Le Informazioni Presenti Sul Sito Non Costituiscono Consulenza Medica. Non Vendiamo Nulla. L'Accuratezza Della Traduzione Non È Garantita. Disclaimer
Blocchi neuromuscolari, non depolarizzanti
Bromuro di vecuronium
Riepilogo della droga
Cos'è il bromuro di vecuronium?
Il bromuro di vecuronium per iniezione è un agente di blocco neuromuscolare non depolarizzante indicato come aggiunta a Anestesia generale Per facilitare l'intubazione endotracheale e fornire muscolo scheletrico rilassamento durante l'intervento chirurgico o ventilazione meccanica. Il bromuro di vecuronium è disponibile in generico modulo.
Quali sono gli effetti collaterali del bromuro di vecuronium?
Bromuro di vecuronium
- orticaria
- Difficoltà a respirare
- gonfiore della lingua o della gola
- debolezza muscolare prolungata
- frequenza cardiaca insolitamente veloce o lenta
- vertigini e
- febbre
Ottieni subito assistenza medica se hai uno qualsiasi dei sintomi sopra elencati.
Cosa fa il Tylenol con la codeina
Gli effetti collaterali comuni del bromuro di vecuronium includono:
- debolezza del muscolo scheletrico prolungato alla paralisi del muscolo scheletrico profondo e prolungato con conseguente difficoltà respiratoria
Cerca cure mediche o chiama il 911 contemporaneamente se hai i seguenti gravi effetti collaterali:
- Sintomi di occhiali gravi come la perdita di visione improvvisa del tunnel della visione sfocata Dolore alla visione o gonfiore o vedere aloni attorno alle luci;
- Sintomi cardiaci gravi come battiti cardiaci irregolari o martellanti veloci; svolazzando nel petto; fiato corto; e vertigini improvvise Accendino o svenire;
- Grave mal di testa confusione Il braccio del linguaggio bloccato o la debolezza delle gambe problemi perdite perdita di coordinamento sentendoti instabili muscoli molto rigidi ad alta febbre abbondante sudorazione o tremori.
Questo documento non contiene tutti i possibili effetti collaterali e altri possono verificarsi. Verificare con il tuo medico ulteriori informazioni sugli effetti collaterali.
Dosaggio per bromuro di vecuronium
La dose iniziale raccomandata di bromuro di vecuronium è da 0,08 a 0,1 mg/kg (da 1,4 a 1,75 volte l'ED) somministrata come iniezione di bolo endovenosa.
Quali sostanze o integratori di farmaci interagiscono con il bromuro di vecuronium?
Il bromuro di vecuronium può interagire con succinilcolina Altri agenti bloccanti neuromuscolari non depolarizzanti anestetici per inalazioni alte dosi di alcune soluzioni alcaline di antibiotici chinidina e sali di magnesio. Dì al medico tutti i farmaci e gli integratori che usi.
Bromuro di vecuronium durante la gravidanza e l'allattamento
Di 'al medico se sei incinta o hai intenzione di rimanere incinta prima di usare il bromuro di vecuronium; È sconosciuto caldo che influirebbe su un feto. Non è noto se il bromuro di vecuronium passa nel latte materno. Consulta il medico prima dell'allattamento al seno.
Ulteriori informazioni
Il nostro bromuro di vecuronium per gli effetti collaterali dell'iniezione offre una visione completa delle informazioni disponibili sui farmaci sui potenziali effetti collaterali durante l'assunzione di questo farmaco.
Informazioni sui farmaci FDA
- Descrizione del farmaco
- Indicazioni
- Effetti collaterali
- Avvertimenti
- Precauzioni
- Overdose
- Farmacologia clinica
- Guida ai farmaci
AVVERTIMENTO
Questo farmaco dovrebbe essere somministrato da individui adeguatamente addestrati che hanno familiarità con le sue azioni caratteristiche e pericoli.
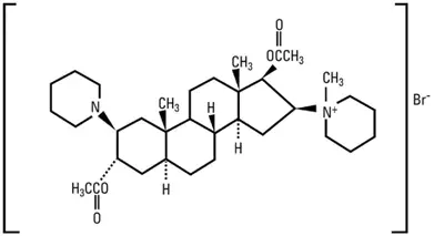
Descrizione per bromuro di vecuronium
Il bromuro di vecuronium per iniezione è un agente di blocco neuromuscolare non depolarizzante della durata intermedia designata chimicamente come 1- (3α17β-diidrossi-2β-piperidino-5α-Androstan-16β5α-IL) -1-metilpiperidinio diacetato. Il bromuro di vecuronium per iniezione viene preparato come soluzione e liofilizzato nel suo contenitore finale. La formula strutturale è:
|
La sua formula chimica è C 34 H 57 Brn 2 O 4 con peso molecolare 637,73.
Il bromuro di vecuronium viene fornito come una torta tamponata seccata sterile non popolare di particelle cristalline microscopiche molto fine solo per iniezione endovenosa. Ogni fiala da 10 ml contiene 10 mg di bromuro di vecuronium 20,75 mg di acido citrico anidro 16,25 mg di sodio fosfato dibasico anidro 97 mg di mannitolo (per regolare la tonica) idrossido di sodio e/o acido fosforico per il cuscinetto e regolare a un pH di 4 (da 3.5 a 4.5). Ogni fiala da 20 ml contiene 20 mg di bromuro di vecuronium 41,5 mg di acido citrico anidro 32,5 mg di sodio fosfato dibasico anidro 194 mg di mannitolo (per regolare la tonica) idrossido di sodio e/o acido fosforico per il cuscinetto e regolare a un pH di 4 (da 3.5 a 4.5). L'acqua batteriostatica per l'iniezione USP quando usato contiene alcool benzilico che non è da utilizzare nei neonati.
Usi per il bromuro di vecuronium
Il bromuro di vecuronium è indicato in aggiunta all'anestesia generale per facilitare l'intubazione endotracheale e per fornire rilassamento del muscolo scheletrico durante l'intervento chirurgico o la ventilazione meccanica.
Dosaggio per bromuro di vecuronium
Il bromuro di vecuronium per iniezione è solo per uso endovenoso. Questo farmaco dovrebbe essere somministrato da o sotto la supervisione di clinici esperti che hanno familiarità con l'uso di agenti bloccanti neuromuscolari. Il dosaggio deve essere individualizzato in ogni caso. Le informazioni sul dosaggio che segue sono derivate da studi basati su unità di farmaco per unità di peso corporeo ed è destinata a fungere da guida solo in particolare per quanto riguarda il miglioramento del blocco neuromuscolare del bromuro di vecuronium mediante anestetici volatili e mediante uso precedente della succinilcolina (vedi Interazioni farmacologiche ).
Per ottenere i massimi benefici clinici del bromuro di vecuronium e per ridurre al minimo la possibilità di sovradignare il monitoraggio della risposta della contrazione muscolare alla stimolazione del nervo periferico.
La dose iniziale raccomandata di bromuro di vecuronium è da 0,08 a 0,1 mg/kg (da 1,4 a 1,75 volte l'ED90) somministrato come iniezione di bolo endovenoso. Ci si può aspettare che questa dose produca condizioni di intubazione di non emergenza buone o eccellenti in 2,5 a 3 minuti dopo l'iniezione. In anestesia equilibrata clinicamente richiesto il blocco neuromuscolare dura circa 25-30 minuti con il recupero al 25% del controllo raggiunto circa 25-40 minuti dopo l'iniezione e il recupero al 95% del controllo raggiunto circa 45 a 65 minuti dopo l'iniezione. In presenza di potenti anestetici per inalazione, è migliorato l'effetto bloccante neuromuscolare del bromuro di vecuronium. Se il bromuro di vecuronium viene somministrato per la prima volta più di 5 minuti dopo l'inizio dell'agente di inalazione o quando lo stato stazionario è stato raggiunto, la dose iniziale di bromuro di vecuronium può essere ridotta di circa il 15%, cioè da 0,06 a 0,085 mg/kg.
La somministrazione precedente della succinilcolina può migliorare l'effetto di blocco neuromuscolare e la durata dell'azione del bromuro di vecuronium. Se l'intubazione viene eseguita utilizzando la succinilcolina, una riduzione della dose iniziale di bromuro di vecuronium da 0,04 a 0,06 mg/kg con anestesia per inalazione e da 0,05 a 0,06 mg/kg con anestesia equilibrata.
Durante le procedure chirurgiche prolungate dosi di mantenimento da 0,01 a 0,015 mg/kg di bromuro di vecuronium; Dopo l'iniezione iniziale del bromuro di vecuronium, la prima dose di mantenimento sarà generalmente richiesta entro 25-40 minuti. Tuttavia i criteri clinici dovrebbero essere utilizzati per determinare la necessità di dosi di mantenimento.
Poiché il bromuro di vecuronium manca di effetti cumulativi cumulativi clinicamente importanti, se necessario, possono essere somministrate a intervalli relativamente regolari per ciascun paziente che varia circa da 12 a 15 minuti in anestesia equilibrata leggermente più a lungo sotto gli agenti di inalazione. (Se si desidera una somministrazione meno frequente si desidera somministrare dosi di manutenzione più elevate.)
Dovrebbe esserci motivo per la selezione di dosi più grandi nei singoli pazienti dosi iniziali che vanno da 0,15 mg/kg fino a 0,28 mg/kg sono stati somministrati durante l'intervento chirurgico in anestesia di alotano senza effetti negativi per il sistema cardiovascolare notato Farmacologia clinica - Farmacocinetica ).
Utilizzare per infusione continua
Dopo una dose intubante da 80 a 100 mcg/kg, è possibile iniziare un'infusione continua di 1 mcg/kg/min circa 20-40 minuti dopo. L'infusione di bromuro di vecuronium dovrebbe essere iniziata solo dopo prove precoci di recupero spontaneo dalla dose di bolo. L'infusione endovenosa a lungo termine per supportare la ventilazione meccanica nell'unità di terapia intensiva non è stata studiata sufficientemente per supportare le raccomandazioni di dosaggio. (Vedere PRECAUZIONI Uso a lungo termine in I.C.U. ).
L'infusione di bromuro di vecuronium dovrebbe essere individualizzata per ciascun paziente. Il tasso di somministrazione deve essere regolato in base alla risposta di contrazione del paziente determinata dalla stimolazione del nervo periferico. Si raccomanda un tasso iniziale di 1 mcg/kg/min con il tasso di infusione regolato successivamente per mantenere una soppressione del 90% della risposta di contrazione. I tassi di infusione medi possono variare da 0,8 a 1,2 mcg/kg/min.
Gli anestetici per inalazione in particolare enflurano e isoflurano possono migliorare l'azione di blocco neuromuscolare dei rilassanti muscolari non depolarizzanti. In presenza di concentrazioni stazionarie di enflurano o isoflurano, potrebbe essere necessario ridurre il tasso di infusione dal 25 al 60 percento 45 a 60 minuti dopo la dose intubabile. Sotto l'anestesia di alotano potrebbe non essere necessario ridurre il tasso di infusione.
Ci si può aspettare che il recupero spontaneo e l'inversione del blocco neuromuscolare dopo l'interruzione dell'infusione di bromuro di vecuronium procedano a tassi paragonabili a quelli a seguito di una singola dose di bolo (vedi Farmacologia clinica ).
Le soluzioni di infusione di bromuro di vecuronium possono essere preparate aggiungendo bromuro di vecuronium con un â
Parti inutilizzate di soluzioni di infusione dovrebbero essere scartate.
I tassi di infusione di bromuro di vecuronium possono essere individualizzati per ciascun paziente usando la seguente tabella:
| Tasso di rilascio di farmaci (MCG/kg/min) | Tasso di consegna dell'infusione (ml/kg/min) | |
| 0,1 mg/ml* | 0,2 mg/ml † | |
| 0.7 | 0.007 | 0.0035 |
| 0.8 | 0.008 | 0.004 |
| 0.9 | 0.009 | 0.0045 |
| 1 | 0.01 | 0.005 |
| 1.1 | 0.011 | 0.0055 |
| 1.2 | 0.012 | 0.006 |
| 1.3 | 0.013 | 0.0065 |
| * 10 mg di bromuro di vecuronium in soluzione da 100 ml † 20 mg di bromuro di vecuronium in soluzione da 100 ml |
La tabella seguente è una linea guida per la consegna ml/min per una soluzione di 0,1 mg/mL (10 mg in 100 mL) con una pompa di infusione.
Velocità di infusione di bromuro di vecuronium - ml/min
| Quantità di droga MCG/kg/min | Peso del paziente -kg | ||||||
| 40 | 50 | 60 | 70 | 80 | 90 | 100 | |
| 0.7 | 0.28 | 0.35 | 0.42 | 0.49 | 0.56 | 0.63 | 0.7 |
| 0.8 | 0.32 | 0.4 | 0.48 | 0.56 | 0.64 | 0.72 | 0.8 |
| 0.9 | 0.36 | 0.45 | 0.54 | 0.63 | 0.72 | 0.81 | 0.9 |
| 1 | 0.4 | 0.5 | 0.6 | 0.7 | 0.8 | 0.9 | 1 |
| 1.1 | 0.44 | 0.55 | 0.66 | 0.77 | 0.88 | 0.99 | 1.1 |
| 1.2 | 0.48 | 0.6 | 0.72 | 0.84 | 0.96 | 1.08 | 1.2 |
| 1.3 | 0.52 | 0.65 | 0.78 | 0.91 | 1.04 | 1.17 | 1.3 |
Nota: se viene utilizzata una concentrazione di 0,2 mg/mL (20 mg in 100 mL), la velocità dovrebbe essere ridotta di OneHalf.
Utilizzare in pediatria
I pazienti pediatrici (10-16 anni di età) hanno circa gli stessi requisiti di dosaggio (mg/kg) degli adulti e possono essere gestiti allo stesso modo. I pazienti pediatrici più giovani (1-10 anni di età) possono richiedere una dose iniziale leggermente più elevata e possono anche richiedere l'integrazione leggermente più spesso degli adulti.
I bambini di età inferiore a 1 anno ma più di 7 settimane sono moderatamente più sensibili al bromuro di vecuronium su base mg/kg rispetto agli adulti e impiegano circa 1,5 volte a tempo per riprendersi. Vedi anche sottosezione di PRECAUZIONI intitolato Uso pediatrico. Le informazioni attualmente disponibili non consentono raccomandazioni sull'uso in pazienti pediatrici di età inferiore a 7 settimane (vedi PRECAUZIONIPEDIATRIC USE ). There are insufficient data concerning continuous infusion of vecuronium in pediatric patients therefore no dosing recommendations can be made.
Compatibilità
Il bromuro di vecuronium è compatibile in soluzione con:
Cloruro di sodio 0,9% iniezione
Destrosio iniezione del 5%
Acqua sterile per iniezione
Destrosio 5% in cloruro di sodio 0,9% iniezione
Iniezione di suoneria ad allattata
Utilizzare entro 24 ore dalla miscelazione con le soluzioni di cui sopra.
Il bromuro di vecuronium è anche compatibile in soluzione con: acqua batteriostatica per l'iniezione (non per l'uso nei neonati) Uso entro 5 giorni dalla miscelazione con la soluzione sopra.
Il bromuro di vecuronium ricostituito che ha un pH acido non deve essere miscelato con soluzioni alcaline (ad esempio soluzioni barbituriche come tiopentali) nella stessa siringa o somministrate simultaneamente durante l'infusione endovenosa attraverso la stessa ago o attraverso la stessa linea endovenosa.
Dopo la ricostituzione
Vedere Dosaggio e amministrazione - Compatibilità per diluenti compatibili con bromuro di vecuronium per iniezione.
Uso a dose singola : Quando ricostituite con soluzioni IV compatibili non contenenti un conservante antimicrobico (ad esempio acqua sterile per iniezione) in frigorifero e l'uso entro 24 ore. Scartare la parte inutilizzata.
Uso multi -dose : (Non per l'uso nei neonati.) Se ricostituito con acqua batteriostatica per l'uso di iniezione entro 5 giorni. La soluzione ricostituita può essere immagazzinata a temperatura ambiente o refrigerata.
I prodotti farmaceutici parenterali devono essere ispezionati visivamente per il particolato e lo scolorimento prima della somministrazione ogni volta che la soluzione e il permesso del contenitore.
Rischio di errori di farmaci
La somministrazione accidentale di agenti bloccanti neuromuscolari può essere fatale. Conservare intatto il bromuro di vecuronium per l'iniezione con il cappuccio e la galleria e in modo da ridurre al minimo la possibilità di selezionare il prodotto sbagliato.
Come fornito
Il bromuro di vecuronium per iniezione viene fornito come segue:
| Ndc | Confezionato | |
| 10 mg di bromuro di vecuronium | 0143-9234-10 | Scatola di 10 fiale |
| 20 mg di bromuro di vecuronium | 0143-9232-10 | Scatola di 10 fiale |
Conservare la polvere secca da 20 ° a 25 ° C (da 68 ° a 77 ° F) [vedi A temperatura ambiente controllata da USP ]. Proteggere dalla luce. Trattenere in cartone fino al momento di noi e.
Prodotto da: Hikma Pharmaceutical (Portogallo) S.A. Rio da Mo 8A Estrada 8A e 8B-2705-906 Terrugom SNT Portogallo. Distribuito da: Eatontown NJ 07724 USA. Revisionato: giugno 2019
Effetti collaterali per bromuro di vecuronium
Ci sono state segnalazioni post -marketing di gravi reazioni allergiche (reazioni anafilattiche e anafilattoidi) associate all'uso di agenti di blocco neuromuscolare incluso il bromuro di vecuronium. Queste reazioni in alcuni casi sono state pericolose per la vita e fatali. Poiché queste reazioni sono state riportate volontariamente da una popolazione di dimensioni incerte, non è possibile stimare in modo affidabile la loro frequenza (vedi AVVERTIMENTOS AND PRECAUZIONI ).
The most frequent adverse reaction to nondepolarizing blocking agents as a class consists of an extension of the drug's pharmacological action beyond the time period needed. This may vary from skeletal muscle weakness to profound and prolonged skeletal muscle paralysis resulting in respiration insufficiency or apnea.
L'inversione inadeguata del blocco neuromuscolare è possibile con bromuro di vecuronium come con tutti i farmaci curariformi. Queste reazioni avverse sono gestite dalla ventilazione manuale o meccanica fino a quando il recupero non viene giudicato adeguato. Una scarsa o nessun aumento dell'intensità del blocco o della durata dell'azione con bromuro di vecuronium è notato dall'uso di analgesici narcotici tiobarbiturici o droperidol. Vedere Sovradosaggio Per la discussione di altri farmaci usati nella pratica anestetica che causano anche depressione respiratoria.
Prolungate a profonde estensioni di paralisi e/o debolezza muscolare e atrofia muscolare sono state riportate dopo l'uso a lungo termine per supportare la ventilazione meccanica nell'unità di terapia intensiva (vedi PRECAUZIONI Uso a lungo termine in I.C.U. ). The administration of vecuronium bromide has been associated with rare instances of hypersensitivity reactions (bronchospasm hypotension E/or tachycardia sometimes associated with acute urticaria or erythema); (see also Farmacologia clinica ).
Interazioni farmacologiche per bromuro di vecuronium
Interazioni di test di droga/laboratorio
Nessuno noto
Avvertimenti for Vecuronium Bromide
Anafilassi
Severe anaphylactic reactions to neuromuscular blocking agents including VECURONIUM BROMIDE have been reported. These reactions have in some cases been life-threatening and fatal. Due to the potential severity of these reactions the necessary precautions such as the immediate availability of appropriate emergency treatment should be taken. Precautions should also be taken in those individuals who have had previous anaphylactic reactions to other neuromuscular blocking agents since cross-reactivity between neuromuscular blocking agents both depolarizing and non-depolarizing has been reported in this class of drugs.
Il vecuronium dovrebbe essere somministrato in dosaggio attentamente adeguato da o sotto la supervisione di medici esperti che hanno familiarità con le sue azioni e le possibili complicazioni che potrebbero verificarsi a seguito del suo utilizzo. Il farmaco non deve essere somministrato a meno che non siano immediatamente disponibili strutture per l'intubazione della respirazione artificiale e degli agenti di inversione. Il medico deve essere pronto ad assistere o controllare la respirazione. Per ridurre la possibilità di un blocco neuromuscolare prolungato e altre possibili complicanze che potrebbero verificarsi a seguito di un uso a lungo termine nell'i.c.u. Il vecuronium o qualsiasi altro agente di blocco neuromuscolare devono essere somministrati in dosi attentamente regolate da o sotto la supervisione di clinici esperti che hanno familiarità con le sue azioni e che hanno familiarità con le tecniche di monitoraggio dei muscoli dello stimolatore nervoso periferico appropriati (vedi PRECAUZIONI Uso a lungo termine in I.C.U. ).
Nei pazienti che sono noti per avere la miastenia gravis o la sindrome miaastenica (Eaton-Lambert) piccole dosi di vecuronium possono avere effetti profondi. In tali pazienti uno stimolatore del nervo periferico e l'uso di una piccola dose di test può essere utile nel monitoraggio della risposta alla somministrazione di rilassanti muscolari.
Rischio di morte a causa di errori di farmaci
La somministrazione di bromuro di vecuronium per iniezione si traduce in paralisi che può portare a arresto respiratorio e morte; Questa progressione può avere maggiori probabilità di verificarsi in un paziente per il quale non è previsto. Conferma la corretta selezione del prodotto previsto ed evita la confusione con altre soluzioni iniettabili presenti nelle cure critiche e in altre impostazioni cliniche. Se un altro operatore sanitario sta amministrando il prodotto, assicurarsi che la dose prevista sia chiaramente etichettata e comunicata.
Precauzioni for Vecuronium Bromide
Since allergic cross-reactivity has been reported in this class request information from your patients about previous anaphylactic reactions to other neuromuscular blocking agents. In addition inform your patients that severe anaphylactic reactions to neuromuscular blocking agents including VECURONIUM BROMIDE have been reported.
Insufficienza renale
Il vecuronium è ben tollerato senza un prolungamento clinicamente significativo dell'effetto di blocco neuromuscolare nei pazienti con insufficienza renale che sono stati preparati in modo ottimale per la chirurgia mediante dialisi. In condizioni di emergenza nei pazienti anefrici possono verificarsi un prolungamento del blocco neuromuscolare; Pertanto, se i pazienti anefric non possono essere preparati per un intervento chirurgico non elettivo, dovrebbe essere considerata una dose iniziale di vecuronium inferiore.
Tempo di circolazione alterato
Le condizioni associate al tempo di circolazione più lento nelle malattie cardiovascolari degli stati edematosi della vecchiaia con conseguente aumento del volume di distribuzione possono contribuire a ritardare il tempo di insorgenza, pertanto il dosaggio non dovrebbe essere aumentato.
Malattia epatica
L'esperienza nei pazienti con cirrosi o colestasi ha rivelato un tempo di recupero prolungato in linea con il ruolo che il fegato svolge nel metabolismo e nell'escrezione del vecuronium (vedi Farmacologia clinica Farmacocinetica ). Data currently available do not permit dosage recommendations in patients with impaired liver function.
Uso a lungo termine in i.c.u.
Nell'unità di terapia intensiva l'uso a lungo termine di farmaci bloccanti neuromuscolari per facilitare la ventilazione meccanica può essere associato a paralisi prolungata e/o debolezza del muscolo scheletrico che possono essere annotati per la prima volta durante i tentativi di svezzare tali pazienti dal ventilatore. Tipicamente tali pazienti ricevono altri farmaci come narcotici e steroidi di antibiotici a spettro ad ampio spettro e possono avere squilibrio elettrolitico e malattie che portano a squilibri elettrolitici episodi ipoxici di variazione di base acida a durata e estrema debilitazione di cui possono migliorare le azioni di un agente di blocco neuromuscolare. Inoltre, i pazienti immobilizzati per periodi prolungati sviluppano spesso sintomi coerenti con l'atrofia muscolare in disuso. Il quadro di recupero può variare dal riguadagnare movimento e forza in tutti i muscoli al recupero iniziale del movimento dei muscoli facciali e piccoli delle estremità, quindi ai muscoli rimanenti. In rari casi, il recupero può essere per un lungo periodo di tempo e può anche comportare la riabilitazione. Pertanto, quando è necessaria la ventilazione meccanica a lungo termine, è necessario prendere in considerazione il rapporto benefici-a rischio del blocco neuromuscolare.
L'infusione continua o il dosaggio di bolo intermittente per supportare la ventilazione meccanica non è stato studiato sufficientemente per supportare le raccomandazioni di dosaggio. Nell'unità di terapia intensiva un monitoraggio appropriato con l'uso di uno stimolatore nervoso periferico per valutare il grado di blocco neuromuscolare si raccomanda di aiutare a impedire il possibile prolungamento del blocco. Ogni volta che l'uso di vecuronium o qualsiasi agente di blocco neuromuscolare è contemplato nell'I.C.U. Si raccomanda di monitorare continuamente la trasmissione neuromuscolare durante la somministrazione e il recupero con l'aiuto di uno stimolatore nervoso. Non devono essere somministrate dosi aggiuntive di vecuronium o qualsiasi altro agente di blocco neuromuscolare prima che vi sia una risposta definita a T1 o alla prima contrazione. Se non viene suscitata alcuna risposta, la somministrazione di infusione dovrebbe essere sospesa fino a quando non tornerà una risposta.
Obesità grave o malattia neuromuscolare
I pazienti con obesità grave o malattie neuromuscolari possono porre vie aeree e/o problemi ventilatori che richiedono cure speciali prima di e dopo l'uso di agenti bloccanti neuromuscolari come il vecuronium.
Ipertermia maligna
Molti farmaci usati nella pratica anestetica sono sospettati di essere in grado di innescare un ipermetabolismo potenzialmente fatale del muscolo scheletrico noto come ipertermia maligna. Non ci sono dati insufficienti derivati dallo screening negli animali sensibili (suini) per stabilire se il vecuronium è in grado di innescare l'ipertermia maligna.
C.N.S.
Il vecuronium non ha alcun effetto noto sulla coscienza la soglia del dolore o la cerebrazione. La somministrazione deve essere accompagnata da un'adeguata anestesia o sedazione.
Interazioni farmacologiche
La somministrazione precedente della succinilcolina può migliorare l'effetto bloccante neuromuscolare del vecuronium e la sua durata dell'azione. Se viene utilizzata la succinilcolina prima del vecuronium, la somministrazione di vecuronium deve essere ritardata fino a quando l'effetto succinilcolina non mostra segni di logoramento. Con la succinilcolina come dosi iniziale dell'agente intubante da 0,04 a 0,06 mg/kg di vecuronium può essere somministrata per produrre un blocco neuromuscolare completo con durata clinica di azione da 25 a 30 minuti (vedi Farmacologia clinica ).
L'uso del vecuronium prima della succinilcolina per attenuare alcuni degli effetti collaterali della succinilcolina non è stato sufficientemente studiato.
Altri agenti bloccanti neuromuscolari non depolarizzanti (metocurina e gallamina del pancuronium d-tubocurarina) agiscono nello stesso modo del vecuronium, quindi questi farmaci e vecuronium possono manifestare un effetto additivo se usati insieme. Non ci sono dati insufficienti per supportare l'uso concomitante di vecuronium e altri rilassanti muscolari competitivi nello stesso paziente.
Anestetici per inalazione
L'uso di anestetici inalazionali volatili come isoflurano enflurano e alotano con vecuronium migliorerà il blocco neuromuscolare. Il potenziamento è più importante con l'uso di enflurano e isoflurano. Con gli agenti di cui sopra la dose iniziale di vecuronium può essere la stessa dell'anestesia equilibrata a meno che l'anestetico inalazionale non sia stato somministrato per un tempo sufficiente a una dose sufficiente per aver raggiunto l'equilibrio clinico (vedi Farmacologia clinica ).
Antibiotici
La somministrazione parenterale/intraperitoneale di alte dosi di alcuni antibiotici può intensificare o produrre un blocco neuromuscolare da soli. I seguenti antibiotici sono stati associati a vari gradi di paralisi: aminoglicosidi (come la neomicina streptomicina kanamicina gentamicina e diidrostreptomicina); tetracicline; Bacitracina; polimixina B; Colistina; e sodio colistimeta. Se questi o altri antibiotici appena introdotti vengono utilizzati in combinazione con il prolungamento inaspettato di vecuronium del blocco neuromuscolare dovrebbe essere considerato una possibilità.
Tiopentale
Il vecuronium ricostituito che ha un pH acido non deve essere miscelato con soluzioni alcaline (ad esempio soluzioni barbituriche come tiopentali) nella stessa siringa o somministrate simultaneamente durante l'infusione endovenosa attraverso lo stesso ago o attraverso la stessa linea endovenosa (vedi Dosaggio e amministrazione-COMPATIBILITY ).
Altro
L'esperienza riguardante l'iniezione di chinidina durante il recupero dall'uso di altri rilassanti muscolari suggerisce che può verificarsi paralisi ricorrente. Questa possibilità deve essere considerata anche per il vecuronium. Il blocco neuromuscolare indotto dal vecuronium è stato contrastato dall'alcalosi e migliorato dall'acidosi negli animali da esperimento (CAT). Lo squilibrio elettrolitico e le malattie che portano a squilibri elettroliti come l'insufficienza corticale surrenale hanno dimostrato di alterare il blocco neuromuscolare. A seconda della natura dello squilibrio, si può prevedere miglioramento o inibizione. I sali di magnesio somministrati per la gestione della tossiemia della gravidanza possono migliorare il blocco neuromuscolare.
Tossicologia non clinica
Mutagenesi della carcinogenesi compromissione della fertilità
Non sono stati condotti studi a lungo termine sugli animali per valutare il potenziale cancerogeno o mutagenico o la compromissione della fertilità.
Gravidanza
Effetti teratogeni
Gravidanza Category C
Studi di riproduzione degli animali non sono stati condotti con vecuronium. Inoltre, non è noto se il vecuronium può causare danni fetali quando somministrato a una donna incinta o può influire sulla capacità di riproduzione. Il vecuronium dovrebbe essere somministrato a una donna incinta solo se chiaramente necessario
Manodopera e consegna
L'uso del vecuronium nei pazienti sottoposti a taglio cesareo è stato riportato in letteratura. Dopo l'intubazione tracheale con dosaggi di vecuronium succinilcolina di 0,04 mg/kg (n = 11) e da 0,06 a 0,08 mg/kg (n = 20). Le concentrazioni plasmatiche venose ombelicali erano l'11% delle concentrazioni materne al parto e i punteggi medi di Apgar a 5 minuti erano ≥ 9 in entrambi i rapporti. L'azione degli agenti bloccanti neuromuscolari può essere migliorata dai sali di magnesio somministrati per la gestione di toxemia di gravidanza.
Madri infermieristiche
Non è noto se questo farmaco sia escreto nel latte umano. Poiché molti farmaci vengono escreti nel latte umano, dovrebbe essere esercitato quando il vecuronium viene somministrato a una donna di cura.
Uso pediatrico
I bambini di età inferiore a 1 anno ma più di 7 settimane testati anche nell'anestesia di alotano sono moderatamente più sensibili al vecuronium su base mg/kg rispetto agli adulti e impiegano circa 1,5 volte a riprendersi. Vedere Dosaggio e amministrazione : Utilizzare in pediatria Sottosezione per raccomandazioni per l'uso in pazienti pediatrici da 7 settimane a 16 anni. La sicurezza e l'efficacia del vecuronium nei pazienti pediatrici non sono stati stabiliti meno di 7 settimane di età.
Uso geriatrico
Studi clinici sul vecuronium non includevano un numero sufficiente di soggetti di età pari o superiore a 65 anni per determinare se rispondono in modo diverso dai soggetti più giovani. Ci sono alcuni rapporti nella letteratura peer review di maggiore effetto e una maggiore durata dell'azione del vecuronium negli anziani rispetto ai pazienti più giovani. Tuttavia, altri rapporti non hanno riscontrato differenze significative tra anziani sani e adulti più giovani. L'età avanzata o altre condizioni associate al tempo di circolazione più lento possono essere associati a un ritardo nel tempo di insorgenza (vedi PRECAUZIONI-ALTERED CIRCULATION TIME ). Nevertheless recommended doses of vecuronium should not be increased in these patients to reduce onset time as higher doses produce a longer duration of action (see Farmacologia clinica ). Dose selections for an elderly patient should be cautious usually starting at the low end of the dosing range reflecting the greater frequency of decreased hepatic renal or cardiac function E of concomitant disease or other drug therapy. Close monitoring of neuromuscular function is recommended
Informazioni per overdose per bromuro di vecuronium
La possibilità di sovradosaggio iatrogeno può essere minimizzata monitorando attentamente la risposta della contrazione muscolare alla stimolazione del nervo periferico.
Dosi eccessive di vecuronium producono effetti farmacologici migliorati. Il blocco neuromuscolare residuo oltre il periodo di tempo necessario può verificarsi con il vecuronium come con altri bloccanti neuromuscolari. Ciò può essere manifestato dalla debolezza dei muscoli scheletrici ridotto di riserva respiratoria a basso volume di marea o apnea. Uno stimolatore nervoso periferico può essere usato per valutare il grado di blocco neuromuscolare residuo da altre cause di riduzione della riserva respiratoria.
La depressione respiratoria può essere dovuta interamente o in parte ad altri farmaci utilizzati durante la condotta dell'anestesia generale come i tiobarbiturici dei narcotici e altri depressivi del sistema nervoso centrale.
In tali circostanze il trattamento primario è il mantenimento di una via aerea brevetti e una ventilazione manuale o meccanica fino a quando non viene garantito il recupero completo della normale respirazione. La neostigmina della piridostigmina o l'edorophone in combinazione con atropina o glicopirrolato di solito antagonizzerà l'azione del muscolo scheletrica del vecuronium. L'inversione soddisfacente può essere giudicata dall'adeguatezza del tono muscolare scheletrico e dall'adeguatezza della respirazione. Uno stimolatore nervoso periferico può anche essere utilizzato per monitorare il ripristino dell'altezza della contrazione. Il fallimento della pronta inversione (entro 30 minuti) può verificarsi in presenza di carcinomatosi di debilitazione estrema e con uso concomitante di alcuni antibiotici a spettro ad ampio spettro o agenti anestetici e altri farmaci che migliorano il blocco neuromuscolare o causano depressione respiratoria propria. In tali circostanze, la gestione è la stessa di un blocco neuromuscolare prolungato. La ventilazione deve essere supportata con mezzi artificiali fino a quando il paziente non ha ripreso il controllo della sua respirazione. Prima dell'uso del riferimento degli agenti di inversione dovrebbe essere fatto all'inserto specifico del pacchetto dell'agente di inversione.
Gli effetti della emodialisi e della dialisi peritoneale sui livelli plasmatici di vecuronium e il suo metabolita sono sconosciuti.
Controindicazioni per bromuro di vecuronium
Il bromuro di vecuronium è controindicato nei pazienti noti per avere un'ipersensibilità.
Farmacologia clinica for Vecuronium Bromide
Vecuronium is a nondepolarizing neuromuscular blocking agent possessing all of the characteristic pharmacological actions of this class of drugs (curariform). It acts by competing for cholinergic receptors at the motor end-plate. The antagonism to acetylcholine is inhibited and neuromuscular block is reversed by acetylcholinesterase inhibitors such as neostigmine edrophonium and pyridostigmine. Vecuronium is about 1/3 more potent than pancuronium; the duration of neuromuscular blockade produced by vecuronium is shorter than that of pancuronium at initially equipotent doses. The time to onset of paralysis decreases and the duration of maximum effect increases with increasing vecuronium doses. The use of a peripheral nerve stimulator is recommended in assessing the degree of muscular relaxation with all neuromuscular blocking drugs. The ED90 (dose required to produce 90% suppression of the muscle twitch response with balanced anesthesia) has averaged 0.057 mg/kg (0.049 to 0.062 mg/kg in various studies). An initial vecuronium bromide dose of 0.08 to 0.1 mg/kg generally produces first depression of twitch in approximately 1 minute good or excellent intubation conditions within 2.5 to 3 minutes and maximum neuromuscular blockade within 3 to 5 minutes of injection in most patients.
In anestesia equilibrata il tempo di recupero al 25% del controllo (durata clinica) è di circa 25-40 minuti dopo l'iniezione e il recupero è generalmente completo del 95% da 45 a 65 minuti dopo l'iniezione della dose intubata. L'azione bloccante neuromuscolare del vecuronium è leggermente migliorata in presenza di potenti anestetici per inalazione. Se il vecuronium viene somministrato per la prima volta più di 5 minuti dopo l'inizio dell'inalazione di isoflurano o alotano dell'enflurano o quando lo stato stazionario è stato raggiunto, la dose intubatica di vecuronium può essere ridotta di circa il 15% (vedi Dosaggio e amministrazione ). Prior administration of succinilcolina may enhance the neuromuscular blocking effect of vecuronium E its duration of action. With succinilcolina as the intubating agent initial doses of 0.04 to 0.06 mg/kg of vecuronium bromide will produce complete neuromuscular block with clinical duration of action of 25 to 30 minutes. If succinilcolina is used prior to vecuronium the administration of vecuronium should be delayed until the patient starts recovering from succinilcolina induced neuromuscular blockade. The effect of prior use of other nondepolarizing neuromuscular blocking agents on the activity of vecuronium has not been studied (see Interazioni farmacologiche ).
La somministrazione ripetuta delle dosi di mantenimento di vecuronium ha scarso o nessun effetto cumulativo sulla durata del blocco neuromuscolare. Pertanto, le dosi di ripetizione possono essere somministrate a intervalli relativamente regolari con risultati prevedibili. Dopo una dose iniziale da 0,08 a 0,1 mg/kg in anestesia bilanciata, la prima dose di mantenimento (la dose di mantenimento suggerita è generalmente da 0,01 a 0,015 mg/kg) è generalmente richiesto entro 25-40 minuti; Le dosi di manutenzione successive, se necessario, possono essere somministrate a intervalli di circa 12-15 minuti. L'anestesia di alotano aumenta la durata clinica della dose di mantenimento solo leggermente. Sotto enflurane una dose di mantenimento di 0,01 mg/kg è approssimativamente uguale a 0,015 mg/kg di dose in anestesia bilanciata.
L'indice di recupero (tempo dal 25% al 75% di recupero) è di circa 15-25 minuti in anestesia bilanciata o alotana. Quando inizia il recupero dall'effetto di blocco neuromuscolare di vecuronium, procede più rapidamente del recupero dal pancuronio. Una volta avviato il recupero spontaneo, il blocco neuromuscolare prodotto da Vecuronio è prontamente invertito con vari agenti anticolinesterasi, ad es. piridostigmina neostigmina o edrophonio in combinazione con un agente anticolinergico come atropina o glicopirrolato. Il recupero rapido è una scoperta coerente con l'emivita di eliminazione breve del vecuronium, sebbene ci siano state segnalazioni occasionali di blocco neuromuscolare prolungato nei pazienti nell'unità di terapia intensiva (vedi PRECAUZIONI Uso a lungo termine in I.C.U. ).
La somministrazione di dosi cliniche di vecuronium non è caratterizzata da segni di laboratorio o clinici di rilascio di istamina mediata chimicamente. Ciò non preclude la possibilità di rare reazioni di ipersensibilità (vedi Reazioni avverse ).
Farmacocinetica
A dosi cliniche da 0,04 a 0,1 mg/kg da 60 all'80% del bromuro di vecuronium è generalmente legato alla proteina plasmatica. L'emivita di distribuzione a seguito di una singola dose endovenosa (intervallo da 0,025 a 0,28 mg/kg) è di circa 4 minuti. L'emivita di eliminazione su questo intervallo di dosaggio del campione è di circa 65 a 75 minuti in pazienti chirurgici sani e nei pazienti con insufficienza renale sottoposti a chirurgia di trapianto.
Nell'emivita di eliminazione della gravidanza tardiva può essere ridotta a circa 35-40 minuti. Il volume di distribuzione allo stato stazionario è di circa 300 a 400 ml/kg; Il tasso sistemico di gioco è di circa 3 a 4,5 ml/kg/minuto. Nell'uomo il recupero delle urine di vecuronium varia dal 3 al 35% entro 24 ore. Dati derivati da pazienti che richiedono inserimento di un tubo a T in comune Anche Il dotto suggerisce che il 25-50% di una dose totale endovenosa di vecuronium può essere escreto in bile entro 42 ore. Solo il vecuronium invariato è stato rilevato nel plasma umano dopo l'uso durante l'intervento chirurgico. Inoltre, un metabolita 3-decetil vecuronio è stato rilevato raramente nel plasma umano a seguito di un uso clinico prolungato nell'i.c.u. (Vedere PRECAUZIONI : Uso a lungo termine in I.C.U. ). The 3-desacetyl vecuronium metabolite has been recovered in the urine of some patients in quantities that account for up to 10% of injected dose; 3-desacetyl vecuronium has also been recovered by T-tube in some patients accounting for up to 25% of the injected dose.
Questo metabolita è stato giudicato dallo screening degli animali (cani e gatti) per avere il 50% o più della potenza del vecuronium; Le dosi equipotenti hanno circa la stessa durata del vecuronium nei cani e nei gatti. L'escrezione biliare rappresenta circa la metà della dose di vecuronium entro 7 ore nel ratto anestetizzato. Il bypass circolatorio del fegato (preparazione del gatto) prolunga il recupero dal vecuronium. Dati limitati derivati da pazienti con cirrosi o colestasi suggeriscono che alcune misurazioni di recupero possono essere raddoppiate in tali pazienti. Nei pazienti con misurazioni del recupero di insufficienza renale non differiscono significativamente da misurazioni simili nei pazienti sani.
Studi che coinvolgono il monitoraggio emodinamico di routine in pazienti chirurgici a rischio di buon rischio rivelano che la somministrazione di vecuronium in dosi fino a tre volte che necessaria per produrre rilassamento clinico (NULL,15 mg/kg) non ha prodotto cambiamenti clinicamente significativi nella diastolica sistolica o nella pressione arteriosa media. La frequenza cardiaca sotto un monitoraggio simile è rimasta invariata in alcuni studi ed è stata abbassata da una media fino all'8% in altri studi. Una grande dose di 0,28 mg/kg somministrata durante un periodo di non stimolazione, mentre i pazienti venivano preparati per l'innesto di bypass dell'arteria coronarica non era associata ad alterazioni del prodotto di pressione di velocità o della pressione del cuneo capillare polmonare. La resistenza vascolare sistemica è stata leggermente ridotta e la gittata cardiaca è stata aumentata in modo insignificante. (Il farmaco non è stato studiato in pazienti con disfunzione emodinamica secondaria alla malattia valvolare cardiaca.) L'esperienza clinica limitata con l'uso del bromuro di vecuronium durante l'intervento chirurgico per il feocromocitoma ha dimostrato che la somministrazione di questo farmaco non è associata a cambiamenti nella pressione sanguigna o nella frequenza cardiaca.
A differenza di altri rilassanti del muscolo scheletrico non depolarizzanti, il vecuronium non ha effetti clinicamente significativi sui parametri emodinamici. Il vecuronium non contrarggerà quei cambiamenti emodinamici o gli effetti collaterali noti prodotti da o associati ad agenti anestetici altri farmaci o vari altri fattori noti per alterare l'emodinamica.
Informazioni sul paziente per bromuro di vecuronium
Nessuna informazione fornita. Si prega di fare riferimento a AVVERTIMENTOS E PRECAUZIONI sezioni.