Le Informazioni Presenti Sul Sito Non Costituiscono Consulenza Medica. Non Vendiamo Nulla. L'Accuratezza Della Traduzione Non È Garantita. Disclaimer
Antagonisti del recettore CGRPDestinare
Riepilogo della droga
Cos'è Qulipta?
Qulipta (Atogepant) è un antagonista del recettore peptidico correlato al gene della calcitonina indicata per il trattamento preventivo dell'emicrania episodica negli adulti.
Quali sono gli effetti collaterali di Qulipta?
Destinare
- orticaria
- Difficoltà a respirare
- gonfiore della lingua o della gola
- forti vertigini e
- Test di funzione epatica elevati
Ottieni subito assistenza medica se hai uno qualsiasi dei sintomi sopra elencati.
Gli effetti collaterali di Qulipta includono:
- nausea
- stipsi
- affaticamento e
- diminuzione dell'appetito.
Cerca cure mediche o chiama il 911 contemporaneamente se hai i seguenti gravi effetti collaterali:
Come ti fa sentire il baclofen
- Sintomi di occhiali gravi come la perdita di visione improvvisa del tunnel della visione sfocata Dolore alla visione o gonfiore o vedere aloni attorno alle luci;
- Sintomi cardiaci gravi come battiti cardiaci irregolari o martellanti veloci; svolazzando nel petto; fiato corto; e vertigini improvvise Accendino o svenire;
- Grave mal di testa confusione Il braccio del linguaggio bloccato o la debolezza delle gambe problemi perdite perdita di coordinamento sentendoti instabili muscoli molto rigidi ad alta febbre abbondante sudorazione o tremori.
Questo documento non contiene tutti i possibili effetti collaterali e altri possono verificarsi. Verificare con il tuo medico ulteriori informazioni sugli effetti collaterali.
Dosaggio per Qulipta
Il dosaggio raccomandato di Qulipta è di 10 mg 30 mg o 60 mg presi per via orale una volta al giorno con o senza cibo.
Qulipta nei bambini
Non sono state stabilite sicurezza ed efficacia di Qulipta nei pazienti pediatrici.
Quali sostanze o integratori di farmaci interagiscono con Qulipta?
Qulipta può interagire con altri medicinali come:
- forti inibitori del CYP3A4 (ad es. ketoconazolo itraconazolo claritromina)
- Induttori di CYP3A4 forti e moderati (ad esempio la carbamazepina di Rifampin
- PHENITOIN ST. John's Wort Efavirenz Etravirina) e
- Inibitori di avena (ad es. Ciclosporina).
Dì al medico tutti i farmaci e gli integratori che usi.
Qulipta durante la gravidanza e l'allattamento
Di 'al medico se sei incinta o hai intenzione di rimanere incinta prima di usare Qulipta; Può danneggiare un feto. Non è noto se Qulipta passa nel latte materno. Consulta il medico prima dell'allattamento al seno.
Ulteriori informazioni
Le nostre compresse Qulipta (Atogepant) per uso collaterale per uso orale Centro farmaco forniscono una visione completa delle informazioni disponibili sui farmaci sui potenziali effetti collaterali quando si assumono questo farmaco.
Questo non è un elenco completo di effetti collaterali e altri possono verificarsi. Chiama il medico per consigli medici sugli effetti collaterali. È possibile segnalare gli effetti collaterali alla FDA al numero 1-800-FDA-1088.
Cos'è Qulipta e come viene utilizzato?
Qulipta è un medicinale di prescrizione utilizzato per il trattamento preventivo dell'emicrania episodica negli adulti.
Non è noto se Qulipta è sicuro ed efficace nei bambini.
Quali sono i possibili effetti collaterali di Qulipta?
Gli effetti collaterali più comuni di Qulipta includono:
- nausea
- stipsi E
- fatica.
Questi non sono tutti i possibili effetti collaterali di Qulipta. Chiama il medico per consigli medici sugli effetti collaterali. È possibile segnalare gli effetti collaterali alla FDA al numero 1-800-FDA-1088.
Informazioni sui farmaci FDA
- Descrizione del farmaco
- Indicazioni
- Effetti collaterali
- Interazioni farmacologiche
- Avvertimenti
- Overdose
- Farmacologia clinica
- Guida ai farmaci
Descrizione per Qulipta
L'ingrediente attivo di Qulipta è Atogepant un antagonista del recettore peptide correlato al gene della calcitonina (CGRP). Il nome chimico di Atogepant è (3's) -n-[(3S5S6R) -6-metil-2-oxo-1- (222-trifluoroetil) -5- (236-trifluorofenil) piperidin-3-il ] -2'-oxo-1'2'57-tetrahidospiro [ciclopenta [b] piridina-63'-pirrolo [23-b] piridina] -3-carbossamide E ha la seguente formula strutturale:
|
La formula molecolare è C 29 H 23 F 6 N 5 O 3 e il peso molecolare è 603,5. Atogepant è una polvere bianca a bianca. È liberamente solubile in etanolo solubile in metanolo con parsimonia solubile in acetone leggermente solubile in acetonitrile e praticamente insolubile in acqua.
Qulipta è disponibile come compresse per somministrazione orale contenente 10 mg 30 mg o 60 mg di Atogepant. Gli ingredienti inattivi includono biossido di silicio colloidale croscarmellosio di sodio di mannitolo microcristallino cellulosa polivinilpirrolidone vinil acetato copolimero sodio sodio sodio sodio stearil fumarate e vitamina E polietilene glicolicole succinato.
Usi per Qulipta
Qulipta è indicato per il trattamento preventivo dell'emicrania negli adulti.
Dosaggio per Qulipta
Dosaggio consigliato
Qulipta è preso per via orale con o senza cibo.
Emicrania episodica
Il dosaggio raccomandato di Qulipta per l'emicrania episodica è di 10 mg 30 mg o 60 mg prese una volta al giorno.
Emicrania cronica
Il dosaggio raccomandato di Qulipta per emicrania cronica è assunto 60 mg una volta al giorno.
Modifiche al dosaggio
Le modifiche al dosaggio per l'uso concomitante di farmaci specifici e per i pazienti con compromissione renale sono fornite nella Tabella 1.
Tabella 1: modifiche al dosaggio per le interazioni farmacologiche e per popolazioni specifiche
| Modifiche al dosaggio | Consigliato un tempo dosaggio al giorno per emicrania episodica | Utilizzo e consigliato un tempo al giorno di dosaggio per emicrania cronica |
| Droga concomitante [vedi Interazioni farmacologiche ] | ||
| Forti inibitori del CYP3A4 | 10 mg | Evita l'uso |
| Forti induttori del CYP3A4 moderati o deboli | 30 mg o 60 mg | Evita l'uso |
| Inibitori di avena | 10 mg or 30 mg | 30 mg |
| Compromissione renale [vedi Utilizzare in popolazioni specifiche ] | ||
| Grave compromissione renale e malattia renale allo stadio terminale (CLCR <30 mL/min) | 10 mg | Evita l'uso |
Come fornito
Forme di dosaggio e punti di forza
Qulipta 10 mg viene fornito come tavolette da bianco a bianco biconvex rotonde debossa con A e 10 su un lato.
Qulipta 30 mg viene fornito come tavolette da bianco a bianco ovale biconvex debossato con A30 da un lato.
Qulipta 60 mg viene fornito come tavolette da bianco a bianco ovale biconvex debossato con A60 da un lato.
Qulipta 10 mg viene fornito come tablet da bianco a bianco biconvex rotondo debossato con A e 10 su un lato nelle seguenti presentazioni di imballaggio:
Bottiglia di 30 Ndc : 0074-7095-30
Qulipta 30 mg viene fornito come tavolette da bianco a bianco ovale biconvex debossato con A30 su un lato nelle seguenti presentazioni di imballaggio:
Bottiglia di 30 Ndc : 0074-7096-30
Qulipta 60 mg viene fornito come tavolette da bianco a bianco ovale biconvex debossato con A60 da un lato nelle seguenti presentazioni di imballaggio:
Bottiglia di 30 Ndc : 0074-7094-30
Archiviazione e maneggevolezza
Conservare tra 20 ° C e 25 ° C (68 ° F e 77 ° F): escursioni consentite tra 15 ° C e 30 ° C (59 ° F e 86 ° F) [vedi A temperatura ambiente controllata da USP ].
Prodotto per: Abbvie Inc. North Chicago IL 60064. Revisionato: marzo 2025
Effetti collaterali for Qulipta
Le seguenti reazioni avverse clinicamente significative sono descritte altrove nell'etichettatura:
- Reazioni di ipersensibilità [vedi Avvertimenti e precauzioni ]
- Ipertensione [vedi Avvertimenti e precauzioni ]
- Il fenomeno di Raynaud [vedi Avvertimenti e precauzioni ]
Esperienza di studi clinici
Poiché gli studi clinici sono condotti in condizioni di reazione avverse ampiamente variabili osservate negli studi clinici di un farmaco non possono essere paragonati direttamente ai tassi negli studi clinici di un altro farmaco e potrebbero non riflettere i tassi osservati nella pratica.
La sicurezza di Qulipta è stata valutata in 2657 pazienti con emicrania che hanno ricevuto almeno una dose di Qulipta. Di questi 1225 pazienti sono stati esposti a Qulipta per almeno 6 mesi e 826 pazienti sono stati esposti per 12 mesi.
Negli studi clinici controllati con placebo di 12 settimane (studi 1 2 e 3) 314 pazienti hanno ricevuto almeno una dose di Qulipta 10 mg una volta al giorno 411 pazienti hanno ricevuto almeno una dose di Qulipta 30 mg una volta al giorno 678 pazienti hanno ricevuto almeno una dose di Qulipta 60 mg una volta al giorno e 663 pazienti hanno ricevuto il placebo [vedi Studi clinici ]. Approximately 88% were female 75% were White 13% were Black 10% were Asian E 10% were of Hispanic or Latino ethnicity. The mean age at study entry was 41 years (range 18 to 74 years).
Le reazioni avverse più comuni (incidenza di almeno il 4% e maggiore del placebo) sono la costipazione della nausea e la fatica/sonnolenza.
La tabella 2 riassume le reazioni avverse che si sono verificate durante gli studi 1 2 e 3.
Tabella 2: reazioni avverse che si verificano con un'incidenza di almeno il 2% per Qulipta e maggiore del placebo negli studi 1 2 e 3*
| Placebo (N = 663) % | Qulipta 10 mg (N = 314) % | Qulipta 30 mg (N = 411) % | Qulipta 60 mg (N = 678) % | |
| Nausea | 3 | 5 | 6 | 9 |
| Stipsi | 2 | 6 | 6 | 8 |
| F ATUE/ SOMNOLENCE | 4 | 4 | 4 | 5 |
| Diminuzione dell'appetito | <1 | 2 | 1 | 3 |
| Vertigini | 2 | 2 | 2 | 3 |
| * 10 mg e 30 mg di incidenza dagli studi 1 e 2; 60 mg di incidenza raggruppata dagli studi 1 2 e 3. |
Le reazioni avverse che più comunemente hanno portato alla sospensione di Qulipta in questi studi sono state la costipazione di nausea (NULL,6%) (NULL,5%) e affaticamento/sonnolenza (NULL,2%).
Elevazioni degli enzimi epatici
Nello studio 1 dello studio 2 e dello studio 3 il tasso di aumenti della transaminasi oltre 3 volte il limite superiore del normale era simile tra i pazienti trattati con Qulipta (NULL,9%) e quelli trattati con placebo (NULL,2%). Tuttavia, ci sono stati casi con aumenti transaminasi oltre 3 volte il limite superiore della normale che sono stati temporalmente associati al trattamento di Qulipta; Questi erano asintomatici e risolti entro 8 settimane dalla sospensione. Non ci sono stati casi di gravi lesioni epatiche o ittero.
Diminuisce del peso corporeo
Nello studio 1 Studio 2 e Studio 3 la percentuale di pazienti con una riduzione del peso di almeno il 7% in qualsiasi punto è stata del 2,5% per il placebo del 3,8% per Qulipta 10 mg 3,2% per Qulipta 30 mg e 5,3% per Qulipta 60 mg.
Esperienza post -marketing
Le seguenti reazioni avverse sono state identificate durante l'uso post di approvazione di Qulipta. Poiché queste reazioni sono riportate volontariamente da una popolazione di dimensioni incerte, non è sempre possibile stimare la loro frequenza o stabilire una relazione causale con l'esposizione ai farmaci.
Disturbi del sistema immunitario: Ipersensibilità (ad esempio anafilassi dispnea eruzione prurito orticaria edema facciale) [vedi Controindicazioni E Avvertimenti e precauzioni ]
Disturbi vascolari: Ipertensione [vedi Avvertimenti e precauzioni ] Il fenomeno di Raynaud [vedi Avvertimenti e precauzioni ]
Interazioni farmacologiche for Qulipta
Inibitori del CYP3A4
La somministrazione di co -somministrazione di Qulipta con itraconazolo Un forte inibitore del CYP3A4 ha comportato un aumento significativo dell'esposizione di Atogepant in soggetti sani [vedi Farmacologia clinica ]. For episodic migraine the recommended dosage of QULIPTA with concomitant use of strong CYP3A4 inhibitors is 10 mg once daily. For chronic migraine avoid concomitant use of strong CYP3A4 inhibitors with QULIPTA [see Dosaggio e amministrazione ]. No dosage adjustment of QULIPTA is needed with concomitant use of moderate or weak CYP3A4 inhibitors.
Induttori del CYP3A4
La somministrazione di co -somministrazione di Qulipta con rifampina stazionaria di una forte induttore del CYP3A4 ha comportato una significativa riduzione dell'esposizione di Atogepant in soggetti sani [vedi Farmacologia clinica ]. Concomitant administration of QULIPTA with moderate inducers of CYP3A4 can also result in decreased exposure of atogepant. Coadministration of QULIPTA with steady-state topiramate a weak CYP3A4 inducer resulted in decreased exposure of atogepant in healthy subjects [see Farmacologia clinica ].
Per l'emicrania episodica il dosaggio raccomandato di Qulipta con un uso concomitante di forti induttori CYP3A4 moderati o deboli è di 30 mg o 60 mg una volta al giorno [vedi Dosaggio e amministrazione ].
Per l'emicrania cronica evitare l'uso concomitante di forti induttori CYP3A4 moderati o deboli con Qulipta [vedi Dosaggio e amministrazione ].
Inibitori di avena
La somministrazione di co -somministrazione di Qulipta con dose singola dose un inibitore di OATP ha comportato un aumento significativo dell'esposizione di Atogepant in soggetti sani [vedi Farmacologia clinica ]. For episodic migraine the recommended dosage of QULIPTA with concomitant use of OATP inhibitors is 10 mg or 30 mg once daily. For chronic migraine the recommended dosage of QULIPTA with concomitant use of OATP inhibitors is 30 mg once daily [see Dosaggio e amministrazione ].
Avvertimenti per Qulipta
Incluso come parte del PRECAUZIONI sezione.
Precauzioni per Qulipta
Reazioni di ipersensibilità
Sono state riportate reazioni di ipersensibilità tra cui anafilassi dispnea eruzione prurito orticaria ed edema facciale con l'uso di Qulipta [vedi Reazioni avverse ]. Hypersensitivity reactions can occur days after administration. If a hypersensitivity reaction occurs discontinue QULIPTA E institute appropriate therapy [see Controindicazioni ].
Ipertensione
Sono stati segnalati lo sviluppo dell'ipertensione e il peggioramento dell'ipertensione preesistente in seguito all'uso di antagonisti della CGRP, incluso Qulipta nell'impostazione post-marketing. Alcuni dei pazienti che hanno sviluppato l'ipertensione di nuova insorgenza avevano fattori di rischio per l'ipertensione. Vi sono stati casi che richiedevano l'inizio del trattamento farmacologico per l'ipertensione e in alcuni casi l'ospedale. L'ipertensione può verificarsi in qualsiasi momento durante il trattamento, ma è stata riportata più frequentemente entro 7 giorni dall'inizio della terapia. Qulipta è stato sospeso in molti dei casi riportati.
Monitorare i pazienti trattati con Qulipta per ipertensione di nuova insorgenza o peggioramento dell'ipertensione preesistente e considerare se la sospensione di Qulipta è garantita se la valutazione non riesce a stabilire un'eziologia alternativa o la pressione arteriosa è inadeguatamente controllata.
Il fenomeno di Raynaud
Lo sviluppo del fenomeno di Raynaud e la ricorrenza o il peggioramento del fenomeno di Raynaud preesistente sono stati riportati in ambito post-marketing in seguito all'uso di antagonisti della CGRP, incluso Qulipta. In casi segnalati con antagonisti CGRP di piccole molecole, si è verificata una mediana di 1,5 giorni dopo il dosaggio. Molti dei casi hanno riportato gravi risultati tra cui ricoveri e disabilità generalmente correlati al dolore debilitante. Nella maggior parte dei casi riportati l'interruzione dell'antagonista della CGRP ha comportato una risoluzione dei sintomi.
Qulipta deve essere sospeso se si sviluppano segni o sintomi del fenomeno di Raynaud e i pazienti devono essere valutati da un operatore sanitario se i sintomi non si risolvono. I pazienti con una storia del fenomeno di Raynaud devono essere monitorati e informati sulla possibilità di peggiorare o ricorrenza di segni e sintomi.
Informazioni sulla consulenza del paziente
Consiglia al paziente di leggere l'etichettatura del paziente approvato dalla FDA ( Informazioni sul paziente ).
Reazioni di ipersensibilità
Informare i pazienti sui segni e sui sintomi delle reazioni di ipersensibilità e che queste reazioni possono verificarsi con Qulipta. Consiglia ai pazienti di interrompere Qulipta e di consultare immediatamente un medico se presentano sintomi di una reazione di ipersensibilità [vedi Avvertimenti e precauzioni ].
Ipertensione
Informare i pazienti che l'ipertensione può sviluppare o l'ipertensione preesistente può peggiorare con Qulipta e che dovrebbero contattare i loro operatori sanitari se si verificano un elevazione alla pressione sanguigna [vedi Avvertimenti e precauzioni ].
Il fenomeno di Raynaud
Informare i pazienti che il fenomeno di Raynaud può sviluppare o peggiorare con Qulipta. Consiglia ai pazienti di interrompere Qulipta e contattare il proprio operatore sanitario se sperimentano segni o sintomi del fenomeno di Raynaud [vedi Avvertimenti e precauzioni ].
Interazioni farmacologiche
Informare i pazienti che Qulipta può interagire con alcuni altri farmaci e che le modifiche al dosaggio di Qulipta possono essere raccomandate se utilizzate con alcuni altri farmaci. Consiglia ai pazienti di riferire al proprio operatore sanitario l'uso di altri farmaci da prescrizione farmaci da banco prodotti a base di erbe o succo di pompelmo [vedi Dosaggio e amministrazione E Interazioni farmacologiche ].
Tossicologia non clinica
Mutagenesi della carcinogenesi compromissione della fertilità
Cancerogenicità
Atogepant è stato somministrato per via orale ai topi (0 5 20 o 75 mg/kg/giorno nei maschi; 0 5 30 160 mg/kg/giorno nelle femmine) e ratti (0 10 20 20 o 100 mg/kg in maschi; 0 25 65 o 200 mg/kg in femmine) per 2 anni. Non c'erano prove di tumori legati alla droga in entrambe le specie. Le esposizioni al plasma alle dosi più alte testate nei topi e nei ratti erano rispettivamente circa 8 e 20-35 volte che nell'uomo alla massima dose umana raccomandata (MRHD) di 60 mg/die.
Mutagenicità
Atogepant era negativo nei test in vitro (Ames Chromosomal Aberration nelle cellule di ovaio del criceto cinese) e in vivo (micronucleo del midollo osseo di ratto).
Compromissione della fertilità
La somministrazione orale di Atogepant (0 5 20 o 125 mg/kg/giorno) ai ratti maschi e femmine prima e durante l'accoppiamento e il proseguimento delle femmine al giorno di gestazione 7 non ha comportato effetti avversi sulla fertilità o sulle prestazioni riproduttive. Le esposizioni al plasma (AUC) alla dose più alta testate sono circa 15 volte quella negli umani al MRHD.
Utilizzare in popolazioni specifiche
Gravidanza
Riepilogo del rischio
Non ci sono dati adeguati sul rischio di sviluppo associato all'uso di Qulipta nelle donne in gravidanza. Negli studi sugli animali La somministrazione orale di Atogepant durante il periodo di organogenesi (ratti e conigli) o durante la gravidanza e l'allattamento (ratti) hanno comportato effetti di sviluppo avversi (riduzione del peso corporeo fetale e della prole nei ratti; aumento dell'incidenza delle variazioni strutturali fetali) alle esposizioni superiori a quelle utilizzate clinicamente [vedi clinicamente [vedi Dati ].
Nella popolazione generale degli Stati Uniti il rischio di background stimato di gravi difetti alla nascita e aborti nelle gravidanze clinicamente riconosciute è rispettivamente del 2-4% e del 15-20%. Il tasso stimato dei principali difetti alla nascita (NULL,2%-2,9%) e aborti (17%) tra le consegne alle donne con emicrania sono simili ai tassi riportati nelle donne senza emicrania.
Considerazioni cliniche
Rischio materno e/o embrione/o fetale associato alla malattia
I dati pubblicati hanno suggerito che le donne con emicrania possono essere ad aumentato rischio di preeclampsia e ipertensione gestazionale durante la gravidanza.
Dati
Dati sugli animali
La somministrazione orale di Atogepant (0 5 15 125 o 750 mg/kg/giorno) ai ratti in gravidanza durante il periodo di organogenesi ha comportato una riduzione del peso corporeo fetale e dell'ossificazione scheletrica alle due dosi più alte testate (125 e 750 mg/kg) che non erano associate alla tossicità materna. Alla dose senza effetto (15 mg/kg/giorno) per effetti avversi sull'esposizione al plasma di sviluppo embriofetale (AUC) era circa 4 volte che nell'uomo alla massima dose umana raccomandata (MRHD) di 60 mg/die.
La somministrazione orale di Atogepant (0 30 90 o 130 mg/kg/giorno) a conigli incinta durante il periodo di organogenesi ha comportato un aumento delle variazioni viscerali e scheletriche fetali alla dose più alta testata (130 mg/kg/giorno) che era associato a una tossica materna minima. Alla dose senza effetto (90 mg/kg/giorno) per effetti avversi sull'esposizione al plasma di sviluppo embriofetale (AUC) è stato circa 3 volte quello negli esseri umani al MRHD.
La somministrazione orale di Atogepant (0 15 45 o 125 mg/kg/giorno) ai ratti durante la gestazione e l'allattamento ha comportato una riduzione del peso corporeo del cucciolo alla dose più alta (125 mg/kg/giorno) che persistevano nell'educazione. Alla dose senza effetto (45 mg/kg/giorno) per effetti avversi sull'esposizione al plasma di sviluppo pre e post-natale (AUC) è stato circa 5 volte quello negli esseri umani al MRHD.
Lattazione
Non ci sono dati sulla presenza di Atogepant nel latte umano gli effetti di Atogepant sul bambino allattato al seno o sugli effetti di Atogepant sulla produzione di latte. Nei ratti in allattamento il dosaggio orale con Atogepant ha portato a livelli di Atogepant nel latte circa 2 volte superiore a quello nel plasma materno. I benefici per lo sviluppo e la salute dell'allattamento dovrebbero essere considerati insieme alla necessità clinica della madre di Qulipta e a potenziali effetti avversi sul bambino allattato al seno da Qulipta o dalla condizione materna sottostante.
Uso pediatrico
La sicurezza ed efficacia nei pazienti pediatrici non è stata stabilita.
Uso geriatrico
La modellizzazione farmacocinetica della popolazione non suggerisce differenze farmacocinetiche clinicamente significative tra i soggetti anziani e più giovani. Gli studi clinici di Qulipta non includevano un numero sufficiente di pazienti di età pari o superiore a 65 anni per determinare se rispondono in modo diverso dai pazienti più giovani. In generale, la selezione della dose per un paziente anziano dovrebbe essere cauta di solito a partire dalla fascia bassa dell'intervallo di dosaggio che riflette la maggiore frequenza della ridotta funzione renale e cardiaca epatica e di malattia concomitante o altra terapia farmacologica.
Compromissione renale
La via renale di eliminazione svolge un ruolo minore nella clearance di Atogepant [vedi Farmacologia clinica ]. For episodic migraine in patients with severe renal impairment (CLcr 15-29 mL/min) E in patients with end-stage renal disease (ESRD) (CLcr <15 mL/min) the recommended dosage of QULIPTA is 10 mg once daily; in patients with ESRD undergoing intermittent dialysis QULIPTA should preferably be taken after dialysis [see Dosaggio e amministrazione ]. For chronic migraine avoid use of QULIPTA in patients with severe renal impairment E in patients with ESRD. No dose adjustment is recommended for patients with mild or moderate renal impairment.
Compromissione epatica
Non è raccomandato alcun regolazione della dose di Qulipta per i pazienti con compromissione epatica lieve o moderata. Evita l'uso di Qulipta in pazienti con grave compromissione epatica [vedi Reazioni avverse E Farmacologia clinica ].
Informazioni per overdose per Qulipta
Nessuna informazione fornita
Controindicazioni per Qulipta
Qulipta è controindicato nei pazienti con una storia di ipersensibilità ad Atogepant o in qualsiasi componente di Qulipta. Le reazioni hanno incluso anafilassi e dispnea [vedi Avvertimenti e precauzioni ].
Farmacologia clinica for Qulipta
Meccanismo d'azione
Atogepant è un antagonista del recettore peptide (CGRP) correlato al gene della calcitonina.
Farmacodinamica
Elettrofisiologia cardiaca
Ad una dose 5 volte il massimo dose giornaliera raccomandata Qulipta non prolunga l'intervallo QT in alcuna misura clinicamente rilevante.
Farmacocinetica
Assorbimento
Dopo la somministrazione orale di Qulipta Atogepant viene assorbita con concentrazioni plasmatiche di picco a circa 1-2 ore. Atogepant mostra una farmacocinetica dose-proporzionale fino a 170 mg al giorno (circa 3 volte il più alto livello raccomandato) senza accumulazione.
Effetto del cibo
Quando a Qulipta è stato somministrato con un pasto ricco, l'effetto alimentare non era significativo (AUC e CMAX sono stati ridotti rispettivamente di circa il 18% e il 22% senza alcun effetto sul tempo mediano alla massima concentrazione plasmatica di atogepant). Qulipta è stato somministrato indipendentemente dal cibo negli studi di efficacia clinica.
Distribuzione
Il legame plasmatico della proteina di Atogepant non dipendeva dalla concentrazione nell'intervallo da 0,1 a 10 μM; La frazione illimitata di Atogepant era di circa il 4,7% nel plasma umano. Il volume medio apparente di distribuzione di Atogepant (VZ/F) dopo la somministrazione orale è di circa 292 L.
Eliminazione
Metabolismo
Atogepant viene eliminato principalmente attraverso il metabolismo principalmente dal CYP3A4. Il composto genitore (Atogepant) e un metabolita coniugato di glucuronide (M23) erano i componenti circolanti più diffusi nel plasma umano.
Escrezione
L'emivita di eliminazione di Atogepant è di circa 11 ore. La clearance orale apparente (CL/F) di Atogepant è di circa 19 L/ora. A seguito di una singola dose orale di 50 mg 14 Atogepant C a soggetti maschi sani il 42% e il 5% della dose sono stati recuperati rispettivamente come atogepant invariato nelle feci e nelle urine.
Popolazioni specifiche
Pazienti con compromissione renale
La via renale di eliminazione svolge un ruolo minore nella clearance di Atogepant. Sulla base di un'analisi farmacocinetica della popolazione non vi è alcuna differenza significativa nella farmacocinetica di Atogepant nei pazienti con compromissione renale lieve o moderata (CLCR 30-89 ml/min) rispetto a quelli con normale funzione renale (CLCR> 90 ml/min). Pazienti con grave compromissione renale o malattia renale allo stadio terminale (ESRD; CLCR <30 mL/min) have not been studied [see Dosaggio e amministrazione E Utilizzare in popolazioni specifiche ].
Pazienti con compromissione epatica
Nei pazienti con compromissione epatica preesistente lieve (bambino-pugh di classe A) moderata (classe Bhil-pugh) o grave (classe-pugh di classe C), l'esposizione totale di Atogepant è stata aumentata rispettivamente del 24% 15% e del 38%. A causa di un potenziale per lesioni epatiche nei pazienti con grave compromissione epatica evitare l'uso di Qulipta in pazienti con grave compromissione epatica [vedi Utilizzare in popolazioni specifiche ].
Altre popolazioni specifiche
Sulla base di un'analisi farmacocinetica della popolazione in età razza del sesso e il peso corporeo non hanno avuto un effetto significativo sulla farmacocinetica (CMAX e AUC) di Atogepant. Pertanto, non sono garantite adeguamenti della dose in base a questi fattori.
Interazioni farmacologiche
Studi in vitro
Enzimi
Atogepant in vitro non è un inibitore per i CYPS 3A4 1A2 2B6 2C8 2C9 2C19 o 2d6 a concentrazioni clinicamente rilevanti. Atogepant non inibisce MAO-A o UGT1A1 a concentrazioni clinicamente rilevanti. Non si prevede che Atogepant sia un autore clinicamente significativo delle interazioni farmaco-farmaco attraverso l'inibizione MA-A o UGT1A1 del CYP450S.
Atogepant non è un induttore di CYP1A2 CYP2B6 o CYP3A4 a concentrazioni clinicamente rilevanti.
Trasportatori
Atogepant è un substrato di p-gp bcr oatp1b1 oatp1b3 e oat1. Si raccomanda l'adeguamento della dose per l'uso concomitante di Qulipta con inibitori di OATP sulla base di uno studio di interazione clinica con un inibitore di OATP [vedi Dosaggio e amministrazione ].
Non si prevede che la somministrazione di co-somministrazione di Atogepant con BCRP e/o inibitori del P-GP aumenta l'esposizione di Atogepant. Atogepant non è un substrato di OAT3 Oct2 o Mate1.
Atogepant non è un inibitore di P-GP BCRP OAT1 OAT3 NTCP BSEP MRP3 o MRP4 a concentrazioni clinicamente rilevanti. Atogepant è un debole inibitore di OATP1B1 OATP1B3 Oct1 e Mate1. Non sono previste interazioni farmacologiche cliniche per Atogepant come autore con questi trasportatori.
Studi in vivo
Inibitori del CYP3A4
La co-somministrazione di Qulipta con itraconazolo Un forte inibitore del CYP3A4 ha comportato un aumento clinicamente significativo (CMAX di 2,15 volte e AUC di 5,5 volte) nell'esposizione di Atogepant in soggetti sani [vedi Interazioni farmacologiche ].
La modellazione farmacocinetica (PBPK) basata su fisiologicamente ha suggerito la co-somministrazione di Qulipta con inibitori del CYP3A4 moderati o deboli aumentano rispettivamente AUC AUC di 1,7 e 1,1 volte. I cambiamenti nell'esposizione a Atogepant quando non si prevede che i deboli o moderati inibitori del CYP3A4 siano clinicamente significativi.
Induttori del CYP3A4
La co-somministrazione di Qulipta con Rifampin Un forte induttore del CYP3A4 ha ridotto l'AUC ATOGEPANT del 60% e CMAX del 30% in soggetti sani [vedi Interazioni farmacologiche ]. No dedicated drug interaction studies were conducted to assess concomitant use with moderate CYP3A4 inducers. Moderate inducers of CYP3A4 can decrease atogepant exposure [see Interazioni farmacologiche ]. Co-administration of QULIPTA with topiramate a weak inducer of CYP3A4 decreased atogepant mean steady-state AUC 0-∞ by 25% E mean steady-state Cmax by 24% in healthy subjects [see Interazioni farmacologiche ].
Inibitori BCRP/OATP/P-GP
La co-somministrazione di qulipta con dose singola dose un inibitore di oatp ha aumentato l'AUC ATogepant di 2,85 volte e CMAX di 2,23 volte in soggetti sani [vedi Interazioni farmacologiche ].
La co-somministrazione di Qulipta con inibitore della chinidina a P-GP ha aumentato l'AUC ATOGEPANT del 26% e CMAX del 4% in soggetti sani. I cambiamenti nell'esposizione a Atogepant quando non si prevede che i co-amministrati con inibitori della P-GP siano clinicamente significativi. La modellazione PBPK suggerisce che la co-somministrazione di Qulipta con inibitori del BCRP aumenta l'esposizione di Atogepant di 1,2 volte. Questo aumento non dovrebbe essere clinicamente significativo.
Altre valutazioni di interazione farmacologica
La co-somministrazione di Qulipta con componenti contraccettivi orali etinil estradiolo e levororgestrel famotidina esomeprazolo acetaminofene naprossen sumatriptan o ubrogepant non hanno provocato interazioni farmacocinetiche significative per farmaci per atogepant o co-addominale. La co-somministrazione di Qulipta con topiramato non ha comportato cambiamenti clinicamente significativi nella farmacocinetica del topiramato.
Studi clinici
Emicrania episodica
L'efficacia di Qulipta per il trattamento preventivo dell'emicrania episodica negli adulti è stata dimostrata in due studi randomizzati controllati da placebo multicentrici (Studio 1 e Studio 2). Gli studi hanno arruolato i pazienti con almeno 1 anno di storia di emicrania con o senza aura secondo la classificazione internazionale dei criteri diagnostici dei disturbi del mal di testa (ICHD-3).
Nello studio 1 (NCT03777059) 910 pazienti sono stati randomizzati 1: 1: 1: 1 per ricevere Qulipta 10 mg (n = 222) Qulipta 30 mg (n = 230) Qulipta 60 mg (n = 235) o placebo (n = 223) una volta al giorno per 12 settimane. Nello studio 2 (NCT02848326) 652 i pazienti sono stati randomizzati 1: 2: 2: 2 per ricevere Qulipta 10 mg (n = 94) Qulipta 30 mg (n = 185) Qulipta 60 mg (n = 187) o placebo (n = 186) una volta al giorno per 12 settimane. In entrambi gli studi i pazienti sono stati autorizzati a utilizzare trattamenti acuti al mal di testa (ad es. Triptans Ergotamina Derivati FANSI Acetaminofene e oppioidi) se necessario. L'uso di un farmaco concomitante che agisce sul percorso CGRP non era consentito per il trattamento acuto o preventivo dell'emicrania. Gli studi hanno escluso i pazienti con ictus di infarto miocardico o attacchi ischemici transitori entro sei mesi prima dello screening.
Studio 1
L'endpoint di efficacia primaria era la variazione rispetto al basale nei giorni medi mensili di emicrania (MMD) durante il periodo di trattamento di 12 settimane. Gli endpoint secondari includevano la variazione rispetto al basale nei giorni medi mensili di mal di testa La variazione di base nei giorni di utilizzo di farmaci acuti medi mensili La percentuale di pazienti che ottengono almeno una riduzione del 50% dalla linea di base in MMD media (media 3 mesi) dalla fase di base del Monthy-Dishincement in Monce Dispurtment (PIRE DEFICAZIONE DI ATTIVITÀ MENSIO MENSAMENT. Punteggi di dominio durante il periodo di trattamento di 12 settimane e il cambiamento rispetto al basale alla settimana 12 per l'emicrania di qualità della vita della vita versione 2.1 (MSQ v2.1) I punteggi del dominio della funzione-restrittivo (RFR).
Il AIM-D valuta la difficoltà con le prestazioni delle attività quotidiane (dominio PDA) e la compromissione fisica (dominio PI) a causa dell'emicrania con punteggi che vanno da 0 a 100. I punteggi più alti indicano un maggiore impatto dell'emicrania e le riduzioni dal basale indicano un miglioramento. Il punteggio del dominio MSQ V2.1 Ruolo Function-Restrictive (RFR) valuta la frequenza con cui l'emicrania influisce sulla funzione relativa alle attività quotidiane sociali e legate al lavoro nelle ultime 4 settimane con punteggi che vanno da 0 a 100. I punteggi più alti indicano un impatto inferiore dell'emicrania sulle attività quotidiane e gli aumenti del basale indicano il miglioramento.
I pazienti avevano un'età media di 42 anni (range da 18 a 73 anni) l'89% erano femmine l'83% erano bianche il 14% erano nere e il 9% era di etnia ispanica o latina. La frequenza media di emicrania al basale era di circa 8 giorni di emicrania al mese ed era simile tra i gruppi di trattamento. Un totale di 805 (88%) pazienti ha completato il periodo di studio in doppio cieco di 12 settimane. I risultati chiave di efficacia dello studio 1 sono riassunti nella Tabella 3.
Tabella 3: endpoint di efficacia nello studio 1
| Qulipta 10 mg N = 214 | Qulipta 30 mg N = 223 | Qulipta 60 mg N = 222 | Placebo N = 214 | |
| Giorni di emicrania mensile (MMD) per 12 settimane | ||||
| Basale | 7.5 | 7.9 | 7.8 | 7.5 |
| Cambiamento medio rispetto al basale | -3.7 | -3.9 | -4.2 | -2.5 |
| Differenza dal placebo | -1.2 | -1.4 | -1.7 | |
| valore p | <0.001 | <0.001 | <0.001 | |
| Giorni mensili di mal di testa in 12 settimane | ||||
| Basale | 8.4 | 8.8 | 9.0 | 8.4 |
| Cambiamento medio rispetto al basale | -3.9 | -4.0 | -4.2 | -2.5 |
| Differenza dal placebo | -1.4 | -1.5 | -1.7 | |
| valore p | <0.001 | <0.001 | <0.001 | |
| Farmaci acuti mensili Usa giorni di 12 settimane | ||||
| Basale | 6.6 | 6.7 | 6.9 | 6.5 |
| Cambiamento medio rispetto al basale | -3.7 | -3.7 | -3.9 | -2.4 |
| Differenza dal placebo | -1.3 | -1.3 | -1.5 | |
| valore p | <0.001 | <0.001 | <0.001 | |
| ≥ 50% di responder MMD per 12 settimane | ||||
| % Responder | 56 | 59 | 61 | 29 |
| Differenza dal placebo (%) | 27 | 30 | 32 | |
| valore p | <0.001 | <0.001 | <0.001 | |
| MSQ V2.1 Dominio RFR* alla settimana 12 | ||||
| Basale | 44.9 | 44.0 | 46.8 | 46.8 |
| Cambiamento medio rispetto al basale | 30.4 | 30.5 | 31.3 | 20.5 |
| Differenza dal placebo | 9.9 | 10.1 | 10.8 | |
| valore p | <0.001 | <0.001 | <0.001 | |
| Dominio PDA AIM-D ** per 12 settimane | ||||
| Basale | 15.5 | 16.9 | 15.9 | 15.2 |
| Cambiamento medio rispetto al basale | -7.3 | -8.6 | -9.4 | -6.1 |
| Differenza dal placebo | -1.2 | -2.5 | -3.3 | |
| valore p | NS † | <0.001 | <0.001 | |
| Dominio AIM-D PI *** per 12 settimane | ||||
| Basale | 11.7 | 13.0 | 11.6 | 11.2 |
| Cambiamento medio rispetto al basale | -5.1 | -6.0 | -6.5 | -4.0 |
| Differenza dal placebo | -1.1 | -2.0 | -2.5 | |
| valore p | NS † | 0.002 | <0.001 | |
| * Emicrania QUALITÀ SPECIFICA DELLA VITA DELLA VITA VERSIONE 2.1 Punteggio del dominio della funzione ruolo-ruolo ** Puntirrizzazione dell'attività nell'esecuzione dell'emicrania del punteggio del dominio delle attività quotidiane *** Punteggio del dominio del dominio fisico per emicrania per emicrania † Non statisticamente significativo (NS) |
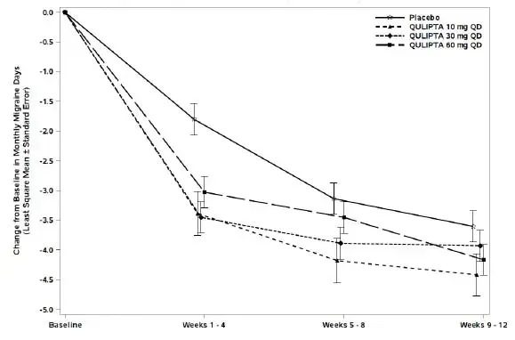
La Figura 1 mostra la variazione media rispetto al basale nella MMD nello studio 1. I pazienti trattati con Qulipta avevano una riduzione media maggiore rispetto al basale nella MMD durante il periodo di trattamento di 12 settimane rispetto ai pazienti che hanno ricevuto il placebo.
Figura 1: cambiamento dal basale nei giorni di emicrania mensile nello studio 1
|
La Figura 2 mostra la distribuzione del cambiamento dal basale nella MMD media durante il periodo di trattamento di 12 settimane con incrementi di 2 giorni per gruppo di trattamento. Un beneficio per il trattamento rispetto al placebo per tutte le dosi di Qulipta è osservato in una serie di variazioni medie rispetto al basale in MMD.
Figura 2: distribuzione del cambiamento dal basale nei giorni medi mensili di emicrania per gruppo di trattamento nello studio 1
|
Studio 2
L'endpoint di efficacia primaria era il cambiamento rispetto al basale nei giorni medi mensili di emicrania durante il periodo di trattamento di 12 settimane.
I pazienti avevano un'età media di 40 anni (intervallo: da 18 a 74 anni) l'87% erano donne il 76% erano bianche il 20% erano nere e il 15% era di etnia ispanica o latina. La frequenza media di emicrania al basale era di circa 8 giorni di emicrania al mese. Un totale di 541 (83%) pazienti ha completato il periodo di studio in doppio cieco di 12 settimane.
Nello studio 2 c'è stata una riduzione significativamente maggiore dei giorni medi mensili di emicrania durante il periodo di trattamento di 12 settimane in tutti e tre i gruppi di trattamento Qulipta rispetto al placebo come riassunto nella Tabella 4.
Tabella 4: endpoint di efficacia nello studio 2
| Qulipta 10 mg N = 92 | Qulipta 30 mg N = 182 | Qulipta 60 mg N = 177 | Placebo N = 178 | |
| Giorni di emicrania mensile (MMD) per 12 settimane | ||||
| Basale | 7.6 | 7.6 | 7.7 | 7.8 |
| Cambiamento medio rispetto al basale | -4.0 | -3.8 | -3.6 | -2.8 |
| Differenza dal placebo | -1.1 | -0.9 | -0.7 | |
| valore p | 0.024 | 0.039 | 0.039 | |
| Giorni mensili di mal di testa in 12 settimane | ||||
| Basale | 8.9 | 8.7 | 8.9 | 9.1 |
| Cambiamento medio rispetto al basale | -4.3 | -4.2 | -3.9 | -2.9 |
| Differenza dal placebo | -1.4 | -1.2 | -0.9 | |
| valore p | 0.024 | 0.039 | 0.039 |
La Figura 3 mostra il cambiamento medio rispetto al basale nella MMD nello studio 2. I pazienti trattati con Qulipta hanno avuto una riduzione media maggiore rispetto al basale nella MMD durante il periodo di trattamento di 12 settimane rispetto ai pazienti che hanno ricevuto il placebo.
Figura 3: cambiamento dal basale nei giorni di emicrania mensile nello studio 2
|
La Figura 4 mostra la distribuzione della variazione dal basale nella MMD media durante il periodo di trattamento di 12 settimane con incrementi di 2 giorni per gruppo di trattamento. Un beneficio per il trattamento rispetto al placebo per tutte le dosi di Qulipta è osservato in una serie di variazioni medie rispetto al basale in MMD.
Figura 4: distribuzione del cambiamento dal basale nei giorni medi mensili di emicrania per gruppo di trattamento nello studio 2
|
Emicrania cronica
Studio 3
L'efficacia di Qulipta per il trattamento preventivo dell'emicrania cronica negli adulti è stata dimostrata in uno studio randomizzato in doppio cieco controllato in doppio cieco (Studio 3). Lo studio ha arruolato i pazienti con almeno 1 anno di storia di emicrania cronica secondo i criteri diagnostici ICHD-3.
Studio 3 (NCT03855137) included rEomization of patients to Qulipta 60 mg once daily (N = 262) or placebo (N = 259) for 12 weeks. A subset of patients (11%) was allowed to use one concomitant migraine preventive medication. Patients were allowed to use acute headache treatments (i.e. triptans ergotamine derivatives NSAIDs acetaminophen E opioids) as needed. Patients with medication overuse headache also were enrolled. The use of a concomitant medication that acts on the CGRP pathway was not permitted for either acute or preventive treatment of migraine. The study excluded patients with myocardial infarction stroke or transient ischemic attacks within six months prior to screening.
L'endpoint di efficacia primaria era il cambiamento dal basale nella MMD media per il periodo di trattamento di 12 settimane. Secondary endpoints included the change from baseline in mean monthly headache days the change from baseline in mean monthly acute medication use days the proportion of patients achieving at least a 50% reduction from baseline in mean MMD (3-month average) the change from baseline in mean monthly AIM-D PDA domain scores the change from baseline in mean monthly AIM-D PI domain scores across the 12-week treatment period and the change from baseline at Week 12 for MSQ V2.1 punteggi del dominio RFR.
I pazienti avevano un'età media di 42 anni (range da 18 a 74 anni) l'87% erano donne il 60% erano bianche il 3% erano nere il 36% erano asiatiche e il 4% era di etnia ispanica o latina. La frequenza media di emicrania al basale era di circa 19 giorni di emicrania al mese ed era simile tra i gruppi di trattamento. Un totale di 463 (89%) di questi pazienti ha completato il periodo di studio a doppio cieco di 12 settimane.
I risultati chiave di efficacia dello studio 3 sono riassunti nella Tabella 5.
Tabella 5: endpoint di efficacia nello studio 3
| Qulipta 60 mg QD N = 256 | Placebo N = 246 | |
| Giorni di emicrania mensile (MMD) per 12 settimane | ||
| Basale | 19.2 | 18.9 |
| Cambiamento medio rispetto al basale | -6.9 | -5.1 |
| Differenza dal placebo | -1.8 | |
| valore p | <0.001 | |
| Giorni mensili di mal di testa in 12 settimane | ||
| Basale | 21.5 | 21.4 |
| Cambiamento medio rispetto al basale | -7.0 | -5.1 |
| Differenza dal placebo | -1.9 | |
| valore p | <0.001 | |
| Farmaci acuti mensili Usa giorni di 12 settimane | ||
| Basale | 15.5 | 15.4 |
| Cambiamento medio rispetto al basale | -6.2 | -4.1 |
| Differenza dal placebo | -2.1 | |
| valore p | <0.001 | |
| ≥ 50% di responder MMD per 12 settimane | ||
| % Responder | 41 | 26 |
| Differenza dal placebo (%) | 15 | |
| valore p | <0.001 | |
| MSQ V2.1 Dominio RFR* alla settimana 12 | ||
| Basale | 43.4 | 43.9 |
| Cambiamento medio rispetto al basale | 23.3 | 17.2 |
| Differenza dal placebo | 6.2 | |
| valore p | <0.001 | |
| Dominio PDA AIM-D ** per 12 settimane | ||
| Basale | 31.2 | 29.5 |
| Cambiamento medio rispetto al basale | -12.8 | -9.4 |
| Differenza dal placebo | -3.4 | |
| valore p | <0.001 | |
| Dominio AIM-D PI *** per 12 settimane | ||
| Basale | 27.1 | 25.2 |
| Cambiamento medio rispetto al basale | -10.6 | -7.9 |
| Differenza dal placebo | -2.7 | |
| valore p | 0.003 | |
| * Emicrania QUALITÀ SPECIFICA DELLA VITA DELLA VITA VERSIONE 2.1 Punteggio del dominio della funzione ruolo-ruolo ** Puntirrizzazione dell'attività nell'esecuzione dell'emicrania del punteggio del dominio delle attività quotidiane *** Punteggio del dominio del dominio fisico per emicrania per emicrania |
La Figura 5 mostra la variazione media rispetto al basale nella MMD nello studio 3. I pazienti trattati con Qulipta hanno avuto una riduzione media maggiore rispetto al basale nella MMD durante il periodo di trattamento di 12 settimane rispetto ai pazienti che hanno ricevuto il placebo.
Figura 5: modifica dal basale nei giorni di emicrania mensile nello studio 3
|
La Figura 6 mostra la distribuzione della variazione dal basale nella MMD media durante il periodo di trattamento di 12 settimane con incrementi di 2 giorni per gruppo di trattamento. Un vantaggio di trattamento di Qulipta rispetto al placebo è osservato in una serie di variazioni medie rispetto al basale in MMD.
Figura 6: distribuzione del cambiamento dal basale nei giorni medi mensili di emicrania per gruppo di trattamento nello studio 3
|
Informazioni sul paziente per Qulipta
Quittta®
(Kew-lip-wah)
(Atogepant) compresse per uso orale
Cos'è Qulipta?
- Qulipta è un medicinale di prescrizione utilizzato per il trattamento preventivo dell'emicrania negli adulti.
Non è noto se Qulipta è sicuro ed efficace nei bambini.
Non prendere Qulipta se tu:
- hanno avuto una reazione allergica ad Atogepant o a qualsiasi ingrediente a Qulipta. Vedere la fine del volantino delle informazioni del paziente per un elenco completo di ingredienti in Qulipta.
Prima di prendere Qulipta, racconta al tuo operatore sanitario su tutte le tue condizioni mediche, incluso se tu:
- avere la pressione alta.
- Avere problemi di circolazione tra le dita e le dita dei piedi.
- avere problemi renali o sono in dialisi.
- avere problemi epatici.
- sono incinta o prevedono di rimanere incinta. Non è noto se Qulipta danneggerà il tuo bambino non ancora nato.
- stanno allattando o pianificano di allattare. Non è noto se Qulipta passa nel latte materno. Parla con il tuo operatore sanitario del modo migliore per nutrire il tuo bambino mentre prendi Qulipta.
Di 'al tuo operatore sanitario di tutte le medicine che prendi tra cui prescrizione e medicine da banco vitamine e integratori a base di erbe. Qulipta può influire sul modo in cui altri medicinali funzionano e altri medicinali possono influire sul funzionamento di Qulipta. Il tuo operatore sanitario potrebbe essere necessario modificare la dose di Qulipta quando assunto con determinati altri medicinali.
Tieni un elenco di medicinali che fai per mostrare al tuo medico o al farmacista quando ottieni un nuovo medicinale.
Come dovrei prendere Qulipta?
- Prendi Qulipta con la bocca con o senza cibo.
- Prendi Qulipta esattamente come il tuo operatore sanitario ti dice di prenderlo.
Quali sono i possibili effetti collaterali di Qulipta?
Qulipta può causare gravi effetti collaterali tra cui:
- Reazioni allergiche (ipersensibilità) tra cui l'anafilassi: Le reazioni allergiche gravi possono verificarsi quando si prende Qulipta o giorni dopo. Smetti di prendere Qulipta e ottenere subito assistenza medica di emergenza se si ottiene uno dei seguenti sintomi che possono far parte di una grave reazione allergica:
- gonfiore delle labbra o della lingua del viso
- prurito
- difficoltà a respirare
- orticaria
- eruzione cutanea
- Ipertensione: L'ipertensione o il peggioramento della pressione alta possono verificarsi quando si prende Qulipta. Contatta il tuo medico se si ha un aumento della pressione sanguigna.
- Fenomeno di Raynaud: Un tipo di problema di circolazione può peggiorare o verificarsi quando si prende Qulipta. Il fenomeno di Raynaud può portare alle dita delle dita o alle dita dei piedi fresche o dolorose o cambiare colore dal pallido a blu a rosso. Contatta il proprio medico se si verificano questi sintomi.
Gli effetti collaterali più comuni di Qulipta includono: nausea stipsi E fatigue/sleepiness.
Questi non sono tutti i possibili effetti collaterali di Qulipta. Chiama il medico per consigli medici sugli effetti collaterali. È possibile segnalare gli effetti collaterali alla FDA al numero 1-800-FDA-1088.
Come dovrei archiviare Qulipta?
Conservare Qulipta a temperatura ambiente compresa tra 68 ° F e 77 ° F (da 20 ° C a 25 ° C).
Mantieni Qulipta e tutti i medicinali fuori dalla portata dei bambini.
Informazioni generali sull'uso sicuro ed efficace di Qulipta.
Le medicine sono talvolta prescritte a fini diversi da quelli elencati in un volantino delle informazioni del paziente. Non utilizzare Qulipta per una condizione per la quale non è stata prescritta. Non dare Qulipta ad altre persone anche se hanno gli stessi sintomi che hai. Potrebbe danneggiare loro. Puoi chiedere al tuo farmacista o al fornitore di assistenza sanitaria informazioni su Qulipta scritta per gli operatori sanitari.
Quali sono gli ingredienti di Qulipta?
Ingrediente attivo : Atogepant
Ingredienti inattivi: Diossido di silicio colloidale Croscarmellosio di sodiol mannitolo microcristallino cellulosa polivinilpirrolidone vinil acetato di copolimero sodico sodico stearil fumarato e vitamina E polietilenglicole succinato di polietilene glicito.
Queste informazioni sui pazienti sono state approvate dalla Food and Drug Administration degli Stati Uniti