Le Informazioni Presenti Sul Sito Non Costituiscono Consulenza Medica. Non Vendiamo Nulla. L'Accuratezza Della Traduzione Non È Garantita. Disclaimer
Cefalosporine, terza generazione
Suprax
Riepilogo della droga
Cos'è Suprax?
Suprax (cefixime) per la sospensione orale è una cefalosporina antibiotico Utilizzato per trattare molti diversi tipi di infezioni causate dai batteri.
Quali sono gli effetti collaterali di suprax?
Gli effetti collaterali comuni di suprax includono:
- Sconturoso stomaco/dolore
- diarrea
- nausea
- stipsi
- perdita di appetito
- gas
- mal di testa
- vertigini
- ansia
- sonnolenza
- Aumento della minzione notturna
- rinorrea
- mal di gola
- tosse o
- prurito o scarico vaginale.
Di 'al tuo medico se si verificano effetti collaterali rari ma molto gravi di suprax, incluso:
- Forte stomaco o dolore addominale
- nausea o vomito persistente
- occhi ingialliti o pelle
- urina scura
- stanchezza insolita
- Nuovi segni di infezione (ad esempio persistenti irritato gola febbre)
- Facile lividi o sanguinanti
- modifica della quantità di urina o
- Cambiamenti mentali/dell'umore (come confusione).
Dosaggio per suprax
La dose raccomandata per adulti della sospensione Suprax è di 400 mg al giorno. Per il trattamento di infezioni gonococciche cervicali /uretrali semplici si consiglia una singola dose orale di 400 mg. La dose pediatrica raccomandata è di 8 mg/kg/giorno della sospensione. Questo può essere somministrato come una singola dose giornaliera o può essere somministrato in due dosi divise come 4 mg/kg ogni 12 ore. Altri farmaci possono interagire con Suprax. Dì al tuo medico tutti i farmaci e i supplementi da banco e integratori che usi. Suprax dovrebbe essere usato solo quando prescritto durante la gravidanza. Questo farmaco passa nel latte materno. Mentre non ci sono stati segnalazioni di danno ai bambini infermieristici consultare il medico prima dell'allattamento al seno.
Il nostro Centro farmacologico SUPRAX (CEFIXIME) fornisce una visione completa delle informazioni disponibili sui farmaci sui potenziali effetti collaterali durante l'assunzione di questo farmaco.
Informazioni sui farmaci FDA
- Descrizione del farmaco
- Indicazioni
- Dosaggio
- Effetti collaterali
- Interazioni farmacologiche
- Avvertimenti
- Overdose
- Farmacologia clinica
- Guida ai farmaci
Descrizione per suprax
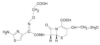
Cefixime è un antibatterico semi -cefalosporina per somministrazione orale. Chimicamente lo è ( 6r7r ) -7- [2- (2-amino-4-tiazolil) glyoxylamido] -8-oxo-3-vinil-5-thia-1-azabiciclo [4.2.0] acido oct-2-ene-2-carbossilico 7 2 -(CON)-[ O -(carbossy methyl) oxime] Triidrato.
Peso molecolare = 507,50 come triidrato. La formula chimica è C 16 H 15 N 5 O 7 S 2 .3h 2 O
La formula strutturale per cefixime è:
Uso ricreativo per sospensione di cloro di cloro di idrocodone
|
- Ingredienti inattivi contenuti in suprax ® (Cefixime) 400 mg compresse USP sono: dibasico fosfato di calcio ipromellosio lattosio monoidosio monoidrato magnesio stearato microcristallino cellulosio polietilenglicole glicole dioossido di titanio pregelatinizzato e triacetina.
- Ingredienti inattivi contenuti in suprax ® (Cefixime) Le capsule da 400 mg sono: biossido di silicio colloidale crospovidone basso sostituito a basso propil cellulosa magnesio stearato e mannitolo. Il guscio della capsula contiene i seguenti ingredienti inattivi: ossido ferrico di ossido nero ossido ferrico di gelatina rossa di gelatina di potassio idrossido di glicole glicole Shellac sodio lauril solfato e biossido di titanio.
- Ingredienti inattivi contenuti in suprax ® (cefixime) 100 mg o 150 mg o 200 mg compresse masticabili sono: aspartame di biossido di silicio colloidale crospovidone fd
- Ingredienti inattivi contenuti in suprax ® (Cefixime) Polvere per sospensione orale USP sono: biossido di silicio colloidale sodio con sodio con sapore di fragola al sapore di fragola (solo in 500 mg/5 ml di resistenza) e gomma Xanthan.
Usi per suprax
Infezioni del tratto urinario semplice
Suprax è indicato nel trattamento di adulti e pazienti pediatrici di età pari o superiore a sei mesi con infezioni del tratto urinario semplice causate da isolati sensibili di Hanno mostrato freddo E Proteus meraviglioso .
Otite media
Suprax è indicato nel trattamento di adulti e pazienti pediatrici di sei mesi o più con otite media causata da isolati sensibili di Haemophilus influenzae Moraxella catarrhalis E Streptococcus pyogenes . (Efficacia per Streptococcus pyogenes In questo sistema di organi è stato studiato in meno di 10 infezioni.)
Nota
Per i pazienti con otite media causata da Streptococcus pneumoniae La risposta complessiva era inferiore di circa il 10% per Cefixime rispetto al comparatore [vedi Studi clinici ].
Faringite e tonsillite
Suprax è indicato nel trattamento di adulti e pazienti pediatrici di età pari o superiore a etàcon faringite e tonsillite causate da isolati sensibili di Streptococcus pyogenes . (Nota: la penicillina è il solito farmaco preferito nel trattamento di Streptococcus pyogenes infezioni. Suprax è generalmente efficace nell'eradicazione di Streptococcus pyogenes dal rinofaringe; Tuttavia, i dati che stabiliscono l'efficacia di Suprax nella successiva prevenzione della febbre reumatica non sono disponibili.)
Esacerbazioni acute di bronchite cronica
Suprax è indicato nel trattamento di adulti e pazienti pediatrici di età pari o superiore a età with acute exacerbations of chronic bronchitis caused by susceptible isolates of Streptococcus pneumoniae E Haemophilus influenzae .
Gonorrea semplice (cervicale/uretrale)
Suprax è indicato nel trattamento di adulti e pazienti pediatrici di età pari o superiore a età with uncomplicated gonOrhea (cervical/urethral) caused by susceptible isolates of Neisseria gonorrhoeae (isolati che producono penicillinasi e non-penicillinasi).
Utilizzo
Per ridurre lo sviluppo di batteri resistenti ai farmaci e mantenere l'efficacia di Suprax e altri farmaci antibatterici, SupPrax dovrebbe essere usato solo per trattare le infezioni che sono dimostrate o fortemente sospettate di essere causate da batteri sensibili. Quando sono disponibili informazioni sulla coltura e sulla suscettibilità, dovrebbero essere considerate nella selezione o nella modifica della terapia antimicrobica. In assenza di tali dati di epidemiologia locale e modelli di suscettibilità possono contribuire alla selezione empirica della terapia.
Dosaggio per suprax
Adulti
La dose raccomandata di cefixime è di 400 mg al giorno. Questo può essere somministrato come una compressa o una capsula da 400 mg ogni giorno o la compressa da 400 mg può essere divisa e somministrata come mezzo tablet ogni 12 ore. Per il trattamento di infezioni gonococciche cervicali/uretrali semplici si consiglia una singola dose orale di 400 mg. La capsula e la compressa possono essere somministrate indipendentemente dal cibo.
Nel trattamento delle infezioni dovute a Streptococcus pyogenes Un dosaggio terapeutico di cefixime dovrebbe essere somministrato per almeno 10 giorni.
Pazienti pediatrici (6 mesi o più)
La dose raccomandata è di 8 mg/kg/giorno della sospensione. Questo può essere somministrato come una singola dose giornaliera o può essere somministrato in due dosi divise come 4 mg/kg ogni 12 ore.
Nota
Una dose suggerita è stata determinata per ciascun intervallo di peso pediatrico. Fare riferimento alla tabella 1. Assicurarsi che tutti gli ordini che specificano una dose nei millilitri includano una concentrazione perché Suprax per la sospensione orale è disponibile in tre diverse concentrazioni (100 mg/5 ml 200 mg/5 ml e 500 mg/5 ml).
Tabella 1. Dosi suggerite per i pazienti pediatrici
| Grafico a dosaggio pediatrico Le dosi sono suggerite per ciascun intervallo di peso e arrotondate per facilità di somministrazione | |||||
| Suprax (cefixime) per sospensione orale | Suprax (cefixime) tavolo masticabile | ||||
| 100 mg/5 ml | 200 mg/5 ml | 500 mg/5 ml | |||
| Paziente Peso (kg) | Dose/giorno (mg)- | Dose/giorno (ML) | Dose/giorno (ML) | Dose/giorno (ML) | Dose |
| 5 a 7,5* | 50 | 2.5 | - | - | - |
| Da 7,6 a 10* | 80 | 4 | 2 | - | - |
| 10.1 a 12.5 | 100 | 5 | 2.5 | 1 | 1 compressa di 100 mg |
| 12.6 a 20.5 | 150 | 7.5 | 4 | 1.5 | 1 compressa di 150 mg |
| 20.6 a 28 | 200 | 10 | 5 | 2 | 1 compressa di 200 mg |
| 28.1 a 33 | 250 | 12.5 | 6 | 2.5 | 1 compressa di 100 mg E 1 compressa di 150 mg |
| 33.1 a 40 | 300 | 15 | 7.5 | 3 | 2 compresse di 150 mg |
| 40.1 a 45 | 350 | 17.5 | 9 | 3.5 | 1 compressa di 150 mg E 1 compressa di 200 mg |
| 45.1 o più | 400 | 20 | 10 | 4 | 2 compresse di 200 mg |
| * Le concentrazioni preferite di sospensione orale da utilizzare sono 100 mg/5 mL o 200 mg/5 mL per i pazienti pediatrici in questi gamme di peso. |
I bambini che pesano più di 45 kg o più di 12 anni devono essere trattati con la dose raccomandata per adulti. Le compresse masticabili di Supprax (CeFixime) devono essere masticate o schiacciate prima di deglutire.
L'otite media deve essere trattata con compresse o sospensioni masticabili. Sono stati condotti studi clinici di otite media con compresse o sospensioni masticabili e le compresse o la sospensione masticabili si traducono in livelli di picco di picco più elevati rispetto alla compressa quando somministrati alla stessa dose.
Pertanto la compressa o la capsula non devono essere sostituite con le compresse masticabili o le sospensioni nel trattamento dell'otite media [vedi Farmacologia clinica ].
Nel trattamento delle infezioni dovute a Streptococcus pyogenes Un dosaggio terapeutico di cefixime dovrebbe essere somministrato per almeno 10 giorni.
Compromissione renale
Suprax può essere somministrato in presenza di una funzione renale alterata. La dose e il programma normali possono essere impiegati in pazienti con autorizzazioni di creatinina di 60 ml/min o superiore. Fare riferimento alla Tabella 2 per gli aggiustamenti della dose per gli adulti con compromissione renale. Né l'emodialisi né la dialisi peritoneale rimuovono quantità significative di farmaco dal corpo.
Tabella 2. Dosi per adulti con compromissione renale
| Disfunzione renale | Suprax (cefixime) per sospensione orale | Tablet | Masticabile Tablet | ||
| Clearance della creatinina (ml/min) | 100 mg/5 ml | 200 mg/5 ml | 500 mg/5 ml | 400 mg | 200 mg |
| Dose/giorno (ML) | Dose/giorno (ML) | Dose/giorno (ML) | Dose/giorno | Dose/giorno | |
| 60 o più | Dose normale | Dose normale | Dose normale | Dose normale | Dose normale |
| 21 a 59 * O emodialisi renale* | 13 | 6.5 | 2.6 | Non Appropriato | Non Appropriato |
| 20 o meno O peritoneale continuo dialisi | 8.6 | 4.4 | 1.8 | 0,5 compresse | 1 compressa |
| * Le concentrazioni preferite di sospensione orale da utilizzare sono 200 mg/5 ml o 500 mg/5 ml per i pazienti con questa disfunzione renale |
Indicazioni di ricostituzione per sospensione orale
| Forza | Dimensione della bottiglia | Indicazioni di ricostituzione |
| 100 mg/5 ml E 200 mg/5 ml | 100 ml | Per ricostituire sospendere con 68 ml di acqua . Metodo: tocca la bottiglia più volte per allentare il contenuto della polvere prima della ricostituzione. Aggiungi circa la metà della quantità totale di acqua per la ricostituzione e agita bene. Aggiungi il resto dell'acqua e agita bene. |
| 100 mg/5 ml E 200 mg/5 ml | 75 ml | Per ricostituire sospendere con 51 ml di acqua . Metodo: tocca la bottiglia più volte per allentare il contenuto della polvere prima della ricostituzione. Aggiungi circa la metà della quantità totale di acqua per la ricostituzione e agita bene. Aggiungi il resto dell'acqua e agita bene. |
| 100 mg/5 ml E 200 mg/5 ml | 50 ml | Per ricostituire sospendere con 34 ml di acqua . Metodo: tocca la bottiglia più volte per allentare il contenuto della polvere prima della ricostituzione. Aggiungi circa la metà della quantità totale di acqua per la ricostituzione e agita bene. Aggiungi il resto dell'acqua e agita bene. |
| 200 mg/5 ml | 37,5 ml | Per ricostituire sospendere con 26 ml di acqua . Metodo: tocca la bottiglia più volte per allentare il contenuto della polvere prima della ricostituzione. Aggiungi circa la metà della quantità totale di acqua per la ricostituzione e agita bene. Aggiungi il resto dell'acqua e agita bene. |
| 200 mg/5 ml | 25 ml | Per ricostituire sospendere con 17 ml di acqua . Metodo: tocca la bottiglia più volte per allentare il contenuto della polvere prima della ricostituzione. Aggiungi circa la metà della quantità totale di acqua per la ricostituzione e agita bene. Aggiungi il resto dell'acqua e agita bene. |
| 500 mg/5 ml | 20 ml | Per ricostituire sospendere con 14 ml di acqua . Metodo: tocca la bottiglia più volte per allentare il contenuto della polvere prima della ricostituzione. Aggiungi circa la metà della quantità totale di acqua per la ricostituzione e agita bene. Aggiungi il resto dell'acqua e agita bene. |
| 500 mg/5 ml | 10 ml | Per ricostituire sospendere con 8 ml di acqua . Metodo: tocca la bottiglia più volte per allentare il contenuto della polvere prima della ricostituzione. Aggiungi circa la metà della quantità totale di acqua per la ricostituzione e agita bene. Aggiungi il resto dell'acqua e agita bene. |
Dopo la ricostituzione la sospensione può essere mantenuta per 14 giorni a temperatura ambiente o in refrigerazione senza una significativa perdita di potenza. Tieniti strettamente chiuso. Agitare bene prima di usare. Scartare la parte inutilizzata dopo 14 giorni.
Come fornito
Dosaggio FOms And Forzas
Suprax è disponibile per la somministrazione orale nelle seguenti forme di dosaggio e punti di forza:
- Le compresse con rivestimento per film forniscono 400 mg di cefixime come triidrato. Queste sono compresse da bianco a bianco sporco di pellicole con bordi con bordi smussati e una linea di punteggio divisa su ciascun lato. Il tablet è debossato con suprax su un lato e lupino dall'altra parte.
- Le capsule forniscono 400 mg di cefixime come triidrato. Queste sono capsule 00el taglia con cappuccio opaco rosa e corpo opaco rosa con Lu sul cappuccio e U43 sul corpo con inchiostro nero. Le capsule contengono polvere granulare bianca da bianco a giallastro.
- Masticabile tablets provide either 100 mg O 150 mg O 200 mg of cefixime as trihydrate. The 100 mg tablet is pink round tablet debossed with Suprax 100 on one side E LUPIN on other side. The 150 mg tablet is pink round tablet debossed with Suprax 150 on one side E LUPIN on other side. The 200 mg tablet is pink round tablet debossed with Suprax 200 on one side E LUPIN on other side.
- La polvere per sospensione orale quando ricostituita fornisce 100 mg/5 mL o 200 mg/5 ml o 500 mg/5 ml di cefixime come triidrato. Per 100 mg/5 ml e 200 mg/5 ml la polvere ha un colore bianco a giallo dal bianco e pallido ed è al gusto di fragola. Per 500 mg/5 ml la polvere ha un colore da bianco a panna ed è aromatizzato alla fragola.
Archiviazione e maneggevolezza
Suprax ® è disponibile per la somministrazione orale nei seguenti forme di dosaggio e pacchetti elencati nella tabella seguente:
| Dosaggio FOm | Forza | Descrizione | Dimensione del pacchetto | Codice NDC | Magazzinaggio |
| Suprax ® (cefixime) compresse USP | 400 mg | Compresse da bianco a bianco sporco con capsula con capsula con bordi smussati e una linea di punteggio divisa su ciascun lato debossato con suprax su un lato e lupino su un altro lato contenente 400 mg di cefixime come triidrato. | Bottiglie di 10 compresse | 27437-201-10 | Conservare da 20 a 25 ° C (da 68 a 77 ° F) [vedi temperatura ambiente controllata da USP]. |
| Bottiglia di 50 compresse | 27437-201-08 | ||||
| Bottiglia di 100 compresse | 27437-201-01 | ||||
| Suprax ® (Cefixime) Capsule | 400 mg | Taglia capsule 00el con tappo rosa opaco e corpo opaco rosa impresse con Lu sul tappo e U43 sul corpo con inchiostro nero contenente polvere granulare bianca a giallastra contenente 400 mg di cefixime come triidrato. | Bottiglia di 50 capsule | 27437-208-08 | Conservare da 20 a 25 ° C (da 68 a 77 ° F) [vedi temperatura ambiente controllata da USP]. |
| Pacchetto dose unitario di 10 (1 blister di 10 capsule) | 27437-208-11 | ||||
| Suprax ® (Cefixime) compresse masticabili | 100 mg | Tablet rotondo rosa Debossato con suprax 100 da un lato e lupino dall'altra parte. | Bottiglie di 10 compresse | 27437-203-10 | Conservare da 20 a 25 ° C (da 68 a 77 ° F) [vedi temperatura ambiente controllata da USP]. |
| Bottiglia di 50 compresse | 27437-203-08 | ||||
| Pacchetto dose unitario di 10 (1 blister di 10 compresse) | 27437-203-11 | ||||
| 150 mg | Tablet rotondo rosa Debossato con suprax 150 da un lato e lupino dall'altra parte. | Bottiglie di 10 compresse | 27437-204-10 | ||
| Bottiglia di 50 compresse | 27437-204-08 | ||||
| Pacchetto dose unitario di 10 (1 blister di 10 compresse) | 27437-204-11 | ||||
| 200 mg | Tablet rotondo rosa Debossato con suprax 200 da un lato e lupino dall'altra parte. | Bottiglie di 10 compresse | 27437-205-10 | ||
| Bottiglia di 50 compresse | 27437-205-08 | ||||
| Pacchetto dose unitario di 10 (1 blister di 10 compresse) | 27437-205-11 | ||||
| Suprax ® (cefixime) per sospensione orale USP | 100 mg/5 ml | Polvere di colore da bianco a giallo pallido. Dopo ricostituiti come diretto ogni 5 ml di sospensione ricostituita contiene 100 mg di cefixime come triidrato. | Bottiglia di 50 ml | 68180-202-03 | Prima della ricostituzione: Conservare la polvere di droga da 20 a 25 ° C (da 68 a 77 ° F) [vedi temperatura ambiente controllata da USP]. Dopo la ricostituzione: |
| Bottiglia di 75 ml | 68180-202-02 | ||||
| Bottiglia di 100 ml | 68180-202-01 | ||||
| 200 mg/5 ml | Polvere di colore da bianco a giallo pallido. Dopo ricostituiti come diretto ogni 5 ml di sospensione ricostituita contiene 200 mg di cefixime come triidrato. | Bottiglia di 25 ml | 27437-206-05 | ||
| Bottiglia di 37,5 ml | 27437-206-06 | ||||
| Bottiglia di 50 ml | 27437-206-03 | ||||
| Bottiglia di 75 ml | 27437-206-02 | ||||
| Bottiglia di 100 ml | 27437-206-01 | ||||
| 500 mg/5 ml | Polvere da bianco a color crema che forma una sospensione da bianco a giallo pallido con odore fruttato caratteristico sulla costituzione. Dopo ricostituiti come diretto ogni ml di sospensione ricostituita contiene 100 mg di cefixime come triidrato. | Bottiglia di 10 ml | 27437-207-02 | ||
| Bottiglia di 20 ml | 27437-207-03 |
Prodotto da: Lupin Limited Mandideep 462 046 India. Revisionato: marzo 2018.
Effetti collaterali fO Suprax
Esperienza di studi clinici
Poiché gli studi clinici sono condotti in condizioni di reazione avverse ampiamente variabili osservate negli studi clinici di un farmaco non possono essere paragonati direttamente ai tassi negli studi clinici di un altro farmaco e potrebbero non riflettere i tassi osservati nella pratica.
Le reazioni avverse più comunemente osservate negli studi statunitensi sulla formulazione della compressa sono stati eventi gastrointestinali che sono stati riportati nel 30% dei pazienti adulti sul regime due volte al giorno o un tempo giornaliero. Il cinque percento (5%) dei pazienti negli studi clinici statunitensi ha interrotto la terapia a causa di reazioni avverse legate al farmaco. Le reazioni avverse individuali includevano diarrea 16% sciolte o frequenti sgabelli 6% dolori addominali 3% nausea 7% dispepsia 3% e flatulenza 4%. L'incidenza di reazioni avverse gastrointestinali tra cui la diarrea e le feci sciolte nei pazienti pediatrici che ricevevano la sospensione era paragonabile all'incidenza osservata nei pazienti adulti che ricevono compresse.
Esperienza post-marketing
Sono state riportate le seguenti reazioni avverse in seguito all'uso post-approvazione di CeFixime. I tassi di incidenza erano inferiori a 1 su 50 (meno del 2%).
Gastrointestinale
Numerosi casi di colite pseudomembrane documentata sono stati identificati negli studi clinici. L'inizio dei sintomi di colite pseudomembrane può verificarsi durante o dopo la terapia.
Reazioni di ipersensibilità
Reazioni anafilattiche/anafilattoidi (inclusi shock e decessi) eruzioni cutanee droga farmaco angoedema prurito ed edema facciale. Sono state riportate reazioni simili a reazioni sieriche simili a reazioni sieriche di Stevens-Johnson eritema multiforme.
Epatico
Elevazioni rancenti nell'attesa di epatite da fosfatasi alcalina SGPT SGPT.
Renale
Elevazioni transitorie nella insufficienza renale acuta BUN o creatinina.
Sistema nervoso centrale
Convulsioni da vertigini del mal di testa.
Sistema emico e linfatico
Trombocitopenia transitoria Leucopenia Neutropenia Prolungamento nel tempo della protrombina Elevato LDH Pancytopenia agranulocitosi ed eosinofilia.
Test di laboratorio anormali
Iperbilirubinemia.
Altre reazioni avverse
Vaginite da prurito genitale candidiasi necrolisi epidermica tossica.
Reazioni avverse riportate per i farmaci di classe cefalosporina
Reazioni allergiche Disfunzione renale Superinfezione Disfunzione epatica della nefropatica, compresa l'emorragia dell'anemia emolitica di anemia aplastica di colestasi e colite.
Diverse cefalosporine sono state implicate nel innescare convulsioni in particolare nei pazienti con compromissione renale quando il dosaggio non è stato ridotto [vedi Dosaggio e amministrazione Vedere OVERDOSE ]. If seizures associated with drug therapy occur the drug should be discontinued. Anticonvulsant therapy can be given if clinically indicated.
Interazioni farmacologiche fO Suprax
Carbamazepina
Livelli elevati di carbamazepina sono stati segnalati nell'esperienza post -marketing quando Cefixime viene somministrato in concomitanza. Il monitoraggio dei farmaci può essere di assistenza nel rilevare alterazioni delle concentrazioni plasmatiche di carbamazepina.
Warfarin e anticoagulanti
È stato riportato un aumento del tempo di protrombina con o senza sanguinamento clinico quando Cefixime viene somministrato in concomitanza.
Interazioni di test di droga/laboratorio
Una reazione falsa positiva per i chetoni nelle urine può verificarsi con test che usano nitroprusside ma non con quelli che usano nitroferricianuro.
La somministrazione di cefixime può comportare una reazione falsa positiva per il glucosio nelle urine usando clinitest ® La soluzione di Benedict o la soluzione di Fehling. Si raccomanda che test di glucosio basati su reazioni enzimatiche di glucosio ossidasi (come la clinistix ® o Testape ® ) essere usato. Durante il trattamento è stato riportato un test COOMBS diretto falso positivo con altre cefalosporine; Pertanto, si dovrebbe riconoscere che un test di coombs positivo può essere dovuto al farmaco.
Avvertimenti per suprax
Incluso come parte del PRECAUZIONI sezione.
Precauzioni per suprax
Reazioni di ipersensibilità
Sono state riportate reazioni anafilattiche/anafilattoidi (inclusi shock e vittime) con l'uso di CeFixime.
Prima che venga istituita la terapia con Suprax dovrebbe essere fatta un'attenta indagine per determinare se il paziente ha avuto precedenti reazioni di ipersensibilità alle cefalosporine penicilline o altri farmaci. Se questo prodotto deve essere somministrato ai pazienti sensibili alla penicillina, è necessario esercitare la cautela perché l'ipersensibilità incrociata tra i farmaci antibatterici beta-lattamici è stata chiaramente documentata e può verificarsi fino al 10% dei pazienti con una storia di allergia alla penicillina. Se si verifica una reazione allergica a Suprax interrompere il farmaco.
Diarrea associata a Clostridium difficile
Clostridium difficile La diarrea associata (CDAD) è stata riportata con l'uso di quasi tutti gli agenti antibatterici tra cui Suprax e può variare in gravità dalla diarrea lieve alla colite fatale. Il trattamento con agenti antibatterici altera la normale flora del colon che porta alla crescita eccessiva di C. difficile .
C. difficile produce tossine A e B che contribuiscono allo sviluppo di CDAD. Ipertoxina che produce isolati di C. difficile causano un aumento della morbilità e della mortalità poiché queste infezioni possono essere refrattarie alla terapia antimicrobica e possono richiedere colectomia. Il CDAD deve essere considerato in tutti i pazienti che presentano diarrea a seguito dell'uso di farmaci antibatterici. È stata necessaria un'attenta storia medica da quando è stato segnalato che il CDAD si verifica in due mesi dopo la somministrazione di agenti antibatterici.
Se il CDAD è sospettato o confermato l'uso di droghe antibatteriche in corso non diretto contro C. difficile Potrebbe essere necessario interrompere. Appropriato trattamento antidrogto per la gestione del fluido ed elettroliti. C. difficile E surgical evaluation should be instituted as clinically indicated.
Dose Adjustment In Compromissione renale
La dose di suprax dovrebbe essere regolata nei pazienti con compromissione renale e quelli sottoposti a dialisi peritoneale ambulatoriale (CAPD) ed emodialisi (HD). I pazienti in dialisi devono essere monitorati attentamente [vedi Dosaggio e amministrazione ].
Effetti di coagulazione
Le cefalosporine tra cui Suprax possono essere associate a una caduta dell'attività della protrombina. Quelli a rischio includono pazienti con compromissione renale o epatica o uno stato nutrizionale scarso, nonché pazienti che hanno ricevuto un corso prolungato di terapia antimicrobica e pazienti precedentemente stabilizzati sulla terapia anticoagulante. Il tempo di protrombina deve essere monitorato nei pazienti a rischio e la vitamina K esogena somministrata come indicato.
Sviluppo di batteri resistenti ai farmaci
È improbabile che la prescrizione di suprax (cefixime) in assenza di un'infezione batterica comprovata o fortemente sospetta fornisca benefici al paziente e aumenta il rischio di sviluppo di batteri resistenti ai farmaci.
Rischio nei pazienti con fenilchetonuria
La fenilalanina può essere dannosa per i pazienti con fenilchetonuria (PKU). Le compresse masticabili soprax contengono aspartame una fonte di fenilalanina. Ogni 100 mg 150 mg e 200 mg di resistenza contiene rispettivamente 3,3 mg 5 mg e 6,7 mg di fenilalanina. Prima di prescrivere compresse masticabili Supprax in un paziente con PKU, considera la quantità giornaliera combinata di fenilalanina da tutte le fonti, comprese le compresse masticabili Suprax.
Tossicologia non clinica
Mutagenesi della carcinogenesi compromissione della fertilità
Non sono stati condotti studi sulla vita sugli animali per valutare il potenziale cancerogeno. Cefixime non ha causato mutazioni di punti nei batteri o nelle cellule dei mammiferi danni al DNA o danno al cromosoma in vitro e non ha mostrato un potenziale clastogenico in vivo nel test del micronucleo del topo. Nei ratti la fertilità e le prestazioni riproduttive non sono state influenzate da Cefixime a dosi fino a 25 volte la dose terapeutica adulta.
Utilizzare in popolazioni specifiche
Gravidanza
Gravidanza CategOy B
Studi di riproduzione sono stati condotti in topi e ratti a dosi fino a 40 volte la dose umana e non hanno rivelato alcuna evidenza di danno al feto a causa del cefixime. Non ci sono studi adeguati e ben controllati nelle donne in gravidanza. Poiché gli studi sulla riproduzione degli animali non sono sempre predittivi della risposta umana, questo farmaco dovrebbe essere usato durante la gravidanza solo se chiaramente necessario.
Manodopera e consegna
Cefixime non è stato studiato per l'uso durante il travaglio e la consegna. Il trattamento dovrebbe essere dato solo se chiaramente necessario.
Madri infermieristiche
Non è noto se CeFixime sia escreto nel latte umano. Si dovrebbe prendere in considerazione l'interruzione temporanea infermieristica durante il trattamento con questo farmaco.
Uso pediatrico
La sicurezza ed efficacia del Cefixime nei bambini di età inferiore ai sei mesi non sono state stabilite. L'incidenza di reazioni avverse gastrointestinali tra cui la diarrea e le feci sciolte nei pazienti pediatrici che ricevevano la sospensione era paragonabile all'incidenza osservata nei pazienti adulti che ricevono compresse.
Uso geriatrico
Gli studi clinici non includevano un numero sufficiente di soggetti di età pari o superiore a 65 anni per determinare se rispondono in modo diverso rispetto ai soggetti più giovani. Altra esperienza clinica segnalata non ha identificato differenze nelle risposte tra i pazienti anziani e più giovani. Uno studio farmacocinetico negli anziani ha rilevato differenze nei parametri farmacocinetici [vedi Farmacologia clinica ]. These differences were small E do not indicate a need fO dosage adjustment of the drug in the elderly.
Compromissione renale
La dose di cefixime dovrebbe essere regolata in pazienti con compromissione renale e quelli sottoposti a dialisi peritoneale ambulatoriale continua (CAPD) ed emodialisi (HD). I pazienti in dialisi devono essere monitorati attentamente [vedi Dosaggio e amministrazione ].
Informazioni per overdose per suprax
Può essere indicato il lavaggio gastrico; Altrimenti non esiste un antidoto specifico. Cefixime non viene rimosso in quantità significative dalla circolazione mediante emodialisi o dialisi peritoneale. Le reazioni avverse in un numero limitato di volontari per adulti sani che ricevono dosi singole fino a 2 g di cefixime non differivano dal profilo osservato nei pazienti trattati a dosi raccomandate.
Controindicazioni per suprax
Suprax (CeFixime) è controindicato nei pazienti con allergia nota a Cefixime o ad altre cefalosporine.
Farmacologia clinica fO Suprax
Meccanismo d'azione
Cefixime è un farmaco antibatterico semi -cefalosporino [vedi Microbiologia ].
Farmacocinetica
Suprax tavolo masticabilets are bioequivalent to Oal suspension.
Suprax tablets E suspension given Oally are about 40% to 50% absObed whether administered with O without food; however time to maximal absOption is increased approximately 0.8 hours when administered with food. A single 200 mg tablet of cefixime produces an average peak serum concentration of approximately 2 mcg/mL (range 1 to 4 mcg/mL); a single 400 mg tablet produces an average peak concentration of approximately 3.7 mcg/mL (range 1.3 to 7.7 mcg/mL). The Oal suspension produces average peak concentrations approximately 25% to 50% higher than the tablets when tested in nOmal adulto Volontari. Dosi duecento 400 mg di sospensione orale producono concentrazioni di picco medi di 3 mcg/mL (intervallo da 1 a 4,5 mcg/ml) e 4,6 mcg/ml (intervallo da 1,9 a 7,7 mcg/mL) rispettivamente quando testati in normale adulto Volontari. L'area sotto il tempo rispetto alla curva di concentrazione (AUC) è maggiore di circa il 10% al 25% con la sospensione orale rispetto alla compressa dopo dosi da 100 a 400 mg quando testate in normale adulto Volontari. Questo aumento dell'assorbimento dovrebbe essere preso in considerazione se la sospensione orale deve essere sostituita con la compressa. A causa della mancanza di compresse di bioequivalenza non dovrebbe essere sostituita con la sospensione orale nel trattamento dell'otite media [vedi Dosaggio e amministrazione ]. Cross-over studies of tablet versus suspension have not been perfOmed in children.
La capsula da 400 mg è bioquivalente della compressa da 400 mg in condizioni di digiuno. Tuttavia, il cibo riduce l'assorbimento a seguito della somministrazione della capsula di circa il 15% in base all'AUC e al 25% in base a CMAX.
Le concentrazioni sieriche di picco si verificano tra 2 e 6 ore dopo la somministrazione orale di una singola compressa da 200 mg una singola compressa da 400 mg o 400 mg di sospensione Cefixime. Le concentrazioni sieriche di picco si verificano tra 2 e 5 ore dopo una singola somministrazione di 200 mg di sospensione. Le concentrazioni sieriche di picco si verificano tra 3 e 8 ore dopo la somministrazione orale di una singola capsula da 400 mg.
Distribuzione
Il legame sierico proteico è la concentrazione indipendente con una frazione legata di circa il 65%. In uno studio a dose multipla condotto con una formulazione di ricerca che è meno biodisponibile della compressa o della sospensione, c'è stato un piccolo accumulo di farmaco nel siero o nelle urine dopo il dosaggio per 14 giorni. Non sono disponibili dati adeguati sui livelli di CSF di cefixime.
Metabolismo ed escrezione
Non ci sono prove del metabolismo di cefixime in vivo . Circa il 50% della dose assorbita viene escreto invariato nelle urine in 24 ore. Negli studi sugli animali è stato notato che il cefixime è anche escreto nella bile oltre il 10% della dose somministrata. L'emivita sierica di Cefixime in soggetti sani è indipendente dalla forma di dosaggio e ha una media di 3-4 ore, ma può variare fino a 9 ore in alcuni volontari normali.
Popolazioni speciali
Geriatria
Le AUC medie allo stato stazionario nei pazienti anziani sono di circa il 40% più alti della media AUCS in altri adulti sani. Le differenze nei parametri farmacocinetici tra 12 soggetti giovani e 12 anziani che hanno ricevuto 400 mg di cefixime una volta al giorno per 5 giorni sono riassunte come segue:
| Parametri farmacocinetici (media ± DS) per cefixime in entrambi i giovani | ||
| Parametro farmacocinetico | Giovane | Anziano |
| CMAX (mg/L) | 4,74 ± 1,43 | 5,68 ± 1,83 |
| Tmax (h)* | 3,9 ± 0,3 | 4,3 ± 0,6` |
| AUC (Mg.H/L)* | 34,9 ± 12,2 | 49,5 ± 19,1 |
| T ½ (H)* | 3,5 ± 0,6 | 4,2 ± 0,4 |
| Caverna (mg/l)* | 1,42 ± 0,50 | 1,99 ± 0,75 |
| *La differenza tra le fasce di età era significativa. (P <0.05) |
Tuttavia, questi aumenti non erano clinicamente significativi [vedi Dosaggio e amministrazione ].
Compromissione renale
Nei soggetti con moderata compromissione della funzione renale (da 20 a 40 ml/minuto di creatinina) l'emivita sierica media di CeFixime è prolungata a 6,4 ore. In grave compromissione renale (da 5 a 20 ml/minuto di creatinina) l'emivita è aumentata a una media di 11,5 ore. Il farmaco non viene eliminato significativamente dal sangue dalla emodialisi o dalla dialisi peritoneale. Tuttavia, uno studio ha indicato che con dosi di 400 mg di pazienti sottoposti a emodialisi hanno profili di sangue simili ai soggetti con clearance di creatinina da 21 a 60 ml/min.
Microbiologia
Meccanismo d'azione
Come con altre cefalosporine, l'azione battericida del cefixime deriva dall'inibizione della sintesi della parete cellulare. Cefixime è stabile in presenza di alcuni enzimi beta-lattamasi. Di conseguenza alcuni organismi resistenti alle penicilline e ad alcune cefalosporine a causa della presenza di betalattamasi possono essere suscettibili al cefixime.
Resistenza
Resistenza to cefixime in isolates of Haemophilus influenzae E Neisseria gonorrhoeae è spesso associato ad alterazioni delle proteine leganti la penicillina (PBP). CeFixime può avere attività limitate contro Enterobacteriaceae che produce beta-lattamasi a spettro esteso (ESBL). Pseudomonas specie Enterococcus specie strains of Group D streptococci Listeria monocytogenes La maggior parte dei ceppi di stafilococchi (compresi i ceppi resistenti alla meticillina) la maggior parte dei ceppi di Enterobacter specie most strains of Bacteroides fragilis E most strains of Clostridium specie are resistant to cefixime.
acido folico e alta pressione sanguigna
Attività antimicrobica
Cefixime ha dimostrato di essere attivo contro la maggior parte degli isolati dei seguenti microrganismi in vitro E in clinical infections [Vedere Indicazioni ].
Batteri gram-positivi
Streptococcus pneumoniae
Streptococcus pyogenes
Batteri gram-negativi
Hanno mostrato freddo
Haemophilus influenzae
Moraxella catarrhalis
Neisseria gonorrhoeae
Proteus meraviglioso
Quanto segue in vitro Sono disponibili dati ma il loro significato clinico è sconosciuto. Almeno il 90 percento dei seguenti batteri presenta un in vitro Concentrazione inibitoria minima (MIC) inferiore o uguale al punto di interruzione sensibile per CeFixime contro isolati di genere o gruppo di organismi simili. Tuttavia, l'efficacia del CeFixime nel trattamento delle infezioni cliniche causate da questi batteri non è stata stabilita in studi clinici adeguati e ben controllati.
Batteri gram-positivi
Streptococcus agalactiae
Batteri gram-negativi
Citrobacter Amalonaticus
Citrobacter diverso
Haemophilus parainfluenzae
Klebsiella oxytoca
Klebsiella pneumoniae
Pasteurella multocida
Proteus vulgaris
Provvidenza delle specie
Specie di salmonella
Serratia marcescens
Specie di Shigella
Test di suscettibilità
Per informazioni specifiche relative ai criteri interpretativi di test di suscettibilità e ai metodi di test associati e agli standard di controllo della qualità riconosciuti dalla FDA per questo farmaco, consultare: https://www.fda.gov/stic.
Studi clinici
Studi clinici comparativi di otite media sono stati condotti in quasi 400 bambini di età compresa tra 6 mesi e 10 anni. Streptococcus pneumoniae è stato isolato dal 47% dei pazienti Haemophilus influenzae dal 34% Moraxella catarrhalis dal 15% e S. pyogenes dal 4%.
Il tasso di risposta complessivo di Streptococcus pneumoniae a cefixime era inferiore di circa il 10% e quello di Haemophilus influenzae O Moraxella catarrhalis circa il 7% in più (12% quando beta-lattamasi positivi di isolati di H. influenzae sono inclusi) rispetto ai tassi di risposta di questi organismi ai farmaci di controllo attivi.
In questi studi i pazienti sono stati randomizzati e trattati con cefixime a regimi di dose di 4 mg/kg due volte al giorno o 8 mg/kg una volta al giorno o con un comparatore. Da sessantanove e 70% dei pazienti in ciascun gruppo avevano una risoluzione di segni e sintomi di otite media quando valutato da 2 a 4 settimane dopo il trattamento, ma il versamento persistente è stato riscontrato nel 15% dei pazienti. Se valutato al completamento della terapia il 17% dei pazienti che hanno ricevuto Cefixime e il 14% dei pazienti che hanno ricevuto farmaci comparativi efficaci (18% inclusi quei pazienti che hanno avuto Haemophilus influenzae Resistente al farmaco di controllo e che hanno ricevuto il farmaco antibatterico di controllo) sono stati considerati fallimenti di trattamento. Nel follow-up da 2 a 4 settimane, un totale del 30% -31% dei pazienti presentava prove di fallimento del trattamento o malattia ricorrente.
| Esito batteriologico dell'otite media a due o quattro settimane dopo la terapia basata sulla ripetizione della coltura del fluido auricolare medio o l'estrapolazione dall'esito clinico | |||
| Organismo | Cefixime (a) 4 mg/kg di offerta | Cefixime (a) 8 mg/kg QD | Controllo (a) droghe |
| Streptococcus pneumoniae | 48/70 (69%) | 18/22 (82%) | 82/100 (82%) |
| Haemophilus influenzae beta-lattamasi negativo | 24/34 (71%) | 13/17 (76%) | 23/34 (68%) |
| Haemophilus influenzae beta-lattamasi positivo | 17/22 (77%) | 9/12 (75%) | 1/1 (b) |
| Moraxella catarrhalis | 26/31 (84%) | 5/5 | 18/24 (75%) |
| S. pyogenes | 5/5 | 3/3 | 6/7 |
| Tutti isolati | 120/162 (74%) | 48/59 (81%) | 130/166 (78%) |
| (a) Numero eliminato/numero isolato. (b) altri 20 isolati positivi beta-lattamasi di Haemophilus influenzae sono stati isolati ma sono stati esclusi da questa analisi perché erano resistenti al farmaco antibatterico di controllo. In diciannove di questi il percorso clinico potrebbe essere valutato e si è verificato un risultato favorevole in 10. Quando questi casi sono inclusi nella valutazione batteriologica complessiva della terapia con i farmaci di controllo 140/185 (76%) di agenti patogeni sono stati considerati sradicati. |
Esito batteriologico dell'otite media a due o quattro settimane dopo la terapia in base al ripetuto orecchio medio
Paziente InfOmation fO Suprax
Consiglio dei pazienti che i farmaci antibatterici, incluso Cefixime, devono essere usati solo per trattare le infezioni batteriche. Non trattano le infezioni virali (ad esempio il raffreddore comune). Quando è prescritto CeFixime per il trattamento di un'infezione batterica, i pazienti dovrebbero essere detto che sebbene sia comune sentirsi meglio all'inizio del corso della terapia, i farmaci dovrebbero essere presi esattamente come indicato. Saltare le dosi o non completare l'intero corso della terapia può: (1) ridurre l'efficacia del trattamento immediato e (2) aumentare la probabilità che i batteri sviluppino resistenza e non saranno curabili da Cefixime per sospensione orale o compresse di masticabili Cefixime o altri farmaci antibatterici in futuro.
Consiglio dei pazienti con fenilchetonuria che le compresse masticabili soprax contengono aspartame una fonte di fenilalanina come segue: ogni compressa masticabile Suprax contiene 3,3 mg 5 mg e 6,7 mg di fenilalanina per 100 mg 150 mg e 200 mg di resistenza rispettivamente.
Consiglia ai pazienti che la diarrea è un problema comune causato da farmaci antibatterici che di solito termina quando il farmaco antibatterico viene interrotto. A volte dopo aver iniziato il trattamento con farmaci antibatterici, i pazienti possono sviluppare feci acquose e sanguinanti (con o senza crampi di stomaco e febbre) anche fino a due o più mesi dopo aver assunto l'ultima dose del farmaco antibatterico. Se ciò si verifica, i pazienti devono contattare il proprio medico il più presto possibile.