Le Informazioni Presenti Sul Sito Non Costituiscono Consulenza Medica. Non Vendiamo Nulla. L'Accuratezza Della Traduzione Non È Garantita. Disclaimer
HIV, nnrtisCoda
Riepilogo della droga
Cos'è Ziagen?
Ziagen (abacavir solfato) è un antivirale farmaci usati per curare HIV che provoca il acquisito Sindrome da immunodeficienza ( AIDS ). Ziagen non è una cura per l'HIV o l'AIDS.
Quali sono gli effetti collaterali di Ziagen?
Gli effetti collaterali comuni di Ziagen includono:
- difficoltà a dormire
- perdita di appetito
- strano sogni
- mal di testa
- Dolore all'orecchio
- sintomi a freddo ( naso chiuso starnuti seno dolore) o
- Cambiamenti nella forma o nella posizione del grasso corporeo (specialmente nelle braccia Gambe Strongi per il collo e tronco).
Dì al tuo medico se hai gravi effetti collaterali di Ziagen tra cui:
- Perdita di peso inspiegabile
- dolori muscolari persistenti o debolezza
- Dolore articolare
- intorpidimento o formicolio delle mani/piedi/braccia/gambe
- grave stanchezza
- Cambiamenti della visione
- mal di testa grave o persistenti
- Segni di infezione (come i brividi della febbre che respirano le piaghe della pelle non guarite)
- Segni di un iperattivo tiroide (come l'irritabilità nervosismo intolleranza al calore rapido/martellante/irregolare Bulling Occhi insoliti nel collo/tiroide noto come gozzo) noto come gozzo)
- segni di un certo problema del nervo noto come Sindrome di Guillain-Barre (come difficoltà a respirare/deglutire/muovere gli occhi che abbassano la paralisi del viso discorso
- Cambiamenti mentali/dell'umore (ansia da depressione).
Dosaggio per Ziagen
La dose orale raccomandata di Ziagen per gli adulti è di 600 mg al giorno somministrato come 300 mg due volte al giorno o 600 mg una volta al giorno in combinazione con altri agenti antiretrovirali. La dose pediatrica è determinata dal peso del bambino.
Quali sostanze o integratori di farmaci interagiscono con Ziagen?
Ziagen può interagire con il metadone. Dì al medico tutti i farmaci e gli integratori che usi.
Ziagen durante la gravidanza e l'allattamento
Durante la gravidanza lo Ziagen dovrebbe essere usato solo quando prescritto. Le medicine HIV sono generalmente somministrate a donne in gravidanza con HIV. È dimostrato che il trattamento riduce il rischio di trasmissione dell'HIV al bambino. Questo farmaco può far parte di quel trattamento. Discuti i rischi e i benefici con il medico. Non è noto se questo farmaco passa nel latte materno. Poiché il latte materno può trasmettere l'HIV non allattare.
Ulteriori informazioni
Il nostro centro farmacologico Ziagen (Abacavir Solfato) fornisce una visione completa delle informazioni disponibili sui farmaci sui potenziali effetti collaterali durante l'assunzione di questo farmaco.
Informazioni sui farmaci FDA
- Descrizione del farmaco
- Indicazioni
- Effetti collaterali
- Avvertimenti
- Overdose
- Farmacologia clinica
- Guida ai farmaci
AVVERTIMENTO
Reazioni di ipersensibilità e acidosi lattica e grave epatomegalia con steatosi
Reazioni di ipersensibilità
Le reazioni di ipersensibilità gravi e talvolta fatali con il coinvolgimento multiplo degli organi si sono verificate con Ziagen (Abacavir).
I pazienti che trasportano l'allele HLA-B*5701 hanno un rischio maggiore di una reazione di ipersensibilità ad Abacavir; Sebbene le reazioni di ipersensibilità si siano verificate nei pazienti che non trasportano l'allele HLA-B*5701 [vedi avvisi e avvertimenti PRECAUZIONI ].
Ziagen è controindicato nei pazienti con una precedente reazione di ipersensibilità ad Abacavir e nei pazienti positivi a HLA-B*5701 [vedi Controindicazioni AVVERTIMENTOS AND PRECAUZIONI ]. Tutti i pazienti devono essere sottoposti a screening per l'allele HLA-B*5701 prima di iniziare la terapia con Ziagen o reitiziazione della terapia con Ziagen a meno che i pazienti non abbiano una valutazione allele HLA-B*5701 precedentemente documentata. Discontinue Coda immediately if a hypersensitivity reaction is suspected regardless of HLA-B*5701 status and even when other diagnoses are possible [see Controindicazioni AVVERTIMENTOS AND PRECAUZIONI ].
A seguito di una reazione di ipersensibilità a Ziagen non riavvia mai Ziagen o qualsiasi altro prodotto contenente Abacavir perché possono verificarsi sintomi più gravi, incluso la morte entro ore. Reazioni gravi simili si sono anche verificate raramente a seguito della reintroduzione di prodotti contenenti abavir in pazienti che non hanno una storia di ipersensibilità abacavir [vedi avvisi e PRECAUZIONI ].
Acidosi lattica e grave epatomegalia con steatosi
L'acidosi lattica e l'epatomegalia grave con steatosi, compresi i casi fatali, sono stati riportati con l'uso di analoghi nucleosidici e altri antiretrovirali. Interrompere lo ziagen se si verificano risultati clinici o di laboratorio che suggeriscono acidosi lattica o epatotossicità pronunciata [vedi avvertimenti e PRECAUZIONI ].
Descrizione per Ziagen
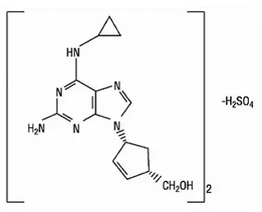
Ziagen è il nome del marchio per Abacavir Solfato Un analogo nucleosidico carbociclico sintetico con attività inibitoria contro l'HIV-1. Il nome chimico dell'abacavir solfato è (1scis) -4- [2-ammino-6- (ciclopropilammino) -9H-puin-9-ill] -2-ciclopentene-1-metanolo solfato (sale) (2: 1). Abacavir solfato è l'enantiomero con configurazione assoluta 1S 4R sull'anello ciclopentene. Ha una formula molecolare di (c 14 H 18 N 6 IL) 2 • H. 2 COSÌ 4 e un peso molecolare di 670,76 g per mol. Ha la seguente formula strutturale:
|
Abacavir solfato è un solido bianco a bianco sporco ed è solubile in acqua.
Le compresse Ziagen sono per la somministrazione orale. Ogni compressa contiene abacavir solfato equivalente a 300 mg di abacavir come ingrediente attivo e i seguenti ingredienti inattivi: cellulosa microcristallina di magnesio di magnesio di silicio colloidale e glicolato di amido di sodio. Le compresse sono rivestite con un film realizzato in polisorbato di ferro giallo sintetico di ipromellosio 80 biossido di titanio e triacetina.
La soluzione orale Ziagen è per la somministrazione orale. Ogni millilitro (1 ml) di soluzione orale Ziagen contiene abacavir solfato equivalente a 20 mg di abacavir (cioè 20 mg per ml) come ingrediente attivo e i seguenti ingredienti inattivi: Strawberria artificiale e banana di banana citrica di citra -sodio di sodico di citra -sodio di sodio di citra -sodio di citrane di sodio di citrane di sodio (diidrata) soluzione di sorbitolo e acqua.
In vivo Abacavir Solfato si dissocia nella sua base libera Abacavir. I dosaggi sono espressi in termini di abacavir.
Usi per Ziagen
Le compresse di Ziagen e la soluzione orale in combinazione con altri agenti antiretrovirali sono indicati per il trattamento dell'infezione da virus dell'immunodeficienza umana (HIV-1).
Dosaggio per Ziagen
Screening per l'allele HLA-B*5701 prima di iniziare Ziagen
Schermo per l'allele HLA-B*5701 prima di iniziare la terapia con Ziagen [vedi Avvertenza della scatola AVVERTIMENTOS AND PRECAUZIONI ].
Dosaggio raccomandato per i pazienti adulti
Il dosaggio raccomandato di Ziagen per gli adulti è di 600 mg al giorno somministrato per via orale come 300 mg due volte al giorno o 600 mg una volta al giorno in combinazione con altri agenti antiretrovirali.
Dosaggio raccomandato per i pazienti pediatrici
Il dosaggio raccomandato di soluzione orale Ziagen in pazienti pediatrici infetti da HIV-1 di età pari o superiore a 8 mg per kg per via orale due volte al giorno o 16 mg per kg per via orale una volta al giorno (fino a un massimo di 600 mg al giorno) in combinazione con altri agenti antiretrovirali.
Ziagen è anche disponibile come compressa punteggiata per i pazienti pediatrici infetti da HIV-1 che pesano maggiori o uguali a 14 kg per i quali è appropriata una forma di dosaggio solido. Prima di prescrivere compresse Ziagen, i bambini dovrebbero essere valutati per la capacità di deglutire le compresse. Se un bambino non è in grado di ingoiare in modo affidabile le compresse di Ziagen, è necessario prescrivere la formulazione della soluzione orale. Il dosaggio orale raccomandato di compresse Ziagen per pazienti pediatrici infetti da HIV-1 è presentato nella Tabella 1.
Tabella 1. Raccomandazioni di dosaggio per compresse di punteggio di Ziagen in pazienti pediatrici
| Peso (kg) | Regime di dosaggio una volta al giorno a | Regime di dosaggio due volte al giorno | ||
| Dose AM | Dose PM | Dose giornaliera totale | ||
| 14 a <20 | 1 compressa (300 mg) | ½ compressa (150 mg) | ½ compressa (150 mg) | 300 mg |
| ≥20 a <25 | 1½ compresse (450 mg) | ½ compressa (150 mg) | 1 compressa (300 mg) | 450 mg |
| ≥25 | 2 compresse (600 mg) | 1 compressa (300 mg) | 1 compressa (300 mg) | 600 mg |
| a I dati relativi all'efficacia del dosaggio una volta al giorno sono limitati ai soggetti che sono passati dal dosaggio due volte al giorno a un dosaggio una volta al giorno dopo 36 settimane di trattamento [vedi Studi clinici ]. |
Dosaggio raccomandato per i pazienti con compromissione epatica
La dose raccomandata di Ziagen in pazienti con lieve compromissione epatica (Classe A Child-Pugh) è di 200 mg due volte al giorno. Per consentire la riduzione della dose, la soluzione orale Ziagen (10 ml due volte al giorno) dovrebbe essere utilizzata per il trattamento di questi pazienti. L'efficacia della sicurezza e le proprietà farmacocinetiche di Abacavir non sono state stabilite in pazienti con compromissione epatica da moderata a grave; Pertanto Ziagen è controindicato in questi pazienti.
Come fornito
Forme di dosaggio e punti di forza
Le compresse Ziagen contengono 300 mg di abacavir come abacavir solfato. Le compresse sono a forma di pellicola a forma di capsula e impressa con segnato a forma di capsula giallo con GX 623 su entrambi i lati.
La soluzione orale Ziagen contiene 20 mg per ml di abacavir come abacavir solfato. La soluzione è un liquido da gusto di fragole giallastro di fragole giallastro di banana che può diventare marrone nel tempo.
Archiviazione e maneggevolezza
Compresse Ziagen contenenti abacavir solfato equivalente a 300 mg di abacavir sono segnali gialli a forma di capsule a forma di capsule e impressi con GX 623 su entrambi i lati. Sono confezionati come segue:
Bottiglie di 60 compresse ( Ndc 49702-221-18).
Conservare a temperatura ambiente controllata da 20 ° a 25 ° C (da 68 ° a 77 ° F) (vedi USP).
Soluzione orale Ziagen è un liquido da gusto di fragola giallastro di fragole giallastro da chiaro a quello che può diventare marrone nel tempo. Ogni ml della soluzione contiene abacavir solfato equivalente a 20 mg di abacavir. È confezionato in bottiglie di plastica come segue:
Bottiglie di 240 ml ( Ndc 49702-222-48) con chiusura resistente ai bambini. Questo prodotto non richiede ricostituzione.
Conservare a temperatura ambiente controllata da 20 ° a 25 ° C (da 68 ° a 77 ° F) (vedi USP). DO NOT FREEZE. May be refrigerated.
Prodotto da: GlaxoSmithKline Research Triangle Park NC 27709. Revisionato: nov 2020
Effetti collaterali per Ziagen
Le seguenti reazioni avverse sono discusse in altre sezioni dell'etichettatura:
- Reazioni di ipersensibilità gravi e talvolta fatali [vedi Avvertenza della scatola AVVERTIMENTOS AND PRECAUZIONI ].
- Acidosi lattica e grave epatomegalia con steatosi [vedi AVVERTIMENTOS AND PRECAUZIONI ].
- Sindrome di ricostituzione immunitaria [vedi AVVERTIMENTOS AND PRECAUZIONI ].
- Infarto miocardico [vedi AVVERTIMENTOS AND PRECAUZIONI ].
Esperienza di studi clinici in soggetti adulti
Poiché gli studi clinici sono condotti in condizioni di reazione avverse ampiamente variabili osservate negli studi clinici di un farmaco non possono essere confrontati direttamente con i tassi negli studi clinici di un altro farmaco e potrebbero non riflettere i tassi osservati nella pratica clinica.
Reazioni di ipersensibilità associate a abacavir gravi e fatali
Negli studi clinici si sono verificate reazioni di ipersensibilità gravi e talvolta fatali con Abacavir [vedi Avvertenza della scatola AVVERTIMENTOS AND PRECAUZIONI ]. These reactions have been characterized by 2 or more of the following signs or symptoms: (1) fever; (2) eruzione cutanea; (3) gastrointestinal symptoms (including nausea vomito diarrhea or abdominal pain); (4) constitutional symptoms (including generalized malaise fatigue or achiness); (5) respiratory symptoms (including dyspnea cough or pharyngitis). Almost all abacavir hypersensitivity reactions include fever and/or eruzione cutanea as part of the syndrome.
Altri segni e sintomi hanno incluso l'edema e la parestesia di Myalgia Edema Artralgia e la parestesia. Insufficienza epatica dell'anafilassi Ipotensione renale Sindrome da distress respiratorio adulto Myolisi e morte si sono verificati in associazione con queste reazioni di ipersensibilità. I risultati fisici hanno incluso lesioni mucose di linfoadenopatia (congiuntivite e ulcerazioni della bocca) e eruzione maculopapolare o orticaria (sebbene alcuni pazienti avessero altri tipi di eruzioni cutanee e altri non avevano un'eruzione cutanea). C'erano segnalazioni di Eritema multiforme. Le anomalie di laboratorio includevano elevate chimiche epatiche elevate di creatina fosfocinasi, elevata creatinina e linfopenia e scoperte anormali di raggi X del torace (prevalentemente infiltrati localizzati).
Ulteriori reazioni avverse con l'uso di Ziagen
Adulti naive per terapia
Treatment-emergent clinical adverse reactions (rated by the investigator as moderate or severe) with a greater than or equal to 5% frequency during therapy with ZIAGEN 300 mg twice daily lamivudine 150 mg twice daily and efavirenz 600 mg daily compared with zidovudine 300 mg twice daily lamivudine 150 mg twice daily and efavirenz 600 mg daily from CNA30024 are listed Nella tabella 2.
Tabella 2. Reazioni avverse emergenti dal trattamento (tutta la causalità) di intensità almeno moderata (gradi 2-4 maggiore o uguale alla frequenza del 5%) negli adulti naive per terapia (CNA30024 a ) attraverso 48 settimane di trattamento
| Reazione avversa | Ziagen Plus Lamivudine Plus Efavirenz (n = 324) | Zidovudine Plus Lamivudine Plus Efavirenz (n = 325) |
| Sogni/disturbi del sonno | 10% | 10% |
| Ipersensibilità alla droga | 9% | <1% b |
| Mal di testa/emicrania | 7% | 11% |
| Nausea | 7% | 11% |
| Affaticamento/disagio | 7% | 10% |
| Diarrea | 7% | 6% |
| Eruzioni cutanee | 6% | 12% |
| Dolore addominale/gastrite/segni e sintomi gastrointestinali | 6% | 8% |
| Disturbi depressivi | 6% | 6% |
| Vertigini | 6% | 6% |
| Dolore muscoloscheletrico | 6% | 5% |
| Bronchite | 4% | 5% |
| Vomito | 2% | 9% |
| a Questo studio ha utilizzato l'accertamento in doppio cieco di sospette reazioni di ipersensibilità. Durante la parte cieca della sperimentazione sospetta ipersensibilità ad Abacavir è stata segnalata dagli investigatori nel 9% di 324 soggetti nel gruppo Abacavir e 3% di 325 soggetti nel gruppo Zidovudina. b Dieci (3%) casi di sospetta ipersensibilità ai farmaci sono stati riclassificati come non dovuti a Abacavir a seguito di un blinding. |
Reazioni avverse cliniche emergenti per il trattamento (classificate dall'investigatore come moderata o grave) con una frequenza maggiore o uguale al 5% durante la terapia con Ziagen 300 mg due volte al giorno lamivudina 150 mg due volte al giorno e zidovudina 300 mg rispetto al giorno due volte al giorno da CNA 300 da CNA 300 da CNA 300 5. Nella tabella 3.
Tabella 3. Reazioni avverse emergenti dal trattamento (tutta la causalità) di intensità almeno moderata (gradi 2-4 maggiore o uguale alla frequenza del 5%) negli adulti naive per terapia (CNA3005) attraverso 48 settimane di trattamento
| Reazione avversa | Ziagen Plus Lamivudine/Zidovudina (n = 262) | Indinavir più lamivudina/zidovudina (n = 264) |
| Nausea | 19% | 17% |
| Mal di testa | 13% | 9% |
| Malessere e affaticamento | 12% | 12% |
| Nausea and vomito | 10% | 10% |
| Reazione di ipersensibilità | 8% | 2% |
| Diarrea | 7% | 5% |
| Febbre e/o brividi | 6% | 3% |
| Disturbi depressivi | 6% | 4% |
| Dolore muscoloscheletrico | 5% | 7% |
| Eruzioni cutanee | 5% | 4% |
| Infezioni a orecchie/naso/gola | 5% | 4% |
| Infezioni respiratorie virali | 5% | 5% |
| Ansia | 5% | 3% |
| Segni/sintomi renali | <1% | 5% |
| Dolore (non specifico per il sito) | <1% | 5% |
Cinque soggetti che hanno ricevuto Ziagen in CNA3005 hanno sperimentato un peggioramento della depressione preesistente rispetto a nessuno nel braccio indinavir. I tassi di fondo della depressione preesistente erano simili nei 2 bracci di trattamento.
Ziagen una volta al giorno contro Ziagen due volte al giorno (CNA30021)
Le reazioni avverse cliniche emergenti dal trattamento (classificate dallo investigatore almeno moderate) con una frequenza maggiore o uguale al 5% durante la terapia con Ziagen 600 mg una volta al giorno o Ziagen 300 mg due volte al giorno erano simili. Per le reazioni di ipersensibilità I soggetti che ricevevano Ziagen una volta al giorno hanno mostrato un tasso del 9% rispetto a un tasso del 7% per i soggetti che ricevono Ziagen due volte al giorno. Tuttavia, i soggetti che hanno ricevuto Ziagen 600 mg una volta al giorno hanno sperimentato un'incidenza significativamente più elevata di reazioni di ipersensibilità farmacologica grave e una diarrea grave rispetto ai soggetti che hanno ricevuto Ziagen 300 mg due volte al giorno. Il cinque percento (5%) dei soggetti che ricevevano Ziagen 600 mg una volta al giorno aveva gravi reazioni di ipersensibilità ai farmaci rispetto al 2% dei soggetti che ricevevano Ziagen 300 mg due volte al giorno. Il due percento (2%) dei soggetti che ricevevano Ziagen 600 mg una volta al giorno avevano una grave diarrea, mentre nessuno dei soggetti che riceveva Ziagen 300 mg due volte al giorno aveva questo evento.
Anomalie di laboratorio
Anomalie di laboratorio (gradi 3-4) negli adulti naive per terapia durante la terapia con Ziagen 300 mg due volte al giorno lamivudina 150 mg due volte al giorno ed efavirenz 600 mg al giorno rispetto a zidovudina 400 mg due volte al giorno 150 mg due volte al giorno e Efavirenz 600 Mg da CNA300 sono elencati in tabella 4.
Tabella 4. Anomalie di laboratorio (gradi 3-4) negli adulti naive per terapia (CNA30024) per 48 settimane di trattamento
| Anomalie di laboratorio di grado 3/4 | Ziagen Plus Lamivudine Plus Efavirenz (n = 324) | Zidovudine Plus Lamivudine Plus Efavirenz (n = 325) |
| CPK elevato (> 4 x Uln) | 8% | 8% |
| Alt elevato (> 5 x Uln) | 6% | 6% |
| AST elevato (> 5 x Uln) | 6% | 5% |
| Ipertrigliceridemia (> 750 mg/dl) | 6% | 5% |
| Iperamylasemia (> 2 x Uln) | 4% | 5% |
| Neutropenia (anc <750/mm 3 ) | 2% | 4% |
| Anemia (HGB ≤6,9 gm/dl) | <1% | 2% |
| Trombocitopenia (piastrine <50000/mm 3 ) | 1% | <1% |
| Leucopenia (WBC ≤1500/mm 3 ) | <1% | 2% |
| Uln = limite superiore del normale. n = numero di soggetti valutati. |
Le anomalie di laboratorio in CNA3005 sono elencate nella Tabella 5.
Tabella 5. Anomalie di laboratorio emergenti del trattamento (gradi 3-4) in CNA3005
| Anomalie di laboratorio di grado 3/4 | Ziagen Plus Lamivudine/Zidovudina (n = 262) | Indinavir più lamivudina/zidovudina (n = 264) |
| CPK elevato (> 4 x Uln) | 18 (7%) | 18 (7%) |
| Alt (> 5,0 x Uln) | 16 (6%) | 16 (6%) |
| Neutropenia ( <750/mm 3 ) | 13 (5%) | 13 (5%) |
| Ipertrigliceridemia (> 750 mg/dl) | 5 (2%) | 3 (1%) |
| Iperamylasemia (> 2,0 x Uln) | 5 (2%) | 1 ( <1%) |
| Iperglicemia (> 13,9 mmol/L) | 2 ( <1%) | 2 ( <1%) |
| Anemia (HGB ≤6,9 g/dl) | 0 (0%) | 3 (1%) |
| Uln = limite superiore del normale. n = numero di soggetti valutati. |
Le frequenze delle anomalie del laboratorio emergente del trattamento erano comparabili tra i gruppi di trattamento in CNA30021.
Studi clinici Esperienza in soggetti pediatrici
Soggetti pediatrici esperti di terapia (dosaggio due volte al giorno)
Reazioni avverse cliniche emergenti del trattamento (classificate dallo investigatore come moderato o grave) con una frequenza maggiore o uguale al 5% durante la terapia con Ziagen 8 mg per kg due volte al giorno lamivudina 4 mg per kg due volte al giorno e zidovudina 180 mg per m 2 due volte al giorno rispetto alla lamivudina 4 mg per kg due volte al giorno e zidovudina 180 mg per m 2 Due volte al giorno da CNA3006 sono elencati nella Tabella 6.
Tabella 6. Reazioni avverse emergenti per il trattamento (tutta la causalità) di intensità almeno moderata (gradi 2-4 maggiore o uguale alla frequenza del 5%) nei soggetti pediatrici esperti in terapia (CNA3006) per 16 settimane di trattamento
| Reazione avversa | Ziagen Plus Lamivudine Plus Zidovudine (n = 102) | Lamivudine Plus Zidovudine (n = 103) |
| Febbre e/o brividi | 9% | 7% |
| Nausea and vomito | 9% | 2% |
| Eruzioni cutanee | 7% | 1% |
| Infezioni a orecchie/naso/gola | 5% | 1% |
| Polmonite | 4% | 5% |
| Mal di testa | 1% | 5% |
Anomalie di laboratorio
Nelle anomalie del laboratorio CNA3006 (anomia di anomalie e aumenti della funzionalità del fegato di anemia neutropenia e aumenti del CPK) sono state osservate con frequenze simili a quelle in uno studio di adulti naive per terapia (CNA30024). Lievi aumenti della glicemia erano più frequenti nei soggetti pediatrici che ricevono Ziagen (CNA3006) rispetto ai soggetti adulti (CNA30024).
Altri eventi avversi
Oltre alle reazioni avverse e alle anomalie di laboratorio riportate nelle tabelle 2 3 4 5 e 6 altre reazioni avverse osservate nel programma di accesso ampliato erano la pancreatite e l'aumento della GGT.
Soggetti pediatrici una volta al giorno contro dosaggio due volte al giorno (COL105677)
La sicurezza di una volta al giorno rispetto al dosaggio due volte al giorno di Ziagen è stata valutata nella prova della freccia. La valutazione della sicurezza primaria nella sperimentazione freccia si basava su eventi avversi di grado 3 e di grado 4. La frequenza degli eventi avversi di grado 3 e 4 era simile tra i soggetti randomizzati al dosaggio una volta al giorno rispetto ai soggetti randomizzati al dosaggio due volte al giorno. Un evento di epatite di grado 4 nella coorte un tempo al giorno è stato considerato come incerto causalità dall'investigatore e tutti gli altri eventi avversi di grado 3 o 4 sono stati considerati non correlati dal ricercatore.
Esperienza post -marketing
Le seguenti reazioni avverse sono state identificate durante l'uso post -marketing di Ziagen. Poiché queste reazioni sono riportate volontariamente da una popolazione di dimensioni sconosciute, non è sempre possibile stimare in modo affidabile la loro frequenza o stabilire una relazione causale con le esposizioni dei farmaci.
Corpo nel suo insieme
Ridistribuzione/accumulo di grasso corporeo.
Cardiovascolare
Infarto miocardico.
Epatico
Acidosi lattica e steatosi epatica [vedi AVVERTIMENTOS AND PRECAUZIONI ].
Pelle
La sindrome di Stevens-Johnson sospetta (SJS) e la necrolisi epidermica tossica (dieci) sono state riportate in pazienti che hanno ricevuto Abacavir principalmente in combinazione con farmaci noti per essere associati a SJS e dieci rispettivamente. A causa della sovrapposizione di segni e sintomi clinici tra ipersensibilità ad Abacavir e SJ e dieci e la possibilità di sensibilità a più farmaci in alcuni pazienti Abacavir dovrebbe essere interrotta e non riavviata in tali casi.
Ci sono stati anche segnalazioni di eritema multiforme con abacavir [vedi Esperienza di studi clinici in soggetti adulti ].
Interazioni farmacologiche per Ziagen
Metadone
In una sperimentazione di 11 soggetti infetti da HIV-1 che ricevono terapia di mantenimento con metadone con 600 mg di Ziagen due volte al giorno (doppia dose attualmente raccomandata) clearance del metadone orale [vedi Farmacologia clinica ]. This alteration will not result in a metadone dose modification in the majority of patients; however an increased metadone dose may be required in a small number of patients.
Riociguat
La somministrazione di co-somministrazione con abacavir a dosi fissa/dolutegravir/lamivudina ha comportato un aumento dell'esposizione al riociguat che può aumentare il rischio di reazioni avverse riociguat [vedi Farmacologia clinica ]. The riociguat dose may need to be reduced. See full prescribing information for ADEMPAS (riociguat).
Avvertimenti per Ziagen
Incluso come parte del 'PRECAUZIONI' Sezione
Precauzioni per Ziagen
Reazioni di ipersensibilità
Reazioni di ipersensibilità gravi e talvolta fatali si sono verificate con Ziagen (Abacavir). Queste reazioni di ipersensibilità hanno incluso insufficienza multi-organi e anafilassi e in genere si sono verificate entro le prime 6 settimane di trattamento con Ziagen (il tempo mediano all'inizio era di 9 giorni); Sebbene le reazioni di ipersensibilità di Abacavir si siano verificate in qualsiasi momento durante il trattamento [vedi Reazioni avverse ]. Patients who carry the HLA-B*5701 allele are at a higher risk of abacavir hypersensitivity reactions; although patients who do not carry the HLA-B*5701 allele have developed hypersensitivity reactions. Hypersensitivity to abacavir was reported in approximately 206 (8%) of 2670 patients in 9 clinical trials with abacavir-containing products where HLA-B*5701 screening was not performed. The incidence of suspected abacavir hypersensitivity reactions in clinical trials was 1% when subjects carrying the HLA-B*5701 allele were excluded. In any patient treated with abacavir the clinical diagnosis of hypersensitivity reaction must remain the basis of clinical decision making.
A causa del potenziale per gravi reazioni di ipersensibilità gravi e forse fatali con Ziagen:
- Tutti i pazienti devono essere sottoposti a screening per l'allele HLA-B*5701 prima di iniziare la terapia con Ziagen o reitiziazione della terapia con Ziagen a meno che i pazienti non abbiano una valutazione allele HLA-B*5701 precedentemente documentata.
- Ziagen è controindicato nei pazienti con una precedente reazione di ipersensibilità ad Abacavir e nei pazienti positivi a HLA-B*5701.
- Prima di iniziare la cronologia medica di Ziagen Review per un'esposizione precedente a qualsiasi prodotto abavizzato. Non riavviare mai Ziagen o nessun altro prodotto contenente Abacavir a seguito di una reazione di ipersensibilità ad Abacavir indipendentemente dallo stato HLA-B*5701.
- Per ridurre il rischio di una reazione di ipersensibilità pericolosa per la vita indipendentemente dallo stato HLA-B*5701 interrompere immediatamente Ziagen se si sospetta una reazione di ipersensibilità anche quando sono possibili altre diagnosi (ad esempio ad altre medicine).
- Se non è possibile escludere una reazione di ipersensibilità, non riavviare Ziagen o altri prodotti contenenti abavir perché i sintomi più gravi che possono includere ipotensione e morte potenzialmente letali possono verificarsi in poche ore.
- Se si esclude una reazione di ipersensibilità, i pazienti possono riavviare Ziagen. Raramente i pazienti che hanno fermato Abacavir per ragioni diverse dai sintomi di ipersensibilità hanno anche subito reazioni potenzialmente letali entro poche ore dalla reniziazione della terapia abacavir. Pertanto, è raccomandata la reintroduzione di Ziagen o qualsiasi altro prodotto contenente Abacavir solo se è possibile accedere alle cure mediche.
- Una guida per i farmaci e una scheda di avvertimento che forniscono informazioni sul riconoscimento delle reazioni di ipersensibilità dovrebbero essere erogate con ogni nuova prescrizione e ricarica.
Acidosi lattica e grave epatomegalia con steatosi
L'acidosi lattica e l'epatomegalia grave con steatosi, compresi i casi fatali, sono stati riportati con l'uso di analoghi nucleosidici, incluso Ziagen. La maggior parte di questi casi è stata nelle donne. Il sesso e l'obesità femminile possono essere fattori di rischio per lo sviluppo di acidosi lattica e grave epatomegalia con steatosi nei pazienti trattati con analoghi nucleosidici antiretrovirali. Il trattamento con Ziagen dovrebbe essere sospeso in qualsiasi paziente che sviluppi risultati clinici o di laboratorio che suggeriscono l'acidosi lattica o l'epatotossicità pronunciata che può includere l'epatomegalia e la steatosi anche in assenza di marcati aumenti transaminasi.
Sindrome di ricostituzione immunitaria
La sindrome della ricostituzione immunitaria è stata riportata in pazienti trattati con terapia antiretrovirale combinata, incluso Ziagen. Durante la fase iniziale della combinazione, i pazienti con trattamento antiretrovirale il cui sistema immunitario risponde può sviluppare una risposta infiammatoria a infezioni opportunistiche indolenti o residue (come Mycobacterium avium Infezione Cytomegalovirus Pneumocystis jirovecii polmonite [PCP] o tubercolosi) che possono richiedere ulteriori valutazioni e trattamenti.
Sono stati anche segnalati disturbi autoimmuni (come la polimiosite della malattia di Graves e la sindrome di Guillain-Barré) nel contesto della ricostituzione immunitaria; Tuttavia, il tempo di insorgenza è più variabile e può verificarsi molti mesi dopo l'inizio del trattamento.
Infarto miocardico
Diversi studi epidemiologici osservazionali prospettici hanno riportato un'associazione con l'uso di Abacavir e il rischio di infarto del miocardio (MI). Le meta-analisi di studi clinici controllati randomizzati non hanno osservato alcun rischio in eccesso di IM nei soggetti trattati con Abacavir rispetto ai soggetti di controllo. Ad oggi non esiste un meccanismo biologico stabilito per spiegare un potenziale aumento del rischio. Nella totalità i dati disponibili dagli studi osservazionali e dagli studi clinici controllati mostrano incoerenza; Pertanto, le prove di una relazione causale tra il trattamento di Abacavir e il rischio di IM sono inconcludenti.
Come precauzione, il rischio sottostante di malattia coronarica dovrebbe essere preso in considerazione quando si prescrivono terapie antiretrovirali, tra cui Abacavir e azioni intraprese per ridurre al minimo tutti i fattori di rischio modificabili (ad es. Ipertensione iperlipidemia diabete mellito fumo).
Informazioni sulla consulenza del paziente
Consiglia al paziente di leggere l'etichettatura del paziente approvato dalla FDA ( Informazioni sul paziente ).
Reazioni di ipersensibilità
Informare i pazienti:
- Che una guida farmacologica e una scheda di avvertimento che riassumono i sintomi della reazione di ipersensibilità di Abacavir e altre informazioni sul prodotto saranno distribuite dal farmacista con ogni nuova prescrizione e ricarica di Ziagen e istruire il paziente a leggere ogni volta la guida ai farmaci e la scheda di avvertimento per ottenere nuove informazioni che possono essere presenti su Ziagen. Il testo completo della guida ai farmaci è ristampato alla fine di questo documento.
- per portare con sé la scheda di avvertimento.
- come identificare una reazione di ipersensibilità [vedi AVVERTIMENTOS AND PRECAUZIONI Informazioni sul paziente ].
- Che se sviluppano sintomi coerenti con una reazione di ipersensibilità, dovrebbero chiamare immediatamente il proprio operatore sanitario per determinare se dovrebbero smettere di prendere Ziagen.
- Che una reazione di ipersensibilità può peggiorare e portare al ricovero in ospedale o alla morte se Ziagen non viene immediatamente sospeso.
- Non riavviare Ziagen o qualsiasi altro prodotto contenente Abacavir a seguito di una reazione di ipersensibilità perché possono verificarsi sintomi più gravi entro ore e possono includere ipotensione e morte potenzialmente letali.
- Che se hanno una reazione di ipersensibilità, dovrebbero smaltire qualsiasi Ziagen inutilizzato per evitare di riavviare Abacavir.
- Che una reazione di ipersensibilità sia generalmente reversibile se viene rilevata prontamente e Ziagen viene arrestata immediatamente.
- che se hanno interrotto Ziagen per ragioni diverse dai sintomi di ipersensibilità (ad esempio coloro che hanno un'interruzione nell'offerta di droghe) può verificarsi una reazione di ipersensibilità grave o fatale con reintroduzione di abacavir.
- Non riavviare Ziagen o qualsiasi altro prodotto contenente Abacavir senza consultazione medica e solo se è possibile accedere a cure mediche dal paziente o da altri.
Acidosi lattica/epatomegalia con steatosi
Sono stati segnalati pazienti con acidosi lattica e grave epatomegalia con steatosi con l'uso di analoghi nucleosidici e altri antiretrovirali. Consiglia ai pazienti di smettere di assumere Ziagen se sviluppano sintomi clinici che suggeriscono acidosi lattica o eponotossicità pronunciata [vedi AVVERTIMENTOS AND PRECAUZIONI ].
Sindrome di ricostituzione immunitaria
Consiglia ai pazienti di informare immediatamente il proprio operatore sanitario di eventuali segni e sintomi di infezione poiché l'infiammazione da una precedente infezione può verificarsi subito dopo la terapia antiretrovirale combinata, incluso quando è iniziato Ziagen [vedi AVVERTIMENTOS AND PRECAUZIONI ].
Registro di gravidanza
Consiglia ai pazienti che esiste un registro di esposizione alla gravidanza che monitora gli esiti di gravidanza nelle donne esposte a Ziagen durante la gravidanza [vedi Utilizzare in popolazioni specifiche ].
Lattazione
Istruire le donne con infezione da HIV-1 non allattare perché l'HIV-1 può essere passato al bambino nel latte materno [vedi Utilizzare in popolazioni specifiche ].
Dose persa
Istruire ai pazienti che se perdono una dose di Ziagen di prenderlo non appena ricordano. Consiglia ai pazienti di non raddoppiare la loro prossima dose o di assumere più della dose prescritta [vedi Dosaggio e amministrazione ].
Disponibilità della guida ai farmaci
Chiedi ai pazienti di leggere la guida ai farmaci prima di iniziare Ziagen e di rileggerlo ogni volta che la prescrizione viene rinnovata. Chiedere ai pazienti di informare il proprio medico o farmacista se sviluppano un sintomo insolito o se un sintomo noto persiste o peggiora.
Combivir Epivir Triumeq e Ziagen sono marchi di proprietà o autorizzati al gruppo di società VIIV Healthcare.
Gli altri marchi elencati sono di proprietà o autorizzati al rispettivo proprietario e non sono di proprietà o autorizzati al gruppo di aziende VIIV Healthcare. I produttori di questi marchi non sono affiliati e non sostengono il gruppo di aziende VIIV Healthcare o i suoi prodotti.
Tossicologia non clinica
Mutagenesi della carcinogenesi compromissione della fertilità
Cancerogenicità
Abacavir è stato somministrato per via orale a 3 livelli di dosaggio per separare gruppi di topi e ratti in studi di cancerogenicità a 2 anni. I risultati hanno mostrato un aumento dell'incidenza di tumori maligni e non maligni. I tumori maligni si sono verificati nella ghiandola prepuziale dei maschi e nella ghiandola clitoride delle femmine di entrambe le specie e nel fegato di ratti femmine. Inoltre, si sono verificati anche tumori non maligni nella ghiandola epatica e tiroidea di ratti femmine. Queste osservazioni sono state fatte a esposizioni sistemiche nell'intervallo da 6 a 32 volte l'esposizione umana alla dose raccomandata di 600 mg.
Mutagenicità
Abacavir ha indotto aberrazioni cromosomiche sia in presenza che in assenza di attivazione metabolica in un in vitro Studio citogenetico nei linfociti umani. Abacavir era mutagenico in assenza di attivazione metabolica sebbene non fosse mutageno in presenza di attivazione metabolica in un test del linfoma di topo L5178Y. Abacavir era clastogenico nei maschi e non clastogenico nelle femmine in un in vivo Tosaggio di micronucleo del midollo osseo del topo.
Abacavir non era mutagenico nei test di mutagenicità batterica in presenza e assenza di attivazione metabolica.
Compromissione della fertilità
Abacavir non ha influenzato la fertilità maschile o femminile nei ratti a una dose associata a esposizioni (AUC) circa 3,3 volte (maschio) o 4,1 volte (femmina) quelli nell'uomo alla dose clinicamente raccomandata.
Utilizzare in popolazioni specifiche
Gravidanza
Gravidanza Exposure Registry
Esiste un registro di esposizione alla gravidanza che monitora gli esiti di gravidanza nelle donne esposte a Ziagen durante la gravidanza. Gli operatori sanitari sono incoraggiati a registrare i pazienti chiamando il registro di gravidanza antiretrovirale (APR) al numero 1-800-258-4263.
Riepilogo del rischio
I dati disponibili dall'APR non mostrano alcuna differenza nel rischio complessivo di difetti alla nascita per Abacavir rispetto al tasso di fondo per i difetti alla nascita del 2,7% nel Metropolitan Atlanta Congenity Defects Program (MACDP) Popolazione di riferimento (vedi Dati ). The APR uses the MACDP as the U.S. reference population for birth defects in the general population. The MACDP evaluates women and infants from a limited geographic area and does not include outcomes for births that occurred at less than 20 weeks’ gestation. The rate of miscarriage is not reported in the APR. The estimated background rate of miscarriage in clinically recognized pregnancies in the U.S. general population is 15% to 20%. The background risk for major birth defects and miscarriage for the indicated population is unknown.
Negli studi sulla riproduzione degli animali La somministrazione orale di abacavir ai ratti in gravidanza durante l'organogenesi ha provocato malformazioni fetali e altre tossicità embrionali e fetali alle esposizioni 35 volte l'esposizione umana (AUC) alla dose clinica raccomandata. Tuttavia, non sono stati osservati effetti avversi sullo sviluppo dopo la somministrazione orale di abacavir ai conigli incinti durante l'organogenesi alle esposizioni circa 9 volte l'esposizione umana (AUC) alla dose clinica raccomandata (vedi Dati ).
Dati
Dati umani
Sulla base di potenziali rapporti all'APR delle esposizioni ad Abacavir durante la gravidanza con conseguenti nascite vive (tra cui oltre 1300 esposte nel primo trimestre e oltre 1300 esposte nel secondo/terzo trimestre) non vi era alcuna differenza tra il rischio complessivo di difetti alla nascita per Abacavir rispetto al tasso di difetto di nascita di fondo del 2,7% nella popolazione di riferimento degli Stati Uniti del MacDP. La prevalenza di difetti nelle nascite vive è stata del 3,2% (IC 95%: dal 2,3% al 4,3%) dopo l'esposizione al primo trimestre ai regimi contenenti Abacavir e 2,9% (IC 95%: dal 2,1% al 4,0%) dopo l'esposizione del secondo/terzo trimestre a Abacavir.
Abacavir ha dimostrato di attraversare la placenta e le concentrazioni nel plasma neonatale alla nascita erano essenzialmente uguali a quelli nel plasma materno al parto [vedi Farmacologia clinica ].
è metaxalone 800 mg un narcotico
Dati sugli animali
Abacavir è stato somministrato per via orale ai ratti in gravidanza (a 100 300 e 1000 mg per kg al giorno) e conigli (a 125 350 o 700 mg per kg al giorno) durante l'organogenesi (nei giorni di gestazione da 6 a 17 e 6 a 20 rispettivamente). Le malformazioni fetali (aumentate incidenze di anasarca fetale e malformazioni scheletriche) o tossicità dello sviluppo (riduzione del peso corporeo fetale e lunghezza della corona) sono state osservate nei ratti a dosi fino a 1000 mg per kg al giorno con conseguente esposizione circa 35 volte l'esposizione umana (AUC) alla dose giornaliera raccomandata. Non sono stati osservati effetti di sviluppo nei ratti a 100 mg per kg al giorno con conseguenti esposizioni (AUC) 3,5 volte l'esposizione umana alla dose giornaliera raccomandata. In uno studio di sviluppo della fertilità e della precoce embrione condotto con i ratti (a 60 160 o 500 mg per kg al giorno) tossicità embrionali e fetali (aumento di riassorbimento hanno ridotto i pesi corporei fetali) o tossicità per la prole (aumento dell'incidenza di morta e pesi corporee più bassi) si sono verificati a dosi fino a 500 mg per la giornata. Non sono stati osservati effetti di sviluppo nei ratti a 60 mg per kg al giorno con conseguenti esposizioni (AUC) circa 4 volte l'esposizione umana alla dose giornaliera raccomandata. Gli studi sui ratti in gravidanza hanno mostrato che Abacavir viene trasferito al feto attraverso la placenta. Nei conigli incinti non tossicità dello sviluppo e nessun aumento delle malformazioni fetali si è verificato fino alla dose più alta valutata con conseguente esposizione (AUC) circa 9 volte l'esposizione umana alla dose raccomandata.
Lattazione
Riepilogo del rischio
I Centri per il controllo e la prevenzione delle malattie raccomandano alle madri infette dall'HIV-1 negli Stati Uniti non allattavano i loro bambini per evitare di rischiare la trasmissione postnatale dell'infezione da HIV-1. Abacavir è presente nel latte umano. Non ci sono informazioni sugli effetti di Abacavir sul bambino allattato al seno o sugli effetti del farmaco sulla produzione di latte. A causa del potenziale per (1) trasmissione dell'HIV-1 (nei neonati HIV-negativi) (2) sviluppare resistenza virale (nei neonati HIV-positivi) e (3) reazioni avverse in un bambino allattato al seno, istruire le madri a non allattare se ricevono ziagen.
Uso pediatrico
La sicurezza e l'efficacia di Ziagen sono state stabilite in pazienti pediatrici di età pari o superiore a 3 mesi. L'uso di Ziagen è supportato da studi farmacocinetici e prove da prove adeguate e ben controllate su Ziagen negli adulti e nei soggetti pediatrici [vedi Dosaggio e amministrazione Reazioni avverse Farmacologia clinica Studi clinici ].
Uso geriatrico
Gli studi clinici su Ziagen non includevano un numero sufficiente di soggetti di età pari o superiore a 65 anni per determinare se rispondono in modo diverso dai soggetti più giovani. In generale, dovrebbe essere esercitata cautela nella somministrazione di Ziagen nei pazienti anziani che riflettono la maggiore frequenza della ridotta funzione renale epatica o cardiaca e di malattia concomitante o altra terapia farmacologica.
Pazienti con funzionalità epatica compromessa
È necessaria una riduzione della dose per i pazienti con lieve compromissione epatica (Classe A Child-Pugh) [vedi Dosaggio e amministrazione ]. The safety efficacy and pharmacokinetic properties of abacavir have not been established in patients with moderate or severe hepatic impairment; therefore Coda is contraindicated in these patients [see Controindicazioni Farmacologia clinica ].
Informazioni per overdose per Ziagen
Non esiste un trattamento specifico noto per il sovradosaggio con Ziagen. Se si verifica un overdose, il paziente deve essere monitorato e il trattamento di supporto standard applicato come richiesto. Non è noto se Abacavir possa essere rimosso dalla dialisi peritoneale o dall'emodialisi.
Controindicazioni per Ziagen
Ziagen è controindicato nei pazienti:
- che hanno l'allele HLA-B*5701 [vedi AVVERTIMENTOS AND PRECAUZIONI ].
- con una precedente reazione di ipersensibilità ad Abacavir [vedi AVVERTIMENTOS AND PRECAUZIONI ].
- con compromissione epatica moderata o grave [vedi Utilizzare in popolazioni specifiche ].
Farmacologia clinica for Ziagen
Meccanismo d'azione
Abacavir è un agente antiretrovirale [vedi Microbiologia ].
Farmacocinetica
Farmacocinetica In Adults
Le proprietà farmacocinetiche di Abacavir erano indipendenti dalla dose nell'intervallo da 300 a 1200 mg al giorno.
Assorbimento
A seguito di somministrazione orale Abacavir viene rapidamente assorbito e ampiamente distribuito. La biodisponibilità assoluta media geometrica della compressa era dell'83%. Il plasma Abacavir AUC era simile dopo la somministrazione della soluzione orale o delle compresse. Dopo la somministrazione orale di 300 mg due volte al giorno in 20 soggetti, la concentrazione sierica di abavir di picco allo stato stazionario (CMAX) era di 3,0 ± 0,89 mcg per ml (media ± DS) e AUC (0-12 H) era 6,02 ± 1,73 mcg • ora per ml. Dopo la somministrazione orale di una singola dose di 600 mg di abacavir in 20 soggetti CMAX era 4,26 ± 1,19 mcg per ml (media ± DS) e AUC∞ era 11,95 ± 2,51 mcg • ora per ml.
Effetto del cibo
La biodisponibilità delle compresse di Abacavir è stata valutata negli stati di digiuno e Fed senza differenze significative nell'esposizione sistemica (AUC∞); Pertanto le compresse Ziagen possono essere somministrate con o senza cibo. L'esposizione sistemica ad Abacavir era comparabile dopo la somministrazione di soluzione orale Ziagen e compresse Ziagen. Pertanto questi prodotti possono essere utilizzati in modo intercambiabile.
Distribuzione
Il volume apparente di distribuzione dopo la somministrazione IV di Abacavir era 0,86 ± 0,15 L per kg suggerendo che Abacavir si distribuisce nello spazio extravascolare. In 3 soggetti il rapporto CSF AUC (0-6 H) a plasma Abacavir AUC (0-6 H) variava dal 27% al 33%.
Il legame di Abacavir alle proteine plasmatiche umane è di circa il 50% ed era indipendente dalla concentrazione. Le concentrazioni di radioattività totali e plasmatiche di radioattività sono identiche dimostrando che Abacavir si distribuisce prontamente negli eritrociti.
Eliminazione
In studi monodosi l'emivita di eliminazione osservata (t ½ ) era 1,54 ± 0,63 ore. Dopo la somministrazione endovenosa la distanza totale era 0,80 ± 0,24 L all'ora per kg (media ± DS).
Metabolismo
Nell'uomo abacavir non è significativamente metabolizzato dagli enzimi del citocromo P450. Le rotte primarie di eliminazione di abacavir sono il metabolismo da alcol deidrogenasi per formare l'acido 5'-carbossilico e il glucuronil transferasi per formare il 5'-glucuronide. I metaboliti non hanno attività antivirale. In vitro Gli esperimenti rivelano che Abacavir non inibisce l'attività del CYP2D6 o del CYP2C9 umano a concentrazioni clinicamente rilevanti.
Escrezione
Eliminazione of abacavir was quantified in a mass balance trial following administration of a 600-mg dose of 14 C-ABACAVIR: il 99% della radioattività è stato recuperato l'1,2% è stato escreto nelle urine con il 30% del 30% come il metabolita dell'acido carbossilico 5 ′ del 36% come il metabolita 5′-glucuronide e il 15% come metaboliti minori non identificati nell'urina. L'eliminazione fecale rappresentava il 16% della dose.
Popolazioni specifiche
Pazienti con compromissione renale
Le proprietà farmacocinetiche di Ziagen non sono state determinate in pazienti con funzionalità renale alterata. L'escrezione renale di abacavir invariato è una via minore di eliminazione nell'uomo.
Pazienti con compromissione epatica
I farmacocinetici di Abacavir sono stati studiati in soggetti con lieve compromissione epatica (classe A Child-Pugh). I risultati hanno mostrato che vi è stato un aumento medio dell'89% nell'AUC Abacavir e un aumento del 58% nell'emivita di Abacavir dopo una singola dose di 600 mg di abacavir. Gli AUC dei metaboliti non sono stati modificati da lieve malattia epatica; Tuttavia, i tassi di formazione e l'eliminazione dei metaboliti sono diminuiti [vedi Controindicazioni Utilizzare in popolazioni specifiche ].
Donne incinte
La farmacocinetica Abacavir è stata studiata in 25 donne in gravidanza durante l'ultimo trimestre di gravidanza che riceveva Abacavir 300 mg due volte al giorno. L'esposizione di Abacavir (AUC) durante la gravidanza era simile a quelle in postpartum e nei controlli storici non graduali infetti da HIV. Coerentemente con la diffusione passiva di abacavir attraverso le concentrazioni di placenta abacavir nei campioni di cordone plasmatico neonatale alla nascita erano essenzialmente uguali a quelli nel plasma materno al parto.
Pazienti pediatrici
La farmacocinetica di Abacavir è stata studiata dopo dosi singoli o ripetute di Ziagen in 169 soggetti pediatrici. I soggetti che ricevono una soluzione orale di Abacavir secondo il regime di dosaggio raccomandato hanno raggiunto concentrazioni plasmatiche di abacavir in modo simile agli adulti. I soggetti che ricevono compresse orali di abacavir hanno raggiunto concentrazioni plasmatiche più elevate di abacavir rispetto ai soggetti che ricevono una soluzione orale.
La farmacocinetica di Abacavir dosata una volta al giorno in soggetti pediatrici infetti da HIV-1 di età compresa tra 3 mesi a 12 anni è stata valutata in 3 studi (Penta 13 [n = 14] PENTA 15 [n = 18] e freccia [n = 36]). Tutti e 3 le prove erano studi farmacocinetici crossover a 2 periodi di dosaggio due volte versi al giorno di abacavir e lamivudina. Per la soluzione orale e la formulazione di compresse questi 3 studi hanno dimostrato che il dosaggio una volta al giorno fornisce un dosaggio da AUC0-24 comparabile a due volte al giorno di Abacavir alla stessa dose giornaliera totale. Il CMAX medio era di circa 1,6 a 2,3 volte più alto con un dosaggio Abacavir una volta al giorno rispetto al dosaggio due volte al giorno.
Pazienti geriatrici
La farmacocinetica di Ziagen non è stata studiata in soggetti di età superiore ai 65 anni.
Pazienti maschi e femmine
Un'analisi farmacocinetica della popolazione nei soggetti maschi (n = 304) e femmine (n = 67) infetti da HIV-1 non hanno mostrato differenze di genere nell'AUC abavir normalizzato per peso corporeo magro.
Gruppi razziali
Non ci sono differenze razziali significative o clinicamente rilevanti tra neri e bianchi nella farmacocinetica Abacavir.
Studi sull'interazione farmacologica
Effetto dell'abacavir sulla farmacocinetica di altri agenti
In vitro Gli studi hanno dimostrato che Abacavir ha il potenziale per inibire il CYP1A1 e il potenziale limitato per inibire il metabolismo mediato dal CYP3A4. Abacavir non ha inibito né induce altri enzimi del CYP (come CYP2C9 o CYP2D6).
Basato su in vitro I risultati dello studio Abacavir alle esposizioni terapeutiche di farmaci non dovrebbero influire sulla farmacocinetica dei farmaci che sono substrati dei seguenti trasportatori: polipeptide di trasportatore di anioni organici (OATP) 1B1/3 proteina di resistenza al carcinoma mammario (Otto di estrusione del carcinoma multidico (Ottidrug e tossico (Ottidrug-tossic Protein (Toxic Extrrug (BCRP) (BCRP) e brCRP di BCRP) o pglycoproteina (P-GP) Organic Cation TransPorter (OCT) 1 Ottidrug e tossic. Mate2-K.
Riociguat
La somministrazione di co-somministrazione di una singola dose di riociguat (NULL,5 mg) a soggetti infetti da HIV-1 che riceve abacavir a dose fissa/doloutegravir/lamivudina è segnalato per aumentare la riociguat AUC (∞) rispetto al riociguat AUC (∞) riportato in materie sane a causa dell'inibizione del CYP1A1. L'entità esatta di aumento dell'esposizione di riociguat non è stata completamente caratterizzata in base ai risultati di due studi [vedi Interazioni farmacologiche ].
Effetto di altri agenti sulla farmacocinetica di Abacavir
In vitro Abacavir non è un substrato di OATP1B1 OAP1B3 OTT1 OTT2 OAT1 Mate1 Mate2-K Multidrug-Resistance Associated Protein (MRP) 2 o MRP4; Pertanto, non si prevede che i farmaci che modulano questi trasportatori influenzino le concentrazioni plasmatiche di Abacavir. Abacavir è un substrato di BCRP e P-GP in vitro ; Tuttavia, considerando i suoi modulatori assoluti di biodisponibilità (83%) di questi trasportatori, è improbabile che comporti un impatto clinicamente rilevante sulle concentrazioni di Abacavir.
Lamivudina e/o zidovudina
Quindici soggetti infetti da HIV-1 sono stati arruolati in uno studio di interazione farmacologica progettata dal crossover che valuta le singole dosi di abacavir (600 mg) lamivudina (150 mg) e zidovudina (300 mg) da sola o in combinazione. L'analisi non ha mostrato cambiamenti clinicamente rilevanti nella farmacocinetica di Abacavir con l'aggiunta di lamivudina o zidovudina o la combinazione di lamivudina e zidovudina. L'esposizione alla lamivudina (AUC è diminuita del 15%) e l'esposizione alla zidovudina (AUC è aumentata del 10%) non ha mostrato cambiamenti clinicamente rilevanti con Abacavir simultaneo.
Etanolo
Abacavir non ha alcun effetto sulle proprietà farmacocinetiche dell'etanolo. L'etanolo riduce l'eliminazione di abacavir causando un aumento dell'esposizione complessiva. A causa delle vie metaboliche comuni di abacavir ed etanolo attraverso l'alcol deidrogenasi, l'interazione farmacocinetica tra abacavir ed etanolo è stata studiata in 24 soggetti maschi con infezione da HIV-1. Ogni soggetto ha ricevuto i seguenti trattamenti in occasioni separate: una singola dose di 600 mg di Abacavir 0,7 g per etanolo kg (equivalente a 5 bevande alcoliche) e Abacavir 600 mg più 0,7 g per etanolo. La somministrazione di co -etanolo e abacavir ha comportato un aumento del 41% di Abacavir Auc∞ e un aumento del 26% di Abacavir t ½ . Abacavir non ha avuto alcun effetto sulle proprietà farmacocinetiche dell'etanolo, quindi non è prevista alcuna interazione clinicamente significativa negli uomini. Questa interazione non è stata studiata nelle femmine.
Metadone
In uno studio di 11 soggetti infetti da HIV-1 che ricevono terapia di mantenimento del metadone (40 mg e 90 mg al giorno) con 600 mg di Ziagen due volte al giorno (due volte la dose attualmente raccomandata) è aumentata il 22% (IC 90%: dal 6% al 42%). Questa alterazione non comporterà una modifica della dose di metadone nella maggior parte dei pazienti; Tuttavia, può essere richiesta una dose di metadone aumentata in un piccolo numero di pazienti [vedi Interazioni farmacologiche ]. The addition of metadone had no clinically significant effect on the pharmacokinetic properties of abacavir.
Microbiologia
Abacavir è un analogo nucleosidico sintetico carbociclico. Abacavir viene convertito dagli enzimi cellulari nel carbosfato di metaboliti attivo (CBV-TP) un analogo di deossyguanosina-5'-trifosfato (DGTP). CBV-TP inibisce l'attività della trascrittasi inversa dell'HIV-1 (RT) sia in competizione con il DGTP del substrato naturale che dalla sua incorporazione nel DNA virale.
Attività antivirale
L'attività antivirale di Abacavir contro l'HIV-1 è stata valutata in una serie di linee cellulari tra cui monociti/macrofagi primari e cellule mononucleate del sangue periferico (PBMC). EC 50 I valori variavano da 3,7 a 5,8 microm (1 microm = 0,28 mcg per ml) e da 0,07 a 1,0 microm contro rispettivamente HIV-1iiib e HIV-1 e la media ME 50 Il valore era 0,26 ± 0,18 microm contro 8 isolati clinici. La mediana EC 50 I valori di Abacavir erano 344 nm (intervallo: da 14,8 a 676 nm) 16,9 nm (intervallo: da 5,9 a 27,9 nm) 8,1 nm (intervallo: da 1,5 a 16,7 nm) 356 nm (intervallo: da 35,7 a 396 nm) 105 nm (intervallo: da 28,1 a 168 nm) 47,6 nm (NULL,2 a 200 nm) Da 7,1 a 177 nm) e 282 nm (intervallo: da 22,4 a 598 nm) contro le pale HIV-1 A-G e il gruppo O virus (n = 3 tranne n = 2 per il clade B) rispettivamente. La EC 50 I valori contro gli isolati dell'HIV-2 (n = 4) variavano da 0,024 a 0,49 microm. L'attività antivirale di abacavir nella coltura cellulare non è stata antagonizzata se combinata con gli inibitori della trascrittasi inversa nucleosidica (NRTI) di didanosina emtricitabina lamivudina stavudina tenofovir Zalcitabina in Insalcitabina (PI) in Insalcitabina (PI) in Insalcitabina (PI) in Insaltipina (PI) in Insaltipina (PI) in Insaltipina (PI) in Insaltipina (PI) in Insaltipina (PI) in uscita (PI) in caso di disciplinia (pIirapina (PI) in caso di disciplinata (nnripina) che non sono sbitorti o la proteasi per la proteasi) amprenavir. La ribavirina (50 microm) utilizzata nel trattamento dell'infezione da HCV cronica non ha avuto alcun effetto sull'attività anti-HIV-1 di abacavir nella coltura cellulare.
Resistenza
HIV-1 isolates with reduced susceptibility to abacavir have been selected in cell culture. Genotypic analysis of isolates selected in cell culture and recovered from abacavir-treated subjects demonstrated that amino acid substitutions K65R L74V Y115F and M184V/I emerged in HIV-1 RT. M184V or I substitutions resulted in an approximately 2-fold decrease in susceptibility to abacavir. Substitutions K65R L74M or Y115F with M184V or I conferred a 7to 8-fold reduction in abacavir susceptibility and combinations of three substitutions were required to confer more than an 8-fold reduction in susceptibility.
Thirty-nine percent (7 of 18) of the isolates from subjects who experienced virologic failure in the abacavir once-daily arm had a greater than 2.5-fold mean decrease in abacavir susceptibility with a median-fold decrease of 1.3 (range: 0.5 to 11) compared with 29% (5 of 17) of the failure isolates in the twice-daily arm with a median-fold decrease of 0.92 (range: 0.7 to 13).
Resistenza incrociata
La resistenza incrociata è stata osservata tra i NRTI. Gli isolati contenenti sostituzioni associate alla resistenza di Abacavir, vale a dire K65R L74V Y115F e M184V, mostravano resistenza incrociata alla lamivudina emtricitabina di didanosina e tenofovir nella coltura cellulare e nei soggetti. Un numero crescente di sostituzioni di mutazione analogica della timidina (TAMS: M41L D67N K70R L210W T215Y/F K219E/R/H/Q/N) è associato a una riduzione progressiva della suscettibilità abacavir.
Tossicologia animale e/o farmacologia
La degenerazione miocardica è stata trovata nei topi e nei ratti dopo la somministrazione di Abacavir per 2 anni. Le esposizioni sistemiche erano equivalenti a 7-24 volte l'esposizione sistemica attesa nell'uomo alla dose di 600 mg. La rilevanza clinica di questa scoperta non è stata determinata.
Studi clinici
Prove per adulti
Adulti naive per terapia
CNA30024 era uno studio multicentrico controllato in doppio cieco in cui 649 adulti naive-naive con infezione da HIV-1 sono stati randomizzati e hanno ricevuto ziagen (300 mg due volte al giorno) lamivudina (150 mg due volte al giorno) ed Efavirenz (600 mg una volta al giorno); o zidovudina (300 mg due volte al giorno) lamivudina (150 mg due volte al giorno) ed Efavirenz (600 mg una volta al giorno). La durata del trattamento in doppio cieco è stata di almeno 48 settimane. I partecipanti alla prova erano maschi (81%) bianchi (51%) neri (21%) e ispanici (26%). L'era mediana era di 35 anni; La conta delle cellule CD4 di pretrattamento mediano era di 264 cellule per mm 3 e l'RNA HIV-1 plasmatico mediano era 4,79 registro 10 Copie per ml. I risultati del trattamento randomizzato sono forniti nella Tabella 7.
Tabella 7. Risultati del trattamento randomizzato attraverso la settimana 48 (CNA30024)
| Risultato | Ziagen Plus Lamivudine Plus Efavirenz (n = 324) | Zidovudine Plus Lamivudine Plus Efavirenz (n = 325) |
| Risponditore a | 69% (73%) | 69% (71%) |
| Fallimenti virologici b | 6% | 4% |
| Interrotto a causa di reazioni avverse | 14% | 16% |
| Interrotto a causa di altri motivi c | 10% | 11% |
| a Soggetti raggiunti e mantenuti RNA HIV-1 confermato inferiore o uguale a 50 copie per ml (meno di 400 copie per ml) fino alla settimana 48 (Roche Amploring Ultrasensitive HIV-1 Monitor Test standard 1.0 PCR). b Include una risposta virale insufficiente di rimbalzo virale secondo l'investigatore e il mancato raggiungimento di meno o uguale a 50 copie per ml entro la settimana 48. c Include il consenso ritirato perduto in violazioni del protocollo di follow -up quelle con progressione clinica di dati mancanti e altro. |
Dopo 48 settimane di terapia, gli aumenti delle cellule CD4 mediani dal basale erano 209 cellule per mM 3 Nel gruppo che riceve Ziagen e 155 celle per mm 3 Nel gruppo Zidovudine. Durante la settimana 48 8 soggetti (2%) nel gruppo che riceve Ziagen (5 eventi di classificazione C CDC e 3 decessi) e 5 soggetti (2%) sul braccio di zidovudina (3 eventi di classificazione CDC C e 2 decessi) hanno subito progressione delle malattie cliniche.
CNA3005 era uno studio multicentrico controllato in doppio cieco in cui gli adulti nai-nai-nai-infetti da 562 HIV-1 sono stati randomizzati a ricevere Ziagen (300 mg due volte al giorno) più combivir (Lamivudina 150 mg/Zidovudina 300 mg due volte al giorno) o indinavir (800 mg 3 volte più e due volte due volte. La sperimentazione è stata stratificata alla randomizzazione mediante RNA HIV-1 plasmatico pre-ingresso da 10000 a 100000 copie per mL e RNA HIV-1 plasmatico superiore a 100000 copie per ml. I partecipanti alla prova erano maschi (87%) bianchi (73%) neri (15%) e ispanici (9%). Alla base l'età media era di 36 anni; La conta delle cellule CD4 di base mediana era di 360 cellule per mm 3 e l'RNA del plasma HIV-1 al basale mediana era 4,8 registro 10 Copie per ml. Le proporzioni di soggetti con RNA HIV-1 plasmatico inferiore a 400 copie per ml (utilizzando il test di monitor HIV-1 di Roche amplicor) attraverso 48 settimane di trattamento sono riassunte nella Tabella 8.
Tabella 8. Risultati del trattamento randomizzato attraverso la settimana 48 (CNA3005)
| Risultato | Ziagen Plus Lamivudine/ Zidovudina (n = 262) | Indinavir più lamivudina/ zidovudina (n = 265) |
| Risponditore a | 49% | 50% |
| Insufficienza virologica b | 31% | 28% |
| Interrotto a causa di reazioni avverse | 10% | 12% |
| Interrotto a causa di altri motivi c | 11% | 10% |
| a I soggetti raggiunti e mantenuti hanno confermato l'RNA dell'HIV-1 inferiore a 400 copie per ml. b Include il rimbalzo virale e il mancato raggiungimento di meno di 400 copie per mL entro la settimana 48. c Include il consenso ritirato perduto in violazioni del protocollo di follow -up quelle con progressione clinica di dati mancanti e altro. |
La risposta al trattamento degli strati di RNA HIV-1 plasmatica è mostrata nella Tabella 9.
Tabella 9. Proporzioni dei soccorritori fino alla settimana 48 mediante lo screening dei livelli di RNA HIV-1 plasmatico (CNA3005)
| Screening HIV-1 RNA (copie/ml) | Ziagen Plus Lamivudine /Zidovudina (n = 262) | Indinavir più lamivudina /zidovudina (n = 265) | ||
| <400 copies/mL | n | <400 copies/mL | n | |
| ≥10000 -≤100000 | 50% | 166 | 48% | 165 |
| > 100000 | 48% | 96 | 52% | 100 |
Nei soggetti con carico virale basale superiore a 100000 copie per ml percentuali di soggetti con livelli di RNA dell'HIV-1 meno di 50 copie per ml erano del 31% nel gruppo che ricevevano Abacavir contro il 45% nel gruppo che riceveva Indinavir.
Durante la settimana 48 un aumento medio complessivo della conta delle cellule CD4 di circa 150 cellule per mM 3 è stato osservato in entrambi i bracci di trattamento. Durante la settimana 48 9 soggetti (NULL,4%) nel gruppo che riceve ABACAVIR (6 eventi di classificazione C CDC e 3 decessi) e 3 soggetti (NULL,5%) nel gruppo che ricevevano indinavir (2 eventi di classificazione C CDC e 1 morte) hanno subito progressione delle malattie cliniche.
CNA30021 era uno studio internazionale controllato in doppio cieco multicentrico in cui 770 adulti di terapia infetta-infetta sono stati randomizzati e hanno ricevuto Abacavir 600 mg una volta al giorno o Abacavir 300 mg due volte al giorno in combinazione con lamivudina 300 mg una volta al giorno e Efavirenz 600 mg una volta al giorno. La durata del trattamento in doppio cieco è stata di almeno 48 settimane. I partecipanti al processo avevano un'età media di 37 anni; erano maschi (81%) bianco (54%) nero (27%) e ispanico americano (15%). La conta delle cellule CD4 di base mediana era di 262 cellule per mm 3 (Intervallo: da 21 a 918 celle per mm 3 ) e la mediana basale HIV-1 RNA era 4,89 registro 10 Copie per ml (intervallo: da 2,60 a 6,99 registro 10 copie per ml).
I risultati del trattamento randomizzato sono forniti nella Tabella 10.
Tabella 10. Risultati del trattamento randomizzato attraverso la settimana 48 (CNA30021)
| Risultato | DAGGI 600 mg Q.D. più egivir più efavirance (n = 384) | Ziagen 300 mg b.i.d. più epivir più efavirenz (n = 386) |
| Risponditore a | 64% (71%) | 65% (72%) |
| Insufficienza virologica b | 11% (5%) | 11% (5%) |
| Interrotto a causa di reazioni avverse | 13% | 11% |
| Interrotto a causa di altri motivi c | 11% | 13% |
| a Soggetti raggiunti e mantenuti RNA HIV-1 confermato inferiore a 50 copie per ml (meno di 400 copie per ml) fino alla settimana 48 (Roche Amploring Ultrasensitive HIV-1 Monitor STANDARD Test versione 1.0). |
Dopo 48 settimane di terapia, gli aumenti delle cellule CD4 mediani dal basale erano 188 cellule per mM 3 Nel gruppo riceve Abacavir 600 mg una volta al giorno e 200 celle per mm 3 Nel gruppo riceve Abacavir 300 mg due volte al giorno. Durante la settimana 48 6 soggetti (2%) nel gruppo che riceve Ziagen 600 mg una volta al giorno (4 eventi di classificazione C CDC e 2 decessi) e 10 soggetti (3%) nel gruppo in ricezione di Ziagen 300 mg due volte al giorno (7 eventi di classificazione C CDC e 3 morti) hanno avuto una progressione delle malattie cliniche. Nessuno dei decessi è stato attribuito ai farmaci di prova.
Prove pediatriche
Soggetti pediatrici esperti terapia
CNA3006 è stato uno studio randomizzato in doppio cieco che ha confrontato Ziagen 8 mg per kg due volte al giorno più lamivudina 4 mg per kg due volte al giorno più zidovudina 180 mg per m 2 due volte al giorno contro lamivudina 4 mg per kg due volte al giorno più zidovudina 180 mg per m 2 due volte al giorno. Sono stati arruolati duecento cinque soggetti pediatrici esperti in terapia: femmina (56%) bianca (17%) nera (50%) ispanica (30%) di età media di 5,4 anni per percentuale di cellule CD4 di base maggiore del 15%(mediana = 27%) e mediana di base per l'HIV-1 di 40 log di 4,6 log di log 10 Copie per ml. L'ottanta per cento e il 55% dei soggetti avevano una terapia precedente con zidovudina e lamivudina rispettivamente più spesso in combinazione. La durata mediana della terapia analogica nucleosidica precedente è stata di 2 anni. A 16 settimane la percentuale di soggetti che rispondono in base all'RNA HIV-1 plasmatico inferiore o uguale a 400 copie per ml era significativamente più alta nei soggetti che ricevono Ziagen più lamivudina più zidovudina rispetto ai soggetti che ricevono lamivudina più zidovudina 13% rispetto al 2% rispettivamente. I cambiamenti mediani dell'RNA HIV -1 dal basale erano -0,53 registro 10 Copie per ml nel gruppo che riceve Ziagen Plus Lamivudine Plus Zidovudine rispetto al registro -0,21 10 Copie per ml nel gruppo che riceve lamivudina più zidovudina. Gli aumenti delle cellule CD4 mediani dal basale erano 69 cellule per mm 3 Nel gruppo che riceve Ziagen Plus Lamivudine Plus Zidovudine e 9 cellule per mM 3 Nel gruppo che riceve lamivudine più zidovudina.
Dosaggio una volta al giorno
Arrow (COL105677) è stato uno studio multicentrico randomizzato a 5 anni che ha valutato molteplici aspetti della gestione clinica dell'infezione da HIV-1 nei soggetti pediatrici. I soggetti naive per il trattamento con infezione da HIV-1 di età compresa tra 3 mesi e 17 anni sono stati iscritti e trattati con un regime di prima linea contenente Ziagen e lamivudina dosata due volte al giorno secondo le raccomandazioni dell'Organizzazione mondiale della sanità. Dopo un minimo di 36 settimane di terapia, i soggetti hanno avuto la possibilità di partecipare alla randomizzazione 3 dello studio della freccia confrontando la sicurezza e l'efficacia del dosaggio una volta al giorno con il dosaggio due volte al giorno di Ziagen e lamivudina in combinazione con un terzo farmaco antiretrovirale per altre 96 settimane. Dei 1206 soggetti di freccia originali 669 hanno partecipato alla randomizzazione 3. La soppressione virologica non era un requisito per la partecipazione al basale per la randomizzazione 3 (a seguito di un minimo di 36 settimane di trattamento due volte al giorno) il 75% dei soggetti nella coorte due volte al giorno è stato virologicamente sostenuto rispetto al 71% dei soggetti nella coorte un tempo consecutiva.
Le proporzioni di soggetti con RNA dell'HIV-1 inferiore a 80 copie per ml per 96 settimane sono mostrate nella Tabella 11. Le differenze tra le risposte virologiche nei due bracci di trattamento erano comparabili tra le caratteristiche basali per genere e età.
Tabella 11. Esito virologico del trattamento randomizzato alla settimana 96 a (Randomizzazione freccia 3)
| Risultato | Ziagen più lamivudina due volte al giorno (n = 333) | Ziagen Plus Lamivudine Dosaggio una volta al giorno (n = 336) |
| HIV-1 RNA <80 copies/mL b | 70% | 67% |
| HIV-1 RNA ≥80 copies/mL c | 28% | 31% |
| Nessun dato virologico | ||
| 1% | <1% | |
| d | 0% | <1% |
| 1% | 1% | |
| a Le analisi erano basate sull'ultimo dati di carico virale osservato all'interno della finestra della settimana 96. b La differenza prevista (IC 95%) del tasso di risposta è -4,5% (da -11% al 2%) alla settimana 96. c Include soggetti che hanno interrotto a causa della mancanza o della perdita di efficacia o per motivi diversi da un evento avverso o che avevano un valore di carico virale maggiore o uguale a 80 copie per ml o soggetti che avevano un interruttore nel regime di fondo che non era consentito dal protocollo. d Altri includono ragioni come la perdita di consenso ritirata al follow-up ecc. E l'ultimo RNA HIV-1 disponibile inferiore a 80 copie per ml (o mancante). |
Informazioni sul paziente per Ziagen
Coda
(Zy-Uh-Jen)
(Abacavir) compresse per uso orale
Coda
(Zy-Uh-Jen)
(Abacavir) Soluzione orale
Quali sono le informazioni più importanti che dovrei sapere su Ziagen?
Coda can cause serious side effects including:
Se si ottiene un sintomo da 2 o più dei seguenti gruppi mentre prendi subito Ziagen, chiama il tuo operatore sanitario per scoprire se dovresti smettere di prendere Ziagen.
| Sintomi | |
| Gruppo 1 | Febbre |
| Gruppo 2 | Eruzione cutanea |
| Gruppo 3 | Nausea vomito diarrhea abdominal (stomach area) pain |
| Gruppo 4 | Generalmente malato sentirsi estrema stanchezza o del dolore |
| Gruppo 5 | Shorness of Breath tosse Dole gola |
Un elenco di questi sintomi è sulla scheda di avvertimento che ti dà il farmacista. Porta con te questa scheda di avvertimento in ogni momento.
Se fermi Ziagen a causa di una reazione allergica non prendi mai nuovamente Ziagen (Abacavir) o qualsiasi altra medicina contenente Abacavir (Epzicom Triumeq o Trizivir).
- Reazioni allergiche gravi (reazione di ipersensibilità) Ciò può causare la morte è avvenuta con Ziagen e altri prodotti contenenti Abacavir. Il rischio di questa reazione allergica è molto più elevato se si ha una variazione genica chiamata HLA-B*5701. Il tuo operatore sanitario può determinare con un esame del sangue se si dispone di questa variazione genica.
- Se hai una reazione allergica smaltire qualsiasi Ziagen inutilizzato. Chiedi al tuo farmacista come smaltire adeguatamente le medicine.
- Se prendi nuovamente Ziagen o qualsiasi altra medicina contenente Abacavir dopo aver avuto una reazione allergica in poche ore, potresti ottenere Sintomi potenzialmente letali che può includere Pressione sanguigna o morte molto bassa.
- Se fermi Ziagen per qualsiasi altro motivo anche per alcuni giorni e non sei allergico a Ziagen Talk con il tuo operatore sanitario prima di riprenderlo. Prendere di nuovo Ziagen può causare una reazione allergica o potenzialmente letale anche se non hai mai avuto una reazione allergica prima.
Se il tuo operatore sanitario ti dice che puoi riprendere Ziagen ricomincia a prenderlo quando sei in giro per assistenza medica o persone che possono chiamare un operatore sanitario se ne hai bisogno.
Cos'è Ziagen?
Coda is a prescription HIV-1 (Human Immunodeficiency Virus type 1) medicine used with other antiretroviral medicines to treat HIV-1 infection. HIV-1 is the virus that causes Acquired Immune Deficiency Syndrome (AIDS).
La sicurezza e l'efficacia di Ziagen non sono state stabilite nei bambini di età inferiore ai 3 mesi.
Se utilizzato con altri medicinali antiretrovirali per trattare l'infezione da HIV-1 che Ziagen può aiutare:
- Riduci la quantità di HIV-1 nel sangue. Questo si chiama carico virale.
- Aumenta il numero di cellule CD4 (T) nel sangue che aiutano a combattere altre infezioni.
Ridurre la quantità di HIV-1 e aumentare le cellule CD4 (T) nel sangue può aiutare a migliorare il sistema immunitario. Ciò può ridurre il rischio di morte o ottenere infezioni che possono verificarsi quando il sistema immunitario è debole (infezioni opportunistiche).
Coda does not cure HIV-1 infection or AIDS. È necessario continuare ad assumere medicinali per l'HIV-1 per controllare l'infezione da HIV-1 e ridurre le malattie correlate all'HIV.
Chi non dovrebbe prendere Ziagen?
Non prendere Ziagen se tu:
- Avere un certo tipo di variazione genica chiamata allele HLA-B*5701. Il tuo operatore sanitario ti metterà alla prova per questo prima di prescrivere il trattamento con Ziagen.
- sono allergici ad Abacavir o a uno qualsiasi degli ingredienti di Ziagen. Vedi la fine di questa guida ai farmaci per un elenco completo di ingredienti in Ziagen.
- avere problemi epatici.
Cosa dovrei dire al mio operatore sanitario prima di prendere Ziagen?
Prima di prendere Ziagen Dillo al tuo medico se tu:
Registro di gravidanza. C'è un registro di gravidanza per le donne che assumono medicinali antiretrovirali durante la gravidanza. Lo scopo di questo registro è raccogliere informazioni sulla salute di te e del tuo bambino. Parla con il tuo operatore sanitario di come puoi prendere parte a questo registro.
- sono stati testati e sapere se hai una particolare variazione genica chiamata HLA-B*5701.
- hanno o hanno avuto problemi epatici tra cui l'infezione da virus dell'epatite B o C.
- Avere problemi cardiaci fumo o avere malattie che aumentano il rischio di malattie cardiache come il colesterolo alto o il diabete dell'ipertensione.
- Bevi alcol o prendi medicine che contengono alcol.
- sono incinta o prevedono di rimanere incinta. Parla con il tuo operatore sanitario se sei incinta o hai intenzione di rimanere incinta.
- stanno allattando o pianificano di allattare. Non allattare al seno se prendi Ziagen.
- Non dovresti allattare se hai l'HIV-1 a causa del rischio di passare l'HIV-1 al tuo bambino.
Di 'al tuo operatore sanitario di tutte le medicine che prendi compresi le medicine da prescrizione e i medicinali eccessivi vitamine e integratori a base di erbe.
Alcuni medicinali interagiscono con Ziagen. Mantieni un elenco dei tuoi medicinali per mostrare il tuo medico e il tuo farmacista. Puoi chiedere al tuo operatore sanitario o al farmacista un elenco di medicinali che interagiscono con Ziagen. Non iniziare a prendere una nuova medicina senza dirlo al tuo operatore sanitario. Il tuo operatore sanitario può dirti se è sicuro prendere Ziagen con altri medicinali.
Di 'al tuo operatore sanitario se prendi:
- Qualsiasi altro medicinale per curare l'HIV-1
- metadone
- riociguat
Come dovrei prendere Ziagen?
- Prendi Ziagen esattamente come ti dice il tuo operatore sanitario.
- Non cambiare la tua dose o smettere di prendere Ziagen senza parlare con il tuo operatore sanitario. Se perdi una dose di Ziagen, prendilo non appena ricordi. Non assumere 2 dosi contemporaneamente. Se non sei sicuro del tuo dosaggio, chiama il tuo medico.
- Resta sotto la cura di un operatore sanitario durante l'assunzione di Ziagen.
- Coda may be taken with or without food.
- Per i bambini di età pari o superiore a 3 mesi il tuo operatore sanitario prescriverà una dose di Ziagen in base al peso corporeo di tuo figlio.
- Di 'al tuo medico se tu o tuo figlio avete difficoltà a deglutire i tablet. Ziagen è disponibile come una compressa o come una soluzione liquida (soluzione orale).
- Non esaurirsi da Ziagen. Il virus nel sangue può aumentare e il virus può diventare più difficile da trattare. Quando la tua fornitura inizia a esaurire, ottenere di più dal tuo medico o dalla farmacia.
- Se prendi troppo Ziagen chiama il tuo medico o vai immediatamente al pronto soccorso dell'ospedale più vicino.
Quali sono i possibili effetti collaterali di Ziagen?
Potresti avere maggiori probabilità di ottenere acidosi lattica o gravi problemi epatici se sei femmina o molto in sovrappeso (obeso).
- Coda can cause serious side effects including:
- Guarda quali sono le informazioni più importanti che dovrei sapere su Ziagen?
- Accumulo di acido nel sangue (acidosi lattica). L'acidosi lattica può accadere in alcune persone che prendono Ziagen. L'acidosi lattica è una grave emergenza medica che può causare la morte. Chiama subito il tuo operatore sanitario se si ottiene uno dei seguenti sintomi che potrebbero essere segni di acidosi lattica:
- Sentiti molto debole o stanco
- sentiti freddo soprattutto tra le braccia e le gambe
- dolore muscolare insolito (non normale)
- Sentire le vertigini o la testa leggera
- difficoltà a respirare
- avere un battito cardiaco veloce o irregolare
- Dolori di stomaco con nausea e vomito
- Gravi problemi epatici Può accadere nelle persone che prendono Ziagen. In alcuni casi questi gravi problemi epatici possono portare alla morte. Il tuo fegato può diventare grande (epatomegalia) e potresti sviluppare grasso nel tuo fegato (steatosi) quando prendi Ziagen. Chiama subito il tuo medico se hai uno dei seguenti segni di problemi epatici:
- La tua pelle o la parte bianca degli occhi diventa gialla ( ittero )
- perdita di appetito for several days or longer
- nausea
- urina scura o color tè
- Dolore dolorante o tenerezza sul lato destro della zona dello stomaco
- sgabelli di colore chiaro (movimenti intestinali)
- Cambiamenti nel sistema immunitario (sindrome della ricostituzione immunitaria) Può accadere quando inizi a prendere medicine per l'HIV-1. Il tuo sistema immunitario potrebbe diventare più forte e iniziare a combattere le infezioni che sono state nascoste nel tuo corpo per molto tempo. Di 'subito al tuo operatore sanitario se inizi ad avere nuovi sintomi dopo aver iniziato a prendere Ziagen.
- Attacco di cuore (infarto del miocardio). Alcuni medicinali per l'HIV-1 tra cui Ziagen possono aumentare il rischio di attacco di cuore .
Gli effetti collaterali più comuni di Ziagen negli adulti includono:
- nausea
- stanchezza
- mal di testa
- vomito
- generalmente non si sente bene
- Cattivo sogni o problemi di sonno
Gli effetti collaterali più comuni di Ziagen nei bambini includono:
- febbre e brividi
- eruzione cutanea
- nausea
- infezioni del naso all'orecchio o della gola
- vomito
Di 'al tuo operatore sanitario se hai qualche effetto collaterale che ti disturba o che non scompare.
Questi non sono tutti i possibili effetti collaterali di Ziagen. Per ulteriori informazioni chiedi al proprio medico o farmacista. Chiama il medico per consigli medici sugli effetti collaterali. È possibile segnalare gli effetti collaterali alla FDA al numero 1-800-FDA-1088.
Come dovrei archiviare Ziagen?
- Conservare Ziagen a temperatura ambiente compresa tra 68 ° F e 77 ° F (da 20 ° C a 25 ° C).
- Non congelare la soluzione orale Ziagen. È possibile conservare la soluzione orale Ziagen in un frigorifero.
Mantieni Ziagen e tutte le medicine fuori dalla portata dei bambini.
Informazioni generali per un uso sicuro ed efficace di Ziagen
Le medicine sono talvolta prescritte a fini diversi da quelli elencati in una guida ai farmaci. Non utilizzare Ziagen per una condizione per la quale non è stata prescritta. Non dare Ziagen ad altre persone anche se hanno gli stessi sintomi che hai. Potrebbe danneggiare loro.
Se desideri più informazioni, parla con il tuo medico. Puoi chiedere al tuo operatore sanitario o al farmacista le informazioni su Ziagen che sono scritte per gli operatori sanitari.
Per ulteriori informazioni, visitare www.ziagen.com o chiamare il numero 1-877-844-8872.
Quali sono gli ingredienti di Ziagen?
Ingrediente attivo: Abacavir
Ingredienti inattivi:
Compresse: cellulosa microcristallina di cellulosa microcristallina e glicolato di amido di sodio.
Coating di pellicola di compresse contiene: biossido di titanio di ossido di ferro giallo sintetico di polisorbato di ipromellosio e triacetina.
Soluzione orale: sapori artificiali di fragole e banana acido citrico (anidro) metilparaben e propilparaben (aggiunto come conservanti) propilenico glicole saccarina sodio sodio citrato di sodio (diidrata) soluzione di sorbitolo e acqua.
Questa guida ai farmaci è stata approvata dalla Food and Drug Administration degli Stati Uniti.