sintomi o condizioni. Potrebbe danneggiare loro.
Questo volantino riassume le informazioni più importanti su ARICEPT. Se desideri più informazioni, parla con il tuo medico. Puoi chiedere informazioni al farmacista o al medico su ARicipt che è scritto per gli operatori sanitari. Per ulteriori informazioni, visitare www.aricept.com o chiamare il numero 1-800-760-6029.
Quali sono gli ingredienti di Aricept?
Effetti collaterali del succinato del metoprololo 25 mg
Ingrediente attivo: donepezil cloridrato
Ingredienti inattivi:
- ARICEPT 5 mg and 10 mg film-coated tablets: lattosio monoidrato amido di mais microcristallino cellulosio idrossipropil cellulosa e magnesio stearato. Il rivestimento cinematografico contiene talco polietilenglicole hypromellosio e biossido di titanio. Inoltre, la compressa da 10 mg contiene ossido di ferro giallo (sintetico) come agente da colorare.
- ARICEPT 23 mg film-coated tablets: Etilcellulosio idrossipropil cellulosio lattosio monoidrato magnesio stearato e copolimero acido metacrilico Tipo di copolimero C. Il rivestimento per film a colori rossastro include ossido ferrico hypromellosio 2910 polietilenglicole 8000 talco e dioossido di titanio.
- ARICEPT ODT 5 mg and 10 mg tablets: carragenan mannitolo di biossido di silicio colloidale e alcool polivinilico. La compressa da 10 mg contiene ossido di ferro giallo (sintetico) come agente da colorare.